HL Paper 2
A student performs a titration to determine the concentration of ethanoic acid, , in vinegar using potassium hydroxide.
The pH curve for the reaction is given.
Write a balanced equation for the reaction.
Identify the major species, other than water and potassium ions, at these points.
State a suitable indicator for this titration. Use section 22 of the data booklet
Suggest, giving a reason, which point on the curve is considered a buffer region.
State the expression for ethanoic acid.
Calculate the of the conjugate base of ethanoic acid using sections 2 and 21 of the data booklet.
In a titration, of vinegar required of potassium hydroxide to reach the end-point.
Calculate the concentration of ethanoic acid in the vinegar.
Potassium hydroxide solutions can react with carbon dioxide from the air. The solution was made one day prior to using it in the titration.
State the type of error that would result from the student’s approach.
Potassium hydroxide solutions can react with carbon dioxide from the air. The solution was made one day prior to using it in the titration.
Predict, giving a reason, the effect of this error on the calculated concentration of ethanoic acid in 5(e).
Markscheme
✔
Accept the ionic equation.
B: AND ✔
C: ✔
Accept names.
Accept for
phenolphthalein ✔
Accept “phenol red” or “bromothymol blue”.
B AND the region where small additions «of the base/ » result in little or no
change in
OR
B AND the flattest region of the curve «at intermediate /before equivalence
point »
OR
B AND half the volume needed to reach equivalence point
OR
B AND similar amounts of weak acid//ethanoic acid AND conjugate base//ethanoate ✔
Accept instead of .
✔
Accept answers between .
✔
✔
Award [2] for correct final answer.
systematic «error» ✔
would be higher ✔
actual is lower «than the value in calculation»
OR
larger volume of «solution» needed to neutralize the acid ✔
Accept partially neutralised by from air.
Examiners report
Most candidates could write a balanced neutralization equation.
Identifying species present at various points along a pH titration curve was one of the most poorly answered questions in the exam. Very few candidates realized there were two major species at point B even when they were able in general to realize that B was a buffer zone.
Almost all candidates could identify a suitable indicator to use in a titration of a weak acid with a strong base.
Most students could identify a buffer zone region in a titration but very few (50%) could coherently explain why.
Poorly answered with only 50% correctly writing a Ka expression. The major error was in candidates trying to calculate a Ka rather than write an expression for it.
Like with other calculations in this exam, the majority of candidates could correctly determine a concentration from titration data.
80% of candidates could identify the method used as a systematic error, with some stating human or random error.
Most candidates identified that the systematic error would result in the concentration of the alkali being lowered but then failed to propagate this through to the effect on the concentration of the acid.
Compound A is in equilibrium with compound B.
Predict the electron domain and molecular geometries around the oxygen atom of molecule A using VSEPR
State the type of hybridization shown by the central carbon atom in molecule B.
State the number of sigma () and pi () bonds around the central carbon atom in molecule B.
The IR spectrum of one of the compounds is shown:
COBLENTZ SOCIETY. Collection © 2018 copyright by the U.S. Secretary of Commerce on behalf of the United States of America. All rights reserved.
Deduce, giving a reason, the compound producing this spectrum.
Compound A and B are isomers. Draw two other structural isomers with the formula .
The equilibrium constant, , for the conversion of A to B is in water at .
Deduce, giving a reason, which compound, A or B, is present in greater concentration when equilibrium is reached.
Calculate the standard Gibbs free energy change, , in , for the reaction (A to B) at . Use sections 1 and 2 of the data booklet.
Propanone can be synthesized in two steps from propene. Suggest the synthetic route including all the necessary reactants and steps.
Propanone can be synthesized in two steps from propene.
Suggest why propanal is a minor product obtained from the synthetic route in (g)(i).
Markscheme
Electron domain geometry: tetrahedral ✔
Molecular geometry: bent/V-shaped ✔
✔
-bonds:
AND
-bonds: ✔
B AND absorption/
OR
B AND absence of ✔
Accept any value between .
Accept any two isomers except for propanone and propen-2-ol:
✔✔
Penalize missing hydrogens in displayed structural formulas once only.
AND is greater than /large ✔
✔
/water «and » ✔
/propan-2-ol ✔
/«potassium» dichromate(VI) AND
OR
/«acidified potassium» manganate(VII) ✔
Accept .
primary carbocation «intermediate forms»
OR
minor product «of the water addition would be» propan-1-ol
OR
anti-Markovnikov addition of water ✔
primary alcohol/propan-1-ol oxidizes to an aldehyde/propanal ✔
Examiners report
The majority of students got at least one of electron domain geometry or molecular geometry correct.
The vast majority of students could identify the hybridization around a central carbon atom.
The vast majority of students could identify BOTH sigma and pi bonds in a molecule.
Many candidates identified B having C = O and a peak at 1750.
A surprising number of candidates drew propanone here as an option, either failing to read the question or perhaps finding the structural formulae provided difficult to understand.
Most candidates identified B, the product, as being in greater concentration at equilibrium however some lost the mark because they did not include a reason.
Most candidates could apply the formula for Gibbs free energy change, ΔGΘ, correctly however some did not get the units correct.
The mean mark was ⅔ for the required synthetic route. Some candidates failed to identify water as a reagent in the hydration reaction, or note that dichromate ion oxidation requires acidic conditions. This was also the question with most No Response.
This question regarding the formation of a minor product was not well answered. Many candidates struggled to explain the formation of propan-1-ol and to then oxidize it to propanal.
This question is about carbon and chlorine compounds.
Ethane, , reacts with chlorine in sunlight. State the type of this reaction and the name of the mechanism by which it occurs.

Formulate equations for the two propagation steps and one termination step in the formation of chloroethane from ethane.

Deduce the splitting patterns in the 1H NMR spectrum of C2H5Cl.
Explain why tetramethylsilane (TMS) is often used as a reference standard in 1H NMR.
One possible product, X, of the reaction of ethane with chlorine has the following composition by mass:
carbon: 24.27%, hydrogen: 4.08%, chlorine: 71.65%
Determine the empirical formula of the product.
The mass and 1H NMR spectra of product X are shown below. Deduce, giving your reasons, its structural formula and hence the name of the compound.
When the product X is reacted with NaOH in a hot alcoholic solution, C2H3Cl is formed. State the role of the reactant NaOH other than as a nucleophile.
Chloroethene, , can undergo polymerization. Draw a section of the polymer with three repeating units.
Markscheme
substitution AND «free-»radical
OR
substitution AND chain
Award [1] for “«free-»radical substitution” or “SR” written anywhere in the answer.
[1 mark]
Two propagation steps:
One termination step:
OR
OR
Accept radical without if consistent throughout.
Allow ECF for incorrect radicals produced in propagation step for M3.
[3 marks]
triplet AND quartet
[1 mark]
chemical shift/signal outside range of common chemical shift/signal
strong signal/12/all H atoms in same environment
OR
singlet/no splitting of the signal
volatile/easily separated/easily removed
OR
inert/stabl
contains three common NMR nuclei/1H and 13C and 29Si
Do not accept chemical shift = 0.
[2 marks]
AND AND
«hence» CH2Cl
Accept : :
Do not accept C2H4Cl2.
Award [2] for correct final answer.
[2 marks]
molecular ion peak(s) «about» m/z 100 AND «so» C2H4Cl2 «isotopes of Cl»
two signals «in 1H NMR spectrum» AND «so» CH3CHCl2
OR
«signals in» 3:1 ratio «in 1H NMR spectrum» AND «so» CH3CHCl2
OR
one doublet and one quartet «in 1H NMR spectrum» AND «so» CH3CHCl2
1,1-dichloroethane
Accept “peaks” for “signals”.
Allow ECF for a correct name for M3 if an incorrect chlorohydrocarbon is identified.
[3 marks]
base
OR
proton acceptor
[1 mark]

Continuation bonds must be shown.
Ignore square brackets and “n”.
Accept
.
Accept other versions of the polymer, such as head to head and head to tail.
Accept condensed structure provided all C to C bonds are shown (as single).
[1 mark]
Examiners report
Chlorine undergoes many reactions.
of manganese(IV) oxide was added to of .
Chlorine gas reacts with water to produce hypochlorous acid and hydrochloric acid.
is a common chlorofluorocarbon, .
State the full electron configuration of the chlorine atom.
State, giving a reason, whether the chlorine atom or the chloride ion has a larger radius.
Outline why the chlorine atom has a smaller atomic radius than the sulfur atom.
The mass spectrum of chlorine is shown.
NIST Mass Spectrometry Data Center Collection © 2014 copyright by the U.S. Secretary of Commerce on behalf of the United States of America. All rights reserved.
Outline the reason for the two peaks at and .
Explain the presence and relative abundance of the peak at .
Calculate the amount, in , of manganese(IV) oxide added.
Determine the limiting reactant, showing your calculations.
Determine the excess amount, in , of the other reactant.
Calculate the volume of chlorine, in , produced if the reaction is conducted at standard temperature and pressure (STP). Use section 2 of the data booklet.
State the oxidation state of manganese in and .
Deduce, referring to oxidation states, whether is an oxidizing or reducing agent.
Hypochlorous acid is considered a weak acid. Outline what is meant by the term weak acid.
State the formula of the conjugate base of hypochlorous acid.
Calculate the concentration of in a solution with a .
State the type of reaction occurring when ethane reacts with chlorine to produce chloroethane.
Predict, giving a reason, whether ethane or chloroethane is more reactive.
Explain the mechanism of the reaction between chloroethane and aqueous sodium hydroxide, , using curly arrows to represent the movement of electron pairs.
Ethoxyethane (diethyl ether) can be used as a solvent for this conversion.
Draw the structural formula of ethoxyethane
Deduce the number of signals and chemical shifts with splitting patterns in the 1H NMR spectrum of ethoxyethane. Use section 27 of the data booklet.
Calculate the percentage by mass of chlorine in .
Comment on how international cooperation has contributed to the lowering of emissions responsible for ozone depletion.
s produce chlorine radicals. Write two successive propagation steps to show how chlorine radicals catalyse the depletion of ozone.
Markscheme
✔
Do not accept condensed electron configuration.
AND more «electron–electron» repulsion ✔
Accept AND has an extra electron.
has a greater nuclear charge/number of protons/ «causing a stronger pull on the outer electrons» ✔
same number of shells
OR
same «outer» energy level
OR
similar shielding ✔
«two major» isotopes «of atomic mass and » ✔
«diatomic» molecule composed of «two» chlorine-37 atoms ✔
chlorine-37 is the least abundant «isotope»
OR
low probability of two «isotopes» occurring in a molecule ✔
✔
✔
AND is the limiting reactant ✔
Accept other valid methods of determining the limiting reactant in M2.
✔
✔
Accept methods employing .
✔
✔
oxidizing agent AND oxidation state of changes from to /decreases ✔
partially dissociates/ionizes «in water» ✔
✔
✔
«free radical» substitution/ ✔
Do not accept electrophilic or nucleophilic substitution.
chloroethane AND C–Cl bond is weaker/ than C–H bond/
OR
chloroethane AND contains a polar bond ✔
Accept “chloroethane AND polar”.
curly arrow going from lone pair/negative charge on in −OH to ✔
curly arrow showing leaving ✔
representation of transition state showing negative charge, square brackets and partial bonds ✔
Accept with or without the lone pair.
