HL Paper 2
Two hydrides of nitrogen are ammonia and hydrazine, . One derivative of ammonia is methanamine whose molecular structure is shown below.

Hydrazine is used to remove oxygen from water used to generate steam or hot water.
The concentration of dissolved oxygen in a sample of water is .
Estimate the H−N−H bond angle in methanamine using VSEPR theory.
State the electron domain geometry around the nitrogen atom and its hybridization in methanamine.
Ammonia reacts reversibly with water.
Explain the effect of adding ions on the position of the equilibrium.
Hydrazine reacts with water in a similar way to ammonia. (The association of a molecule of hydrazine with a second H+ is so small it can be neglected.)
Calculate the pH of a solution of hydrazine.
Suggest a suitable indicator for the titration of hydrazine solution with dilute sulfuric acid using section 22 of the data booklet.
Outline, using an ionic equation, what is observed when magnesium powder is added to a solution of ammonium chloride.
Determine the enthalpy change of reaction, , in kJ, when 1.00 mol of gaseous hydrazine decomposes to its elements. Use bond enthalpy values in section 11 of the data booklet.
The standard enthalpy of formation of is . Calculate the enthalpy of vaporization, , of hydrazine in . (If you did not get an answer to (f), use but this is not the correct answer.)
Calculate, showing your working, the mass of hydrazine needed to remove all the dissolved oxygen from of the sample.
Calculate the volume, in , of nitrogen formed under SATP conditions. (The volume of 1 mol of gas = at SATP.)
Markscheme
107°
Accept 100° to < 109.5°.
Literature value = 105.8°
[1 mark]
tetrahedral
sp3
No ECF allowed.
[2 marks]
removes/reacts with
moves to the right/products «to replace ions»
Accept ionic equation for M1.
[2 marks]
Kb = 10–5.77 / 1.698 x 10–6
OR
[OH–]2 «= 1.698 × 10–6 × 0.0100» = 1.698 × 10–8
OR
[OH–] «» = 1.303 × 10–4 «mol dm–3»
pH «» = 10.1
Award [3] for correct final answer.
Give appropriate credit for other methods containing errors that do not yield correct final answer.
[3 marks]
methyl red
OR
bromocresol green
OR
bromophenol blue
OR
methyl orange
[1 mark]
bubbles
OR
gas
OR
magnesium disappears
Do not accept “hydrogen” without reference to observed changes.
Accept "smell of ammonia".
Accept 2H+(aq) + Mg(s) Mg2+(aq) + H2(g)
Equation must be ionic.
[2 marks]
bonds broken:
E(N–N) + 4E(N–H)
OR
bonds formed:
E(NN) + 2E(H–H)
OR
Award [3] for correct final answer.
Award [2 max] for +95 «kJ».
[3 marks]

OR
Award [2] for correct final answer. Award [1 max] for –44 «kJ mol–1».
Award [2] for:
ΔHvap = –50.6 kJ mol–1 – (–85 J mol–1) = +34 «kJ mol–1».
Award [1 max] for –34 «kJ mol–1».
[2 marks]
total mass of oxygen
OR
Award [3] for correct final answer.
[3 marks]
Award [1] for correct final answer.
[1 mark]
Examiners report
Iron(II) disulfide, FeS2, has been mistaken for gold.
State the full electronic configuration of Fe2+.
Explain why there is a large increase from the 8th to the 9th ionization energy of iron.
Calculate the oxidation state of sulfur in iron(II) disulfide, FeS2.
Describe the bonding in iron, Fe (s).
Markscheme
1s2 2s2 2p6 3s2 3p6 3d6 ✔
Any two of:
IE9: electron in lower energy level
OR
IE9: more stable/full electron level ✔
IE9: electron closer to nucleus
OR
IE9: electron more tightly held by nucleus ✔
IE9: less shielding by «complete» inner levels ✔
–1 ✔
Accept “– I”.
electrostatic attraction/hold between «lattice of» positive ions/cations AND delocalized «valence» electrons ✔
Examiners report
Mostly well done which was a pleasant surprise since this is not overly easy, predictably some gave [Ar] 4s2 3d4.
Despite some confusion regarding which sub-level the electrons were being removed from, many candidates were able to make at least one valid point, commonly in terms of lower energy/ full sub level/closer to nucleus.
This was an easy question, yet 30% of the candidates were unable to work it out; some wrote the oxidation state in the conventionally incorrect format, 1- and lost the mark.
Most candidates knew the bonding in Fe is metallic but some did not “describe” it or missed the type of attraction, a minor mistake; others referred to nuclei or protons instead of cations/positive ions. In some cases, candidates referred too ionic bonding, probably still thinking of FeS2 (not reading the question well). Overall, only 30% answered satisfactorily.
Nickel catalyses the conversion of propanone to propan-2-ol.
Outline how a catalyst increases the rate of reaction.
Explain why an increase in temperature increases the rate of reaction.
Discuss, referring to intermolecular forces present, the relative volatility of propanone and propan-2-ol.
The diagram shows an unlabelled voltaic cell for the reaction
Label the diagram with the species in the equation.
Calculate the standard cell potential, in , for the cell at . Use section 24 of the data booklet
Calculate the standard free energy change, , in , for the cell using sections 1 and 2 of the data booklet.
Suggest a metal that could replace nickel in a new half-cell and reverse the electron flow. Use section 25 of the data booklet.
Describe the bonding in metals.
Nickel alloys are used in aircraft gas turbines. Suggest a physical property altered by the addition of another metal to nickel.
Markscheme
provides an alternative pathway/mechanism AND lower Ea ✔
Accept description of how catalyst lowers Ea (e.g. “reactants adsorb on surface «of catalyst»”, “reactant bonds weaken «when adsorbed»”).
more/greater proportion of molecules with E Ea ✔
greater frequency/probability/chance of collisions «between the molecules»
OR
more collision per unit of time/second ✔
hydrogen bonding/bonds «and dipole–dipole and London/dispersion forces are present in» propan-2-ol ✔
dipole–dipole «and London/dispersion are present in» propanone ✔
propan-2-ol less volatile AND hydrogen bonding/bonds stronger «than dipole–dipole »
OR
propan-2-ol less volatile AND «sum of all» intermolecular forces stronger ✔
✔
✔
✔
Accept OR .
electrostatic attraction ✔
between «a lattice of» metal/positive ions/cations AND «a sea of» delocalized electrons ✔
Accept “mobile/free electrons”.
Any of:
malleability/hardness
OR
«tensile» strength/ductility
OR
density
OR
thermal/electrical conductivity
OR
melting point
OR
thermal expansion ✔
Do not accept corrosion/reactivity or any chemical property.
Accept other specific physical properties.
Examiners report
Although fairly well done some candidates did not mention that providing an alternate pathway to the reaction was how the activation energy was lowered and hence did not gain the mark.
Almost all candidates earned at least 1 mark for the effect of temperature on rate. Some missed increase in collision frequency, others the idea that more particles reached the required activation energy.
The average mark was 1.9/3. Almost all candidates could recognize hydrogen bonding in alcohol but many missed the dipole-dipole attraction in propanone. There was also some confusion on the term volatility, with some thinking stronger IMF meant higher volatility.
A surprising number of No Response for a question where candidates simply had to label a diagram with the species in the equation. Some candidates had the idea but did not use the species for electrolytic cell, e.g., Pb(SO4) instead of Pb2+(aq).
80% of candidates could correctly calculate a cell potential by using a reduction table and a balanced redox reaction.
This was similar to 2f(ii) where many could apply the formula for Gibbs free energy change, ΔGө, correctly however some did not get the units correct.
80% could correctly pick a metal to reverse the electron flow, however some candidates thought a more reactive, rather than a less reactive metal than nickel would reverse the electron flow.
Most candidates were aware that metallic bonding involved a "sea of electrons", but were unsure about surrounding what and could not identify that it was electrostatic attraction holding the metal together.
Almost all candidates could correctly identify a physical property of a metal which might be altered when alloying.
The equations show steps in the formation and decomposition of ozone in the stratosphere, some of which absorb ultraviolet light.
Step 1 O2 → 2O•
Step 2 O• + O2 → O3
Step 3 O3 → O• + O2
Step 4 O• + O3 → 2O2
Draw the Lewis structures of oxygen, O2, and ozone, O3.
Outline why both bonds in the ozone molecule are the same length and predict the bond length in the ozone molecule. Refer to section 10 of the data booklet.
Reason:
Length:
Predict the bond angle in the ozone molecule.
Discuss how the different bond strengths between the oxygen atoms in O2 and O3 in the ozone layer affect radiation reaching the Earth’s surface.
Identify the steps which absorb ultraviolet light.
Determine, showing your working, the wavelength, in m, of ultraviolet light absorbed by a single molecule in one of these steps. Use sections 1, 2 and 11 of the data booklet.
Ozone depletion is catalysed by nitrogen monoxide, NO, which is produced in aircraft and motor vehicle engines, and has the following Lewis structure.
Show how nitrogen monoxide catalyses the decomposition of ozone, including equations in your answer.
Markscheme
NOTES: Coordinate bond may be represented by an arrow.
Do not accept delocalized structure for ozone.
resonance «structures»
OR
delocalization of «the double/pi bond» electrons ✔
121 «pm» < length < 148 «pm» ✔
NOTE: Accept any length between these two values.
any value from 110°–119° ✔
«bond» in O2 stronger than in O3 ✔
ozone absorbs lower frequency/energy «radiation than oxygen»
OR
ozone absorbs longer wavelength «radiation than oxygen» ✔
NOTE: Accept ozone «layer» absorbs a range of frequencies.
steps 1 AND 3 ✔
ALTERNATIVE 1:
for oxygen:
✔
✔
ALTERNATIVE 2:
for ozone:
similar calculation using 200 < bond enthalpy < 400 for ozone, such as
✔
✔
NOTE: Award [2] for correct final answer.
•NO + O3 → •NO2 + O2 ✔
•NO2 + O3 → •NO + 2O2 ✔
NOTE: Accept •NO2 → •NO + •O AND •O + O3 → 2O2 for M2.
Examiners report
Titanium and vanadium are consecutive elements in the first transition metal series.
reacts with water and the resulting titanium(IV) oxide can be used as a smoke screen.
Describe the bonding in metals.
Titanium exists as several isotopes. The mass spectrum of a sample of titanium gave the following data:

Calculate the relative atomic mass of titanium to two decimal places.
State the number of protons, neutrons and electrons in the atom.

State the full electron configuration of the ion.
Suggest why the melting point of vanadium is higher than that of titanium.
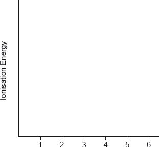
Sketch a graph of the first six successive ionization energies of vanadium on the axes provided.

Explain why an aluminium-titanium alloy is harder than pure aluminium.
Describe, in terms of the electrons involved, how the bond between a ligand and a central metal ion is formed.
Outline why transition metals form coloured compounds.
State the type of bonding in potassium chloride which melts at 1043 K.
A chloride of titanium, , melts at 248 K. Suggest why the melting point is so much lower than that of KCl.
Formulate an equation for this reaction.
Suggest one disadvantage of using this smoke in an enclosed space.
Markscheme
electrostatic attraction
between «a lattice of» metal/positive ions/cations AND «a sea of» delocalized electrons
Accept “mobile electrons”.
Do not accept “metal atoms/nuclei”.
[2 marks]
Answer must have two decimal places with a value from 47.90 to 48.00.
Award [2] for correct final answer.
Award [0] for 47.87 (data booklet value).
[2 marks]
Protons: 22 AND Neutrons: 26 AND Electrons: 22
[1 mark]
[1 mark]
vanadium has smaller ionic radius «leading to stronger metallic bonding»
Accept vanadium has «one» more valence electron«s» «leading to stronger metallic bonding».
Accept “atomic” for “ionic”.
[1 mark]
regular increase for first five AND sharp increase to the 6th
A log graph is acceptable.
Accept log plot on given axes (without amendment of y-axis).
Award mark if gradient of 5 to 6 is greater than “best fit line” of 1 to 5.
[1 mark]
titanium atoms/ions distort the regular arrangement of atoms/ions
OR
titanium atoms/ions are a different size to aluminium «atoms/ions»
prevent layers sliding over each other
Accept diagram showing different sizes of atoms/ions.
[2 marks]
pair of electrons provided by the ligand
Do not accept “dative” or “coordinate bonding” alone.
[1 mark]
partially filled d-orbitals
«ligands cause» d-orbitals «to» split
light is absorbed as electrons transit to a higher energy level «in d–d transitions»
OR
light is absorbed as electrons are promoted
energy gap corresponds to light in the visible region of the spectrum
colour observed is the complementary colour
[4 marks]
ionic
OR
«electrostatic» attraction between oppositely charged ions
[1 mark]
«simple» molecular structure
OR
weak«er» intermolecular bonds
OR
weak«er» bonds between molecules
Accept specific examples of weak bonds such as London/dispersion and van der Waals.
Do not accept “covalent”.
[1 mark]
correct products
correct balancing
Accept ionic equation.
Award M2 if products are HCl and a compound of Ti and O.
[2 marks]
HCl causes breathing/respiratory problems
OR
HCl is an irritant
OR
HCl is toxic
OR
HCl has acidic vapour
OR
HCl is corrosive
Accept TiO2 causes breathing
problems/is an irritant.
Accept “harmful” for both HCl and TiO2.
Accept “smoke is asphyxiant”.
[1 mark]
Examiners report
Iron may be extracted from iron (II) sulfide, FeS.
Iron (II) sulfide, FeS, is ionically bonded.
The first step in the extraction of iron from iron (II) sulfide is to roast it in air to form iron (III) oxide and sulfur dioxide.
Outline why metals, like iron, can conduct electricity.
Justify why sulfur is classified as a non-metal by giving two of its chemical properties.
Sketch the first eight successive ionisation energies of sulfur.
Describe the bonding in this type of solid.
State a technique that could be used to determine the crystal structure of the solid compound.
State the full electron configuration of the sulfide ion.
Outline, in terms of their electronic structures, why the ionic radius of the sulfide ion is greater than that of the oxide ion.
Suggest why chemists find it convenient to classify bonding into ionic, covalent and metallic.
Write the equation for this reaction.
Deduce the change in the oxidation state of sulfur.
Suggest why this process might raise environmental concerns.
Explain why the addition of small amounts of carbon to iron makes the metal harder.
Markscheme
mobile/delocalized «sea of» electrons
Any two of:
forms acidic oxides «rather than basic oxides» ✔
forms covalent/bonds compounds «with other non-metals» ✔
forms anions «rather than cations» ✔
behaves as an oxidizing agent «rather than a reducing agent» ✔
Award [1 max] for 2 correct non-chemical properties such as non-conductor, high ionisation energy, high electronegativity, low electron affinity if no marks for chemical properties are awarded.
two regions of small increases AND a large increase between them✔
large increase from 6th to 7th ✔
Accept line/curve showing these trends.
electrostatic attraction ✔
between oppositely charged ions/between Fe2+ and S2− ✔
X-ray crystallography ✔
1s2 2s2 2p6 3s2 3p6 ✔
Do not accept “[Ne] 3s2 3p6”.
«valence» electrons further from nucleus/extra electron shell/ electrons in third/3s/3p level «not second/2s/2p»✔
Accept 2,8 (for O2–) and 2,8,8 (for S2–)
allows them to explain the properties of different compounds/substances
OR
enables them to generalise about substances
OR
enables them to make predictions ✔
Accept other valid answers.
4FeS(s) + 7O2(g) → 2Fe2O3(s) + 4SO2(g) ✔
Accept any correct ratio.
+6
OR
−2 to +4 ✔
Accept “6/VI”.
Accept “−II, 4//IV”.
Do not accept 2- to 4+.
sulfur dioxide/SO2 causes acid rain ✔
Accept sulfur dioxide/SO2/dust causes respiratory problems
Do not accept just “causes respiratory problems” or “causes acid rain”.
disrupts the regular arrangement «of iron atoms/ions»
OR
carbon different size «to iron atoms/ions» ✔
prevents layers/atoms sliding over each other ✔
Examiners report
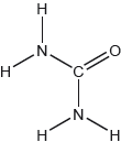
Urea, (H2N)2CO, is excreted by mammals and can be used as a fertilizer.
Urea can also be made by the direct combination of ammonia and carbon dioxide gases.
2NH3(g) + CO2(g) (H2N)2CO(g) + H2O(g) ΔH < 0
Calculate the percentage by mass of nitrogen in urea to two decimal places using section 6 of the data booklet.
Suggest how the percentage of nitrogen affects the cost of transport of fertilizers giving a reason.
The structural formula of urea is shown.

