HL Paper 2
The photochemical chlorination of methane can occur at low temperature.
The overall equation for monochlorination of methane is:
CH4(g) + Cl2(g) → CH3Cl(g) + HCl(g)
Calculate the standard enthalpy change for the reaction, ΔH θ, using section 12 of the data booklet.
Markscheme
«ΔH θ =» –82.0 «kJ» –92.3 «kJ» – (–74.0 «kJ»)
«ΔH θ =» –100.3 «kJ»
Award [2] for correct final answer.
[2 marks]
Examiners report
Propene is an important starting material for many products. The following shows some compounds which can be made from propene, C3H6.
Propene (C3H6) → C3H7Cl → C3H8O → C3H6O
Consider the conversion of propene to C3H7Cl.
An experiment was carried out to determine the order of reaction between one of the isomers of C3H7Cl and aqueous sodium hydroxide. The following results were obtained.
State the type of reaction.
State the IUPAC name of the major product.
Outline why it is the major product.
Write an equation for the reaction of the major product with aqueous sodium hydroxide to produce a C3H8O compound, showing structural formulas.
Determine the rate expression from the results, explaining your method.
Deduce the type of mechanism for the reaction of this isomer of C3H7Cl with aqueous sodium hydroxide.
Sketch the mechanism using curly arrows to represent the movement of electrons.
Write an equation for the complete combustion of the compound C3H8O formed in (a)(iv).
Determine the enthalpy of combustion of this compound, in kJ mol−1, using data from section 11 of the data booklet.
State the reagents for the conversion of the compound C3H8O formed in (a)(iv) into C3H6O.
Explain why the compound C3H8O, produced in (a)(iv), has a higher boiling point than compound C3H6O, produced in d(i).
Explain why the 1H NMR spectrum of C3H6O, produced in (d)(i), shows only one signal.
Propene is often polymerized. Draw a section of the resulting polymer, showing two repeating units.
Markscheme
«electrophilic» addition ✔
NOTE: Do not accept “nucleophilic addition” or “free radical addition”.
Do not accept “halogenation”.
2-chloropropane ✔
secondary carbocation/carbonium «ion» is more stable
OR
carbocation/carbonium «ion» stabilized by two/more alkyl groups ✔
CH3CHClCH3 (l) + OH− (aq) → CH3CH(OH)CH3 (aq) + Cl− (aq)
OR
CH3CHClCH3 (l) + NaOH (aq) → CH3CH(OH)CH3 (aq) + NaCl (aq) ✔
Rate = k [C3H7Cl] [OH−] ✔
«[OH−] held constant and» [C3H7Cl] triples AND rate triples «so first order wrt C3H7Cl» ✔
[C3H7Cl] doubles AND [OH−] doubles AND rate quadruples «so first order wrt OH−» ✔
SN2 ✔
NOTE: Accept ‘bimolecular nucleophilic substitution.’
curly arrow going from lone pair on O/negative charge on OH– to C ✔
curly arrow showing C–Cl bond breaking ✔
representation of transition state showing negative charge, square brackets and partial bonds ✔
formation of CH3CH(OH)CH3 AND Cl– ✔
NOTE: Do not allow arrow originating on H in OH–.
Allow curly arrow going from bond between C and Cl to Cl in either reactant or transition state.
Do not award M3 if OH–C bond is represented.
Accept formation of NaCl instead of Cl–.
2C3H8O (l) + 9O2 (g) → 6CO2 (g) + 8H2O (g)
OR
C3H8O (l) + 4.5O2 (g) → 3CO2 (g) + 4H2O (g) ✔
bonds broken:
7(C–H) + C–O + O–H + 2(C–C) + 4.5(O=O)
OR
7(414 «kJ mol−1») + 358 «kJ mol−1» + 463 «kJ mol−1» + 2(346 «kJ mol−1») + 4.5(498 «kJ mol−1») / 6652 «kJ» ✔
bonds formed:
6(C=O) + 8(O–H)
OR
6(804 «kJ mol−1») + 8(463 «kJ mol−1») / 8528 «kJ» ✔
«ΔH = bonds broken − bonds formed = 6652 – 8528 =» −1876 «kJ mol−1» ✔
NOTE: Award [3] for correct final answer.
K2Cr2O7/Cr2O72–/«potassium» dichromate «(VI)» AND acidified/H+
OR
«acidified potassium» manganate(VII) / «H+ and» KMnO4 / «H+ and» MnO4– ✔
NOTE: Accept “H2SO4” or “H3PO4” for “H+”.
Do not accept HCl.
Accept “permanganate” for “manganate(VII)”.
C3H8O/propan-2-ol: hydrogen-bonding AND C3H6O/propanone: no hydrogen bonding/«only» dipole–dipole/dispersion forces ✔
hydrogen bonding stronger «than dipole–dipole» ✔
only one hydrogen environment
OR
methyl groups symmetrical «around carbonyl group» ✔
NOTE: Accept “all hydrogens belong to methyl groups «which are in identical positions»”.
✔
NOTE: Continuation bonds must be shown.
Methyl groups may be drawn on opposite sides of the chain or head to tail.
Ignore square brackets and “n”.
Examiners report
Organomagnesium compounds can react with carbonyl compounds. One overall equation is:
Compound B can also be prepared by reacting an alkene with water.
Iodomethane is used to prepare CH3Mg. It can also be converted into methanol:
CH3 + HO– → CH3OH + –
State the name of Compound B, applying International Union of Pure and Applied Chemistry (IUPAC) rules.
Compound A and Compound B are both liquids at room temperature and pressure. Identify the strongest intermolecular force between molecules of Compound A.
State the number of (sigma) and (pi) bonds in Compound A.
Deduce the hybridization of the central carbon atom in Compound A.
Identify the isomer of Compound B that exists as optical isomers (enantiomers).
Draw the structural formula of the alkene required.
Explain why the reaction produces more (CH3)3COH than (CH3)2CHCH2OH.
Deduce the structural formula of the repeating unit of the polymer formed from this alkene.
Deduce what would be observed when Compound B is warmed with acidified aqueous potassium dichromate (VI).
Identify the type of reaction.
Outline the requirements for a collision between reactants to yield products.
Explain the mechanism of the reaction using curly arrows to represent the movement of electron pairs.
The polarity of the carbon–halogen bond, C–X, facilitates attack by HO–.
Outline, giving a reason, how the bond polarity changes going down group 17.
Markscheme
2-methylpropan-2-ol /2-methyl-2-propanol ✔
Accept methylpropan-2-ol/ methyl-2-propanol.
Do not accept 2-methylpropanol.
dipole-dipole ✔
Do not accept van der Waals’ forces.
: 9
AND
: 1 ✔
sp2 ✔
butan-2-ol/CH3CH(OH)C2H5 ✔
carbocation formed from (CH3)3COH is more stable / (CH3)3C+ is more stable than (CH3)2CHCH2+ ✔
«because carbocation has» greater number of alkyl groups/lower charge on the atom/higher e- density
OR
«greater number of alkyl groups» are more electron releasing
OR
«greater number of alkyl groups creates» greater inductive/+I effect ✔
Do not award any marks for simply quoting Markovnikov’s rule.
Do not penalize missing brackets or n.
Do not award mark if continuation bonds are not shown.
no change «in colour/appearance/solution» ✔
«nucleophilic» substitution
OR
SN2 ✔
Accept “hydrolysis”.
Accept SN1
energy/E ≥ activation energy/Ea ✔
correct orientation «of reacting particles»
OR
correct geometry «of reacting particles» ✔
curly arrow going from lone pair/negative charge on O in -OH to C ✔
curly arrow showing I leaving ✔
representation of transition state showing negative charge, square brackets and partial bonds ✔
Accept OH- with or without the lone pair.
Do not allow curly arrows originating on H, rather than the -, in OH-.
Accept curly arrows in the transition state.
Do not penalize if HO and I are not at 180°.
Do not award M3 if OH–C bond is represented.
Award [2 max] if SN1 mechanism shown.
decreases/less polar AND electronegativity «of the halogen» decreases ✔
Accept “decreases” AND a correct comparison of the electronegativity of two halogens.
Accept “decreases” AND “attraction for valence electrons decreases”.
Examiners report
Naming the organic compound using IUPAC rules was generally done well.
Mediocre performance in stating the number of σ (sigma) and π (pi) bonds in propanone; the common answer was 3 σ and 1 π instead of 9 σ and 1 π, suggesting the three C-H σ bonds in each of the two methyl groups were ignored.
sp2 hybridization of the central carbon atom in the ketone was very done well.
Mediocre performance; some identified 2-methylpropan-1-ol or -2-ol, instead butan-2-ol/CH3CH(OH)C2H5 as the isomer that exists as an optical isomer.
Good performance; some had a H and CH3 group on each C atom across double bond instead of having two H atoms on one C and two CH3 groups on the other.
Poor performance, particularly in light of past feedback provided in similar questions since there was repeated reference simply to Markovnikov's rule, without any explanation.
Mediocre performance; deducing structural formula of repeating unit of the polymer was challenging in which continuation bonds were sometimes missing, or structure included a double bond or one of the CH3 group was missing.
Mediocre performance; deducing whether the tertiary alcohol could be oxidized solicited mixed responses ranging from the correct one, namely no change (in colour, appearance or solution), to tertiary alcohol will be reduced, or oxidized, or colour will change will occur, and such.
Excellent performance on the type of reaction but with some incorrect answers such as alkane substitution, free radical substitution or electrophilic substitution.
Good performance. For the requirements for a collision between reactants to yield products, some suggested necessary, sufficient or enough energy or even enough activation energy instead of energy/E ≥ activation energy/Ea.
Mechanism for SN2 not done well. Often the negative charge on OH was missing, the curly arrow was not going from lone pair/negative charge on O in -OH to C, or the curly arrow showing I leaving placed incorrectly and specially the negative charge was missing in the transition state. Formation of a carbocation intermediate indicating SN1 mechanism could score a maximum of 2 marks.
Good performance on how the polarity of C-X bond changes going down group 17.
Benzoic acid, C6H5COOH, is another derivative of benzene.
Identify the wavenumber of one peak in the IR spectrum of benzoic acid, using section 26 of the data booklet.
Identify the spectroscopic technique that is used to measure the bond lengths in solid benzoic acid.
Outline one piece of physical evidence for the structure of the benzene ring.