Do not accept curly arrows originating on in .
Accept curly arrows in the transition state.
Do not penalize if and are not at 180°.
Do not award M3 if bond is represented.
/ ✔
Accept .
2 «signals» ✔
0.9−1.0 AND triplet ✔
3.3−3.7 AND quartet ✔
Accept any values in the ranges.
Award [1] for two correct chemical shifts or two correct splitting patterns.
✔
✔
Award [2] for correct final answer.
Any of:
research «collaboration» for alternative technologies «to replace s»
OR
technologies «developed»/data could be shared
OR
political pressure/Montreal Protocol/governments passing legislations ✔
Do not accept just “collaboration”.
Do not accept any reference to as greenhouse gas or product of fossil fuel combustion.
Accept reference to specific measures, such as agreement on banning use/manufacture of s.
✔
OR
✔
Penalize missing/incorrect radical dot (∙) once only.
Examiners report
Well answered question with 90% of candidates correctly identifying the complete electron configuration for chlorine.
Most candidates could correctly explain the relative sizes of chlorine atom and chloride ion.
Fairly well answered though some candidates missed M2 for not recognizing the same number of shells affected.
More than 80% could identify that the two peaks in the MS of chlorine are due to different isotopes.
Not well answered. Some candidates were able to identify m/z 74 being due to the m/z of two Cl-37 atoms, however fewer candidates were able to explain the relative abundance of the isotope.
Stoichiometric calculations were generally well done and over 90% could calculate mol from a given mass.
90% of candidates earned full marks on this 2-mark question involving finding a limiting reactant.
Surprisingly, quite a number of candidates struggled with the quantity of excess reactant despite correctly identifying limiting reactant previously.
Most candidates could find the volume of gas produced in a reaction under standard conditions.
More than 90% could identify the oxidation number of manganese in both MnO2 and MnCl2.
Most candidates stated that MnO2 is an oxidizing agent in the reaction but many did not get the mark because there was no reference to oxidation states.
Another well answered 1-mark question where candidates correctly identified a weak acid as an acid which partially dissociates in water.
Roughly ⅓ of the candidates failed to identify the conjugate base, perhaps distracted by the fact it was not contained in the equation given.
Vast majority of candidates could calculate the concentration of H+ (aq) in a HClO (aq) solution with a pH =3.61.
Many identified the reaction of chlorine with ethane as free-radical substitution, or just substitution, with some erroneously stating nucleophilic or electrophilic substitution.
The underlying reasons for the relative reactivity of ethane and chloroethane were not very well known with a few giving erroneous reasons and some stating ethane more reactive.
Few earned full marks for the curly arrow mechanism of the reaction between sodium hydroxide and chloroethane. Mistakes being careless curly arrow drawing, inappropriate –OH notation, curly arrows from the hydrogen or from the carbon to the C–Cl bond, or a method that missed the transition state.
Approximately 60% could draw ethoxyethane however many demonstrated little knowledge of structure of an ether molecule.
A poorly answered question with some getting full marks on this 1HNMR spectrum of ethoxyethane question. Very few could identify all 3 of number of signals, chemical shift, and splitting pattern.
Another good example of candidates being well rehearsed in calculations with 90% earning 2/2 on this question of calculation percentage by mass composition.
Somewhat disappointing answers on this question about how international cooperation has contributed to the lowering of CFC emissions. Many gave vague answers and some referred to carbon emissions and global warming.
Few could construct the propagation equations showing how CFCs affect ozone, and many lost marks by failing to identify ClO· as a radical.
A student titrated two acids, hydrochloric acid, HCl (aq) and ethanoic acid, CH3COOH (aq), against 50.0 cm3 of 0.995 mol dm–3 sodium hydroxide, NaOH (aq), to determine their concentration. The temperature of the reaction mixture was measured after each acid addition and plotted against the volume of each acid.
Using the graph, estimate the initial temperature of the solutions.
Determine the maximum temperature reached in each experiment by analysing the graph.
Suggest why the enthalpy change of neutralization of CH3COOH is less negative than that of HCl.
Markscheme
21.4 °C
Accept values in the range of 21.2 to 21.6 °C.
Accept two different values for the two solutions from within range.
HCl: 30.4 «°C»
Accept range 30.2 to 30.6 °C.
CH3COOH: 29.0 «°C»
Accept range 28.8 to 29.2 °C.
CH3COOH is weak acid/partially ionised
energy used to ionize weak acid «before reaction with NaOH can occur»
Examiners report
A compound with a molecular formula C7H14O produced the following high resolution 1H NMR spectrum.
Deduce what information can be obtained from the 1H NMR spectrum.
Identify the functional group that shows stretching at 1710 cm–1 in the infrared spectrum of this compound using section 26 of the data booklet and the 1H NMR.
Suggest the structural formula of this compound.
Bromine was added to hexane, hex-1-ene and benzene. Identify the compound(s) which will react with bromine in a well-lit laboratory.
Deduce the structural formula of the main organic product when hex-1-ene reacts with hydrogen bromide.
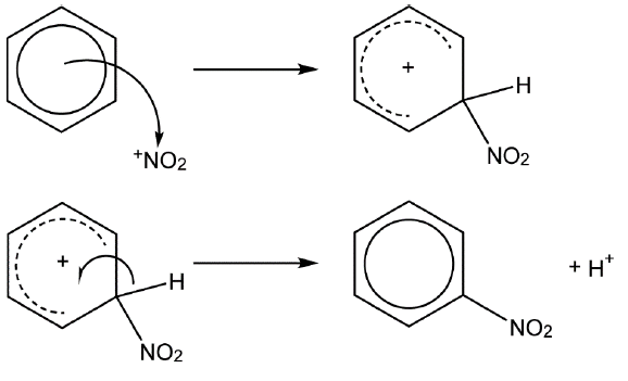
State the reagents and the name of the mechanism for the nitration of benzene.
Outline, in terms of the bonding present, why the reaction conditions of halogenation are different for alkanes and benzene.
Below are two isomers, A and B, with the molecular formula C4H9Br.
Explain the mechanism of the nucleophilic substitution reaction with NaOH(aq) for the isomer that reacts almost exclusively by an SN2 mechanism using curly arrows to represent the movement of electron pairs.
Markscheme
Number of hydrogen environments: 3
Ratio of hydrogen environments: 2:3:9
Splitting patterns: «all» singlets
Accept any equivalent ratios such as 9:3:2.
Accept “no splitting”.
[3 marks]
carbonyl
OR
C=O
Accept “ketone” but not “aldehyde”.
[1 mark]
Accept (CH3)3CCH2COCH3.
Award [1] for any aldehyde or ketone with C7H14O structural formula.
[2 marks]
hexane AND hex-1-ene
Accept “benzene AND hexane AND hex-1-ene”.
[1 mark]
CH3CH2CH2CH2CHBrCH3
Accept displayed formula but not molecular formula.
[1 mark]
Reagents: «concentrated» sulfuric acid AND «concentrated» nitric acid
Name of mechanism: electrophilic substitution
[2 marks]
benzene has «delocalized» bonds «that are susceptible to electrophile attack» AND alkanes do not
Do not accept “benzene has single and double bonds”.
[1 mark]
curly arrow going from lone pair/negative charge on O in –OH to C
curly arrow showing Br leaving
representation of transition state showing negative charge, square brackets and partial bonds
Accept OH– with or without the lone pair.
Do not allow curly arrows originating on H in OH–.
Accept curly arrows in the transition state.
Do not penalize if HO and Br are not at 180°.
Do not award M3 if OH–C bond is represented.
Award [2 max] if wrong isomer is used.
[3 marks]
Examiners report
Ethanol is obtained by the hydration of ethene, C2H4.
Alternative synthetic routes exist to produce alcohols.
Ethanol is obtained by the hydration of ethene, C2H4.
State the class of compound to which ethene belongs.
State the molecular formula of the next member of the homologous series to which ethene belongs.
Justify why ethene has only a single signal in its 1H NMR spectrum.
Deduce the chemical shift of this signal. Use section 27 of the data booklet.
Suggest two possible products of the incomplete combustion of ethene that would not be formed by complete combustion.
A white solid was formed when ethene was subjected to high pressure.
Deduce the type of reaction that occurred.
Sketch the mechanism for the reaction of propene with hydrogen bromide using curly arrows.
Explain why the major organic product is 2-bromopropane and not 1-bromopropane.
Explain why the major organic product is 2-bromopropane and not 1-bromopropane.
2-bromopropane can be converted directly to propan-2-ol. Identify the reagent required.
Propan-2-ol can also be formed in one step from a compound containing a carbonyl group.
State the name of this compound and the type of reaction that occurs.
Markscheme
alkene ✔
C3H6 ✔
Accept structural formula.
hydrogen atoms/protons in same chemical environment ✔
Accept “all H atoms/protons are equivalent”.
Accept “symmetrical”
4.5 to 6.0 «ppm» ✔
Accept a single value within this range.
carbon monoxide/CO AND carbon/C/soot ✔
«addition» polymerization ✔
curly arrow going from C=C to H of HBr AND curly arrow showing Br leaving ✔
representation of carbocation ✔
curly arrow going from lone pair/negative charge on Br− to C+ ✔
Award [2 max] for mechanism producing 1-brompropane.
«2-bromopropane involves» formation of more stable «secondary» carbocation/carbonium ion/intermediate
OR
1-bromopropane involves formation of less stable «primary» carbocation/carbonium ion/intermediate ✔
«increased» positive inductive/electron-releasing effect of extra–R group/–CH3/methyl «increases stability of secondary carbocation» ✔
Award [1] for “more stable due to positive inductive effect”.
Do not award marks for quoting Markovnikov’s rule without any explanation.
«2-bromopropane involves» formation of more stable «secondary» carbocation/carbonium ion/intermediate
OR
1-bromopropane involves formation of less stable «primary» carbocation/carbonium ion/intermediate ✔
«increased» positive inductive/electron-releasing effect of extra–R group/–CH3/methyl «increases stability of secondary carbocation» ✔
Award [1] for “more stable due to positive inductive effect”.
Do not award marks for quoting Markovnikov’s rule without any explanation.
sodium hydroxide/NaOH/potassium hydroxide/KOH ✔
Accept «aqueous» hydroxide ions/OH−
Name of carbonyl compound:
propanone ✔
Type of reaction:
reduction ✔
Accept other valid alternatives, such as “2-propyl ethanoate” for M1 and “hydrolysis” for M2.
Examiners report
Urea, (H2N)2CO, is excreted by mammals and can be used as a fertilizer.
Urea can also be made by the direct combination of ammonia and carbon dioxide gases.
2NH3(g) + CO2(g) (H2N)2CO(g) + H2O(g) ΔH < 0
Calculate the percentage by mass of nitrogen in urea to two decimal places using section 6 of the data booklet.
Suggest how the percentage of nitrogen affects the cost of transport of fertilizers giving a reason.
The structural formula of urea is shown.

Predict the electron domain and molecular geometries at the nitrogen and carbon atoms, applying the VSEPR theory.

Urea can be made by reacting potassium cyanate, KNCO, with ammonium chloride, NH4Cl.
