User interface language: English | Español

SL Paper 2

A student determined the percentage of the active ingredient magnesium hydroxide, Mg(OH)2, in a 1.24 g antacid tablet.

The antacid tablet was added to 50.00 cm3 of 0.100 mol dm−3 sulfuric acid, which was in excess.

Calculate the amount, in mol, of H2SO4.

[1]
a.

Formulate the equation for the reaction of H2SO4 with Mg(OH)2.

[1]
b.

The excess sulfuric acid required 20.80 cm3 of 0.1133 mol dm−3 NaOH for neutralization.

Calculate the amount of excess acid present.

[1]
c.

Calculate the amount of H2SO4 that reacted with Mg(OH)2.

[1]
d.

Determine the mass of Mg(OH)2 in the antacid tablet.

[2]
e.

Calculate the percentage by mass of magnesium hydroxide in the 1.24 g antacid tablet to three significant figures.

[1]
f.

Markscheme

n(H2SO4) «= 0.0500 dm3 × 0.100 mol dm–3» = 0.00500/5.00 × 10–3«mol»

[1 mark]

a.

H2SO4(aq) + Mg(OH)2(s) → MgSO4(aq) + 2H2O(l)

 

Accept an ionic equation.

[1 mark]

b.

«n(H2SO4) = 1 2 × n(NaOH) = 1 2  (0.02080 dm3 × 0.1133 mol dm–3)»

0.001178/1.178 × 10–3 «mol»

[1 mark]

c.

n(H2SO4) reacted «= 0.00500 – 0.001178» = 0.00382/3.82 × 10–3 «mol»

[1 mark]

d.

n(Mg(OH)2) «= n(H2SO4) =» = 0.00382/3.82 × 10–3 «mol»

m(Mg(OH)2) «= 0.00382 mol × 58.33 g mol–1» = 0.223 «g»

 

 

Award [2] for correct final answer.

[2 marks]

e.

% Mg(OH)2 «= 0.223  g 1.24  g × 100» = 18.0 «%»

 

Answer must show three significant figures.

[1 mark]

f.

Examiners report

[N/A]
a.
[N/A]
b.
[N/A]
c.
[N/A]
d.
[N/A]
e.
[N/A]
f.



Phosphoric acid, H3PO4, can undergo stepwise neutralization, forming amphiprotic species.

Formulate an equation for the reaction of one mole of phosphoric acid with one mole of sodium hydroxide.

[1]
a.

Formulate two equations to show the amphiprotic nature of H2PO4.

[2]
b.

Calculate the concentration of H3PO4 if 25.00 cm3 is completely neutralised by the addition of 28.40 cm3 of 0.5000 mol dm−3 NaOH.

[2]
c.

Outline the reason that sodium hydroxide is considered a Brønsted–Lowry base.

[1]
d.

Markscheme

H3PO4 (aq) + NaOH (aq) → NaH2PO4 (aq) + H2O (l) ✔


Accept net ionic equation.

a.

H2PO4 (aq) + H+ (aq) → H3PO4 (aq) ✔

H2PO4 (aq) + OH (aq) → HPO42− (aq) + H2O (l) ✔


Accept reactions of H2PO4 with any acidic, basic or amphiprotic species, such as H3O+, NH3 or H2O.

Accept H2PO4 (aq) → HPO42− (aq) + H+ (aq) for M2.

b.

«NaOH 28.40cm31000×0.5000moldm-3=0.01420mol»

«0.01420mol3=» 0.004733 «mol» ✔

«0.004733mol25.00cm31000=» 0.1893 «mol dm−3» ✔


Award [2] for correct final answer.

c.

«OH is a» proton acceptor ✔

d.

Examiners report

[N/A]
a.
[N/A]
b.
[N/A]
c.
[N/A]
d.



Iron may be extracted from iron (II) sulfide, FeS.

Iron (II) sulfide, FeS, is ionically bonded.

The first step in the extraction of iron from iron (II) sulfide is to roast it in air to form iron (III) oxide and sulfur dioxide.

Outline why metals, like iron, can conduct electricity.

[1]
a.

Justify why sulfur is classified as a non-metal by giving two of its chemical properties.

[2]
b.

Describe the bonding in this type of solid.

[2]
c(i).

State the full electron configuration of the sulfide ion.

[1]
c(ii).

Outline, in terms of their electronic structures, why the ionic radius of the sulfide ion is greater than that of the oxide ion.

[1]
c(iii).

Suggest why chemists find it convenient to classify bonding into ionic, covalent and metallic.

[1]
c(iv).

Write the equation for this reaction.

[1]
d(i).

Deduce the change in the oxidation state of sulfur.

[1]
d(ii).

Suggest why this process might raise environmental concerns.

[1]
d(iii).

Explain why the addition of small amounts of carbon to iron makes the metal harder.

[2]
e.

Markscheme

mobile/delocalized «sea of» electrons

a.

Any two of:

forms acidic oxides «rather than basic oxides» ✔

forms covalent/bonds compounds «with other non-metals» ✔

forms anions «rather than cations» ✔

behaves as an oxidizing agent «rather than a reducing agent» ✔


Award [1 max] for 2 correct non-chemical properties such as non-conductor, high ionisation energy, high electronegativity, low electron affinity if no marks for chemical properties are awarded.

b.

electrostatic attraction ✔

between oppositely charged ions/between Fe2+ and S2− ✔

c(i).

1s2 2s2 2p6 3s2 3p6


Do not accept “[Ne] 3s2 3p6”.

c(ii).

«valence» electrons further from nucleus/extra electron shell/ electrons in third/3s/3p level «not second/2s/2p»✔


Accept 2,8 (for O2–) and 2,8,8 (for S2–)

c(iii).

allows them to explain the properties of different compounds/substances
OR
enables them to generalise about substances
OR
enables them to make predictions ✔


Accept other valid answers.

c(iv).

4FeS(s) + 7O2(g) → 2Fe2O3(s) + 4SO2(g) ✔


Accept any correct ratio.

d(i).

+6
OR
−2 to +4 ✔

Accept “6/VI”.
Accept “−II, 4//IV”.
Do not accept 2− to 4+.

d(ii).

sulfur dioxide/SO2 causes acid rain ✔

Accept sulfur dioxide/SO2/dust causes respiratory problems
Do not accept just “causes respiratory problems” or “causes acid rain”.

d(iii).

disrupts the regular arrangement «of iron atoms/ions»
OR
carbon different size «to iron atoms/ions» ✔

prevents layers/atoms sliding over each other ✔

e.

Examiners report

[N/A]
a.
[N/A]
b.
[N/A]
c(i).
[N/A]
c(ii).
[N/A]
c(iii).
[N/A]
c(iv).
[N/A]
d(i).
[N/A]
d(ii).
[N/A]
d(iii).
[N/A]
e.



Urea, (H2N)2CO, is excreted by mammals and can be used as a fertilizer.

Calculate the percentage by mass of nitrogen in urea to two decimal places using section 6 of the data booklet.

[2]
a.i.

Suggest how the percentage of nitrogen affects the cost of transport of fertilizers giving a reason.

[1]
a.ii.

The structural formula of urea is shown.

M18/4/CHEMI/SP2/ENG/TZ1/01.b_01

Predict the electron domain and molecular geometries at the nitrogen and carbon atoms, applying the VSEPR theory.

M18/4/CHEMI/SP2/ENG/TZ1/01.b_02

[3]
b.

Urea can be made by reacting potassium cyanate, KNCO, with ammonium chloride, NH4Cl.

                                      KNCO(aq) + NH4Cl(aq) → (H2N)2CO(aq) + KCl(aq)

Determine the maximum mass of urea that could be formed from 50.0 cm3 of 0.100 mol dm−3 potassium cyanate solution.

[2]
c.

Urea can also be made by the direct combination of ammonia and carbon dioxide gases.

                                   2NH3(g) + CO2(g)  (H2N)2CO(g) + H2O(g)     ΔH < 0

Predict, with a reason, the effect on the equilibrium constant, Kc, when the temperature is increased.

[1]
d.

Suggest one reason why urea is a solid and ammonia a gas at room temperature.

[1]
e.i.

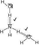
Sketch two different hydrogen bonding interactions between ammonia and water.

[2]
e.ii.

The combustion of urea produces water, carbon dioxide and nitrogen.

Formulate a balanced equation for the reaction.

[2]
f.

The mass spectrum of urea is shown below.

M18/4/CHEMI/SP2/ENG/TZ1/01.g_01

Identify the species responsible for the peaks at m/z = 60 and 44.

 

[2]
g.

The IR spectrum of urea is shown below.

M18/4/CHEMI/SP2/ENG/TZ1/01.h_01

Identify the bonds causing the absorptions at 3450 cm−1 and 1700 cm−1 using section 26 of the data booklet.

 

[2]
h.

Predict the number of signals in the 1H NMR spectrum of urea.

[1]
i.

Markscheme

molar mass of urea «= 4 × 1.01 + 2 × 14.01 + 12.01 + 16.00» = 60.07 «g mol–1»

«% nitrogen = 2 × 14.01 60.07  × 100 =» 46.65 «%»

 

 

Award [2] for correct final answer.

Award [1 max] for final answer not to two decimal places.

[2 marks]

a.i.

«cost» increases AND lower N% «means higher cost of transportation per unit of nitrogen»

OR

«cost» increases AND inefficient/too much/about half mass not nitrogen

 

Accept other reasonable explanations.

Do not accept answers referring to safety/explosions.

[1 mark]

a.ii.

M18/4/CHEMI/SP2/ENG/TZ1/01.b/M

 

Note: Urea’s structure is more complex than that predicted from VSEPR theory.

[3 marks]

b.

n(KNCO) «= 0.0500 dm3 × 0.100 mol dm–3» = 5.00 × 10–3 «mol»

«mass of urea = 5.00 × 10–3 mol × 60.07 g mol–1» = 0.300 «g»

 

 

Award [2] for correct final answer.

[2 marks]

c.

«Kc» decreases AND reaction is exothermic

OR

«Kc» decreases AND ΔH is negative

OR

«Kc» decreases AND reverse/endothermic reaction is favoured

[1 mark]

d.

Any one of:

urea has greater molar mass

urea has greater electron density/greater London/dispersion

urea has more hydrogen bonding

urea is more polar/has greater dipole moment

 

Accept “urea has larger size/greater van der Waals forces”.

Do not accept “urea has greater intermolecular forces/IMF”.

[1 mark]

e.i.

M18/4/CHEMI/SP2/ENG/TZ1/01.e.ii/M

 

Award [1] for each correct interaction.

If lone pairs are shown on N or O, then the lone pair on N or one of the lone pairs on O MUST be involved in the H-bond.

Penalize solid line to represent H-bonding only once.

[2 marks]

e.ii.

2(H2N)2CO(s) + 3O2(g) → 4H2O(l) + 2CO2(g) + 2N2(g)

correct coefficients on LHS

correct coefficients on RHS

 

Accept (H2N)2CO(s) + 3 2 O2(g) → 2H2O(l) + CO2(g) + N2(g).

Accept any correct ratio.

[2 marks]

f.

60: CON2H4+

44: CONH2+

 

Accept “molecular ion”.

[2 marks]

g.

3450 cm1: N–H

1700 cm–1: C=O

 

Do not accept “OH” for 3450 cm–1.

[2 marks]

h.

1

[1 mark]

i.

Examiners report

[N/A]
a.i.
[N/A]
a.ii.
[N/A]
b.
[N/A]
c.
[N/A]
d.
[N/A]
e.i.
[N/A]
e.ii.
[N/A]
f.
[N/A]
g.
[N/A]
h.
[N/A]
i.



Menthol is an organic compound containing carbon, hydrogen and oxygen.

