HL Paper 2
Phosphoric acid, H3PO4 can form three different salts depending on the extent of neutralisation by sodium hydroxide.
Formulate an equation for the reaction of one mole of phosphoric acid with one mole of sodium hydroxide.
Formulate two equations to show the amphiprotic nature of H2PO4−.
Calculate the concentration of H3PO4 if 25.00 cm3 is completely neutralised by the addition of 28.40 cm3 of 0.5000 mol dm−3 NaOH.
Outline the reasons that sodium hydroxide is considered a Brønsted–Lowry and Lewis base.
Markscheme
H3PO4 (aq) + NaOH (aq) → NaH2PO4 (aq) + H2O (l) ✔
Accept net ionic equation.
H2PO4− (aq) + H+ (aq) → H3PO4 (aq) ✔
H2PO4− (aq) + OH− (aq) → HPO42− (aq) + H2O (l) ✔
Accept reactions of H2PO4− with any acidic, basic or amphiprotic species, such as H3O+, NH3 or H2O.
Accept H2PO4− (aq) → HPO42− (aq) + H+ (aq) for M2.
«»
«» 0.004733 «mol» ✔
«» 0.1893 «mol dm−3» ✔
Award [2] for correct final answer.
Brønsted–Lowry base:
proton acceptor
AND
Lewis Base:
e– pair donor/nucleophile ✔
Examiners report
The concentration of a solution of a weak acid, such as ethanedioic acid, can be determined
by titration with a standard solution of sodium hydroxide, NaOH (aq).
5.00 g of an impure sample of hydrated ethanedioic acid, (COOH)2•2H2O, was dissolved in water to make 1.00 dm3 of solution. 25.0 cm3 samples of this solution were titrated against a 0.100 mol dm-3 solution of sodium hydroxide using a suitable indicator.
(COOH)2 (aq) + 2NaOH (aq) → (COONa)2 (aq) + 2H2O (l)
The mean value of the titre was 14.0 cm3.
(i) Suggest a suitable indicator for this titration. Use section 22 of the data booklet.
(ii) Calculate the amount, in mol, of NaOH in 14.0 cm3 of 0.100 mol dm-3 solution.
(iii) Calculate the amount, in mol, of ethanedioic acid in each 25.0 cm3 sample.
(iv) Determine the percentage purity of the hydrated ethanedioic acid sample.
Draw the Lewis (electron dot) structure of the ethanedioate ion, –OOCCOO–.
Outline why all the C–O bond lengths in the ethanedioate ion are the same length and suggest a value for them. Use section 10 of the data booklet.
Explain how ethanedioate ions act as ligands.
Markscheme
i
phenolphthalein
OR
phenol red
ii
«n(NaOH) = dm3 × 0.100 mol dm-3 =» 1.40 × 10-3 «mol»
iii
« × 1.40 × 10-3 =» 7.00 × 10-4 «mol»
iv
ALTERNATIVE 1:
«mass of pure hydrated ethanedioic acid in each titration = 7.00 × 10-4 mol × 126.08 g mol-1 =» 0.0883 / 8.83 × 10-2 «g»
mass of sample in each titration = « × 5.00 g =» 0.125 «g»
«% purity = × 100 =» 70.6 «%»
ALTERNATIVE 2:
«mol of pure hydrated ethanedioic acid in 1 dm3 solution = 7.00 × 10-4 × =» 2.80 × 10-2 «mol»
«mass of pure hydrated ethanedioic acid in sample = 2.80 × 10-2 mol × 126.08 g mol-1 =» 3.53 «g»
«% purity = × 100 =» 70.6 «%»
ALTERNATIVE 3:
mol of hydrated ethanedioic acid (assuming sample to be pure) = = 0.03966 «mol»
actual amount of hydrated ethanedioic acid = «7.00 × 10-4 × =» 2.80 × 10-2 «mol»
«% purity = × 100 =» 70.6 «%»
Award suitable part marks for alternative methods.
Award [3] for correct final answer.
Award [2 max] for 50.4 % if anhydrous ethanedioic acid assumed.
Accept single negative charges on two O atoms singly bonded to C.
Do not accept resonance structures.
Allow any combination of dots/crosses or lines to represent electron pairs.
electrons delocalized «across the O–C–O system»
OR
resonance occurs
Accept delocalized π-bond(s).
No ECF from (d).
122 «pm» < C–O < 143 «pm»
Accept any answer in range 123 «pm» to 142 «pm».
Accept “bond intermediate between single and double bond” or “bond order 1.5”.
coordinate/dative/covalent bond from O to «transition» metal «ion»
OR
acts as a Lewis base/nucleophile
can occupy two positions
OR
provide two electron pairs from different «O» atoms
OR
form two «coordinate/dative/covalent» bonds «with the metal ion»
OR
chelate «metal/ion»
Examiners report
Butanoic acid, CH3CH2CH2COOH, is a weak acid and ethylamine, CH3CH2NH2, is a weak base.
State the equation for the reaction of each substance with water.
Draw a diagram showing the delocalization of electrons in the conjugate base of butanoic acid.
Deduce the average oxidation state of carbon in butanoic acid.
A 0.250 mol dm−3 aqueous solution of butanoic acid has a concentration of hydrogen ions, [H+], of 0.00192 mol dm−3. Calculate the concentration of hydroxide ions, [OH−], in the solution at 298 K.
Determine the pH of a 0.250 mol dm−3 aqueous solution of ethylamine at 298 K, using section 21 of the data booklet.
Sketch the pH curve for the titration of 25.0 cm3 of ethylamine aqueous solution with 50.0 cm3 of butanoic acid aqueous solution of equal concentration. No calculations are required.
Explain why butanoic acid is a liquid at room temperature while ethylamine is a gas at room temperature.
State a suitable reagent for the reduction of butanoic acid.
Deduce the product of the complete reduction reaction in (e)(i).
Markscheme
Butanoic acid:
CH3CH2CH2COOH (aq) + H2O (l) CH3CH2CH2COO− (aq) + H3O+ (aq) ✔
Ethylamine:
CH3CH2NH2 (aq) + H2O (l) CH3CH2NH3+ (aq) + OH− (aq) ✔
Diagram showing:
dotted line along O–C–O AND negative charge
Accept correct diagrams with pi clouds.
–1 ✔
«» = 5.21 × 10–12 «mol dm–3» ✔
«pKb = 3.35, Kb = 10–3.35 = 4.5 × 10–4»
«C2H5NH2 + H2O C2H5NH3+ + OH–»
Kb =
OR
«Kb =» 4.5 × 10–4 =
OR
«Kb =» 4.5 × 10–4 = ✔
« x = [OH–] =» 0.011 «mol dm–3» ✔
«pH = –log» 12.04
OR
«pH = 14.00 – (–log 0.011)=» 12.04 ✔
Award [3] for correct final answer.
decreasing pH curve ✔
pH close to 7 (6–8) at volume of 25 cm3 butanoic acid ✔
weak acid/base shape with no flat «strong acid/base» parts on the curve ✔
Any two of:
butanoic acid forms more/stronger hydrogen bonds ✔
butanoic acid forms stronger London/dispersion forces ✔
butanoic acid forms stronger dipole–dipole interaction/force ✔
Accept “butanoic acid forms dimers”
Accept “butanoic acid has larger Mr/hydrocarbon chain/number of electrons” for M2.
Accept “butanoic acid has larger «permanent» dipole/more polar” for M3.
lithium aluminium hydride/LiAlH4 ✔
butan-1-ol/1-butanol/CH3CH2CH2CH2OH ✔
Examiners report
Graphing is an important tool in the study of rates of chemical reactions.
The graph represents the titration of 25.00 cm3 of 0.100 mol dm−3 aqueous ethanoic acid with 0.100 mol dm−3 aqueous sodium hydroxide.

Deduce the major species, other than water and sodium ions, present at points A and B during the titration.
Calculate the pH of 0.100 mol dm−3 aqueous ethanoic acid.