KNCO(aq) + NH4Cl(aq) → (H2N)2CO(aq) + KCl(aq)
Determine the maximum mass of urea that could be formed from 50.0 cm3 of 0.100 mol dm−3 potassium cyanate solution.
State the equilibrium constant expression, Kc.
Predict, with a reason, the effect on the equilibrium constant, Kc, when the temperature is increased.
Determine an approximate order of magnitude for Kc, using sections 1 and 2 of the data booklet. Assume ΔGΘ for the forward reaction is approximately +50 kJ at 298 K.
Suggest one reason why urea is a solid and ammonia a gas at room temperature.
Sketch two different hydrogen bonding interactions between ammonia and water.
The combustion of urea produces water, carbon dioxide and nitrogen.
Formulate a balanced equation for the reaction.
Calculate the maximum volume of CO2, in cm3, produced at STP by the combustion of 0.600 g of urea, using sections 2 and 6 of the data booklet.
Describe the bond formation when urea acts as a ligand in a transition metal complex ion.
The C–N bonds in urea are shorter than might be expected for a single C–N bond. Suggest, in terms of electrons, how this could occur.
The mass spectrum of urea is shown below.

Identify the species responsible for the peaks at m/z = 60 and 44.
The IR spectrum of urea is shown below.

Identify the bonds causing the absorptions at 3450 cm−1 and 1700 cm−1 using section 26 of the data booklet.
Predict the number of signals in the 1H NMR spectrum of urea.
Predict the splitting pattern of the 1H NMR spectrum of urea.
Outline why TMS (tetramethylsilane) may be added to the sample to carry out 1H NMR spectroscopy and why it is particularly suited to this role.
Markscheme
molar mass of urea «4 1.01 + 2 14.01 + 12.01 + 16.00» = 60.07 «g mol-1»
«% nitrogen = 100 =» 46.65 «%»
Award [2] for correct final answer.
Award [1 max] for final answer not to two decimal places.
[2 marks]
«cost» increases AND lower N% «means higher cost of transportation per unit of nitrogen»
OR
«cost» increases AND inefficient/too much/about half mass not nitrogen
Accept other reasonable explanations.
Do not accept answers referring to safety/explosions.
[1 mark]

Note: Urea’s structure is more complex than that predicted from VSEPR theory.
[3 marks]
n(KNCO) «= 0.0500 dm3 0.100 mol dm–3» = 5.00 10–3 «mol»
«mass of urea = 5.00 10–3 mol 60.07 g mol–1» = 0.300 «g»
Award [2] for correct final answer.
[2 marks]
[1 mark]
«Kc» decreases AND reaction is exothermic
OR
«Kc» decreases AND ΔH is negative
OR
«Kc» decreases AND reverse/endothermic reaction is favoured
[1 mark]
ln K « = » = –20
«Kc =» 2 10–9
OR
1.69 10–9
OR
10–9
Accept range of 20-20.2 for M1.
Award [2] for correct final answer.
[2 marks]
Any one of:
urea has greater molar mass
urea has greater electron density/greater London/dispersion
urea has more hydrogen bonding
urea is more polar/has greater dipole moment
Accept “urea has larger size/greater van der Waals forces”.
Do not accept “urea has greater intermolecular forces/IMF”.
[1 mark]

Award [1] for each correct interaction.
If lone pairs are shown on N or O, then the lone pair on N or one of the lone pairs on O MUST be involved in the H-bond.
Penalize solid line to represent H-bonding only once.
[2 marks]
2(H2N)2CO(s) + 3O2(g) → 4H2O(l) + 2CO2(g) + 2N2(g)
correct coefficients on LHS
correct coefficients on RHS
Accept (H2N)2CO(s) + O2(g) → 2H2O(l) + CO2(g) + N2(g).
Accept any correct ratio.
[2 marks]
«V = 22700 cm3 mol–1 =» 227 «cm3»
[1 mark]
lone/non-bonding electron pairs «on nitrogen/oxygen/ligand» given to/shared with metal ion
co-ordinate/dative/covalent bonds
[2 marks]
lone pairs on nitrogen atoms can be donated to/shared with C–N bond
OR
C–N bond partial double bond character
OR
delocalization «of electrons occurs across molecule»
OR
slight positive charge on C due to C=O polarity reduces C–N bond length
[1 mark]
60: CON2H4+
44: CONH2+
Accept “molecular ion”.
[2 marks]
3450 cm–1: N–H
1700 cm–1: C=O
Do not accept “O–H” for 3450 cm–1.
[2 marks]
1
[2 marks]
singlet
Accept “no splitting”.
[1 mark]
acts as internal standard
OR
acts as reference point
one strong signal
OR
12 H atoms in same environment
OR
signal is well away from other absorptions
Accept “inert” or “readily removed” or “non-toxic” for M1.
[2 marks]
Examiners report
Calcium carbonate reacts with hydrochloric acid.
CaCO3(s) + 2HCl(aq) → CaCl2(aq) + H2O(l) + CO2(g)
The results of a series of experiments in which the concentration of HCl was varied are shown below.

Outline two ways in which the progress of the reaction can be monitored. No practical details are required.
Suggest why point D is so far out of line assuming human error is not the cause.
Draw the best fit line for the reaction excluding point D.
Suggest the relationship that points A, B and C show between the concentration of the acid and the rate of reaction.
Deduce the rate expression for the reaction.
Calculate the rate constant of the reaction, stating its units.
Predict from your line of best fit the rate of reaction when the concentration of HCl is 1.00 mol dm−3.
Describe how the activation energy of this reaction could be determined.
Markscheme
Any two of:
loss of mass «of reaction mixture/CO2»
«increase in» volume of gas produced
change of conductivity
change of pH
change in temperature
Do not accept “disappearance of calcium carbonate”.
Do not accept “gas bubbles”.
Do not accept “colour change” or “indicator”.
[2 marks]
reaction is fast at high concentration AND may be difficult to measure accurately
OR
so many bubbles of CO2 produced that inhibit contact of HCl(aq) with CaCO3(s)
OR
insufficient change in conductivity/pH at high concentrations
OR
calcium carbonate has been used up/is limiting reagent/ there is not enough calcium carbonate «to react with the high concentration of HCl»
OR
HCl is in excess
OR
so many bubbles of CO2 produced that inhibit contact of HCl(aq) with CaCO3(s)
[1 mark]

straight line going through the origin AND as close to A, B, C as is reasonably possible
[1 mark]
«directly» proportional
Accept “first order” or “linear”.
Do not accept “rate increases as concentration increases” or “positive correlation”.
[1 mark]
rate = k [H+]
Accept “rate = k [HCl]”.
[1 mark]
0.02
s–1
[2 marks]
20.5 10–3 «mol dm–3 s–1»
Accept any answer in the range 19.5–21.5.
[1 mark]
ALTERNATIVE 1:
carry out reaction at several temperatures
plot against log rate constant
Ea = – gradient R
ALTERNATIVE 2:
carry out reaction at two temperatures
determine two rate constants
OR
determine the temperature coefficient of the rate
use the formula
Accept “gradient = ” for M3.
Award both M2 and M3 for the formula .
Accept any variation of the formula, such as .
[3 marks]
Examiners report
Organic chemistry can be used to synthesize a variety of products.
Combustion analysis of an unknown organic compound indicated that it contained only carbon, hydrogen and oxygen.
Several compounds can be synthesized from but-2-ene. Draw the structure of the final product for each of the following chemical reactions.
Determine the change in enthalpy, ΔH, for the combustion of but-2-ene, using section 11 of the data booklet.
CH3CH=CHCH3 (g) + 6O2 (g) → 4CO2 (g) + 4H2O (g)
State the hybridization of the carbon I and II atoms in but-2-ene.
Draw diagrams to show how sigma (σ) and pi (π) bonds are formed between atoms.
Sketch the mechanism for the reaction of 2-methylbut-2-ene with hydrogen bromide using curly arrows.
Explain why the major organic product is 2-bromo-2-methylbutane and not 2-bromo-3-methylbutane.
Deduce two features of this molecule that can be obtained from the mass spectrum. Use section 28 of the data booklet.
NIST Mass Spectrometry Data Center Collection © 2014 copyright by the U.S. Secretary of Commerce
on behalf of the United States of America. All rights reserved.
Identify the bond responsible for the absorption at A in the infrared spectrum. Use section 26 of the data booklet.
NIST Mass Spectrometry Data Center Collection © 2014 copyright by the U.S. Secretary of Commerce
on behalf of the United States of America. All rights reserved.
Deduce the identity of the unknown compound using the previous information, the 1H NMR spectrum and section 27 of the data booklet.
SDBS, National Institute of Advanced Industrial Science and Technology (AIST).
Draw the stereoisomers of butan-2-ol using wedge-dash type representations.
Outline how two enantiomers can be distinguished using a polarimeter.
Markscheme
Penalize missing hydrogens in displayed structural formulas once only.
Accept condensed structural formulas: CH3CH(OH)CH2CH3 / CH3CH2CH2CH3 or skeletal structures.
Bonds broken:
2(C–C) + 1(C=C) + 8(C–H) + 6O=O / 2(346) + 1(614) + 8(414) + 6(498) / 7606 «kJ» ✓
Bonds formed:
8(C=O) + 8(O–H) / 8(804) + 8(463) / 10 136 «kJ» ✓
Enthalpy change:
«Bonds broken – Bonds formed = 7606 kJ – 10 136 kJ =» –2530 «kJ» ✓
Award [3] for correct final answer.
Award [2 max] for «+» 2530 «kJ».
Sigma (σ):
Accept any diagram showing end to end/direct overlap of atomic/hybridized orbitals and electron density concentrated between nuclei.
Pi (π):
Accept any diagram showing sideways overlap of unhybridized p/atomic orbitals and electron density above and below plane of bond axis.
Alternative 1
Penalize incorrect bond e.g., -CH-H3C or –CH3C only once in the paper.
Alternative 2
curly arrow going from C=C to H of HBr AND curly arrow showing Br leaving ✓
representation of carbocation ✓
curly arrow going from lone pair/negative charge on Br− to C+ ✓
«2-bromo-2-methylbutane involves» formation of more stable «tertiary» carbocation/intermediate
OR
«2-bromo-3-methylbutane involves» formation of less stable «secondary» carbocation/intermediate ✓
«intermediate» more stable due to «increased positive» inductive/electron-releasing effect of extra –R/alkyl group/–CH3/methyl ✓
Do not award marks for quoting Markovnikov’s rule without any explanation.
m/z 58:
molar/«relative» molecular mass/weight/Mr «is 58 g mol−1/58» ✓
m/z 43:
«loses» methyl/CH3 «fragment»
OR
COCH3+ «fragment» ✓
Do not penalize missing charge on the fragments.
Accept molecular ion «peak»/ CH3COCH3+/C3H6O+.
Accept any C2H3O+ fragment/ CH3CH2CH2+/C3H7+.
C=O ✓
Accept carbonyl/C=C.
Information deduced from 1H NMR:
«one signal indicates» one hydrogen environment/symmetrical structure
OR
«chemical shift of 2.2 indicates» H on C next to carbonyl ✓
Compound:
propanone/CH3COCH3 ✓
Accept “one type of hydrogen”.