Complete combustion of 0.1595 g of menthol produces 0.4490 g of carbon dioxide and 0.1840 g of water. Determine the empirical formula of the compound showing your working.

[3]
a.

0.150 g sample of menthol, when vaporized, had a volume of 0.0337 dm3 at 150 °C and 100.2 kPa. Calculate its molar mass showing your working.

[2]
b.

Markscheme

carbon: « 0.4490 g 44.01 g mo l 1 » = 0.01020 «mol» / 0.1225 «g»

OR

hydrogen: « 0.1840 × 2 18.02 » = 0.02042 «mol» / 0.0206 «g»

oxygen: «0.1595 – (0.1225 + 0.0206)» = 0.0164 «g» / 0.001025 «mol»

empirical formula: C10H20O

Award [3] for correct final answer.

a.

temperature = 423 K

OR

«M = m R T p V

« = 0.150 g × 8.31 J  K 1 mol 1 × 423 K 100.2 kPa × 0.0337 d m 3 = » 156 «g mol–1»

Award [1] for correct answer with no working shown.

Accept “pV = nRT AND n =  m M ” for M1.

b.

Examiners report

[N/A]
a.
[N/A]
b.



Automobile air bags inflate by a rapid decomposition reaction. One typical compound used is guanidinium nitrate, C(NH2)3NO3, which decomposes very rapidly to form nitrogen, water vapour and carbon.

Deduce the equation for the decomposition of guanidinium nitrate.

[1]
a(i).

Calculate the total number of moles of gas produced from the decomposition of 10.0 g of guanidinium nitrate.

[1]
a(ii).

Calculate the pressure, in kPa, of this gas in a 10.0 dm3 air bag at 127°C, assuming no gas escapes.

[1]
a(iii).

Suggest why water vapour deviates significantly from ideal behaviour when the gases are cooled, while nitrogen does not.

[2]
a(iv).

Another airbag reactant produces nitrogen gas and sodium.

Suggest, including an equation, why the products of this reactant present a safety hazard.

[2]
b.

Markscheme

C(NH2)3NO3 (s) → 2N2 (g) + 3H2O (g) + C (s) ✔

a(i).

moles of gas = « 5×10.0g122.11g mol1=» 0.409 «mol» ✔

a(ii).

«p=0.409mol×8.31 J K1mol1×(127+273)K10.0 dm3» = 136 «kPa» ✔

a(iii).

Any two of:
nitrogen non-polar/London/dispersion forces AND water polar/H-bonding ✔
water has «much» stronger intermolecular forces ✔
water molecules attract/condense/occupy smaller volume «and therefore deviate from ideal behaviour» ✔

a(iv).

2Na (s) + 2H2O (l) → 2NaOH (aq) + H2 (g) ✔

hydrogen explosive
OR
highly exothermic reaction
OR
sodium reacts violently with water
OR
forms strong alkali ✔

NOTE: Accept the equation of combustion of hydrogen.
Do not accept just “sodium is reactive/dangerous”.

b.

Examiners report

[N/A]
a(i).
[N/A]
a(ii).
[N/A]
a(iii).
[N/A]
a(iv).
[N/A]
b.



Propan-2-ol is a useful organic solvent.

Draw the structural formula of propan-2-ol.

[1]
a.

Calculate the number of hydrogen atoms in 1.00 g of propan-2-ol.

[2]
b.

Classify propan-2-ol as a primary, secondary or tertiary alcohol, giving a reason.

[1]
c.

State a suitable oxidizing agent for the oxidation of propan-2-ol in an acidified aqueous solution.

[1]
d.i.

Deduce the average oxidation state of carbon in propan-2-ol.

[1]
d.ii.

Deduce the product of the oxidation of propan-2-ol with the oxidizing agent in (d)(i).

[1]
d.iii.

Markscheme

CH3CH(OH)CH3

 

Accept the full or condensed structural formula.

a.

« 1.00 g ( 12.01 × 3 + 1.01 × 8 + 16.00 ) g mo l 1 = »  0.0166  «mol CH3CH(OH)CH3» 

«0.0166 mol × 6.02 × 1023 molecules mol−1 × 8 atoms molecule−1 =» 8.01 × 1022 «atoms of hydrogen» ✔ 

 

Accept answers in the range 7.99 × 1022 to 8.19 × 1022.

Award [2] for correct final answer.

b.

secondary AND OH/hydroxyl is attached to a carbon bonded to one hydrogen

OR

secondary AND OH/hydroxyl is attached to a carbon bonded to two C/R/alkyl/CH3 «groups» ✔

 

Accept “secondary AND OH is attached to the second carbon in the chain”.

c.

«potassium/sodium» manganate(VII)/permanganate/KMnO4/NaMnO4/MnO4

OR

«potassium/sodium» dichromate(VI)/K2Cr2O7/Na2Cr2O7/Cr2O72− ✔

d.i.

−2 ✔

d.ii.

propanone/propan-2-one/CH3COCH3

d.iii.

Examiners report

[N/A]
a.
[N/A]
b.
[N/A]
c.
[N/A]
d.i.
[N/A]
d.ii.
[N/A]
d.iii.



When heated in air, magnesium ribbon reacts with oxygen to form magnesium oxide.

The reaction in (a)(i) was carried out in a crucible with a lid and the following data was recorded:

Mass of crucible and lid = 47.372 ±0.001 g

Mass of crucible, lid and magnesium ribbon before heating = 53.726 ±0.001 g

Mass of crucible, lid and product after heating = 56.941 ±0.001 g

 

When magnesium is burnt in air, some of it reacts with nitrogen to form magnesium nitride according to the equation:

3 Mg (s) + N2 (g) → Mg3N2 (s)

The presence of magnesium nitride can be demonstrated by adding water to the product. It is hydrolysed to form magnesium hydroxide and ammonia.

Most nitride ions are 14N3–.

Write a balanced equation for the reaction that occurs.

[1]
a(i).

State the block of the periodic table in which magnesium is located.

[1]
a(ii).

Identify a metal, in the same period as magnesium, that does not form a basic oxide.

[1]
a(iii).

Calculate the amount of magnesium, in mol, that was used.

[1]
b(i).

Determine the percentage uncertainty of the mass of product after heating.

[2]
b(ii).

Assume the reaction in (a)(i) is the only one occurring and it goes to completion, but some product has been lost from the crucible. Deduce the percentage yield of magnesium oxide in the crucible.

 

[2]
b(iii).

Evaluate whether this, rather than the loss of product, could explain the yield found in (b)(iii).

[1]
c(i).

Suggest an explanation, other than product being lost from the crucible or reacting with nitrogen, that could explain the yield found in (b)(iii).

[1]
c(ii).

Calculate coefficients that balance the equation for the following reaction.

__ Mg3N2 (s) + __ H2O (l) → __ Mg(OH)2 (s) + __ NH3 (aq)

[1]
d(i).

Determine the oxidation state of nitrogen in Mg3N2 and in NH3.

[1]
d(ii).

Deduce, giving reasons, whether the reaction of magnesium nitride with water is an acid–base reaction, a redox reaction, neither or both.

[2]
d(iii).

State the number of subatomic particles in this ion.

[1]
e(i).

Some nitride ions are 15N3–. State the term that describes the relationship between 14N3– and 15N3–.

[1]
e(ii).

The nitride ion and the magnesium ion are isoelectronic (they have the same electron configuration). Determine, giving a reason, which has the greater ionic radius.

[1]
e(iii).

Suggest two reasons why atoms are no longer regarded as the indivisible units of matter.

[2]
f.

State the types of bonding in magnesium, oxygen and magnesium oxide, and how the valence electrons produce these types of bonding.

[4]
g.

Markscheme

2 Mg(s) + O2(g) → 2 MgO(s) ✔


Do not accept equilibrium arrows. Ignore state symbols

a(i).

s ✔


Do not allow group 2

a(ii).

aluminium/Al ✔

a(iii).

53.726g-47.372g244.31gmol-1=6.354g24.31gmol-1=0.2614 «mol» ✔

b(i).

mass of product «=56.941g-47.372g»=9.569«g» ✔

⟨⟨100 × 2×0.001g9.569g=0.0209⟩⟩ = 0.02 «%» ✔

 

Award [2] for correct final answer

Accept 0.021%

b(ii).

 0.2614mol × (24.31gmol-1+16.00gmol-1)=0.2614mol×40.31gmol-1=10.536«g» ✔

100×9.569g10.536g= 90.822=91«%» ✔

 

Award «0.2614 mol x 40.31 g mol–1»

Accept alternative methods to arrive at the correct answer.

Accept final answers in the range 91-92%

[2] for correct final answer.

b(iii).

yes
AND
«each Mg combines with 23 N, so» mass increase would be 14x23 which is less than expected increase of 16x
OR
3 mol Mg would form 101g of Mg3N2 but would form 3 x MgO = 121 g of MgO
OR
0.2614 mol forms 10.536 g of MgO, but would form 8.796 g of Mg3N2

 

Accept Yes AND “the mass of N/N2 that combines with each g/mole of Mg is lower than that of O/O2

Accept YES AND “molar mass of nitrogen less than of oxygen”.

c(i).

incomplete reaction
OR
Mg was partially oxidised already
OR
impurity present that evaporated/did not react ✔

 

Accept “crucible weighed before fully cooled”.

Accept answers relating to a higher atomic mass impurity consuming less O/O2.

Accept “non-stoichiometric compounds formed”.

Do not accept "human error", "wrongly calibrated balance" or other non-chemical reasons.

If answer to (b)(iii) is >100%, accept appropriate reasons, such as product absorbed moisture before being weighed.

c(ii).

«1» Mg3N2 (s) + 6 H2O (l) → 3 Mg(OH)2 (s) + 2 NH3 (aq)

d(i).

Mg3N2: -3
AND
NH3: -3 ✔


Do not accept 3 or 3-

d(ii).

Acid–base:
yes AND N3- accepts H+/donates electron pair«s»
OR
yes AND H2O loses H+ «to form OH-»/accepts electron pair«s» ✔

Redox:
no AND no oxidation states change ✔

 

Accept “yes AND proton transfer takes place”

Accept reference to the oxidation state of specific elements not changing.

Accept “not redox as no electrons gained/lost”.

Award [1 max] for Acid–base: yes AND Redox: no without correct reasons, if no other mark has been awarded

d(iii).

Protons: 7 AND Neutrons: 7 AND Electrons: 10 ✔

e(i).

isotope«s» ✔

e(ii).

nitride AND smaller nuclear charge/number of protons/atomic number ✔

e(iii).

Any two of:

subatomic particles «discovered»
OR
particles smaller/with masses less than atoms «discovered»
OR
«existence of» isotopes «same number of protons, different number of neutrons» ✔


charged particles obtained from «neutral» atoms
OR
atoms can gain or lose electrons «and become charged» ✔


atom «discovered» to have structure ✔


fission
OR
atoms can be split ✔

 

Accept atoms can undergo fusion «to produce heavier atoms»

Accept specific examples of particles.

Award [2] for “atom shown to have a nucleus with electrons around it” as both M1 and M3.

f.


Award [1] for all bonding types correct.

Award [1] for each correct description.

Apply ECF for M2 only once.

g.

Examiners report

This was not as well done as one might have expected with the most common errors being O instead of O2 oxygen and MgO rather than MgO2.

a(i).

Many students did not know what "block" meant, and often guessed group 2 etc.

a(ii).

Many students confused "period" and "group" and also many did not read metal, so aluminium was not chosen by the majority.

a(iii).

A number of students were not able to interpret the results and hence find the gain in mass and calculate the moles correctly.

b(i).

Only a handful could work out the correct answer. Most had no real idea and quite a lot of blank responses. There also seems to be significant confusion between "percent uncertainty" and "percent error".

b(ii).

This was not well answered, but definitely better than the previous question with quite a few gaining some credit for correctly determining the theoretical yield.

b(iii).

