HL Paper 2
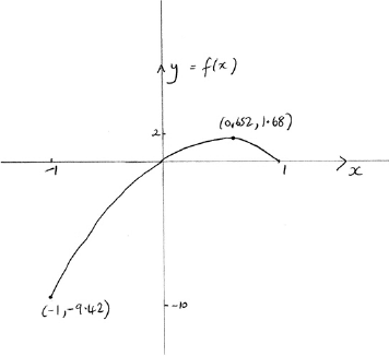
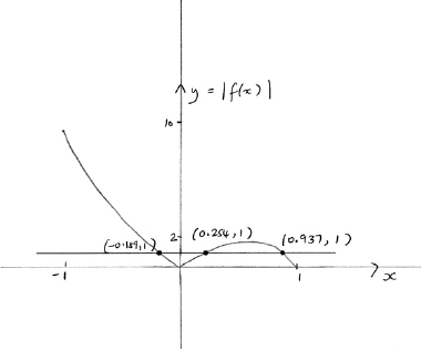
A function is defined by .
A function is defined by .
Show that is an even function.
By considering limits, show that the graph of has a horizontal asymptote and state its equation.
Show that for .
By using the expression for and the result , show that is decreasing for .
Find an expression for , justifying your answer.
State the domain of .
Sketch the graph of , clearly indicating any asymptotes with their equations and stating the values of any axes intercepts.
Markscheme
EITHER
R1
OR
a sketch graph of with line symmetry in the -axis indicated R1
THEN
so is an even function. AG
[1 mark]
as A1
so the horizontal asymptote is A1
[2 marks]
attempting to use the quotient rule to find M1
A1
attempting to use the chain rule to find M1
let and so and
M1
A1
A1
AG
[6 marks]
EITHER
for (A1)
so A1
OR
and A1
A1
THEN
R1
Note: Award R1 for stating that in , the numerator is negative, and the denominator is positive.
so is decreasing for AG
Note: Do not accept a graphical solution
[3 marks]
M1
A1
A1
domain of is and so the range of must be
hence the positive root is taken (or the negative root is rejected) R1
Note: The R1 is dependent on the above A1.
so A1
Note: The final A1 is not dependent on R1 mark.
[5 marks]
domain is A1
Note: Accept correct alternative notations, for example, or .
Accept if correct to s.f.
[1 mark]
A1A1A1
Note: A1 for correct domain and correct range and -intercept at
A1 for asymptotic behaviour
A1 for
Coordinates are not required.
Do not accept or other inexact values.
[3 marks]
Examiners report
Show that .
Verify that and satisfy the equation .
Hence, or otherwise, show that the exact value of .
Using the results from parts (b) and (c) find the exact value of .
Give your answer in the form where , .
Markscheme
stating the relationship between and and stating the identity for M1
and
⇒ AG
[1 mark]
METHOD 1
attempting to substitute for and using the result from (a) M1
LHS = A1
(= RHS) A1
so satisfies the equation AG
attempting to substitute for and using the result from (a) M1
LHS = A1
A1
(= RHS) A1
so satisfies the equation AG
METHOD 2
let and
attempting to find the sum of roots M1
A1
(from part (a)) A1
attempting to find the product of roots M1
A1
= −1 A1
the coefficient of and the constant term in the quadratic are and −1 respectively R1
hence the two roots are and AG
[7 marks]
METHOD 1
and are roots of R1
Note: Award R1 if only is stated as a root of .
A1
attempting to solve their quadratic equation M1
A1
() R1
so AG
METHOD 2
attempting to substitute into the identity for M1
A1
attempting to solve their quadratic equation M1
A1
R1
so AG
[5 marks]
is the sum of the roots of R1
A1
A1
attempting to rationalise their denominator (M1)
A1A1
[6 marks]
Examiners report
A continuous random variable has a probability density function given by
The median of this distribution is .
Determine the value of .
Given that , determine the value of .
Markscheme
recognises that (M1)
A1
[2 marks]
METHOD 1
attempts to find at least one endpoint (limit) both in terms of (or their ) and (M1)
(A1)
Note: Award (A1) for .
attempts to solve their equation for (M1)
Note: The above (M1) is dependent on the first (M1).
A1
METHOD 2
(M1)(A1)
Note: Only award (M1) if at least one limit has been translated correctly.
Note: Award (M1)(A1) for .
attempts to solve their equation for (M1)
A1
METHOD 3
EITHER
(M1)(A1)
Note: Only award (M1) if at least one limit has been translated correctly.
Note: Award (M1)(A1) for .
OR
(M1)(A1)
Note: Only award (M1) if at least one limit has been translated correctly.
Note: Award (M1)(A1) for .
THEN
attempts to solve their equation for (M1)
Note: The above (M1) is dependent on the first (M1).
A1
[4 marks]
Examiners report
The height of water, in metres, in Dungeness harbour is modelled by the function , where is the number of hours after midnight, and and are constants, where and .
The following graph shows the height of the water for hours, starting at midnight.
The first high tide occurs at and the next high tide occurs hours later. Throughout the day, the height of the water fluctuates between and .
All heights are given correct to one decimal place.