Accept .
enantiomers rotate «plane of» plane-polarized light ✓
equal degrees/angles/amounts AND opposite directions/rotation ✓
Accept “optical isomers” for “enantiomers”.
Examiners report
3.26 g of iron powder are added to 80.0 cm3 of 0.200 mol dm−3 copper(II) sulfate solution. The following reaction occurs:
Fe (s) + CuSO4 (aq) → FeSO4 (aq) + Cu (s)
Determine the limiting reactant showing your working.
The mass of copper obtained experimentally was 0.872 g. Calculate the percentage yield of copper.
The reaction was carried out in a calorimeter. The maximum temperature rise of the solution was 7.5 °C.
Calculate the enthalpy change, ΔH, of the reaction, in kJ, assuming that all the heat released was absorbed by the solution. Use sections 1 and 2 of the data booklet.
State another assumption you made in (b)(i).
The only significant uncertainty is in the temperature measurement.
Determine the absolute uncertainty in the calculated value of ΔH if the uncertainty in the temperature rise was ±0.2 °C.
Sketch a graph of the concentration of iron(II) sulfate, FeSO4, against time as the reaction proceeds.
Outline how the initial rate of reaction can be determined from the graph in part (c)(i).
Explain, using the collision theory, why replacing the iron powder with a piece of iron of the same mass slows down the rate of the reaction.
A student electrolyzed aqueous iron(II) sulfate, FeSO4 (aq), using platinum electrodes. State half-equations for the reactions at the electrodes, using section 24 of the data booklet.
Markscheme
nCuSO4 «= 0.0800 dm3 × 0.200 mol dm–3» = 0.0160 mol AND
nFe «» = 0.0584 mol ✔
CuSO4 is the limiting reactant ✔
Do not award M2 if mole calculation is not shown.
ALTERNATIVE 1:
«0.0160 mol × 63.55 g mol–1 =» 1.02 «g» ✔
«» 85.5 «%» ✔
ALTERNATIVE 2:
«» 0.0137 «mol» ✔
«» 85.6 «%» ✔
Accept answers in the range 85–86 %.
Award [2] for correct final answer.
ALTERNATIVE 1:
q = «80.0 g × 4.18 J g–1 K–1 × 7.5 K =» 2.5 × 103 «J»/2.5 «kJ» ✔
«per mol of CuSO4 = kJ mol–1»
«for the reaction» ΔH = –1.6 × 102 «kJ» ✔
ALTERNATIVE 2:
q = «80.0 g × 4.18 J g–1 K–1 × 7.5 K =» 2.5 × 103 «J»/2.5 «kJ» ✔
«nCu = = 0.0137 mol»
«per mol of CuSO4 = kJ mol–1»
«for the reaction» ΔH = –1.8 × 102 «kJ» ✔
Award [2] for correct final answer.
density «of solution» is 1.00 g cm−3
OR
specific heat capacity «of solution» is 4.18 J g−1 K−1/that of «pure» water
OR
reaction goes to completion
OR
iron/CuSO4 does not react with other substances ✔
The mark for “reaction goes to completion” can only be awarded if 0.0160 mol was used in part (b)(i).
Do not accept “heat loss”.
ALTERNATIVE 1:
«» 3 %/0.03 ✔
«0.03 × 160 kJ» = «±» 5 «kJ» ✔
ALTERNATIVE 2:
«» 3 %/0.03 ✔
«0.03 × 180 kJ» = «±» 5 «kJ» ✔
Accept values in the range 4.1–5.5 «kJ».
Award [2] for correct final answer.
initial concentration is zero AND concentration increases with time ✔
decreasing gradient as reaction proceeds ✔
«draw a» tangent to the curve at time = 0 ✔
«rate equals» gradient/slope «of the tangent» ✔
Accept suitable diagram.
piece has smaller surface area ✔
lower frequency of collisions
OR
fewer collisions per second/unit time ✔
Accept “chance/probability” instead of “frequency”.
Do not accept just “fewer collisions”.
Anode (positive electrode):
2H2O (l) → O2 (g) + 4H+ (aq) + 4e– ✔
Cathode (negative electrode):
2H2O (l) + 2e– → H2 (g) + 2OH– (aq)
OR
2H+ (aq) + 2e– → H2 (g) ✔
Accept “4OH– (aq) → O2 (g) + 2H2O (l) + 4e–” OR “Fe2+ (aq) → Fe3+ (aq) + e–” for M1.
Accept “Fe2+ (aq) + 2e– → Fe (s)” OR “SO42- (aq) 4H+ (aq) + 2e– → 2H2SO3(aq) + H2O (l)”
for M2.
Examiners report
When heated in air, magnesium ribbon reacts with oxygen to form magnesium oxide.
The reaction in (a)(i) was carried out in a crucible with a lid and the following data was recorded:
Mass of crucible and lid = 47.372 ±0.001 g
Mass of crucible, lid and magnesium ribbon before heating = 53.726 ±0.001 g
Mass of crucible, lid and product after heating = 56.941 ±0.001 g
When magnesium is burnt in air, some of it reacts with nitrogen to form magnesium nitride according to the equation:
3 Mg (s) + N2 (g) → Mg3N2 (s)
The presence of magnesium nitride can be demonstrated by adding water to the product. It is hydrolysed to form magnesium hydroxide and ammonia.
Most nitride ions are 14N3–.
Write a balanced equation for the reaction that occurs.
Identify a metal, in the same period as magnesium, that does not form a basic oxide.
Calculate the amount of magnesium, in mol, that was used.
Determine the percentage uncertainty of the mass of product after heating.
Assume the reaction in (a)(i) is the only one occurring and it goes to completion, but some product has been lost from the crucible. Deduce the percentage yield of magnesium oxide in the crucible.
Evaluate whether this, rather than the loss of product, could explain the yield found in (b)(iii).
Suggest an explanation, other than product being lost from the crucible or reacting with nitrogen, that could explain the yield found in (b)(iii).
Calculate coefficients that balance the equation for the following reaction.
Ammonia is added to water that contains a few drops of an indicator. Identify an indicator that would change colour. Use sections 21 and 22 of the data booklet.
Determine the oxidation state of nitrogen in Mg3N2 and in NH3.
Deduce, giving reasons, whether the reaction of magnesium nitride with water is an acid–base reaction, a redox reaction, neither or both.
State the number of subatomic particles in this ion.
Some nitride ions are 15N3–. State the term that describes the relationship between 14N3– and 15N3–.
The nitride ion and the magnesium ion are isoelectronic (they have the same electron configuration). Determine, giving a reason, which has the greater ionic radius.
Suggest, giving a reason, whether magnesium or nitrogen would have the greater sixth ionization energy.
Suggest two reasons why atoms are no longer regarded as the indivisible units of matter.
State the types of bonding in magnesium, oxygen and magnesium oxide, and how the valence electrons produce these types of bonding.
Markscheme
2 Mg(s) + O2(g) → 2 MgO(s) ✔
Do not accept equilibrium arrows. Ignore state symbols
aluminium/Al ✔
mass of product ✔
✔
Award [2] for correct final answer
Accept 0.021%
✔
✔
Award «0.2614 mol x 40.31 g mol–1»
Accept alternative methods to arrive at the correct answer.
Accept final answers in the range 90.5-91.5%
[2] for correct final answer.
yes
AND
«each Mg combines with N, so» mass increase would be 14x which is less than expected increase of 16x
OR
3 mol Mg would form 101g of Mg3N2 but would form 3 x MgO = 121 g of MgO
OR
0.2614 mol forms 10.536 g of MgO, but would form 8.796 g of Mg3N2 ✔
Accept Yes AND “the mass of N/N2 that combines with each g/mole of Mg is lower than that of O/O2”
Accept YES AND “molar mass of nitrogen less than of oxygen”.
incomplete reaction
OR
Mg was partially oxidised already
OR
impurity present that evaporated/did not react ✔
Accept “crucible weighed before fully cooled”.
Accept answers relating to a higher atomic mass impurity consuming less O/O2.
Accept “non-stoichiometric compounds formed”.
Do not accept "human error", "wrongly calibrated balance" or other non-chemical reasons.
If answer to (b)(iii) is >100%, accept appropriate reasons, such as product absorbed moisture before being weighed.
«1» Mg3N2 (s) + 6 H2O (l) → 3 Mg(OH)2 (s) + 2 NH3 (aq) ✔
phenol red ✔
Accept bromothymol blue or phenolphthalein.
Mg3N2: -3
AND
NH3: -3 ✔
Do not accept 3 or 3-
Acid–base:
yes AND N3- accepts H+/donates electron pair«s»
OR
yes AND H2O loses H+ «to form OH-»/accepts electron pair«s» ✔
Redox:
no AND no oxidation states change ✔
Accept “yes AND proton transfer takes place”
Accept reference to the oxidation state of specific elements not changing.
Accept “not redox as no electrons gained/lost”.
Award [1 max] for Acid–base: yes AND Redox: no without correct reasons, if no other mark has been awarded
Protons: 7 AND Neutrons: 7 AND Electrons: 10 ✔
isotope«s» ✔
nitride AND smaller nuclear charge/number of protons/atomic number ✔
nitrogen AND electron lost from first «energy» level/s sub-level/s-orbital AND magnesium from p sub-level/p-orbital/second «energy» level
OR
nitrogen AND electron lost from lower level «than magnesium» ✔
Accept “nitrogen AND electron lost closer to the nucleus «than magnesium»”.
Any two of:
subatomic particles «discovered»
OR
particles smaller/with masses less than atoms «discovered»
OR
«existence of» isotopes «same number of protons, different number of neutrons» ✔
charged particles obtained from «neutral» atoms
OR
atoms can gain or lose electrons «and become charged» ✔
atom «discovered» to have structure ✔
fission
OR
atoms can be split ✔
Accept atoms can undergo fusion «to produce heavier atoms»
Accept specific examples of particles.
Award [2] for “atom shown to have a nucleus with electrons around it” as both M1 and M3.
Award [1] for all bonding types correct.
Award [1] for each correct description.
Apply ECF for M2 only once.
Examiners report
Done very well. However, it was disappointing to see the formula of oxygen molecule as O and the oxide as Mg2O and MgO2 at HL level.
Average performance; the question asked to identify a metal; however, answers included S, Si, P and even noble gases besides Be and Na. The only choice of aluminium; however, since its oxide is amphoteric, it could not be the answer in the minds of some.
Very good performance; some calculated the mass of oxygen instead of magnesium for the calculation of the amount, in mol, of magnesium. Others calculated the mass, but not the amount in mol as required.
Mediocre performance; instead of calculating percentage uncertainty, some calculated percentage difference.
Satisfactory performance; however, a good number could not answer the question correctly on determining the percentage yield.
Poorly done. The question asked to evaluate and explain but instead many answers simply agreed with the information provided instead of assessing its strength and limitation.
Mediocre performance; explaining the yield found was often a challenge by not recognizing that incomplete reaction or Mg partially oxidized or impurities present that evaporated or did not react would explain the yield.
Calculating coefficients that balance the given equation was done very well.
Well done; some chose bromocresol green or methyl red as the indicator that would change colour, instead of phenol red, bromothymol blue or phenolphthalein.