This proved to be a very difficult question to answer in the quantitative manner required, with hardly any correct responses.

c(i).

Quite a few students realised that incomplete reaction would lead to this, but only 30% of students gave a correct answer rather than a non-specific guess, such as "misread balance" or "impurities".

c(ii).

This was generally very well done with almost all candidates being able to determine the correct coefficients.

d(i).

About 40% of students managed to correctly determine both the oxidation states, as -3, with errors being about equally divided between the two compounds.

d(ii).

Probably only about 10% could explain why this was an acid-base reaction. Rather more made valid deductions about redox, based on their answer to the previous question.

d(iii).

Most candidates could answer the question about subatomic particles correctly.

e(i).

Identification of isotopes was answered correctly by most students.

e(ii).

In spite of being given the meaning of "isoelectronic", many candidates talked about the differing number of electrons and only about 30% could correctly analyse the situation in terms of nuclear charge.

e(iii).

The question was marked quite leniently so that the majority of candidates gained at least one of the marks by mentioning a subatomic particle. A significant number read "indivisible" as "invisible" however.

f.

About a quarter of the students gained full marks and probably a similar number gained no marks. Metallic bonding was the type that seemed least easily recognised and least easily described. Another common error was to explain ionic bonding in terms of attraction of ions rather than describing electron transfer.

g.



Magnesium is a group 2 metal which exists as a number of isotopes and forms many compounds.

State the nuclear symbol notation, Z A X , for magnesium-26.

[1]
a.

Mass spectroscopic analysis of a sample of magnesium gave the following results:

Calculate the relative atomic mass, Ar, of this sample of magnesium to two decimal places.

[2]
b.

Magnesium burns in air to form a white compound, magnesium oxide. Formulate an equation for the reaction of magnesium oxide with water.

[1]
c.

Describe the trend in acid-base properties of the oxides of period 3, sodium to chlorine.

[2]
d.

In addition to magnesium oxide, magnesium forms another compound when burned in air. Suggest the formula of this compound

[1]
e.

Describe the structure and bonding in solid magnesium oxide.

[2]
f.

Magnesium chloride can be electrolysed.

Deduce the half-equations for the reactions at each electrode when molten magnesium chloride is electrolysed, showing the state symbols of the products. The melting points of magnesium and magnesium chloride are 922 K and 987 K respectively.

Anode (positive electrode):

Cathode (negative electrode):

[2]
g.

Markscheme

12 26 M g

a.

«Ar =» 24 × 78.60 + 25 × 10.11 + 26 × 11.29 100

«= 24.3269 =» 24.33

Award [2] for correct final answer.
Do not accept data booklet value (24.31).

b.

MgO(s) + H2O(l) → Mg(OH)2(s)

OR

MgO(s) + H2O(l) → Mg2+(aq) + 2OH(aq)

Accept  .

c.

from basic to acidic

through amphoteric

Accept “alkali/alkaline” for “basic”.
Accept “oxides of Na and Mg: basic AND oxide of Al: amphoteric” for M1.
Accept “oxides of non-metals/Si to Cl acidic” for M2.
Do not accept just “become more acidic”

d.

Mg3N2

Accept MgO2, Mg(OH)2, Mg(NOx)2, MgCO3.

e.

«3-D/giant» regularly repeating arrangement «of ions»
OR
lattice «of ions»
Accept “giant” for M1, unless “giant covalent” stated.

electrostatic attraction between oppositely charged ions
OR
electrostatic attraction between Mg2+ and O2– ions
Do not accept “ionic” without description.

f.

Anode (positive electrode):
2Cl → Cl2(g) + 2e

Cathode (negative electrode):
Mg2+ + 2e → Mg(l)

Penalize missing/incorrect state symbols at Cl2 and Mg once only.
Award [1 max] if equations are at wrong electrodes.
Accept Mg (g).

 

g.

Examiners report

[N/A]
a.
[N/A]
b.
[N/A]
c.
[N/A]
d.
[N/A]
e.
[N/A]
f.
[N/A]
g.



Biochemical oxygen demand (BOD) can be determined by the Winkler Method.

A 25.00 cm3 sample of water was treated according to the Winkler Method.

Step I:   2Mn2+ (aq) + O2 (g) + 4OH− (aq) → 2MnO2 (s) + 2H2O (l)

Step II:  MnO2 (s) + 2I− (aq) + 4H+ (aq) → Mn2+ (aq) + I2 (aq) + 2H2O (l)

Step III: 2S2O32− (aq) + I2 (aq) → 2I− (aq) + S4O62− (aq)

The iodine produced was titrated with 37.50 cm3 of 5.000 × 10−4 mol dm−3 Na2S2O3.

Outline what is measured by BOD.

[1]
a.

A student dissolved 0.1240 ± 0.0001 g of Na2S2O3 to make 1000.0 ± 0.4 cm3 of solution to use in the Winkler Method.

Determine the percentage uncertainty in the molar concentration.

[2]
b.

Calculate the amount, in moles of Na2S2O3 used in the titration.

[1]
c(i).

Deduce the mole ratio of O2 consumed in step I to S2O32− used in step III.

[1]
c(ii).

Calculate the concentration of dissolved oxygen, in mol dm−3, in the sample.

[2]
c(iii).

The three steps of the Winkler Method are redox reactions.

Deduce the reduction half-equation for step II.

[1]
c(iv).

Markscheme

«amount of» oxygen used to decompose the organic matter in water ✔

a.

«0.0001 g0.1240 g×100%=» 0.08 «%»
OR
«0.4 cm31000.0 cm3×100%=» 0.04 «%» ✔


«0.08 % + 0.04 % =» 0.12/0.1 «%» ✔


Award [2] for correct final answer.

Accept fractional uncertainties for M1, i.e., 0.0008 OR 0.0004.

b.

«37.50 cm31000× 5.000 × 10−4 mol dm−3 =» 1.875 × 10−5 «mol» ✔

c(i).

1:4 ✔

Accept “4 mol S2O32– :1 mol O2“, but not just 4:1.

c(ii).

«1.875×10-5mol×14=» 4.688 × 10−6 «mol» ✔

«4.688×10-6 mol25.00 cm31000=» 1.875 × 10−4 «mol dm−3» ✔


Award [2] for correct final answer.

c(iii).

MnO2 (s) + 2e + 4H+ (aq) → Mn2+ (aq) + 2H2O (l) ✔

c(iv).

Examiners report

[N/A]
a.
[N/A]
b.
[N/A]
c(i).
[N/A]
c(ii).
[N/A]
c(iii).
[N/A]
c(iv).



The following shows some compounds which can be made from ethene, C2H4.

ethene (C2H4) → C2H5Cl → C2H6O → C2H4O

State the type of reaction which converts ethene into C2H5Cl.

[1]
a.

Write an equation for the reaction of C2H5Cl with aqueous sodium hydroxide to produce a C2H6O compound, showing structural formulas.

[1]
b.

Write an equation for the complete combustion of the organic product in (b).

[1]
c(i).

Determine the enthalpy of combustion of the organic product in (b), in kJ mol−1, using data from section 11 of the data booklet.

[3]
c(ii).

State the reagents and conditions for the conversion of the compound C2H6O, produced in (b), into C2H4O.

[2]
d(i).

Explain why the compound C2H6O, produced in (b), has a higher boiling point than compound C2H4O, produced in d(i).

[2]
d(ii).

Ethene is often polymerized. Draw a section of the resulting polymer, showing two repeating units.

[1]
e.

Markscheme

«electrophilic» addition ✔

NOTE: Do not accept “nucleophilic addition” or “free radical addition”.
Do not accept “halogenation”.

a.

CH3CH2Cl (g) + OH (aq) → CH3CH2OH (aq) + Cl (aq)
OR
CH3CH2Cl (g) + NaOH (aq) → CH3CH2OH (aq) + NaCl (aq) ✔

b.

C2H6O (g) + 3O2 (g) → 2CO2 (g) + 3H2O (g)
OR
CH3CH2OH (g) + 3O2 (g) → 2CO2 (g) + 3H2O (g) ✔

c(i).

bonds broken:
5(C–H) + C–C + C–O + O–H + 3(O=O)
OR
5(414«kJ mol−1») + 346«kJ mol−1» + 358«kJ mol−1» + 463«kJ mol−1» + 3(498«kJ mol−1») / 4731 «kJ» ✔


bonds formed:
4(C=O) + 6(O–H)
OR
4(804«kJ mol−1») + 6(463«kJ mol−1») / 5994 «kJ» ✔
«ΔH = bonds broken − bonds formed = 4731 − 5994 =» −1263 «kJ mol−1» ✔

NOTE: Award [3] for correct final answer.

c(ii).

K2Cr2O7/Cr2O72−/«potassium» dichromate «(VI)» AND acidified/H+
OR
«acidified potassium» manganate(VII) / «H+» KMnO4 / «H+» MnO4

NOTE: Accept “H2SO4” or “H3PO4” for “H+”.
Do not accept “HCl”.
Accept “permanganate” for “manganate(VII)”.

 

distil ✔

 

d(i).

C2H6O/ethanol: hydrogen-bonding AND C2H4O/ethanal: no hydrogen-bonding/«only» dipole–dipole forces ✔

hydrogen bonding stronger «than dipole–dipole» ✔

d(ii).

NOTE: Continuation bonds must be shown.
Ignore square brackets and “n”.

e.

Examiners report

[N/A]
a.
[N/A]
b.
[N/A]
c(i).
[N/A]
c(ii).
[N/A]
d(i).
[N/A]
d(ii).
[N/A]
e.



This question is about compounds of sodium.

Sodium peroxide is used in diving apparatus to produce oxygen from carbon dioxide.

2Na2O2 (s) + 2CO2 (g) → 2Na2CO3 (s) + O2 (g)

Describe the structure and bonding in solid sodium oxide.

[2]
a(i).

Write equations for the separate reactions of solid sodium oxide and solid phosphorus(V) oxide with excess water and differentiate between the solutions formed.

Sodium oxide, Na2O:

Phosphorus(V) oxide, P4O10:

Differentiation:

[3]
a(ii).

Sodium peroxide, Na2O2, is formed by the reaction of sodium oxide with oxygen.

2Na2O (s) + O2 (g) → 2Na2O2 (s)

Calculate the percentage yield of sodium peroxide if 5.00 g of sodium oxide produces 5.50 g of sodium peroxide.

[2]
b.

Determine the enthalpy change, ΔH, in kJ, for this reaction using data from the table and section 12 of the data booklet.

[3]
c(i).

Outline why bond enthalpy values are not valid in calculations such as that in (c)(i).

[1]
c(ii).

The reaction of sodium peroxide with excess water produces hydrogen peroxide and one other sodium compound. Suggest the formula of this compound.

[1]
d.

State the oxidation number of carbon in sodium carbonate, Na2CO3.

[1]
e.

Markscheme

«3-D/giant» regularly repeating arrangement «of ions»
OR
lattice «of ions»  [✔]

electrostatic attraction between oppositely charged ions
OR
electrostatic attraction between Na+ and O2− ions  [✔]

 

Note: Do not accept “ionic” without description.

a(i).

Sodium oxide:
Na2O(s) + H2O(l) → 2NaOH (aq)  [✔]

Phosphorus(V) oxide:
P4O10 (s) + 6H2O(l) → 4H3PO4 (aq)  [✔]

Differentiation:
NaOH / product of Na2O is alkaline/basic/pH > 7 AND H3PO4 / product of P4O10 is acidic/pH < 7  [✔]

a(ii).

n(Na2O2) theoretical yield «=  5.00  g 61.98  mo l 1 » = 0.0807/8.07 × 10−2 «mol»
OR
mass Na2O2 theoretical yield «=  5.00  g 61.98  mo l 1 × 77.98 gmol−1» = 6.291 «g»  [✔]

% yield «=  5.50  g 6.291  g  × 100» OR « 0.0705 0.0807 x 100» = 87.4 «%»  [✔]

 

Note: Award [2] for correct final answer.

b.

