| Date | May 2013 | Marks available | 2 | Reference code | 13M.3.sl.TZ1.B2 |
| Level | SL | Paper | 3 | Time zone | TZ1 |
| Command term | Describe | Question number | B2 | Adapted from | N/A |
Question
Monosaccharides and disaccharides are classes of carbohydrates.
Describe the structural features of monosaccharides.
Draw the structures of \(\alpha \)-glucose and \(\beta \)-glucose.
\[\alpha {\text{ - glucose}}\quad \quad \quad \quad \quad \quad \quad \quad \quad \quad \quad \quad \quad \quad \quad \beta {\text{ - glucose}}\]
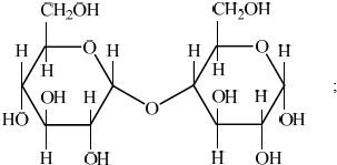
Two \(\alpha \)-glucose molecules condense to form the disaccharide maltose. Draw the structure of maltose.
Markscheme
contain carbonyl (group)/C=O;
have at least two hydroxyl/OH (groups);
Do not accept hydroxide instead of hydroxyl.
\({\text{C}}{{\text{H}}_{\text{2}}}{\text{O}}\) empirical formula;
Do not accept CxH2yOy or C6H12O6.

Award [1 max] if position of OH is correct in both structures at C1 but other groups/moieties (eg, CH2OH) or H are missing.
Award [1 max] if the alpha and beta structures are labelled in reverse.

Examiners report
Only some of the candidates described a monosaccharide correctly in part (a) although its features are given in the programme guide. Drawing alpha and beta glucose was also a discriminating question.
About a third of candidates were able to score full marks on part (b)(i).
Similarly, drawing maltose in part (d)(ii) was a challenge for the majority of candidates. Many had missing hydrogen atoms or an incorrect orientation of bonds around the linkage.
