| Date | May 2019 | Marks available | 2 | Reference code | 19M.2.hl.TZ1.2 |
| Level | HL | Paper | 2 | Time zone | TZ1 |
| Command term | Formulate | Question number | 2 | Adapted from | N/A |
Question
Benzoic acid, C6H5COOH, is another derivative of benzene.
Identify the wavenumber of one peak in the IR spectrum of benzoic acid, using section 26 of the data booklet.
Identify the spectroscopic technique that is used to measure the bond lengths in solid benzoic acid.
Outline one piece of physical evidence for the structure of the benzene ring.
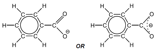
Draw the structure of the conjugate base of benzoic acid showing all the atoms and all the bonds.
Outline why both C to O bonds in the conjugate base are the same length and suggest a value for them. Use section 10 of the data booklet.
The pH of an aqueous solution of benzoic acid at 298 K is 2.95. Determine the concentration of hydroxide ions in the solution, using section 2 of the data booklet.
Formulate the equation for the complete combustion of benzoic acid in oxygen using only integer coefficients.
The combustion reaction in (f)(ii) can also be classed as redox. Identify the atom that is oxidized and the atom that is reduced.
Suggest how benzoic acid, Mr = 122.13, forms an apparent dimer, Mr = 244.26, when dissolved in a non-polar solvent such as hexane.
State the reagent used to convert benzoic acid to phenylmethanol (benzyl alcohol), C6H5CH2OH.
Markscheme
Any wavenumber in the following ranges:
2500−3000 «cm−1» [✔]
1700−1750 «cm−1» [✔]
2850−3090 «cm−1» [✔]
X-ray «crystallography/spectroscopy» [✔]
Any one of:
«regular» hexagon
OR
all «H–C–C/C-C-C» angles equal/120º [✔]
all C–C bond lengths equal/intermediate between double and single
OR
bond order 1.5 [✔]
[✔]
Note: Accept Kekulé structures.
Negative sign must be shown in correct position.
electrons delocalized «across the O–C–O system»
OR
resonance occurs [✔]
122 «pm» < C–O < 143 «pm» [✔]
Note: Accept “delocalized π-bond”.
Accept “bond intermediate between single and double bond” or “bond order 1.5” for M1.
Accept any answer in range 123 to 142 pm.
ALTERNATIVE 1:
[H+] «= 10−2.95» = 1.122 × 10−3 «mol dm−3» [✔]
«[OH−] = =» 8.91 × 10−12 «mol dm−3» [✔]
ALTERNATIVE 2:
pOH = «14 − 2.95 =» 11.05 [✔]
«[OH−] = 10−11.05 =» 8.91 × 10−12 «mol dm−3» [✔]
Note: Award [2] for correct final answer.
Accept other methods.
2C6H5COOH (s) + 15O2 (g) → 14CO2 (g) + 6H2O (l)
correct products [✔]
correct balancing [✔]
Oxidized:
C/carbon «in C6H5COOH»
AND
Reduced:
O/oxygen «in O2» [✔]
«intermolecular» hydrogen bonding [✔]
Note: Accept diagram showing hydrogen bonding.
lithium aluminium hydride/LiAlH4 [✔]
Examiners report
Most candidates could identify a wavenumber or range of wavenumbers in the IR spectrum of benzoic acid.
Less than half the candidates identified x-ray crystallography as a technique used to measure bond lengths. There were many stating IR spectroscopy and quite a few random guesses.
Again less than half the candidates could accurately give a physical piece of evidence for the structure of benzene. Many missed the mark by not being specific, stating ‘all bonds in benzene with same length’ rather than ‘all C-C bonds in benzene have the same length’.
Very poorly answered with only 1 in 5 getting this question correct. Many did not show all the bonds and all the atoms or either forgot or misplaced the negative sign on the conjugate base.
This question was a challenge. Candidates were not able to explain the intermediate bond length and the majority suggested the value of either the bond length of C to O single bond or double bond.
Generally well done with a few calculating the pOH rather than the concentration of hydroxide ion asked for.
Most earned at least one mark by correctly stating the products of the reaction.
Another question where not reading correctly was a concern. Instead of identifying the atom that is oxidized and the atom that is reduced, answers included formulas of molecules or the atoms were reversed for the redox processes.
The other question where only 10 % of the candidates earned a mark. Few identified hydrogen bonding as the reason for carboxylic acids forming dimers. There were many G2 forms stating that the use of the word “dimer” is not in the syllabus, however the candidates were given that a dimer has double the molar mass and the majority seemed to understand that the two molecules joined together somehow but could not identify hydrogen bonding as the cause.
Very few candidates answered this part correctly and scored the mark. Common answers were H2SO4, HCl & Sn, H2O2. In general, strongest candidates gained the mark.
