| Date | November 2009 | Marks available | 2 | Reference code | 09N.3.sl.TZ0.D1 |
| Level | SL | Paper | 3 | Time zone | TZ0 |
| Command term | Describe | Question number | D1 | Adapted from | N/A |
Question
Alexander Fleming, Howard Florey and Ernst Chain shared the Nobel Prize for “the discovery of penicillin and its curative effect in various infectious diseases”.
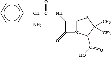
Ampicillin is a semi-synthetic penicillin used to treat lung infections. The structure of the antibiotic is shown below.

Describe the mode of action of penicillins in treating infectious diseases.
Identify two functional groups present in the side chain (R) of ampicillin by comparing its structure to that of penicillin in Table 20 in the Data Booklet.
Explain why it is important to continue to develop semi-synthetic penicillins.
Markscheme
interfere with cell wall formation (in bacteria) / prevent formation of crosslinks within cell wall;
Accept “destroys cell wall”.
size/shape of cell cannot be maintained / water enters the cell / osmosis occurs / cell bursts/disintegrates;
benzene/aromatic ring/ C6H5 /phenyl;
Accept the circle-in-hexagon or Kekule symbols
Do not allow benzene or arene.
amine/ NH2 / amino;
Do not award mark if reference to secondary/tertiary given.
to overcome the resistance that bacteria develop to existing antibiotics / increases resistance to penicillinase enzyme / OWTTE;
Do not accept “over prescription”.
prevents penicillinase enzyme from destroying penicillin / molecules have different shape/stability/solubility/side-chain / OWTTE;
Examiners report
The mode of action of penicillin in treating infectious diseases was generally well understood although some candidates referred to viruses instead of bacteria in their answers.
The two functional groups were usually correctly identified in (b) although some candidates lost marks due to imprecise answers: benzene instead of benzene ring, amide instead of amine.
Similarly explanations in (b) (ii) were often vague and failed to score the marks.