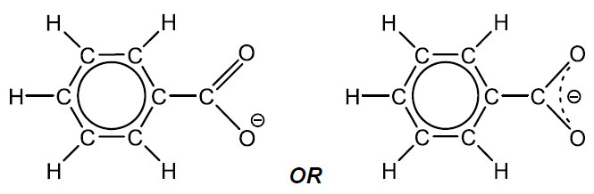
Draw the structure of the conjugate base of benzoic acid showing all the atoms and all the bonds.
Outline why both C to O bonds in the conjugate base are the same length and suggest a value for them. Use section 10 of the data booklet.
The pH of an aqueous solution of benzoic acid at 298 K is 2.95. Determine the concentration of hydroxide ions in the solution, using section 2 of the data booklet.
Formulate the equation for the complete combustion of benzoic acid in oxygen using only integer coefficients.
The combustion reaction in (f)(ii) can also be classed as redox. Identify the atom that is oxidized and the atom that is reduced.
Suggest how benzoic acid, Mr = 122.13, forms an apparent dimer, Mr = 244.26, when dissolved in a non-polar solvent such as hexane.
State the reagent used to convert benzoic acid to phenylmethanol (benzyl alcohol), C6H5CH2OH.
Markscheme
Any wavenumber in the following ranges:
2500−3000 «cm−1» [✔]
1700−1750 «cm−1» [✔]
2850−3090 «cm−1» [✔]
X-ray «crystallography/spectroscopy» [✔]
Any one of:
«regular» hexagon
OR
all «H–C–C/C-C-C» angles equal/120º [✔]
all C–C bond lengths equal/intermediate between double and single
OR
bond order 1.5 [✔]
[✔]
Note: Accept Kekulé structures.
Negative sign must be shown in correct position.
electrons delocalized «across the O–C–O system»
OR
resonance occurs [✔]
122 «pm» < C–O < 143 «pm» [✔]
Note: Accept “delocalized π-bond”.
Accept “bond intermediate between single and double bond” or “bond order 1.5” for M1.
Accept any answer in range 123 to 142 pm.
ALTERNATIVE 1:
[H+] «= 10−2.95» = 1.122 × 10−3 «mol dm−3» [✔]
«[OH−] = =» 8.91 × 10−12 «mol dm−3» [✔]
ALTERNATIVE 2:
pOH = «14 − 2.95 =» 11.05 [✔]
«[OH−] = 10−11.05 =» 8.91 × 10−12 «mol dm−3» [✔]
Note: Award [2] for correct final answer.
Accept other methods.
2C6H5COOH (s) + 15O2 (g) → 14CO2 (g) + 6H2O (l)
correct products [✔]
correct balancing [✔]
Oxidized:
C/carbon «in C6H5COOH»
AND
Reduced:
O/oxygen «in O2» [✔]
«intermolecular» hydrogen bonding [✔]
Note: Accept diagram showing hydrogen bonding.
lithium aluminium hydride/LiAlH4 [✔]
Examiners report
Most candidates could identify a wavenumber or range of wavenumbers in the IR spectrum of benzoic acid.
Less than half the candidates identified x-ray crystallography as a technique used to measure bond lengths. There were many stating IR spectroscopy and quite a few random guesses.
Again less than half the candidates could accurately give a physical piece of evidence for the structure of benzene. Many missed the mark by not being specific, stating ‘all bonds in benzene with same length’ rather than ‘all C-C bonds in benzene have the same length’.
Very poorly answered with only 1 in 5 getting this question correct. Many did not show all the bonds and all the atoms or either forgot or misplaced the negative sign on the conjugate base.
This question was a challenge. Candidates were not able to explain the intermediate bond length and the majority suggested the value of either the bond length of C to O single bond or double bond.
Generally well done with a few calculating the pOH rather than the concentration of hydroxide ion asked for.
Most earned at least one mark by correctly stating the products of the reaction.
Another question where not reading correctly was a concern. Instead of identifying the atom that is oxidized and the atom that is reduced, answers included formulas of molecules or the atoms were reversed for the redox processes.
The other question where only 10 % of the candidates earned a mark. Few identified hydrogen bonding as the reason for carboxylic acids forming dimers. There were many G2 forms stating that the use of the word “dimer” is not in the syllabus, however the candidates were given that a dimer has double the molar mass and the majority seemed to understand that the two molecules joined together somehow but could not identify hydrogen bonding as the cause.
Very few candidates answered this part correctly and scored the mark. Common answers were H2SO4, HCl & Sn, H2O2. In general, strongest candidates gained the mark.
Organic compounds often have isomers.
A straight chain molecule of formula C5H10O contains a carbonyl group. The compound cannot be oxidized by acidified potassium dichromate(VI) solution.
A tertiary halogenoalkane with three different alkyl groups, (R1R2R3)C−X, undergoes a SN1 reaction and forms two isomers.
Deduce the structural formulas of the two possible isomers.
Mass spectra A and B of the two isomers are given.

Explain which spectrum is produced by each compound using section 28 of the data booklet.
State the type of bond fission that takes place in a SN1 reaction.
State the type of solvent most suitable for the reaction.
Draw the structure of the intermediate formed stating its shape.
Suggest, giving a reason, the percentage of each isomer from the SN1 reaction.
Nitrobenzene, C6H5NO2, can be converted to phenylamine via a two-stage reaction.
In the first stage, nitrobenzene is reduced with tin in an acidic solution to form an intermediate ion and tin(II) ions. In the second stage, the intermediate ion is converted to phenylamine in the presence of hydroxide ions.
Formulate the equation for each stage of the reaction.
Markscheme

Accept condensed formulas.
[2 marks]
A:
CH3CH2COCH2CH3 AND «peak at» 29 due to
(CH3CH2)+/(C2H5)+/(M – CH3CH2CO)+
OR
CH3CH2COCH2CH3 AND «peak at» 57 due to
(CH3CH2CO)+/(M – CH3CH2)+/(M – C2H5)+
B:
CH3COCH2CH2CH3 AND «peak at» 43 due to
(CH3CH2CH2)+/(CH3CO)+/(C2H3O)+/(M – CH3CO)+
Penalize missing “+” sign once only.
Accept “CH3COCH2CH2CH3 by elimination since fragment CH3CO is not listed” for M2.
[2 marks]
heterolytic/heterolysis
[1 mark]
polar protic
[1 mark]

Shape: triangular/trigonal planar
[2 marks]
«around» 50% «each»
OR
similar/equal percentages
nucleophile can attack from either side «of the planar carbocation»
Accept “racemic mixture/racemate” for M1.
[2 marks]
Stage one:
C6H5NO2(l) + 3Sn(s) + 7H+(aq) → C6H5NH3+(aq) + 3Sn2+(aq) + 2H2O(l)
Stage two:
C6H5NH3+(aq) + OH–(aq) → C6H5NH2(l) + H2O(l)
[2 marks]
Examiners report
This question is about ethene, C2H4, and ethyne, C2H2.
Ethyne, like ethene, undergoes hydrogenation to form ethane. State the conditions required.
Outline the formation of polyethene from ethene by drawing three repeating units of the polymer.
Ethyne reacts with chlorine in a similar way to ethene. Formulate equations for the following reactions.
Under certain conditions, ethyne can be converted to benzene.
Determine the standard enthalpy change, ΔHΘ, for the reaction stated, using section 11 of the data booklet.
3C2H2(g) → C6H6(g)
Determine the standard enthalpy change, ΔHΘ, for the following similar reaction, using ΔHf values in section 12 of the data booklet.
3C2H2(g) → C6H6(l)
Explain, giving two reasons, the difference in the values for (c)(i) and (ii). If you did not obtain answers, use −475 kJ for (i) and −600 kJ for (ii).
Calculate the standard entropy change, ΔSΘ, in J K−1, for the reaction in (ii) using section 12 of the data booklet.
Determine, showing your working, the spontaneity of the reaction in (ii) at 25 °C.
One possible Lewis structure for benzene is shown.

State one piece of physical evidence that this structure is incorrect.
Markscheme
nickel/Ni «catalyst»
high pressure
OR
heat
Accept these other catalysts: Pt, Pd, Ir, Rh, Co, Ti.
Accept “high temperature” or a stated temperature such as “150 °C”.
[2 marks]

Ignore square brackets and “n”.
Connecting line at end of carbons must be shown.
[1 mark]
ethyne: C2H2 + Cl2 → CHClCHCl
benzene: C6H6 + Cl2 → C6H5Cl + HCl
Accept “C2H2Cl2”.
[2 marks]
ΔHΘ = bonds broken – bonds formed
«ΔHΘ = 3(C≡C) – 6(CC)benzene / 3 839 – 6 507 / 2517 – 3042 =» –525 «kJ»
Award [2] for correct final answer.
Award [1 max] for “+525 «kJ»”.
Award [1 max] for:
«ΔHΘ = 3(C≡C) – 3(C–C) – 3(C=C) / 3 839 – 3 346 – 3 614 / 2517 – 2880 =» –363 «kJ».
[2 marks]
ΔHΘ = ΣΔHf (products) – ΣΔHf (reactants)
«ΔHΘ = 49 kJ – 3 228 kJ =» –635 «kJ»
Award [2] for correct final answer.
Award [1 max] for “+635 «kJ»”.
[2 marks]
ΔHf values are specific to the compound
OR
bond enthalpy values are averages «from many different compounds»
condensation from gas to liquid is exothermic
Accept “benzene is in two different states «one liquid the other gas»” for M2.
[2 marks]
«ΔSΘ = 173 – 3 201 =» –430 «J K–1»
[1 mark]
T = «25 + 273 =» 298 «K»
ΔGϴ «= –635 kJ – 298 K × (–0.430 kJ K–1)» = –507 kJ
ΔGϴ < 0 AND spontaneous
ΔGϴ < 0 may be inferred from the calculation.
[3 marks]
equal C–C bond «lengths/strengths»
OR
regular hexagon
OR
«all» C–C have bond order of 1.5
OR
«all» C–C intermediate between single and double bonds
Accept “all C–C–C bond angles are equal”.
[1 mark]
Examiners report
Carbon forms many compounds.
C60 and diamond are allotropes of carbon.
Chlorine reacts with methane.
CH4 (g) + Cl2 (g) → CH3Cl (g) + HCl (g)
Outline two differences between the bonding of carbon atoms in C60 and diamond.
Explain why C60 and diamond sublime at different temperatures and pressures.
State two features showing that propane and butane are members of the same homologous series.
Describe a test and the expected result to indicate the presence of carbon–carbon double bonds.
Draw the full structural formula of (Z)-but-2-ene.