Ka = 1.74 × 10−5
Outline, using an equation, why sodium ethanoate is basic.
Predict whether the pH of an aqueous solution of ammonium chloride will be greater than, equal to or less than 7 at 298 K.
Formulate the equation for the reaction of nitrogen dioxide, NO2, with water to form two acids.
Formulate the equation for the reaction of one of the acids produced in (e)(i) with calcium carbonate.
Markscheme
A: CH3COOH/ethanoic/acetic acid AND CH3COO–/ethanoate/acetate ions
B: CH3COO–/ethanoate/acetate ions
Penalize “sodium ethanoate/acetate” instead of “ethanoate/acetate ions” only once.
[2 marks]
OR
[H+] = 1.32 × 10–3 «mol dm–3»
«pH =» 2.88
Accept [2] for correct final answer.
[2 marks]
«forms weak acid and strong base, thus basic»
CH3COO–(aq) + H2O(l) CH3COOH(aq) + OH–(aq)
Accept → for .
[1 mark]
less than 7
[1 mark]
2NO2(g) + H2O(l) → HNO2(aq) + HNO3(aq)
[1 mark]
2HNO2(aq) + CaCO3(s) → Ca(NO2)2(aq) + CO2(g) + H2O(l)
OR
2HNO3(aq) + CaCO3(s) → Ca(NO3)2(aq) + CO2(g) + H2O(l)
[1 mark]
Examiners report
A student titrated two acids, hydrochloric acid, HCl (aq) and ethanoic acid, CH3COOH (aq), against 50.0 cm3 of 0.995 mol dm–3 sodium hydroxide, NaOH (aq), to determine their concentration. The temperature of the reaction mixture was measured after each acid addition and plotted against the volume of each acid.
Using the graph, estimate the initial temperature of the solutions.
Determine the maximum temperature reached in each experiment by analysing the graph.
Suggest why the enthalpy change of neutralization of CH3COOH is less negative than that of HCl.
Markscheme
21.4 °C
Accept values in the range of 21.2 to 21.6 °C.
Accept two different values for the two solutions from within range.
HCl: 30.4 «°C»
Accept range 30.2 to 30.6 °C.
CH3COOH: 29.0 «°C»
Accept range 28.8 to 29.2 °C.
CH3COOH is weak acid/partially ionised
energy used to ionize weak acid «before reaction with NaOH can occur»
Examiners report
Sulfur trioxide is produced from sulfur dioxide.
2SO2 (g) + O2 (g) 2SO3 (g) ΔH = −196 kJ mol−1
The reaction between sulfur dioxide and oxygen can be carried out at different temperatures.
Outline, giving a reason, the effect of a catalyst on a reaction.
On the axes, sketch Maxwell–Boltzmann energy distribution curves for the reacting species at two temperatures T1 and T2, where T2 > T1.
Explain the effect of increasing temperature on the yield of SO3.
Draw the Lewis structure of SO3.
Explain the electron domain geometry of SO3.
State the product formed from the reaction of SO3 with water.
State the meaning of a strong Brønsted–Lowry acid.
Markscheme
increases rate AND lower Ea ✔
provides alternative pathway «with lower Ea»
OR
more/larger fraction of molecules have the «lower» Ea ✔
Accept description of how catalyst lowers Ea for M2 (e.g. “reactants adsorb on surface «of catalyst»”, “reactant bonds weaken «when adsorbed»”, “helps favorable orientation of molecules”).
both axes correctly labelled ✔
peak of T2 curve lower AND to the right of T1 curve ✔
lines begin at origin AND correct shape of curves AND T2 must finish above T1 ✔
Accept “probability «density» / number of particles / N / fraction” on y-axis.
Accept “kinetic E/KE/Ek” but not just “Energy/E” on x-axis.
decrease AND equilibrium shifts left / favours reverse reaction ✔
«forward reaction is» exothermic / ΔH is negative ✔
✔
Note:
Accept any of the above structures as formal charge is not being assessed.
three electron domains «attached to the central atom» ✔
repel/as far away as possible /120° «apart» ✔
sulfuric acid/H2SO4 ✔
Accept “disulfuric acid/H2S2O7”.
fully ionizes/dissociates ✔
proton/H+ «donor »✔
Examiners report
Overall well answered though some answers were directed to explain the specific example rather than the simple and standard definition of the effect of a catalyst.
Few got the 3 marks for this standard question (average mark 1.7), the most common error being incomplete/incorrect labelling of axes, curves beginning above 0 on y-axis or inverted curves.
Many candidates got one mark at least, sometimes failing to state the effect on the production of SO3 though they knew this quite obviously. This failure to read the question properly also resulted in an incorrect prediction based exclusively on kinetics instead of using the information provided to guide their answers.
Drawing the Lewis structure of SO3 proved to be challenging, with lots of incorrect shapes, lone pair on S, etc.; accepting all resonant structures allowed many candidates to get the mark which was fair considering no formal charge estimation was required.
Most were focussed on the shape itself instead of explaining what led them to suggest that shape; number of electron domains allowed most candidates to get one mark and eventually a mention of bond angles resulted in only 35% getting both marks. In general, students were not able to provide clear explanations for the shape (not a language issue) but rather were happy to state the molecular geometry which they knew, but wasn't what was actually required for the mark.
6(d)(i)-(ii): These simple questions could be expected to be answered by all HL candidates. However 20% of the candidates suggested hydroxides or hydrogen as products of an aqueous dissolution of sulphur oxide. In the case of the definition of a strong Brønsted-Lowry acid, only 50% got both marks, often failing to define "strong" but in other cases defining them as bases even.
Soluble acids and bases ionize in water.
A solution containing 0.510 g of an unknown monoprotic acid, HA, was titrated with 0.100 mol dm–3 NaOH(aq). 25.0 cm3 was required to reach the equivalence point.
The following curve was obtained using a pH probe.
State, giving a reason, the strength of the acid.
State a technique other than a pH titration that can be used to detect the equivalence point.
Deduce the pKa for this acid.
The pKa of an anthocyanin is 4.35. Determine the pH of a 1.60 × 10–3 mol dm–3 solution to two decimal places.
Markscheme
weak AND pH at equivalence greater than 7
OR
weak acid AND forms a buffer region
[1 mark]
calorimetry
OR
measurement of heat/temperature
OR
conductivity measurement
Accept “indicator” but not “universal indicator”.
[1 mark]
«pKa = pH at half-equivalence =» 5.0
[1 mark]
Ka =
[H3O+] = «mol dm–3»
pH = «» 3.57
Award [3] for correct final answer to two decimal places.
If quadratic equation used, then: [H3O+] = 2.459 × 10–4 «mol dm–3» and pH = 3.61
[3 marks]
Examiners report
When heated in air, magnesium ribbon reacts with oxygen to form magnesium oxide.
The reaction in (a)(i) was carried out in a crucible with a lid and the following data was recorded:
Mass of crucible and lid = 47.372 ±0.001 g
Mass of crucible, lid and magnesium ribbon before heating = 53.726 ±0.001 g
Mass of crucible, lid and product after heating = 56.941 ±0.001 g
When magnesium is burnt in air, some of it reacts with nitrogen to form magnesium nitride according to the equation:
3 Mg (s) + N2 (g) → Mg3N2 (s)
The presence of magnesium nitride can be demonstrated by adding water to the product. It is hydrolysed to form magnesium hydroxide and ammonia.
Most nitride ions are 14N3–.
Write a balanced equation for the reaction that occurs.
Identify a metal, in the same period as magnesium, that does not form a basic oxide.
Calculate the amount of magnesium, in mol, that was used.
Determine the percentage uncertainty of the mass of product after heating.
Assume the reaction in (a)(i) is the only one occurring and it goes to completion, but some product has been lost from the crucible. Deduce the percentage yield of magnesium oxide in the crucible.
Evaluate whether this, rather than the loss of product, could explain the yield found in (b)(iii).
