| Date | May 2019 | Marks available | 1 | Reference code | 19M.2.hl.TZ1.1 |
| Level | HL | Paper | 2 | Time zone | TZ1 |
| Command term | Write | Question number | 1 | Adapted from | N/A |
Question
Xylene is a derivative of benzene. One isomer is 1,4-dimethylbenzene.
Xylene, like benzene, can be nitrated.
Bromine reacts with alkanes.
State the number of 1H NMR signals for this isomer of xylene and the ratio in which they appear.
Draw the structure of one other isomer of xylene which retains the benzene ring.
Write the equation for the production of the active nitrating agent from concentrated sulfuric and nitric acids.
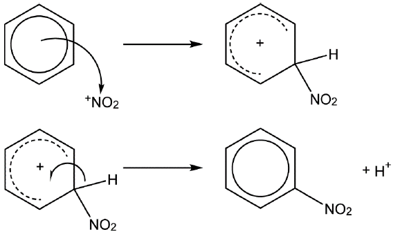
Explain the mechanism for the nitration of benzene, using curly arrows to indicate the movement of electron pairs.
Identify the initiation step of the reaction and its conditions.
1,4-dimethylbenzene reacts as a substituted alkane. Draw the structures of the two products of the overall reaction when one molecule of bromine reacts with one molecule of 1,4-dimethylbenzene.
The organic product is not optically active. Discuss whether or not the organic product is a racemic mixture.
Markscheme
Number of signals: 2 [✔]
Ratio:
3 : 2
OR
6 : 4 [✔]
Note: Accept any correct integer or fractional ratio. Accept ratios in reverse order.
[✔]
2H2SO4 + HNO3 ⇌ NO2+ + 2HSO4− + H3O+ [✔]
Note: Accept a single arrow instead of an equilibrium sign.
Accept “H2SO4 + HNO3 ⇌ NO2+ + HSO4− + H2O”.
Accept “H2SO4 + HNO3 ⇌ H2NO3+ + HSO4−”.
Accept equivalent two step reactions in which sulfuric acid first behaves as a strong acid and protonates the nitric acid, before behaving as a dehydrating agent removing water from it.
curly arrow going from benzene ring to N «of +NO2/NO2+» [✔]
carbocation with correct formula and positive charge on ring [✔]
curly arrow going from C–H bond to benzene ring of cation [✔]
formation of organic product nitrobenzene AND H+ [✔]
Note: Accept mechanism with corresponding Kekulé structures.
Do not accept a circle in M2 or M3.
Accept first arrow starting either inside the circle or on the circle.
If Kekulé structure used, first arrow must start on the double bond.
M2 may be awarded from correct diagram for M3.
M4: Accept “C6H5NO2 + H2SO4” if HSO4− used in M3.
Br2 2Br• [✔]
«sun»light/UV/hv
OR
high temperature [✔]
Note: Do not penalize missing radical symbol on Br.
Accept “homolytic fission of bromine” for M1.
[✔]
HBr [✔]
Note: Accept condensed formulae, such as CH3C6H4CH2Br.
no AND there is no chiral carbon
OR
no AND there is no carbon with four different substituents/groups [✔]
Note: Accept “no AND no asymmetric carbon
atom”.
Examiners report
Many identified two correct peaks but quite a few less the correct ratio.
Generally well done, although some candidates repeated the formula of the 1,4-isomer structure or drew the wrong bond, e.g. benzene ring to H rather than C on CH3.
The production of NO3− was a common answer.
Performance was fairly good by schools covering the topic while others had no idea. There were many careless steps, such as omission or misplacement of + sign.
Very well done, with a few making reference to a catalyst.
Some candidates lost one mark for the bond originated from H in CH3 instead of C. Some teachers thought the use of the word “substituted alkane” made the question more difficult than it should have been.
One of the most poorly answered questions on the exam with only 10 % of candidates earning this mark. Some candidates just answered ‘yes’ or ‘no’ on whether the organic product is a racemic mix and very few mentioned the absence of a chiral carbon. One teacher though the use of benzene in this question made it unnecessarily tough, stating “the optical activity of benzene has not been covered due to the limited chemistry of benzene included in the specification. An aliphatic compound here would test the understanding of enantiomers without the confusion of adding benzene”. Candidates should recognize that carbon in benzene cannot be the centre of optical activity and look for chiral carbons in the substitution chains.