Show that .
Find the value of .
Find the value of .
Find the smallest possible value of .
Find the height of the water at .
Determine the number of hours, over a 24-hour period, for which the tide is higher than metres.
A fisherman notes that the water height at nearby Folkestone harbour follows the same sinusoidal pattern as that of Dungeness harbour, with the exception that high tides (and low tides) occur minutes earlier than at Dungeness.
Find a suitable equation that may be used to model the tidal height of water at Folkestone harbour.
Markscheme
OR A1
AG
[1 mark]
OR (M1)
A1
[2 marks]
OR (M1)
A1
[2 marks]
METHOD 1
substituting and for example into their equation for (A1)
attempt to solve their equation (M1)
A1
METHOD 2
using horizontal translation of (M1)
(A1)
A1
METHOD 3
(A1)
attempts to solve their for (M1)
A1
[3 marks]
attempt to find when or , graphically or algebraically (M1)
A1
[2 marks]
attempt to solve (M1)
times are and (A1)
total time is
(hours) A1
Note: Accept .
[3 marks]
METHOD 1
substitutes and into their equation for and attempts to solve for (M1)
A1
METHOD 2
uses their horizontal translation (M1)
A1
[2 marks]
Examiners report
The voltage in a circuit is given by the equation
, where is measured in seconds.
The current in this circuit is given by the equation
.
The power in this circuit is given by .
The average power in this circuit from to is given by the equation
, where .
Write down the maximum and minimum value of .
Write down two transformations that will transform the graph of onto the graph of .
Sketch the graph of for 0 ≤ ≤ 0.02 , showing clearly the coordinates of the first maximum and the first minimum.
Find the total time in the interval 0 ≤ ≤ 0.02 for which ≥ 3.
Find (0.007).
With reference to your graph of explain why > 0 for all > 0.
Given that can be written as where , , , > 0, use your graph to find the values of , , and .
Markscheme
* This question is from an exam for a previous syllabus, and may contain minor differences in marking or structure.
3, −3 A1A1
[2 marks]
stretch parallel to the -axis (with -axis invariant), scale factor A1
translation of (shift to the left by 0.003) A1
Note: Can be done in either order.
[2 marks]
correct shape over correct domain with correct endpoints A1
first maximum at (0.0035, 4.76) A1
first minimum at (0.0085, −1.24) A1
[3 marks]
≥ 3 between = 0.0016762 and 0.0053238 and = 0.011676 and 0.015324 (M1)(A1)
Note: Award M1A1 for either interval.
= 0.00730 A1
[3 marks]
(M1)
= 2.87 A1
[2 marks]
in each cycle the area under the axis is smaller than area above the axis R1
the curve begins with the positive part of the cycle R1
[2 marks]
(M1)
A1
A1
A1
(M1)
A1
[6 marks]
Examiners report
Consider the rectangle OABC such that AB = OC = 10 and BC = OA = 1 , with the points P , Q and R placed on the line OC such that OP = , OQ = and OR = , such that 0 < < < < 10.
Let be the angle APO, be the angle AQO and be the angle ARO.
Consider the case when and QR = 1.
Find an expression for in terms of .
Show that .
By sketching the graph of as a function of , determine the range of values of for which there are possible values of .
Markscheme
* This question is from an exam for a previous syllabus, and may contain minor differences in marking or structure.
METHOD 1
use of tan (M1)
(A1)
A1
METHOD 2
AP (A1)
use of sin, cos, sine rule or cosine rule using the correct length of AP (M1)
or A1
[3 marks]
QR = 1 ⇒ (A1)
Note: This may be seen anywhere.
attempt to use compound angle formula for tan M1
(A1)
(M1)
or A1
M1
Note: Award M1 for multiplying top and bottom by .
AG
[6 marks]
increasing function with positive -intercept A1
Note: Accept curves which extend beyond the domain shown above.
(0.618 <) < 9 (A1)
⇒ range is (0 <) < 4.68 (A1)
0 < < 4.68 A1
[4 marks]
Examiners report
The plane has equation and the line has vector equation
.
The plane contains the point and the line .
Given that meets at the point , find the coordinates of .
Find the shortest distance from the point to .
Find the equation of , giving your answer in the form .
Determine the acute angle between and .
Markscheme
* This question is from an exam for a previous syllabus, and may contain minor differences in marking or structure.
(M1)
(A1)
(M1)
so A1
Note: Do not award the final A1 if a vector given instead of coordinates
[4 marks]
METHOD 1
substituting into equation of the plane M1
A1
distance (M1)
A1
METHOD 2
choice of any point on the plane, eg to use in distance formula (M1)
so distance A1A1
Note: Award A1 for numerator, A1 for denominator.
A1
[4 marks]
EITHER
identify two vectors (A1)
eg, and
(M1)
OR
identify three points in the plane (A1)
eg gives and
solving system of equations (M1)
THEN
A1
Note: Accept .
[3 marks]
vector normal to is eg
vector normal to is eg (A1)
required angle is , where M1A1
(A1)
A1
Note: Award the penultimate (A1) but not the final A1 for the obtuse angle or .
