Welcome to the IB-preparation page for the Applications and Interpretations course. This page will help you to consolidate concepts you may have covered previously to ensure you have a solid base to begin the course on a strong footing. If you would like to dig deeper into more of the content in A&I, please do feel free to explore the pages across the rest of the site. Good luck with the start of your IB Diploma journey in mathematics!
The knowledge and skills you will consolidate in preparation for the course are:
- Pythagoras' Theorem: Distance between two points
- Rounding and Significant Figures
- Forming and Solving Linear Equations: Real Life Contexts
- Rearranging Linear Equations
- Straight Line Graphs
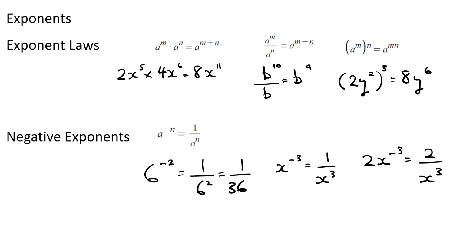
- Exponents (Indices)
- Area and Volume Fundamentals
- Get to know your Graphic Display Calculator
For further consolidation of concepts you may have already covered, see the following pages on the site:
- Page 1.1: Standard Index Form (Scientific Notation)
- Page 1.4 & 1.7: Compound Interest
- Page 1.5: Laws of Exponents
- Page 1.6: Significant Figures, Lower and Upper Bounds and Percentage Error.
- Page 2.1 & 2.2: Introducing Functions
- Page 2.5: Linear Models
- Page 2.5: Quadratic Models
- Page 3.1: Volume and Surface Area
- Page 3.2: Right angled Trigonometry
- Page 3.3: Non-right angled Trigonometry
- Page 3.3: Applications of Trigonometry
- Page 4.2: Cumulative Frequency and Box Plots
- Page 4.3: Central Tendency and Dispersion
Self Checking Quiz
Practice your understanding on these quiz questions. Check your answers when you are done and read the worked solutions when you get stuck. If you find there are still some gaps in your understanding then go back to the videos above.

Pre IB Weekly Quiz 2
This page contains your second weekly quiz! Each week of July and August a new quiz will be published, so that you can make sure you are ready to start the Maths AI course in September with confidence. Good luck and let us know how you got...

Pre-IB Weekly Quiz 1
This page contains your first weekly quiz! Each week of July and August a new quiz will be published, so that you can make sure you are ready to start the Maths AI course in September with confidence.

Pre-IB Weekly Quiz 3
This page contains your third weekly quiz! Each week of July and August a new quiz will be published, so that you can make sure you are ready to start the Maths AI course in September with confidence. Good luck and let us know how you got...

Pre-IB Weekly Quiz 4
This page contains your fourth weekly quiz! Each week of July and August a new quiz will be published, so that you can make sure you are ready to start the Maths AI course in September with confidence.






