HL Paper 2
Consider the function .
Find the coordinates where the graph of crosses the
-axis.
-axis.
Write down the equation of the vertical asymptote of the graph of .
The oblique asymptote of the graph of can be written as where .
Find the value of and the value of .
Sketch the graph of for , clearly indicating the points of intersection with each axis and any asymptotes.
Express in partial fractions.
Hence find the exact value of , expressing your answer as a single logarithm.
Markscheme
Note: In part (a), penalise once only, if correct values are given instead of correct coordinates.
attempts to solve (M1)
and A1
[2 marks]
Note: In part (a), penalise once only, if correct values are given instead of correct coordinates.
A1
[1 mark]
A1
Note: Award A0 for .
Award A1 in part (b), if is seen on their graph in part (d).
[1 mark]
METHOD 1
attempts to expand (M1)
A1
equates coefficients of (M1)
A1
METHOD 2
attempts division on M1
M1
A1
A1
METHOD 3
A1
M1
equates coefficients of : (M1)
A1
METHOD 4
attempts division on M1
A1
M1
A1
[4 marks]
two branches with approximately correct shape (for ) A1
their vertical and oblique asymptotes in approximately correct positions with both branches showing correct asymptotic behaviour to these asymptotes A1
their axes intercepts in approximately the correct positions A1
Note: Points of intersection with the axes and the equations of asymptotes are not required to be labelled.
[3 marks]
attempts to split into partial fractions: (M1)
A1
A1
[3 marks]
attempts to integrate and obtains two terms involving ‘ln’ (M1)
A1
A1
A1
Note: The final A1 is dependent on the previous two A marks.
[4 marks]
Examiners report
Prove the identity .
The equation has two real roots, and .
Consider the equation , where and which has roots and .
Without solving , determine the values of and .
Markscheme
METHOD 1
attempts to expand M1
A1
AG
Note: Condone the use of equals signs throughout.
METHOD 2
attempts to factorise M1
A1
AG
Note: Condone the use of equals signs throughout.
METHOD 3
attempts to factorise M1
A1
AG
Note: Condone the use of equals signs throughout.
[2 marks]
Note: Award a maximum of A1M0A0A1M0A0 for and found by using .
Condone, as appropriate, solutions that state but clearly do not use the values of and .
Special case: Award a maximum of A1M1A0A1M0A0 for and obtained by solving simultaneously for and from product of roots and sum of roots equations.
product of roots of
(seen anywhere) A1
considers by stating M1
Note: Award M1 for attempting to substitute their value of into .
A1
sum of roots of
(seen anywhere) A1
considers and by stating M1
Note: Award M1 for attempting to substitute their values of and into their expression. Award M0 for use of only.
A1
[6 marks]
Examiners report
The function is defined by , 0 < < 3.
Draw a set of axes showing and values between −3 and 3. On these axes
Hence, or otherwise, find the coordinates of the point of inflexion on the graph of .
sketch the graph of , showing clearly any axis intercepts and giving the equations of any asymptotes.
sketch the graph of , showing clearly any axis intercepts and giving the equations of any asymptotes.
Hence, or otherwise, solve the inequality .
Markscheme
finding turning point of or finding root of (M1)
A1
(M1)A1
(0.899, −0.375)
Note: Do not accept . Accept y-coordinates rounding to −0.37 or −0.375 but not −0.38.
[4 marks]
smooth curve over the correct domain which does not cross the y-axis
and is concave down for > 1 A1
-intercept at 0.607 A1
equations of asymptotes given as = 0 and = 3 (the latter must be drawn) A1A1
[4 marks]
attempt to reflect graph of in = (M1)
smooth curve over the correct domain which does not cross the -axis and is concave down for > 1 A1
-intercept at 0.607 A1
equations of asymptotes given as = 0 and = 3 (the latter must be drawn) A1
Note: For FT from (i) to (ii) award max M1A0A1A0.
[4 marks]
solve or to get = 0.372 (M1)A1
0 < < 0.372 A1
Note: Do not award FT marks.
[3 marks]
Examiners report
A function is defined by , where and .
The region enclosed by the graph of , the -axis, the -axis and the line is rotated about the -axis to form a solid of revolution.
Pedro wants to make a small bowl with a volume of based on the result from part (a). Pedro’s design is shown in the following diagrams.
The vertical height of the bowl, , is measured along the -axis. The radius of the bowl’s top is and the radius of the bowl’s base is . All lengths are measured in .
For design purposes, Pedro investigates how the cross-sectional radius of the bowl changes.
Show that the volume of the solid formed is cubic units.
Find the value of that satisfies the requirements of Pedro’s design.
Find .
Find .
By sketching the graph of a suitable derivative of , find where the cross-sectional radius of the bowl is decreasing most rapidly.
State the cross-sectional radius of the bowl at this point.
Markscheme
attempt to use (M1)
EITHER
applying integration by recognition (M1)
A3
OR
(A1)
attempt to express the integral in terms of (M1)
when and when
(A1)
A1
OR
(A1)
attempt to express the integral in terms of (M1)
when and when
(A1)
A1
Note: Accept equivalent working with indefinite integrals and original limits for .
