| Date | May 2017 | Marks available | 1 | Reference code | 17M.2.sl.TZ2.5 |
| Level | SL | Paper | 2 | Time zone | TZ2 |
| Command term | Calculate | Question number | 5 | Adapted from | N/A |
Question
Magnesium reacts with sulfuric acid:
Mg(s) + H2SO4(aq) → MgSO4(aq) + H2(g)
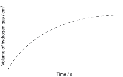
The graph shows the results of an experiment using excess magnesium ribbon and dilute sulfuric acid.

Outline why the rate of the reaction decreases with time.
Sketch, on the same graph, the expected results if the experiment were repeated using powdered magnesium, keeping its mass and all other variables unchanged.
Nitrogen dioxide and carbon monoxide react according to the following equation:
NO2(g) + CO(g) NO(g) + CO2(g) ΔH = –226 kJ
Calculate the activation energy for the reverse reaction.
State the equation for the reaction of NO2 in the atmosphere to produce acid deposition.
Markscheme
concentration of acid decreases
OR
surface area of magnesium decreases
Accept “less frequency/chance/rate/probability/likelihood of collisions”.
Do not accept just “less acid” or “less magnesium”.
Do not accept “concentrations of reagents decrease”.
[1 mark]
curve starting from origin with steeper gradient AND reaching same maximum volume
[1 mark]
«Ea(rev) = 226 + 132 =» 358 «kJ»
Do not accept –358.
[1 mark]
2NO2(g) + H2O(l) → HNO3(aq) + HNO2(aq)
OR
2NO2(g) + 2H2O(l) + O2(g) → 4HNO3(aq)
Accept ionised forms of the acids.
[1 mark]
Examiners report
Syllabus sections
- 17N.2.hl.TZ0.1e: Suggest why the enthalpy change of neutralization of CH3COOH is less negative than that of HCl.
-
22M.2.sl.TZ1.2d(i):
Determine the enthalpy change, ΔH, for the Haber–Bosch process, in kJ. Use Section 11 of the data booklet.
-
22M.2.sl.TZ1.2d(iii):
Suggest why the values obtained in (d)(i) and (d)(ii) differ.
-
22M.2.hl.TZ1.3b(i):
Determine the enthalpy change, ΔH, for the Haber–Bosch process, in kJ. Use Section 11 of the data booklet.
-
22M.2.hl.TZ1.3b(ii):
Outline why the value obtained in (b)(i) might differ from a value calculated using ΔHf data.
-
22M.2.sl.TZ2.4e(ii):
Draw and label an enthalpy level diagram for this reaction.
-
18M.2.hl.TZ1.3c.iii:
Explain, giving two reasons, the difference in the values for (c)(i) and (ii). If you did not obtain answers, use −475 kJ for (i) and −600 kJ for (ii).
-
19N.2.sl.TZ0.5a(iii):
The diagram shows the Maxwell–Boltzmann distribution and potential energy profile for the reaction without a catalyst.
Annotate both charts to show the activation energy for the catalysed reaction, using the label Ea (cat).
- 17M.1.sl.TZ1.15: In which order does the oxygen–oxygen bond enthalpy increase? A. H2O2 < O2 <...
-
19M.1.sl.TZ1.15:
Which is correct for the reaction?
2Al (s) + 6HCl (aq) → 2AlCl3 (aq) + 3H2 (g) ΔH = −1049 kJ
A. Reactants are less stable than products and the reaction is endothermic.
B. Reactants are more stable than products and the reaction is endothermic.
C. Reactants are more stable than products and the reaction is exothermic.
D. Reactants are less stable than products and the reaction is exothermic.
- 18M.1.sl.TZ2.13: Which describes the reaction shown in the potential energy profile? A. The reaction is...
-
19N.2.hl.TZ0.3c(ii):
Determine the enthalpy of combustion of this compound, in kJ mol−1, using data from section 11 of the data booklet.
- 18M.1.sl.TZ1.15: Which statement is correct? A. In an exothermic reaction, the products have more energy...
-
19N.2.hl.TZ0.6a(iii):
The diagram shows the Maxwell–Boltzmann distribution and potential energy profile for the reaction without a catalyst.
Annotate both charts to show the activation energy for the catalysed reaction, using the label Ea (cat).
-
17N.1.sl.TZ0.15:
What is the enthalpy change, in kJ, of the following reaction?