ΣΔHf products = 2 × (−1130.7) / −2261.4 «kJ»  [✔]

ΣΔHf reactants = 2 × (−510.9) + 2 × (−393.5) / −1808.8 «kJ»  [✔]

ΔH = «ΣΔHf products − ΣΔHf reactants = −2261.4 −(−1808.8) =» −452.6 «kJ»  [✔]

 

Note: Award [3] for correct final answer.

Award [2 max] for “+452.6 «kJ»”.

c(i).

only valid for covalent bonds
OR
only valid in gaseous state  [✔]

c(ii).

NaOH  [✔]

 

Note: Accept correct equation showing NaOH as a product.

d.

IV  [✔]

e.

Examiners report

Disappointingly many students did not realise that sodium oxide was held by ionic bonds, many said it was covalent or metallic bonding. The ones that knew it was ionic failed to describe it adequately to earn the 2 marks.

a(i).

Very few students could correctly write out the two equations and so often were unable to realise it was acid/base behaviour that would differentiate the oxides.

a(ii).

Many candidates were able to correctly calculate the % yield but some weaker candidates just used 5.0/5.5 to find %.

b.

The calculation of the enthalpy change using enthalpies of formation was generally answered well but common mistakes were students forgetting to multiply by 2 or adding extra terms for oxygen.

c(i).

Most students didn’t gain a mark and “values are average” was the most common incorrect answer. The fact this was an ionic compound did not register with them. Some students did gain a mark for stating that the substances were not in a gaseous state.

c(ii).

Some students correctly identified sodium hydroxide as the correct product, but hydrogen, oxygen and sodium oxide were common answers.

d.

Oxidation number of +4 was often correctly identified.

e.



3.26 g of iron powder are added to 80.0 cm3 of 0.200 mol dm−3 copper(II) sulfate solution. The following reaction occurs:

Fe (s) + CuSO4 (aq) → FeSO4 (aq) + Cu (s)

Determine the limiting reactant showing your working.

[2]
a.i.

The mass of copper obtained experimentally was 0.872 g. Calculate the percentage yield of copper.

[2]
a.ii.

The reaction was carried out in a calorimeter. The maximum temperature rise of the solution was 7.5 °C.

Calculate the enthalpy change, ΔH, of the reaction, in kJ, assuming that all the heat released was absorbed by the solution. Use sections 1 and 2 of the data booklet.

[2]
b.i.

State another assumption you made in (b)(i).

[1]
b.ii.

The only significant uncertainty is in the temperature measurement.

Determine the absolute uncertainty in the calculated value of ΔH if the uncertainty in the temperature rise was ±0.2 °C.

[2]
b.iii.

Sketch a graph of the concentration of iron(II) sulfate, FeSO4, against time as the reaction proceeds.

[2]
c.i.

Outline how the initial rate of reaction can be determined from the graph in part (c)(i).

[2]
c.ii.

Explain, using the collision theory, why replacing the iron powder with a piece of iron of the same mass slows down the rate of the reaction.

[2]
c.iii.

Markscheme

nCuSO4 «= 0.0800 dm3 × 0.200 mol dm–3» = 0.0160 mol AND

nFe « 3.26 g 55.85 g mo l 1 » = 0.0584 mol ✔

CuSO4 is the limiting reactant ✔

 

Do not award M2 if mole calculation is not shown.

a.i.

ALTERNATIVE 1:
«0.0160 mol × 63.55 g mol–1 =» 1.02 «g»  ✔

« 0.872 g 1.02 g × 100 = » 85.5 «%»  ✔

 

ALTERNATIVE 2:
« 0.872 g 63.55 g mo l 1 = » 0.0137 «mol»  ✔

« 0.0137 mol 0.0160 mol × 100 = » 85.6 «%»  ✔

 

Accept answers in the range 85–86 %.

Award [2] for correct final answer.

a.ii.

ALTERNATIVE 1:

q = «80.0 g × 4.18 J g–1 K–1 × 7.5 K =» 2.5 × 103 «J»/2.5 «kJ»

«per mol of CuSO4 =  2.5 kJ 0.0160 mol = 1.6 × 10 2  kJ mol–1»

«for the reaction» ΔH = –1.6 × 102 «kJ»

 

ALTERNATIVE 2:

q = «80.0 g × 4.18 J g–1 K–1 × 7.5 K =» 2.5 × 103 «J»/2.5 «kJ» ✔

«nCu = 0.872 63.55 = 0.0137 mol»

«per mol of CuSO4 =  2.5 kJ 0.0137 mol = 1.8 × 10 2 kJ mol–1»

«for the reaction» ΔH = –1.8 × 102 «kJ»

 

Award [2] for correct final answer.

b.i.

density «of solution» is 1.00 g cm−3

OR

specific heat capacity «of solution» is 4.18 J g−1 K−1/that of «pure» water

OR

reaction goes to completion

OR

iron/CuSO4 does not react with other substances ✔

 

The mark for “reaction goes to completion” can only be awarded if 0.0160 mol was used in part (b)(i).

Do not accept “heat loss”.

b.ii.

ALTERNATIVE 1:

« 0.2 C × 100 7.5 C = » 3 %/0.03 ✔

«0.03 × 160 kJ»«±» 5 «kJ» 

 

ALTERNATIVE 2:

« 0.2 C × 100 7.5 C = » 3 %/0.03 ✔

«0.03 × 180 kJ» = «±» 5 «kJ» 

 

Accept values in the range 4.1–5.5 «kJ».

Award [2] for correct final answer.

 

b.iii.

 

 

initial concentration is zero AND concentration increases with time ✔

decreasing gradient as reaction proceeds ✔

c.i.

«draw a» tangent to the curve at time = 0 ✔

«rate equals» gradient/slope «of the tangent»

 

Accept suitable diagram.

c.ii.

piece has smaller surface area ✔

 

lower frequency of collisions

OR

fewer collisions per second/unit time ✔

 

Accept “chance/probability” instead of “frequency”.

Do not accept just “fewer collisions”.

c.iii.

Examiners report

[N/A]
a.i.
[N/A]
a.ii.
[N/A]
b.i.
[N/A]
b.ii.
[N/A]
b.iii.
[N/A]
c.i.
[N/A]
c.ii.
[N/A]
c.iii.



Two hydrides of nitrogen are ammonia and hydrazine, N2H4. One derivative of ammonia is methanamine whose molecular structure is shown below.

M17/4/CHEMI/SP2/ENG/TZ1/04

Hydrazine is used to remove oxygen from water used to generate steam or hot water.

N2H4(aq) + O2(aq) → N2(g) + 2H2O(l)

The concentration of dissolved oxygen in a sample of water is 8.0 × 10−3 g dm−3.

Estimate the H−N−H bond angle in methanamine using VSEPR theory.

[1]
a.

Ammonia reacts reversibly with water.

NH3(g) + H2O(l) NH4+(aq) + OH(aq)

Explain the effect of adding H+(aq) ions on the position of the equilibrium.

[2]
b.

Hydrazine reacts with water in a similar way to ammonia. Deduce an equation for the reaction of hydrazine with water.

[1]
c.

Outline, using an ionic equation, what is observed when magnesium powder is added to a solution of ammonium chloride.

[2]
d.

Hydrazine has been used as a rocket fuel. The propulsion reaction occurs in several stages but the overall reaction is:

N2H4(l) → N2(g) + 2H2(g)

Suggest why this fuel is suitable for use at high altitudes.

[1]
e.

Determine the enthalpy change of reaction, ΔH, in kJ, when 1.00 mol of gaseous hydrazine decomposes to its elements. Use bond enthalpy values in section 11 of the data booklet.

N2H4(g) → N2(g) + 2H2(g)

[3]
f.

The standard enthalpy of formation of N2H4(l) is +50.6 kJ mol−1. Calculate the enthalpy of vaporization, ΔHvap, of hydrazine in kJ mol−1.

N2H4(l) → N2H4(g)

(If you did not get an answer to (f), use −85 kJ but this is not the correct answer.)

[2]
g.

Calculate, showing your working, the mass of hydrazine needed to remove all the dissolved oxygen from 1000 dm3 of the sample.

[3]
h.i.

Calculate the volume, in dm3, of nitrogen formed under SATP conditions. (The volume of 1 mol of gas = 24.8 dm3 at SATP.)

[1]
h.ii.

Markscheme

107°

 

Accept 100° to < 109.5°.

Literature value = 105.8°

[1 mark]

a.

removes/reacts with OH

moves to the right/products «to replace OH ions»

 

Accept ionic equation for M1.

[2 marks]

b.

N2H4(aq) + H2O(l) N2H5+(aq) + OH(aq)

 

Accept N2H4(aq) + 2H2O(l) N2H62+(aq) + 2OH(aq).

Equilibrium sign must be present.

[1 mark]

c.

bubbles
OR
gas
OR
magnesium disappears

2NH4+(aq) + Mg(s) → Mg2+(aq) + 2NH3(aq) + H2(g)

 

Do not accept “hydrogen” without reference to observed changes.

Accept "smell of ammonia".

Accept 2H+(aq) + Mg(s) → Mg2+(aq) + H2(g)

Equation must be ionic.

[2 mark]

d.

no oxygen required

[1 mark]

e.

bonds broken:
E(N–N) + 4E(N–H)
OR
158 «kJ mol–1» + 4 x 391 «kJ mol–1» / 1722 «kJ»

bonds formed:
E(N≡N) + 2E(H–H)
OR
945 «kJ mol–1» + 2 x 436 «kJ mol–1» / 1817 «kJ»

«ΔH = bonds broken – bonds formed = 1722 – 1817 =» –95 «kJ»

 

Award [3] for correct final answer.

Award [2 max] for +95 «kJ».

[3 marks]

f.

OR
ΔHvap= −50.6 kJ mol−1 − (−95 kJ mol−1)

«ΔHvap =» +44 «kJ mol−1»

 

Award [2] for correct final answer.

Award [1 max] for −44 «kJ mol−1».

Award [2] for:
ΔHvap − = 50.6 kJ mol−1  (−85 kJ mol−1) + = 34 «kJ mol−1».

Award [1 max] for −34 «kJ mol−1».

[2 marks]

g.

total mass of oxygen «= 8.0 x 10–3 g dm–3 x 1000 dm3» = 8.0 «g»

n(O2) « = 8.0  g 32.00  g mo l 1 = » 0.25 «mol»

OR
n(N2H4) = n(O2)
«mass of hydrazine = 0.25 mol x 32.06 g mol–1 =» 8.0 «g»

 

Award [3] for correct final answer.

[3 marks]

h.i.

«n(N2H4) = n(O2) = 8.0  g 32.00  g mo l 1 = » 0.25 «mol»

«volume of nitrogen = 0.25 mol x 24.8 dm3 mol–1» = 6.2 «dm3»

 

Award [1] for correct final answer.

[1 mark]

h.ii.

Examiners report

[N/A]
a.
[N/A]
b.
[N/A]
c.
[N/A]
d.
[N/A]
e.
[N/A]
f.
[N/A]
g.
[N/A]
h.i.
[N/A]
h.ii.



Sodium thiosulfate solution reacts with dilute hydrochloric acid to form a precipitate of sulfur at room temperature.

Na2S2O3 (aq) + 2HCl (aq) → S (s) + SO(g) + 2NaCl (aq) + X

Identify the formula and state symbol of X.

[1]
a.

Suggest why the experiment should be carried out in a fume hood or in a well-ventilated laboratory.

[1]
b.

The precipitate of sulfur makes the mixture cloudy, so a mark underneath the reaction mixture becomes invisible with time.

