| Date | May 2014 | Marks available | 1 | Reference code | 14M.3.sl.TZ2.4 |
| Level | SL | Paper | 3 | Time zone | TZ2 |
| Command term | State | Question number | 4 | Adapted from | N/A |
Question
Foods such as pasta are rich in carbohydrates.
Monosaccharides are a type of carbohydrate.
State why a professional cyclist would eat pasta before a race.
(i) Fructose, a monosaccharide, is found in honey. Draw the straight-chain structure of fructose.
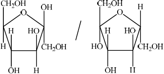
(ii) Draw the five-membered ring structure of \(\beta \)-fructose.
Markscheme
(source of) energy;
(i)
;
Accept any six-carbon linear structure in which the second carbon is a carbonyl and there is one OH on all other carbons.
(ii)
;
Correct orientation of groups is required.
Allow Haworth projection, ie,
Examiners report
Almost all candidates related pasta to energy.
(i) Only a few candidates were able to draw the straight-chain structure of fructose.
(ii) About a quarter of the candidates were able to draw the five-membered ring structure of \(\beta \)-fructose. Many candidates had the orientation that suggested they drew the structure by referring to the structure of sucrose in the Data Booklet. A common mistake was missing the –OH at the position of the glycosidic link in sucrose.