Predict the electron domain and molecular geometries at the nitrogen and carbon atoms, applying the VSEPR theory.

Urea can be made by reacting potassium cyanate, KNCO, with ammonium chloride, NH4Cl.
KNCO(aq) + NH4Cl(aq) → (H2N)2CO(aq) + KCl(aq)
Determine the maximum mass of urea that could be formed from 50.0 cm3 of 0.100 mol dm−3 potassium cyanate solution.
State the equilibrium constant expression, Kc.
Predict, with a reason, the effect on the equilibrium constant, Kc, when the temperature is increased.
Determine an approximate order of magnitude for Kc, using sections 1 and 2 of the data booklet. Assume ΔGΘ for the forward reaction is approximately +50 kJ at 298 K.
Suggest one reason why urea is a solid and ammonia a gas at room temperature.
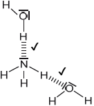
Sketch two different hydrogen bonding interactions between ammonia and water.
The combustion of urea produces water, carbon dioxide and nitrogen.
Formulate a balanced equation for the reaction.
Calculate the maximum volume of CO2, in cm3, produced at STP by the combustion of 0.600 g of urea, using sections 2 and 6 of the data booklet.
Describe the bond formation when urea acts as a ligand in a transition metal complex ion.
The C–N bonds in urea are shorter than might be expected for a single C–N bond. Suggest, in terms of electrons, how this could occur.
The mass spectrum of urea is shown below.

Identify the species responsible for the peaks at m/z = 60 and 44.
The IR spectrum of urea is shown below.

Identify the bonds causing the absorptions at 3450 cm−1 and 1700 cm−1 using section 26 of the data booklet.
Predict the number of signals in the 1H NMR spectrum of urea.
Predict the splitting pattern of the 1H NMR spectrum of urea.
Outline why TMS (tetramethylsilane) may be added to the sample to carry out 1H NMR spectroscopy and why it is particularly suited to this role.
Markscheme
molar mass of urea «4 1.01 + 2 14.01 + 12.01 + 16.00» = 60.07 «g mol-1»
«% nitrogen = 100 =» 46.65 «%»
Award [2] for correct final answer.
Award [1 max] for final answer not to two decimal places.
[2 marks]
«cost» increases AND lower N% «means higher cost of transportation per unit of nitrogen»
OR
«cost» increases AND inefficient/too much/about half mass not nitrogen
Accept other reasonable explanations.
Do not accept answers referring to safety/explosions.
[1 mark]

Note: Urea’s structure is more complex than that predicted from VSEPR theory.
[3 marks]
n(KNCO) «= 0.0500 dm3 0.100 mol dm–3» = 5.00 10–3 «mol»
«mass of urea = 5.00 10–3 mol 60.07 g mol–1» = 0.300 «g»
Award [2] for correct final answer.
[2 marks]
[1 mark]
«Kc» decreases AND reaction is exothermic
OR
«Kc» decreases AND ΔH is negative
OR
«Kc» decreases AND reverse/endothermic reaction is favoured
[1 mark]
ln K « = » = –20
«Kc =» 2 10–9
OR
1.69 10–9
OR
10–9
Accept range of 20-20.2 for M1.
Award [2] for correct final answer.
[2 marks]
Any one of:
urea has greater molar mass
urea has greater electron density/greater London/dispersion
urea has more hydrogen bonding
urea is more polar/has greater dipole moment
Accept “urea has larger size/greater van der Waals forces”.
Do not accept “urea has greater intermolecular forces/IMF”.
[1 mark]

Award [1] for each correct interaction.
If lone pairs are shown on N or O, then the lone pair on N or one of the lone pairs on O MUST be involved in the H-bond.
Penalize solid line to represent H-bonding only once.
[2 marks]
2(H2N)2CO(s) + 3O2(g) → 4H2O(l) + 2CO2(g) + 2N2(g)
correct coefficients on LHS
correct coefficients on RHS
Accept (H2N)2CO(s) + O2(g) → 2H2O(l) + CO2(g) + N2(g).
Accept any correct ratio.
[2 marks]
«V = 22700 cm3 mol–1 =» 227 «cm3»
[1 mark]
lone/non-bonding electron pairs «on nitrogen/oxygen/ligand» given to/shared with metal ion
co-ordinate/dative/covalent bonds
[2 marks]
lone pairs on nitrogen atoms can be donated to/shared with C–N bond
OR
C–N bond partial double bond character
OR
delocalization «of electrons occurs across molecule»
OR
slight positive charge on C due to C=O polarity reduces C–N bond length
[1 mark]
60: CON2H4+
44: CONH2+
Accept “molecular ion”.
[2 marks]
3450 cm–1: N–H
1700 cm–1: C=O
Do not accept “O–H” for 3450 cm–1.
[2 marks]
1
[2 marks]
singlet
Accept “no splitting”.
[1 mark]
acts as internal standard
OR
acts as reference point
one strong signal
OR
12 H atoms in same environment
OR
signal is well away from other absorptions
Accept “inert” or “readily removed” or “non-toxic” for M1.
[2 marks]
Examiners report
Some physical properties of molecular substances result from the different types of forces between their molecules.
Resonance structures exist when a molecule can be represented by more than one Lewis structure.
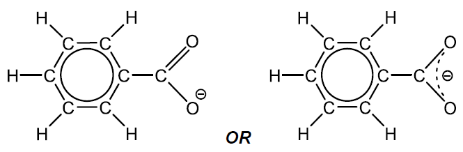
Carbon dioxide can be represented by at least two resonance structures, I and II.

Calculate the formal charge on each oxygen atom in the two structures.

Deduce, giving a reason, the more likely structure.
Absorption of UV light in the ozone layer causes the dissociation of oxygen and ozone.
Identify, in terms of bonding, the molecule that requires a longer wavelength to dissociate.
Carbon and silicon are elements in group 14.
Explain why CO2 is a gas but SiO2 is a solid at room temperature.
Markscheme

Award [1] for any two correctly filled cells.
[2 marks]
structure I AND no formal charges
OR
structure I AND no charge transfer «between atoms»
[1 mark]
O3 has bond between single and double bond AND O2 has double bond
OR
O3 has bond order of 1.5 AND O2 has bond order of 2
OR
bond in O3 is weaker/longer than in O2
O3 requires longer wavelength
M1: Do not accept “ozone has one single and one double bond”.
[2 marks]
CO2 «non-polar» «weak» London/dispersion forces/instantaneous induced dipole-induced dipole forces between molecules
SiO2 network/lattice/3D/giant «covalent» structure
M1: The concept of “between” is essential.
[2 marks]
Examiners report
Bromine can form the bromate(V) ion, BrO3−.
State the electron configuration of a bromine atom.
Sketch the orbital diagram of the valence shell of a bromine atom (ground state) on the energy axis provided. Use boxes to represent orbitals and arrows to represent electrons.
Draw two Lewis (electron dot) structures for BrO3−.
Determine the preferred Lewis structure based on the formal charge on the bromine atom, giving your reasons.
Predict, using the VSEPR theory, the geometry of the BrO3− ion and the O−Br−O bond angles.
Bromate(V) ions act as oxidizing agents in acidic conditions to form bromide ions.
Deduce the half-equation for this reduction reaction.
Bromate(V) ions oxidize iron(II) ions, Fe2+, to iron(III) ions, Fe3+.
Deduce the equation for this redox reaction.
Calculate the standard Gibbs free energy change, ΔGΘ, in J, of the redox reaction in (ii), using sections 1 and 24 of the data booklet.
EΘ (BrO3− / Br−) = +1.44 V
State and explain the magnetic property of iron(II) and iron(III) ions.
Markscheme
1s2 2s2 2p6 3s2 3p6 4s2 3d10 4p5
OR
[Ar] 4s2 3d10 4p5 ✔
Accept 3d before 4s.
Accept double-headed arrows.
Structure I - follows octet rule:
Structure II - does not follow octet rule:
Accept dots, crosses or lines to represent electron pairs.
«structure I» formal charge on Br = +2
OR
«structure II» formal charge on Br = 0/+1 ✔
structure II is preferred AND it produces formal charge closer to 0 ✔
Ignore any reference to formal charge on oxygen.
Geometry:
trigonal/pyramidal ✔
Reason:
three bonds AND one lone pair
OR
four electron domains ✔
O−Br−O angle:
107° ✔
Accept “charge centres” for “electron domains”.
Accept answers in the range 104–109°.
BrO3− (aq) + 6e− + 6H+ (aq) → Br− (aq) + 3H2O (l)
correct reactants and products ✔
balanced equation ✔
Accept reversible arrows.
BrO3− (aq) + 6Fe2+ (aq) + 6H+ (aq) → Br− (aq) + 3H2O (l) + 6Fe3+ (aq) ✔
EΘreaction = «+1.44 V – 0.77 V =» 0.67 «V» ✔
ΔGΘ = «–nFEΘreaction = – 6 × 96500 C mol–1 × 0.67 V =» –3.9 × 105 «J» ✔
both are paramagnetic ✔
«both» contain unpaired electrons ✔
Accept orbital diagrams for both ions showing unpaired electrons.
Examiners report
Calcium carbide, CaC2, is an ionic solid.
Describe the nature of ionic bonding.
Describe how the relative atomic mass of a sample of calcium could be determined from its mass spectrum.
When calcium compounds are introduced into a gas flame a red colour is seen; sodium compounds give a yellow flame. Outline the source of the colours and why they are different.
Suggest two reasons why solid calcium has a greater density than solid potassium.
Outline why solid calcium is a good conductor of electricity.
Sketch a graph of the first six ionization energies of calcium.
Calcium carbide reacts with water to form ethyne and calcium hydroxide.
CaC2(s) + H2O(l) → C2H2(g) + Ca(OH)2(aq)
Estimate the pH of the resultant solution.
Describe how sigma (σ) and pi () bonds are formed.
Deduce the number of σ and bonds in a molecule of ethyne.
Markscheme
electrostatic attraction AND oppositely charged ions
[1 mark]
multiply relative intensity by «m/z» value of isotope
OR
find the frequency of each isotope
sum of the values of products/multiplication «from each isotope»
OR
find/calculate the weighted average
Award [1 max] for stating “m/z values of isotopes AND relative abundance/intensity” but not stating these need to be multiplied.
[2 marks]
«promoted» electrons fall back to lower energy level
energy difference between levels is different
Accept “Na and Ca have different nuclear charge” for M2.
[2 marks]
Any two of:
stronger metallic bonding
smaller ionic/atomic radius
two electrons per atom are delocalized
OR
greater ionic charge
greater atomic mass
Do not accept just “heavier” or “more massive” without reference to atomic mass.
[2 marks]
delocalized/mobile electrons «free to move»
[1 mark]