[5 marks]
Examiners report
A particle moves in a straight line such that after time seconds, its velocity, in , is given by , where .
At time , has displacement ; at time , .
At successive times when the acceleration of is, the velocities of form a geometric sequence. The acceleration of is zero at times where and the respective velocities are .
Find the times when comes to instantaneous rest.
Find an expression for in terms of .
Find the maximum displacement of , in metres, from its initial position.
Find the total distance travelled by in the first seconds of its motion.
Show that, at these times, .
Hence show that .
Markscheme
* This question is from an exam for a previous syllabus, and may contain minor differences in marking or structure.
A1
A1
[2 marks]
attempt to use integration by parts M1
EITHER
A1
A1
M1
OR
A1
A1
M1
THEN
A1
at M1
A1
[7 marks]
EITHER
substituting into their equation for (M1)
OR
using GDC to find maximum value (M1)
OR
evaluating (M1)
THEN
A1
[2 marks]
METHOD 1
EITHER
distance required (M1)
OR
distance required (M1)
THEN
A1
METHOD 2
using successive minimum and maximum values on the displacement graph (M1)
A1
[2 marks]
valid attempt to find using product rule and set M1
A1
AG
[2 marks]
attempt to evaluate in exact form M1
A1
Note: The A1 is for any two consecutive correct, or showing that or .
showing that
eg M1A1
showing that M1
eg
Note: Award the A1 for any two consecutive terms.
AG
[5 marks]
Examiners report
Find the set of values of that satisfy the inequality .
The triangle ABC is shown in the following diagram. Given that , find the range of possible values for AB.

Markscheme
* This question is from an exam for a previous syllabus, and may contain minor differences in marking or structure.
(M1)
A1
[2 marks]
M1
A1
from result in (a)
or (A1)
but AB must be at least 2
A1
Note: Allow for either of the final two A marks.
[4 marks]
Examiners report
Two airplanes, and , have position vectors with respect to an origin given respectively by
where represents the time in minutes and .
Entries in each column vector give the displacement east of , the displacement north of and the distance above sea level, all measured in kilometres.
The two airplanes’ lines of flight cross at point .
Find the three-figure bearing on which airplane is travelling.
Show that airplane travels at a greater speed than airplane .
Find the acute angle between the two airplanes’ lines of flight. Give your answer in degrees.
Find the coordinates of .
Determine the length of time between the first airplane arriving at and the second airplane arriving at .
Let represent the distance between airplane and airplane for .
Find the minimum value of .
Markscheme
let be the required angle (bearing)
EITHER
(M1)
Note: Award M1 for a labelled sketch.
OR
(M1)
THEN
A1
Note: Do not accept or or .
[2 marks]
METHOD 1
let be the speed of and let be the speed of
attempts to find the speed of one of or (M1)
or
Note: Award M0 for and .
(km min-1) and (km min-1) A1
so travels at a greater speed than AG
METHOD 2
attempts to use
and (M1)
for example:
and
and
and A1
so travels at a greater speed than AG
[2 marks]
attempts to use the angle between two direction vectors formula (M1)
(A1)
or
attempts to find the acute angle using their value of (M1)
A1
[4 marks]
for example, sets and forms at least two equations (M1)
Note: Award M0 for equations involving only.
EITHER
attempts to solve the system of equations for one of or (M1)
or A1
OR
attempts to solve the system of equations for and (M1)
or A1
THEN
substitutes their or value into the corresponding or (M1)
A1
Note: Accept . Accept km east of , km north of and km above sea level.
[5 marks]
attempts to find the value of (M1)
minutes ( seconds) A1
[2 marks]
EITHER
attempts to find (M1)
attempts to find their (M1)
A1
OR
attempts to find (M1)
attempts to find their (M1)
A1
Note: Award M0M0A0 for expressions using two different time parameters.
THEN
either attempts to find the local minimum point of or attempts to find the value of such that (or equivalent) (M1)
minimum value of is (km) A1
Note: Award M0 for attempts at the shortest distance between two lines.
[5 marks]
Examiners report
General comment about this question: many candidates were not exposed to this setting of vectors question and were rather lost.
Part (a) Probably the least answered question on the whole paper. Many candidates left it blank, others tried using 3D vectors. Out of those who calculated the angle correctly, only a small percentage were able to provide the correct true bearing as a 3-digit figure.
Part (b) Well done by many candidates who used the direction vectors to calculate and compare the speeds. A number of candidates tried to use the average rate of change but mostly unsuccessfully.
Part (c) Most candidates used the correct vectors and the formula to obtain the obtuse angle. Then only some read the question properly to give the acute angle in degrees, as requested.
Part (d) Well done by many candidates who used two different parameters. They were able to solve and obtain two values for time, the difference in minutes and the correct point of intersection. A number of candidates only had one parameter, thus scoring no marks in part (d) (i). The frequent error in part (d)(ii) was providing incorrect units.
Part (e) Many correct answers were seen with an efficient way of setting the question and using their GDC to obtain the answer, graphically or numerically. Some gave time only instead of actually giving the minimal distance. A number of candidates tried to find the distance between two skew lines ignoring the fact that the lines intersect.