Suggest an explanation, other than product being lost from the crucible or reacting with nitrogen, that could explain the yield found in (b)(iii).
Calculate coefficients that balance the equation for the following reaction.
Ammonia is added to water that contains a few drops of an indicator. Identify an indicator that would change colour. Use sections 21 and 22 of the data booklet.
Determine the oxidation state of nitrogen in Mg3N2 and in NH3.
Deduce, giving reasons, whether the reaction of magnesium nitride with water is an acid–base reaction, a redox reaction, neither or both.
State the number of subatomic particles in this ion.
Some nitride ions are 15N3–. State the term that describes the relationship between 14N3– and 15N3–.
The nitride ion and the magnesium ion are isoelectronic (they have the same electron configuration). Determine, giving a reason, which has the greater ionic radius.
Suggest, giving a reason, whether magnesium or nitrogen would have the greater sixth ionization energy.
Suggest two reasons why atoms are no longer regarded as the indivisible units of matter.
State the types of bonding in magnesium, oxygen and magnesium oxide, and how the valence electrons produce these types of bonding.
Markscheme
2 Mg(s) + O2(g) → 2 MgO(s) ✔
Do not accept equilibrium arrows. Ignore state symbols
aluminium/Al ✔
mass of product ✔
✔
Award [2] for correct final answer
Accept 0.021%
✔
✔
Award «0.2614 mol x 40.31 g mol–1»
Accept alternative methods to arrive at the correct answer.
Accept final answers in the range 90.5-91.5%
[2] for correct final answer.
yes
AND
«each Mg combines with N, so» mass increase would be 14x which is less than expected increase of 16x
OR
3 mol Mg would form 101g of Mg3N2 but would form 3 x MgO = 121 g of MgO
OR
0.2614 mol forms 10.536 g of MgO, but would form 8.796 g of Mg3N2 ✔
Accept Yes AND “the mass of N/N2 that combines with each g/mole of Mg is lower than that of O/O2”
Accept YES AND “molar mass of nitrogen less than of oxygen”.
incomplete reaction
OR
Mg was partially oxidised already
OR
impurity present that evaporated/did not react ✔
Accept “crucible weighed before fully cooled”.
Accept answers relating to a higher atomic mass impurity consuming less O/O2.
Accept “non-stoichiometric compounds formed”.
Do not accept "human error", "wrongly calibrated balance" or other non-chemical reasons.
If answer to (b)(iii) is >100%, accept appropriate reasons, such as product absorbed moisture before being weighed.
«1» Mg3N2 (s) + 6 H2O (l) → 3 Mg(OH)2 (s) + 2 NH3 (aq) ✔
phenol red ✔
Accept bromothymol blue or phenolphthalein.
Mg3N2: -3
AND
NH3: -3 ✔
Do not accept 3 or 3-
Acid–base:
yes AND N3- accepts H+/donates electron pair«s»
OR
yes AND H2O loses H+ «to form OH-»/accepts electron pair«s» ✔
Redox:
no AND no oxidation states change ✔
Accept “yes AND proton transfer takes place”
Accept reference to the oxidation state of specific elements not changing.
Accept “not redox as no electrons gained/lost”.
Award [1 max] for Acid–base: yes AND Redox: no without correct reasons, if no other mark has been awarded
Protons: 7 AND Neutrons: 7 AND Electrons: 10 ✔
isotope«s» ✔
nitride AND smaller nuclear charge/number of protons/atomic number ✔
nitrogen AND electron lost from first «energy» level/s sub-level/s-orbital AND magnesium from p sub-level/p-orbital/second «energy» level
OR
nitrogen AND electron lost from lower level «than magnesium» ✔
Accept “nitrogen AND electron lost closer to the nucleus «than magnesium»”.
Any two of:
subatomic particles «discovered»
OR
particles smaller/with masses less than atoms «discovered»
OR
«existence of» isotopes «same number of protons, different number of neutrons» ✔
charged particles obtained from «neutral» atoms
OR
atoms can gain or lose electrons «and become charged» ✔
atom «discovered» to have structure ✔
fission
OR
atoms can be split ✔
Accept atoms can undergo fusion «to produce heavier atoms»
Accept specific examples of particles.
Award [2] for “atom shown to have a nucleus with electrons around it” as both M1 and M3.
Award [1] for all bonding types correct.
Award [1] for each correct description.
Apply ECF for M2 only once.
Examiners report
Done very well. However, it was disappointing to see the formula of oxygen molecule as O and the oxide as Mg2O and MgO2 at HL level.
Average performance; the question asked to identify a metal; however, answers included S, Si, P and even noble gases besides Be and Na. The only choice of aluminium; however, since its oxide is amphoteric, it could not be the answer in the minds of some.
Very good performance; some calculated the mass of oxygen instead of magnesium for the calculation of the amount, in mol, of magnesium. Others calculated the mass, but not the amount in mol as required.
Mediocre performance; instead of calculating percentage uncertainty, some calculated percentage difference.
Satisfactory performance; however, a good number could not answer the question correctly on determining the percentage yield.
Poorly done. The question asked to evaluate and explain but instead many answers simply agreed with the information provided instead of assessing its strength and limitation.
Mediocre performance; explaining the yield found was often a challenge by not recognizing that incomplete reaction or Mg partially oxidized or impurities present that evaporated or did not react would explain the yield.
Calculating coefficients that balance the given equation was done very well.
Well done; some chose bromocresol green or methyl red as the indicator that would change colour, instead of phenol red, bromothymol blue or phenolphthalein.
Good performance; however, surprising number of candidates could not determine one or both oxidation states correctly or wrote it as 3 or 3−, instead of −3.
Average performance; choosing the given reaction as an acid-base or redox reaction was not done well. Often answers were contradictory and the reasoning incorrect.
Stating the number of subatomic particles in a 14N3- was done very well. However, some answers showed a lack of understanding of how to calculate the number of relevant subatomic particles given formula of an ion with charge and mass number.
Exceptionally well done; A few candidates referred to isomers, rather than isotopes.
There was reference to nitrogen and magnesium, rather than nitride and magnesium ions. Also, instead identifying smaller nuclear charge in nitride ion, some referred to core electrons, Zeff, increased electron-electron repulsion or shielding.
Common error in suggesting nitrogen would have the greater sixth ionization energy was that for nitrogen, electron is lost from first energy level without making reference to magnesium losing it from second energy level.
Good performance; some teachers were concerned about the expected answers. However, generally, students were able to suggest two reasons why matter is divisible.
One teacher commented that not asking to describe bonding in terms of electrostatic attractions as in earlier papers would have been confusing and some did answer in terms of electrostatic forces of attractions involved. However, the question was clear in its expectation that the answer had to be in terms of how the valence electrons produce the three types of bonds and the overall performance was good. Some had difficulty identifying the bond type for Mg, O2 and MgO.
Carbonated water is produced when carbon dioxide is dissolved in water under pressure. The following equilibria are established.
Equilibrium (1) CO2 (g) CO2 (aq)
Equilibrium (2) CO2 (aq) + H2O (l) H+ (aq) + HCO3− (aq)
Carbon dioxide acts as a weak acid.
Soda water has sodium hydrogencarbonate, NaHCO3, dissolved in the carbonated water.
Distinguish between a weak and strong acid.
Weak acid:
Strong acid:
The hydrogencarbonate ion, produced in Equilibrium (2), can also act as an acid.
State the formula of its conjugate base.
When a bottle of carbonated water is opened, these equilibria are disturbed.
State, giving a reason, how a decrease in pressure affects the position of Equilibrium (1).
At 298 K the concentration of aqueous carbon dioxide in carbonated water is 0.200 mol dm−3 and the pKa for Equilibrium (2) is 6.36.
Calculate the pH of carbonated water.
Identify the type of bonding in sodium hydrogencarbonate.
Between sodium and hydrogencarbonate:
Between hydrogen and oxygen in hydrogencarbonate:
Predict, referring to Equilibrium (2), how the added sodium hydrogencarbonate affects the pH.(Assume pressure and temperature remain constant.)