general increase
only one discontinuity between “IE2” and “IE3”
[2 marks]
pH > 7
Accept any specific pH value or range of values above 7 and below 14.
[1 mark]
sigma (σ):
overlap «of atomic orbitals» along the axial/internuclear axis
OR
head-on/end-to-end overlap «of atomic orbitals»
pi ():
overlap «of p-orbitals» above and below the internuclear axis
OR
sideways overlap «of p-orbitals»
Award marks for suitable diagrams.
[2 marks]
sigma (σ): 3
AND
pi (): 2
[1 mark]
Examiners report
Organomagnesium compounds can react with carbonyl compounds. One overall equation is:
Compound B can also be prepared by reacting an alkene with water.
Iodomethane is used to prepare CH3Mg. It can also be converted into methanol:
CH3 + HO– → CH3OH + –
State the name of Compound B, applying International Union of Pure and Applied Chemistry (IUPAC) rules.
Compound A and Compound B are both liquids at room temperature and pressure. Identify the strongest intermolecular force between molecules of Compound A.
State the number of (sigma) and (pi) bonds in Compound A.
Deduce the hybridization of the central carbon atom in Compound A.
Identify the isomer of Compound B that exists as optical isomers (enantiomers).
Draw the structural formula of the alkene required.
Explain why the reaction produces more (CH3)3COH than (CH3)2CHCH2OH.
Deduce the structural formula of the repeating unit of the polymer formed from this alkene.
Deduce what would be observed when Compound B is warmed with acidified aqueous potassium dichromate (VI).
Identify the type of reaction.
Outline the requirements for a collision between reactants to yield products.
Explain the mechanism of the reaction using curly arrows to represent the movement of electron pairs.
The polarity of the carbon–halogen bond, C–X, facilitates attack by HO–.
Outline, giving a reason, how the bond polarity changes going down group 17.
Markscheme
2-methylpropan-2-ol /2-methyl-2-propanol ✔
Accept methylpropan-2-ol/ methyl-2-propanol.
Do not accept 2-methylpropanol.
dipole-dipole ✔
Do not accept van der Waals’ forces.
: 9
AND
: 1 ✔
sp2 ✔
butan-2-ol/CH3CH(OH)C2H5 ✔
carbocation formed from (CH3)3COH is more stable / (CH3)3C+ is more stable than (CH3)2CHCH2+ ✔
«because carbocation has» greater number of alkyl groups/lower charge on the atom/higher e- density
OR
«greater number of alkyl groups» are more electron releasing
OR
«greater number of alkyl groups creates» greater inductive/+I effect ✔
Do not award any marks for simply quoting Markovnikov’s rule.
Do not penalize missing brackets or n.
Do not award mark if continuation bonds are not shown.
no change «in colour/appearance/solution» ✔
«nucleophilic» substitution
OR
SN2 ✔
Accept “hydrolysis”.
Accept SN1
energy/E ≥ activation energy/Ea ✔
correct orientation «of reacting particles»
OR
correct geometry «of reacting particles» ✔
curly arrow going from lone pair/negative charge on O in -OH to C ✔
curly arrow showing I leaving ✔
representation of transition state showing negative charge, square brackets and partial bonds ✔
Accept OH- with or without the lone pair.
Do not allow curly arrows originating on H, rather than the -, in OH-.
Accept curly arrows in the transition state.
Do not penalize if HO and I are not at 180°.
Do not award M3 if OH–C bond is represented.
Award [2 max] if SN1 mechanism shown.
decreases/less polar AND electronegativity «of the halogen» decreases ✔
Accept “decreases” AND a correct comparison of the electronegativity of two halogens.
Accept “decreases” AND “attraction for valence electrons decreases”.
Examiners report
Naming the organic compound using IUPAC rules was generally done well.
Mediocre performance in stating the number of σ (sigma) and π (pi) bonds in propanone; the common answer was 3 σ and 1 π instead of 9 σ and 1 π, suggesting the three C-H σ bonds in each of the two methyl groups were ignored.
sp2 hybridization of the central carbon atom in the ketone was very done well.
Mediocre performance; some identified 2-methylpropan-1-ol or -2-ol, instead butan-2-ol/CH3CH(OH)C2H5 as the isomer that exists as an optical isomer.
Good performance; some had a H and CH3 group on each C atom across double bond instead of having two H atoms on one C and two CH3 groups on the other.
Poor performance, particularly in light of past feedback provided in similar questions since there was repeated reference simply to Markovnikov's rule, without any explanation.
Mediocre performance; deducing structural formula of repeating unit of the polymer was challenging in which continuation bonds were sometimes missing, or structure included a double bond or one of the CH3 group was missing.
Mediocre performance; deducing whether the tertiary alcohol could be oxidized solicited mixed responses ranging from the correct one, namely no change (in colour, appearance or solution), to tertiary alcohol will be reduced, or oxidized, or colour will change will occur, and such.
Excellent performance on the type of reaction but with some incorrect answers such as alkane substitution, free radical substitution or electrophilic substitution.
Good performance. For the requirements for a collision between reactants to yield products, some suggested necessary, sufficient or enough energy or even enough activation energy instead of energy/E ≥ activation energy/Ea.
Mechanism for SN2 not done well. Often the negative charge on OH was missing, the curly arrow was not going from lone pair/negative charge on O in -OH to C, or the curly arrow showing I leaving placed incorrectly and specially the negative charge was missing in the transition state. Formation of a carbocation intermediate indicating SN1 mechanism could score a maximum of 2 marks.
Good performance on how the polarity of C-X bond changes going down group 17.
Both vinegar (a dilute aqueous solution of ethanoic acid) and bleach are used as cleaning agents.
Bleach reacts with ammonia, also used as a cleaning agent, to produce the poisonous compound chloramine, NH2Cl.
Outline why ethanoic acid is classified as a weak acid.
A solution of bleach can be made by reacting chlorine gas with a sodium hydroxide solution.
Cl2 (g) + 2NaOH (aq) ⇌ NaOCl (aq) + NaCl (aq) + H2O (l)
Suggest, with reference to Le Châtelier’s principle, why it is dangerous to mix vinegar and bleach together as cleaners.
Draw a Lewis (electron dot) structure of chloramine.
State the hybridization of the nitrogen atom in chloramine.
Deduce the molecular geometry of chloramine and estimate its H–N–H bond angle.
Molecular geometry:
H–N–H bond angle:
State the type of bond formed when chloramine is protonated.
Sketch a graph of pH against volume of hydrochloric acid added to ammonia solution, showing how you would determine the pKa of the ammonium ion.
Suggest a suitable indicator for the titration, using section 22 of the data booklet.
Explain, using two equations, how an equimolar solution of ammonia and ammonium ions acts as a buffer solution when small amounts of acid or base are added.
Markscheme
partial dissociation «in aqueous solution» [✔]
ethanoic acid/vinegar reacts with NaOH [✔]
moves equilibrium to left/reactant side [✔]
releases Cl2 (g)/chlorine gas
OR
Cl2 (g)/chlorine gas is toxic [✔]
Note: Accept “ethanoic acid produces H+ ions”
Accept “ethanoic acid/vinegar reacts with NaOCl”.
Do not accept “2CH3COOH + NaOCl + NaCl → 2CH3COONa + Cl2 + H2O” as it does not refer to equilibrium.
Accept suitable molecular or ionic equations for M1 and M3.
[✔]
Note: Accept any combination of dots/crosses or lines to represent electron pairs.
sp3 [✔]
Molecular geometry:
«trigonal» pyramidal [✔]
H–N–H bond angle:
107° [✔]
Note: Accept angles in the range of 100–109.
covalent/dative/coordinate [✔]
correct shape of graph AND vertical drop at Vn [✔]
pKa = pH at /half neutralization/half equivalence [✔]
Note: M1: must show buffer region at pH > 7 and equivalence point at pH < 7. Graph must start below pH = 14.
methyl orange
OR
bromophenol blue
OR
bromocresol green
OR
methyl red [✔]
NH3 (aq) + H+ (aq) → NH4 + (aq) [✔]
NH4 + (aq) + OH− (aq) → NH3 (aq) + H2O(l) [✔]
Note: Accept reaction arrows or equilibrium signs in both equations.
Award [1 max], based on two correct reverse equations but not clearly showing reacting with acid or base but rather dissociation.
Examiners report
Majority of candidates understood weak acids do not fully dissociate.
The average score was 1 out 3. Many could not suggest why it is dangerous to mix chlorine with vinegar. Most students gained at least one mark for stating that “chlorine gas will be produced” but couldn’t link it to equilibrium ideas.
Most candidates correctly drew the Lewis structure of chloramine. Some left off lone pair electrons.
Mostly correct with a surprising number stating sp or sp2 hybridization.
Generally well done with some candidates misinterpreting the bond angle from the stated geometry.
“Ionic bond”, “hydrogen bond” and “intermolecular forces” were some common answers.
Quite poorly done with many candidates not indicating a vertical drop but rather a weak acid/weak base curve. Some did not have the correct location for the equivalence point.
Generally well done although a number of candidates chose bromothymol blue as a suitable indicator for weak base with a strong acid.
Nearly 30 % of candidates did not attempt to answer this question about buffer equations. It was also poorly answered because equations were not used to explain buffer action or the dissociation equations for the base and acid were given rather than their reactions with H+ or OH- .
Bonds can be formed in many ways.
The equilibrium for a mixture of NO2 and N2O4 gases is represented as:
2NO2(g) N2O4(g)
At 100°C, the equilibrium constant, Kc, is 0.21.
Bonds can be formed in many ways.
Discuss the bonding in the resonance structures of ozone.
Deduce one resonance structure of ozone and the corresponding formal charges on each oxygen atom.
The first six ionization energies, in kJ mol–1, of an element are given below.