THEN
A1
so the volume of the solid formed is cubic units AG
Note: Award (M1)(A0)(M0)(A0)(A0)(A1) when is obtained from GDC
[6 marks]
a valid algebraic or graphical attempt to find (M1)
(as ) A1
Note: Candidates may use their GDC numerical solve feature.
[2 marks]
attempting to find
with (M1)
A1
[2 marks]
attempting to find
with (M1)
A1
[2 marks]
EITHER
recognising to graph (M1)
Note: Award M1 for attempting to use quotient rule or product rule differentiation.
for graph decreasing to the local minimum A1
before increasing towards the -axis A1
OR
recognising to graph (M1)
Note: Award M1 for attempting to use quotient rule or product rule differentiation.
for , graph increasing towards and beyond the -intercept A1
recognising for maximum rate (A1)
THEN
A1
Note: Only award A marks if either graph is seen.
[4 marks]
attempting to find (M1)
the cross-sectional radius at this point is A1
[2 marks]
Examiners report
A continuous random variable has a probability density function given by
The median of this distribution is .
Determine the value of .
Given that , determine the value of .
Markscheme
recognises that (M1)
A1
[2 marks]
METHOD 1
attempts to find at least one endpoint (limit) both in terms of (or their ) and (M1)
(A1)
Note: Award (A1) for .
attempts to solve their equation for (M1)
Note: The above (M1) is dependent on the first (M1).
A1
METHOD 2
(M1)(A1)
Note: Only award (M1) if at least one limit has been translated correctly.
Note: Award (M1)(A1) for .
attempts to solve their equation for (M1)
A1
METHOD 3
EITHER
(M1)(A1)
Note: Only award (M1) if at least one limit has been translated correctly.
Note: Award (M1)(A1) for .
OR
(M1)(A1)
Note: Only award (M1) if at least one limit has been translated correctly.
Note: Award (M1)(A1) for .
THEN
attempts to solve their equation for (M1)
Note: The above (M1) is dependent on the first (M1).
A1
[4 marks]
Examiners report
Consider the function , where .
The curve is rotated about the -axis to form a solid of revolution that is used to model a water container.
At , the container is empty. Water is then added to the container at a constant rate of .
Sketch the curve , clearly indicating the coordinates of the endpoints.
Show that the inverse function of is given by .
State the domain and range of .
Show that the volume, , of water in the container when it is filled to a height of metres is given by .
Hence, determine the maximum volume of the container.
Find the time it takes to fill the container to its maximum volume.
Find the rate of change of the height of the water when the container is filled to half its maximum volume.
Markscheme
correct shape (concave down) within the given domain A1
and A1
Note: The coordinates of endpoints may be seen on the graph or marked on the axes.
[2 marks]
interchanging and (seen anywhere) M1
A1
A1
AG
[3 marks]
OR domain A1
OR OR range A1
[2 marks]
attempt to substitute into the correct volume formula (M1)
A1
A1
AG
Note: Award marks as appropriate for correct work using a different variable e.g.
[3 marks]
attempt to substitute into (M1)
A1
[2 marks]
time (M1)
A1
[2 marks]
attempt to find the height of the tank when (M1)
(A1)
attempt to use the chain rule or differentiate with respect to (M1)
OR (A1)
attempt to substitute their and (M1)
A1
[6 marks]
Examiners report
Part a) was generally well done, with the most common errors being to use an incorrect domain or not to give the coordinates of the endpoints. Some graphs appeared to be straight lines; some candidates drew sketches which were too small which made it more difficult for them to show the curvature.
Most candidates were able to show the steps to find an inverse function in part b), although occasionally a candidate did not explicitly swop the x and y variables before writing down the inverse function, which was given in the question. Many candidates struggled to identify the domain and range of the inverse, despite having a correct graph.
Part c) required a rotation around the y-axis, but a number of candidates attempted to rotate around the x-axis or failed to include limits. In the same vein, many substituted 2 into the formula instead of the square root of 3 when answering the second part. Many subsequently gained follow through marks on part d).
There were a number of good attempts at related rates in part e), with the majority differentiating V with respect to t, using implicit differentiation. However, many did not find the value of h which corresponded to halving the volume, and a number did not differentiate with respect to t, only with respect to h.
The voltage in a circuit is given by the equation
, where is measured in seconds.
The current in this circuit is given by the equation
.
The power in this circuit is given by .
The average power in this circuit from to is given by the equation
, where .
Write down the maximum and minimum value of .
Write down two transformations that will transform the graph of onto the graph of .
Sketch the graph of for 0 ≤ ≤ 0.02 , showing clearly the coordinates of the first maximum and the first minimum.
Find the total time in the interval 0 ≤ ≤ 0.02 for which ≥ 3.
Find (0.007).
With reference to your graph of explain why > 0 for all > 0.
Given that can be written as where , , , > 0, use your graph to find the values of , , and .
Markscheme
* This question is from an exam for a previous syllabus, and may contain minor differences in marking or structure.
3, −3 A1A1
[2 marks]
stretch parallel to the -axis (with -axis invariant), scale factor A1
translation of (shift to the left by 0.003) A1
Note: Can be done in either order.