10.0 cm3 of 2.00 mol dm-3 hydrochloric acid was added to a 50.0 cm3 solution of sodium thiosulfate at temperature, T1. Students measured the time taken for the mark to be no longer visible to the naked eye. The experiment was repeated at different concentrations of sodium thiosulfate.

Show that the hydrochloric acid added to the flask in experiment 1 is in excess.

[2]
c.

Draw the best fit line of 1 t against concentration of sodium thiosulfate on the axes provided.

[2]
d.

A student decided to carry out another experiment using 0.075 mol dm-3 solution of sodium thiosulfate under the same conditions. Determine the time taken for the mark to be no longer visible.

[2]
e.

An additional experiment was carried out at a higher temperature, T2.

(i) On the same axes, sketch Maxwell–Boltzmann energy distribution curves at the two temperatures T1 and T2, where T> T1.

(ii) Explain why a higher temperature causes the rate of reaction to increase.

[4]
f.

Suggest one reason why the values of rates of reactions obtained at higher temperatures may be less accurate.

[1]
g.

Markscheme

H2O AND (l)
Do not accept H2O (aq).

a.

SO2 (g) is an irritant/causes breathing problems
OR
SO2 (g) is poisonous/toxic

Accept SO2 (g) is acidic, but do not accept “causes acid rain”.
Accept SO2 (g) is harmful.
Accept SO2 (g) has a foul/pungent smell.

b.

n(HCl) = « 10.0 1000 dm3 × 2.00 mol dm-3 =» 0.0200 / 2.00 × 10-2«mol»
AND
n(Na2S2O3) = « 50 1000 dm3 × 0.150 mol × dm-3 =» 0.00750 / 7.50 × 10-3 «mol»

0.0200 «mol» > 0.0150 «mol»
OR
2.00 × 10-2«mol» > 2 × 7.50 × 10-3 «mol»
OR
1 2 × 2.00 × 10-2 «mol» > 7.50 × 10-3 «mol»

Accept answers based on volume of solutions required for complete reaction.
Award [2] for second marking point.
Do not award M2 unless factor of 2 (or half) is used.

c.

five points plotted correctly
best fit line drawn with ruler, going through the origin

d.

22.5 × 10-3 «s-1»

«Time = 1 22.5 × 10 3 =» 44.4 «s»

Award [2] for correct final answer.
Accept value based on candidate’s graph.
Award M2 as ECF from M1.
Award [1 max] for methods involving taking mean of appropriate pairs of 1 t values.
Award [0] for taking mean of pairs of time values.
Award [2] for answers between 42.4 and 46.4 «s».

e.

(i)

correctly labelled axes
peak of T2 curve lower AND to the right of T1 curve

Accept “probability «density» / number of particles / N / fraction” on y-axis.

Accept “kinetic E/KE/EK” but not just “Energy/E” on x-axis.

 

(ii)

greater proportion of molecules have ≥ Ea or Ea
OR
greater area under curve to the right of the Ea

greater frequency of collisions «between molecules»
OR
more collisions per unit time/second

Accept more molecules have energy greater than Ea.
Do not accept just “particles have greater kinetic energy”.
Accept “rate/chance/probability/likelihood/” instead of “frequency”.
Accept suitably shaded/annotated diagram.
Do not accept just “more collisions”.

f.

shorter reaction time so larger «%» error in timing/seeing when mark disappears

Accept cooling of reaction mixture during course of reaction.

g.

Examiners report

[N/A]
a.
[N/A]
b.
[N/A]
c.
[N/A]
d.
[N/A]
e.
[N/A]
f.
[N/A]
g.



Magnetite, Fe3O4, is another ore of iron that contains both Fe2+ and Fe3+.

Iron exists as several isotopes.

In acidic solution, hydrogen peroxide, H2O2, will oxidize Fe2+.

Fe2+ (aq) → Fe3+ (aq) + e

Deduce the ratio of Fe2+:Fe3+ in Fe3O4.

[1]
a.

State the type of spectroscopy that could be used to determine their relative abundances.

[1]
b(i).

State the number of protons, neutrons and electrons in each species.

[2]
b(ii).

Iron has a relatively small specific heat capacity; the temperature of a 50 g sample rises by 44.4°C when it absorbs 1 kJ of heat energy.

Determine the specific heat capacity of iron, in J g−1 K−1. Use section 1 of the data booklet.

[1]
c.

Write the half-equation for the reduction of hydrogen peroxide to water in acidic solution.

[1]
d(i).

Deduce a balanced equation for the oxidation of Fe2+ by acidified hydrogen peroxide.

[1]
d(ii).

Markscheme

1:2 ✔

Accept 2 Fe3+: 1 Fe2+
Do not accept 2:1 only

a.

mass «spectroscopy»/MS ✔

b(i).

Award [1 max] for 4 correct values.

b(ii).

specific heat capacity « = qm×T/1000J50g×44K» = 0.45 «J g−1 K−1» ✔

c.

H2O2(aq) + 2H+(aq) + 2e→ 2H2O(l) ✔

d(i).

H2O2(aq) + 2H+(aq) + 2Fe2+(aq) → 2H2O(l) + 2Fe3+(aq) ✔

d(ii).

Examiners report

[N/A]
a.
[N/A]
b(i).
[N/A]
b(ii).
[N/A]
c.
[N/A]
d(i).
[N/A]
d(ii).



White phosphorus is an allotrope of phosphorus and exists as P4.

An equilibrium exists between PCl3 and PCl5.

PCl3 (g) + Cl2 (g) PCl5 (g)

Sketch the Lewis (electron dot) structure of the P4 molecule, containing only single bonds.

 

[1]
a(i).

Write an equation for the reaction of white phosphorus (P4) with chlorine gas to form phosphorus trichloride (PCl3).

[1]
a(ii).

Deduce the electron domain and molecular geometry using VSEPR theory, and estimate the Cl–P–Cl bond angle in PCl3.

[3]
b(i).

Explain the polarity of PCl3.

[1]
b(ii).

Calculate the standard enthalpy change (ΔH) for the forward reaction in kJ mol−1.

ΔHf PCl3 (g) = −306.4 kJ mol−1

ΔHf PCl5 (g) = −398.9 kJ mol−1

[1]
c(i).

State the equilibrium constant expression, Kc, for this reaction.

[1]
c(ii).

State, with a reason, the effect of an increase in temperature on the position of this equilibrium.

[1]
c(iii).

Markscheme


Accept any diagram with each P joined to the other three.

Accept any combination of dots, crosses and lines.

a(i).

P4 (s) + 6Cl2 (g) → 4PCl3 (l) ✔

a(ii).

Electron domain geometry: tetrahedral ✔

Molecular geometry: trigonal pyramidal ✔

Bond angle: 100«°» ✔

 

Accept any value or range within the range 91−108«°» for M3.

b(i).

polar AND unsymmetrical distribution of charge
OR
polar AND dipoles do not cancel
OR
«polar as» dipoles «add to» give a «partial» positive «charge» at P and a «partial» negative «charge» at the opposite/Cl side of the molecule ✔

Accept “polar AND unsymmetrical molecule”.

b(ii).

«−398.9 kJ mol−1 − (−306.4 kJ mol−1) =» −92.5 «kJ mol−1» ✔

c(i).

«Kc =» PCl5PCl3Cl2

c(ii).

«shifts» left/towards reactants AND «forward reaction is» exothermic/ΔH is negative ✔

c(iii).

Examiners report

[N/A]
a(i).
[N/A]
a(ii).
[N/A]
b(i).
[N/A]
b(ii).
[N/A]
c(i).
[N/A]
c(ii).
[N/A]
c(iii).



Titanium is a transition metal.

TiCl4 reacts with water and the resulting titanium(IV) oxide can be used as a smoke screen.

Describe the bonding in metals.

[2]
a.

Titanium exists as several isotopes. The mass spectrum of a sample of titanium gave the following data:

Calculate the relative atomic mass of titanium to two decimal places.

[2]
b.

State the number of protons, neutrons and electrons in the 22 48 Ti  atom.

[1]
c.

State the full electron configuration of the 22 48 Ti 2+ ion.

[1]
d.i.

Explain why an aluminium-titanium alloy is harder than pure aluminium.

[2]
d.ii.

State the type of bonding in potassium chloride which melts at 1043 K.

[1]
e.i.

A chloride of titanium, TiCl4, melts at 248 K. Suggest why the melting point is so much lower than that of KCl.

[1]
e.ii.

Formulate an equation for this reaction.

[2]
f.i.

Suggest one disadvantage of using this smoke in an enclosed space.

[1]
f.ii.

Markscheme

electrostatic attraction

between «a lattice of» metal/positive ions/cations AND «a sea of» delocalized electrons

 

Accept mobile electrons.

Do not accept “metal atoms/nuclei”.

[2 marks]

a.

( 46 × 7.98 ) + ( 47 × 7.32 ) + ( 48 × 73.99 ) + ( 49 × 5.46 ) + ( 50 × 5.25 ) 100

= 47.93

 

Answer must have two decimal places with a value from 47.90 to 48.00.

Award [2] for correct final answer.

Award [0] for 47.87 (data booklet value).

[2 marks]

b.

Protons: 22 AND Neutrons: 26 AND Electrons: 22

[1 mark]

c.

 

1s22s22p63s23p63d2

[1 mark]

d.i.

titanium atoms/ions distort the regular arrangement of atoms/ions
OR
titanium atoms/ions are a different size to aluminium «atoms/ions» 

prevent layers sliding over each other

 

Accept diagram showing different sizes of atoms/ions.

[2 marks]

d.ii.

ionic
OR
«electrostatic» attraction between oppositely charged ions

[1 mark]

e.i.

«simple» molecular structure
OR
weak«er» intermolecular bonds
OR
weak«er» bonds between molecules

 

Accept specific examples of weak bonds such as London/dispersion and van der Waals.

Do not accept “covalent”.

[1 mark]

e.ii.

TiCl4(l) + 2H2O(l) → TiO2(s) + 4HCl(aq)

correct products

correct balancing

 

Accept ionic equation.

Award M2 if products are HCl and a compound of Ti and O.

[2 marks]

f.i.

HCl causes breathing/respiratory problems
OR
HCl is an irritant
OR
HCl is toxic
OR
HCl has acidic vapour
OR
HCl is corrosive

 

Accept “TiO2 causes breathing problems/is an irritant”.

Accept “harmful” for both HCl and TiO2.

Accept “smoke is asphyxiant”.

[1 mark]

f.ii.

Examiners report

[N/A]
a.
[N/A]
b.
[N/A]
c.
[N/A]
d.i.
[N/A]
d.ii.
[N/A]
e.i.
[N/A]
e.ii.
[N/A]
f.i.
[N/A]
f.ii.



An acidic sample of a waste solution containing Sn2+(aq) reacted completely with K2Cr2O7 solution to form Sn4+(aq).

State the oxidation half-equation.

[1]
a.i.

Deduce the overall redox equation for the reaction between acidic Sn2+(aq) and Cr2O72–(aq), using section 24 of the data booklet.

[1]
a.ii.

Calculate the percentage uncertainty for the mass of K2Cr2O7(s) from the given data.

[1]
b.i.

The sample of K2Cr2O7(s) in (i) was dissolved in distilled water to form 0.100 dmsolution. Calculate its molar concentration.

[1]
b.ii.

10.0 cm3 of the waste sample required 13.24 cm3 of the K2Cr2O7 solution. Calculate the molar concentration of Sn2+(aq) in the waste sample.

[2]
b.iii.

Markscheme

Sn2+(aq) → Sn4+(aq) + 2e

 

Accept equilibrium sign.

Accept Sn2+(aq) – 2e → Sn4+(aq).

[1 mark]

a.i.