A water trough which is 10 metres long has a uniform cross-section in the shape of a semicircle with radius 0.5 metres. It is partly filled with water as shown in the following diagram of the cross-section. The centre of the circle is O and the angle KOL is radians.

The volume of water is increasing at a constant rate of .
Find an expression for the volume of water in the trough in terms of .
Calculate when .
Markscheme
* This question is from an exam for a previous syllabus, and may contain minor differences in marking or structure.
area of segment M1A1
A1
[3 marks]
METHOD 1
M1A1
(M1)
A1
METHOD 2
(M1)
A1
(M1)
A1
[4 marks]
Examiners report
Consider the function defined by where .
Sketch the graph of indicating clearly any intercepts with the axes and the coordinates of any local maximum or minimum points.
State the range of .
Solve the inequality .
Markscheme
* This question is from an exam for a previous syllabus, and may contain minor differences in marking or structure.

correct shape passing through the origin and correct domain A1
Note: Endpoint coordinates are not required. The domain can be indicated by and 1 marked on the axis.
A1
two correct intercepts (coordinates not required) A1
Note: A graph passing through the origin is sufficient for .
[3 marks]
A1A1
Note: Award A1A0 for open or semi-open intervals with correct endpoints. Award A1A0 for closed intervals with one correct endpoint.
[2 marks]
attempting to solve either (or equivalent) or (or equivalent) (eg. graphically) (M1)

(A1)
A1A1
Note: Award A0 for .
[4 marks]
Examiners report
Consider the function .
Let .
Determine an expression for in terms of .
Sketch a graph of for .
Find the -coordinate(s) of the point(s) of inflexion of the graph of , labelling these clearly on the graph of .
Express in terms of .
Express in terms of .
Hence show that can be expressed as .
Solve the equation , giving your answers in the form where .
Markscheme
(or equivalent) (M1)A1
[2 marks]
A1A1A1A1
Note: Award A1 for correct behaviour at , A1 for correct domain and correct behaviour for , A1 for two clear intersections with -axis and minimum point, A1 for clear maximum point.
[4 marks]
A1
A1
[2 marks]
attempt to write in terms of only (M1)
A1
[2 marks]
(A1)
attempt to use (M1)
A1
[3 marks]
M1
(or equivalent) A1
AG
[2 marks]
or (M1)
A1
A1
Note: Only accept answers given the required form.
[3 marks]
Examiners report
Two submarines A and B have their routes planned so that their positions at time t hours, 0 ≤ t < 20 , would be defined by the position vectors rA and rB relative to a fixed point on the surface of the ocean (all lengths are in kilometres).
To avoid the collision submarine B adjusts its velocity so that its position vector is now given by
rB .
Show that the two submarines would collide at a point P and write down the coordinates of P.
Show that submarine B travels in the same direction as originally planned.
Find the value of t when submarine B passes through P.
Find an expression for the distance between the two submarines in terms of t.
Find the value of t when the two submarines are closest together.
Find the distance between the two submarines at this time.
Markscheme
* This question is from an exam for a previous syllabus, and may contain minor differences in marking or structure.
rA = rB (M1)
2 − t = − 0.5t ⇒ t = 4 A1
checking t = 4 satisfies 4 + t = 3.2 + 1.2t and − 1 − 0.15t = − 2 + 0.1t R1
P(−2, 8, −1.6) A1
Note: Do not award final A1 if answer given as column vector.
[4 marks]
A1
Note: Accept use of cross product equalling zero.
hence in the same direction AG
[1 mark]
M1
Note: The M1 can be awarded for any one of the resultant equations.
A1
[2 marks]
rA − rB = (M1)(A1)
(A1)
Note: Accept rA − rB.
distance M1A1
[5 marks]
minimum when (M1)
t = 3.83 A1
[2 marks]
0.511 (km) A1
[1 mark]
Examiners report
The points A, B and C have the following position vectors with respect to an origin O.
i + j – 2k
i – j + 2k
i + 3j + 3k
The plane Π contains the points O, A and B and the plane Π contains the points O, A and C.
Find the vector equation of the line (BC).
Determine whether or not the lines (OA) and (BC) intersect.
Find the Cartesian equation of the plane Π, which passes through C and is perpendicular to .
Show that the line (BC) lies in the plane Π.
Verify that 2j + k is perpendicular to the plane Π.
Find a vector perpendicular to the plane Π.
Find the acute angle between the planes Π and Π.
Markscheme
* This question is from an exam for a previous syllabus, and may contain minor differences in marking or structure.
= (i + 3j + 3k) (2i j + 2k) = i + 4j + k (A1)
r = (2i j + 2k) + (i + 4j + k)
(or r = (i + 3j + 3k) + (i + 4j + k) (M1)A1
Note: Do not award A1 unless r = or equivalent correct notation seen.
[3 marks]
attempt to write in parametric form using two different parameters AND equate M1
A1
attempt to solve first pair of simultaneous equations for two parameters M1
solving first two equations gives (A1)
substitution of these two values in third equation (M1)
since the values do not fit, the lines do not intersect R1
Note: Candidates may note that adding the first and third equations immediately leads to a contradiction and hence they can immediately deduce that the lines do not intersect.