[2 marks]
correct shape over correct domain with correct endpoints A1
first maximum at (0.0035, 4.76) A1
first minimum at (0.0085, −1.24) A1
[3 marks]
≥ 3 between = 0.0016762 and 0.0053238 and = 0.011676 and 0.015324 (M1)(A1)
Note: Award M1A1 for either interval.
= 0.00730 A1
[3 marks]
(M1)
= 2.87 A1
[2 marks]
in each cycle the area under the axis is smaller than area above the axis R1
the curve begins with the positive part of the cycle R1
[2 marks]
(M1)
A1
A1
A1
(M1)
A1
[6 marks]
Examiners report
Consider the rectangle OABC such that AB = OC = 10 and BC = OA = 1 , with the points P , Q and R placed on the line OC such that OP = , OQ = and OR = , such that 0 < < < < 10.
Let be the angle APO, be the angle AQO and be the angle ARO.
Consider the case when and QR = 1.
Find an expression for in terms of .
Show that .
By sketching the graph of as a function of , determine the range of values of for which there are possible values of .
Markscheme
* This question is from an exam for a previous syllabus, and may contain minor differences in marking or structure.
METHOD 1
use of tan (M1)
(A1)
A1
METHOD 2
AP (A1)
use of sin, cos, sine rule or cosine rule using the correct length of AP (M1)
or A1
[3 marks]
QR = 1 ⇒ (A1)
Note: This may be seen anywhere.
attempt to use compound angle formula for tan M1
(A1)
(M1)
or A1
M1
Note: Award M1 for multiplying top and bottom by .
AG
[6 marks]
increasing function with positive -intercept A1
Note: Accept curves which extend beyond the domain shown above.
(0.618 <) < 9 (A1)
⇒ range is (0 <) < 4.68 (A1)
0 < < 4.68 A1
[4 marks]
Examiners report
Show that .
Verify that and satisfy the equation .
Hence, or otherwise, show that the exact value of .
Using the results from parts (b) and (c) find the exact value of .
Give your answer in the form where , .
Markscheme
stating the relationship between and and stating the identity for M1
and
⇒ AG
[1 mark]
METHOD 1
attempting to substitute for and using the result from (a) M1
LHS = A1
(= RHS) A1
so satisfies the equation AG
attempting to substitute for and using the result from (a) M1
LHS = A1
A1
(= RHS) A1
so satisfies the equation AG
METHOD 2
let and
attempting to find the sum of roots M1
A1
(from part (a)) A1
attempting to find the product of roots M1
A1
= −1 A1
the coefficient of and the constant term in the quadratic are and −1 respectively R1
hence the two roots are and AG
[7 marks]
METHOD 1
and are roots of R1
Note: Award R1 if only is stated as a root of .
A1
attempting to solve their quadratic equation M1
A1
() R1
so AG
METHOD 2
attempting to substitute into the identity for M1
A1
attempting to solve their quadratic equation M1
A1
R1
so AG
[5 marks]
is the sum of the roots of R1
A1
A1
attempting to rationalise their denominator (M1)
A1A1
[6 marks]
Examiners report
A function is defined by .
A function is defined by .
Show that is an even function.
By considering limits, show that the graph of has a horizontal asymptote and state its equation.
Show that for .
By using the expression for and the result , show that is decreasing for .
Find an expression for , justifying your answer.
State the domain of .
Sketch the graph of , clearly indicating any asymptotes with their equations and stating the values of any axes intercepts.
Markscheme
EITHER
R1
OR
a sketch graph of with line symmetry in the -axis indicated R1
THEN
so is an even function. AG
[1 mark]
as A1
so the horizontal asymptote is A1
[2 marks]
attempting to use the quotient rule to find M1
A1
attempting to use the chain rule to find M1
let and so and
M1
A1
A1
AG
[6 marks]
EITHER
for (A1)
so A1
OR
and A1
A1
THEN
R1
Note: Award R1 for stating that in , the numerator is negative, and the denominator is positive.
so is decreasing for AG
Note: Do not accept a graphical solution
[3 marks]
M1
A1
A1
domain of is and so the range of must be
hence the positive root is taken (or the negative root is rejected) R1
Note: The R1 is dependent on the above A1.
so A1
Note: The final A1 is not dependent on R1 mark.
[5 marks]
domain is A1
Note: Accept correct alternative notations, for example, or .
Accept if correct to s.f.
[1 mark]
A1A1A1
Note: A1 for correct domain and correct range and -intercept at
A1 for asymptotic behaviour
A1 for
Coordinates are not required.
Do not accept or other inexact values.
[3 marks]
Examiners report
The height of water, in metres, in Dungeness harbour is modelled by the function , where is the number of hours after midnight, and and are constants, where and .
The following graph shows the height of the water for hours, starting at midnight.
The first high tide occurs at and the next high tide occurs hours later. Throughout the day, the height of the water fluctuates between and .
All heights are given correct to one decimal place.
Show that .
Find the value of .
Find the value of .
Find the smallest possible value of .
Find the height of the water at .
Determine the number of hours, over a 24-hour period, for which the tide is higher than metres.
A fisherman notes that the water height at nearby Folkestone harbour follows the same sinusoidal pattern as that of Dungeness harbour, with the exception that high tides (and low tides) occur minutes earlier than at Dungeness.