Write the equation for the reaction between but-2-ene and hydrogen bromide.
State the type of reaction.
Suggest two differences in the 1H NMR of but-2-ene and the organic product from (d)(ii).
Predict, giving a reason, the major product of reaction between but-1-ene and steam.
Explain the mechanism of the reaction between 1-bromopropane, CH3CH2CH2Br, and aqueous sodium hydroxide, NaOH (aq), using curly arrows to represent the movement of electron pairs.
Deduce the splitting pattern in the 1H NMR spectrum for 1-bromopropane.
Calculate the enthalpy change of the reaction, ΔH, using section 11 of the data booklet.
Draw and label an enthalpy level diagram for this reaction.
Markscheme
Any two of:
C60 fullerene: bonded to 3 C AND diamond: bonded to 4 C ✔
C60 fullerene: delocalized/resonance AND diamond: not delocalized / no resonance ✔
C60 fullerene: sp2 AND diamond: sp3 ✔
C60 fullerene: bond angles between 109–120° AND diamond: 109° ✔
Accept "bonds in fullerene are shorter/stronger/have higher bond order OR bonds in diamond longer/weaker/have lower bond order".
diamond giant/network covalent AND sublimes at higher temperature ✔
C60 molecular/London/dispersion/intermolecular «forces» ✔
Accept “diamond has strong covalent bonds AND require more energy to break «than intermolecular forces»” for M1.
same general formula / CnH2n+2 ✔
differ by CH2/common structural unit ✔
Accept "similar chemical properties".
Accept “gradation/gradual change in physical properties”.
ALTERNATIVE 1:
Test:
add bromine «water»/Br2 (aq) ✔
Result:
«orange/brown/yellow» to colourless/decolourised ✔
Do not accept “clear” for M2.
ALTERNATIVE 2:
Test:
add «acidified» KMnO4 ✔
Result:
«purple» to colourless/decolourised/brown ✔
Accept “colour change” for M2.
ALTERNATIVE 3:
Test:
add iodine / ✔
Result:
«brown» to colourless/decolourised ✔
Accept
CH3CH=CHCH3 + HBr (g) → CH3CH2CHBrCH3
Correct reactants ✔
Correct products ✔
Accept molecular formulas for both reactants and product
«electrophilic» addition/EA ✔
Do not accept nucleophilic or free radical addition.
ALTERNATIVE 1: Any two of:
but-2-ene: 2 signals AND product: 4 signals ✔
but-2-ene: «area ratio» 3:1/6:2 AND product: «area ratio» 3:3:2:1 ✔
product: «has signal at» 3.5-4.4 ppm «and but-2-ene: does not» ✔
but-2-ene: «has signal at» 4.5-6.0 ppm «and product: does not» ✔
ALTERNATIVE 2:
but-2-ene: doublet AND quartet/multiplet/4 ✔
product: doublet AND triplet AND quintet/5/multiplet AND sextet/6/multiplet ✔
Accept “product «has signal at» 1.3–1.4 ppm «and but-2-ene: does not»”.
CH3CH2CH(OH)CH3 ✔
«secondary» carbocation/CH3CH2CH+CH3 more stable ✔
Do not accept “Markovnikov’s rule” without reference to carbocation stability.
curly arrow going from lone pair/negative charge on O in HO– to C ✔
curly arrow showing Br breaking ✔
representation of transition state showing negative charge, square brackets and partial bonds ✔
formation of organic product CH3CH2CH2OH AND Br– ✔
Do not allow curly arrow originating on H in HO–.
Accept curly arrow either going from bond between C and Br to Br in 1-bromopropane or in the transition
state.
Do not penalize if HO and Br are not at 180° to each other.
Award [3 max] for SN1 mechanism.
triplet/3 AND multiplet/6 AND triplet/3 ✔
bond breaking: C–H + Cl–Cl / 414 «kJ mol–1» + 242 «kJ mol–1»/656 «kJ»
OR
bond breaking: 4C–H + Cl–Cl / 4 × 414 «kJ mol–1» + 242 «kJ mol–1» / 1898 «kJ» ✔
bond forming: «C–Cl + H–Cl / 324 kJ mol–1 + 431 kJ mol–1» / 755 «kJ»
OR
bond forming: «3C–H + C–Cl + H–Cl / 3 × 414 «kJ mol–1» + 324 «kJ mol–1» + 431 kJ mol–1» / 1997 «kJ» ✔
«ΔH = bond breaking – bond forming = 656 kJ – 755 kJ» = –99 «kJ» ✔
Award [3] for correct final answer.
Award [2 max] for 99 «kJ».
reactants at higher enthalpy than products ✔
ΔH/-99 «kJ» labelled on arrow from reactants to products
OR
activation energy/Ea labelled on arrow from reactant to top of energy profile ✔
Accept a double headed arrow between reactants and products labelled as ΔH for M2.
Examiners report
A challenging question, requiring accurate knowledge of the bonding in these allotropes (some referred to graphite, clearly the most familiar allotrope). The most frequent (correct) answer was the difference in number of bonded C atoms and hybridisation in second place. However, only 30% got a mark.
Again, this was a struggle between intermolecular forces and covalent bonds and this proved to be even harder than (a)(i) with only 25% of candidates getting full marks. The distinction between giant covalent/covalent network in diamond and molecular in C60 and hence resultant sublimation points, was rarely explained. There were many general and vague answers given, as well as commonly (incorrectly) stating that intermolecular forces are present in diamond. As another example of insufficient attention to the question itself, many candidates failed to say which would sublime at a higher temperature and so missed even one mark.
This easy question was quite well answered; same/similar physical properties and empirical formula were common errors.
Candidates misinterpreted the question and mentioned CH3+, i.e., the lost fragment; the other very common error was -COOH which shows a complete lack of understanding of MS considering the question is about butane so O should never appear.
Well answered by most, but some basic chemistry was missing when reporting results, perhaps as a result of little practical work due to COVID. A significant number suggested IR spectrometry, very likely because the question followed one on H NMR spectroscopy, thus revealing a failure to read the question properly (which asks for a test). Some teachers felt that adding "chemical" would have avoided some confusion.
Most were able to draw this isomer correctly, though a noticeable number of students included the Z as an atom in the structural formula, showing they were completely unfamiliar with E/Z notation.
Well done in general and most candidates wrote correct reagents, eventually losing a mark when considering H2 to be a product alongside 2-bromobutane.
Very well answered, some mentioned halogenation which is a different reaction.
A considerable number of students (40%) got at least 1 mark here, but marks were low (average mark 0.9/2). Common errors were predicting 3 peaks, rather than 4 for 2 -bromobutane and vague / unspecific answers, such as ‘different shifts’ or ‘different intensities’. It is surprising that more did not use H NMR data from the booklet; they were not directed to the section as is generally done in this type of question to allow for more general answers regarding all information that can be obtained from an H NMR spectrum.
Product was correctly predicted by many, but most used Markovnikov's Rule to justify this, failing to mention the stability of the secondary carbocation, i.e., the chemistry behind the rule.
As usual, good to excellent candidates (47.5%) were able to get 3/4 marks for this mechanism, while most lost marks for carelessness in drawing arrows and bond connectivity, issues with the lone pair or negative charge on the nucleophile, no negative charge on transition state, or incorrect haloalkane. The average mark was thus 1.9/4.
Another of the very poorly answered questions where most candidates (90%) failed to predict 3 peaks and when they did, considered there would be a quartet instead of multiplet/sextet; other candidates seemed to have no idea at all. This is strange because the compound is relatively simple and while some teachers considered that predicting a sextet may be beyond the current curriculum or just too difficult, they could refer to a multiplet; a quartet is clearly incorrect.
Only the very weak candidates were unable to calculate the enthalpy change correctly, eventually missing 1 mark for inverted calculations.
Most candidates drew correct energy profiles, consistent with the sign of the energy change calculated in the previous question. And again, only very weak candidate failed to get at least 1 mark for correct profiles.
This question is about carbon and chlorine compounds.
Ethane, , reacts with chlorine in sunlight. State the type of this reaction and the name of the mechanism by which it occurs.

Formulate equations for the two propagation steps and one termination step in the formation of chloroethane from ethane.

Deduce the splitting patterns in the 1H NMR spectrum of C2H5Cl.
Explain why tetramethylsilane (TMS) is often used as a reference standard in 1H NMR.
One possible product, X, of the reaction of ethane with chlorine has the following composition by mass:
carbon: 24.27%, hydrogen: 4.08%, chlorine: 71.65%
Determine the empirical formula of the product.
The mass and 1H NMR spectra of product X are shown below. Deduce, giving your reasons, its structural formula and hence the name of the compound.
When the product X is reacted with NaOH in a hot alcoholic solution, C2H3Cl is formed. State the role of the reactant NaOH other than as a nucleophile.
Chloroethene, , can undergo polymerization. Draw a section of the polymer with three repeating units.
Markscheme
substitution AND «free-»radical
OR
substitution AND chain
Award [1] for “«free-»radical substitution” or “SR” written anywhere in the answer.
[1 mark]
Two propagation steps:
One termination step:
OR
OR
Accept radical without if consistent throughout.
Allow ECF for incorrect radicals produced in propagation step for M3.
[3 marks]
triplet AND quartet
[1 mark]
chemical shift/signal outside range of common chemical shift/signal
strong signal/12/all H atoms in same environment
OR
singlet/no splitting of the signal
volatile/easily separated/easily removed
OR
inert/stabl
contains three common NMR nuclei/1H and 13C and 29Si
Do not accept chemical shift = 0.
[2 marks]
AND AND
«hence» CH2Cl
Accept : :
Do not accept C2H4Cl2.
Award [2] for correct final answer.
[2 marks]
molecular ion peak(s) «about» m/z 100 AND «so» C2H4Cl2 «isotopes of Cl»
two signals «in 1H NMR spectrum» AND «so» CH3CHCl2
OR
«signals in» 3:1 ratio «in 1H NMR spectrum» AND «so» CH3CHCl2
OR
one doublet and one quartet «in 1H NMR spectrum» AND «so» CH3CHCl2
1,1-dichloroethane
Accept “peaks” for “signals”.
Allow ECF for a correct name for M3 if an incorrect chlorohydrocarbon is identified.
[3 marks]
base
OR
proton acceptor
[1 mark]

Continuation bonds must be shown.
Ignore square brackets and “n”.
Accept
.
Accept other versions of the polymer, such as head to head and head to tail.