Explain the large increase in ionization energy from IE3 to IE4.
At a given time, the concentration of NO2(g) and N2O4(g) were 0.52 and respectively.
Deduce, showing your reasoning, if the forward or the reverse reaction is favoured at this time.
Comment on the value of ΔG when the reaction quotient equals the equilibrium constant, Q = K.
Markscheme
lone pair on p orbital «of O atom» overlaps/delocalizes with pi electrons «from double bond»
both O–O bonds have equal bond length
OR
both O–O bonds have same/1.5 bond order
OR
both O–O are intermediate between O–O AND O=O
both O–O bonds have equal bond energy
Accept “p/pi/ electrons are delocalized/not localized”.
[3 marks]
ALTERNATIVE 1:
FC: –1 AND +1 AND 0
ALTERNATIVE 2:
FC: 0 AND +1 AND –1
Accept any combination of lines, dots or crosses to represent electrons.
Do not accept structure that represents 1.5 bonds.
Do not penalize missing lone pairs if already penalized in 3(b).
If resonance structure is incorrect, no ECF.
Any one of the structures with correct formal charges for [2 max].
[2 marks]
Any two of:
IE4: electron in lower/inner shell/energy level
OR
IE4: more stable/full electron shell
IE4: electron closer to nucleus
OR
IE4: electron more tightly held by nucleus
IE4: less shielding by complete inner shells
Accept “increase in effective nuclear charge” for M2.
[2 marks]
«Qc = =» 0.37
reaction proceeds to the left/NO2(g) «until Q = Kc»
OR
reverse reaction «favoured»
Do not award M2 without a calculation for M1 but remember to apply ECF.
[2 marks]
ΔG = 0
reaction at equilibrium
OR
rate of forward and reverse reaction is the same
OR
constant macroscopic properties
[2 marks]
Examiners report
Cobalt forms the transition metal complex [Co(NH3)4 (H2O)Cl]Br.
Trends in physical and chemical properties are useful to chemists.
Explain why the melting points of the group 1 metals (Li → Cs) decrease down the group whereas the melting points of the group 17 elements (F → I) increase down the group.
State the shape of the complex ion.
Deduce the charge on the complex ion and the oxidation state of cobalt.
Describe, in terms of acid-base theories, the type of reaction that takes place between the cobalt ion and water to form the complex ion.
Markscheme
Any three of:
Group 1:
atomic/ionic radius increases
smaller charge density
OR
force of attraction between metal ions and delocalised electrons decreases
Do not accept discussion of attraction between valence electrons and nucleus for M2.
Accept “weaker metallic bonds” for M2.
Group 17:
number of electrons/surface area/molar mass increase
London/dispersion/van der Waals’/vdw forces increase
Accept “atomic mass” for “molar mass”.
[Max 3 Marks]
«distorted» octahedral
Accept “square bipyramid”.
Charge on complex ion: 1+/+
Oxidation state of cobalt: +2
Lewis «acid-base reaction»
H2O: electron/e– pair donor
OR
Co2+: electron/e– pair acceptor
Examiners report
Ethyne, C2H2, reacts with oxygen in welding torches.
Ethyne reacts with steam.
C2H2 (g) + H2O (g) → C2H4O (g)
Two possible products are:
Product B, CH3CHO, can also be synthesized from ethanol.
Write an equation for the complete combustion of ethyne.
Deduce the Lewis (electron dot) structure of ethyne.
Compare, giving a reason, the length of the bond between the carbon atoms in ethyne with that in ethane, C2H6.
Identify the type of interaction that must be overcome when liquid ethyne vaporizes.
State the name of product B, applying IUPAC rules.
Determine the enthalpy change for the reaction, in kJ, to produce A using section 11 of the data booklet.
The enthalpy change for the reaction to produce B is −213 kJ.
Predict, giving a reason, which product is the most stable.
The IR spectrum and low resolution 1H NMR spectrum of the actual product formed are shown.
Deduce whether the product is A or B, using evidence from these spectra together with sections 26 and 27 of the data booklet.
Identity of product:
One piece of evidence from IR:
One piece of evidence from 1H NMR:
Deduce the splitting pattern you would expect for the signals in a high resolution 1H NMR spectrum.
2.3 ppm:
9.8 ppm:
Suggest the reagents and conditions required to ensure a good yield of product B.
Reagents:
Conditions:
Deduce the average oxidation state of carbon in product B.
Explain why product B is water soluble.
Markscheme
C2H2 (g) + 2.5O2 (g) → 2CO2 (g) + H2O (l)
OR
2C2H2 (g) + 5O2 (g) → 4CO2 (g) + 2H2O (l) [✔]
[✔]
Note: Accept any valid combination of lines, dots and crosses.
«ethyne» shorter AND a greater number of shared/bonding electrons
OR
«ethyne» shorter AND stronger bond [✔]
London/dispersion/instantaneous dipole-induced dipole forces [✔]
ethanal [✔]
«sum of bond enthalpies of reactants =» 2(C—H)+C ≡ C + 2(O—H)
OR
2 × 414 «kJ mol-1» + 839 «kJ mol-1» + 2 × 463 «kJ mol-1»
OR
2593 «kJ» [✔]
«sum of bond enthalpies of A =» 3(C—H) + C=C + C—O + O—H
OR
3 × 414 «kJ mol-1» + 614 «kJ mol-1» + 358 «kJ mol-1» + 463 «kJ mol-1»
OR
2677 «kJ» [✔]
«enthalpy of reaction = 2593 kJ – 2677 kJ» = –84 «kJ» [✔]
Note: Award [3] for correct final answer.
B AND it has a more negative/lower enthalpy/«potential» energy
OR
B AND more exothermic «enthalpy of reaction from same starting point» [✔]
Identity of product: «B»
IR spectrum:
1700–1750 «cm–1 band» AND carbonyl/CO group present
OR
no «band at» 1620–1680 «cm–1» AND absence of double bond/C=C
OR
no «broad band at» 3200–3600 «cm–1 » AND absence of hydroxyl/OH group [✔]
1H NMR spectrum:
«only» two signals AND A would have three
OR
«signal at» 9.4–10.0 «ppm» AND «H atom/proton of» aldehyde/–CHO present
OR
«signal at» 2.2–2.7 «ppm» AND «H atom/proton of alkyl/CH next to» aldehyde/CHO present
OR
«signal at» 2.2–2.7 «ppm» AND «H atom/proton of» RCOCH2- present
OR
no «signal at» 4.5–6.0 «ppm» AND absence of «H atom/proton next to» double bond/C=C ✔
Note: Accept a specific value or range of wavenumbers and chemical shifts.
Accept “two signals with areas 1:3”.
2.3 ppm: doublet [✔]
9.8 ppm: quartet [✔]
Reagents:
acidified/H+ AND «potassium» dichromate«(VI)»/K2Cr2O7/Cr2O72- [✔]
Conditions:
distil «the product before further oxidation» [✔]
Note: Accept “«acidified potassium» manganate(VII)/KMnO4/MnO4-/permanganate”.
Accept “H2SO4” or “H3PO4” for “H+”.
Accept “more dilute dichromate(VI)/manganate(VII)” or “excess ethanol”.
Award M1 if correct reagents given under “Conditions”.
–1 [✔]
Any three of:
has an oxygen/O atom with a lone pair [✔]
that can form hydrogen bonds/H-bonds «with water molecules» [✔]
hydrocarbon chain is short «so does not disrupt many H-bonds with water molecules» [✔]
«large permanent» dipole-dipole interactions with water [✔]
Examiners report
All candidates were able to write the correct reactants/products for combustion of ethyne, but a few failed to balance correctly.
Most drew correct Lewis structures for ethyne, though some drew ethene.
Surprisingly very few explained the difference in bond length/strength looking at electrons shared and just gave the shorter/triple or longer/single bond answer.
Good to see that most candidates identified the specific IMF correctly.
Most candidates gave the correct IUPAC name.
Candidates were able to calculate the ΔH of the given reaction correctly; a few inverted the calculations or made mathematical errors.
Generally well done, most common error was stating that the enthalpy change was “larger” without the indication that it was an exothermic change or the sign.
Interpretation of spectra was very good and the few candidates that lost marks with 1H NMR data rather than IR, for example simply mentioning two signals for B. However, most candidates that attempted this question got full marks.
The stronger candidates were able to predict the splitting pattern correctly, others inverted the answer, but many others repeated the information for protons with the given chemical shift, which is unexpected since wording was straightforward.
Candidates seemed to be confused by the prompts, reagent and conditions, so often included the acid among conditions. Careless errors were common such as the wrong charge on the dichromate ion. Few candidates suggest permanganate as an option.
Most candidates were able to calculate oxidation state of carbon in B.
Candidates did not understand that they must mention the IMF responsible for the solubility. Most candidates explained the polarity of the aldehyde and water but did not mention that this results in permanent dipole-dipole interactions; many did mention H-bonding. The mention of the lone pair on O atom and short hydrocarbon chain were very rare.
Sulfur trioxide is produced from sulfur dioxide.
2SO2 (g) + O2 (g) 2SO3 (g) ΔH = −196 kJ mol−1
The reaction between sulfur dioxide and oxygen can be carried out at different temperatures.
Outline, giving a reason, the effect of a catalyst on a reaction.
On the axes, sketch Maxwell–Boltzmann energy distribution curves for the reacting species at two temperatures T1 and T2, where T2 > T1.
Explain the effect of increasing temperature on the yield of SO3.
Draw the Lewis structure of SO3.
Explain the electron domain geometry of SO3.
State the product formed from the reaction of SO3 with water.
State the meaning of a strong Brønsted–Lowry acid.
Markscheme
increases rate AND lower Ea ✔
provides alternative pathway «with lower Ea»
OR
more/larger fraction of molecules have the «lower» Ea ✔
Accept description of how catalyst lowers Ea for M2 (e.g. “reactants adsorb on surface «of catalyst»”, “reactant bonds weaken «when adsorbed»”, “helps favorable orientation of molecules”).
both axes correctly labelled ✔
peak of T2 curve lower AND to the right of T1 curve ✔
lines begin at origin AND correct shape of curves AND T2 must finish above T1 ✔
Accept “probability «density» / number of particles / N / fraction” on y-axis.
Accept “kinetic E/KE/Ek” but not just “Energy/E” on x-axis.
decrease AND equilibrium shifts left / favours reverse reaction ✔
«forward reaction is» exothermic / ΔH is negative ✔
✔
Note:
Accept any of the above structures as formal charge is not being assessed.
three electron domains «attached to the central atom» ✔
repel/as far away as possible /120° «apart» ✔
sulfuric acid/H2SO4 ✔
Accept “disulfuric acid/H2S2O7”.
fully ionizes/dissociates ✔
proton/H+ «donor »✔
Examiners report
Overall well answered though some answers were directed to explain the specific example rather than the simple and standard definition of the effect of a catalyst.
Few got the 3 marks for this standard question (average mark 1.7), the most common error being incomplete/incorrect labelling of axes, curves beginning above 0 on y-axis or inverted curves.
Many candidates got one mark at least, sometimes failing to state the effect on the production of SO3 though they knew this quite obviously. This failure to read the question properly also resulted in an incorrect prediction based exclusively on kinetics instead of using the information provided to guide their answers.
Drawing the Lewis structure of SO3 proved to be challenging, with lots of incorrect shapes, lone pair on S, etc.; accepting all resonant structures allowed many candidates to get the mark which was fair considering no formal charge estimation was required.
Most were focussed on the shape itself instead of explaining what led them to suggest that shape; number of electron domains allowed most candidates to get one mark and eventually a mention of bond angles resulted in only 35% getting both marks. In general, students were not able to provide clear explanations for the shape (not a language issue) but rather were happy to state the molecular geometry which they knew, but wasn't what was actually required for the mark.
6(d)(i)-(ii): These simple questions could be expected to be answered by all HL candidates. However 20% of the candidates suggested hydroxides or hydrogen as products of an aqueous dissolution of sulphur oxide. In the case of the definition of a strong Brønsted-Lowry acid, only 50% got both marks, often failing to define "strong" but in other cases defining them as bases even.
The properties of elements can be predicted from their position in the periodic table.
Explain why Si has a smaller atomic radius than Al.
Explain why the first ionization energy of sulfur is lower than that of phosphorus.
State the condensed electron configurations for Cr and Cr3+.
Describe metallic bonding and how it contributes to electrical conductivity.
Deduce, giving a reason, which complex ion [Cr(CN)6]3− or [Cr(OH)6]3− absorbs higher energy light. Use section 15 of the data booklet.
[Cr(OH)6]3− forms a green solution. Estimate a wavelength of light absorbed by this complex, using section 17 of the data booklet.
Deduce the Lewis (electron dot) structure and molecular geometry of sulfur tetrafluoride, SF4, and sulfur dichloride, SCl2.
Suggest, giving reasons, the relative volatilities of SCl2 and H2O.
Markscheme
nuclear charge/number of protons/Z/Zeff increases «causing a stronger pull on the outer electrons» ✓
same number of shells/«outer» energy level/shielding ✓
P has «three» unpaired electrons in 3p sub-level AND S has one full 3p orbital «and two 3p orbitals with unpaired electrons»
OR
P: [Ne]3s23px13py13pz1 AND S: [Ne]3s23px23py13pz1 ✓
Accept orbital diagrams for 3p sub-level for M1. Ignore other orbitals or sub-levels.
repulsion between paired electrons in sulfur «and therefore easier to remove» ✓
Accept “removing electron from S gives more stable half-filled sub-level" for M2.
Cr:
[Ar] 4s13d5 ✓
Cr3+:
[Ar] 3d3 ✓
Accept “[Ar] 3d54s1”.
Accept “[Ar] 3d34s0”.
Award [1 max] for two correct full electron configurations “1s22s22p63s23p64s13d5 AND 1s22s22p63s23p63d3”.
Award [1 max] for 4s13d5 AND 3d3.
electrostatic attraction ✓
between «a lattice of» cations/positive «metal» ions AND «a sea of» delocalized electrons ✓
mobile electrons responsible for conductivity
OR
electrons move when a voltage/potential difference/electric field is applied ✓
Do not accept “nuclei” for “cations/positive ions” in M2.
Accept “mobile/free” for “delocalized” electrons in M2.
Accept “electrons move when connected to a cell/battery/power supply” OR “electrons move when connected in a circuit” for M3.
[Cr(CN)6]3− AND CN−/ligand causes larger splitting «in d-orbitals compared to OH−»
OR
[Cr(CN)6]3− AND CN−/ligand associated with a higher Δ/«crystal field» splitting energy/energy difference «in the spectrochemical series compared to OH− » ✓
Accept “[Cr(CN)6]3− AND «CN−» strong field ligand”.
any value or range between 647 and 700 nm ✓
SF4/SCl2 structure does not have to be 3-D for mark.
Penalize missing lone pairs of electrons on halogens once only.
Accept any combination of dots, lines or crosses for bonds/lone pairs.
Accept “non-linear” for SCl2 molecular geometry.
Award [1] for two correct electron domain geometries, e.g. trigonal bipyramidal for SF4 and tetrahedral for SCl2.
H2O forms hydrogen bonding «while SCl2 does not» ✓
SCl2 «much» stronger London/dispersion/«instantaneous» induced dipole-induced dipole forces ✓
Alternative 1:
H2O less volatile AND hydrogen bonding stronger «than dipole–dipole and dispersion forces» ✓
Alternative 2:
SCl2 less volatile AND effect of dispersion forces «could be» greater than hydrogen bonding ✓
Ignore reference to Van der Waals.
Accept “SCl2 has «much» larger molar mass/electron density” for M2.
Examiners report
White phosphorus is an allotrope of phosphorus and exists as P4.
An equilibrium exists between PCl3 and PCl5.
PCl3 (g) + Cl2 (g) PCl5 (g)
Sketch the Lewis (electron dot) structure of the P4 molecule, containing only single bonds.
Write an equation for the reaction of white phosphorus (P4) with chlorine gas to form phosphorus trichloride (PCl3).
Deduce the electron domain and molecular geometry using VSEPR theory, and estimate the Cl–P–Cl bond angle in PCl3.
Outline the reason why PCl5 is a non-polar molecule, while PCl4F is polar.
Calculate the standard enthalpy change (ΔH⦵) for the forward reaction in kJ mol−1.