100.0cm3 of soda water contains 3.0 × 10−2g NaHCO3.
Calculate the concentration of NaHCO3 in mol dm−3.
The uncertainty of the 100.0cm3 volumetric flask used to make the solution was ±0.6cm3.
Calculate the maximum percentage uncertainty in the mass of NaHCO3 so that the concentration of the solution is correct to ±1.0 %.
The reaction of the hydroxide ion with carbon dioxide and with the hydrogencarbonate ion can be represented by Equations 3 and 4.
Equation (3) OH− (aq) + CO2 (g) → HCO3− (aq)
Equation (4) OH− (aq) + HCO3− (aq) → H2O (l) + CO32− (aq)
Discuss how these equations show the difference between a Lewis base and a Brønsted–Lowry base.
Equation (3):
Equation (4):
Aqueous sodium hydrogencarbonate has a pH of approximately 7 at 298 K.
Sketch a graph of pH against volume when 25.0cm3 of 0.100 mol dm−3 NaOH (aq) is gradually added to 10.0cm3 of 0.0500 mol dm−3 NaHCO3 (aq).
Markscheme
Weak acid: partially dissociated/ionized «in aqueous solution/water»
AND
Strong acid: «assumed to be almost» completely/100 % dissociated/ionized «in aqueous solution/water» [✔]
CO32- [✔]
shifts to left/reactants AND to increase amount/number of moles/molecules of gas/CO2 (g) [✔]
Note: Accept “shifts to left/reactants AND to increase pressure”.
«Ka =» 10–6.36/4.37 × 10–7 =
OR
«Ka =» 10–6.36/4.37 × 10–7 = [✔]
[H+] « » = 2.95 × 10–4 «mol dm–3» [✔]
«pH =» 3.53 [✔]
Note: Award [3] for correct final answer.
Between sodium and hydrogencarbonate:
ionic [✔]
Between hydrogen and oxygen in hydrogencarbonate:
«polar» covalent [✔]
«additional HCO3-» shifts position of equilibrium to left [✔]
pH increases [✔]
Note: Do not award M2 without any justification in terms of equilibrium shift in M1.
«molar mass of NaHCO3 =» 84.01 «g mol-1» [✔]
«concentration = =» 3.6 × 10–3 «mol dm-3» [✔]
Note: Award [2] for correct final answer.
«1.0 – 0.6 = ± » 0.4 «%» [✔]
Equation (3):
OH- donates an electron pair AND acts as a Lewis base [✔]
Equation (4):
OH- accepts a proton/H+/hydrogen ion AND acts as a Brønsted–Lowry base [✔]
S-shaped curve from ~7 to between 12 and 14 [✔]
equivalence point at 5 cm3 [✔]
Note: Accept starting point >6~7.
Examiners report
As expected, many candidates were able to distinguish between strong and weak acids; some candidates referred to “dissolve” rather than dissociate.
More than half the candidates were able to deduce that carbonate was the conjugate base but a significant proportion of those that did, wrote the carbonate ion with an incorrect charge.
Many students gave generic responses referring to a correct shift without conveying the idea of compensation or restoration of pressure or moles of gas. This generic reply reflects the difficulty in applying a theoretical concept to the practical situation described in the question.
Most candidates calculated the pH of the aqueous CO2. Some candidates attempted to use the Henderson-Hasselback equation and others used the quadratic expression to calculate [H+] (these two options were very common in the Spanish scripts) getting incorrect solutions. These answers usually ended in pH of approx. 1 which candidates should realize cannot be correct for soda water.
This was an easy question, especially the identification of the type of bond between H and O, yet some candidates interpreted that the question referred to intermolecular bonding.
A significant number of candidates omitted the “equilibrium” involved in the dissolution of a weak base.
This is another stoichiometry question that most candidates were able to solve well, with occasional errors when calculating Mr of hydrogen carbonate.
Mixed responses, more attention should be given to this simple calculation which is straightforward and should be easy as required for IA reports.
This was a good way to test this topic because answers showed that, while candidates usually knew the topic in theory, they could not apply this to identify the Lewis and Bronsted-Lowry bases in the context of a reaction that was given to them. In some cases, they failed to specify the base, OH- or also lost marks referring just to electrons, an electron or H instead of hydrogen ions or H+ for example.
Most students that got 1mark for this titration curve was for the general shape, because few realized they had the data to calculate the equivalence point. There were also some difficulties in establishing the starting point even if it was specified in the stem.
Benzoic acid, C6H5COOH, is another derivative of benzene.
Identify the wavenumber of one peak in the IR spectrum of benzoic acid, using section 26 of the data booklet.
Identify the spectroscopic technique that is used to measure the bond lengths in solid benzoic acid.
Outline one piece of physical evidence for the structure of the benzene ring.
Draw the structure of the conjugate base of benzoic acid showing all the atoms and all the bonds.
Outline why both C to O bonds in the conjugate base are the same length and suggest a value for them. Use section 10 of the data booklet.
The pH of an aqueous solution of benzoic acid at 298 K is 2.95. Determine the concentration of hydroxide ions in the solution, using section 2 of the data booklet.
Formulate the equation for the complete combustion of benzoic acid in oxygen using only integer coefficients.
The combustion reaction in (f)(ii) can also be classed as redox. Identify the atom that is oxidized and the atom that is reduced.
Suggest how benzoic acid, Mr = 122.13, forms an apparent dimer, Mr = 244.26, when dissolved in a non-polar solvent such as hexane.
State the reagent used to convert benzoic acid to phenylmethanol (benzyl alcohol), C6H5CH2OH.
Markscheme
Any wavenumber in the following ranges:
2500−3000 «cm−1» [✔]
1700−1750 «cm−1» [✔]
2850−3090 «cm−1» [✔]
X-ray «crystallography/spectroscopy» [✔]
Any one of:
«regular» hexagon
OR
all «H–C–C/C-C-C» angles equal/120º [✔]
all C–C bond lengths equal/intermediate between double and single
OR
bond order 1.5 [✔]
[✔]
Note: Accept Kekulé structures.
Negative sign must be shown in correct position.
electrons delocalized «across the O–C–O system»
OR
resonance occurs [✔]
122 «pm» < C–O < 143 «pm» [✔]
Note: Accept “delocalized π-bond”.
Accept “bond intermediate between single and double bond” or “bond order 1.5” for M1.
Accept any answer in range 123 to 142 pm.
ALTERNATIVE 1:
[H+] «= 10−2.95» = 1.122 × 10−3 «mol dm−3» [✔]
«[OH−] = =» 8.91 × 10−12 «mol dm−3» [✔]
ALTERNATIVE 2:
pOH = «14 − 2.95 =» 11.05 [✔]
«[OH−] = 10−11.05 =» 8.91 × 10−12 «mol dm−3» [✔]
Note: Award [2] for correct final answer.
Accept other methods.
2C6H5COOH (s) + 15O2 (g) → 14CO2 (g) + 6H2O (l)
correct products [✔]
correct balancing [✔]
Oxidized:
C/carbon «in C6H5COOH»
AND
Reduced:
O/oxygen «in O2» [✔]
«intermolecular» hydrogen bonding [✔]
Note: Accept diagram showing hydrogen bonding.
lithium aluminium hydride/LiAlH4 [✔]
Examiners report
Most candidates could identify a wavenumber or range of wavenumbers in the IR spectrum of benzoic acid.
Less than half the candidates identified x-ray crystallography as a technique used to measure bond lengths. There were many stating IR spectroscopy and quite a few random guesses.
Again less than half the candidates could accurately give a physical piece of evidence for the structure of benzene. Many missed the mark by not being specific, stating ‘all bonds in benzene with same length’ rather than ‘all C-C bonds in benzene have the same length’.
Very poorly answered with only 1 in 5 getting this question correct. Many did not show all the bonds and all the atoms or either forgot or misplaced the negative sign on the conjugate base.