Accept condensed structure provided all C to C bonds are shown (as single).
[1 mark]
Examiners report
Carbon dioxide contributes significantly to global warming. It can be used as a raw material with methyloxirane to form polymers.
Suggest why the three-membered ring in methyloxirane is unstable.
Draw two structural isomers of methyloxirane.
State, giving a reason, whether methyloxirane can form cis-trans isomers.
Predict the chemical shift and splitting pattern of the signal produced by the hydrogen atoms labelled X in the 1H NMR spectrum of the polymer. Use section 27 of the data booklet.
Markscheme
angle between bonds is 60°/strained/smaller than 109.5° ✔
Any two of:
CH3COCH3 ✔
CH3CH2CHO ✔
CH2=CHCH2OH ✔
CH3OCH=CH2 ✔
Accept displayed or condensed structural formulas or skeletal formulas.
Accept CH(OH)=CHCH3 and CH2=C(OH)CH3.
no AND only one «axial/methyl/CH3» substituent «at the ring»
OR
no AND two «axial» substituents required «for cis/trans-isomers» ✔
Accept “no AND «O in the ring and» one carbon has two H atoms”.
Chemical shift:
3.7–4.8 «ppm» ✔
Splitting pattern:
doublet ✔
Examiners report
An organic compound containing carbon, hydrogen and oxygen has 62.02 % carbon and 10.43 % hydrogen by mass.
Determine the empirical formula of the compound, showing your working.
The infrared spectrum of the compound is shown. Deduce the functional group of the compound.
The mass spectrum of the compound is shown. Deduce the relative molecular mass of the compound.
The compound could not be oxidized using acidifi ed potassium dichromate(VI).
Deduce the structural formula of the compound.
Markscheme
«in 100 g sample» AND
OR
«in 100 g sample» 5.164 mol C AND 10.33 mol H ✔
27.55 %
OR
1.722 mol O ✔
«empirical formula» C3H6O ✔
«absorption at wavenumber 1700−1750 cm–1» C=O/carbonyl ✔
Do not accept “ketone” or “aldehyde”.
«m/z =» 58 ✔
Examiners report
This question is about the reactions of halogenoalkanes.
Compare and contrast the mechanisms by which 1-chlorobutane, CH3CH2CH2CH2Cl, and 2-chloro-2-methylpropane, (CH3)3CCl, react with aqueous sodium hydroxide, giving two similarities and one difference.
Outline why the rate of reaction of the similar bromo-compounds is faster.
State the organic product of the reaction between 1-chlorobutane, CH3CH2CH2CH2Cl, and aqueous sodium hydroxide.
Suggest how this product could be synthesized in one step from butanoic acid.
Deduce the name of the class of compound formed when the product of (c)(i) reacts with butanoic acid.
Markscheme
Any two similarities:
heterolytic bond breaking
OR
chloride ions leave
nucleophilic/OH– substitution
both first order with regard to [halogenoalkane]
One difference:
CH3CH2CH2CH2Cl is second order/bimolecular/SN2 AND (CH3)3CCl is first order/unimolecular/SN1
OR
CH3CH2CH2CH2Cl rate depends on [OH–] AND (CH3)3CCl does not
OR
CH3CH2CH2CH2Cl is one step AND (CH3)3CCl is two steps
OR
(CH3)3CCl involves an intermediate AND CH3CH2CH2CH2Cl does not
OR
CH3CH2CH2CH2Cl has inversion of configuration AND (CH3)3CCl has c. 50 : 50 retention and inversion
Do not accept “produces alcohol” or “produces NaCl”.
Accept “substitution in 1-chlorobutane and «some» elimination in 2-chloro-2-methylpropane”.
[3 marks]
C–Br bond weaker than C–Cl bond
Accept “Br– is a better leaving group”.
Do not accept "bromine is more reactive".
Do not accept “C–Br bond is longer than C–Cl” alone.
[1 mark]
butan-1-ol/CH3CH2CH2CH2OH
Do not accept “butanol” for “butan-1-ol”.
Accept “1-butanol”.
Do not penalize for name if correct formula is drawn.
[1 mark]
«reduction with» lithium aluminium hydride/LiAlH4
Do not accept “sodium borohydride/NaBH4”.
[1 mark]
ester
[1 mark]
Examiners report
A compound with a molecular formula C7H14O produced the following high resolution 1H NMR spectrum.
Deduce what information can be obtained from the 1H NMR spectrum.
Identify the functional group that shows stretching at 1710 cm–1 in the infrared spectrum of this compound using section 26 of the data booklet and the 1H NMR.
Suggest the structural formula of this compound.
Bromine was added to hexane, hex-1-ene and benzene. Identify the compound(s) which will react with bromine in a well-lit laboratory.
Deduce the structural formula of the main organic product when hex-1-ene reacts with hydrogen bromide.
State the reagents and the name of the mechanism for the nitration of benzene.
Outline, in terms of the bonding present, why the reaction conditions of halogenation are different for alkanes and benzene.
Below are two isomers, A and B, with the molecular formula C4H9Br.
Explain the mechanism of the nucleophilic substitution reaction with NaOH(aq) for the isomer that reacts almost exclusively by an SN2 mechanism using curly arrows to represent the movement of electron pairs.
Markscheme
Number of hydrogen environments: 3
Ratio of hydrogen environments: 2:3:9
Splitting patterns: «all» singlets
Accept any equivalent ratios such as 9:3:2.
Accept “no splitting”.
[3 marks]
carbonyl
OR
C=O
Accept “ketone” but not “aldehyde”.
[1 mark]
Accept (CH3)3CCH2COCH3.
Award [1] for any aldehyde or ketone with C7H14O structural formula.
[2 marks]
hexane AND hex-1-ene
Accept “benzene AND hexane AND hex-1-ene”.
[1 mark]
CH3CH2CH2CH2CHBrCH3
Accept displayed formula but not molecular formula.
[1 mark]
Reagents: «concentrated» sulfuric acid AND «concentrated» nitric acid
Name of mechanism: electrophilic substitution
[2 marks]
benzene has «delocalized» bonds «that are susceptible to electrophile attack» AND alkanes do not
Do not accept “benzene has single and double bonds”.
[1 mark]
curly arrow going from lone pair/negative charge on O in –OH to C
curly arrow showing Br leaving
representation of transition state showing negative charge, square brackets and partial bonds
Accept OH– with or without the lone pair.
Do not allow curly arrows originating on H in OH–.
Accept curly arrows in the transition state.
Do not penalize if HO and Br are not at 180°.
Do not award M3 if OH–C bond is represented.
Award [2 max] if wrong isomer is used.
[3 marks]
Examiners report
The Bombardier beetle sprays a mixture of hydroquinone and hydrogen peroxide to fight off predators. The reaction equation to produce the spray can be written as:
| C6H4(OH)2(aq) + H2O2(aq) | → | C6H4O2(aq) + 2H2O(l) |
| hydroquinone | quinone |
Hydrogenation of propene produces propane. Calculate the standard entropy change, ΔS θ, for the hydrogenation of propene.
The standard enthalpy change, ΔH θ, for the hydrogenation of propene is –124.4 kJ mol–1. Predict the temperature above which the hydrogenation reaction is not spontaneous.
Markscheme
«ΔS θ =» 270 «J K–1 mol–1» – 267 «J K–1 mol–1» – 131 «J K–1 mol–1»
«ΔS θ =» –128 «J K–1 mol–1»
Award [2] for correct final answer.
[2 marks]
«non spontaneous if» ΔG θ = ΔH θ – TΔS θ > 0
OR
ΔH θ > TΔS θ
«T above» » 972 «K»
Award [2] for correct final answer.
Accept 699 °C.
Do not award M2 for any negative T value.
[2 marks]
Examiners report
Nickel catalyses the conversion of propanone to propan-2-ol.
Outline how a catalyst increases the rate of reaction.
Explain why an increase in temperature increases the rate of reaction.
Discuss, referring to intermolecular forces present, the relative volatility of propanone and propan-2-ol.
The diagram shows an unlabelled voltaic cell for the reaction
Label the diagram with the species in the equation.
Calculate the standard cell potential, in , for the cell at . Use section 24 of the data booklet
Calculate the standard free energy change, , in , for the cell using sections 1 and 2 of the data booklet.
Suggest a metal that could replace nickel in a new half-cell and reverse the electron flow. Use section 25 of the data booklet.
Describe the bonding in metals.
Nickel alloys are used in aircraft gas turbines. Suggest a physical property altered by the addition of another metal to nickel.
Markscheme
provides an alternative pathway/mechanism AND lower Ea ✔
Accept description of how catalyst lowers Ea (e.g. “reactants adsorb on surface «of catalyst»”, “reactant bonds weaken «when adsorbed»”).
more/greater proportion of molecules with E Ea ✔
greater frequency/probability/chance of collisions «between the molecules»
OR
more collision per unit of time/second ✔
hydrogen bonding/bonds «and dipole–dipole and London/dispersion forces are present in» propan-2-ol ✔
dipole–dipole «and London/dispersion are present in» propanone ✔
propan-2-ol less volatile AND hydrogen bonding/bonds stronger «than dipole–dipole »
OR
propan-2-ol less volatile AND «sum of all» intermolecular forces stronger ✔
✔
✔
✔
Accept OR .
electrostatic attraction ✔
between «a lattice of» metal/positive ions/cations AND «a sea of» delocalized electrons ✔
Accept “mobile/free electrons”.
Any of:
malleability/hardness
OR
«tensile» strength/ductility
OR
density
OR
thermal/electrical conductivity
OR
melting point
OR
thermal expansion ✔
Do not accept corrosion/reactivity or any chemical property.
Accept other specific physical properties.
Examiners report
Although fairly well done some candidates did not mention that providing an alternate pathway to the reaction was how the activation energy was lowered and hence did not gain the mark.
Almost all candidates earned at least 1 mark for the effect of temperature on rate. Some missed increase in collision frequency, others the idea that more particles reached the required activation energy.
The average mark was 1.9/3. Almost all candidates could recognize hydrogen bonding in alcohol but many missed the dipole-dipole attraction in propanone. There was also some confusion on the term volatility, with some thinking stronger IMF meant higher volatility.
A surprising number of No Response for a question where candidates simply had to label a diagram with the species in the equation. Some candidates had the idea but did not use the species for electrolytic cell, e.g., Pb(SO4) instead of Pb2+(aq).
80% of candidates could correctly calculate a cell potential by using a reduction table and a balanced redox reaction.