ΔH⦵f PCl3 (g) = −306.4 kJ mol−1
ΔH⦵f PCl5 (g) = −398.9 kJ mol−1
Calculate the entropy change, ΔS, in J K−1 mol−1, for this reaction.
Chemistry 2e, Chpt. 21 Nuclear Chemistry, Appendix G: Standard Thermodynamic Properties for Selected Substances https://openstax.org/books/chemistry-2e/pages/g-standard-thermodynamic-properties-for- selectedsubstances# page_667adccf-f900-4d86-a13d-409c014086ea © 1999-2021, Rice University. Except where otherwise noted, textbooks on this site are licensed under a Creative Commons Attribution 4.0 International License. (CC BY 4.0) https://creativecommons.org/licenses/by/4.0/.
Calculate the Gibbs free energy change (ΔG), in kJ mol−1, for this reaction at 25 °C. Use section 1 of the data booklet.
If you did not obtain an answer in c(i) or c(ii) use −87.6 kJ mol−1 and −150.5 J mol−1 K−1 respectively, but these are not the correct answers.
Determine the equilibrium constant, K, for this reaction at 25 °C, referring to section 1 of the data booklet.
If you did not obtain an answer in (c)(iii), use ΔG = –43.5 kJ mol−1, but this is not the correct answer.
State the equilibrium constant expression, Kc, for this reaction.
State, with a reason, the effect of an increase in temperature on the position of this equilibrium.
Markscheme
Accept any diagram with each P joined to the other three.
Accept any combination of dots, crosses and lines.
P4 (s) + 6Cl2 (g) → 4PCl3 (l) ✔
Electron domain geometry: tetrahedral ✔
Molecular geometry: trigonal pyramidal ✔
Bond angle: 100«°» ✔
Accept any value or range within the range 91−108«°» for M3.
PCl5 is non-polar:
symmetrical
OR
dipoles cancel ✔
PCl4F is polar:
P–Cl has a different bond polarity than P–F ✔
non-symmetrical «dipoles»
OR
dipoles do not cancel ✔
Accept F more electronegative than/different electronegativity to Cl for M2.
«−398.9 kJ mol−1 − (−306.4 kJ mol−1) =» −92.5 «kJ mol−1» ✔
«ΔS = 364.5 J K–1 mol–1 – (311.7 J K–1 mol–1 + 223.0 J K–1 mol–1)=» –170.2 «J K–1 mol–1» ✔
«ΔS =» –0.1702 «kJ mol–1 K–1»
OR
298 «K» ✔
«ΔG = –92.5 kJ mol–1 – (298 K × –0.1702 kJ mol–1 K–1) =» –41.8 «kJ mol–1» ✔
Award [2] for correct final answer.
If –87.6 and -150.5 are used then –42.8.
«ΔG = –41.8 kJ mol–1 = × 298 K × lnK»
OR
«ΔG = –41800 J mol–1 = –8.31 J mol–1 K–1 × 298 K × lnK»
«lnK = =» 16.9 ✔
«K = e16.9 =» 2.19 × 107 ✔
Award [2] for correct final answer.
Accept range of 1.80 × 106–2.60 × 107.
If –43.5 is used then 4.25 × 107.
«Kc =» ✔
«shifts» left/towards reactants AND «forward reaction is» exothermic/ΔH is negative ✔
Examiners report
Magnetite, Fe3O4, is another ore of iron that contains both Fe2+ and Fe3+.
Iron exists as several isotopes.
Deduce the ratio of Fe2+:Fe3+ in Fe3O4.
State the type of spectroscopy that could be used to determine their relative abundances.
State the number of protons, neutrons and electrons in each species.
Iron has a relatively small specific heat capacity; the temperature of a 50 g sample rises by 44.4°C when it absorbs 1 kJ of heat energy.
Determine the specific heat capacity of iron, in J g−1 K−1. Use section 1 of the data booklet.
A voltaic cell is set up between the Fe2+ (aq) | Fe (s) and Fe3+ (aq) | Fe2+ (aq) half-cells.
Deduce the equation and the cell potential of the spontaneous reaction. Use section 24 of the data booklet.
The figure shows an apparatus that could be used to electroplate iron with zinc. Label the figure with the required substances.
Outline why, unlike typical transition metals, zinc compounds are not coloured.
Transition metals like iron can form complex ions. Discuss the bonding between transition metals and their ligands in terms of acid-base theory.
Markscheme
1:2 ✔
Accept 2 Fe3+: 1 Fe2+
Do not accept 2:1 only
mass «spectroscopy»/MS ✔
Award [1 max] for 4 correct values.
specific heat capacity « = » = 0.45 «J g−1 K−1» ✔
Equation:
2Fe3+(aq) + Fe(s) → 3Fe2+(aq) ✔
Cell potential:
«+0.77 V − (−0.45 V) = +»1.22 «V» ✔
Do not accept reverse reaction or equilibrium arrow.
Do not accept negative value for M2.
left electrode/anode labelled zinc/Zn AND right electrode/cathode labelled iron/Fe ✔
electrolyte labelled as «aqueous» zinc salt/Zn2+ ✔
Accept an inert conductor for the anode.
Accept specific zinc salts such as ZnSO4.
« Zn2+» has a full d-shell
OR
does not form « ions with» an incomplete d-shell ✔
Do not accept “Zn is not a transition metal”.
Do not accept zinc atoms for zinc ions.
ligands donate pairs of electrons to metal ions
OR
forms coordinate covalent/dative bond✔
ligands are Lewis bases
AND
metal «ions» are Lewis acids ✔
Examiners report
The concentration of a solution of a weak acid, such as ethanedioic acid, can be determined
by titration with a standard solution of sodium hydroxide, NaOH (aq).
5.00 g of an impure sample of hydrated ethanedioic acid, (COOH)2•2H2O, was dissolved in water to make 1.00 dm3 of solution. 25.0 cm3 samples of this solution were titrated against a 0.100 mol dm-3 solution of sodium hydroxide using a suitable indicator.
(COOH)2 (aq) + 2NaOH (aq) → (COONa)2 (aq) + 2H2O (l)
The mean value of the titre was 14.0 cm3.
(i) Suggest a suitable indicator for this titration. Use section 22 of the data booklet.
(ii) Calculate the amount, in mol, of NaOH in 14.0 cm3 of 0.100 mol dm-3 solution.
(iii) Calculate the amount, in mol, of ethanedioic acid in each 25.0 cm3 sample.
(iv) Determine the percentage purity of the hydrated ethanedioic acid sample.
Draw the Lewis (electron dot) structure of the ethanedioate ion, –OOCCOO–.
Outline why all the C–O bond lengths in the ethanedioate ion are the same length and suggest a value for them. Use section 10 of the data booklet.
Explain how ethanedioate ions act as ligands.
Markscheme
i
phenolphthalein
OR
phenol red
ii
«n(NaOH) = dm3 × 0.100 mol dm-3 =» 1.40 × 10-3 «mol»
iii
« × 1.40 × 10-3 =» 7.00 × 10-4 «mol»
iv
ALTERNATIVE 1:
«mass of pure hydrated ethanedioic acid in each titration = 7.00 × 10-4 mol × 126.08 g mol-1 =» 0.0883 / 8.83 × 10-2 «g»
mass of sample in each titration = « × 5.00 g =» 0.125 «g»
«% purity = × 100 =» 70.6 «%»
ALTERNATIVE 2:
«mol of pure hydrated ethanedioic acid in 1 dm3 solution = 7.00 × 10-4 × =» 2.80 × 10-2 «mol»
«mass of pure hydrated ethanedioic acid in sample = 2.80 × 10-2 mol × 126.08 g mol-1 =» 3.53 «g»
«% purity = × 100 =» 70.6 «%»
ALTERNATIVE 3:
mol of hydrated ethanedioic acid (assuming sample to be pure) = = 0.03966 «mol»
actual amount of hydrated ethanedioic acid = «7.00 × 10-4 × =» 2.80 × 10-2 «mol»
«% purity = × 100 =» 70.6 «%»
Award suitable part marks for alternative methods.
Award [3] for correct final answer.
Award [2 max] for 50.4 % if anhydrous ethanedioic acid assumed.
Accept single negative charges on two O atoms singly bonded to C.
Do not accept resonance structures.
Allow any combination of dots/crosses or lines to represent electron pairs.
electrons delocalized «across the O–C–O system»
OR
resonance occurs
Accept delocalized π-bond(s).
No ECF from (d).
122 «pm» < C–O < 143 «pm»
Accept any answer in range 123 «pm» to 142 «pm».
Accept “bond intermediate between single and double bond” or “bond order 1.5”.
coordinate/dative/covalent bond from O to «transition» metal «ion»
OR
acts as a Lewis base/nucleophile
can occupy two positions
OR
provide two electron pairs from different «O» atoms
OR
form two «coordinate/dative/covalent» bonds «with the metal ion»
OR
chelate «metal/ion»
Examiners report
Biochemical oxygen demand (BOD) can be determined by the Winkler Method.
A 25.00 cm3 sample of water was treated according to the Winkler Method.
Step I: 2Mn2+ (aq) + O2 (g) + 4OH− (aq) → 2MnO2 (s) + 2H2O (l)
Step II: MnO2 (s) + 2I− (aq) + 4H+ (aq) → Mn2+ (aq) + I2 (aq) + 2H2O (l)
Step III: 2S2O32− (aq) + I2 (aq) → 2I− (aq) + S4O62− (aq)
The iodine produced was titrated with 37.50 cm3 of 5.000 × 10−4 mol dm−3 Na2S2O3.
Outline what is measured by BOD.
A student dissolved 0.1240 ± 0.0001 g of Na2S2O3 to make 1000.0 ± 0.4 cm3 of solution to use in the Winkler Method.
Determine the percentage uncertainty in the molar concentration.
Calculate the amount, in moles of Na2S2O3 used in the titration.
Deduce the mole ratio of O2 consumed in step I to S2O32− used in step III.
Calculate the concentration of dissolved oxygen, in mol dm−3, in the sample.
The three steps of the Winkler Method are redox reactions.
Deduce the reduction half-equation for step II.
Suggest a reason that the Winkler Method used to measure biochemical oxygen demand (BOD) must be done at constant temperature.
Markscheme
«amount of» oxygen used to decompose the organic matter in water ✔
«» 0.08 «%»
OR
«» 0.04 «%» ✔
«0.08 % + 0.04 % =» 0.12/0.1 «%» ✔
Award [2] for correct final answer.
Accept fractional uncertainties for M1, i.e., 0.0008 OR 0.0004.
«× 5.000 × 10−4 mol dm−3 =» 1.875 × 10−5 «mol» ✔
1:4 ✔
Accept “4 mol S2O32– :1 mol O2“, but not just 4:1.
«» 4.688 × 10−6 «mol» ✔
«» 1.875 × 10−4 «mol dm−3» ✔
Award [2] for correct final answer.
MnO2 (s) + 2e− + 4H+ (aq) → Mn2+ (aq) + 2H2O (l) ✔
rate of reaction of oxygen with impurities depends on temperature
OR
rate at which bacteria/organisms grow/respire depends on temperature ✔
Examiners report
Lewis (electron dot) structures are useful models.
Draw the Lewis (electron dot) structures of PF3 and PF5 and use the VSEPR theory to deduce the molecular geometry of each species including bond angles.
Predict whether the molecules PF3 and PF5 are polar or non-polar.
State the type of hybridization shown by the phosphorus atom in PF3.
Markscheme
Accept any combination of dots, crosses and lines.
Penalize missing lone pairs once only.
Do not apply ECF for molecular geometry.
Accept values in the range 95–109 for PF3.
PF3 polar AND PF5 non-polar
Apply ECF from part (a) molecular geometry.
sp3
Examiners report
Benzoic acid, C6H5COOH, is another derivative of benzene.
Identify the wavenumber of one peak in the IR spectrum of benzoic acid, using section 26 of the data booklet.
Identify the spectroscopic technique that is used to measure the bond lengths in solid benzoic acid.
Outline one piece of physical evidence for the structure of the benzene ring.
Draw the structure of the conjugate base of benzoic acid showing all the atoms and all the bonds.
Outline why both C to O bonds in the conjugate base are the same length and suggest a value for them. Use section 10 of the data booklet.
The pH of an aqueous solution of benzoic acid at 298 K is 2.95. Determine the concentration of hydroxide ions in the solution, using section 2 of the data booklet.
Formulate the equation for the complete combustion of benzoic acid in oxygen using only integer coefficients.
The combustion reaction in (f)(ii) can also be classed as redox. Identify the atom that is oxidized and the atom that is reduced.
Suggest how benzoic acid, Mr = 122.13, forms an apparent dimer, Mr = 244.26, when dissolved in a non-polar solvent such as hexane.
State the reagent used to convert benzoic acid to phenylmethanol (benzyl alcohol), C6H5CH2OH.
Markscheme
Any wavenumber in the following ranges:
2500−3000 «cm−1» [✔]
1700−1750 «cm−1» [✔]
2850−3090 «cm−1» [✔]
X-ray «crystallography/spectroscopy» [✔]
Any one of:
«regular» hexagon
OR
all «H–C–C/C-C-C» angles equal/120º [✔]
all C–C bond lengths equal/intermediate between double and single
OR
bond order 1.5 [✔]
[✔]
Note: Accept Kekulé structures.
Negative sign must be shown in correct position.
electrons delocalized «across the O–C–O system»
OR
resonance occurs [✔]
122 «pm» < C–O < 143 «pm» [✔]
Note: Accept “delocalized π-bond”.
Accept “bond intermediate between single and double bond” or “bond order 1.5” for M1.
Accept any answer in range 123 to 142 pm.
ALTERNATIVE 1:
[H+] «= 10−2.95» = 1.122 × 10−3 «mol dm−3» [✔]
«[OH−] = =» 8.91 × 10−12 «mol dm−3» [✔]
ALTERNATIVE 2:
pOH = «14 − 2.95 =» 11.05 [✔]
«[OH−] = 10−11.05 =» 8.91 × 10−12 «mol dm−3» [✔]
Note: Award [2] for correct final answer.
Accept other methods.
2C6H5COOH (s) + 15O2 (g) → 14CO2 (g) + 6H2O (l)
correct products [✔]
correct balancing [✔]
Oxidized:
C/carbon «in C6H5COOH»
AND
Reduced:
O/oxygen «in O2» [✔]
«intermolecular» hydrogen bonding [✔]
Note: Accept diagram showing hydrogen bonding.
lithium aluminium hydride/LiAlH4 [✔]
Examiners report
Most candidates could identify a wavenumber or range of wavenumbers in the IR spectrum of benzoic acid.
Less than half the candidates identified x-ray crystallography as a technique used to measure bond lengths. There were many stating IR spectroscopy and quite a few random guesses.
Again less than half the candidates could accurately give a physical piece of evidence for the structure of benzene. Many missed the mark by not being specific, stating ‘all bonds in benzene with same length’ rather than ‘all C-C bonds in benzene have the same length’.
Very poorly answered with only 1 in 5 getting this question correct. Many did not show all the bonds and all the atoms or either forgot or misplaced the negative sign on the conjugate base.
This question was a challenge. Candidates were not able to explain the intermediate bond length and the majority suggested the value of either the bond length of C to O single bond or double bond.
Generally well done with a few calculating the pOH rather than the concentration of hydroxide ion asked for.
Most earned at least one mark by correctly stating the products of the reaction.
Another question where not reading correctly was a concern. Instead of identifying the atom that is oxidized and the atom that is reduced, answers included formulas of molecules or the atoms were reversed for the redox processes.
The other question where only 10 % of the candidates earned a mark. Few identified hydrogen bonding as the reason for carboxylic acids forming dimers. There were many G2 forms stating that the use of the word “dimer” is not in the syllabus, however the candidates were given that a dimer has double the molar mass and the majority seemed to understand that the two molecules joined together somehow but could not identify hydrogen bonding as the cause.
Very few candidates answered this part correctly and scored the mark. Common answers were H2SO4, HCl & Sn, H2O2. In general, strongest candidates gained the mark.
Carbon forms many compounds.
C60 and diamond are allotropes of carbon.
Chlorine reacts with methane.
CH4 (g) + Cl2 (g) → CH3Cl (g) + HCl (g)
Outline two differences between the bonding of carbon atoms in C60 and diamond.
Explain why C60 and diamond sublime at different temperatures and pressures.
State two features showing that propane and butane are members of the same homologous series.
Describe a test and the expected result to indicate the presence of carbon–carbon double bonds.
Draw the full structural formula of (Z)-but-2-ene.
Write the equation for the reaction between but-2-ene and hydrogen bromide.
State the type of reaction.
Suggest two differences in the 1H NMR of but-2-ene and the organic product from (d)(ii).
Predict, giving a reason, the major product of reaction between but-1-ene and steam.
Explain the mechanism of the reaction between 1-bromopropane, CH3CH2CH2Br, and aqueous sodium hydroxide, NaOH (aq), using curly arrows to represent the movement of electron pairs.
Deduce the splitting pattern in the 1H NMR spectrum for 1-bromopropane.
Calculate the enthalpy change of the reaction, ΔH, using section 11 of the data booklet.
Draw and label an enthalpy level diagram for this reaction.
Markscheme
Any two of:
C60 fullerene: bonded to 3 C AND diamond: bonded to 4 C ✔
C60 fullerene: delocalized/resonance AND diamond: not delocalized / no resonance ✔
C60 fullerene: sp2 AND diamond: sp3 ✔
C60 fullerene: bond angles between 109–120° AND diamond: 109° ✔
Accept "bonds in fullerene are shorter/stronger/have higher bond order OR bonds in diamond longer/weaker/have lower bond order".
diamond giant/network covalent AND sublimes at higher temperature ✔
C60 molecular/London/dispersion/intermolecular «forces» ✔
Accept “diamond has strong covalent bonds AND require more energy to break «than intermolecular forces»” for M1.