This question was a challenge. Candidates were not able to explain the intermediate bond length and the majority suggested the value of either the bond length of C to O single bond or double bond.
Generally well done with a few calculating the pOH rather than the concentration of hydroxide ion asked for.
Most earned at least one mark by correctly stating the products of the reaction.
Another question where not reading correctly was a concern. Instead of identifying the atom that is oxidized and the atom that is reduced, answers included formulas of molecules or the atoms were reversed for the redox processes.
The other question where only 10 % of the candidates earned a mark. Few identified hydrogen bonding as the reason for carboxylic acids forming dimers. There were many G2 forms stating that the use of the word “dimer” is not in the syllabus, however the candidates were given that a dimer has double the molar mass and the majority seemed to understand that the two molecules joined together somehow but could not identify hydrogen bonding as the cause.
Very few candidates answered this part correctly and scored the mark. Common answers were H2SO4, HCl & Sn, H2O2. In general, strongest candidates gained the mark.
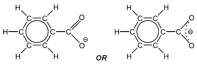
A molecule of citric acid, C6H8O7, is shown.
The equation for the first dissociation of citric acid in water is
C6H8O7 (aq) + H2O (l) C6H7O7− (aq) + H3O+ (aq)
Identify a conjugate acid–base pair in the equation.
The value of Ka at 298 K for the first dissociation is 5.01 × 10−4.
State, giving a reason, the strength of citric acid.
The dissociation of citric acid is an endothermic process. State the effect on the hydrogen ion concentration, [H+], and on Ka, of increasing the temperature.
Calculate the standard Gibbs free energy change, , in kJ mol−1, for the first dissociation of citric acid at 298 K, using section 1 of the data booklet.
Comment on the spontaneity of the reaction at 298 K.
Outline two laboratory methods of distinguishing between solutions of citric acid and hydrochloric acid of equal concentration, stating the expected observations.
Markscheme
C6H8O7 AND C6H7O7−
OR
H2O AND H3O+ ✔
weak acid AND partially dissociated
OR
weak acid AND equilibrium lies to left
OR
weak acid AND Ka < 1 ✔
« = −RT ln K = −8.31 J K–1 mol–1 × 298 K × ln(5.01 × 10–4) ÷ 1000 =» 18.8 «kJ mol–1» ✔
non-spontaneous AND positive ✔
Any two of:
«electrical» conductivity AND HCl greater ✔
pH AND citric acid higher ✔
titrate with strong base AND pH at equivalence higher for citric acid ✔
add reactive metal/carbonate/hydrogen carbonate AND stronger effervescence/faster reaction with HCl ✔
titration AND volume of alkali for complete neutralisation greater for citric acid ✔
titrate with strong base AND more than one equivalence point for complete neutralisation of citric acid ✔
titrate with strong base AND buffer zone with citric acid ✔
NOTE: Accept “add universal indicator AND HCl more red/pink” for M2.
Accept any acid reaction AND HCl greater rise in temperature.
Accept specific examples throughout.
Do not accept “smell” or “taste”.
Examiners report
A student performs a titration to determine the concentration of ethanoic acid, , in vinegar using potassium hydroxide.
The pH curve for the reaction is given.
Write a balanced equation for the reaction.
Identify the major species, other than water and potassium ions, at these points.
State a suitable indicator for this titration. Use section 22 of the data booklet
Suggest, giving a reason, which point on the curve is considered a buffer region.
State the expression for ethanoic acid.
Calculate the of the conjugate base of ethanoic acid using sections 2 and 21 of the data booklet.
In a titration, of vinegar required of potassium hydroxide to reach the end-point.
Calculate the concentration of ethanoic acid in the vinegar.
Potassium hydroxide solutions can react with carbon dioxide from the air. The solution was made one day prior to using it in the titration.
State the type of error that would result from the student’s approach.
Potassium hydroxide solutions can react with carbon dioxide from the air. The solution was made one day prior to using it in the titration.
Predict, giving a reason, the effect of this error on the calculated concentration of ethanoic acid in 5(e).
Markscheme
✔
Accept the ionic equation.
B: AND ✔
C: ✔
Accept names.
Accept for
phenolphthalein ✔
Accept “phenol red” or “bromothymol blue”.
B AND the region where small additions «of the base/ » result in little or no
change in
OR
B AND the flattest region of the curve «at intermediate /before equivalence
point »
OR
B AND half the volume needed to reach equivalence point
OR
B AND similar amounts of weak acid//ethanoic acid AND conjugate base//ethanoate ✔
Accept instead of .
✔
Accept answers between .
✔
✔
Award [2] for correct final answer.
systematic «error» ✔
would be higher ✔
actual is lower «than the value in calculation»
OR
larger volume of «solution» needed to neutralize the acid ✔
Accept partially neutralised by from air.
Examiners report
Most candidates could write a balanced neutralization equation.
Identifying species present at various points along a pH titration curve was one of the most poorly answered questions in the exam. Very few candidates realized there were two major species at point B even when they were able in general to realize that B was a buffer zone.
Almost all candidates could identify a suitable indicator to use in a titration of a weak acid with a strong base.
Most students could identify a buffer zone region in a titration but very few (50%) could coherently explain why.
Poorly answered with only 50% correctly writing a Ka expression. The major error was in candidates trying to calculate a Ka rather than write an expression for it.
Like with other calculations in this exam, the majority of candidates could correctly determine a concentration from titration data.
80% of candidates could identify the method used as a systematic error, with some stating human or random error.
Most candidates identified that the systematic error would result in the concentration of the alkali being lowered but then failed to propagate this through to the effect on the concentration of the acid.
Chlorine undergoes many reactions.
of manganese(IV) oxide was added to of .
Chlorine gas reacts with water to produce hypochlorous acid and hydrochloric acid.
is a common chlorofluorocarbon, .
State the full electron configuration of the chlorine atom.
State, giving a reason, whether the chlorine atom or the chloride ion has a larger radius.
Outline why the chlorine atom has a smaller atomic radius than the sulfur atom.
The mass spectrum of chlorine is shown.
NIST Mass Spectrometry Data Center Collection © 2014 copyright by the U.S. Secretary of Commerce on behalf of the United States of America. All rights reserved.
Outline the reason for the two peaks at and .
Explain the presence and relative abundance of the peak at .
Calculate the amount, in , of manganese(IV) oxide added.
Determine the limiting reactant, showing your calculations.
Determine the excess amount, in , of the other reactant.
Calculate the volume of chlorine, in , produced if the reaction is conducted at standard temperature and pressure (STP). Use section 2 of the data booklet.
State the oxidation state of manganese in and .
Deduce, referring to oxidation states, whether is an oxidizing or reducing agent.
Hypochlorous acid is considered a weak acid. Outline what is meant by the term weak acid.
State the formula of the conjugate base of hypochlorous acid.
Calculate the concentration of in a solution with a .
State the type of reaction occurring when ethane reacts with chlorine to produce chloroethane.
Predict, giving a reason, whether ethane or chloroethane is more reactive.
Explain the mechanism of the reaction between chloroethane and aqueous sodium hydroxide, , using curly arrows to represent the movement of electron pairs.
Ethoxyethane (diethyl ether) can be used as a solvent for this conversion.
Draw the structural formula of ethoxyethane
Deduce the number of signals and chemical shifts with splitting patterns in the 1H NMR spectrum of ethoxyethane. Use section 27 of the data booklet.
Calculate the percentage by mass of chlorine in .
Comment on how international cooperation has contributed to the lowering of emissions responsible for ozone depletion.
s produce chlorine radicals. Write two successive propagation steps to show how chlorine radicals catalyse the depletion of ozone.
Markscheme
✔
Do not accept condensed electron configuration.