Good performance; however, surprising number of candidates could not determine one or both oxidation states correctly or wrote it as 3 or 3−, instead of −3.
Average performance; choosing the given reaction as an acid-base or redox reaction was not done well. Often answers were contradictory and the reasoning incorrect.
Stating the number of subatomic particles in a 14N3- was done very well. However, some answers showed a lack of understanding of how to calculate the number of relevant subatomic particles given formula of an ion with charge and mass number.
Exceptionally well done; A few candidates referred to isomers, rather than isotopes.
There was reference to nitrogen and magnesium, rather than nitride and magnesium ions. Also, instead identifying smaller nuclear charge in nitride ion, some referred to core electrons, Zeff, increased electron-electron repulsion or shielding.
Common error in suggesting nitrogen would have the greater sixth ionization energy was that for nitrogen, electron is lost from first energy level without making reference to magnesium losing it from second energy level.
Good performance; some teachers were concerned about the expected answers. However, generally, students were able to suggest two reasons why matter is divisible.
One teacher commented that not asking to describe bonding in terms of electrostatic attractions as in earlier papers would have been confusing and some did answer in terms of electrostatic forces of attractions involved. However, the question was clear in its expectation that the answer had to be in terms of how the valence electrons produce the three types of bonds and the overall performance was good. Some had difficulty identifying the bond type for Mg, O2 and MgO.
A 4.406 g sample of a compound containing only C, H and O was burnt in excess oxygen. 8.802 g of CO2 and 3.604 g of H2O were produced.
The following spectrums show the Infrared spectra of propan-1-ol, propanal and propanoic acid.
NIST Mass Spectrometry Data Center Collection © 2021 copyright by the U.S. Secretary of Commerce on behalf of the United States of America. All rights reserved. Available at: https://webbook.nist.gov/cgi/cbook.cgi?ID=C71238&Units=SI&Type=IRSPEC&Index=3#IR-SPEC [Accessed 6 May 2020]. Source adapted.
NIST Mass Spectrometry Data Center Collection © 2021 copyright by the U.S. Secretary of Commerce on behalf of the United States of America. Available at: https://webbook.nist.gov/cgi/cbook.cgi?ID=C79094&Units=SI&Mask=80#IR-Spec [Accessed 6 May 2020]. Source adapted.
NIST Mass Spectrometry Data Center Collection © 2021 copyright by the U.S. Secretary of Commerce on behalf of the United States of America. Available at: https://webbook.nist.gov/cgi/cbook.cgi?Name=propanal&Units=SI&cIR=on&cTZ=on#IRSpec [Accessed 6 May 2020]. Source adapted.
Determine the empirical formula of the compound using section 6 of the data booklet.
Determine the molecular formula of this compound if its molar mass is 88.12 g mol−1. If you did not obtain an answer in (a) use CS, but this is not the correct answer.
Identify each compound from the spectra given, use absorptions from the range of 1700 cm−1 to 3500 cm−1. Explain the reason for your choice, referring to section 26 of the data booklet.
Predict the number of 1H NMR signals, and splitting pattern of the –CH3 seen for propanone (CH3COCH3) and propanal (CH3CH2CHO).
Predict the fragment that is responsible for a m/z of 31 in the mass spectrum of propan‑1‑ol. Use section 28 of the data booklet.
Markscheme
«» 0.2000 «mol of C/CO2»
AND «» 0.2000 «mol of H2O»/0.4000 «mol of H»
OR
«» 2.402 «g of C»
OR
«» 0.404 «g of H» ✔
«4.406 g − 2.806 g» = 1.600 «g of O» ✔
«»
C2H4O ✔
Award [3] for correct final answer.
«» C4H8O2 ✔
C2S2 if CS used.
Award [1 max] for correctly identifying all 3 compounds without valid reasons given.
Accept specific values of wavenumbers within each range.
CH3O+ ✔
Accept any structure i.e. “CH2OH+”.
Examiners report
Butanoic acid, CH3CH2CH2COOH, is a weak acid and ethylamine, CH3CH2NH2, is a weak base.
State the equation for the reaction of each substance with water.
Draw a diagram showing the delocalization of electrons in the conjugate base of butanoic acid.
Deduce the average oxidation state of carbon in butanoic acid.
A 0.250 mol dm−3 aqueous solution of butanoic acid has a concentration of hydrogen ions, [H+], of 0.00192 mol dm−3. Calculate the concentration of hydroxide ions, [OH−], in the solution at 298 K.
Determine the pH of a 0.250 mol dm−3 aqueous solution of ethylamine at 298 K, using section 21 of the data booklet.
Sketch the pH curve for the titration of 25.0 cm3 of ethylamine aqueous solution with 50.0 cm3 of butanoic acid aqueous solution of equal concentration. No calculations are required.
Explain why butanoic acid is a liquid at room temperature while ethylamine is a gas at room temperature.
State a suitable reagent for the reduction of butanoic acid.
Deduce the product of the complete reduction reaction in (e)(i).
Markscheme
Butanoic acid:
CH3CH2CH2COOH (aq) + H2O (l) CH3CH2CH2COO− (aq) + H3O+ (aq) ✔
Ethylamine:
CH3CH2NH2 (aq) + H2O (l) CH3CH2NH3+ (aq) + OH− (aq) ✔
Diagram showing:
dotted line along O–C–O AND negative charge
Accept correct diagrams with pi clouds.
–1 ✔
«» = 5.21 × 10–12 «mol dm–3» ✔
«pKb = 3.35, Kb = 10–3.35 = 4.5 × 10–4»
«C2H5NH2 + H2O C2H5NH3+ + OH–»
Kb =
OR
«Kb =» 4.5 × 10–4 =
OR
«Kb =» 4.5 × 10–4 = ✔
« x = [OH–] =» 0.011 «mol dm–3» ✔
«pH = –log» 12.04
OR
«pH = 14.00 – (–log 0.011)=» 12.04 ✔
Award [3] for correct final answer.
decreasing pH curve ✔
pH close to 7 (6–8) at volume of 25 cm3 butanoic acid ✔
weak acid/base shape with no flat «strong acid/base» parts on the curve ✔
Any two of:
butanoic acid forms more/stronger hydrogen bonds ✔
butanoic acid forms stronger London/dispersion forces ✔
butanoic acid forms stronger dipole–dipole interaction/force ✔
Accept “butanoic acid forms dimers”
Accept “butanoic acid has larger Mr/hydrocarbon chain/number of electrons” for M2.
Accept “butanoic acid has larger «permanent» dipole/more polar” for M3.
lithium aluminium hydride/LiAlH4 ✔
butan-1-ol/1-butanol/CH3CH2CH2CH2OH ✔
Examiners report
Magnesium is a reactive metal often found in alloys.
Magnesium is sometimes used as a sacrificial anode to protect steel from corrosion.
A graph of the volume of gas produced by reacting magnesium with a large excess of 1 mol dm–3 hydrochloric acid is shown.
Suggest an experiment that shows that magnesium is more reactive than zinc, giving the observation that would confirm this.
Calculate the standard potential, in V, of a cell formed by magnesium and steel half-cells. Use section 24 of the data booklet and assume steel has the standard electrode potential of iron.
Calculate the free energy change, ΔG⦵, in kJ, of the cell reaction. Use sections 1 and 2 of the data booklet.
This cell causes the electrolytic reduction of water on the steel. State the half-equation for this reduction.
Use the graph to deduce the dependence of the reaction rate on the amount of Mg.
The reaction is first order with respect to HCl. Calculate the time taken, in seconds (s), for half of the Mg to dissolve when [HCl] = 0.5 mol dm–3.
Carbonates also react with HCl and the rate can be determined by graphing the mass loss. Suggest why this method is less suitable for the reaction of Mg with HCl.
Markscheme
Alternative 1
put Mg in Zn2+(aq) ✔
Zn/«black» layer forms «on surface of Mg» ✔
Award [1 max] for “no reaction when Zn placed in Mg2+(aq)”.
Alternative 2
place both metals in acid ✔
bubbles evolve more rapidly from Mg
OR
Mg dissolves faster ✔
Alternative 3
construct a cell with Mg and Zn electrodes ✔
Accept “electrons flow from Mg to Zn”.
Accept Mg is negative electrode/anode
OR
Zn is positive electrode/cathode
bulb lights up
OR
shows (+) voltage
OR
size/mass of Mg(s) decreases <<over time>>
OR
size/mass of Zn increases <<over time>>
Accept other correct methods.
Cell potential: «(–0.45 V – (–2.37 V)» = «+»1.92 «V» ✔
«ΔGº = -nFEº»
n = 2
OR
ΔGº = «-»2×96500×1.92 / «-»370,560 «J» ✔
-371 «kJ» ✔
For n = 1, award [1] for –185 «kJ».
Award [1 max] for (+)371 «kJ»
2 H2O + 2 e- → H2 + 2 OH- ✔
Accept equation with equilibrium arrows.
independent / not dependent ✔
Accept “zero order in Mg”.
«2×170 s» = 340 «s» ✔
Accept 320 – 360 «s».
Accept 400 – 450 «s» based on no more gas being produced after 400 to 450s.
«relative/percentage» decrease in mass is «too» small/«much» less ✔
Accept “«relative/percentage» uncertainty in mass loss «too» great”. OR “density/molar mass of H2 is «much» less than CO2”.
Examiners report
Mediocre performance; some experiments would not have worked such as adding magnesium to zinc salt without reference to aqueous environment, adding Zn to magnesium ions, or Mg combustion reaction being more exothermic. In the last one, an inference wad made instead of identifying an observation or measuring temperature using a thermometer or a temperature probe.
Good performance; instead of E° = 1.92 V, answer such as −1.92 V + or −2.82 V showed a lack of understanding of how to calculate E° cell.
Satisfactory performance; two major challenges in applying the equation ΔG° = −nFE° from the data booklet included:
Using n = 1, not 2, the number of electrons transferred in the redox reaction.
ΔG° unit from the equation is in J; some did not convert J to kJ as asked for.
Mediocre performance; some candidates had difficulty writing the reduction half-equation for water, the typical error included O2(g) gas in the reactant or product, rather than H2(g) in the product or including an equation with Fe(s) and H2O(l) as reactants.
Candidates found this to be a tough question (see comments for parts (ii) and (iii)).
Mediocre performance in calculating time from the graph for the data provided. Some wrote the rate expression, which only contains [HCl] and not mass or amount in mol Mg (as a solid, [Mg] is constant). This presented a challenge in arriving at a reasonable answer.
Poorly done; many candidates did not grasp the question and answer it appropriately. Candidates generally did not realize that decrease in mass (due to H2(g) as a product for the reaction of Mg with HCl) is «too» small/«much» less compared to that of CO2(g) from the reaction of carbonates with HCl.
The thermal decomposition of dinitrogen monoxide occurs according to the equation:
2N2O (g) → 2N2 (g) + O2 (g)
The reaction can be followed by measuring the change in total pressure, at constant temperature, with time.
The x-axis and y-axis are shown with arbitrary units.
This decomposition obeys the rate expression:
= k[N2O]
Explain why, as the reaction proceeds, the pressure increases by the amount shown.
Outline, in terms of collision theory, how a decrease in pressure would affect the rate of reaction.
Deduce how the rate of reaction at t = 2 would compare to the initial rate.