same general formula / CnH2n+2 ✔
differ by CH2/common structural unit ✔
Accept "similar chemical properties".
Accept “gradation/gradual change in physical properties”.
ALTERNATIVE 1:
Test:
add bromine «water»/Br2 (aq) ✔
Result:
«orange/brown/yellow» to colourless/decolourised ✔
Do not accept “clear” for M2.
ALTERNATIVE 2:
Test:
add «acidified» KMnO4 ✔
Result:
«purple» to colourless/decolourised/brown ✔
Accept “colour change” for M2.
ALTERNATIVE 3:
Test:
add iodine / ✔
Result:
«brown» to colourless/decolourised ✔
Accept
CH3CH=CHCH3 + HBr (g) → CH3CH2CHBrCH3
Correct reactants ✔
Correct products ✔
Accept molecular formulas for both reactants and product
«electrophilic» addition/EA ✔
Do not accept nucleophilic or free radical addition.
ALTERNATIVE 1: Any two of:
but-2-ene: 2 signals AND product: 4 signals ✔
but-2-ene: «area ratio» 3:1/6:2 AND product: «area ratio» 3:3:2:1 ✔
product: «has signal at» 3.5-4.4 ppm «and but-2-ene: does not» ✔
but-2-ene: «has signal at» 4.5-6.0 ppm «and product: does not» ✔
ALTERNATIVE 2:
but-2-ene: doublet AND quartet/multiplet/4 ✔
product: doublet AND triplet AND quintet/5/multiplet AND sextet/6/multiplet ✔
Accept “product «has signal at» 1.3–1.4 ppm «and but-2-ene: does not»”.
CH3CH2CH(OH)CH3 ✔
«secondary» carbocation/CH3CH2CH+CH3 more stable ✔
Do not accept “Markovnikov’s rule” without reference to carbocation stability.
curly arrow going from lone pair/negative charge on O in HO– to C ✔
curly arrow showing Br breaking ✔
representation of transition state showing negative charge, square brackets and partial bonds ✔
formation of organic product CH3CH2CH2OH AND Br– ✔
Do not allow curly arrow originating on H in HO–.
Accept curly arrow either going from bond between C and Br to Br in 1-bromopropane or in the transition
state.
Do not penalize if HO and Br are not at 180° to each other.
Award [3 max] for SN1 mechanism.
triplet/3 AND multiplet/6 AND triplet/3 ✔
bond breaking: C–H + Cl–Cl / 414 «kJ mol–1» + 242 «kJ mol–1»/656 «kJ»
OR
bond breaking: 4C–H + Cl–Cl / 4 × 414 «kJ mol–1» + 242 «kJ mol–1» / 1898 «kJ» ✔
bond forming: «C–Cl + H–Cl / 324 kJ mol–1 + 431 kJ mol–1» / 755 «kJ»
OR
bond forming: «3C–H + C–Cl + H–Cl / 3 × 414 «kJ mol–1» + 324 «kJ mol–1» + 431 kJ mol–1» / 1997 «kJ» ✔
«ΔH = bond breaking – bond forming = 656 kJ – 755 kJ» = –99 «kJ» ✔
Award [3] for correct final answer.
Award [2 max] for 99 «kJ».
reactants at higher enthalpy than products ✔
ΔH/-99 «kJ» labelled on arrow from reactants to products
OR
activation energy/Ea labelled on arrow from reactant to top of energy profile ✔
Accept a double headed arrow between reactants and products labelled as ΔH for M2.
Examiners report
A challenging question, requiring accurate knowledge of the bonding in these allotropes (some referred to graphite, clearly the most familiar allotrope). The most frequent (correct) answer was the difference in number of bonded C atoms and hybridisation in second place. However, only 30% got a mark.
Again, this was a struggle between intermolecular forces and covalent bonds and this proved to be even harder than (a)(i) with only 25% of candidates getting full marks. The distinction between giant covalent/covalent network in diamond and molecular in C60 and hence resultant sublimation points, was rarely explained. There were many general and vague answers given, as well as commonly (incorrectly) stating that intermolecular forces are present in diamond. As another example of insufficient attention to the question itself, many candidates failed to say which would sublime at a higher temperature and so missed even one mark.
This easy question was quite well answered; same/similar physical properties and empirical formula were common errors.
Candidates misinterpreted the question and mentioned CH3+, i.e., the lost fragment; the other very common error was -COOH which shows a complete lack of understanding of MS considering the question is about butane so O should never appear.
Well answered by most, but some basic chemistry was missing when reporting results, perhaps as a result of little practical work due to COVID. A significant number suggested IR spectrometry, very likely because the question followed one on H NMR spectroscopy, thus revealing a failure to read the question properly (which asks for a test). Some teachers felt that adding "chemical" would have avoided some confusion.
Most were able to draw this isomer correctly, though a noticeable number of students included the Z as an atom in the structural formula, showing they were completely unfamiliar with E/Z notation.
Well done in general and most candidates wrote correct reagents, eventually losing a mark when considering H2 to be a product alongside 2-bromobutane.
Very well answered, some mentioned halogenation which is a different reaction.
A considerable number of students (40%) got at least 1 mark here, but marks were low (average mark 0.9/2). Common errors were predicting 3 peaks, rather than 4 for 2 -bromobutane and vague / unspecific answers, such as ‘different shifts’ or ‘different intensities’. It is surprising that more did not use H NMR data from the booklet; they were not directed to the section as is generally done in this type of question to allow for more general answers regarding all information that can be obtained from an H NMR spectrum.
Product was correctly predicted by many, but most used Markovnikov's Rule to justify this, failing to mention the stability of the secondary carbocation, i.e., the chemistry behind the rule.
As usual, good to excellent candidates (47.5%) were able to get 3/4 marks for this mechanism, while most lost marks for carelessness in drawing arrows and bond connectivity, issues with the lone pair or negative charge on the nucleophile, no negative charge on transition state, or incorrect haloalkane. The average mark was thus 1.9/4.
Another of the very poorly answered questions where most candidates (90%) failed to predict 3 peaks and when they did, considered there would be a quartet instead of multiplet/sextet; other candidates seemed to have no idea at all. This is strange because the compound is relatively simple and while some teachers considered that predicting a sextet may be beyond the current curriculum or just too difficult, they could refer to a multiplet; a quartet is clearly incorrect.
Only the very weak candidates were unable to calculate the enthalpy change correctly, eventually missing 1 mark for inverted calculations.
Most candidates drew correct energy profiles, consistent with the sign of the energy change calculated in the previous question. And again, only very weak candidate failed to get at least 1 mark for correct profiles.
Oxygen exists as two allotropes, diatomic oxygen, O2, and ozone, O3.
Draw a Lewis (electron dot) structure for ozone.
Discuss the relative length of the two O−O bonds in ozone.
Explain why there are frequencies of UV light that will dissociate O3 but not O2.
Explain, using equations, how the presence of results in a chain reaction that decreases the concentration of ozone in the stratosphere.
Markscheme
✔
Accept any combination of lines, dots or crosses to represent electrons.
Do not accept structures that represent 1.5 bonds.
both equal ✔
delocalization/resonance ✔
Accept bond length between 121 and 148 pm/ that of single O−O bond and double O=O bond for M1.
bond in O3 is weaker
OR
O3 bond order 1.5/< 2 ✔
Do not accept bond in O3 is longer for M1.
lower frequency/longer wavelength «UV light» has enough energy to break the O–O bond in O3 «but not that in O2» ✔
Accept “lower frequency/longer wavelength «UV light» has lower energy”.
✔
AND
✔
Do not penalize missing radical.
Accept:for M2:
AND
Examiners report
Compound A is in equilibrium with compound B.
Predict the electron domain and molecular geometries around the oxygen atom of molecule A using VSEPR
State the type of hybridization shown by the central carbon atom in molecule B.
State the number of sigma () and pi () bonds around the central carbon atom in molecule B.
The IR spectrum of one of the compounds is shown:
COBLENTZ SOCIETY. Collection © 2018 copyright by the U.S. Secretary of Commerce on behalf of the United States of America. All rights reserved.
Deduce, giving a reason, the compound producing this spectrum.
Compound A and B are isomers. Draw two other structural isomers with the formula .
The equilibrium constant, , for the conversion of A to B is in water at .
Deduce, giving a reason, which compound, A or B, is present in greater concentration when equilibrium is reached.
Calculate the standard Gibbs free energy change, , in , for the reaction (A to B) at . Use sections 1 and 2 of the data booklet.
Propanone can be synthesized in two steps from propene. Suggest the synthetic route including all the necessary reactants and steps.
Propanone can be synthesized in two steps from propene.
Suggest why propanal is a minor product obtained from the synthetic route in (g)(i).
Markscheme
Electron domain geometry: tetrahedral ✔
Molecular geometry: bent/V-shaped ✔
✔
-bonds:
AND
-bonds: ✔
B AND absorption/
OR
B AND absence of ✔
Accept any value between .
Accept any two isomers except for propanone and propen-2-ol:
✔✔
Penalize missing hydrogens in displayed structural formulas once only.
AND is greater than /large ✔
✔
/water «and » ✔
/propan-2-ol ✔
/«potassium» dichromate(VI) AND
OR
/«acidified potassium» manganate(VII) ✔
Accept .
primary carbocation «intermediate forms»
OR
minor product «of the water addition would be» propan-1-ol
OR
anti-Markovnikov addition of water ✔
primary alcohol/propan-1-ol oxidizes to an aldehyde/propanal ✔
Examiners report
The majority of students got at least one of electron domain geometry or molecular geometry correct.
The vast majority of students could identify the hybridization around a central carbon atom.
The vast majority of students could identify BOTH sigma and pi bonds in a molecule.
Many candidates identified B having C = O and a peak at 1750.
A surprising number of candidates drew propanone here as an option, either failing to read the question or perhaps finding the structural formulae provided difficult to understand.
Most candidates identified B, the product, as being in greater concentration at equilibrium however some lost the mark because they did not include a reason.
Most candidates could apply the formula for Gibbs free energy change, ΔGΘ, correctly however some did not get the units correct.
The mean mark was ⅔ for the required synthetic route. Some candidates failed to identify water as a reagent in the hydration reaction, or note that dichromate ion oxidation requires acidic conditions. This was also the question with most No Response.
This question regarding the formation of a minor product was not well answered. Many candidates struggled to explain the formation of propan-1-ol and to then oxidize it to propanal.
The overall equation for the production of hydrogen cyanide, HCN, is shown below.
CH4 (g) + NH3 (g) +O2 (g) → HCN (g) + 3H2O (g)
State why NH3 is a Lewis base.
Calculate the pH of a 1.00 × 10−2 mol dm−3 aqueous solution of ammonia.
pKb = 4.75 at 298 K.
Justify whether a 1.0 dm3 solution made from 0.10 mol NH3 and 0.20 mol HCl will form a buffer solution.
Sketch the shape of one sigma () and one pi () bond.
Identify the number of sigma and pi bonds in HCN.
State the hybridization of the carbon atom in HCN.
Suggest why hydrogen chloride, HCl, has a lower boiling point than hydrogen cyanide, HCN.
Explain why transition metal cyanide complexes are coloured.
Markscheme
donates «lone/non-bonding» pair of electrons ✔
Kb = 10-4.75 /1.78 x 10-5
OR
Kb = ✔
[OH–] = « =» 4.22 × 10–4 «(mol dm–3)» ✔
pOH« = –log10 (4.22 × 10–4)» = 3.37
AND
pH = «14 – 3.37» = 10.6
OR
[H+]« =» = 2.37 × 10–11
AND
pH« = –log10 2.37 × 10–11» = 10.6 ✔
Award [3] for correct final answer.
no AND is not a weak acid conjugate base system
OR
no AND weak base «totally» neutralized/ weak base is not in excess
OR
no AND will not neutralize small amount of acid ✔
Accept “no AND contains 0.10 mol NH4Cl + 0.10 mol HCl”.
Sigma ():
Pi ():
Accept overlapping p-orbital(s) with both lobes of equal size/shape.
Shaded areas are not required in either diagram.
Sigma (): 2 AND Pi (): 2 ✔
sp ✔
HCN has stronger dipole–dipole attraction ✔
Do not accept reference to H-bonds.
Any three from:
partially filled d-orbitals ✔
«CN- causes» d-orbitals «to» split ✔
light is absorbed as electrons transit to a higher energy level «in d–d transitions»
OR
light is absorbed as electrons are promoted ✔
energy gap corresponds to light in the visible region of the spectrum ✔
Do not accept “colour observed is the complementary colour” for M4.
Examiners report
The main error was the omission of lone electron "pair", though there was also a worrying amount of very confused answers for a very basic chemistry concept where 40% provided very incorrect answers.
Rather surprisingly, many students got full marks for this multi-step calculation; others went straight to the pH/pKa acid/base equation so lost at least one of the marks: students often seem less prepared for base calculations, as opposed to acid calculations.
Poorly answered revealing little understanding of buffering mechanisms, which is admittedly a difficult topic.
This proved to be the most challenging question (10%). It was a good question, where candidates had to explain a huge difference in boiling point of two covalent compounds, requiring solid understanding of change of state where breaking bonds cannot be involved). Yet most considered the triple bonds in HCN as the cause, suggesting covalent bonds break when substance boil, which is very worrying. Others considered H-bonds which at least is an intermolecular force, but shows they are not too familiar with the conditions necessary for H-bonding.
This question appears frequently in exams but with slightly different approaches. In general candidates ignore the specific question and give the same answers, failing in this case to describe why complexes are coloured rather than what colour is seen. These answers appear to reveal that many candidates don't really understand this phenomenon, but learn the answer by heart and make mistakes when repeating it, for example, stating that the ‘d-orbitals of the ligands were split’- an obvious misconception. The average mark was 1.6/3, with a MS providing 4 ideas that would merit a mark
Carbonated water is produced when carbon dioxide is dissolved in water under pressure. The following equilibria are established.
Equilibrium (1) CO2 (g) CO2 (aq)
Equilibrium (2) CO2 (aq) + H2O (l) H+ (aq) + HCO3− (aq)
Carbon dioxide acts as a weak acid.
Soda water has sodium hydrogencarbonate, NaHCO3, dissolved in the carbonated water.
Distinguish between a weak and strong acid.
Weak acid:
Strong acid:
The hydrogencarbonate ion, produced in Equilibrium (2), can also act as an acid.
State the formula of its conjugate base.
When a bottle of carbonated water is opened, these equilibria are disturbed.
State, giving a reason, how a decrease in pressure affects the position of Equilibrium (1).
At 298 K the concentration of aqueous carbon dioxide in carbonated water is 0.200 mol dm−3 and the pKa for Equilibrium (2) is 6.36.
Calculate the pH of carbonated water.
Identify the type of bonding in sodium hydrogencarbonate.
Between sodium and hydrogencarbonate:
Between hydrogen and oxygen in hydrogencarbonate:
Predict, referring to Equilibrium (2), how the added sodium hydrogencarbonate affects the pH.(Assume pressure and temperature remain constant.)
100.0cm3 of soda water contains 3.0 × 10−2g NaHCO3.
Calculate the concentration of NaHCO3 in mol dm−3.
The uncertainty of the 100.0cm3 volumetric flask used to make the solution was ±0.6cm3.
Calculate the maximum percentage uncertainty in the mass of NaHCO3 so that the concentration of the solution is correct to ±1.0 %.