Cr2O72–(aq) + 14H+(aq) + 3Sn2+(aq) → 2Cr3+(aq) + 7H2O(l) + 3Sn4+(aq)

 

Accept equilibrium sign.

[1 mark]

a.ii.

«13.239 g ± 0.002 g so percentage uncertainty» 0.02 «%»

 

Accept answers given to greater precision, such as 0.0151%.

[1 mark]

b.i.

« [K2Cr2O7] = 13.239  g 294.20  g mo l 1 × 0.100  d m 3  =» 0.450 «mol dm–3»

[1 mark]

b.ii.

n(Sn2+) = «0.450 mol dm–3 x 0.01324 dm3 x  3 m o l 1 m o l =» 0.0179 «mol»

«[Sn2+] =  0.0179 m o l 0.0100 m o l =» 1.79 «mol dm–3»

 

Award [2] for correct final answer.

[2 marks]

b.iii.

Examiners report

[N/A]
a.i.
[N/A]
a.ii.
[N/A]
b.i.
[N/A]
b.ii.
[N/A]
b.iii.



Chlorine undergoes many reactions.

2.67g of manganese(IV) oxide was added to 200.0cm3 of 2.00moldm-3 HCl.

MnO2(s)+4HCl(aq)Cl2(g)+2H2O(l)+MnCl2(aq)

Chlorine gas reacts with water to produce hypochlorous acid and hydrochloric acid.

Cl2(g)+H2O(l)HClO(aq)+HCl(aq)

CCl2F2 is a common chlorofluorocarbon, CFC.

State the full electron configuration of the chlorine atom.

[1]
a(i).

State, giving a reason, whether the chlorine atom or the chloride ion has a larger radius.

[1]
a(ii).

Outline why the chlorine atom has a smaller atomic radius than the sulfur atom.

[2]
a(iii).

The mass spectrum of chlorine is shown.

NIST Mass Spectrometry Data Center Collection © 2014 copyright by the U.S. Secretary of Commerce on behalf of the United States of America. All rights reserved.

Outline the reason for the two peaks at m/z=35 and 37.

[1]
a(iv).

Explain the presence and relative abundance of the peak at m/z=74.

[2]
a(v).

Calculate the amount, in mol, of manganese(IV) oxide added.

[1]
b(i).

Determine the limiting reactant, showing your calculations.

[2]
b(ii).

Determine the excess amount, in mol, of the other reactant.

[1]
b(iii).

Calculate the volume of chlorine, in dm3, produced if the reaction is conducted at standard temperature and pressure (STP). Use section 2 of the data booklet.

[1]
b(iv).

State the oxidation state of manganese in MnO2 and MnCl2.

[2]
b(v).

Deduce, referring to oxidation states, whether MnO2 is an oxidizing or reducing agent.

[1]
b(vi).

Hypochlorous acid is considered a weak acid. Outline what is meant by the term weak acid.

 

[1]
c(i).

State the formula of the conjugate base of hypochlorous acid.

[1]
c(ii).

Calculate the concentration of H+(aq) in a HClOaq solution with a pH=3.61.

[1]
c(iii).

State the type of reaction occurring when ethane reacts with chlorine to produce chloroethane.

[1]
d(i).

Predict, giving a reason, whether ethane or chloroethane is more reactive.

[1]
d(ii).

Write the equation for the reaction of chloroethane with a dilute aqueous solution of sodium hydroxide.

[1]
d(iii).

Deduce the nucleophile for the reaction in d(iii).

[1]
d(iv).

Ethoxyethane (diethyl ether) can be used as a solvent for this conversion. Draw the structural formula of ethoxyethane

[1]
d(v).

Deduce the number of signals and their chemical shifts in the H1 NMR spectrum of ethoxyethane. Use section 27 of the data booklet.

[2]
d(vi).

Calculate the percentage by mass of chlorine in CCl2F2.

[2]
e(i).

Comment on how international cooperation has contributed to the lowering of CFC emissions responsible for ozone depletion.

[1]
e(ii).

Markscheme

1s22s22p63s23p5 ✔

Do not accept condensed electron configuration.

a(i).

Cl- AND more «electron–electron» repulsion ✔


Accept Cl- AND has an extra electron.

a(ii).

Cl has a greater nuclear charge/number of protons/Zeff «causing a stronger pull on the outer electrons» ✔

same number of shells
OR
same «outer» energy level
OR
similar shielding ✔

a(iii).

«two major» isotopes «of atomic mass 35 and 37» ✔

a(iv).

«diatomic» molecule composed of «two» chlorine-37 atoms ✔

chlorine-37 is the least abundant «isotope»
OR
low probability of two Cl37 «isotopes» occurring in a molecule ✔

a(v).

«2.67g86.94gmol-1=»0.0307«mol» ✔

b(i).

«nHCl=2.00moldm-3×0.2000dm3»=0.400mol 

«0.4004=»0.100mol AND MnO2 is the limiting reactant ✔

Accept other valid methods of determining the limiting reactant in M2.

b(ii).

«0.0307mol×4=0.123mol»

«0.400mol0.123mol=»0.277«mol» ✔

b(iii).

«0.0307mol×22.7dm3mol1=»0.697«dm3» ✔


Accept methods employing pV=nRT
.

b(iv).

MnO2: +4 ✔

MnCl2: +2 ✔

b(v).

oxidizing agent AND oxidation state of Mn changes from +4 to +2/decreases ✔

b(vi).

partially dissociates/ionizes «in water» ✔

c(i).

ClO- ✔

c(ii).

«[H+]=103.61=»2.5×104«moldm3» ✔

c(iii).

«free radical» substitution/SR


Do not accept electrophilic or nucleophilic substitution.

d(i).

chloroethane AND CCl bond is weaker/324kJmol1 than CH bond/414kJmol1
OR
chloroethane AND contains a polar bond ✔


Accept “chloroethane AND polar”.

d(ii).

CH3CH2Cl(l)+OH-(aq)CH3CH2OH(aq)+Cl-(aq)
OR
CH3CH2Cl(l)+NaOH(aq)CH3CH2OH(aq)+NaCl(aq) ✔

Accept use of C2H5Cl and C2H5OH/C2H6O in the equation.

d(iii).

hydroxide «ion»/OH-


Do not accept NaOH.

d(iv).

 / CH3CH2OCH2CH3

Accept (CH3CH2)2O.

d(v).

2 «signals» ✔

0.91.0«ppm» AND 3.33.7«ppm» 


Accept any values in the ranges.

Award [1 max] for two incorrect chemical shifts.

d(vi).

«M(CCl2F2) =»120.91«gmol1»  ✔

2×35.45gmol-1120.91gmol-1×100%=»58.64«%» ✔


Award [2] for correct final answer.

e(i).

Any of:

research «collaboration» for alternative technologies «to replace CFC
OR
technologies «developed»/data could be shared
OR
political pressure/Montreal Protocol/governments passing legislations ✔

 

Do not accept just “collaboration”.

Do not accept any reference to CFC as greenhouse gas or product of fossil fuel combustion.

Accept reference to specific measures, such as agreement on banning use/manufacture of CFCs.

e(ii).

Examiners report

Most candidates wrote the electron configuration of chlorine correctly.

a(i).

Only half of the candidates deduced that the chloride ion has a larger radius than the chlorine atom with a valid reason. Many candidates struggled with this question and decided that the extra electron in the chloride ion caused a greater attraction between the nucleus and the outer electrons.

a(ii).

Only about a third of the candidates identified the extra proton in the chlorine nucleus as the cause of the smaller atomic radius when compared to the sulfur atom, and only the stronger candidates also compared the shielding or the number of shells in the two atoms. Many candidates had a poor understanding of factors affecting atomic radius and could not explain the difference.

a(iii).

About 60% of the candidates recognized that the peaks at m/z 35 and 37 in the mass spectrum of chlorine are due to its isotopes. A few students wrote 'isomers' instead of 'isotopes'.

a(iv).

This was the lowest scoring question on the paper, that was also left blank by 10% of the candidates. About 20% of the candidates identified the peak at m/z = 74 to be due to a molecule made up of two 37Cl atoms. And only very few candidates commented that the low abundance of the peak was due to the low abundance of the 37Cl isotope. A common incorrect answer was that chlorine has an isotope of mass number 74.

a(v).

Most candidates were able to determine the number of moles of MnO2 using the mass.

b(i).

It was pleasing that the majority of the candidates were able to determine the limiting reactant by using the stoichiometric ratio.

b(ii).

Half of the candidates were able to determine the amount of excess reactant. Some candidates who determined the limiting reactant in the previous part correctly, forgot to use the stoichiometric ratio in this part, and ended up with incorrect answers.

b(iii).

60% of the candidates determined the volume of chlorine produced correctly. Some candidates made mistakes in the units when using PV = nRT and had a power of 10 error.

b(iv).

The majority of candidates were able to determine the oxidation states of Mn in the two compounds correctly.

b(v).

Less than half of the candidates were awarded the mark. Some did identify MnO2 as the oxidizing agent but did not give the explanation in terms of oxidation state as required in the question. Other candidates did not have an understanding of oxidizing and reducing agents. 

b(vi).

A very well answered question - 80% of candidates understood what is meant by the term weak acid. Incorrect answers included 'acids that have high pH'.

c(i).

Half of the candidates deduced the formula of the conjugate base of hypochlorous acid. Incorrect answers included H2O and HCl.

c(ii).

A well answered question. It was pleasing to see that 70% of the candidates were able to calculate [H+] from the given pH.

c(iii).

More than half of the candidates identified the type of reaction between ethane and chlorine as a substitution reaction. A few candidates lost the marks for writing 'electrophilic substitution' or 'nucleophilic substitutions'.

d(i).

This was a challenging question that was answered correctly by only 30% of the candidates. A variety of incorrect answers were seen such as 'chlorine is a halogen and hence it is reactive', and 'ethane is more reactive because it is an alkane'. For students who answered correctly, the polarity was the most frequently given reason.

d(ii).

Half of the candidates wrote the correct equation for the hydrolysis of chloroethane. Incorrect answers often included carbon dioxide and water as the products.

d(iii).

This was a highly discriminating question. Only 30% of the candidates were able to identify the hydroxide ion as the nucleophile in the hydrolysis of chloroethane. Incorrect answers included NaOH where the ion was not specified. 14% of the candidates left this question blank.

d(iv).

Half of the candidates were able to give the structural formula of ethoxyethane. Incorrect answers included methoxymethane, ketones and esters.

d(v).

Nearly half of the candidates were able to identify the number of signals obtained in the 1H NMR spectrum of ethoxyethane, obtaining the first mark of this question. Many candidates were awarded the mark as 'error carried forward' from an incorrect structure of ethoxyethane. The second mark for this question required candidates to look up values of chemical shift from the data booklet. Nearly a third of the candidates were able to match the chemical environments of the hydrogen atoms in ethoxyethane to those listed in the data booklet successfully. 

d(vi).

This was the highest scoring question in the paper. The majority of candidates were able to calculate the percentage by mass of chlorine in CCl2F2. Mistakes included incorrect rounding and arithmetic errors.

e(i).

This nature of science question was well answered by half of the candidates. Some teachers commented that the wording was rather vague. Incorrect answers were mainly assuming that CFCs were related to the combustion of fuels and greenhouse gas emissions.

e(ii).



The biochemical oxygen demand of a water sample can be determined by the following series of reactions. The final step is titration of the sample with sodium thiosulfate solution, Na2S2O3 (aq).

2Mn2+ (aq) + O2 (aq) + 4OH (aq) → 2MnO2 (s) + 2H2O (l)

MnO2 (s) + 2I (aq) + 4H+ (aq) → Mn2+ (aq) + I2 (aq) + 2H2O (l)

2S2O32− (aq) + I2 (aq) → 2I (aq) + S4O62− (aq)

A student analysed two 300.0 cm3 samples of water taken from the school pond: one immediately (day 0), and the other after leaving it sealed in a dark cupboard for five days (day 5). The following results were obtained for the titration of the samples with 0.0100 mol dm−3 Na2S2O3 (aq).