Find a suitable equation that may be used to model the tidal height of water at Folkestone harbour.
Markscheme
OR A1
AG
[1 mark]
OR (M1)
A1
[2 marks]
OR (M1)
A1
[2 marks]
METHOD 1
substituting and for example into their equation for (A1)
attempt to solve their equation (M1)
A1
METHOD 2
using horizontal translation of (M1)
(A1)
A1
METHOD 3
(A1)
attempts to solve their for (M1)
A1
[3 marks]
attempt to find when or , graphically or algebraically (M1)
A1
[2 marks]
attempt to solve (M1)
times are and (A1)
total time is
(hours) A1
Note: Accept .
[3 marks]
METHOD 1
substitutes and into their equation for and attempts to solve for (M1)
A1
METHOD 2
uses their horizontal translation (M1)
A1
[2 marks]
Examiners report
It is given that where and are positive integers.
Given that is a factor of find the value of and the value of .
Factorize into a product of linear factors.
Using your graph state the range of values of for which has exactly two distinct real roots.
Markscheme
* This question is from an exam for a previous syllabus, and may contain minor differences in marking or structure.
M1A1
A1
A1
[4 marks]
attempt to equate coefficients (M1)
(A1)
A1
Note: Accept any equivalent valid method.
[3 marks]
A1
A1A1
Note: Award A1 for correct end points and A1 for correct inequalities.
Note: If the candidate has misdrawn the graph and omitted the first minimum point, the maximum mark that may be awarded is A1FTA0A0 for seen.
[3 marks]
Examiners report
Sketch the graphs and on the following axes for 0 < ≤ 9.
Hence solve in the range 0 < ≤ 9.
Markscheme
* This question is from an exam for a previous syllabus, and may contain minor differences in marking or structure.
A1A1
Note: Award A1 for each correct curve, showing all local max & mins.
Note: Award A0A0 for the curves drawn in degrees.
[2 marks]
= 1.35, 4.35, 6.64 (M1)
Note: Award M1 for attempt to find points of intersections between two curves.
0 < < 1.35 A1
Note: Accept < 1.35.
4.35 < < 6.64 A1A1
Note: Award A1 for correct endpoints, A1 for correct inequalities.
Note: Award M1FTA1FTA0FTA0FT for 0 < < 7.31.
Note: Accept < 7.31.
[4 marks]
Examiners report
Consider
The function is defined by
The function is defined by .
Find the largest possible domain for to be a function.
Sketch the graph of showing clearly the equations of asymptotes and the coordinates of any intercepts with the axes.
Explain why is an even function.
Explain why the inverse function does not exist.
Find the inverse function and state its domain.
Find .
Hence, show that there are no solutions to ;
Hence, show that there are no solutions to .
Markscheme
* This question is from an exam for a previous syllabus, and may contain minor differences in marking or structure.
(M1)
or A1
[2 marks]

shape A1
and A1
-intercepts A1
[3 marks]
EITHER
is symmetrical about the -axis R1
OR
R1
[1 mark]
EITHER
is not one-to-one function R1
OR
horizontal line cuts twice R1
Note: Accept any equivalent correct statement.
[1 mark]
M1
M1
A1A1
[4 marks]
M1A1
A1
[3 marks]
M1
which is not in the domain of (hence no solutions to ) R1
[2 marks]
M1
as so no solutions to R1
Note: Accept: equation has no solutions.
[2 marks]
Examiners report
The function is defined by , for , , .
The graph of has exactly one point of inflexion.
The function is defined by , for .
Find the value of and the value of .
Find an expression for .
Find the -coordinate of the point of inflexion.
Sketch the graph of for , showing the values of any axes intercepts, the coordinates of any local maxima and local minima, and giving the equations of any asymptotes.
Find the equations of all the asymptotes on the graph of .
By considering the graph of , or otherwise, solve for .
Markscheme
attempt to solve e.g. by factorising (M1)
or vice versa A1
[2 marks]
attempt to use quotient rule or product rule (M1)
EITHER
A1A1
Note: Award A1 for each term in the numerator with correct signs, provided correct denominator is seen.
OR
A1A1
Note: Award A1 for each term.
[3 marks]
attempt to find the local min point on OR solve (M1)
A1
[2 marks]
A1A1A1A1A1
Note: Award A1 for both vertical asymptotes with their equations, award A1 for horizontal asymptote with equation, award A1 for each correct branch including asymptotic behaviour, coordinates of minimum and maximum points (may be seen next to the graph) and values of axes intercepts.
If vertical asymptotes are absent (or not vertical) and the branches overlap as a consequence, award maximum A0A1A0A1A1.
[5 marks]
A1
(oblique asymptote has) gradient (A1)
appropriate method to find complete equation of oblique asymptote M1
A1
Note: Do not award the final A1 if the answer is not given as an equation.
[4 marks]
attempting to find at least one critical value (M1)
OR OR A1A1A1
Note: Only penalize once for use of rather than .
[4 marks]
Examiners report
Consider the function defined by where .
Sketch the graph of indicating clearly any intercepts with the axes and the coordinates of any local maximum or minimum points.
State the range of .
Solve the inequality .
Markscheme
* This question is from an exam for a previous syllabus, and may contain minor differences in marking or structure.