It has been suggested that the reaction occurs as a two-step process:
Step 1: N2O (g) → N2 (g) + O (g)
Step 2: N2O (g) + O (g) → N2 (g) + O2 (g)
Explain how this could support the observed rate expression.
The experiment is repeated using the same amount of dinitrogen monoxide in the same apparatus, but at a lower temperature.
Sketch, on the axes in question 2, the graph that you would expect.
The experiment gave an error in the rate because the pressure gauge was inaccurate.
Outline whether repeating the experiment, using the same apparatus, and averaging the results would reduce the error.
The graph below shows the Maxwell–Boltzmann distribution of molecular energies at a particular temperature.
The rate at which dinitrogen monoxide decomposes is significantly increased by a metal oxide catalyst.
Annotate and use the graph to outline why a catalyst has this effect.
Determine the standard entropy change, in J K−1, for the decomposition of dinitrogen monoxide.
2N2O (g) → 2N2 (g) + O2 (g)
Dinitrogen monoxide has a positive standard enthalpy of formation, ΔHfθ.
Deduce, giving reasons, whether altering the temperature would change the spontaneity of the decomposition reaction.
Markscheme
increase in the amount/number of moles/molecules «of gas» [✔]
from 2 to 3/by 50 % [✔]
«rate of reaction decreases»
concentration/number of molecules in a given volume decreases
OR
more space between molecules [✔]
collision rate/frequency decreases
OR
fewer collisions per unit time [✔]
Note: Do not accept just “larger space/volume” for M1.
half «of the initial rate» [✔]
Note: Accept “lower/slower «than initial rate»”.
1 slower than 2
OR
1 rate determinant step/RDS [✔]
1 is unimolecular/involves just one molecule so it must be first order
OR
if 1 faster/2 RDS, second order in N2O
OR
if 1 faster/2 RDS, first order in O [✔]
smaller initial gradient [✔]
initial pressure is lower AND final pressure of gas lower «by similar factor» [✔]
no AND it is a systematic error/not a random error
OR
no AND «a similar magnitude» error would occur every time [✔]
catalysed and uncatalysed Ea marked on graph AND with the catalysed being at lower energy [✔]
«for catalysed reaction» greater proportion of/more molecules have E ≥ Ea / E > Ea
OR
«for catalysed reaction» greater area under curve to the right of the Ea [✔]
Note: Accept “more molecules have the activation energy”.
ΔSθ = 2(Sθ(N2)) + Sθ(O2) – 2(Sθ(N2O))
OR
ΔSθ = 2 × 193 «J mol-1 K-1» + 205 «J mol-1 K-1» – 2 × 220 «J mol-1 K-1» [✔]
«ΔSθ = +»151 «J K-1» [✔]
Note: Award [2] for correct final answer.
exothermic decomposition
OR
ΔH(decomposition) < 0 [✔]
TΔSθ > ΔHθ
OR
ΔGθ «= ΔHθ – TΔSθ» < 0 «at all temperatures» [✔]
reaction spontaneous at all temperatures [✔]
Examiners report
Students were able in general to relate more moles of gas to increase in pressure.
Few students were able to relate the effect of reduced pressure at constant volume with a decrease in concentration of gas molecules and mostly did not even refer to this, but rather concentrated on lower rate of reaction and frequency of collisions. Many candidates lost a mark by failing to explain rate as collisions per unit time, frequency, etc.
Though the differential equation was considered to be misleading by teachers, most candidates attempted to answer this question, and more than half did so correctly, considering they had the graph to visualize the gradient.
Most students were able to identity step 1 as the RDS/slow but few mentioned unimolecularity or referred vaguely to NO2 as the only reagent (which was obvious) and got only 1 mark.
Many students drew a lower initial gradient, but most did not reflect the effect of lower temperature on pressure at constant volume and started and finished the curve at the same pressure as the original one.
Almost all candidates identified the inaccurate pressure gauge as a systematic error, thus relating accuracy to this type of error.
The graph was generally well done, but in quite a few cases, candidates did not mention that increase of rate in the catalyzed reaction was due to E (particles) > Ea or did so too vaguely.
Candidates were able to calculate the ΔS of the reaction, though in some cases they failed to multiply by the number of moles.
Though the question asked for decomposition (in bold), most candidates ignored this and worked on the basis of a the ΔH of formation. However, many did write a sound explanation for that situation. On the other hand, in quite a number of cases, they did not state the sign of the ΔH (probably taking it for granted) nor explicitly relate ΔG and spontaneity, which left the examiner with no possibility of evaluating their reasoning.
This question is about the decomposition of hydrogen peroxide.
Hydrogen peroxide decomposes to water and oxygen when a catalyst such as potassium iodide, KI, is added.
2H2O2 (aq) O2 (g) + 2H2O (l)
Suggest why many chemicals, including hydrogen peroxide, are kept in brown bottles instead of clear colourless bottles.
In a laboratory experiment solutions of potassium iodide and hydrogen peroxide were mixed and the volume of oxygen generated was recorded. The volume was adjusted to 0 at t = 0.
The data for the first trial is given below.
Plot a graph on the axes below and from it determine the average rate of
formation of oxygen gas in cm3 O2 (g) s−1.
Average rate of reaction:
Two more trials (2 and 3) were carried out. The results are given below.
Determine the rate equation for the reaction and its overall order, using your answer from (b)(i).
Rate equation:
Overall order:
Additional experiments were carried out at an elevated temperature. On the axes below, sketch Maxwell–Boltzmann energy distribution curves at two temperatures T1 and T2, where T2 > T1.
Apart from a greater frequency of collisions, explain, by annotating your graphs in (b)(iii), why an increased temperature causes the rate of reaction to increase.
MnO2 is another possible catalyst for the reaction. State the IUPAC name for MnO2.
Comment on why peracetic acid, CH3COOOH, is always sold in solution with ethanoic acid and hydrogen peroxide.
H2O2 (aq) + CH3COOH (aq) ⇌ CH3COOOH (aq) + H2O (l)
Sodium percarbonate, 2Na2CO3•3H2O2, is an adduct of sodium carbonate and hydrogen peroxide and is used as a cleaning agent.
Mr (2Na2CO3•3H2O2) = 314.04
Calculate the percentage by mass of hydrogen peroxide in sodium percarbonate, giving your answer to two decimal places.
Markscheme
decomposes in light [✔]
Note: Accept “sensitive to light”.
points correctly plotted [✔]
best fit line AND extended through (to) the origin [✔]
Average rate of reaction:
«slope (gradient) of line =» 0.022 «cm3 O2 (g) s−1» [✔]
Note: Accept range 0.020–0.024cm3 O2 (g) s−1.
Rate equation:
Rate = k[H2O2] × [KI] [✔]
Overall order:
2 [✔]
Note: Rate constant must be included.
peak of T2 to right of AND lower than T1 [✔]
lines begin at origin AND T2 must finish above T1 [✔]
Ea marked on graph [✔]
explanation in terms of more “particles” with E ≥ Ea
OR
greater area under curve to the right of Ea in T2 [✔]
manganese(IV) oxide
OR
manganese dioxide [✔]
Note: Accept “manganese(IV) dioxide”.
moves «position of» equilibrium to right/products [✔]
Note: Accept “reactants are always present as the reaction is in equilibrium”.
M( H2O2) «= 2 × 1.01 + 2 × 16.00» = 34.02 «g» [✔]
«% H2O2 = 3 × × 100 =» 32.50 «%» [✔]
Note: Award [2] for correct final answer.
Examiners report
There were a couple of comments claiming that this NOS question on “why to store hydrogen peroxide in brown bottles” is not the syllabus. Most candidates were quite capable of reasoning this out.
Most candidates could plot a best fit line and find the slope to calculate an average rate of reaction.
Good performance but with answers that either typically included only [H2O2] with first or second order equation or even suggesting zero order rate equation.
Fair performance; errors including not starting the two curves at the origin, drawing peak for T2 above T1, T2 finishing below T1 or curves crossing the x-axis.
The majority of candidates earned at least one mark, many both marks. Errors included not annotating the graph with Ea and referring to increase of kinetic energy as reason for higher rate at T2.
A well answered question. Very few candidates had problem with nomenclature.
One teacher suggested that “stored” would have been better than “sold” for this question. There were a lot of irrelevant answers with many believing the back reaction was an acid dissociation.
It is recommended that candidates use the relative atomic masses given in the periodic table.
Propene is an important starting material for many products. The following shows some compounds which can be made from propene, C3H6.
Propene (C3H6) → C3H7Cl → C3H8O → C3H6O
Consider the conversion of propene to C3H7Cl.
An experiment was carried out to determine the order of reaction between one of the isomers of C3H7Cl and aqueous sodium hydroxide. The following results were obtained.
State the type of reaction.
State the IUPAC name of the major product.
Outline why it is the major product.
Write an equation for the reaction of the major product with aqueous sodium hydroxide to produce a C3H8O compound, showing structural formulas.
Determine the rate expression from the results, explaining your method.
Deduce the type of mechanism for the reaction of this isomer of C3H7Cl with aqueous sodium hydroxide.
Sketch the mechanism using curly arrows to represent the movement of electrons.
Write an equation for the complete combustion of the compound C3H8O formed in (a)(iv).
Determine the enthalpy of combustion of this compound, in kJ mol−1, using data from section 11 of the data booklet.
State the reagents for the conversion of the compound C3H8O formed in (a)(iv) into C3H6O.
Explain why the compound C3H8O, produced in (a)(iv), has a higher boiling point than compound C3H6O, produced in d(i).
Explain why the 1H NMR spectrum of C3H6O, produced in (d)(i), shows only one signal.
Propene is often polymerized. Draw a section of the resulting polymer, showing two repeating units.
Markscheme
«electrophilic» addition ✔
NOTE: Do not accept “nucleophilic addition” or “free radical addition”.
Do not accept “halogenation”.
2-chloropropane ✔
secondary carbocation/carbonium «ion» is more stable
OR
carbocation/carbonium «ion» stabilized by two/more alkyl groups ✔
CH3CHClCH3 (l) + OH− (aq) → CH3CH(OH)CH3 (aq) + Cl− (aq)
OR
CH3CHClCH3 (l) + NaOH (aq) → CH3CH(OH)CH3 (aq) + NaCl (aq) ✔
Rate = k [C3H7Cl] [OH−] ✔
«[OH−] held constant and» [C3H7Cl] triples AND rate triples «so first order wrt C3H7Cl» ✔
[C3H7Cl] doubles AND [OH−] doubles AND rate quadruples «so first order wrt OH−» ✔
SN2 ✔
NOTE: Accept ‘bimolecular nucleophilic substitution.’
curly arrow going from lone pair on O/negative charge on OH– to C ✔
curly arrow showing C–Cl bond breaking ✔
representation of transition state showing negative charge, square brackets and partial bonds ✔
formation of CH3CH(OH)CH3 AND Cl– ✔
NOTE: Do not allow arrow originating on H in OH–.
Allow curly arrow going from bond between C and Cl to Cl in either reactant or transition state.
Do not award M3 if OH–C bond is represented.
Accept formation of NaCl instead of Cl–.
