Number & Algebra Exam Questions
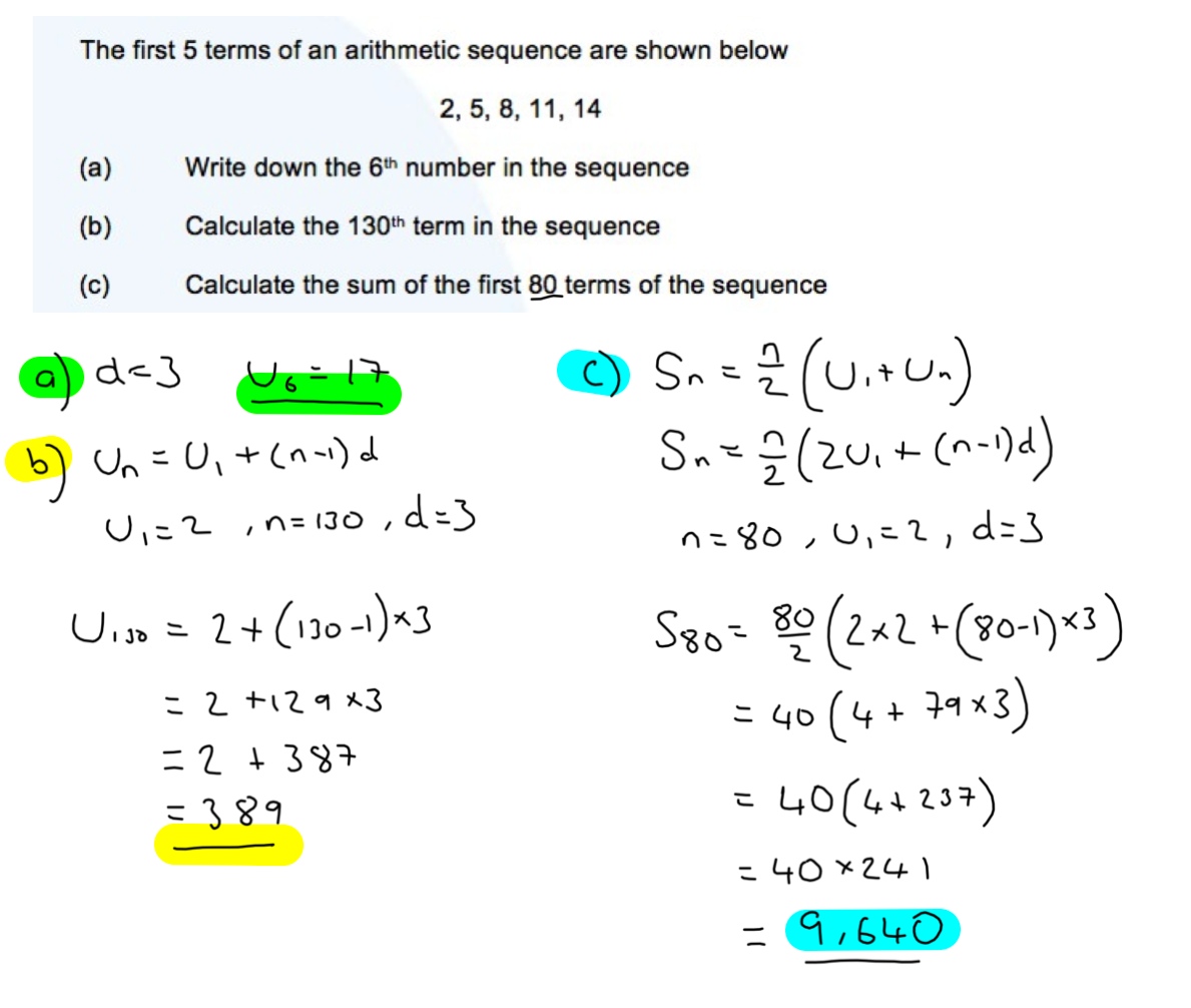
The following are exam style questions for the sub-topics in the number and algebra unit. There are questions with video solutions here for here for Standard Index Form, Arithmetic Sequences and Geometric Sequences, Exponents and Logarithms.
The following questions are based on IB exam style questions from past exams. You should print these off (from the document at the top) and try to do these questions under exam conditions. Then you can check your work with the video solution.
How much of Number & Algebra Exam Questions have you understood?
.png)