The reaction of the hydroxide ion with carbon dioxide and with the hydrogencarbonate ion can be represented by Equations 3 and 4.
Equation (3) OH− (aq) + CO2 (g) → HCO3− (aq)
Equation (4) OH− (aq) + HCO3− (aq) → H2O (l) + CO32− (aq)
Discuss how these equations show the difference between a Lewis base and a Brønsted–Lowry base.
Equation (3):
Equation (4):
Aqueous sodium hydrogencarbonate has a pH of approximately 7 at 298 K.
Sketch a graph of pH against volume when 25.0cm3 of 0.100 mol dm−3 NaOH (aq) is gradually added to 10.0cm3 of 0.0500 mol dm−3 NaHCO3 (aq).
Markscheme
Weak acid: partially dissociated/ionized «in aqueous solution/water»
AND
Strong acid: «assumed to be almost» completely/100 % dissociated/ionized «in aqueous solution/water» [✔]
CO32- [✔]
shifts to left/reactants AND to increase amount/number of moles/molecules of gas/CO2 (g) [✔]
Note: Accept “shifts to left/reactants AND to increase pressure”.
«Ka =» 10–6.36/4.37 × 10–7 =
OR
«Ka =» 10–6.36/4.37 × 10–7 = [✔]
[H+] « » = 2.95 × 10–4 «mol dm–3» [✔]
«pH =» 3.53 [✔]
Note: Award [3] for correct final answer.
Between sodium and hydrogencarbonate:
ionic [✔]
Between hydrogen and oxygen in hydrogencarbonate:
«polar» covalent [✔]
«additional HCO3-» shifts position of equilibrium to left [✔]
pH increases [✔]
Note: Do not award M2 without any justification in terms of equilibrium shift in M1.
«molar mass of NaHCO3 =» 84.01 «g mol-1» [✔]
«concentration = =» 3.6 × 10–3 «mol dm-3» [✔]
Note: Award [2] for correct final answer.
«1.0 – 0.6 = ± » 0.4 «%» [✔]
Equation (3):
OH- donates an electron pair AND acts as a Lewis base [✔]
Equation (4):
OH- accepts a proton/H+/hydrogen ion AND acts as a Brønsted–Lowry base [✔]
S-shaped curve from ~7 to between 12 and 14 [✔]
equivalence point at 5 cm3 [✔]
Note: Accept starting point >6~7.
Examiners report
As expected, many candidates were able to distinguish between strong and weak acids; some candidates referred to “dissolve” rather than dissociate.
More than half the candidates were able to deduce that carbonate was the conjugate base but a significant proportion of those that did, wrote the carbonate ion with an incorrect charge.
Many students gave generic responses referring to a correct shift without conveying the idea of compensation or restoration of pressure or moles of gas. This generic reply reflects the difficulty in applying a theoretical concept to the practical situation described in the question.
Most candidates calculated the pH of the aqueous CO2. Some candidates attempted to use the Henderson-Hasselback equation and others used the quadratic expression to calculate [H+] (these two options were very common in the Spanish scripts) getting incorrect solutions. These answers usually ended in pH of approx. 1 which candidates should realize cannot be correct for soda water.
This was an easy question, especially the identification of the type of bond between H and O, yet some candidates interpreted that the question referred to intermolecular bonding.
A significant number of candidates omitted the “equilibrium” involved in the dissolution of a weak base.
This is another stoichiometry question that most candidates were able to solve well, with occasional errors when calculating Mr of hydrogen carbonate.
Mixed responses, more attention should be given to this simple calculation which is straightforward and should be easy as required for IA reports.
This was a good way to test this topic because answers showed that, while candidates usually knew the topic in theory, they could not apply this to identify the Lewis and Bronsted-Lowry bases in the context of a reaction that was given to them. In some cases, they failed to specify the base, OH- or also lost marks referring just to electrons, an electron or H instead of hydrogen ions or H+ for example.
Most students that got 1mark for this titration curve was for the general shape, because few realized they had the data to calculate the equivalence point. There were also some difficulties in establishing the starting point even if it was specified in the stem.
This question is about sodium and its compounds.
The Born-Haber cycle for sodium oxide is shown (not to scale).
Sodium peroxide is used in diving apparatus to produce oxygen from carbon dioxide.
2Na2O2 (s) + 2CO2 (g) → 2Na2CO3 (s) + O2 (g)
Plot the relative values of the first four ionization energies of sodium.
Outline why the alkali metals (group 1) have similar chemical properties.
Describe the structure and bonding in solid sodium oxide.
Calculate values for the following changes using section 8 of the data booklet.
ΔHatomisation (Na) = 107 kJ mol−1
ΔHatomisation (O) = 249 kJ mol−1
O2(g) → O2- (g):
Na (s) → Na+ (g):
The standard enthalpy of formation of sodium oxide is −414 kJ mol−1. Determine the lattice enthalpy of sodium oxide, in kJ mol−1, using section 8 of the data booklet and your answers to (d)(i).
(If you did not get answers to (d)(i), use +850 kJ mol−1 and +600 kJ mol−1 respectively, but these are not the correct answers.)
Justify why K2O has a lower lattice enthalpy (absolute value) than Na2O.
Write equations for the separate reactions of solid sodium oxide and solid phosphorus(V) oxide with excess water and differentiate between the solutions formed.
Sodium oxide, Na2O:
Phosphorus(V) oxide, P4O10:
Differentiation:
Sodium peroxide, Na2O2, is formed by the reaction of sodium oxide with oxygen.
2Na2O (s) + O2 (g) → 2Na2O2 (s)
Calculate the percentage yield of sodium peroxide if 5.00g of sodium oxide produces 5.50g of sodium peroxide.
Determine the enthalpy change, ΔH, in kJ, for this reaction using data from the table and section 12 of the data booklet.
Outline why bond enthalpy values are not valid in calculations such as that in (g)(i).
An allotrope of molecular oxygen is ozone. Compare, giving a reason, the bond enthalpies of the O to O bonds in O2 and O3.
Outline why a real gas differs from ideal behaviour at low temperature and high pressure.
The reaction of sodium peroxide with excess water produces hydrogen peroxide and one other sodium compound. Suggest the formula of this compound.
State the oxidation number of carbon in sodium carbonate, Na2CO3.
Markscheme
[✔]
Notes: Accept curve showing general trend.
Award mark only if the energy difference between the first two points is larger than that between points 2/3 and 3/4.
same number of electrons in outer shell
OR
all are s1 [✔]
«3-D/giant» regularly repeating arrangement «of ions»
OR
lattice «of ions» [✔]
electrostatic attraction between oppositely charged ions
OR
electrostatic attraction between Na+ and O2− ions [✔]
Note: Do not accept “ionic” without description.
O2(g) → O2- (g)
«ΔHatomisation (O) + 1st EA + 2nd EA = 249 k Jmol−1 − 141 kJmol−1 + 753 kJmol−1 =» «+»861 «kJmol−1» [✔]
Na (s) → Na+ (g)
«ΔHatomisation (Na) + 1st IE = 107 kJmol−1 + 496 kJmol−1 =» «+»603 «kJmol−1» [✔]
lattice enthalpy = 861 «kJ mol−1» + 2 × 603 «kJ mol−1» −(−414 «kJ mol−1») [✔]
«= +» 2481 «kJ mol−1» [✔]
Note: Award [2] for correct final answer.
If given values are used:
M1: lattice enthalpy = 850 «kJ mol−1» +
2 × 600 «kJ mol−1» −(−414 «kJ mol−1»)
M2: «= +» 2464 «kJ mol−1»
K+ ion is larger than Na+
OR
smaller attractive force because of greater distance between ion «centres» [✔]
Sodium oxide:
Na2O(s) + H2O(l) → 2NaOH (aq) [✔]
Phosphorus(V) oxide:
P4O10 (s) + 6H2O(l) → 4H3PO4 (aq) [✔]
Differentiation:
NaOH/product of Na2O is alkaline/basic/pH > 7 AND H3PO4/product of P4O10 is acidic/pH < 7 [✔]
n(Na2O2) theoretical yield «= » = 0.0807/8.07 × 10−2 «mol»
OR
mass of Na2O2 theoretical yield «= × 77.98 gmol−1» = 6.291 «g» [✔]
% yield «= × 100» OR « × 100» = 87.4 «%» [✔]
Note: Award [2] for correct final answer.
∑ΔHf products = 2 × (−1130.7) / −2261.4 «kJ» [✔]
∑ΔHf reactants = 2 × (−510.9) + 2 × (−393.5) / −1808.8 «kJ» [✔]
ΔH = «∑ΔHf products − ∑ΔHf reactants = −2261.4 −(−1808.8) =» −452.6 «kJ» [✔]
Note: Award [3] for correct final answer.
Award [2 max] for “+ 452.6 «kJ»”.
only valid for covalent bonds
OR
only valid in gaseous state [✔]
bond in O3 has lower enthalpy AND bond order is 1.5 «not 2» [✔]
Note: Accept “bond in ozone is longer”.
Any one of:
finite volume of particles «requires adjustment to volume of gas» [✔]
short-range attractive forces «overcomes low kinetic energy» [✔]
NaOH [✔]
IV [✔]
Examiners report
Generally well done with a correct plot of ionization energies.
The majority answered correctly stating same number of valence electrons as the reason. Some candidates stated same size or similar ionization energy but the majority scored well.
Many candidates lost one or two marks for missing “electrostatic forces” between “oppositely charged ions”, or “lattice”. Some candidates’ answers referred to covalent bonds and shapes of molecules.
Good performance with typical error being in the calculation for the first equation, ½O2 (g) → O2− (g), where the value for the first electron affinity of oxygen was left out.
Many candidates earned some credit for ECF based on (d)(i).
Average performance with answers using atomic size rather than ionic size or making reference to electronegativities of K and Na.
An average of 1.1 out of 3 earned here. Many candidates could write a balanced equation for the reaction of sodium oxide with water but not phosphorus(V) oxide. Mediocre performance in identifying the acid/base nature of the solutions formed.
The majority earned one or two marks in finding a % yield.
The average was 2.2 out 3 for this question on enthalpy of formation. Enthalpy calculations were generally well done.
The majority of candidates referred to “bond enthalpy values are average”, rather than not valid for solids or only used for gases.
Some candidates recognized that ozone had a resonance structure but then only compared bond length between ozone and oxygen rather than bond enthalpy.
Few candidates could distinguish the cause for difference in behaviour between real and ideal gases at low temperature or high pressure. Many answers were based on increase in number of collisions or faster rate or movement of gas particles.
Na2O was a common formula in many candidates’ answers for the product of the reaction of sodium peroxide with water.
The vast majority of candidates could correctly state the oxidation number of carbon in sodium carbonate.
Nitric acid is usually produced by the oxidation of ammonia.
A mixture of nitric acid and sulfuric acid can be used to convert benzene to nitrobenzene, C6H5NO2.
Draw arrows in the boxes to represent the electron configuration of a nitrogen atom.
Deduce a Lewis (electron dot) structure of the nitric acid molecule, HNO3, that obeys the octet rule, showing any non-zero formal charges on the atoms.
Explain the relative lengths of the three bonds between N and O in nitric acid.
State a technique used to determine the length of the bonds between N and O in solid HNO3.
Write an equation for the reaction between the acids to produce the electrophile, NO2+.
Draw the structural formula of the carbocation intermediate produced when this electrophile attacks benzene.
Deduce the number of signals that you would expect in the 1H NMR spectrum of nitrobenzene and the relative areas of these.
Markscheme
Accept all 2p electrons pointing downwards.
Accept half arrows instead of full arrows.
bonds and non-bonding pairs correct ✔
formal charges correct ✔
Accept dots, crosses or lines to represent electron pairs.
Do not accept resonance structures with delocalised bonds/electrons.
Accept + and – sign respectively.
Do not accept a bond between nitrogen and hydrogen.
For an incorrect Lewis structure, allow ECF for non-zero formal charges.
Any three of:
two N-O same length/order ✔
delocalization/resonance ✔
N-OH longer «than N-O»
OR
N-OH bond order 1 AND N-O bond order 1½ ✔
Award [2 max] if bond strength, rather than bond length discussed.
Accept N-O between single and double bond AND N-OH single bond.
X-ray crystallography ✔
HNO3 + 2H2SO4 NO2+ + H3O+ + 2HSO4- ✔
Accept “HNO3 + H2SO4 NO2+ + H2O + HSO4-”.
Accept “HNO3 + H2SO4 H2NO3+ + HSO4-” AND “H2NO3+ NO2+ + H2O”.
Accept single arrows instead of equilibrium signs.
Accept any of the five structures.
Do not accept structures missing the positive charge.
Number of signals: three/3 ✔
Relative areas: 2 : 2 : 1 ✔
Examiners report
Drawing arrows in the boxes to represent the electron configuration of a nitrogen atom was done extremely well.
Drawing the Lewis structure of HNO3 was performed extremely poorly with structures that included H bonded to N, no double bond or a combination of single, double and even a triple bond or incorrect structures with dotted lines to reflect resonance. Many did not calculate non-zero formal charges.
Poorly done; some explained relative bond strengths between N and O in HNO3, not relative lengths; others included generic answers such as triple bond is shortest, double bond is longer, single longest.
A majority could not state the technique to determine length of bonds; answers included NMR, IR, and such instead of X-ray crystallography.
Many had difficulties writing the balanced equation(s) for the formation of the nitronium ion.
Again, many had difficulty drawing the structural formula of the carbocation intermediate produced in the reaction.
Deducing the number of signals in the 1H NMR spectrum of nitrobenzene, which depend on the number of different hydrogen environments, was done poorly. Also, instead of relative areas, the common answer included chemical shift (ppm) values.
Butanoic acid, CH3CH2CH2COOH, is a weak acid and ethylamine, CH3CH2NH2, is a weak base.
State the equation for the reaction of each substance with water.
Draw a diagram showing the delocalization of electrons in the conjugate base of butanoic acid.
Deduce the average oxidation state of carbon in butanoic acid.
A 0.250 mol dm−3 aqueous solution of butanoic acid has a concentration of hydrogen ions, [H+], of 0.00192 mol dm−3. Calculate the concentration of hydroxide ions, [OH−], in the solution at 298 K.
Determine the pH of a 0.250 mol dm−3 aqueous solution of ethylamine at 298 K, using section 21 of the data booklet.
Sketch the pH curve for the titration of 25.0 cm3 of ethylamine aqueous solution with 50.0 cm3 of butanoic acid aqueous solution of equal concentration. No calculations are required.
Explain why butanoic acid is a liquid at room temperature while ethylamine is a gas at room temperature.
State a suitable reagent for the reduction of butanoic acid.
Deduce the product of the complete reduction reaction in (e)(i).
Markscheme
Butanoic acid:
CH3CH2CH2COOH (aq) + H2O (l) CH3CH2CH2COO− (aq) + H3O+ (aq) ✔
Ethylamine:
CH3CH2NH2 (aq) + H2O (l) CH3CH2NH3+ (aq) + OH− (aq) ✔
Diagram showing:
dotted line along O–C–O AND negative charge
Accept correct diagrams with pi clouds.
–1 ✔
«» = 5.21 × 10–12 «mol dm–3» ✔
«pKb = 3.35, Kb = 10–3.35 = 4.5 × 10–4»
«C2H5NH2 + H2O C2H5NH3+ + OH–»
Kb =
OR
«Kb =» 4.5 × 10–4 =
OR
«Kb =» 4.5 × 10–4 = ✔
« x = [OH–] =» 0.011 «mol dm–3» ✔
«pH = –log» 12.04
OR
«pH = 14.00 – (–log 0.011)=» 12.04 ✔
Award [3] for correct final answer.
decreasing pH curve ✔
pH close to 7 (6–8) at volume of 25 cm3 butanoic acid ✔
weak acid/base shape with no flat «strong acid/base» parts on the curve ✔
Any two of:
butanoic acid forms more/stronger hydrogen bonds ✔
butanoic acid forms stronger London/dispersion forces ✔
butanoic acid forms stronger dipole–dipole interaction/force ✔
Accept “butanoic acid forms dimers”
Accept “butanoic acid has larger Mr/hydrocarbon chain/number of electrons” for M2.
Accept “butanoic acid has larger «permanent» dipole/more polar” for M3.
lithium aluminium hydride/LiAlH4 ✔
butan-1-ol/1-butanol/CH3CH2CH2CH2OH ✔
Examiners report
Dinitrogen monoxide, N2O, causes depletion of ozone in the stratosphere.
Different sources of N2O have different ratios of 14N : 15N.
The Lewis (electron dot) structure of the dinitrogen monoxide molecule can be represented as:

Outline why ozone in the stratosphere is important.
Dinitrogen monoxide in the stratosphere is converted to nitrogen monoxide, NO (g).
Write two equations to show how NO (g) catalyses the decomposition of ozone.
State one analytical technique that could be used to determine the ratio of 14N : 15N.
A sample of gas was enriched to contain 2 % by mass of 15N with the remainder being 14N.
Calculate the relative molecular mass of the resulting N2O.
Predict, giving two reasons, how the first ionization energy of 15N compares with that of 14N.
Explain why the first ionization energy of nitrogen is greater than both carbon and oxygen.
Nitrogen and carbon:
Nitrogen and oxygen:
State what the presence of alternative Lewis structures shows about the nature of the bonding in the molecule.
State, giving a reason, the shape of the dinitrogen monoxide molecule.
Deduce the hybridization of the central nitrogen atom in the molecule.
Markscheme
absorbs UV/ultraviolet light «of longer wavelength than absorbed by O2» [✔]
NO (g) + O3 (g) → NO2 (g) + O2 (g) [✔]
NO2 (g) + O3 (g) → NO (g) + 2O2 (g) [✔]
Note: Ignore radical signs.
Accept equilibrium arrows.
Award [1 max] for NO2 (g) + O (g) → NO (g) + O2 (g).
mass spectrometry/MS [✔]
« =» 14.02 [✔]
«Mr = (14.02 × 2) + 16.00 =» 44.04 [✔]
Any two:
same AND have same nuclear charge /number of protons/Zeff [✔]
same AND neutrons do not affect attraction/ionization energy/Zeff
OR
same AND neutrons have no charge [✔]
same AND same attraction for «outer» electrons [✔]
same AND have same electronic configuration/shielding [✔]
Note: Accept “almost the same”.
“Same” only needs to be stated once.
Nitrogen and carbon:
N has greater nuclear charge/«one» more proton «and electrons both lost from singly filled p-orbitals» [✔]
Nitrogen and oxygen:
O has a doubly filled «p-»orbital
OR
N has only singly occupied «p-»orbitals [✔]
Note: Accept “greater e– - e- repulsion in O” or “lower e– - e- repulsion in N”.
Accept box annotation of electrons for M2.
delocalization
OR
delocalized π-electrons [✔]
Note: Accept “resonance”.
linear AND 2 electron domains
OR
linear AND 2 regions of electron density [✔]
Note: Accept “two bonds AND no lone pairs” for reason.
sp [✔]
Examiners report
Candidates sometimes failed to identify how ozone works in chemical terms, referring to protects/deflects, i.e., the consequence rather than the mechanism.
Many candidates recalled the first equation for NO catalyzed decomposition of ozone only. Some considered other radical species.
All candidates, with very few exceptions, answered this correctly.
Most candidates were able to calculate the accurate mass of N2O, though quite a few candidates just calculated the mass of N and didn’t apply it to N2O, losing an accessible mark.
Many students realized that neutrons had no charge and could not affect IE significantly, but many others struggled a lot with this question since they considered that 15N would have a higher IE because they considered the greater mass of the nucleus would result in an increase of attraction of the electrons.
Mixed responses here; the explanation of higher IE for N with respect to C was less well explained, though it should have been the easiest. It was good to see that most candidates could explain the difference in IE of N and O, either mentioning paired/unpaired electrons or drawing box diagrams.
Most candidates identified resonance for this given Lewis representation.
Though quite a number of candidates suggested a linear shape correctly, they often failed to give a complete correct explanation, just mentioning the absence of lone pairs but not two bonds, instead of referring to electron domains.
Hybridisation of the N atom was correct in most cases.
Carbon dioxide contributes significantly to global warming. It can be used as a raw material with methyloxirane to form polymers.
Suggest why the three-membered ring in methyloxirane is unstable.
Draw two structural isomers of methyloxirane.
State, giving a reason, whether methyloxirane can form cis-trans isomers.
Predict the chemical shift and splitting pattern of the signal produced by the hydrogen atoms labelled X in the 1H NMR spectrum of the polymer. Use section 27 of the data booklet.
Markscheme
angle between bonds is 60°/strained/smaller than 109.5° ✔
Any two of:
CH3COCH3 ✔
CH3CH2CHO ✔
CH2=CHCH2OH ✔
CH3OCH=CH2 ✔
Accept displayed or condensed structural formulas or skeletal formulas.
Accept CH(OH)=CHCH3 and CH2=C(OH)CH3.
no AND only one «axial/methyl/CH3» substituent «at the ring»
OR
no AND two «axial» substituents required «for cis/trans-isomers» ✔
Accept “no AND «O in the ring and» one carbon has two H atoms”.
Chemical shift:
3.7–4.8 «ppm» ✔
Splitting pattern:
doublet ✔
Examiners report
Propene is an important starting material for many products. The following shows some compounds which can be made from propene, C3H6.
Propene (C3H6) → C3H7Cl → C3H8O → C3H6O
Consider the conversion of propene to C3H7Cl.
An experiment was carried out to determine the order of reaction between one of the isomers of C3H7Cl and aqueous sodium hydroxide. The following results were obtained.
State the type of reaction.
State the IUPAC name of the major product.
Outline why it is the major product.
Write an equation for the reaction of the major product with aqueous sodium hydroxide to produce a C3H8O compound, showing structural formulas.
Determine the rate expression from the results, explaining your method.
Deduce the type of mechanism for the reaction of this isomer of C3H7Cl with aqueous sodium hydroxide.
Sketch the mechanism using curly arrows to represent the movement of electrons.
Write an equation for the complete combustion of the compound C3H8O formed in (a)(iv).
Determine the enthalpy of combustion of this compound, in kJ mol−1, using data from section 11 of the data booklet.
State the reagents for the conversion of the compound C3H8O formed in (a)(iv) into C3H6O.
Explain why the compound C3H8O, produced in (a)(iv), has a higher boiling point than compound C3H6O, produced in d(i).
Explain why the 1H NMR spectrum of C3H6O, produced in (d)(i), shows only one signal.
Propene is often polymerized. Draw a section of the resulting polymer, showing two repeating units.
Markscheme
«electrophilic» addition ✔
NOTE: Do not accept “nucleophilic addition” or “free radical addition”.
Do not accept “halogenation”.
2-chloropropane ✔
secondary carbocation/carbonium «ion» is more stable
OR
carbocation/carbonium «ion» stabilized by two/more alkyl groups ✔
CH3CHClCH3 (l) + OH− (aq) → CH3CH(OH)CH3 (aq) + Cl− (aq)
OR
CH3CHClCH3 (l) + NaOH (aq) → CH3CH(OH)CH3 (aq) + NaCl (aq) ✔
Rate = k [C3H7Cl] [OH−] ✔
«[OH−] held constant and» [C3H7Cl] triples AND rate triples «so first order wrt C3H7Cl» ✔
[C3H7Cl] doubles AND [OH−] doubles AND rate quadruples «so first order wrt OH−» ✔
SN2 ✔
NOTE: Accept ‘bimolecular nucleophilic substitution.’
curly arrow going from lone pair on O/negative charge on OH– to C ✔
curly arrow showing C–Cl bond breaking ✔
representation of transition state showing negative charge, square brackets and partial bonds ✔
formation of CH3CH(OH)CH3 AND Cl– ✔
NOTE: Do not allow arrow originating on H in OH–.
Allow curly arrow going from bond between C and Cl to Cl in either reactant or transition state.
Do not award M3 if OH–C bond is represented.
Accept formation of NaCl instead of Cl–.
2C3H8O (l) + 9O2 (g) → 6CO2 (g) + 8H2O (g)
OR
C3H8O (l) + 4.5O2 (g) → 3CO2 (g) + 4H2O (g) ✔
bonds broken:
7(C–H) + C–O + O–H + 2(C–C) + 4.5(O=O)
OR
7(414 «kJ mol−1») + 358 «kJ mol−1» + 463 «kJ mol−1» + 2(346 «kJ mol−1») + 4.5(498 «kJ mol−1») / 6652 «kJ» ✔
bonds formed:
6(C=O) + 8(O–H)
OR
6(804 «kJ mol−1») + 8(463 «kJ mol−1») / 8528 «kJ» ✔
«ΔH = bonds broken − bonds formed = 6652 – 8528 =» −1876 «kJ mol−1» ✔
NOTE: Award [3] for correct final answer.
K2Cr2O7/Cr2O72–/«potassium» dichromate «(VI)» AND acidified/H+
OR
«acidified potassium» manganate(VII) / «H+ and» KMnO4 / «H+ and» MnO4– ✔
NOTE: Accept “H2SO4” or “H3PO4” for “H+”.
Do not accept HCl.
Accept “permanganate” for “manganate(VII)”.
C3H8O/propan-2-ol: hydrogen-bonding AND C3H6O/propanone: no hydrogen bonding/«only» dipole–dipole/dispersion forces ✔
hydrogen bonding stronger «than dipole–dipole» ✔
only one hydrogen environment
OR
methyl groups symmetrical «around carbonyl group» ✔
NOTE: Accept “all hydrogens belong to methyl groups «which are in identical positions»”.
✔
NOTE: Continuation bonds must be shown.
Methyl groups may be drawn on opposite sides of the chain or head to tail.
Ignore square brackets and “n”.
Examiners report
When heated in air, magnesium ribbon reacts with oxygen to form magnesium oxide.
The reaction in (a)(i) was carried out in a crucible with a lid and the following data was recorded:
Mass of crucible and lid = 47.372 ±0.001 g
Mass of crucible, lid and magnesium ribbon before heating = 53.726 ±0.001 g
Mass of crucible, lid and product after heating = 56.941 ±0.001 g
When magnesium is burnt in air, some of it reacts with nitrogen to form magnesium nitride according to the equation:
3 Mg (s) + N2 (g) → Mg3N2 (s)
The presence of magnesium nitride can be demonstrated by adding water to the product. It is hydrolysed to form magnesium hydroxide and ammonia.
Most nitride ions are 14N3–.
Write a balanced equation for the reaction that occurs.
Identify a metal, in the same period as magnesium, that does not form a basic oxide.
Calculate the amount of magnesium, in mol, that was used.
Determine the percentage uncertainty of the mass of product after heating.
Assume the reaction in (a)(i) is the only one occurring and it goes to completion, but some product has been lost from the crucible. Deduce the percentage yield of magnesium oxide in the crucible.
Evaluate whether this, rather than the loss of product, could explain the yield found in (b)(iii).
Suggest an explanation, other than product being lost from the crucible or reacting with nitrogen, that could explain the yield found in (b)(iii).
Calculate coefficients that balance the equation for the following reaction.
Ammonia is added to water that contains a few drops of an indicator. Identify an indicator that would change colour. Use sections 21 and 22 of the data booklet.
Determine the oxidation state of nitrogen in Mg3N2 and in NH3.
Deduce, giving reasons, whether the reaction of magnesium nitride with water is an acid–base reaction, a redox reaction, neither or both.
State the number of subatomic particles in this ion.
Some nitride ions are 15N3–. State the term that describes the relationship between 14N3– and 15N3–.
The nitride ion and the magnesium ion are isoelectronic (they have the same electron configuration). Determine, giving a reason, which has the greater ionic radius.
Suggest, giving a reason, whether magnesium or nitrogen would have the greater sixth ionization energy.
Suggest two reasons why atoms are no longer regarded as the indivisible units of matter.
State the types of bonding in magnesium, oxygen and magnesium oxide, and how the valence electrons produce these types of bonding.
Markscheme
2 Mg(s) + O2(g) → 2 MgO(s) ✔
Do not accept equilibrium arrows. Ignore state symbols
aluminium/Al ✔
mass of product ✔
✔
Award [2] for correct final answer
Accept 0.021%
✔
✔
Award «0.2614 mol x 40.31 g mol–1»
Accept alternative methods to arrive at the correct answer.
Accept final answers in the range 90.5-91.5%
[2] for correct final answer.
yes
AND
«each Mg combines with N, so» mass increase would be 14x which is less than expected increase of 16x
OR
3 mol Mg would form 101g of Mg3N2 but would form 3 x MgO = 121 g of MgO
OR
0.2614 mol forms 10.536 g of MgO, but would form 8.796 g of Mg3N2 ✔
Accept Yes AND “the mass of N/N2 that combines with each g/mole of Mg is lower than that of O/O2”
Accept YES AND “molar mass of nitrogen less than of oxygen”.
incomplete reaction
OR
Mg was partially oxidised already
OR
impurity present that evaporated/did not react ✔
Accept “crucible weighed before fully cooled”.
Accept answers relating to a higher atomic mass impurity consuming less O/O2.
Accept “non-stoichiometric compounds formed”.
Do not accept "human error", "wrongly calibrated balance" or other non-chemical reasons.
If answer to (b)(iii) is >100%, accept appropriate reasons, such as product absorbed moisture before being weighed.
«1» Mg3N2 (s) + 6 H2O (l) → 3 Mg(OH)2 (s) + 2 NH3 (aq) ✔
phenol red ✔
Accept bromothymol blue or phenolphthalein.
Mg3N2: -3
AND
NH3: -3 ✔
Do not accept 3 or 3-
Acid–base:
yes AND N3- accepts H+/donates electron pair«s»
OR
yes AND H2O loses H+ «to form OH-»/accepts electron pair«s» ✔
Redox:
no AND no oxidation states change ✔
Accept “yes AND proton transfer takes place”
Accept reference to the oxidation state of specific elements not changing.
Accept “not redox as no electrons gained/lost”.
Award [1 max] for Acid–base: yes AND Redox: no without correct reasons, if no other mark has been awarded
Protons: 7 AND Neutrons: 7 AND Electrons: 10 ✔
isotope«s» ✔
nitride AND smaller nuclear charge/number of protons/atomic number ✔
nitrogen AND electron lost from first «energy» level/s sub-level/s-orbital AND magnesium from p sub-level/p-orbital/second «energy» level
OR
nitrogen AND electron lost from lower level «than magnesium» ✔
Accept “nitrogen AND electron lost closer to the nucleus «than magnesium»”.
Any two of:
subatomic particles «discovered»
OR
particles smaller/with masses less than atoms «discovered»
OR
«existence of» isotopes «same number of protons, different number of neutrons» ✔
charged particles obtained from «neutral» atoms
OR
atoms can gain or lose electrons «and become charged» ✔
atom «discovered» to have structure ✔
fission
OR
atoms can be split ✔
Accept atoms can undergo fusion «to produce heavier atoms»
Accept specific examples of particles.
Award [2] for “atom shown to have a nucleus with electrons around it” as both M1 and M3.
Award [1] for all bonding types correct.
Award [1] for each correct description.
Apply ECF for M2 only once.
Examiners report
Done very well. However, it was disappointing to see the formula of oxygen molecule as O and the oxide as Mg2O and MgO2 at HL level.
Average performance; the question asked to identify a metal; however, answers included S, Si, P and even noble gases besides Be and Na. The only choice of aluminium; however, since its oxide is amphoteric, it could not be the answer in the minds of some.
Very good performance; some calculated the mass of oxygen instead of magnesium for the calculation of the amount, in mol, of magnesium. Others calculated the mass, but not the amount in mol as required.
Mediocre performance; instead of calculating percentage uncertainty, some calculated percentage difference.
Satisfactory performance; however, a good number could not answer the question correctly on determining the percentage yield.
Poorly done. The question asked to evaluate and explain but instead many answers simply agreed with the information provided instead of assessing its strength and limitation.
Mediocre performance; explaining the yield found was often a challenge by not recognizing that incomplete reaction or Mg partially oxidized or impurities present that evaporated or did not react would explain the yield.
Calculating coefficients that balance the given equation was done very well.
Well done; some chose bromocresol green or methyl red as the indicator that would change colour, instead of phenol red, bromothymol blue or phenolphthalein.
Good performance; however, surprising number of candidates could not determine one or both oxidation states correctly or wrote it as 3 or 3−, instead of −3.
Average performance; choosing the given reaction as an acid-base or redox reaction was not done well. Often answers were contradictory and the reasoning incorrect.
Stating the number of subatomic particles in a 14N3- was done very well. However, some answers showed a lack of understanding of how to calculate the number of relevant subatomic particles given formula of an ion with charge and mass number.
Exceptionally well done; A few candidates referred to isomers, rather than isotopes.
There was reference to nitrogen and magnesium, rather than nitride and magnesium ions. Also, instead identifying smaller nuclear charge in nitride ion, some referred to core electrons, Zeff, increased electron-electron repulsion or shielding.
Common error in suggesting nitrogen would have the greater sixth ionization energy was that for nitrogen, electron is lost from first energy level without making reference to magnesium losing it from second energy level.
Good performance; some teachers were concerned about the expected answers. However, generally, students were able to suggest two reasons why matter is divisible.
One teacher commented that not asking to describe bonding in terms of electrostatic attractions as in earlier papers would have been confusing and some did answer in terms of electrostatic forces of attractions involved. However, the question was clear in its expectation that the answer had to be in terms of how the valence electrons produce the three types of bonds and the overall performance was good. Some had difficulty identifying the bond type for Mg, O2 and MgO.