Electric circuits need not be a source of worry. There are a lot of key words, but these can be defined and learned. There are a lot of possible arrangements, but these can be simplified. There appear to be several equations, but they all emerge from a few key rules.
On this page we'll start with the basic definitions that you need to know.
Key Concepts
Conductor: A material containing free electrons or ions that allow the flow of charge (e.g. metal).
Insulator: A material that does not allow the flow of charge as it does not contain free electrons.
All materials except for a vacuum will conduct slighty, so it is possible to measure the conductivity of, for example, a human. However, we broadly classify only the following as conductors:
- Metals
- Molten or dissolved ions
- Graphite
Current (I): The rate of flow of charge
\(I={Q\over t}\)
Current is measured in amperes, or Amps (A). This is an SI base unit.
An ammeter measures the current flowing through a component. It is connected in series.

Potential difference (V): The work done per Coulomb of charge passing between two points in a circuit
\(V={W\over Q}\)
Potential difference is measured in volts (V), equivalent to JC-1.
Charge moves around a circuit when a resultant electric force acts. When charge flows through a conductor from high potential to low potential, energy is converted from electrical to heat. The potential difference is the energy converted per unit charge.
A cell or battery (2 or more cells) converts chemical energy to electrical potential energy using some sort of magic involving fairies.

A voltmeter measures the potential difference across a component. It is connected in parallel.

Electromotive force or EMF (ε): The amount of energy converted from chemical to electrical per unit of charge flowing through a battery.
It is also equal to the amount of work done per unit charge taking a small + charge from one side of the battery to the other, when no current is being drawn. This is a hypothetical situaton as the movement of charge is, by definition, a current, but the lack of current prevents any resistance.
Resistance (R): The ratio of the potential difference across an electrical conductor to the current flowing through it
\(R={V\over I}\)
Resistance is measured in Ohms (Ω).
A resistor converts electrical energy into another type of energy, usually heat. The circuit symbol for any resistor can be simplified as follows:

Resistance results from opposition to the flow of charge through a conductor. It is related to the length, cross sectional area and material.
Electrical power (P): Electrical energy converted into heat per unit time.
\(P={W\over t}\)
Since energy converted is equivalent to work done, \(P={VQ\over t}\)
And since time can be expressed as a function of current, \(t={Q\over I}\)
\(P=IV\)
Power is measured in Watts (W), equivalent to Js-1.
Electrical power can be converted into the same Mechanical Power covered earlier in the course.
Resistivity (ρ): The resistance of a material with cross-sectional area of 1 m2 and length 1 m.
\(\rho ={RA\over l}\)
Resistivity has the unit Ωm (which you can work out from the dimensions of the equation).
Resistivity is a material property, which means that it is a constant for a given material, like density.
Ohm's law: The current through an Ohmic conductor is directly proportional to the potential difference across it, provided temperature remains constant.
To determine whether an electrical component obeys Ohm's law, we can examine a graph of current against potential difference (or vice versa). If the graph shows a straight line through the origin, then it is an Ohmic conductor as temperature must remain constant.
Internal resistance (r): The resistance inside of a battery or power supply.
Internal resistance is a consequence of the current through the battery itself generating heat, and therefore reducing the terminal (overall) potential difference of the battery from the maximum possible EMF. It is represented as a small resistor placed next to the cell and has the same effect as a resistor placed anywhere else.

Terminal potential difference: The actual potential difference across the terminals of a battery.
It is equal to the EMF if no current is flowing, but will be less if current flows due to the internal resistance.

Circuit: A continuous loop of current.
A series circuit has components connected in a line, so the same current passes through each.

Rtotal = R1 + R2
A parallel circuit has components connected in separate loops, so that current splits.

\({1\over R_{total}}={1\over R_1}+{1\over R_2}\)
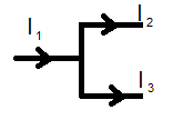
Kirchhoff's first law: Sum of currents into a junction = sum of currents out.
This is a consequence of conservation of charge.

I1 = I2 + I3
Kirchhoff's second law: The sum of EMF around a closed loop = the sum of the potential difference
\(\sum \varepsilon = \sum V\)
This is a consequence of conservation of energy.

ε1 + ε2 = V1 + V2
Potential divider: Any circuit that splits the terminal potential difference of the battery using two or more resistors.
Common potential divider circuits contain:
- A variable resistor - for continuous control (e.g. volume knob on speakers)
- A thermistor - for automatic temperature control (e.g. thermostat)
- A light-dependent resistor (LDR) - for automatic lighting control (e.g. street lighting)

How much of Electric circuits have you understood?