[6 marks]
METHOD 1
plane is of the form r (2i + j 2k) = d (A1)
d = (i + 3j + 3k) (2i + j 2k) = 1 (M1)
hence Cartesian form of plane is A1
METHOD 2
plane is of the form (A1)
substituting (to find gives ) (M1)
hence Cartesian form of plane is A1
[3 marks]
METHOD 1
attempt scalar product of direction vector BC with normal to plane M1
(i + 4j + k) (2i + j 2k)
A1
hence BC lies in Π AG
METHOD 2
substitute eqn of line into plane M1
A1
hence BC lies in Π AG
Note: Candidates may also just substitute into the plane since they are told C lies on .
Note: Do not award A1FT.
[2 marks]
METHOD 1
applying scalar product to and M1
(2j + k) (2i + j 2k) = 0 A1
(2j + k) (2i j + 2k) =0 A1
METHOD 2
attempt to find cross product of and M1
plane Π has normal = 8j 4k A1
since 8j 4k = 4(2j + k), 2j + k is perpendicular to the plane Π R1
[3 marks]
plane Π has normal = 9i 8j + 5k A1
[1 mark]
attempt to use dot product of normal vectors (M1)
(M1)
(A1)
Note: Accept . acute angle between planes A1
[4 marks]
Examiners report
Consider the planes and with the following equations.
Find a Cartesian equation of the plane which is perpendicular to and and passes through the origin .
Find the coordinates of the point where , and intersect.
Markscheme
attempt to find a vector perpendicular to and using a cross product (M1)
(A1)
equation is A1
[3 marks]
attempt to solve simultaneous equations in variables (M1)
A1
[2 marks]
Examiners report
Iqbal attempts three practice papers in mathematics. The probability that he passes the first paper is 0.6. Whenever he gains a pass in a paper, his confidence increases so that the probability of him passing the next paper increases by 0.1. Whenever he fails a paper the probability of him passing the next paper is 0.6.
Complete the given probability tree diagram for Iqbal’s three attempts, labelling each branch with the correct probability.
Calculate the probability that Iqbal passes at least two of the papers he attempts.
Find the probability that Iqbal passes his third paper, given that he passed only one previous paper.
Markscheme
* This question is from an exam for a previous syllabus, and may contain minor differences in marking or structure.
A1A1A1
Note: Award A1 for each correct column of probabilities.
[3 marks]
probability (at least twice) =
EITHER
(M1)
OR
(M1)
Note: Award M1 for summing all required probabilities.
THEN
= 0.696 A1
[2 marks]
P(passes third paper given only one paper passed before)
(M1)
A1
= 0.657 A1
[3 marks]
Examiners report
The diagram shows two circles with centres at the points A and B and radii and , respectively. The point B lies on the circle with centre A. The circles intersect at the points C and D.

Let be the measure of the angle CAD and be the measure of the angle CBD in radians.
Find an expression for the shaded area in terms of , and .
Show that .
Hence find the value of given that the shaded area is equal to 4.
Markscheme
* This question is from an exam for a previous syllabus, and may contain minor differences in marking or structure.
M1A1A1
Note: Award M1A1A1 for alternative correct expressions eg. .
[3 marks]
METHOD 1
consider for example triangle ADM where M is the midpoint of BD M1
A1
AG
METHOD 2
attempting to use the cosine rule (to obtain ) M1
(obtained from ) A1
AG
METHOD 3
where
M1
Note: Award M1 either for use of the double angle formula or the conversion from sine to cosine.
A1
AG
[2 marks]
(from triangle ADM), A1
attempting to solve
with and for (M1)
A1
[3 marks]
Examiners report
The plane П1 contains the points P(1, 6, −7) , Q(0, 1, 1) and R(2, 0, −4).
The Cartesian equation of the plane П2 is given by .
The Cartesian equation of the plane П3 is given by .
Consider the case that П3 contains .
Find the Cartesian equation of the plane containing P, Q and R.
Given that П1 and П2 meet in a line , verify that the vector equation of can be given by r .
Given that П3 is parallel to the line , show that .
Show that .
Given that П3 is equally inclined to both П1 and П2, determine two distinct possible Cartesian equations for П3.
Markscheme
* This question is from an exam for a previous syllabus, and may contain minor differences in marking or structure.
METHOD 1
for example
, A1A1
= 33i + 11j + 11k (M1)A1
r.n = a.n
(M1)
or equivalent A1
METHOD 2
assume plane can be written as M1
substituting each set of coordinates gives the system of equations:
A1
solving by GDC (M1)
, , A1A1A1
or equivalent
[6 marks]
METHOD 1
substitution of equation of line into both equations of planes M1
A1
A1
METHOD 2
adding Π1 and Π2 gives M1
given A1
A1
⇒r AG
METHOD 3
n1 × n2 = A1
R1
common point and A1
[3 marks]
normal to П3 is perpendicular to direction of
A1
⇒ AG
[1 mark]
substituting into П3: M1
A1
AG
[2 marks]
attempt to find scalar products for П1 and П3, П2 and П3.
and equating M1
M1
Note: Accept .
