| Date | May 2010 | Marks available | 3 | Reference code | 10M.3.hl.TZ1.D2 |
| Level | HL | Paper | 3 | Time zone | TZ1 |
| Command term | Determine and Explain | Question number | D2 | Adapted from | N/A |
Question
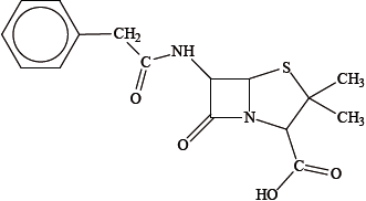
The first penicillin to be used was benzylpenicillin (Penicillin G), its structure is shown below.

The active part of penicillins is the beta-lactam ring. Determine the functional group present in the beta-lactam ring and explain why the ring is important in the functioning of penicillin as an antibacterial.
Markscheme
amide group / –CONH– / peptide;
ring is strained / OWTTE;
ring breaks easily so (the two fragments similar to cysteine and valine) then bond(s) covalently to the enzyme that synthesizes the bacterium cell wall (so blocking its action);
Examiners report
Surprisingly few candidates identified the amide in (c). The idea of the strained ring was well known, but very few stated that the opened molecule binds to the enzyme that synthesizes the cell wall, some stated that it binds to the cell wall itself.
