| Date | May 2009 | Marks available | 2 | Reference code | 09M.3.sl.TZ2.D4 |
| Level | SL | Paper | 3 | Time zone | TZ2 |
| Command term | Describe and Explain | Question number | D4 | Adapted from | N/A |
Question
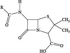
Antibacterials are drugs that kill or inhibit the growth of microorganisms that cause infectious diseases. The general structure of penicillin, an antibacterial, is given below.

With reference to the structure above, state what the letter R represents and discuss how penicillins can be made more resistant to the penicillinase enzyme.
Describe and explain one effect of overprescription of antibacterials.
Markscheme
side chain/alkyl group;
Accept hydrocarbon chain.
modify side chain / use different R groups;
Ignore reference to functional groups.
may wipe-out helpful/useful/beneficial bacteria (in the alimentary canal);
destroyed bacteria may be replaced by more harmful bacteria;
leads to resistance / makes penicillin less effective;
resistant bacteria grow / pass on their immunity/mutation/trait to succeeding generations / OWTTE;
Examiners report
Most candidates knew that R is a side chain, although some identified it as a functional group.
Some candidates got confused with over-prescription of antibiotics and answered that the body becomes resistant or dependent.