3H2 (g) + N2 (g) 2NH3 (g)
A. (6 × 391) − [(3 × 436) + 945]
B. (3 × 391) − (436 + 945)
C. −[(3 × 436) + 945] + (3 × 391)
D. −(6 × 391) + [(3 × 436) + 945]
- 16N.1.sl.TZ0.10: The C=N bond has a bond length of 130 pm and an average bond enthalpy of 615kJmol-1. Which...
-
18N.1.sl.TZ0.15:
Consider the following reaction:
N2 (g) + 3H2 (g) 2NH3 (g)
Which calculation gives ΔHΘ, in kJ, for the forward reaction?
A. 2z − y − 3x
B. y + 3x − 2z
C. y + 3x − 6z
D. 6z − y − 3x
- 21N.2.sl.TZ0.4a(iii): Suggest, with a reason, why 1-iodopentane reacts faster than 1-chloropentane under the same...
-
19M.1.hl.TZ2.14:
Methane undergoes incomplete combustion.
2CH4 (g) + 3O2 (g) → 2CO (g) + 4H2O (g)
What is the enthalpy change, in kJ, using the bond enthalpy data given below?
A. [2(1077) + 4(463)] − [2(414) + 3(498)]
B. [2(414) + 3(498)] − [2(1077) + 4(463)]
C. [8(414) + 3(498)] − [2(1077) + 8(463)]
D. [2(1077) + 8(463)] − [8(414) + 3(498)]
-
19N.1.sl.TZ0.16:
Which equation represents the N–H bond enthalpy in NH3?
A. NH3 (g) → N (g) + 3H (g)
B. NH3 (g) → N (g) + H (g)
C. NH3 (g) → N2 (g) + H2 (g)
D. NH3 (g) → •NH2 (g) + •H (g)
-
19M.1.sl.TZ2.14:
Methane undergoes incomplete combustion.
2CH4 (g) + 3O2 (g) → 2CO (g) + 4H2O (g)
What is the enthalpy change, in kJ, using the bond enthalpy data given below?
A. [2(1077) + 4(463)] − [2(414) + 3(498)]
B. [2(414) + 3(498)] − [2(1077) + 4(463)]
C. [8(414) + 3(498)] − [2(1077) + 8(463)]
D. [2(1077) + 8(463)] − [8(414) + 3(498)]
-
19M.2.hl.TZ1.3h:
An allotrope of molecular oxygen is ozone. Compare, giving a reason, the bond enthalpies of the O to O bonds in O2 and O3.
-
19M.2.hl.TZ1.3g(ii):
Outline why bond enthalpy values are not valid in calculations such as that in (g)(i).
- 22M.2.hl.TZ2.8f(ii): Draw and label an enthalpy level diagram for this reaction.
-
19M.2.sl.TZ1.3c(ii):
Outline why bond enthalpy values are not valid in calculations such as that in (c)(i).
-
18M.2.hl.TZ1.3c.i:
Under certain conditions, ethyne can be converted to benzene.
Determine the standard enthalpy change, ΔHΘ, for the reaction stated, using section 11 of the data booklet.
3C2H2(g) → C6H6(g)
- 17M.1.sl.TZ2.15: What can be deduced from the facts that ozone absorbs UV radiation in the region of 340 nm...
-
19M.2.sl.TZ2.1c(iv):
The enthalpy change for the reaction to produce B is −213 kJ. Predict, giving a reason, which product is the most stable.
-
16N.1.sl.TZ0.14:
In which reaction do the reactants have a lower potential energy than the products?
A. CH4(g) + 2O2(g) → CO2(g) + 2H2O(g)
B. HBr(g) → H(g) + Br(g)
C. Na+(g) + Cl-(g) → NaCl(s)
D. NaOH(aq) + HCl(aq) → NaCl(aq) + H2O(l) - 17M.1.sl.TZ2.13: What can be deduced from this reaction profile? A. The reactants are less stable than...
-
19M.2.sl.TZ2.1c(iii):
Determine the enthalpy change for the reaction, in kJ, to produce A using section 11 of the data booklet.
-
20N.1.hl.TZ0.15:
Which statements about bond strength and activation energy are correct for this reaction?
-
16N.2.sl.TZ0.1a:
Ethane-1,2-diol can be formed according to the following reaction.
2CO (g) + 3H2 (g) HOCH2CH2OH (g)
(i) Deduce the equilibrium constant expression, Kc, for this reaction.