correct shape passing through the origin and correct domain A1
Note: Endpoint coordinates are not required. The domain can be indicated by and 1 marked on the axis.
A1
two correct intercepts (coordinates not required) A1
Note: A graph passing through the origin is sufficient for .
[3 marks]
A1A1
Note: Award A1A0 for open or semi-open intervals with correct endpoints. Award A1A0 for closed intervals with one correct endpoint.
[2 marks]
attempting to solve either (or equivalent) or (or equivalent) (eg. graphically) (M1)

(A1)
A1A1
Note: Award A0 for .
[4 marks]
Examiners report
The population, , of a particular species of marsupial on a small remote island can be modelled by the logistic differential equation
where is the time measured in years and are positive constants.
The constant represents the maximum population of this species of marsupial that the island can sustain indefinitely.
Let be the initial population of marsupials.
In the context of the population model, interpret the meaning of .
Show that .
Hence show that the population of marsupials will increase at its maximum rate when . Justify your answer.
Hence determine the maximum value of in terms of and .
By solving the logistic differential equation, show that its solution can be expressed in the form
.
After years, the population of marsupials is . It is known that .
Find the value of for this population model.
Markscheme
rate of growth (change) of the (marsupial) population (with respect to time) A1
[1 mark]
Note: Do not accept growth (change) in the (marsupials) population per year.
METHOD 1
attempts implicit differentiation on be expanding (M1)
A1A1
A1
and so AG
METHOD 2
attempts implicit differentiation (product rule) on M1
A1
substitutes into their M1
A1
so AG
[4 marks]
(M1)
A2
Note: Award A1 for only.
uses the second derivative to show that concavity changes at or the first derivative to show a local maximum at M1
EITHER
a clearly labelled correct sketch of versus showing corresponding to a local maximum point for R1
OR
a correct and clearly labelled sign diagram (table) showing corresponding to a local maximum point for R1
OR
for example, with and with showing corresponds to a local maximum point for R1
so the population is increasing at its maximum rate when AG
[5 marks]
substitutes into (M1)
the maximum value of is A1
[2 marks]
METHOD 1
attempts to separate variables M1
attempts to write in partial fractions form M1
A1
A1A1
Note: Award A1 for and A1 for and . Absolute value signs are not required.
attempts to find in terms of and M1
when and so
A1
so AG
METHOD 2
attempts to separate variables M1
attempts to write in partial fractions form M1
A1
A1A1
Note: Award A1 for and A1 for and . Absolute value signs are not required.
attempts to find in terms of and M1
when and so
A1
AG
METHOD 3
lets and forms M1
multiplies both sides of the differential equation by and makes the above substitutions M1
(linear first-order DE) A1
(M1)
A1
attempts to find in terms of and M1
when and so
A1
AG
[7 marks]
substitutes and into M1
A1
[2 marks]
Examiners report
An extremely tricky question even for the strong candidates. Many struggled to understand what was expected in parts (b) and (c). As the question was set all with pronumerals instead of numbers many candidates found it challenging, thrown at deep water for parts (b), (c) and (e). It definitely was the question to show their skills for the Level 7 candidates provided that they did not run out of time.
Part (a) Very well answered, mostly correctly referring to the rate of change. Some candidates did not gain this mark because their sentence did not include the reference to the rate of change. Worded explanations continue being problematic to many candidates.
Part (b) Many candidates were confused how to approach this question and did not realise that they
needed to differentiate implicitly. Some tried but with errors, some did not fully show what was required.
Part (c) Most candidates started with equating the second derivative to zero. Most gave the answer omitting the other two possibilities. Most stopped here. Only a small number of candidates provided the correct mathematical argument to show it is a local maximum.
Part (d) Well done by those candidates who got that far. Most got the correct answer, sometimes not fully simplified.
Part (e) Most candidates separated the variables, but some were not able to do much more. Some candidates knew to resolve into partial fractions and attempted to do so, mainly successfully. Then they integrated, again, mainly successfully and continued to substitute the initial condition and manipulate the equation accordingly.
Part (f) Algebraic manipulation of the logarithmic expression was too much for some candidates with a common error of 0.33 given as the answer. The strong candidates provided the correct exact or rounded value.
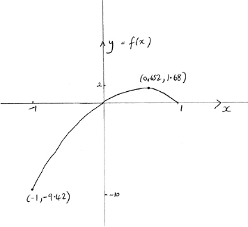
Consider the function .
The function is given by , where .
Show that is an odd function.
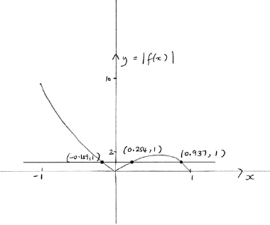
Solve the inequality .
Markscheme
attempt to replace with M1
EITHER
A1
OR
A1
Note: Award M1A0 for a graphical approach including evidence that either the graph is invariant after rotation by about the origin or the graph is invariant after a reflection in the -axis and then in the -axis (or vice versa).
so is an odd function AG
[2 marks]
attempt to find at least one intersection point (M1)
A1
A1
A1
[4 marks]
Examiners report
A scientist conducted a nine-week experiment on two plants, and , of the same species. He wanted to determine the effect of using a new plant fertilizer. Plant was given fertilizer regularly, while Plant was not.