2C3H8O (l) + 9O2 (g) → 6CO2 (g) + 8H2O (g)
OR
C3H8O (l) + 4.5O2 (g) → 3CO2 (g) + 4H2O (g) ✔
bonds broken:
7(C–H) + C–O + O–H + 2(C–C) + 4.5(O=O)
OR
7(414 «kJ mol−1») + 358 «kJ mol−1» + 463 «kJ mol−1» + 2(346 «kJ mol−1») + 4.5(498 «kJ mol−1») / 6652 «kJ» ✔
bonds formed:
6(C=O) + 8(O–H)
OR
6(804 «kJ mol−1») + 8(463 «kJ mol−1») / 8528 «kJ» ✔
«ΔH = bonds broken − bonds formed = 6652 – 8528 =» −1876 «kJ mol−1» ✔
NOTE: Award [3] for correct final answer.
K2Cr2O7/Cr2O72–/«potassium» dichromate «(VI)» AND acidified/H+
OR
«acidified potassium» manganate(VII) / «H+ and» KMnO4 / «H+ and» MnO4– ✔
NOTE: Accept “H2SO4” or “H3PO4” for “H+”.
Do not accept HCl.
Accept “permanganate” for “manganate(VII)”.
C3H8O/propan-2-ol: hydrogen-bonding AND C3H6O/propanone: no hydrogen bonding/«only» dipole–dipole/dispersion forces ✔
hydrogen bonding stronger «than dipole–dipole» ✔
only one hydrogen environment
OR
methyl groups symmetrical «around carbonyl group» ✔
NOTE: Accept “all hydrogens belong to methyl groups «which are in identical positions»”.
✔
NOTE: Continuation bonds must be shown.
Methyl groups may be drawn on opposite sides of the chain or head to tail.
Ignore square brackets and “n”.
Examiners report
Biochemical oxygen demand (BOD) can be determined by the Winkler Method.
A 25.00 cm3 sample of water was treated according to the Winkler Method.
Step I: 2Mn2+ (aq) + O2 (g) + 4OH− (aq) → 2MnO2 (s) + 2H2O (l)
Step II: MnO2 (s) + 2I− (aq) + 4H+ (aq) → Mn2+ (aq) + I2 (aq) + 2H2O (l)
Step III: 2S2O32− (aq) + I2 (aq) → 2I− (aq) + S4O62− (aq)
The iodine produced was titrated with 37.50 cm3 of 5.000 × 10−4 mol dm−3 Na2S2O3.
Outline what is measured by BOD.
A student dissolved 0.1240 ± 0.0001 g of Na2S2O3 to make 1000.0 ± 0.4 cm3 of solution to use in the Winkler Method.
Determine the percentage uncertainty in the molar concentration.
Calculate the amount, in moles of Na2S2O3 used in the titration.
Deduce the mole ratio of O2 consumed in step I to S2O32− used in step III.
Calculate the concentration of dissolved oxygen, in mol dm−3, in the sample.
The three steps of the Winkler Method are redox reactions.
Deduce the reduction half-equation for step II.
Suggest a reason that the Winkler Method used to measure biochemical oxygen demand (BOD) must be done at constant temperature.
Markscheme
«amount of» oxygen used to decompose the organic matter in water ✔
«» 0.08 «%»
OR
«» 0.04 «%» ✔
«0.08 % + 0.04 % =» 0.12/0.1 «%» ✔
Award [2] for correct final answer.
Accept fractional uncertainties for M1, i.e., 0.0008 OR 0.0004.
«× 5.000 × 10−4 mol dm−3 =» 1.875 × 10−5 «mol» ✔
1:4 ✔
Accept “4 mol S2O32– :1 mol O2“, but not just 4:1.
«» 4.688 × 10−6 «mol» ✔
«» 1.875 × 10−4 «mol dm−3» ✔
Award [2] for correct final answer.
MnO2 (s) + 2e− + 4H+ (aq) → Mn2+ (aq) + 2H2O (l) ✔
rate of reaction of oxygen with impurities depends on temperature
OR
rate at which bacteria/organisms grow/respire depends on temperature ✔
Examiners report
An organic compound containing carbon, hydrogen and oxygen has 62.02 % carbon and 10.43 % hydrogen by mass.
Determine the empirical formula of the compound, showing your working.
The infrared spectrum of the compound is shown. Deduce the functional group of the compound.
The mass spectrum of the compound is shown. Deduce the relative molecular mass of the compound.
The compound could not be oxidized using acidifi ed potassium dichromate(VI).
Deduce the structural formula of the compound.
Markscheme
«in 100 g sample» AND
OR
«in 100 g sample» 5.164 mol C AND 10.33 mol H ✔
27.55 %
OR
1.722 mol O ✔
«empirical formula» C3H6O ✔
«absorption at wavenumber 1700−1750 cm–1» C=O/carbonyl ✔
Do not accept “ketone” or “aldehyde”.
«m/z =» 58 ✔
Examiners report
Carbon forms many compounds.
C60 and diamond are allotropes of carbon.
Chlorine reacts with methane.
CH4 (g) + Cl2 (g) → CH3Cl (g) + HCl (g)
Outline two differences between the bonding of carbon atoms in C60 and diamond.
Explain why C60 and diamond sublime at different temperatures and pressures.
State two features showing that propane and butane are members of the same homologous series.
Describe a test and the expected result to indicate the presence of carbon–carbon double bonds.
Draw the full structural formula of (Z)-but-2-ene.
Write the equation for the reaction between but-2-ene and hydrogen bromide.
State the type of reaction.
Suggest two differences in the 1H NMR of but-2-ene and the organic product from (d)(ii).
Predict, giving a reason, the major product of reaction between but-1-ene and steam.
Explain the mechanism of the reaction between 1-bromopropane, CH3CH2CH2Br, and aqueous sodium hydroxide, NaOH (aq), using curly arrows to represent the movement of electron pairs.
Deduce the splitting pattern in the 1H NMR spectrum for 1-bromopropane.
Calculate the enthalpy change of the reaction, ΔH, using section 11 of the data booklet.
Draw and label an enthalpy level diagram for this reaction.
Markscheme
Any two of:
C60 fullerene: bonded to 3 C AND diamond: bonded to 4 C ✔
C60 fullerene: delocalized/resonance AND diamond: not delocalized / no resonance ✔
C60 fullerene: sp2 AND diamond: sp3 ✔
C60 fullerene: bond angles between 109–120° AND diamond: 109° ✔
Accept "bonds in fullerene are shorter/stronger/have higher bond order OR bonds in diamond longer/weaker/have lower bond order".
diamond giant/network covalent AND sublimes at higher temperature ✔
C60 molecular/London/dispersion/intermolecular «forces» ✔
Accept “diamond has strong covalent bonds AND require more energy to break «than intermolecular forces»” for M1.
same general formula / CnH2n+2 ✔
differ by CH2/common structural unit ✔
Accept "similar chemical properties".
Accept “gradation/gradual change in physical properties”.
ALTERNATIVE 1:
Test:
add bromine «water»/Br2 (aq) ✔
Result:
«orange/brown/yellow» to colourless/decolourised ✔
Do not accept “clear” for M2.
ALTERNATIVE 2:
Test:
add «acidified» KMnO4 ✔
Result:
«purple» to colourless/decolourised/brown ✔
Accept “colour change” for M2.
ALTERNATIVE 3:
Test:
add iodine / ✔
Result:
«brown» to colourless/decolourised ✔
Accept
CH3CH=CHCH3 + HBr (g) → CH3CH2CHBrCH3
Correct reactants ✔
Correct products ✔
Accept molecular formulas for both reactants and product
«electrophilic» addition/EA ✔
Do not accept nucleophilic or free radical addition.
ALTERNATIVE 1: Any two of:
but-2-ene: 2 signals AND product: 4 signals ✔
but-2-ene: «area ratio» 3:1/6:2 AND product: «area ratio» 3:3:2:1 ✔
product: «has signal at» 3.5-4.4 ppm «and but-2-ene: does not» ✔
but-2-ene: «has signal at» 4.5-6.0 ppm «and product: does not» ✔
ALTERNATIVE 2:
but-2-ene: doublet AND quartet/multiplet/4 ✔
product: doublet AND triplet AND quintet/5/multiplet AND sextet/6/multiplet ✔
Accept “product «has signal at» 1.3–1.4 ppm «and but-2-ene: does not»”.
CH3CH2CH(OH)CH3 ✔
«secondary» carbocation/CH3CH2CH+CH3 more stable ✔
Do not accept “Markovnikov’s rule” without reference to carbocation stability.
curly arrow going from lone pair/negative charge on O in HO– to C ✔
curly arrow showing Br breaking ✔
representation of transition state showing negative charge, square brackets and partial bonds ✔
formation of organic product CH3CH2CH2OH AND Br– ✔
Do not allow curly arrow originating on H in HO–.
Accept curly arrow either going from bond between C and Br to Br in 1-bromopropane or in the transition
state.
Do not penalize if HO and Br are not at 180° to each other.
Award [3 max] for SN1 mechanism.
triplet/3 AND multiplet/6 AND triplet/3 ✔
bond breaking: C–H + Cl–Cl / 414 «kJ mol–1» + 242 «kJ mol–1»/656 «kJ»
OR
bond breaking: 4C–H + Cl–Cl / 4 × 414 «kJ mol–1» + 242 «kJ mol–1» / 1898 «kJ» ✔
bond forming: «C–Cl + H–Cl / 324 kJ mol–1 + 431 kJ mol–1» / 755 «kJ»
OR
bond forming: «3C–H + C–Cl + H–Cl / 3 × 414 «kJ mol–1» + 324 «kJ mol–1» + 431 kJ mol–1» / 1997 «kJ» ✔
«ΔH = bond breaking – bond forming = 656 kJ – 755 kJ» = –99 «kJ» ✔
Award [3] for correct final answer.
Award [2 max] for 99 «kJ».
reactants at higher enthalpy than products ✔
ΔH/-99 «kJ» labelled on arrow from reactants to products
OR
activation energy/Ea labelled on arrow from reactant to top of energy profile ✔
Accept a double headed arrow between reactants and products labelled as ΔH for M2.
Examiners report
A challenging question, requiring accurate knowledge of the bonding in these allotropes (some referred to graphite, clearly the most familiar allotrope). The most frequent (correct) answer was the difference in number of bonded C atoms and hybridisation in second place. However, only 30% got a mark.
Again, this was a struggle between intermolecular forces and covalent bonds and this proved to be even harder than (a)(i) with only 25% of candidates getting full marks. The distinction between giant covalent/covalent network in diamond and molecular in C60 and hence resultant sublimation points, was rarely explained. There were many general and vague answers given, as well as commonly (incorrectly) stating that intermolecular forces are present in diamond. As another example of insufficient attention to the question itself, many candidates failed to say which would sublime at a higher temperature and so missed even one mark.
This easy question was quite well answered; same/similar physical properties and empirical formula were common errors.
Candidates misinterpreted the question and mentioned CH3+, i.e., the lost fragment; the other very common error was -COOH which shows a complete lack of understanding of MS considering the question is about butane so O should never appear.
Well answered by most, but some basic chemistry was missing when reporting results, perhaps as a result of little practical work due to COVID. A significant number suggested IR spectrometry, very likely because the question followed one on H NMR spectroscopy, thus revealing a failure to read the question properly (which asks for a test). Some teachers felt that adding "chemical" would have avoided some confusion.