(ii) State how increasing the pressure of the reaction mixture at constant temperature will affect the position of equilibrium and the value of Kc.
Position of equilibrium:
Kc:
(iii) Calculate the enthalpy change, ΔHθ, in kJ, for this reaction using section 11 of the data booklet. The bond enthalpy of the carbon–oxygen bond in CO (g) is 1077kJmol-1.
(iv) The enthalpy change, ΔHθ, for the following similar reaction is –233.8 kJ.
2CO(g) + 3H2(g) HOCH2CH2OH (l)
Deduce why this value differs from your answer to (a)(iii).
-
19M.2.sl.TZ2.3a:
Outline why ozone in the stratosphere is important.
-
16N.3.sl.TZ0.6c:
(i) Suggest why incomplete combustion of plastic, such as polyvinyl chloride, is common in industrial and house fires.
(ii) Phthalate plasticizers such as DEHP, shown below, are frequently used in polyvinyl chloride.
With reference to bonding, suggest a reason why many adults have measurable levels of phthalates in their bodies.
- 22M.1.sl.TZ1.15: What is the correct interpretation of the following potential energy profile? A. ...
-
22M.2.sl.TZ2.4e(i):
Calculate the enthalpy change of the reaction, ΔH, using section 11 of the data booklet.
-
16N.2.hl.TZ0.1b:
(i) Calculate ΔHθ, in kJ, for this similar reaction below using data from section 12 of the data booklet. of HOCH2CH2OH(l) is –454.8kJmol-1.
2CO (g) + 3H2 (g) HOCH2CH2OH (l)
(ii) Deduce why the answers to (a)(iii) and (b)(i) differ.
(iii) ΔSθ for the reaction in (b)(i) is –620.1JK-1. Comment on the decrease in entropy.
(iv) Calculate the value of ΔGθ, in kJ, for this reaction at 298 K using your answer to (b)(i). (If you did not obtain an answer to (b)(i), use –244.0 kJ, but this is not the correct value.)
(v) Comment on the statement that the reaction becomes less spontaneous as temperature is increased.
- 21M.1.sl.TZ1.13: When sodium carbonate powder is added to ethanoic acid, the beaker becomes cooler. Possible...
-
21M.2.hl.TZ2.1b(iv):
Sketch an energy profile for the decomposition of calcium carbonate based on your answer to b(i), labelling the axes and activation energy, Ea.
-
18M.2.sl.TZ1.3b.iii:
Explain, giving two reasons, the difference in the values for (b)(i) and (ii). If you did not obtain answers, use −475 kJ for (i) and −600 kJ for (ii).
-
21M.2.hl.TZ1.4d(i):
Determine the enthalpy change, ΔH, in kJ. Use section 11 of the data booklet.
Bond enthalpy of CO = 1077 kJ mol−1.
-
21M.2.hl.TZ1.4d(ii):
State one reason why you would expect the value of ΔH calculated from the values, given in section 12 of data booklet, to differ from your answer to (d)(i).
- 21M.2.hl.TZ1.7a(ii): Discuss the relative length of the two O−O bonds in ozone.
- 21M.2.sl.TZ2.1c(i): The potential energy profile for a reaction is shown. Sketch a dotted line labelled...
- 21M.1.sl.TZ2.13: Which describes an exothermic reaction?
- 21M.1.sl.TZ2.15: Which is the enthalpy change of reaction, ΔH?
- 21M.1.hl.TZ2.15: The potential energy profile of a reaction is shown. What can be determined about...
- 21M.2.hl.TZ1.7b: Explain why there are frequencies of UV light that will dissociate O3 but not O2.
-
18M.2.sl.TZ1.3b.i:
Under certain conditions, ethyne can be converted to benzene.
Determine the standard enthalpy change, ΔHϴ, for the reaction stated, using section 11 of the data booklet.
3C2H2(g) → C6H6(g)
-
20N.1.hl.TZ0.13:
Which statement is correct?
A. bond dissociation occurs at a longer wavelength of light than bond dissociation.
B. bond dissociation occurs at a higher energy than bond dissociation.
C. bond lengths are shorter than bond lengths.
D. bond dissociation occurs at a higher frequency of light than bond dissociation.
-
21M.2.sl.TZ1.4d(i):
Determine the enthalpy change, ΔH, in kJ. Use section 11 of the data booklet.
Bond enthalpy of CO = 1077 kJ mol−1.
