| Date | May 2010 | Marks available | 2 | Reference code | 10M.3.sl.TZ1.D2 |
| Level | SL | Paper | 3 | Time zone | TZ1 |
| Command term | Explain | Question number | D2 | Adapted from | N/A |
Question
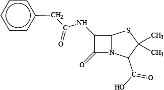
The first penicillin to be used was benzylpenicillin (Penicillin G), its structure is shown below.

Explain how penicillins are able to act as antibacterials.
Modern penicillins have a similar structure to Penicillin G but a different side-chain.
State two advantages of modifying the side-chain.
Markscheme
penicillins interfere with the enzymes that bacteria need to make cell walls / interfere with formation of bacterial cell wall / OWTTE;
the increased osmotic pressure causes the bacterium to die / the bacterial cells absorb too much water and burst / OWTTE;
resistant to penicillinase enzyme / more resistant to bacteria breaking it down / effective against bacteria which are resistant (to penicillin G);
resistance to breakdown by stomach acid (so can be taken orally) / OWTTE;
Examiners report
In part (a) there were some very good, very detailed explanations of how penicillins act as antibacterials, and some very vague statements.
Many candidates scored only half marks for part (b) by correctly referring to resistance, although they correctly discussed the use of a cocktail of antibiotics to treat tuberculosis in part (c).