This was similar to 2f(ii) where many could apply the formula for Gibbs free energy change, ΔGө, correctly however some did not get the units correct.
80% could correctly pick a metal to reverse the electron flow, however some candidates thought a more reactive, rather than a less reactive metal than nickel would reverse the electron flow.
Most candidates were aware that metallic bonding involved a "sea of electrons", but were unsure about surrounding what and could not identify that it was electrostatic attraction holding the metal together.
Almost all candidates could correctly identify a physical property of a metal which might be altered when alloying.
An acidic sample of a waste solution containing Sn2+(aq) reacted completely with K2Cr2O7 solution to form Sn4+(aq).
Identify one organic functional group that can react with acidified K2Cr2O7(aq).
Corrosion of iron is similar to the processes that occur in a voltaic cell. The initial steps involve the following half-equations:
Fe2+(aq) + 2e– Fe(s)
O2(g) + H2O(l) + 2e– 2OH–(aq)
Calculate E θ, in V, for the spontaneous reaction using section 24 of the data booklet.
Calculate the Gibbs free energy, ΔG θ, in kJ, which is released by the corrosion of 1 mole of iron. Use section 1 of the data booklet.
Explain why iron forms many different coloured complex ions.
Zinc is used to galvanize iron pipes, forming a protective coating. Outline how this process prevents corrosion of the iron pipes.
Markscheme
hydroxyl/OH
OR
aldehyde/CHO
Accept “hydroxy/alcohol” for “hydroxyl”.
Accept amino/amine/NH2.
[1 mark]
«E θ =» +0.85 «V»
Accept 0.85 V.
[1 mark]
ΔG θ «= –nFE θ» = –2 «mol e–» x 96500 «C mol–1» x 0.85 «V»
«ΔG θ =» –164 «kJ»
Accept “«+»164 «kJ»” as question states energy released.
Award [1 max] for “+” or “–” 82 «kJ».
Do not accept answer in J.
[2 marks]
incompletely filled d-orbitals
colour depends upon the energy difference between the split d-orbitals
variable/multiple/different oxidation states
different «nature/identity of» ligands
different number of ligands
[3 marks]
Zn/zinc is a stronger reducing agent than Fe/iron
OR
Zn/zinc is oxidized instead of Fe/iron
OR
Zn/zinc is the sacrificial anode
Accept “Zn is more reactive than Fe”.
Accept “Zn oxide layer limits further corrosion”.
Do not accept “Zn layer limits further corrosion”.
[1 mark]
Examiners report
Halogenoalkanes undergo nucleophilic substitution reactions with sodium hydroxide.
State a reason why most halogenoalkanes are more reactive than alkanes.
Classify 1-bromopropane as a primary, secondary or tertiary halogenoalkane, giving a reason.
Explain the mechanism of the reaction between 1-bromopropane with aqueous sodium hydroxide using curly arrows to represent the movement of electron pairs.
State, giving your reason, whether the hydroxide ion acts as a Lewis acid, a Lewis base, or neither in the nucleophilic substitution.
Suggest two advantages of understanding organic reaction mechanisms.
Markscheme
polarity/polar «molecule/bond»
OR
carbon–halogen bond is weaker than C–H bond ✔
primary AND Br/bromine is attached to a carbon bonded to two hydrogens
OR
primary AND Br/bromine is attached to a carbon bonded to one C/R/alkyl «group» ✔
Accept “primary AND Br/bromine is attached to the first carbon in the chain”.
curly arrow going from lone pair/negative charge on O in HO– to C ✔
curly arrow showing Br leaving ✔
representation of transition state showing negative charge, square brackets and partial bonds ✔
formation of organic product CH3CH2CH2OH AND Br– ✔
Do not allow curly arrow originating on H in HO–.
Accept curly arrow either going from bond between C and Br to Br in 1-bromopropane or in the transition state.
Do not penalize if HO and Br are not at 180° to each other.
Do not award M3 if OH–C bond is represented.
«Lewis» base AND donates a pair of electrons ✔
Any two of:
choose «most» appropriate reaction «for preparing the target compound» ✔
design/discover new reactions/reagents ✔
apply this knowledge to other areas of chemistry/science ✔
«retro-»synthesis «more effective» ✔
control/predict «desired» products ✔
control rate of reaction «more effectively» ✔
satisfy intellectual curiosity ✔
predicting how changing reagents/conditions might affect reaction ✔
suggesting intermediates/transition states ✔
Accept other reasonable answers.
Examiners report
Xylene is a derivative of benzene. One isomer is 1,4-dimethylbenzene.
Xylene, like benzene, can be nitrated.
Bromine reacts with alkanes.
State the number of 1H NMR signals for this isomer of xylene and the ratio in which they appear.
Draw the structure of one other isomer of xylene which retains the benzene ring.
Write the equation for the production of the active nitrating agent from concentrated sulfuric and nitric acids.
Explain the mechanism for the nitration of benzene, using curly arrows to indicate the movement of electron pairs.
Identify the initiation step of the reaction and its conditions.
1,4-dimethylbenzene reacts as a substituted alkane. Draw the structures of the two products of the overall reaction when one molecule of bromine reacts with one molecule of 1,4-dimethylbenzene.
The organic product is not optically active. Discuss whether or not the organic product is a racemic mixture.
Markscheme
Number of signals: 2 [✔]
Ratio:
3 : 2
OR
6 : 4 [✔]
Note: Accept any correct integer or fractional ratio. Accept ratios in reverse order.
[✔]
2H2SO4 + HNO3 ⇌ NO2+ + 2HSO4− + H3O+ [✔]
Note: Accept a single arrow instead of an equilibrium sign.
Accept “H2SO4 + HNO3 ⇌ NO2+ + HSO4− + H2O”.
Accept “H2SO4 + HNO3 ⇌ H2NO3+ + HSO4−”.
Accept equivalent two step reactions in which sulfuric acid first behaves as a strong acid and protonates the nitric acid, before behaving as a dehydrating agent removing water from it.
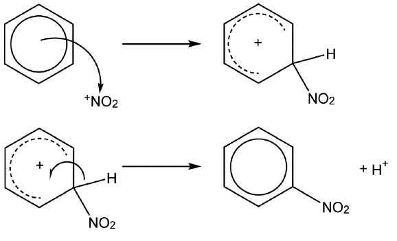
curly arrow going from benzene ring to N «of +NO2/NO2+» [✔]
carbocation with correct formula and positive charge on ring [✔]
curly arrow going from C–H bond to benzene ring of cation [✔]
formation of organic product nitrobenzene AND H+ [✔]
Note: Accept mechanism with corresponding Kekulé structures.
Do not accept a circle in M2 or M3.
Accept first arrow starting either inside the circle or on the circle.
If Kekulé structure used, first arrow must start on the double bond.
M2 may be awarded from correct diagram for M3.
M4: Accept “C6H5NO2 + H2SO4” if HSO4− used in M3.
Br2 2Br• [✔]
«sun»light/UV/hv
OR
high temperature [✔]
Note: Do not penalize missing radical symbol on Br.
Accept “homolytic fission of bromine” for M1.
[✔]
HBr [✔]
Note: Accept condensed formulae, such as CH3C6H4CH2Br.
no AND there is no chiral carbon
OR
no AND there is no carbon with four different substituents/groups [✔]
Note: Accept “no AND no asymmetric carbon
atom”.
Examiners report
Many identified two correct peaks but quite a few less the correct ratio.
Generally well done, although some candidates repeated the formula of the 1,4-isomer structure or drew the wrong bond, e.g. benzene ring to H rather than C on CH3.
The production of NO3− was a common answer.
Performance was fairly good by schools covering the topic while others had no idea. There were many careless steps, such as omission or misplacement of + sign.
Very well done, with a few making reference to a catalyst.
Some candidates lost one mark for the bond originated from H in CH3 instead of C. Some teachers thought the use of the word “substituted alkane” made the question more difficult than it should have been.
One of the most poorly answered questions on the exam with only 10 % of candidates earning this mark. Some candidates just answered ‘yes’ or ‘no’ on whether the organic product is a racemic mix and very few mentioned the absence of a chiral carbon. One teacher though the use of benzene in this question made it unnecessarily tough, stating “the optical activity of benzene has not been covered due to the limited chemistry of benzene included in the specification. An aliphatic compound here would test the understanding of enantiomers without the confusion of adding benzene”. Candidates should recognize that carbon in benzene cannot be the centre of optical activity and look for chiral carbons in the substitution chains.
Ethanol is obtained by the hydration of ethene, C2H4.
Alternative synthetic routes exist to produce alcohols.
Ethanol is obtained by the hydration of ethene, C2H4.
State the class of compound to which ethene belongs.
State the molecular formula of the next member of the homologous series to which ethene belongs.
Justify why ethene has only a single signal in its 1H NMR spectrum.
Deduce the chemical shift of this signal. Use section 27 of the data booklet.
Suggest two possible products of the incomplete combustion of ethene that would not be formed by complete combustion.
A white solid was formed when ethene was subjected to high pressure.
Deduce the type of reaction that occurred.
Sketch the mechanism for the reaction of propene with hydrogen bromide using curly arrows.
Explain why the major organic product is 2-bromopropane and not 1-bromopropane.
Explain why the major organic product is 2-bromopropane and not 1-bromopropane.
2-bromopropane can be converted directly to propan-2-ol. Identify the reagent required.
Propan-2-ol can also be formed in one step from a compound containing a carbonyl group.
State the name of this compound and the type of reaction that occurs.
Markscheme
alkene ✔
C3H6 ✔
Accept structural formula.
hydrogen atoms/protons in same chemical environment ✔
Accept “all H atoms/protons are equivalent”.
Accept “symmetrical”
4.5 to 6.0 «ppm» ✔
Accept a single value within this range.
carbon monoxide/CO AND carbon/C/soot ✔
«addition» polymerization ✔
curly arrow going from C=C to H of HBr AND curly arrow showing Br leaving ✔
representation of carbocation ✔
curly arrow going from lone pair/negative charge on Br− to C+ ✔
Award [2 max] for mechanism producing 1-brompropane.
«2-bromopropane involves» formation of more stable «secondary» carbocation/carbonium ion/intermediate
OR
1-bromopropane involves formation of less stable «primary» carbocation/carbonium ion/intermediate ✔
«increased» positive inductive/electron-releasing effect of extra–R group/–CH3/methyl «increases stability of secondary carbocation» ✔
Award [1] for “more stable due to positive inductive effect”.