A1
attempt to solve , , M1
A1
hence equation is
for second equation:
(M1)
attempt to solve , , M1
⇒, , A1
hence equation is
[7 marks]
Examiners report
A scientist conducted a nine-week experiment on two plants, and , of the same species. He wanted to determine the effect of using a new plant fertilizer. Plant was given fertilizer regularly, while Plant was not.
The scientist found that the height of Plant , at time weeks can be modelled by the function , where .
The scientist found that the height of Plant , at time weeks can be modelled by the function , where .
Use the scientist’s models to find the initial height of
Plant .
Plant correct to three significant figures.
Find the values of when .
For , prove that Plant was always taller than Plant .
For , find the total amount of time when the rate of growth of Plant was greater than the rate of growth of Plant .
Markscheme
(cm) A1
[1 mark]
(M1)
(cm) A1
[2 marks]
attempts to solve for (M1)
(weeks) A2
[3 marks]
A1
EITHER
for A1
and as R1
OR
the minimum value of R1
so for A1
THEN
hence for , Plant was always taller than Plant AG
[3 marks]
recognises that and are required (M1)
attempts to solve for (M1)
and OR and OR and (A1)
Note: Award full marks for .
Award subsequent marks for correct use of these exact values.
OR OR (A1)
attempts to calculate the total amount of time (M1)
(weeks) A1
[6 marks]
Examiners report
Part (a) In general, very well done, most students scored full marks. Some though had an incorrect answer for part(a)(ii) because they had their GDC in degrees.
Part (b) Well attempted. Some accuracy errors and not all candidates listed all three values.
Part (c) Most students tried a graphical approach (but this would only get them one out of three marks) and only some provided a convincing algebraic justification. Many candidates tried to explain in words without a convincing mathematical justification or used numerical calculations with specific time values. Some arrived at the correct simplified equation for the difference in heights but could not do much with it. Then only a few provided a correct mathematical proof.
Part (d) In general, well attempted by many candidates. The common error was giving the answer as 3.15 due to the pre-mature rounding. Some candidates only provided the values of time when the rates are equal, some intervals rather than the total time.
Consider the following diagram.
The sides of the equilateral triangle ABC have lengths 1 m. The midpoint of [AB] is denoted by P. The circular arc AB has centre, M, the midpoint of [CP].
Find AM.
Find in radians.
Find the area of the shaded region.
Markscheme
METHOD 1
PC or 0.8660 (M1)
PM PC or 0.4330 (A1)
AM
or 0.661 (m) A1
METHOD 2
using the cosine rule
AM2 M1A1
AM or 0.661 (m) A1
[3 marks]
tan () or equivalent (M1)
= 0.857 A1
[2 marks]
EITHER
(M1)A1
OR
(M1)A1
= 0.158(m2) A1
Note: Award M1 for attempting to calculate area of a sector minus area of a triangle.
[3 marks]
Examiners report
Let where .
Express in terms of sin and cos .
Markscheme
* This question is from an exam for a previous syllabus, and may contain minor differences in marking or structure.
(M1)A1
(M1)A1
Note: The two M1s can be awarded for observation or for expanding.
A1
[5 marks]
Examiners report
Consider the vectors and such that and .
Consider the vector such that .
Consider the vector such that , where .
Find the possible range of values for .
Given that is a minimum, find .
Find such that and is perpendicular to .
Markscheme
(A1)
(accept min and max ) A1
Note: Award (A1)A0 for and seen with no indication that they are the endpoints of an interval.
[2 marks]
recognition that or is a negative multiple of (M1)
OR
A1
[2 marks]
METHOD 1
is perpendicular to
is in the direction (M1)
(A1)
(M1)
(A1)
A1
METHOD 2
is perpendicular to
attempt to set scalar product OR product of gradients (M1)
(A1)
attempt to solve simultaneously to find a quadratic in or (M1)
OR
A1A1
Note: Award A1 independently for each value. Accept values given as and or equivalent.
[5 marks]
Examiners report
Three points and lie on the plane .
Plane has equation .
The plane is given by . The line and the plane intersect at the point .
The point lies on .
Find the vector and the vector .
Hence find the equation of , expressing your answer in the form , where .
The line is the intersection of and . Verify that the vector equation of can be written as .
Show that at the point .
Hence find the coordinates of .
Find the reflection of the point in the plane .
Hence find the vector equation of the line formed when is reflected in the plane .