AND more «electron–electron» repulsion ✔
Accept AND has an extra electron.
has a greater nuclear charge/number of protons/ «causing a stronger pull on the outer electrons» ✔
same number of shells
OR
same «outer» energy level
OR
similar shielding ✔
«two major» isotopes «of atomic mass and » ✔
«diatomic» molecule composed of «two» chlorine-37 atoms ✔
chlorine-37 is the least abundant «isotope»
OR
low probability of two «isotopes» occurring in a molecule ✔
✔
✔
AND is the limiting reactant ✔
Accept other valid methods of determining the limiting reactant in M2.
✔
✔
Accept methods employing .
✔
✔
oxidizing agent AND oxidation state of changes from to /decreases ✔
partially dissociates/ionizes «in water» ✔
✔
✔
«free radical» substitution/ ✔
Do not accept electrophilic or nucleophilic substitution.
chloroethane AND C–Cl bond is weaker/ than C–H bond/
OR
chloroethane AND contains a polar bond ✔
Accept “chloroethane AND polar”.
curly arrow going from lone pair/negative charge on in −OH to ✔
curly arrow showing leaving ✔
representation of transition state showing negative charge, square brackets and partial bonds ✔
Accept with or without the lone pair.
Do not accept curly arrows originating on in .
Accept curly arrows in the transition state.
Do not penalize if and are not at 180°.
Do not award M3 if bond is represented.
/ ✔
Accept .
2 «signals» ✔
0.9−1.0 AND triplet ✔
3.3−3.7 AND quartet ✔
Accept any values in the ranges.
Award [1] for two correct chemical shifts or two correct splitting patterns.
✔
✔
Award [2] for correct final answer.
Any of:
research «collaboration» for alternative technologies «to replace s»
OR
technologies «developed»/data could be shared
OR
political pressure/Montreal Protocol/governments passing legislations ✔
Do not accept just “collaboration”.
Do not accept any reference to as greenhouse gas or product of fossil fuel combustion.
Accept reference to specific measures, such as agreement on banning use/manufacture of s.
✔
OR
✔
Penalize missing/incorrect radical dot (∙) once only.
Examiners report
Well answered question with 90% of candidates correctly identifying the complete electron configuration for chlorine.
Most candidates could correctly explain the relative sizes of chlorine atom and chloride ion.
Fairly well answered though some candidates missed M2 for not recognizing the same number of shells affected.
More than 80% could identify that the two peaks in the MS of chlorine are due to different isotopes.
Not well answered. Some candidates were able to identify m/z 74 being due to the m/z of two Cl-37 atoms, however fewer candidates were able to explain the relative abundance of the isotope.
Stoichiometric calculations were generally well done and over 90% could calculate mol from a given mass.
90% of candidates earned full marks on this 2-mark question involving finding a limiting reactant.
Surprisingly, quite a number of candidates struggled with the quantity of excess reactant despite correctly identifying limiting reactant previously.
Most candidates could find the volume of gas produced in a reaction under standard conditions.
More than 90% could identify the oxidation number of manganese in both MnO2 and MnCl2.
Most candidates stated that MnO2 is an oxidizing agent in the reaction but many did not get the mark because there was no reference to oxidation states.
Another well answered 1-mark question where candidates correctly identified a weak acid as an acid which partially dissociates in water.
Roughly ⅓ of the candidates failed to identify the conjugate base, perhaps distracted by the fact it was not contained in the equation given.
Vast majority of candidates could calculate the concentration of H+ (aq) in a HClO (aq) solution with a pH =3.61.
Many identified the reaction of chlorine with ethane as free-radical substitution, or just substitution, with some erroneously stating nucleophilic or electrophilic substitution.
The underlying reasons for the relative reactivity of ethane and chloroethane were not very well known with a few giving erroneous reasons and some stating ethane more reactive.
Few earned full marks for the curly arrow mechanism of the reaction between sodium hydroxide and chloroethane. Mistakes being careless curly arrow drawing, inappropriate –OH notation, curly arrows from the hydrogen or from the carbon to the C–Cl bond, or a method that missed the transition state.
Approximately 60% could draw ethoxyethane however many demonstrated little knowledge of structure of an ether molecule.
A poorly answered question with some getting full marks on this 1HNMR spectrum of ethoxyethane question. Very few could identify all 3 of number of signals, chemical shift, and splitting pattern.
Another good example of candidates being well rehearsed in calculations with 90% earning 2/2 on this question of calculation percentage by mass composition.
Somewhat disappointing answers on this question about how international cooperation has contributed to the lowering of CFC emissions. Many gave vague answers and some referred to carbon emissions and global warming.
Few could construct the propagation equations showing how CFCs affect ozone, and many lost marks by failing to identify ClO· as a radical.
Limestone can be converted into a variety of useful commercial products through the lime cycle. Limestone contains high percentages of calcium carbonate, CaCO3.
Thermodynamic data for the decomposition of calcium carbonate is given.
The second step of the lime cycle produces calcium hydroxide, Ca(OH)2.
Calcium hydroxide reacts with carbon dioxide to reform calcium carbonate.
Ca(OH)2 (aq) + CO2 (g) → CaCO3 (s) + H2O (l)
Calcium carbonate is heated to produce calcium oxide, CaO.
CaCO3 (s) → CaO (s) + CO2 (g)
Calculate the volume of carbon dioxide produced at STP when 555 g of calcium carbonate decomposes. Use sections 2 and 6 of the data booklet.
Calculate the enthalpy change of reaction, ΔH, in kJ, for the decomposition of calcium carbonate.
Calculate the change in entropy, ΔS, in J K−1, for the decomposition of calcium carbonate.
Determine the temperature, in K, at which the decomposition of calcium carbonate becomes spontaneous, using b(i), b(ii) and section 1 of the data booklet.
(If you do not have answers for b(i) and b(ii), use ΔH = 190 kJ and ΔS = 180 J K−1, but these are not the correct answers.)
Sketch an energy profile for the decomposition of calcium carbonate based on your answer to b(i), labelling the axes and activation energy, Ea.
State how adding a catalyst to the reaction would impact the enthalpy change of reaction, ΔH, and the activation energy, Ea.
Write the equation for the reaction of Ca(OH)2 (aq) with hydrochloric acid, HCl (aq).
Determine the volume, in dm3, of 0.015 mol dm−3 calcium hydroxide solution needed to neutralize 35.0 cm3 of 0.025 mol dm−3 HCl (aq).
Saturated calcium hydroxide solution is used to test for carbon dioxide. Calculate the pH of a 2.33 × 10−2 mol dm−3 solution of calcium hydroxide, a strong base.
Determine the mass, in g, of CaCO3 (s) produced by reacting 2.41 dm3 of 2.33 × 10−2 mol dm−3 of Ca(OH)2 (aq) with 0.750 dm3 of CO2 (g) at STP.
2.85 g of CaCO3 was collected in the experiment in d(i). Calculate the percentage yield of CaCO3.
(If you did not obtain an answer to d(i), use 4.00 g, but this is not the correct value.)
Outline how one calcium compound in the lime cycle can reduce a problem caused by acid deposition.
Markscheme
«nCaCO3 = =» 5.55 «mol» ✓
«V = 5.55 mol × 22.7 dm3 mol−1 =» 126 «dm3» ✓
Award [2] for correct final answer.
Accept method using pV = nRT to obtain the volume with p as either 100 kPa (126 dm3) or 101.3 kPa (125 dm3).
Do not penalize use of 22.4 dm3 mol–1 to obtain the volume (124 dm3).
«ΔH =» (−635 «kJ» – 393.5 «kJ») – (−1207 «kJ») ✓
«ΔH = + » 179 «kJ» ✓
Award [2] for correct final answer.
Award [1 max] for −179 kJ.
Ignore an extra step to determine total enthalpy change in kJ: 179 kJ mol-1 x 5.55 mol = 993 kJ.
Award [2] for an answer in the range 990 - 993« kJ».
«ΔS = (40 J K−1 + 214 J K−1) − (93 J K−1) =» 161 «J K−1» ✓
Ignore an extra step to determine total entropy change in JK–1: 161 J mol–1K–1 x 5.55 mol = 894 «J mol–1K–1»
Award [1] for 894 «J mol–1K–1».