The scientist found that the height of Plant , at time weeks can be modelled by the function , where .
The scientist found that the height of Plant , at time weeks can be modelled by the function , where .
Use the scientist’s models to find the initial height of
Plant .
Plant correct to three significant figures.
Find the values of when .
For , prove that Plant was always taller than Plant .
For , find the total amount of time when the rate of growth of Plant was greater than the rate of growth of Plant .
Markscheme
(cm) A1
[1 mark]
(M1)
(cm) A1
[2 marks]
attempts to solve for (M1)
(weeks) A2
[3 marks]
A1
EITHER
for A1
and as R1
OR
the minimum value of R1
so for A1
THEN
hence for , Plant was always taller than Plant AG
[3 marks]
recognises that and are required (M1)
attempts to solve for (M1)
and OR and OR and (A1)
Note: Award full marks for .
Award subsequent marks for correct use of these exact values.
OR OR (A1)
attempts to calculate the total amount of time (M1)
(weeks) A1
[6 marks]
Examiners report
Part (a) In general, very well done, most students scored full marks. Some though had an incorrect answer for part(a)(ii) because they had their GDC in degrees.
Part (b) Well attempted. Some accuracy errors and not all candidates listed all three values.
Part (c) Most students tried a graphical approach (but this would only get them one out of three marks) and only some provided a convincing algebraic justification. Many candidates tried to explain in words without a convincing mathematical justification or used numerical calculations with specific time values. Some arrived at the correct simplified equation for the difference in heights but could not do much with it. Then only a few provided a correct mathematical proof.
Part (d) In general, well attempted by many candidates. The common error was giving the answer as 3.15 due to the pre-mature rounding. Some candidates only provided the values of time when the rates are equal, some intervals rather than the total time.
Consider the expression .
The expression can be written as where .
Let , β be the roots of , where 0 < < 1.
Sketch the graph of for .
With reference to your graph, explain why is a function on the given domain.
Explain why has no inverse on the given domain.
Explain why is not a function for .
Show that .
Sketch the graph of for t ≤ 0. Give the coordinates of any intercepts and the equations of any asymptotes.
Find and β in terms of .
Show that + β < −2.
Markscheme
A1A1
A1 for correct concavity, many to one graph, symmetrical about the midpoint of the domain and with two axes intercepts.
Note: Axes intercepts and scales not required.
A1 for correct domain
[2 marks]
for each value of there is a unique value of A1
Note: Accept “passes the vertical line test” or equivalent.
[1 mark]
no inverse because the function fails the horizontal line test or equivalent R1
Note: No FT if the graph is in degrees (one-to-one).
[1 mark]
the expression is not valid at either of R1
[1 mark]
METHOD 1
M1
M1A1
AG
METHOD 2
(M1)
A1
A1
AG
[3 marks]
for t ≤ 0, correct concavity with two axes intercepts and with asymptote = 1 A1
t intercept at (−1, 0) A1
intercept at (0, 1) A1
[3 marks]
METHOD 1
, β satisfy M1
A1
A1
attempt at using quadratic formula M1
, β or equivalent A1
METHOD 2
, β satisfy M1
M1
(or equivalent) A1
M1
(or equivalent) A1
so for eg, , β
[5 marks]
+ β A1
since R1
+ β < −2 AG
Note: Accept a valid graphical reasoning.
[2 marks]
Examiners report
Let , where , ,
Given that is a factor of , find a relationship between , and .
Given that is a factor of , write down the value of .
Given that is a factor of , and that , find the values of and .
Markscheme
* This question is from an exam for a previous syllabus, and may contain minor differences in marking or structure.
attempt to substitute and set equal to zero, or use of long / synthetic division (M1)
A1
[2 marks]
0 A1
[1 mark]
EITHER
attempt to solve (M1)
OR
(M1)
comparing coefficients gives = 5, = 2
THEN
= 105 A1
= 50 A1
[3 marks]
Examiners report
Consider the equation , where , , , .
The equation has three distinct real roots which can be written as , and .
The equation also has two imaginary roots, one of which is where .
The values , , and are consecutive terms in a geometric sequence.
Show that .
Show that one of the real roots is equal to 1.
Given that , find the other two real roots.
Markscheme
* This question is from an exam for a previous syllabus, and may contain minor differences in marking or structure.
recognition of the other root (A1)
M1A1
Note: Award M1 for sum of the roots, A1 for 3. Award A0M1A0 for just .
(M1)
A1
AG
[5 marks]
METHOD 1
let the geometric series be , ,
M1
A1
hence one of the roots is R1
METHOD 2
M1
A1
hence one of the roots is R1
[3 marks]
METHOD 1
product of the roots is (M1)(A1)
A1
sum of the roots is (M1)(A1)
A1
solving simultaneously (M1)
, A1A1
METHOD 2
product of the roots M1A1
A1
EITHER
, , can be written as , , M1
attempt to solve M1
A1A1
OR
, , can be written as , , M1
attempt to solve M1
A1A1
THEN
and are (A1)
roots are −2, 4 A1
[9 marks]
Examiners report
The following diagram shows the graph of , .