Markscheme
attempts to find either or (M1)
and A1
[2 marks]
METHOD 1
attempts to find (M1)
A1
EITHER
equation of plane is of the form (A1)
substitutes a valid point e.g to obtain a value of M1
OR
attempts to use (M1)
A1
THEN
A1
METHOD 2
equation of plane is of the form A1
attempts to form equations for in terms of their parameters (M1)
A1
eliminates at least one of their parameters (M1)
for example,
A1
[5 marks]
METHOD 1
substitutes into their and (given) (M1)
and A1
Note: Award (M1)A0 for correct verification using a specific value of .
so the vector equation of can be written as AG
METHOD 2
EITHER
attempts to find M1
OR
and M1
THEN
substitutes into and
and A1
so the vector equation of can be written as AG
METHOD 3
attempts to solve and (M1)
for example, A1
Note: Award A1 for substituting (or or ) into and and solving simultaneously. For example, solving and to obtain and .
so the vector equation of can be written as AG
[2 marks]
substitutes the equation of into the equation of (M1)
A1
AG
[2 marks]
has coordinates A1
[1 mark]
normal to is (A1)
Note: May be seen or used anywhere.
considers the line normal to passing through (M1)
A1
EITHER
finding the point on the normal line that intersects
attempts to solve simultaneously with plane (M1)
A1
point is
OR
(M1)
A1
OR
attempts to find the equation of the plane parallel to containing and solve simultaneously with (M1)
A1
THEN
so, another point on the reflected line is given by
(A1)
A1
[7 marks]
EITHER
attempts to find the direction vector of the reflected line using their and (M1)
OR
attempts to find their direction vector of the reflected line using a vector approach (M1)
THEN
(or equivalent) A1
Note: Award A0 for either '' or '' not stated. Award A0 for ''
[2 marks]
Examiners report
The points , , and are the vertices of a right-pyramid.
The line passes through the point and is perpendicular to .
Find the vectors and .
Use a vector method to show that .
Show that the Cartesian equation of the plane that contains the triangle is .
Find a vector equation of the line .
Hence determine the minimum distance, , from to .
Find the volume of right-pyramid .
Markscheme
* This sample question was produced by experienced DP mathematics senior examiners to aid teachers in preparing for external assessment in the new MAA course. There may be minor differences in formatting compared to formal exam papers.
A1
A1
[2 marks]
attempts to use (M1)
A1
A1
so AG
[3 marks]
attempts to find a vector normal to M1
for example, leading to A1
a vector normal to is
EITHER
substitutes (or or ) into and attempts to find the value of
for example, M1
OR
attempts to use M1
for example,
THEN
leading to the Cartesian equation of as AG
[3 marks]
A1
[1 mark]
substitutes into (M1)
A1
shows a correct calculation for finding , for example, attempts to find
M1
A1
[4 marks]
let the area of triangle be
EITHER
attempts to find , for example M1
OR
attempts to find , for example M1
(where )
THEN
A1
uses where is the area of triangle and M1
A1
[4 marks]
Examiners report
In triangle ABC, AB = 5, BC = 14 and AC = 11.
Find all the interior angles of the triangle. Give your answers in degrees to one decimal place.
Markscheme
* This question is from an exam for a previous syllabus, and may contain minor differences in marking or structure.
attempt to apply cosine rule M1
A1
attempt to apply sine rule or cosine rule: M1
A1
A1
Note: Candidates may attempt to find angles in any order of their choosing.
[5 marks]
Examiners report
The following shape consists of three arcs of a circle, each with centre at the opposite vertex of an equilateral triangle as shown in the diagram.
For this shape, calculate
the perimeter.
the area.
Markscheme
each arc has length (M1)
perimeter is therefore (cm) A1
[2 marks]
area of sector, , is (A1)
area of triangle, , is (M1)(A1)
Note: area of segment, , is 3.261… implies area of triangle
finding or or similar
area (cm2) (M1)A1
[5 marks]
Examiners report
Barry is at the top of a cliff, standing 80 m above sea level, and observes two yachts in the sea.
“Seaview” is at an angle of depression of 25°.
“Nauti Buoy” is at an angle of depression of 35°.
The following three dimensional diagram shows Barry and the two yachts at S and N.
X lies at the foot of the cliff and angle 70°.

Find, to 3 significant figures, the distance between the two yachts.
Markscheme
* This question is from an exam for a previous syllabus, and may contain minor differences in marking or structure.
attempt to use tan, or sine rule, in triangle BXN or BXS (M1)
(A1)
(A1)
Attempt to use cosine rule M1
° (A1)
A1
Note: Award final A1 only if the correct answer has been given to 3 significant figures.
[6 marks]
Examiners report
Consider , where .
Show that a finite limit only exists for .
Using l’Hôpital’s rule, show algebraically that the value of the limit is .
Markscheme
(as , the indeterminate form is required for the limit to exist)
M1
A1
so AG
Note: Award M1A0 for using to show the limit is .
[2 marks]
A1A1
Note: Award A1 for a correct numerator and A1 for a correct denominator.
recognises to apply l’Hôpital’s rule again (M1)
Note: Award M0 if their limit is not the indeterminate form .
EITHER
A1A1
Note: Award A1 for a correct first term in the numerator and A1 for a correct second term in the numerator.
OR
A1A1
Note: Award A1 for a correct numerator and A1 for a correct denominator.
THEN
substitutes into the correct expression to evaluate the limit A1
Note: The final A1 is dependent on all previous marks.
AG
[6 marks]
Examiners report
Part (a) Many candidates recognised the indeterminate form and provided a nice algebraic proof. Some verified by substituting the given value. Therefore, there is a need to teach the candidates the difference between proof and verification. Only a few candidates were able to give a complete 'show that' proof.