Most were able to draw this isomer correctly, though a noticeable number of students included the Z as an atom in the structural formula, showing they were completely unfamiliar with E/Z notation.
Well done in general and most candidates wrote correct reagents, eventually losing a mark when considering H2 to be a product alongside 2-bromobutane.
Very well answered, some mentioned halogenation which is a different reaction.
A considerable number of students (40%) got at least 1 mark here, but marks were low (average mark 0.9/2). Common errors were predicting 3 peaks, rather than 4 for 2 -bromobutane and vague / unspecific answers, such as ‘different shifts’ or ‘different intensities’. It is surprising that more did not use H NMR data from the booklet; they were not directed to the section as is generally done in this type of question to allow for more general answers regarding all information that can be obtained from an H NMR spectrum.
Product was correctly predicted by many, but most used Markovnikov's Rule to justify this, failing to mention the stability of the secondary carbocation, i.e., the chemistry behind the rule.
As usual, good to excellent candidates (47.5%) were able to get 3/4 marks for this mechanism, while most lost marks for carelessness in drawing arrows and bond connectivity, issues with the lone pair or negative charge on the nucleophile, no negative charge on transition state, or incorrect haloalkane. The average mark was thus 1.9/4.
Another of the very poorly answered questions where most candidates (90%) failed to predict 3 peaks and when they did, considered there would be a quartet instead of multiplet/sextet; other candidates seemed to have no idea at all. This is strange because the compound is relatively simple and while some teachers considered that predicting a sextet may be beyond the current curriculum or just too difficult, they could refer to a multiplet; a quartet is clearly incorrect.
Only the very weak candidates were unable to calculate the enthalpy change correctly, eventually missing 1 mark for inverted calculations.
Most candidates drew correct energy profiles, consistent with the sign of the energy change calculated in the previous question. And again, only very weak candidate failed to get at least 1 mark for correct profiles.
Carbonated water is produced when carbon dioxide is dissolved in water under pressure. The following equilibria are established.
Equilibrium (1) CO2 (g) CO2 (aq)
Equilibrium (2) CO2 (aq) + H2O (l) H+ (aq) + HCO3− (aq)
Carbon dioxide acts as a weak acid.
Soda water has sodium hydrogencarbonate, NaHCO3, dissolved in the carbonated water.
Distinguish between a weak and strong acid.
Weak acid:
Strong acid:
The hydrogencarbonate ion, produced in Equilibrium (2), can also act as an acid.
State the formula of its conjugate base.
When a bottle of carbonated water is opened, these equilibria are disturbed.
State, giving a reason, how a decrease in pressure affects the position of Equilibrium (1).
At 298 K the concentration of aqueous carbon dioxide in carbonated water is 0.200 mol dm−3 and the pKa for Equilibrium (2) is 6.36.
Calculate the pH of carbonated water.
Identify the type of bonding in sodium hydrogencarbonate.
Between sodium and hydrogencarbonate:
Between hydrogen and oxygen in hydrogencarbonate:
Predict, referring to Equilibrium (2), how the added sodium hydrogencarbonate affects the pH.(Assume pressure and temperature remain constant.)
100.0cm3 of soda water contains 3.0 × 10−2g NaHCO3.
Calculate the concentration of NaHCO3 in mol dm−3.
The uncertainty of the 100.0cm3 volumetric flask used to make the solution was ±0.6cm3.
Calculate the maximum percentage uncertainty in the mass of NaHCO3 so that the concentration of the solution is correct to ±1.0 %.
The reaction of the hydroxide ion with carbon dioxide and with the hydrogencarbonate ion can be represented by Equations 3 and 4.
Equation (3) OH− (aq) + CO2 (g) → HCO3− (aq)
Equation (4) OH− (aq) + HCO3− (aq) → H2O (l) + CO32− (aq)
Discuss how these equations show the difference between a Lewis base and a Brønsted–Lowry base.
Equation (3):
Equation (4):
Aqueous sodium hydrogencarbonate has a pH of approximately 7 at 298 K.
Sketch a graph of pH against volume when 25.0cm3 of 0.100 mol dm−3 NaOH (aq) is gradually added to 10.0cm3 of 0.0500 mol dm−3 NaHCO3 (aq).
Markscheme
Weak acid: partially dissociated/ionized «in aqueous solution/water»
AND
Strong acid: «assumed to be almost» completely/100 % dissociated/ionized «in aqueous solution/water» [✔]
CO32- [✔]
shifts to left/reactants AND to increase amount/number of moles/molecules of gas/CO2 (g) [✔]
Note: Accept “shifts to left/reactants AND to increase pressure”.
«Ka =» 10–6.36/4.37 × 10–7 =
OR
«Ka =» 10–6.36/4.37 × 10–7 = [✔]
[H+] « » = 2.95 × 10–4 «mol dm–3» [✔]
«pH =» 3.53 [✔]
Note: Award [3] for correct final answer.
Between sodium and hydrogencarbonate:
ionic [✔]
Between hydrogen and oxygen in hydrogencarbonate:
«polar» covalent [✔]
«additional HCO3-» shifts position of equilibrium to left [✔]
pH increases [✔]
Note: Do not award M2 without any justification in terms of equilibrium shift in M1.
«molar mass of NaHCO3 =» 84.01 «g mol-1» [✔]
«concentration = =» 3.6 × 10–3 «mol dm-3» [✔]
Note: Award [2] for correct final answer.
«1.0 – 0.6 = ± » 0.4 «%» [✔]
Equation (3):
OH- donates an electron pair AND acts as a Lewis base [✔]
Equation (4):
OH- accepts a proton/H+/hydrogen ion AND acts as a Brønsted–Lowry base [✔]
S-shaped curve from ~7 to between 12 and 14 [✔]
equivalence point at 5 cm3 [✔]
Note: Accept starting point >6~7.
Examiners report
As expected, many candidates were able to distinguish between strong and weak acids; some candidates referred to “dissolve” rather than dissociate.
More than half the candidates were able to deduce that carbonate was the conjugate base but a significant proportion of those that did, wrote the carbonate ion with an incorrect charge.
Many students gave generic responses referring to a correct shift without conveying the idea of compensation or restoration of pressure or moles of gas. This generic reply reflects the difficulty in applying a theoretical concept to the practical situation described in the question.
Most candidates calculated the pH of the aqueous CO2. Some candidates attempted to use the Henderson-Hasselback equation and others used the quadratic expression to calculate [H+] (these two options were very common in the Spanish scripts) getting incorrect solutions. These answers usually ended in pH of approx. 1 which candidates should realize cannot be correct for soda water.
This was an easy question, especially the identification of the type of bond between H and O, yet some candidates interpreted that the question referred to intermolecular bonding.
A significant number of candidates omitted the “equilibrium” involved in the dissolution of a weak base.
This is another stoichiometry question that most candidates were able to solve well, with occasional errors when calculating Mr of hydrogen carbonate.
Mixed responses, more attention should be given to this simple calculation which is straightforward and should be easy as required for IA reports.
This was a good way to test this topic because answers showed that, while candidates usually knew the topic in theory, they could not apply this to identify the Lewis and Bronsted-Lowry bases in the context of a reaction that was given to them. In some cases, they failed to specify the base, OH- or also lost marks referring just to electrons, an electron or H instead of hydrogen ions or H+ for example.
Most students that got 1mark for this titration curve was for the general shape, because few realized they had the data to calculate the equivalence point. There were also some difficulties in establishing the starting point even if it was specified in the stem.
Xylene is a derivative of benzene. One isomer is 1,4-dimethylbenzene.
Xylene, like benzene, can be nitrated.
Bromine reacts with alkanes.
State the number of 1H NMR signals for this isomer of xylene and the ratio in which they appear.
Draw the structure of one other isomer of xylene which retains the benzene ring.
Write the equation for the production of the active nitrating agent from concentrated sulfuric and nitric acids.
Explain the mechanism for the nitration of benzene, using curly arrows to indicate the movement of electron pairs.
Identify the initiation step of the reaction and its conditions.
1,4-dimethylbenzene reacts as a substituted alkane. Draw the structures of the two products of the overall reaction when one molecule of bromine reacts with one molecule of 1,4-dimethylbenzene.
The organic product is not optically active. Discuss whether or not the organic product is a racemic mixture.
Markscheme
Number of signals: 2 [✔]
Ratio:
3 : 2
OR
6 : 4 [✔]
Note: Accept any correct integer or fractional ratio. Accept ratios in reverse order.
[✔]
2H2SO4 + HNO3 ⇌ NO2+ + 2HSO4− + H3O+ [✔]
Note: Accept a single arrow instead of an equilibrium sign.
Accept “H2SO4 + HNO3 ⇌ NO2+ + HSO4− + H2O”.
Accept “H2SO4 + HNO3 ⇌ H2NO3+ + HSO4−”.
Accept equivalent two step reactions in which sulfuric acid first behaves as a strong acid and protonates the nitric acid, before behaving as a dehydrating agent removing water from it.
curly arrow going from benzene ring to N «of +NO2/NO2+» [✔]
carbocation with correct formula and positive charge on ring [✔]
curly arrow going from C–H bond to benzene ring of cation [✔]
formation of organic product nitrobenzene AND H+ [✔]
Note: Accept mechanism with corresponding Kekulé structures.
Do not accept a circle in M2 or M3.
Accept first arrow starting either inside the circle or on the circle.
If Kekulé structure used, first arrow must start on the double bond.
M2 may be awarded from correct diagram for M3.
M4: Accept “C6H5NO2 + H2SO4” if HSO4− used in M3.
Br2 2Br• [✔]
«sun»light/UV/hv
OR
high temperature [✔]
Note: Do not penalize missing radical symbol on Br.
Accept “homolytic fission of bromine” for M1.
[✔]
HBr [✔]
Note: Accept condensed formulae, such as CH3C6H4CH2Br.
no AND there is no chiral carbon
OR
no AND there is no carbon with four different substituents/groups [✔]
Note: Accept “no AND no asymmetric carbon
atom”.
Examiners report
Many identified two correct peaks but quite a few less the correct ratio.
Generally well done, although some candidates repeated the formula of the 1,4-isomer structure or drew the wrong bond, e.g. benzene ring to H rather than C on CH3.
The production of NO3− was a common answer.
Performance was fairly good by schools covering the topic while others had no idea. There were many careless steps, such as omission or misplacement of + sign.
Very well done, with a few making reference to a catalyst.
Some candidates lost one mark for the bond originated from H in CH3 instead of C. Some teachers thought the use of the word “substituted alkane” made the question more difficult than it should have been.
One of the most poorly answered questions on the exam with only 10 % of candidates earning this mark. Some candidates just answered ‘yes’ or ‘no’ on whether the organic product is a racemic mix and very few mentioned the absence of a chiral carbon. One teacher though the use of benzene in this question made it unnecessarily tough, stating “the optical activity of benzene has not been covered due to the limited chemistry of benzene included in the specification. An aliphatic compound here would test the understanding of enantiomers without the confusion of adding benzene”. Candidates should recognize that carbon in benzene cannot be the centre of optical activity and look for chiral carbons in the substitution chains.