Find the value of .
Given that , determine the value of .
Given that , find the domain and range of .
Markscheme
(A1)
A1
[2 marks]
(M1)
A1
[2 marks]
domain is A1
range is A1
[2 marks]
Examiners report
Find the set of values of that satisfy the inequality .
The triangle ABC is shown in the following diagram. Given that , find the range of possible values for AB.

Markscheme
* This question is from an exam for a previous syllabus, and may contain minor differences in marking or structure.
(M1)
A1
[2 marks]
M1
A1
from result in (a)
or (A1)
but AB must be at least 2
A1
Note: Allow for either of the final two A marks.
[4 marks]
Examiners report
Consider the function , , where , , .
The following graph shows the curve . It has asymptotes at and and meets the -axis at A.
On the following axes, sketch the two possible graphs of giving the equations of any asymptotes in terms of and .
Given that , and A has coordinates , determine the possible sets of values for , and .
Markscheme
* This question is from an exam for a previous syllabus, and may contain minor differences in marking or structure.
either graph passing through (or touching) A A1
correct shape and vertical asymptote with correct equation for either graph A1
correct horizontal asymptote with correct equation for either graph A1
two completely correct sketches A1
[4 marks]
A1
from horizontal asymptote, (M1)
A1
from vertical asymptote,
= 3, = −4 or = −3, = 4 A1
[4 marks]
Examiners report
The function has a derivative given by where is a positive constant.
Consider , the population of a colony of ants, which has an initial value of .
The rate of change of the population can be modelled by the differential equation , where is the time measured in days, , and is the upper bound for the population.
At the population of the colony has doubled in size from its initial value.
The expression for can be written in the form , where . Find and in terms of .
Hence, find an expression for .
By solving the differential equation, show that .
Find the value of , giving your answer correct to four significant figures.
Find the value of when the rate of change of the population is at its maximum.
Markscheme
(A1)
attempt to compare coefficients OR substitute and and solve (M1)
and A1
[3 marks]
attempt to integrate their (M1)
A1A1
Note: Award A1 for each correct term. Award A1A0 for a correct answer without modulus signs. Condone the absence of .
[3 marks]
attempt to separate variables and integrate both sides M1
A1
Note: There are variations on this which should be accepted, such as . Subsequent marks for these variations should be awarded as appropriate.
EITHER
attempt to substitute into an equation involving M1
A1
A1
A1
OR
A1
attempt to substitute M1
A1
A1
THEN
attempt to rearrange and isolate M1
OR OR
OR A1
AG
[8 marks]
attempt to substitute (M1)
(A1)
A1
Note: Award (M1)(A1)A0 for any other value of which rounds to
[3 marks]
attempt to find the maximum of the first derivative graph OR zero of the second derivative graph OR that (M1)
(days) A2
Note: Accept any value which rounds to .
[3 marks]
Examiners report
Two airplanes, and , have position vectors with respect to an origin given respectively by
where represents the time in minutes and .
Entries in each column vector give the displacement east of , the displacement north of and the distance above sea level, all measured in kilometres.
The two airplanes’ lines of flight cross at point .
Find the three-figure bearing on which airplane is travelling.
Show that airplane travels at a greater speed than airplane .
Find the acute angle between the two airplanes’ lines of flight. Give your answer in degrees.
Find the coordinates of .
Determine the length of time between the first airplane arriving at and the second airplane arriving at .
Let represent the distance between airplane and airplane for .
Find the minimum value of .
Markscheme
let be the required angle (bearing)
EITHER
(M1)
Note: Award M1 for a labelled sketch.
OR
(M1)
THEN
A1
Note: Do not accept or or .
[2 marks]
METHOD 1
let be the speed of and let be the speed of
attempts to find the speed of one of or (M1)
or
Note: Award M0 for and .
(km min-1) and (km min-1) A1
so travels at a greater speed than AG
METHOD 2
attempts to use
and (M1)
for example:
and
and
and A1
so travels at a greater speed than AG
[2 marks]
attempts to use the angle between two direction vectors formula (M1)
(A1)
or
attempts to find the acute angle using their value of (M1)
A1
[4 marks]
for example, sets and forms at least two equations (M1)
Note: Award M0 for equations involving only.
EITHER
attempts to solve the system of equations for one of or (M1)
or A1
OR
attempts to solve the system of equations for and (M1)
or A1
THEN
substitutes their or value into the corresponding or (M1)
A1
Note: Accept . Accept km east of , km north of and km above sea level.
[5 marks]
attempts to find the value of (M1)
minutes ( seconds) A1
[2 marks]
EITHER
attempts to find (M1)
attempts to find their (M1)
A1
OR
attempts to find (M1)
attempts to find their (M1)
A1
Note: Award M0M0A0 for expressions using two different time parameters.
THEN
either attempts to find the local minimum point of or attempts to find the value of such that (or equivalent) (M1)
minimum value of is (km) A1
Note: Award M0 for attempts at the shortest distance between two lines.
[5 marks]
Examiners report
General comment about this question: many candidates were not exposed to this setting of vectors question and were rather lost.
Part (a) Probably the least answered question on the whole paper. Many candidates left it blank, others tried using 3D vectors. Out of those who calculated the angle correctly, only a small percentage were able to provide the correct true bearing as a 3-digit figure.