Do not award marks for quoting Markovnikov’s rule without any explanation.
«2-bromopropane involves» formation of more stable «secondary» carbocation/carbonium ion/intermediate
OR
1-bromopropane involves formation of less stable «primary» carbocation/carbonium ion/intermediate ✔
«increased» positive inductive/electron-releasing effect of extra–R group/–CH3/methyl «increases stability of secondary carbocation» ✔
Award [1] for “more stable due to positive inductive effect”.
Do not award marks for quoting Markovnikov’s rule without any explanation.
sodium hydroxide/NaOH/potassium hydroxide/KOH ✔
Accept «aqueous» hydroxide ions/OH−
Name of carbonyl compound:
propanone ✔
Type of reaction:
reduction ✔
Accept other valid alternatives, such as “2-propyl ethanoate” for M1 and “hydrolysis” for M2.
Examiners report
Ethyne, C2H2, reacts with oxygen in welding torches.
Ethyne reacts with steam.
C2H2 (g) + H2O (g) → C2H4O (g)
Two possible products are:
Product B, CH3CHO, can also be synthesized from ethanol.
Write an equation for the complete combustion of ethyne.
Deduce the Lewis (electron dot) structure of ethyne.
Compare, giving a reason, the length of the bond between the carbon atoms in ethyne with that in ethane, C2H6.
Identify the type of interaction that must be overcome when liquid ethyne vaporizes.
State the name of product B, applying IUPAC rules.
Determine the enthalpy change for the reaction, in kJ, to produce A using section 11 of the data booklet.
The enthalpy change for the reaction to produce B is −213 kJ.
Predict, giving a reason, which product is the most stable.
The IR spectrum and low resolution 1H NMR spectrum of the actual product formed are shown.
Deduce whether the product is A or B, using evidence from these spectra together with sections 26 and 27 of the data booklet.
Identity of product:
One piece of evidence from IR:
One piece of evidence from 1H NMR:
Deduce the splitting pattern you would expect for the signals in a high resolution 1H NMR spectrum.
2.3 ppm:
9.8 ppm:
Suggest the reagents and conditions required to ensure a good yield of product B.
Reagents:
Conditions:
Deduce the average oxidation state of carbon in product B.
Explain why product B is water soluble.
Markscheme
C2H2 (g) + 2.5O2 (g) → 2CO2 (g) + H2O (l)
OR
2C2H2 (g) + 5O2 (g) → 4CO2 (g) + 2H2O (l) [✔]
[✔]
Note: Accept any valid combination of lines, dots and crosses.
«ethyne» shorter AND a greater number of shared/bonding electrons
OR
«ethyne» shorter AND stronger bond [✔]
London/dispersion/instantaneous dipole-induced dipole forces [✔]
ethanal [✔]
«sum of bond enthalpies of reactants =» 2(C—H)+C ≡ C + 2(O—H)
OR
2 × 414 «kJ mol-1» + 839 «kJ mol-1» + 2 × 463 «kJ mol-1»
OR
2593 «kJ» [✔]
«sum of bond enthalpies of A =» 3(C—H) + C=C + C—O + O—H
OR
3 × 414 «kJ mol-1» + 614 «kJ mol-1» + 358 «kJ mol-1» + 463 «kJ mol-1»
OR
2677 «kJ» [✔]
«enthalpy of reaction = 2593 kJ – 2677 kJ» = –84 «kJ» [✔]
Note: Award [3] for correct final answer.
B AND it has a more negative/lower enthalpy/«potential» energy
OR
B AND more exothermic «enthalpy of reaction from same starting point» [✔]
Identity of product: «B»
IR spectrum:
1700–1750 «cm–1 band» AND carbonyl/CO group present
OR
no «band at» 1620–1680 «cm–1» AND absence of double bond/C=C
OR
no «broad band at» 3200–3600 «cm–1 » AND absence of hydroxyl/OH group [✔]
1H NMR spectrum:
«only» two signals AND A would have three
OR
«signal at» 9.4–10.0 «ppm» AND «H atom/proton of» aldehyde/–CHO present
OR
«signal at» 2.2–2.7 «ppm» AND «H atom/proton of alkyl/CH next to» aldehyde/CHO present
OR
«signal at» 2.2–2.7 «ppm» AND «H atom/proton of» RCOCH2- present
OR
no «signal at» 4.5–6.0 «ppm» AND absence of «H atom/proton next to» double bond/C=C ✔
Note: Accept a specific value or range of wavenumbers and chemical shifts.
Accept “two signals with areas 1:3”.
2.3 ppm: doublet [✔]
9.8 ppm: quartet [✔]
Reagents:
acidified/H+ AND «potassium» dichromate«(VI)»/K2Cr2O7/Cr2O72- [✔]
Conditions:
distil «the product before further oxidation» [✔]
Note: Accept “«acidified potassium» manganate(VII)/KMnO4/MnO4-/permanganate”.
Accept “H2SO4” or “H3PO4” for “H+”.
Accept “more dilute dichromate(VI)/manganate(VII)” or “excess ethanol”.
Award M1 if correct reagents given under “Conditions”.
–1 [✔]
Any three of:
has an oxygen/O atom with a lone pair [✔]
that can form hydrogen bonds/H-bonds «with water molecules» [✔]
hydrocarbon chain is short «so does not disrupt many H-bonds with water molecules» [✔]
«large permanent» dipole-dipole interactions with water [✔]
Examiners report
All candidates were able to write the correct reactants/products for combustion of ethyne, but a few failed to balance correctly.
Most drew correct Lewis structures for ethyne, though some drew ethene.
Surprisingly very few explained the difference in bond length/strength looking at electrons shared and just gave the shorter/triple or longer/single bond answer.
Good to see that most candidates identified the specific IMF correctly.
Most candidates gave the correct IUPAC name.
Candidates were able to calculate the ΔH of the given reaction correctly; a few inverted the calculations or made mathematical errors.
Generally well done, most common error was stating that the enthalpy change was “larger” without the indication that it was an exothermic change or the sign.
Interpretation of spectra was very good and the few candidates that lost marks with 1H NMR data rather than IR, for example simply mentioning two signals for B. However, most candidates that attempted this question got full marks.
The stronger candidates were able to predict the splitting pattern correctly, others inverted the answer, but many others repeated the information for protons with the given chemical shift, which is unexpected since wording was straightforward.
Candidates seemed to be confused by the prompts, reagent and conditions, so often included the acid among conditions. Careless errors were common such as the wrong charge on the dichromate ion. Few candidates suggest permanganate as an option.
Most candidates were able to calculate oxidation state of carbon in B.
Candidates did not understand that they must mention the IMF responsible for the solubility. Most candidates explained the polarity of the aldehyde and water but did not mention that this results in permanent dipole-dipole interactions; many did mention H-bonding. The mention of the lone pair on O atom and short hydrocarbon chain were very rare.
Ethanol and methanoic acid are important industrial products.
Ethanol is used as a fuel.
Write the chemical equation for the complete combustion of ethanol.
Deduce the change in enthalpy, ΔH, in kJ, when 56.00 g of ethanol is burned. Use section 13 in the data booklet.
Oxidation of ethanol with potassium dichromate, K2Cr2O7, can form two different organic products. Determine the names of the organic products and the methods used to isolate them.
Write the equation and name the organic product when ethanol reacts with methanoic acid.
Sketch the titration curve of methanoic acid with sodium hydroxide, showing how you would determine methanoic acid pKa.
Identify an indicator that could be used for the titration in 5(d)(i), using section 22 of the data booklet.
Determine the concentration of methanoic acid in a solution of pH = 4.12. Use section 21 of the data booklet.
Identify if aqueous solutions of the following salts are acidic, basic, or neutral.
Markscheme
CH3CH2OH (l) + 3O2 (g) → 2CO2 (g) + 3H2O (g) ✓
«n = =» 1.215 «mol» ✓
«1.215mol × (−1367 kJ mol−1) =» −1661 «kJ» ✓
Award [2] for correct final answer.
Award [1 max] for “«+»1661 «kJ»”.
ethanal AND distillation ✓
ethanoic acid AND reflux «followed by distillation» ✓
Award [1] for both products OR both methods.
Equation:
CH3CH2OH + HCOOH HCOOCH2CH3 + H2O ✓
Product name:
ethyl methanoate ✓
Accept equation without equilibrium arrows.
Accept equation with molecular formulas (C2H6O + CH2O2 C3H6O2 + H2O) only if product name is correct.
increasing S-shape pH curve ✓
pKa: pH at half neutralization/equivalence ✓
M1: Titration curve must show buffer region at pH <7 and equivalence at pH >7.
Ignore other parts of the curve, i.e., before buffer region, etc.
Accept curve starting from where two axes meet as pH scale is not specified.
phenolphthalein
OR
phenol red ✓
Alternative 1:
Ka =
OR
[HCOOH] = ✓
«[HCOOH] =» 3.24 × 10−5 «mol dm−3» ✓
Alternative 2:
«pH = pKa + log »
4.12 = 3.75 + log ✓
«[HCOOH] =» 3.24 × 10−5 «mol dm−3» ✓
Award [2] for correct final answer.
Sodium methanoate: basic
Ammonium chloride: acidic
Sodium nitrate: neutral ✓ ✓
Award [2] for three correct.
Award [1] for two correct.
Examiners report
Benzene is an aromatic hydrocarbon.
Discuss the physical evidence for the structure of benzene.
State the typical reactions that benzene and cyclohexene undergo with bromine.

State the reagents used to convert benzene to nitrobenzene and the formula of the electrophile formed.
Explain the mechanism for the nitration of benzene, using curly arrows to show the movement of electron pairs.
State the reagents used in the two-stage conversion of nitrobenzene to aniline.
Markscheme
Any two of:
planar «X-ray»
C to C bond lengths all equal
OR
C to C bonds intermediate in length between C–C and C=C
all C–C–C bond angles equal
[2 marks]
benzene: «electrophilic» substitution/SE
AND
cyclohexene: «electrophilic» addition/AE
Accept correct equations.
[1 mark]
«concentrated» nitric AND sulfuric acids
+NO2
Accept NO2+.
[2 marks]
curly arrow going from benzene ring to N of +NO2/NO2+
carbocation with correct formula and positive charge on ring
curly arrow going from C–H bond to benzene ring of cation
formation of organic product AND H+
Accept mechanism with corresponding Kekulé structures.
Do not accept a circle in M2 or M3.
Accept first arrow starting either inside the circle or on the circle.