«spontaneous» if ΔG = ΔH − TΔS < 0
OR
ΔH < TΔS ✓
«T >=» 1112 «K» ✓
Award [2] for correct final answer.
Accept “1056 K” if both of the incorrect values are used to solve the problem.
Do not award M2 for any negative T value.
endothermic sketch ✓
x-axis labelled “extent of reaction/progress of reaction/reaction coordinate/reaction pathway” AND y-axis labelled “potential energy/energy/enthalpy✓
activation energy/Ea ✓
Do not accept “time” for x-axis.
ΔH same AND lower Ea ✓
Ca(OH)2 (aq) + 2HCl (aq) → 2H2O (l) + CaCl2 (aq) ✓
«nHCl = 0.0350 dm3 × 0.025 mol dm−3 =» 0.00088 «mol»
OR
nCa(OH)2 = nHCl/0.00044 «mol» ✓
«V = =» 0.029 «dm3» ✓
Award [2] for correct final answer.
Award [1 max] for 0.058 «dm3».
Alternative 1:
[OH−] = « 2 × 2.33 × 10−2 mol dm−3 =» 0.0466 «mol dm−3» ✓
«[H+] = = 2.15 × 10−13 mol dm−3»
pH = « −log (2.15 × 10−13) =» 12.668 ✓
Alternative 2:
[OH−] =« 2 × 2.33 × 10−2 mol dm−3 =» 0.0466 «mol dm−3» ✓
«pOH = −log (0.0466) = 1.332»
pH = «14.000 – pOH = 14.000 – 1.332 =» 12.668 ✓
Award [2] for correct final answer.
Award [1 max] for pH =12.367.
«nCa(OH)2 = 2.41 dm3 × 2.33 × 10−2 mol dm−3 =» 0.0562 «mol» AND
«nCO2 ==» 0.0330 «mol» ✓
«CO2 is the limiting reactant»
«mCaCO3 = 0.0330 mol × 100.09 g mol−1 =» 3.30 «g» ✓
Only award ECF for M2 if limiting reagent is used.
Accept answers in the range 3.30 - 3.35 «g».
« × 100 =» 86.4 «%» ✓
Accept answers in the range 86.1-86.4 «%».
Accept “71.3 %” for using the incorrect given value of 4.00 g.
«add» Ca(OH)2/CaCO3/CaO AND to «acidic» water/river/lake/soil
OR
«use» Ca(OH)2/CaCO3/CaO in scrubbers «to prevent release of acidic pollution» ✓
Accept any correct name for any of the calcium compounds listed.
Examiners report
Limescale, CaCO3(s), can be removed from water kettles by using vinegar, a dilute solution of ethanoic acid, CH3COOH(aq).
Predict, giving a reason, a difference between the reactions of the same concentrations of hydrochloric acid and ethanoic acid with samples of calcium carbonate.
Dissolved carbon dioxide causes unpolluted rain to have a pH of approximately 5, but other dissolved gases can result in a much lower pH. State one environmental effect of acid rain.
Write an equation to show ammonia, NH3, acting as a Brønsted–Lowry base and a different equation to show it acting as a Lewis base.
Determine the pH of 0.010 mol dm−3 2,2-dimethylpropanoic acid solution.
Ka (2,2-dimethylpropanoic acid) = 9.333 × 10−6
Explain, using appropriate equations, how a suitably concentrated solution formed by the partial neutralization of 2,2-dimethylpropanoic acid with sodium hydroxide acts as a buffer solution.
Markscheme
slower rate with ethanoic acid
OR
smaller temperature rise with ethanoic acid
[H+] lower
OR
ethanoic acid is weak
OR
ethanoic acid is partially dissociated
Accept experimental observations such as “slower bubbling” or “feels less warm”.
[2 marks]
Any one of:
corrosion of materials/metals/carbonate materials
destruction of plant/aquatic life
«indirect» effect on human health
Accept “lowering pH of oceans/lakes/waterways”.
[1 mark]
Brønsted–Lowry base:
NH3 + H+ → NH4+
Lewis base:
NH3 + BF3 → H3NBF3
Accept “AlCl3 as an example of Lewis acid”.
Accept other valid equations such as Cu2+ + 4NH3 → [Cu(NH3)4]2+.
[2 marks]
[H+] «» = 3.055 × 10–4 «mol dm–3»
«pH =» 3.51
Accept “pH = 3.52”.
Award [2] for correct final answer.
Accept other calculation methods.
[2 marks]
(CH3)3CCOOH(aq) + OH–(aq) → (CH3)3CCOO–(aq) + H2O(l)
OR
(CH3)3CCOOH(aq) + OH–(aq) (CH3)3CCOO–(aq) + H2O(l) AND addition of alkali causes equilibrium to move to right
(CH3)3CCOO–(aq) + H+(aq) → (CH3)3CCOOH(aq)
OR
(CH3)3CCOO–(aq) + H+(aq) (CH3)3CCOOH(aq) AND addition of acid causes equilibrium to move to right
Accept “HA” for the acid.
Award [1 max] for correct explanations of buffering with addition of acid AND base without equilibrium equations.
[2 marks]
Examiners report
Both vinegar (a dilute aqueous solution of ethanoic acid) and bleach are used as cleaning agents.
Bleach reacts with ammonia, also used as a cleaning agent, to produce the poisonous compound chloramine, NH2Cl.
Outline why ethanoic acid is classified as a weak acid.
A solution of bleach can be made by reacting chlorine gas with a sodium hydroxide solution.
Cl2 (g) + 2NaOH (aq) ⇌ NaOCl (aq) + NaCl (aq) + H2O (l)
Suggest, with reference to Le Châtelier’s principle, why it is dangerous to mix vinegar and bleach together as cleaners.
Draw a Lewis (electron dot) structure of chloramine.
State the hybridization of the nitrogen atom in chloramine.
Deduce the molecular geometry of chloramine and estimate its H–N–H bond angle.
Molecular geometry:
H–N–H bond angle:
State the type of bond formed when chloramine is protonated.
Sketch a graph of pH against volume of hydrochloric acid added to ammonia solution, showing how you would determine the pKa of the ammonium ion.
Suggest a suitable indicator for the titration, using section 22 of the data booklet.
Explain, using two equations, how an equimolar solution of ammonia and ammonium ions acts as a buffer solution when small amounts of acid or base are added.
Markscheme
partial dissociation «in aqueous solution» [✔]
ethanoic acid/vinegar reacts with NaOH [✔]
moves equilibrium to left/reactant side [✔]
releases Cl2 (g)/chlorine gas
OR
Cl2 (g)/chlorine gas is toxic [✔]
Note: Accept “ethanoic acid produces H+ ions”
Accept “ethanoic acid/vinegar reacts with NaOCl”.
Do not accept “2CH3COOH + NaOCl + NaCl → 2CH3COONa + Cl2 + H2O” as it does not refer to equilibrium.
Accept suitable molecular or ionic equations for M1 and M3.
[✔]
Note: Accept any combination of dots/crosses or lines to represent electron pairs.
sp3 [✔]
Molecular geometry:
«trigonal» pyramidal [✔]
H–N–H bond angle:
107° [✔]
Note: Accept angles in the range of 100–109.
covalent/dative/coordinate [✔]
correct shape of graph AND vertical drop at Vn [✔]
pKa = pH at /half neutralization/half equivalence [✔]
Note: M1: must show buffer region at pH > 7 and equivalence point at pH < 7. Graph must start below pH = 14.
methyl orange
OR
bromophenol blue
OR
bromocresol green
OR
methyl red [✔]
NH3 (aq) + H+ (aq) → NH4 + (aq) [✔]
NH4 + (aq) + OH− (aq) → NH3 (aq) + H2O(l) [✔]
Note: Accept reaction arrows or equilibrium signs in both equations.
Award [1 max], based on two correct reverse equations but not clearly showing reacting with acid or base but rather dissociation.
Examiners report
Majority of candidates understood weak acids do not fully dissociate.