Determine the mole ratio of S2O32− to O2, using the balanced equations.

[1]
a(i).

Calculate the number of moles of oxygen in the day 0 sample.

[2]
a(ii).

The day 5 sample contained 5.03 × 10−5 moles of oxygen.

Determine the 5-day biochemical oxygen demand of the pond, in mg dm−3 (“parts per million”, ppm).

[2]
a(iii).

Calculate the percentage uncertainty of the day 5 titre.

[1]
b(i).

Suggest a modification to the procedure that would make the results more reliable.

[1]
b(ii).

Markscheme

4 : 1 ✔

a(i).

ns2o32=«0.0258 dm3×0.010 mol dm3=»2.58×104«mol» ✔

«2.58×104mol4=»6.45×105«mol» ✔

NOTE: Award [2] for correct final answer.

a(ii).

«difference in moles per dm3 = (6.45 × 10−5 − 5.03 × 10−5) × 1000 300.0

4.73 × 10−5 «mol dm−3» ✔

«convert to mg per dm3: 4.73 × 10−5 mol dm−3 × 32.00 g mol−1 × 1000 mg g–1 = » 1.51 «ppm/mg dm−3» ✔

NOTE: Award [2] for correct final answer.

a(iii).

«100×0.1cm320.1cm3=»0.5 «%»✔

b(i).

repetition / take several samples «and average» ✔

b(ii).

Examiners report

[N/A]
a(i).
[N/A]
a(ii).
[N/A]
a(iii).
[N/A]
b(i).
[N/A]
b(ii).



Lithium reacts with water to form an alkaline solution.

A 0.200 g piece of lithium was placed in 500.0 cm3 of water.

Determine the coefficients that balance the equation for the reaction of lithium with water.

[1]
a.

Calculate the molar concentration of the resulting solution of lithium hydroxide.

[2]
b(i).

Calculate the volume of hydrogen gas produced, in cm3, if the temperature was 22.5 °C and the pressure was 103 kPa. Use sections 1 and 2 of the data booklet.

[2]
b(ii).

Suggest a reason why the volume of hydrogen gas collected was smaller than predicted.

[1]
b(iii).

The reaction of lithium with water is a redox reaction. Identify the oxidizing agent in the reaction giving a reason.

[1]
c.

Describe two observations that indicate the reaction of lithium with water is exothermic.

[2]
d.

Markscheme

2 Li (s) + 2 H2O (l) → 2 LiOH (aq) + H2 (g) ✔

a.

nLi«0200g6.94g=»0.0288«mol»

«nLiOH = nLi»

LiOH «=0.0288mol0.5000dm3=»0.0576 «moldm-3» ✔

 

Award [2] for correct final answer.

b(i).

«nH2=12×0.0288mol=0.0144mol»

«V=nRTP=»0.0144mol×8.31JK-1mol-1×22.5+273K103kPa «×103»

V=343 «cm3»

 

Award [2] for correct final answer.

Accept answers in the range 334 – 344 cm3.

Award [1 max] for 0.343 «cm3/dm3/m3».

Award [1 max] for 26.1 cm3 obtained by using 22.5 K.

Award [1 max] for 687 cm3 obtained by using 0.0288 mol.

b(ii).

lithium was impure/«partially» oxidized

OR

gas leaked/ignited ✔

 

Accept “gas dissolved”.

b(iii).

H2O AND hydrogen gains electrons «to form H2»

OR

H2O AND H oxidation state changed from +1 to 0 ✔

 

Accept “H2O AND H/H2O is reduced”.

c.

Any two:

temperature of the water increases ✔

lithium melts ✔

pop sound is heard ✔

 

Accept “lithium/hydrogen catches fire”.

Do not accept “smoke is observed”.

d.

Examiners report

[N/A]
a.
[N/A]
b(i).
[N/A]
b(ii).

This part-question was better answered than part (ii). 50% of the candidates drew a correct arrow between n=2 and n=3. Both absorption and emission transitions were accepted since the question did not specify which type of spectrum was required. Some teachers commented on this in their feedback. Mistakes often included transitions between higher energy levels.

b(iii).
[N/A]
c.
[N/A]
d.



Hydrogen peroxide can react with methane and oxygen to form methanol. This reaction can occur below 50°C if a gold nanoparticle catalyst is used.

Methanol is usually manufactured from methane in a two-stage process.

CH4 (g) + H2O (g) CO (g) + 3H2 (g)
CO (g) + 2H2 (g) CH3OH (l)

Consider the first stage of the reaction.

CH4 (g) + H2O (g) CO (g) + 3H2 (g)

The diagram shows the Maxwell-Boltzmann curve for the uncatalyzed reaction.

Draw a distribution curve at a lower temperature (T2) and show on the diagram how the addition of a catalyst enables the reaction to take place more rapidly than at T1.

[2]
a.

The hydrogen peroxide could cause further oxidation of the methanol. Suggest a possible oxidation product.

[1]
b.

Determine the overall equation for the production of methanol.

[1]
c(i).

8.00 g of methane is completely converted to methanol. Calculate, to three significant figures, the final volume of hydrogen at STP, in dm3. Use sections 2 and 6 of the data booklet.

[3]
c(ii).

Determine the enthalpy change, ΔH, in kJ. Use section 11 of the data booklet.

Bond enthalpy of CO = 1077 kJ mol−1.

[3]
d(i).

State the expression for Kc for this stage of the reaction.

[1]
d(ii).

State and explain the effect of increasing temperature on the value of Kc.

[1]
d(iii).

Markscheme

curve higher AND to left of T1

new/catalysed Ea marked AND to the left of Ea of curve T1

Do not penalize curve missing a label, not passing exactly through the origin, or crossing x-axis after Ea.
Do not award M1 if curve drawn shows significantly more/less molecules/greater/smaller area under curve than curve 1.
Accept Ea drawn to T1 instead of curve drawn as long as to left of marked Ea.

a.

methanoic acid/HCOOH/CHOOH
OR
methanal/HCHO ✔

Accept “carbon dioxide/CO2”.

b.

CH4(g) + H2O(g) CH3OH(l) + H2(g) ✔

Accept arrow instead of equilibrium sign.

c(i).

amount of methane = « 8.00g16.05gmol-1 = » 0.498 «mol» ✔

amount of hydrogen = amount of methane / 0.498 «mol» ✔

volume of hydrogen = «0.498 mol × 22.7 dm3 mol−1 = » 11.3 «dm3» ✔


Award [3] for final correct answer.

Award [2 max] for 11.4 «dm3 due to rounding of mass to 16/moles to 0.5. »

c(ii).

Σbonds broken = 4 × 414 «kJ» + 2 × 463 «kJ» / 2582 «kJ» ✔

Σbonds formed = 1077 «kJ» + 3 × 436 «kJ» / 2385 «kJ» ✔

ΔH «= Σbonds broken − Σbonds formed =( 2582 kJ − 2385 kJ)» = «+»197«kJ» ✔


Award [3] for final correct answer.

Award [2 Max] for final answer of −197 «kJ»

d(i).

Kc=COH23CH4H2O ✔

d(ii).

Kc increases AND «forward» reaction endothermic ✔

d(iii).

Examiners report

[N/A]
a.
[N/A]
b.
[N/A]
c(i).
[N/A]
c(ii).
[N/A]
d(i).
[N/A]
d(ii).
[N/A]
d(iii).



The thermal decomposition of dinitrogen monoxide occurs according to the equation:

2N2O (g) → 2N2 (g) + O2 (g)

The reaction can be followed by measuring the change in total pressure, at constant temperature, with time.

The x-axis and y-axis are shown with arbitrary units.

Explain why, as the reaction proceeds, the pressure increases by the amount shown.

[2]
a.

Outline, in terms of collision theory, how a decrease in pressure would affect the rate of reaction.

[2]
b.

The experiment is repeated using the same amount of dinitrogen monoxide in the same apparatus, but at a lower temperature.

Sketch, on the axes in question 2, the graph that you would expect.

[2]
c.

The experiment gave an error in the rate because the pressure gauge was inaccurate. Outline whether repeating the experiment, using the same apparatus, and averaging the results would reduce the error.

[1]
d.

The graph below shows the Maxwell–Boltzmann distribution of molecular energies at a particular temperature.

The rate at which dinitrogen monoxide decomposes is significantly increased by a metal oxide catalyst.

Annotate and use the graph to outline why a catalyst has this effect.

[2]
e.

Markscheme

increase in the amount/number of moles/molecules «of gas»  [✔]

from 2 to 3/by 50 %  [✔]

a.

«rate of reaction decreases»
concentration/number of molecules in a given volume decreases
OR
more space between molecules  [✔]

collision rate/frequency decreases
OR
fewer collisions per second/unit time  [✔]

 

Note: Do not accept just “larger space/volume” for M1.

b.

smaller initial gradient  [✔]

initial pressure is lower AND final pressure of gas lower «by similar factor»  [✔]

 

c.

no AND it is a systematic error/not a random error
OR
no AND «a similar magnitude» error would occur every time  [✔]

d.

catalysed and uncatalysed Ea marked on graph AND with the catalysed being at lower energy  [✔]

«for catalysed reaction» greater proportion of/more molecules have E ≥ Ea / E > Ea
OR
«for catalysed reaction» greater area under curve to the right of the Ea  [✔]

Note: Accept “more molecules have the activation energy”.

e.

Examiners report

About a quarter of the candidates gave the full answer. Some only gained the first marking point (M1) by recognizing the increase in the number of moles of gas. Some candidates wrote vague answers that did not receive credit such as “pressure increases as more gaseous products form” without explicitly recognizing that the reactants have fewer moles of gas than the products. Some candidates mistook it for a system at equilibrium when the pressure stops changing (although a straight arrow is shown in the equation). A teacher commented that the wording of the question was rather vague “not clear if question is asking about stoichiometry (i.e. how 200 & 300 connect to coefficients) or rates (i.e. explain graph shape)”. We did not see a discussion of the slope of the graph with time and most candidates understood the question as it was intended.

a.

More than half of the candidates obtained the mark allocated for “less frequent collisions” at lower pressure, but only strong candidates explained that this was due to the lower concentration or increased spacing between molecules. Some candidates talked about a decrease in kinetic energy and they did not show a good understanding of collision theory. Some candidates lost M1 for stating “fewer collisions” without reference to time or probability.

b.

This was a challenging question. Candidates usually obtained only one of the two marks allocated for the answer. Most of them scored the mark for a lower initial slope at low temperature, while others scored a mark for sketching their curve below the original curve as all pressures (initial and final) will be lower at the lower temperature. A teacher commented that the wording was unclear “sketch on the axes in question 2”, and it would have been better to label the graph instead.

c.

This question was well answered by nearly 70 % of the candidates reflecting a good understanding of the impact of systematic errors. Some students did not gain the mark because of an incomplete answer. The question raised much debate among teachers. They worried if the error was clearly a systematic one. However, a high proportion of candidates had very clear and definite answers. In Spanish and French, the wording was a bit ambiguous which caused the markscheme in these languages to be more opened.

d.

This question discriminated very well between high-scoring and low-scoring candidates. About half of the candidates annotated the Maxwell-Boltzmann distribution to show the effect of the catalyst. Some left it blank and some sketched a new distribution that would be obtained at a higher temperature instead. The majority of candidates knew that the catalyst provided an alternative route with lower Ea but only stronger candidates related it to the annotation of the graph and used the accurate language needed to score M2. A common mistake was stating that molecules have higher kinetic energy when a catalyst is added.

e.



This reaction is used in the manufacture of sulfuric acid.