M2 may be awarded from correct diagram for M3.
M4: Accept C6H5NO2 + H2SO4 if HSO4– used in M3.
Fe/Zn/Sn AND HCl/H2SO4/CH3COOH
NaOH/KOH
Accept other suitable metals and acids.
Accept other suitable bases.
Award [1 max] for single-step reducing agents (such as H2/Pt, Na2S etc.).
Accept formulas or names.
[2 marks]
Examiners report
Chlorine undergoes many reactions.
of manganese(IV) oxide was added to of .
Chlorine gas reacts with water to produce hypochlorous acid and hydrochloric acid.
is a common chlorofluorocarbon, .
State the full electron configuration of the chlorine atom.
State, giving a reason, whether the chlorine atom or the chloride ion has a larger radius.
Outline why the chlorine atom has a smaller atomic radius than the sulfur atom.
The mass spectrum of chlorine is shown.
NIST Mass Spectrometry Data Center Collection © 2014 copyright by the U.S. Secretary of Commerce on behalf of the United States of America. All rights reserved.
Outline the reason for the two peaks at and .
Explain the presence and relative abundance of the peak at .
Calculate the amount, in , of manganese(IV) oxide added.
Determine the limiting reactant, showing your calculations.
Determine the excess amount, in , of the other reactant.
Calculate the volume of chlorine, in , produced if the reaction is conducted at standard temperature and pressure (STP). Use section 2 of the data booklet.
State the oxidation state of manganese in and .
Deduce, referring to oxidation states, whether is an oxidizing or reducing agent.
Hypochlorous acid is considered a weak acid. Outline what is meant by the term weak acid.
State the formula of the conjugate base of hypochlorous acid.
Calculate the concentration of in a solution with a .
State the type of reaction occurring when ethane reacts with chlorine to produce chloroethane.
Predict, giving a reason, whether ethane or chloroethane is more reactive.
Explain the mechanism of the reaction between chloroethane and aqueous sodium hydroxide, , using curly arrows to represent the movement of electron pairs.
Ethoxyethane (diethyl ether) can be used as a solvent for this conversion.
Draw the structural formula of ethoxyethane
Deduce the number of signals and chemical shifts with splitting patterns in the 1H NMR spectrum of ethoxyethane. Use section 27 of the data booklet.
Calculate the percentage by mass of chlorine in .
Comment on how international cooperation has contributed to the lowering of emissions responsible for ozone depletion.
s produce chlorine radicals. Write two successive propagation steps to show how chlorine radicals catalyse the depletion of ozone.
Markscheme
✔
Do not accept condensed electron configuration.
AND more «electron–electron» repulsion ✔
Accept AND has an extra electron.
has a greater nuclear charge/number of protons/ «causing a stronger pull on the outer electrons» ✔
same number of shells
OR
same «outer» energy level
OR
similar shielding ✔
«two major» isotopes «of atomic mass and » ✔
«diatomic» molecule composed of «two» chlorine-37 atoms ✔
chlorine-37 is the least abundant «isotope»
OR
low probability of two «isotopes» occurring in a molecule ✔
✔
✔
AND is the limiting reactant ✔
Accept other valid methods of determining the limiting reactant in M2.
✔
✔
Accept methods employing .
✔
✔
oxidizing agent AND oxidation state of changes from to /decreases ✔
partially dissociates/ionizes «in water» ✔
✔
✔
«free radical» substitution/ ✔
Do not accept electrophilic or nucleophilic substitution.
chloroethane AND C–Cl bond is weaker/ than C–H bond/
OR
chloroethane AND contains a polar bond ✔
Accept “chloroethane AND polar”.
curly arrow going from lone pair/negative charge on in −OH to ✔
curly arrow showing leaving ✔
representation of transition state showing negative charge, square brackets and partial bonds ✔
Accept with or without the lone pair.
Do not accept curly arrows originating on in .
Accept curly arrows in the transition state.
Do not penalize if and are not at 180°.
Do not award M3 if bond is represented.
/ ✔
Accept .
2 «signals» ✔
0.9−1.0 AND triplet ✔
3.3−3.7 AND quartet ✔
Accept any values in the ranges.
Award [1] for two correct chemical shifts or two correct splitting patterns.
✔
✔
Award [2] for correct final answer.
Any of:
research «collaboration» for alternative technologies «to replace s»
OR
technologies «developed»/data could be shared
OR
political pressure/Montreal Protocol/governments passing legislations ✔
Do not accept just “collaboration”.
Do not accept any reference to as greenhouse gas or product of fossil fuel combustion.
Accept reference to specific measures, such as agreement on banning use/manufacture of s.
✔
OR
✔
Penalize missing/incorrect radical dot (∙) once only.
Examiners report
Well answered question with 90% of candidates correctly identifying the complete electron configuration for chlorine.
Most candidates could correctly explain the relative sizes of chlorine atom and chloride ion.
Fairly well answered though some candidates missed M2 for not recognizing the same number of shells affected.
More than 80% could identify that the two peaks in the MS of chlorine are due to different isotopes.
Not well answered. Some candidates were able to identify m/z 74 being due to the m/z of two Cl-37 atoms, however fewer candidates were able to explain the relative abundance of the isotope.
Stoichiometric calculations were generally well done and over 90% could calculate mol from a given mass.
90% of candidates earned full marks on this 2-mark question involving finding a limiting reactant.
Surprisingly, quite a number of candidates struggled with the quantity of excess reactant despite correctly identifying limiting reactant previously.
Most candidates could find the volume of gas produced in a reaction under standard conditions.
More than 90% could identify the oxidation number of manganese in both MnO2 and MnCl2.
Most candidates stated that MnO2 is an oxidizing agent in the reaction but many did not get the mark because there was no reference to oxidation states.
Another well answered 1-mark question where candidates correctly identified a weak acid as an acid which partially dissociates in water.
Roughly ⅓ of the candidates failed to identify the conjugate base, perhaps distracted by the fact it was not contained in the equation given.
Vast majority of candidates could calculate the concentration of H+ (aq) in a HClO (aq) solution with a pH =3.61.
Many identified the reaction of chlorine with ethane as free-radical substitution, or just substitution, with some erroneously stating nucleophilic or electrophilic substitution.
The underlying reasons for the relative reactivity of ethane and chloroethane were not very well known with a few giving erroneous reasons and some stating ethane more reactive.
Few earned full marks for the curly arrow mechanism of the reaction between sodium hydroxide and chloroethane. Mistakes being careless curly arrow drawing, inappropriate –OH notation, curly arrows from the hydrogen or from the carbon to the C–Cl bond, or a method that missed the transition state.
Approximately 60% could draw ethoxyethane however many demonstrated little knowledge of structure of an ether molecule.
A poorly answered question with some getting full marks on this 1HNMR spectrum of ethoxyethane question. Very few could identify all 3 of number of signals, chemical shift, and splitting pattern.
Another good example of candidates being well rehearsed in calculations with 90% earning 2/2 on this question of calculation percentage by mass composition.
Somewhat disappointing answers on this question about how international cooperation has contributed to the lowering of CFC emissions. Many gave vague answers and some referred to carbon emissions and global warming.
Few could construct the propagation equations showing how CFCs affect ozone, and many lost marks by failing to identify ClO· as a radical.
Organic chemistry can be used to synthesize a variety of products.
Combustion analysis of an unknown organic compound indicated that it contained only carbon, hydrogen and oxygen.
Several compounds can be synthesized from but-2-ene. Draw the structure of the final product for each of the following chemical reactions.
Determine the change in enthalpy, ΔH, for the combustion of but-2-ene, using section 11 of the data booklet.
CH3CH=CHCH3 (g) + 6O2 (g) → 4CO2 (g) + 4H2O (g)
State the hybridization of the carbon I and II atoms in but-2-ene.
Draw diagrams to show how sigma (σ) and pi (π) bonds are formed between atoms.
Sketch the mechanism for the reaction of 2-methylbut-2-ene with hydrogen bromide using curly arrows.
Explain why the major organic product is 2-bromo-2-methylbutane and not 2-bromo-3-methylbutane.
Deduce two features of this molecule that can be obtained from the mass spectrum. Use section 28 of the data booklet.
NIST Mass Spectrometry Data Center Collection © 2014 copyright by the U.S. Secretary of Commerce
on behalf of the United States of America. All rights reserved.
Identify the bond responsible for the absorption at A in the infrared spectrum. Use section 26 of the data booklet.
NIST Mass Spectrometry Data Center Collection © 2014 copyright by the U.S. Secretary of Commerce
on behalf of the United States of America. All rights reserved.
Deduce the identity of the unknown compound using the previous information, the 1H NMR spectrum and section 27 of the data booklet.
SDBS, National Institute of Advanced Industrial Science and Technology (AIST).
Draw the stereoisomers of butan-2-ol using wedge-dash type representations.
Outline how two enantiomers can be distinguished using a polarimeter.
Markscheme
Penalize missing hydrogens in displayed structural formulas once only.
Accept condensed structural formulas: CH3CH(OH)CH2CH3 / CH3CH2CH2CH3 or skeletal structures.
Bonds broken:
2(C–C) + 1(C=C) + 8(C–H) + 6O=O / 2(346) + 1(614) + 8(414) + 6(498) / 7606 «kJ» ✓
Bonds formed:
8(C=O) + 8(O–H) / 8(804) + 8(463) / 10 136 «kJ» ✓
Enthalpy change:
«Bonds broken – Bonds formed = 7606 kJ – 10 136 kJ =» –2530 «kJ» ✓
Award [3] for correct final answer.
Award [2 max] for «+» 2530 «kJ».
Sigma (σ):
Accept any diagram showing end to end/direct overlap of atomic/hybridized orbitals and electron density concentrated between nuclei.
Pi (π):
Accept any diagram showing sideways overlap of unhybridized p/atomic orbitals and electron density above and below plane of bond axis.
Alternative 1
Penalize incorrect bond e.g., -CH-H3C or –CH3C only once in the paper.
Alternative 2
curly arrow going from C=C to H of HBr AND curly arrow showing Br leaving ✓
representation of carbocation ✓
curly arrow going from lone pair/negative charge on Br− to C+ ✓
«2-bromo-2-methylbutane involves» formation of more stable «tertiary» carbocation/intermediate
OR
«2-bromo-3-methylbutane involves» formation of less stable «secondary» carbocation/intermediate ✓
«intermediate» more stable due to «increased positive» inductive/electron-releasing effect of extra –R/alkyl group/–CH3/methyl ✓
Do not award marks for quoting Markovnikov’s rule without any explanation.
m/z 58:
molar/«relative» molecular mass/weight/Mr «is 58 g mol−1/58» ✓
m/z 43:
«loses» methyl/CH3 «fragment»
OR
COCH3+ «fragment» ✓
Do not penalize missing charge on the fragments.