Part (b) Many candidates realised that they needed to apply the L'Hôpital's rule twice. There were many mistakes in differentiation using the chain rule. Not all candidates clearly showed the final substitution.
Given that a b b c 0 prove that a c sb where s is a scalar.
Markscheme
* This question is from an exam for a previous syllabus, and may contain minor differences in marking or structure.
METHOD 1
a b = b c
(a b) (b c) = 0
(a b) + (c b) = 0 M1A1
(a + c) b = 0 A1
(a + c) is parallel to b a + c = sb R1AG
Note: Condone absence of arrows, underlining, or other otherwise “correct” vector notation throughout this question.
Note: Allow “is in the same direction to”, for the final R mark.
METHOD 2
a b = b c M1A1
A1
A1
a + c = sb AG
[4 marks]
Examiners report
Two ships, A and B , are observed from an origin O. Relative to O, their position vectors at time t hours after midday are given by
rA =
rB =
where distances are measured in kilometres.
Find the minimum distance between the two ships.
Markscheme
attempting to find rB − rA for example (M1)
rB − rA =
attempting to find |rB − rA| M1
distance A1
using a graph to find the − coordinate of the local minimum M1
the minimum distance between the ships is 2.81 (km) A1
[5 marks]
Examiners report
In a triangle and .
Use the cosine rule to find the two possible values for AC.
Find the difference between the areas of the two possible triangles ABC.
Markscheme
* This question is from an exam for a previous syllabus, and may contain minor differences in marking or structure.
METHOD 1
let
M1A1
attempting to solve for (M1)
A1A1
METHOD 2
let
using the sine rule to find a value of M1
(M1)A1
(M1)A1
METHOD 3
let
using the sine rule to find a value of and a value of M1
obtaining and A1
and
attempting to find a value of using the cosine rule (M1)
A1A1
Note: Award M1A0(M1)A1A0 for one correct value of
[5 marks]
and (A1)
( and )
let be the difference between the two areas
(M1)
A1
[3 marks]
Examiners report
Two boats and travel due north.
Initially, boat is positioned metres due east of boat .
The distances travelled by boat and boat , after seconds, are metres and metres respectively. The angle is the radian measure of the bearing of boat from boat . This information is shown on the following diagram.
Show that .
At time , the following conditions are true.
Boat has travelled metres further than boat .
Boat is travelling at double the speed of boat .
The rate of change of the angle is radians per second.
Find the speed of boat at time .
Markscheme
OR A1
AG
Note: may be identified as a length on a diagram, and not written explicitly.
[1 mark]
attempt to differentiate with respect to (M1)
A1
attempt to set speed of equal to double the speed of (M1)
A1
OR (A1)
Note: This A1 can be awarded independently of previous marks.
So the speed of boat is A1
Note: Accept from the use of inexact values.
[6 marks]
Examiners report
This diagram shows a metallic pendant made out of four equal sectors of a larger circle of radius and four equal sectors of a smaller circle of radius .
The angle 20°.

Find the area of the pendant.
Markscheme
* This question is from an exam for a previous syllabus, and may contain minor differences in marking or structure.
METHOD 1
area = (four sector areas radius 9) + (four sector areas radius 3) (M1)
(A1)(A1)
A1
METHOD 2
area =
(area of circle radius 3) + (four sector areas radius 9) – (four sector areas radius 3) (M1)
(A1)(A1)
Note: Award A1 for the second term and A1 for the third term.
A1
Note: Accept working in degrees.
[4 marks]
Examiners report
Find the Cartesian equation of plane Π containing the points and and perpendicular to the plane .
Markscheme
* This question is from an exam for a previous syllabus, and may contain minor differences in marking or structure.
METHOD 1
(A1)
M1A1
A1
M1
equation of plane Π is or equivalent A1
METHOD 2
let plane Π be
attempt to form one or more simultaneous equations: M1
(1) A1
(2)
(3) A1
Note: Award second A1 for equations (2) and (3).
attempt to solve M1
EITHER
using GDC gives (A1)
equation of plane Π is or equivalent A1
OR
row reduction M1
equation of plane Π is or equivalent A1
[6 marks]
Examiners report
Find the acute angle between the planes with equations and .
Markscheme
* This question is from an exam for a previous syllabus, and may contain minor differences in marking or structure.
n and n (A1)(A1)
EITHER
(M1)
(A1)
OR
(M1)
(A1)
THEN
A1
[5 marks]
Examiners report
Boat A is situated 10km away from boat B, and each boat has a marine radio transmitter on board. The range of the transmitter on boat A is 7km, and the range of the transmitter on boat B is 5km. The region in which both transmitters can be detected is represented by the shaded region in the following diagram. Find the area of this region.
Markscheme
* This question is from an exam for a previous syllabus, and may contain minor differences in marking or structure.
use of cosine rule (M1)
CÂB = arccos (A1)
CA = arccos (A1)
attempt to subtract triangle area from sector area (M1)
area
= 3.5079… + 5.3385… (A1)
Note: Award this A1 for either of these two values.
= 8.85 (km2) A1
Note: Accept all answers that round to 8.8 or 8.9.
[6 marks]