-
18M.2.sl.TZ2.4a:
Hydrogen gas can be formed industrially by the reaction of natural gas with steam.
CH4(g) + H2O(g) → 3H2(g) + CO(g)
Determine the enthalpy change, ΔH, for the reaction, in kJ, using section 11 of the data booklet.
Bond enthalpy for C≡O: 1077 kJ mol−1
-
18M.2.sl.TZ2.4b.iii:
Outline why the value of enthalpy of reaction calculated from bond enthalpies is less accurate.
-
20N.2.hl.TZ0.3b:
Calculate the standard enthalpy change, , for this reaction using section 12 of the data booklet.
-
20N.1.sl.TZ0.15:
What is the bond enthalpy, in , in the molecule?
A.
B.
C.
D.
-
18M.2.hl.TZ2.5a:
Hydrogen gas can be formed industrially by the reaction of natural gas with steam.
CH4(g) + H2O(g) → 3H2(g) + CO(g)
Determine the enthalpy change, ΔH, for the reaction, in kJ, using section 11 of the data booklet.
Bond enthalpy for C≡O: 1077 kJ mol−1
-
21M.2.sl.TZ2.4b:
Determine the change in enthalpy, ΔH, for the combustion of but-2-ene, using section 11 of the data booklet.
CH3CH=CHCH3 (g) + 6O2 (g) → 4CO2 (g) + 4H2O (g)
-
19M.2.hl.TZ2.1c(iv):
The IR spectrum and low resolution 1H NMR spectrum of the actual product formed are shown.
Deduce whether the product is A or B, using evidence from these spectra together with sections 26 and 27 of the data booklet.
Identity of product:
One piece of evidence from IR:
One piece of evidence from 1H NMR:
-
21M.2.hl.TZ2.4b:
Determine the change in enthalpy, ΔH, for the combustion of but-2-ene, using section 11 of the data booklet.
CH3CH=CHCH3 (g) + 6O2 (g) → 4CO2 (g) + 4H2O (g)
-
19N.2.sl.TZ0.3c(ii):
Determine the enthalpy of combustion of the organic product in (b), in kJ mol−1, using data from section 11 of the data booklet.
-
20N.2.sl.TZ0.3a:
Determine the standard enthalpy change, , for this reaction, using section 11 of the data booklet.
-
22M.2.hl.TZ2.8f(i):
Calculate the enthalpy change of the reaction, ΔH, using section 11 of the data booklet.
-
20N.2.sl.TZ0.3b:
Calculate the standard enthalpy change, , for this reaction using section 12 of the data booklet.
-
20N.2.hl.TZ0.3a:
Determine the standard enthalpy change, , for this reaction, using section 11 of the data booklet.
-
19M.2.hl.TZ2.3a(i):
Outline why ozone in the stratosphere is important.
-
22M.1.hl.TZ2.16:
Which equation represents the bond enthalpy for H–Br in hydrogen bromide?
A. HBr (g) → H+ (g) + Br− (g)
B. HBr (g) → H (g) + Br (g)
C. HBr (g) → H2 (g) + Br2 (l)
D. HBr (g) → H2 (g) + Br2 (g)
-
21M.2.hl.TZ1.7c:
Explain, using equations, how the presence of results in a chain reaction that decreases the concentration of ozone in the stratosphere.
- 21N.1.sl.TZ0.16: Which statement describes an endothermic reaction? A. The bonds broken are stronger than...
-
21N.1.sl.TZ0.14:
Which combustion reaction releases the least energy per mole of C3H8?
Approximate bond enthalpy / kJ mol−1
O=O 500
C=O 800
C≡O 1000
A. C3H8 (g) + 5O2 (g) → 3CO2 (g) + 4H2O (g)B. C3H8 (g) + O2 (g) → 2CO2 (g) + CO (g) + 4H2O (g)
C. C3H8 (g) + 4O2 (g) → CO2 (g) + 2CO (g) + 4H2O (g)
D. C3H8 (g) + O2 (g) → 3CO (g) + 4H2O (g)
Chemistry: Atoms First 2e, https://openstax.org/books/chemistry-atoms-first-2e/pages/9-4-strengths-of-ionic-andcovalent-bonds © 1999–2021, Rice University. Except where otherwise noted, textbooks on this site are licensed under a Creative Commons Attribution 4.0 International License.
(CC BY 4.0) https://creativecommons.org/licenses/ by/4.0/.