Accept molecular ion «peak»/ CH3COCH3+/C3H6O+.
Accept any C2H3O+ fragment/ CH3CH2CH2+/C3H7+.
C=O ✓
Accept carbonyl/C=C.
Information deduced from 1H NMR:
«one signal indicates» one hydrogen environment/symmetrical structure
OR
«chemical shift of 2.2 indicates» H on C next to carbonyl ✓
Compound:
propanone/CH3COCH3 ✓
Accept “one type of hydrogen”.
Accept .
enantiomers rotate «plane of» plane-polarized light ✓
equal degrees/angles/amounts AND opposite directions/rotation ✓
Accept “optical isomers” for “enantiomers”.
Examiners report
Compound A is in equilibrium with compound B.
Predict the electron domain and molecular geometries around the oxygen atom of molecule A using VSEPR
State the type of hybridization shown by the central carbon atom in molecule B.
State the number of sigma () and pi () bonds around the central carbon atom in molecule B.
The IR spectrum of one of the compounds is shown:
COBLENTZ SOCIETY. Collection © 2018 copyright by the U.S. Secretary of Commerce on behalf of the United States of America. All rights reserved.
Deduce, giving a reason, the compound producing this spectrum.
Compound A and B are isomers. Draw two other structural isomers with the formula .
The equilibrium constant, , for the conversion of A to B is in water at .
Deduce, giving a reason, which compound, A or B, is present in greater concentration when equilibrium is reached.
Calculate the standard Gibbs free energy change, , in , for the reaction (A to B) at . Use sections 1 and 2 of the data booklet.
Propanone can be synthesized in two steps from propene. Suggest the synthetic route including all the necessary reactants and steps.
Propanone can be synthesized in two steps from propene.
Suggest why propanal is a minor product obtained from the synthetic route in (g)(i).
Markscheme
Electron domain geometry: tetrahedral ✔
Molecular geometry: bent/V-shaped ✔
✔
-bonds:
AND
-bonds: ✔
B AND absorption/
OR
B AND absence of ✔
Accept any value between .
Accept any two isomers except for propanone and propen-2-ol:
✔✔
Penalize missing hydrogens in displayed structural formulas once only.
AND is greater than /large ✔
✔
/water «and » ✔
/propan-2-ol ✔
/«potassium» dichromate(VI) AND
OR
/«acidified potassium» manganate(VII) ✔
Accept .
primary carbocation «intermediate forms»
OR
minor product «of the water addition would be» propan-1-ol
OR
anti-Markovnikov addition of water ✔
primary alcohol/propan-1-ol oxidizes to an aldehyde/propanal ✔
Examiners report
The majority of students got at least one of electron domain geometry or molecular geometry correct.
The vast majority of students could identify the hybridization around a central carbon atom.
The vast majority of students could identify BOTH sigma and pi bonds in a molecule.
Many candidates identified B having C = O and a peak at 1750.
A surprising number of candidates drew propanone here as an option, either failing to read the question or perhaps finding the structural formulae provided difficult to understand.
Most candidates identified B, the product, as being in greater concentration at equilibrium however some lost the mark because they did not include a reason.
Most candidates could apply the formula for Gibbs free energy change, ΔGΘ, correctly however some did not get the units correct.
The mean mark was ⅔ for the required synthetic route. Some candidates failed to identify water as a reagent in the hydration reaction, or note that dichromate ion oxidation requires acidic conditions. This was also the question with most No Response.
This question regarding the formation of a minor product was not well answered. Many candidates struggled to explain the formation of propan-1-ol and to then oxidize it to propanal.
Phenylethene can be polymerized to form polyphenylethene (polystyrene, PS).
The major product of the reaction with hydrogen bromide is C6H5–CHBr–CH3 and the minor product is C6H5–CH2–CH2Br.
Draw the repeating unit of polyphenylethene.
Phenylethene is manufactured from benzene and ethene in a two-stage process. The overall reaction can be represented as follows with ΔGθ = +10.0 kJ mol−1 at 298 K.
Calculate the equilibrium constant for the overall conversion at 298 K, using section 1 of the data booklet.
The benzene ring of phenylethene reacts with the nitronium ion, NO2+, and the C=C double bond reacts with hydrogen bromide, HBr.
Compare and contrast these two reactions in terms of their reaction mechanisms.
Similarity:
Difference:
Outline why the major product, C6H5–CHBr–CH3, can exist in two forms and state the relationship between these forms.
Two forms:
Relationship:
The minor product, C6H5–CH2–CH2Br, can exist in different conformational forms (isomers).
Outline what this means.
The minor product, C6H5–CH2–CH2Br, can be directly converted to an intermediate compound, X, which can then be directly converted to the acid C6H5–CH2–COOH.
C6H5–CH2–CH2Br → X → C6H5–CH2–COOH
Identify X.
Markscheme
[✔]
Note: Do not penalize the use of brackets and “n”.
Do not award the mark if the continuation bonds are missing.
ln k «= » = –4.04 [✔]
k = 0.0176 [✔]
Note: Award [2] for correct final answer.
Similarity:
«both» involve an electrophile
OR
«both» electrophilic [✔]
Difference:
first/reaction of ring/with NO2+ is substitution/S«E» AND second/reaction of C=C/with HBr is addition/A«E» [✔]
Note: Answer must state which is substitution and which is addition for M2.
Two forms:
chiral/asymmetric carbon
OR
carbon atom attached to 4 different groups [✔]
Relationship:
mirror images
OR
enantiomers/optical isomers [✔]
Note: Accept appropriate diagrams for either or both marking points.
benzene ring «of the C6H5–CH2» and the bromine «on the CH2–Br» can take up different relative positions by rotating about the «C–C, σ–»bond [✔]
Note: Accept “different parts of the molecule can rotate relative to each other”.
Accept “rotation around σ–bond”.
C6H5–CH2–CH2OH [✔]
Examiners report
Most candidates were able to draw the monomer correctly. Some candidates made careless mistakes writing C6H6.
Another calculation which most candidates were able to work out, though some failed to convert ΔG given value in kJ mol-1 to J mol-1 or forgot the negative sign. Some used an inappropriate expression of R.
The strong candidates were generally able to see the similarity between the two reactions but unexpectedly some could not identify “electrophilic” as a similarity even if they referred to the differences as electrophilic substitution/addition, so probably were unable to understand what was being asked.
Candidates were given the products of the addition reaction and asked about the major product. Perhaps they were put off by the term “forms” and thus failed to “see” the chiral C that allowed the existence of enantiomers. There was some confusion with the type of isomerism and some even suggested cis/trans isomers.
If candidates seemed rather confused in the previous question, they seemed more so in this one. Most simply referred to isomers in general, not seeming to be slightly aware of what conformational isomerism is, even if it is in the curriculum.
Quite well answered though some candidates suggested an aldehyde rather than the alcohol, or forgot that C has two hydrogens apart from the -OH. In other cases, they left a Br there.
Hybridization of hydrocarbons affects their reactivity.
Experiments were carried out to investigate the mechanism of reaction between 2-chloropentane and aqueous sodium hydroxide.
Distinguish between a sigma and pi bond.
Identify the hybridization of carbon in ethane, ethene and ethyne.
State, giving a reason, if but-1-ene exhibits cis-trans isomerism.
State the type of reaction which occurs between but-1-ene and hydrogen iodide at room temperature.
Explain the mechanism of the reaction between but-1-ene with hydrogen iodide, using curly arrows to represent the movement of electron pairs.
State, giving a reason, if the product of this reaction exhibits stereoisomerism.
Deduce the rate expression for this reaction.
Deduce the units of the rate constant.
Determine the initial rate of reaction in experiment 4.
Deduce, with a reason, the mechanism of the reaction between 2-chloropentane and sodium hydroxide.
Discuss the reason benzene is more reactive with an electrophile than a nucleophile.
Markscheme
Sigma (σ) bond:
overlap «of atomic orbitals» along the axial / intermolecular axis / electron density is between nuclei
OR
head-on/end-to-end overlap «of atomic orbitals» ✔
Pi (π) bond:
overlap «of p-orbitals» above and below the internuclear axis/electron density above and below internuclear axis
OR
sideways overlap «of p-orbitals» ✔
Accept a suitable diagram.
All 3 required for mark.
no AND 2 groups on a carbon «in the double bond» are the same/hydrogen «atoms»
OR
no AND molecule produced by rearranging atoms bonded on a carbon «in the double bond» is the same as the original ✔
«electrophilic» addition ✔
Do not allow nucleophilic addition.
curly arrow going from C=C to H of HI AND curly arrow showing I leaving ✔
representation of carbocation ✔
curly arrow going from lone pair/negative charge on I– to C+ ✔
2-iodobutane formed ✔
Penalize incorrect bond, e.g. –CH–H3C or –CH3C once only.
yes AND has a carbon attached to four different groups
OR
yes AND it contains a chiral carbon ✔
Accept yes AND mirror image of molecule different to original/non-superimposable on original.
«rate =» k[NaOH][C5H11Cl] ✔
mol–1 dm3 s–1 ✔
ALTERNATIVE 1:
«k = » 1.25 «mol–1 dm3 s–1» ✔
«rate = 1.25 mol–1 dm3 s–1 × 0.60 mol dm–3 × 0.25 mol dm–3»
1.9 x 10–1 «mol dm–3 s–1» ✔
ALTERNATIVE 2:
«[NaOH] exp. 4 is 3 × exp. 1»
«[C5H11Cl] exp. 4 is 2.5 × exp. 1»
«exp. 4 will be » 7.5× faster ✔
1.9 x 10–1 «mol dm–3 s–1» ✔
Award [2] for correct final answer.
SN2 AND rate depends on both OH– and 2-chloropentane ✔
Accept E2 AND rate depends on both OH– and 2-chloropentane.
delocalized electrons/pi bonds «around the ring»
OR
molecule has a region of high electron density/negative charge ✔
electrophiles are attracted/positively charged AND nucleophiles repelled/negatively charged ✔
Do not accept just “nucleophiles less attracted” for M2.
Accept “benzene AND nucleophiles are both electron rich” for “repels nucleophiles”.