The average score was 1 out 3. Many could not suggest why it is dangerous to mix chlorine with vinegar. Most students gained at least one mark for stating that “chlorine gas will be produced” but couldn’t link it to equilibrium ideas.
Most candidates correctly drew the Lewis structure of chloramine. Some left off lone pair electrons.
Mostly correct with a surprising number stating sp or sp2 hybridization.
Generally well done with some candidates misinterpreting the bond angle from the stated geometry.
“Ionic bond”, “hydrogen bond” and “intermolecular forces” were some common answers.
Quite poorly done with many candidates not indicating a vertical drop but rather a weak acid/weak base curve. Some did not have the correct location for the equivalence point.
Generally well done although a number of candidates chose bromothymol blue as a suitable indicator for weak base with a strong acid.
Nearly 30 % of candidates did not attempt to answer this question about buffer equations. It was also poorly answered because equations were not used to explain buffer action or the dissociation equations for the base and acid were given rather than their reactions with H+ or OH- .
Ammonia is soluble in water and forms an alkaline solution:
NH3 (g) + H2O (l) NH4+ (aq) + HO– (aq)
State the relationship between NH4+ and NH3 in terms of the Brønsted–Lowry theory.
Determine the concentration, in mol dm–3, of the solution formed when 900.0 dm3 of NH3 (g) at 300.0 K and 100.0 kPa, is dissolved in water to form 2.00 dm3 of solution. Use sections 1 and 2 of the data booklet.
Calculate the concentration of hydroxide ions in an ammonia solution with pH = 9.3. Use sections 1 and 2 of the data booklet.
Calculate the concentration, in mol dm–3, of ammonia molecules in the solution with pH = 9.3. Use section 21 of the data booklet.
An aqueous solution containing high concentrations of both NH3 and NH4+ acts as an acid-base buffer solution as a result of the equilibrium:
NH3 (aq) + H+ (aq) NH4+ (aq)
Referring to this equilibrium, outline why adding a small volume of strong acid would leave the pH of the buffer solution almost unchanged.
Magnesium salts form slightly acidic solutions owing to equilibria such as:
Mg2+ (aq) + H2O (l) Mg(OH)+ (aq) + H+ (aq)
Comment on the role of Mg2+ in forming the Mg(OH)+ ion, in acid-base terms.
Mg(OH)+ is a complex ion, but Mg is not regarded as a transition metal. Contrast Mg with manganese, Mn, in terms of one characteristic chemical property of transition metals, other than complex ion formation.
Markscheme
conjugate «acid and base» ✔
amount of ammonia ✔
concentration ✔
Award [2] for correct final answer.
✔
✔
✔
Accept other methods of carrying out the calculation.
Award [2] for correct answer.
equilibrium shifts to right/H+ reacts with NH3 ✔
«as large excess» ratio [NH3]:[NH4+] «and hence pH» almost unchanged ✔
Accept “strong acid/H+ converted to a weak acid/NH4+ «and hence pH almost unchanged».
Lewis acid ✔
accepts «a lone» electron pair «from the hydroxide ion» ✔
Do not accept electron acceptor without mention of electron pair.
ALTERNATIVE 1
Property: variable oxidation state ✔
Comparison: Mn compounds can exist in different valencies/oxidation states AND Mg has a valency/oxidation state of +2 in all its compounds ✔
Accept valency.
Accept for second statement “Mg «always» has the same oxidation state”.
ALTERNATIVE 2
Property: coloured ions/compounds/complexes ✔
Comparison: Mn ions/compounds/complexes coloured AND Mg ions/compounds white/«as solids»/colourless «in aqueous solution» ✔
Accept Mn forms coloured ions/compounds/complexes and Mg does not.
ALTERNATIVE 3
Property: catalytic activity ✔
Comparison: «many» Mn compounds act as catalysts AND Mg compounds do not «generally» catalyse reactions ✔
For any property accept a correct specific example, for example manganate(VII) is purple.
Do not accept differences in atomic structure, such as partially filled d sub-levels, but award ECF for a correct discussion.
Examiners report
Well done; However, instead of identifying the conjugate acid-base relationship, some simply identified these as Brønsted–Lowry base and acid.
Good performance. Some teachers suggested the question had an error in units, but this was not the case. The question had to be solved, first by using the data provided for application of gas law to determine the number of moles of gas. Next, given volume of solution, V = 2.00 dm3, determine its concentration.
Concentration of [OH˗] was asked for but some calculated [H3O+] instead. On the whole, question was done well.
Mediocre performance. Since a mark was given for the Kb expression, that mark could also be scored for the Henderson Hasselbalch (HH) equation, provided it is specific to the equilibrium reaction. Unfortunately, there was poor understanding of the application of the equation in most cases. Students should be strongly encouraged to use the HH equation only when a buffer is involved. Appropriate Ka or Kb expressions should be used when buffer solutions are not involved.
Mediocre performance. One mark was scored for suggesting equilibrium shifts to right or H+ reacts with NH3. However, some made reference to ammonia being a strong base or no reference to the strong acid, H+ being converted to a weak acid, NH4+.
Mediocre performance; although some Mg2+ was identified as a Lewis acid, the reasoning given was that it accepts an electron, rather than an electron pair or references were made to Bronsted-Lowry theory.
Iron may be extracted from iron (II) sulfide, FeS.
Iron (II) sulfide, FeS, is ionically bonded.
The first step in the extraction of iron from iron (II) sulfide is to roast it in air to form iron (III) oxide and sulfur dioxide.
Outline why metals, like iron, can conduct electricity.
Justify why sulfur is classified as a non-metal by giving two of its chemical properties.
Sketch the first eight successive ionisation energies of sulfur.
Describe the bonding in this type of solid.
State a technique that could be used to determine the crystal structure of the solid compound.
State the full electron configuration of the sulfide ion.
Outline, in terms of their electronic structures, why the ionic radius of the sulfide ion is greater than that of the oxide ion.
Suggest why chemists find it convenient to classify bonding into ionic, covalent and metallic.
Write the equation for this reaction.
Deduce the change in the oxidation state of sulfur.
Suggest why this process might raise environmental concerns.
Explain why the addition of small amounts of carbon to iron makes the metal harder.
Markscheme
mobile/delocalized «sea of» electrons
Any two of:
forms acidic oxides «rather than basic oxides» ✔
forms covalent/bonds compounds «with other non-metals» ✔
forms anions «rather than cations» ✔
behaves as an oxidizing agent «rather than a reducing agent» ✔
Award [1 max] for 2 correct non-chemical properties such as non-conductor, high ionisation energy, high electronegativity, low electron affinity if no marks for chemical properties are awarded.
two regions of small increases AND a large increase between them✔
large increase from 6th to 7th ✔
Accept line/curve showing these trends.
electrostatic attraction ✔
between oppositely charged ions/between Fe2+ and S2− ✔
X-ray crystallography ✔
1s2 2s2 2p6 3s2 3p6 ✔
Do not accept “[Ne] 3s2 3p6”.
«valence» electrons further from nucleus/extra electron shell/ electrons in third/3s/3p level «not second/2s/2p»✔
Accept 2,8 (for O2–) and 2,8,8 (for S2–)
allows them to explain the properties of different compounds/substances
OR
enables them to generalise about substances
OR
enables them to make predictions ✔
Accept other valid answers.
4FeS(s) + 7O2(g) → 2Fe2O3(s) + 4SO2(g) ✔
Accept any correct ratio.
+6
OR
−2 to +4 ✔
Accept “6/VI”.
Accept “−II, 4//IV”.
Do not accept 2- to 4+.
sulfur dioxide/SO2 causes acid rain ✔
Accept sulfur dioxide/SO2/dust causes respiratory problems
Do not accept just “causes respiratory problems” or “causes acid rain”.
disrupts the regular arrangement «of iron atoms/ions»
OR
carbon different size «to iron atoms/ions» ✔
prevents layers/atoms sliding over each other ✔