Part (b) Well done by many candidates who used the direction vectors to calculate and compare the speeds. A number of candidates tried to use the average rate of change but mostly unsuccessfully.
Part (c) Most candidates used the correct vectors and the formula to obtain the obtuse angle. Then only some read the question properly to give the acute angle in degrees, as requested.
Part (d) Well done by many candidates who used two different parameters. They were able to solve and obtain two values for time, the difference in minutes and the correct point of intersection. A number of candidates only had one parameter, thus scoring no marks in part (d) (i). The frequent error in part (d)(ii) was providing incorrect units.
Part (e) Many correct answers were seen with an efficient way of setting the question and using their GDC to obtain the answer, graphically or numerically. Some gave time only instead of actually giving the minimal distance. A number of candidates tried to find the distance between two skew lines ignoring the fact that the lines intersect.
The number of bananas that Lucca eats during any particular day follows a Poisson distribution with mean 0.2.
Find the probability that Lucca eats at least one banana in a particular day.
Find the expected number of weeks in the year in which Lucca eats no bananas.
Markscheme
* This question is from an exam for a previous syllabus, and may contain minor differences in marking or structure.
let be the number of bananas eaten in one day
(M1)
A1
[2 marks]
EITHER
let be the number of bananas eaten in one week
(A1)
(A1)
OR
let be the number of days in one week at least one banana is eaten
(A1)
(A1)
THEN
(M1)
A1
[4 marks]
Examiners report
A continuous random variable has the probability density function given by
where .
Show that .
Find the value of .
Markscheme
recognition of the need to integrate (M1)
EITHER
(or equivalent) (A1)
A1
OR
(A1)
A1
THEN
attempt to use correct limits for their integrand and set equal to M1
OR
A1
AG
[5 marks]
attempt to solve (M1)
A1
[2 marks]
Examiners report
The polynomial is exactly divisible by each of , and .
Find the values of , and .
Markscheme
* This question is from an exam for a previous syllabus, and may contain minor differences in marking or structure.
METHOD 1
substitute each of = 1,2 and 3 into the quartic and equate to zero (M1)
or equivalent (A2)
Note: Award A2 for all three equations correct, A1 for two correct.
attempting to solve the system of equations (M1)
= −7, = 17, = −17 A1
Note: Only award M1 when some numerical values are found when solving algebraically or using GDC.
METHOD 2
attempt to find fourth factor (M1)
A1
attempt to expand M1
( = −7, = 17, = −17) A2
Note: Award A2 for all three values correct, A1 for two correct.
Note: Accept long / synthetic division.
[5 marks]
Examiners report
The function is defined by , .
Write down the range of .
Find , stating its domain.
Markscheme
* This question is from an exam for a previous syllabus, and may contain minor differences in marking or structure.
≥ 3 A1
[1 mark]
(M1)
Note: Exchange of variables can take place at any point.
(A1)
, ≥ 3 A1A1
Note: Allow follow through from (a) for last A1 mark which is independent of earlier marks in (b).
[4 marks]
Examiners report
Consider the graphs of and , .
Find the set of values for such that the two graphs have no intersection points.
Markscheme
METHOD 1
sketching the graph of () M1
the (oblique) asymptote has a gradient equal to 1
and so the maximum value of is 1 R1
consideration of a straight line steeper than the horizontal line joining (−3, 0) and (0, 0) M1
so > 0 R1
hence 0 < ≤ 1 A1
METHOD 2
attempting to eliminate to form a quadratic equation in M1
A1
EITHER
attempting to solve for M1
OR
attempting to solve < 0 ie for M1
THEN
A1
a valid reason to explain why gives no solutions eg if ,
and so 0 < ≤ 1 R1
[5 marks]
Examiners report
Consider the equation , where .
Write down an expression for the product of the roots, in terms of .
Hence or otherwise, determine the values of such that the equation has one positive and one negative real root.
Markscheme
product of roots A1
[1 mark]
recognition that the product of the roots will be negative (M1)
critical values seen (A1)
A1
[3 marks]
Examiners report
Consider the function .
Consider the region bounded by the curve , the -axis and the lines .
Show that the -coordinate of the minimum point on the curve satisfies the equation .
Determine the values of for which is a decreasing function.
Sketch the graph of showing clearly the minimum point and any asymptotic behaviour.
Find the coordinates of the point on the graph of where the normal to the graph is parallel to the line .
This region is now rotated through radians about the -axis. Find the volume of revolution.
Markscheme
attempt to use quotient rule or product rule M1
A1A1
Note: Award A1 for or equivalent and A1 for or equivalent.
setting M1
or equivalent A1
AG
[5 marks]
A1A1
Note: Award A1 for and A1 for . Accept .
[2 marks]

concave up curve over correct domain with one minimum point above the -axis. A1
approaches asymptotically A1
approaches asymptotically A1
Note: For the final A1 an asymptote must be seen, and must be seen on the -axis or in an equation.
[3 marks]
(A1)
attempt to solve for (M1)
A1
A1
[4 marks]
(M1)(A1)
Note: M1 is for an integral of the correct squared function (with or without limits and/or ).
A1
[3 marks]