2SO2 (g) + O2 (g) 2SO3 (g)        Kc = 280 at 1000 K

State why this equilibrium reaction is considered homogeneous.

[1]
a.

0.200 mol sulfur dioxide, 0.300 mol oxygen and 0.500 mol sulfur trioxide were mixed in a 1.00 dm3 flask at 1000 K.

Predict the direction of the reaction showing your working.

[3]
b.

Markscheme

all «species» are in same phase ✔

 

Accept “all species are in same state”.

Accept “all species are gases”.

a.

«reaction quotient/Q =»  [ S O 3 ] 2 [ S O 2 ] 2 [ O 2 ] / 0.500 2 0.200 2 × 0.300 / 20.8

 

reaction quotient/Q/20.8/answer < Kc/280

OR

mixture needs more product for the number to equal Kc ✔

 

reaction proceeds to the right/products ✔

 

Do not award M3 without valid reasoning.

b.

Examiners report

[N/A]
a.
[N/A]
b.



Limestone can be converted into a variety of useful commercial products through the lime cycle. Limestone contains high percentages of calcium carbonate, CaCO3.

The second step of the lime cycle produces calcium hydroxide, Ca(OH)2.

Calcium hydroxide reacts with carbon dioxide to reform calcium carbonate.

Ca(OH)2 (aq) + CO2 (g) → CaCO3 (s) + H2O (l)

Calcium carbonate is heated to produce calcium oxide, CaO.

CaCO3 (s) → CaO (s) + CO2 (g)

Calculate the volume of carbon dioxide produced at STP when 555 g of calcium carbonate decomposes. Use sections 2 and 6 of the data booklet.

[2]
a.

Thermodynamic data for the decomposition of calcium carbonate is given.

Calculate the enthalpy change of reaction, ΔH, in kJ, for the decomposition of calcium carbonate.

[2]
b.

The potential energy profile for a reaction is shown. Sketch a dotted line labelled “Catalysed” to indicate the effect of a catalyst.

[1]
c(i).

Outline why a catalyst has such an effect.

[1]
c(ii).

Write the equation for the reaction of Ca(OH)2 (aq) with hydrochloric acid, HCl (aq).

[1]
d(i).

Determine the volume, in dm3, of 0.015 mol dm−3 calcium hydroxide solution needed to neutralize 35.0 cm3 of 0.025 mol dm−3 HCl (aq).

[2]
d(ii).

Saturated calcium hydroxide solution is used to test for carbon dioxide. Calculate the pH of a 2.33 × 10−2 mol dm−3 solution of calcium hydroxide, a strong base.

[2]
d(iii).

Determine the mass, in g, of CaCO3 (s) produced by reacting 2.41 dm3 of 2.33 × 10−2 mol dm−3 of Ca(OH)2 (aq) with 0.750 dm3 of CO2 (g) at STP.

[2]
e(i).

2.85 g of CaCO3 was collected in the experiment in e(i). Calculate the percentage yield of CaCO3.

(If you did not obtain an answer to e(i), use 4.00 g, but this is not the correct value.)

[1]
e(ii).

Outline how one calcium compound in the lime cycle can reduce a problem caused by acid deposition.

[1]
f.

Markscheme

«nCaCO3555g11.09gmol-1=» 5.55 «mol» ✓

«V = 5.55 mol × 22.7 dm3 mol−1 =» 126 «dm3» ✓


Award [2] for correct final answer.

Accept method using pV = nRT to obtain the volume with p as either 100 kPa (126 dm3) or 101.3 kPa (125 dm3).

Do not penalize use of 22.4 dm3 mol–1 to obtain the volume (124 dm3).

a.

«ΔH =» (−635 «kJ» – 393.5 «kJ») – (−1207 «kJ») ✓

«ΔH = + » 179 «kJ» ✓


Award [2] for correct final answer.

Award [1 max] for −179 kJ.

Ignore an extra step to determine total enthalpy change in kJ: 179 kJ mol−1 x 5.55 mol = 993 kJ.

Award [2] for an answer in the range 990 - 993« kJ».

b.

lower activation energy curve between same reactant and product levels ✓


Accept curve with or without an intermediate.

Accept a horizontal straight line below current line with the activation energy with catalyst/Ecat clearly labelled.

c(i).

provides an alternative «reaction» pathway/mechanism ✓


Do not accept “lower activation energy” only.

c(ii).

Ca(OH)2 (aq) + 2HCl (aq) → 2H2O (l) + CaCl2 (aq) ✓

d(i).

«nHCl = 0.0350 dm3 × 0.025 mol dm−3 =» 0.00088 «mol»
OR
nCa(OH)212 nHCl/0.00044 «mol» ✓

«V12×0.00088mol0.015moldm-3 =» 0.029 «dm3» ✓


Award [2] for correct final answer.

Award [1 max] for 0.058 «dm3».

d(ii).

Alternative 1:

[OH] = « 2 × 2.33 × 10−2 mol dm−3 =» 0.0466 «mol dm−3» ✓

«[H+] = 1.00×10-140.0466 = 2.15 × 10−13 mol dm−3»
pH = « −log(2.15 × 10−13) =» 12.668 ✓

 

Alternative 2:

[OH] =« 2 × 2.33 × 10−2 mol dm−3 =» 0.0466 «mol dm−3» ✓

«pOH = −log (0.0466) = 1.332»

pH = «14.000 – pOH = 14.000 – 1.332 =» 12.668 ✓

 

Award [2] for correct final answer.

Award [1 max] for pH =12.367.

d(iii).

«nCa(OH)2 = 2.41 dm3 × 2.33 × 10−2 mol dm−3 =» 0.0562 «mol» AND
«nCO2 =0.750dm322.7moldm-3=» 0.0330 «mol» ✓

«CO2 is the limiting reactant»

«mCaCO3 = 0.0330 mol × 100.09 g mol−1 =» 3.30 «g» ✓


Only award ECF for M2 if limiting reagent is used.

Accept answers in the range 3.30 - 3.35 «g».

e(i).

«2.853.30 × 100 =» 86.4 «%» ✓


Accept answers in the range 86.1-86.4 «%».

Accept “71.3 %” for using the incorrect given value of 4.00 g.

e(ii).

«add» Ca(OH)2/CaCO3/CaO AND to «acidic» water/river/lake/soil
OR
«use» Ca(OH)2/CaCO3/CaO in scrubbers «to prevent release of acidic pollution» ✓


Accept any correct name for any of the calcium compounds listed.

f.

Examiners report

[N/A]
a.
[N/A]
b.
[N/A]
c(i).
[N/A]
c(ii).
[N/A]
d(i).
[N/A]
d(ii).
[N/A]
d(iii).
[N/A]
e(i).
[N/A]
e(ii).
[N/A]
f.



Iron (II) sulfide reacts with hydrochloric acid to form hydrogen sulfide, H2S.

In aqueous solution, hydrogen sulfide acts as an acid.

Draw the Lewis (electron dot) structure of hydrogen sulfide.

[1]
a(i).

Predict the shape of the hydrogen sulfide molecule.

[1]
a(ii).

State the formula of its conjugate base.

[1]
b(i).

Saturated aqueous hydrogen sulfide has a concentration of 0.10 mol dm−3 and a pH of 4.0. Demonstrate whether it is a strong or weak acid.

[1]
b(ii).

Calculate the hydroxide ion concentration in saturated aqueous hydrogen sulfide.

[1]
b(iii).

A gaseous sample of nitrogen, contaminated only with hydrogen sulfide, was reacted with excess sodium hydroxide solution at constant temperature. The volume of the gas changed from 550 cm3 to 525 cm3.

Determine the mole percentage of hydrogen sulfide in the sample, stating one assumption you made.

[3]
c.

Markscheme

 OR  

Accept any combination of lines, dots or crosses to represent electrons.

a(i).

bent/non-linear/angular/v-shaped✔

a(ii).

HS

b(i).

weak AND strong acid of this concentration/[H+] = 0.1 mol dm−3 would have pH = 1
OR
weak AND [H+] = 10−4 < 0.1 «therefore only fraction of acid dissociated» ✔

b(ii).

10−10 «mol dm−3» ✔

b(iii).

Mole percentage H2S:
volume of H2S = «550 − 525 = » 25 «cm3» ✔
mol % H2S = «25cm3550cm3×100 = » 4.5 «%» ✔

Award [2] for correct final answer of 4.5 «%»

 

Assumption:
«both» gases behave as ideal gases ✔

Accept “volume of gas α mol of gas”.
Accept “reaction goes to completion”.
Accept “nitrogen is insoluble/does not react with NaOH/only H2S reacts with NaOH”.

c.

Examiners report

[N/A]
a(i).
[N/A]
a(ii).
[N/A]
b(i).
[N/A]
b(ii).
[N/A]
b(iii).
[N/A]
c.



Benzoic acid, C6H5COOH, is another derivative of benzene.

Draw the structure of the conjugate base of benzoic acid showing all the atoms and all the bonds.

[1]
a.

The pH of an aqueous solution of benzoic acid at 298 K is 2.95. Determine the concentration of hydroxide ions in the solution, using section 2 of the data booklet.

[2]
b(i).

Formulate the equation for the complete combustion of benzoic acid in oxygen using only integer coefficients.

[2]
b(ii).

Suggest how benzoic acid, Mr = 122.13, forms an apparent dimer, Mr = 244.26, when dissolved in a non-polar solvent such as hexane.

[1]
c.

Markscheme

 []

 

Note: Accept Kekulé structures.

Negative sign must be shown in correct position- on the O or delocalised over the carboxylate.

a.

ALTERNATIVE 1:
[H+] «= 10−2.95» = 1.122 × 10−3 «mol dm−3»  [✔]

«[OH] =  1.00 × 10 14  mo l 2  d m 6 1.22 × 10 3  mol d m 3 =» 8.91 × 10−12 «mol dm−3»  [✔]

 

ALTERNATIVE 2:
pOH = «14 − 2.95 =» 11.05  [✔]

«[OH] = 10−11.05 =» 8.91 × 10−12 «moldm−3»  [✔]

 

Note: Award [2] for correct final answer.

Accept other methods.

b(i).

2C6H5COOH(s) + 15O2 (g) → 14CO2 (g) + 6H2O(l)

correct products  [✔]

correct balancing [✔]

b(ii).

«intermolecular» hydrogen bonding  [✔]

 

Note: Accept diagram showing hydrogen bonding.

c.

Examiners report

Most failed to score a mark for the conjugate base of benzoic acid as either they didn’t show all bonds and atoms in the ring and/or they did not put the minus sign in the correct place. Some didn't read the question carefully so gave the structure of the acid form.

a.

Many students could correctly calculate the hydroxide concentration, but some weaker students calculated hydrogen ion concentration only.

b(i).

Most students earned at least one mark for writing the correct products of the combustion of benzoic acid but the balancing appeared to be difficult for some.

b(ii).

Very few students answered this question correctly, thinking benzoic would bond with the hexane even though it was a non-polar solvent. It was very rare for a student to realize there was intermolecular hydrogen bonding.

c.



A 4.406 g sample of a compound containing only C, H and O was burnt in excess oxygen. 8.802 g of CO2 and 3.604 g of H2O were produced.

The following spectrums show the Infrared spectra of propan-1-ol, propanal and propanoic acid.

NIST Mass Spectrometry Data Center Collection © 2021 copyright by the U.S. Secretary of Commerce on behalf of the United States of America. All rights reserved. Available at: https://webbook.nist.gov/cgi/cbook.cgi?ID=C71238&Units=SI&Type=IRSPEC&Index=3#IR-SPEC [Accessed 6 May 2020]. Source adapted.

NIST Mass Spectrometry Data Center Collection © 2021 copyright by the U.S. Secretary of Commerce on behalf of the United States of America. Available at: https://webbook.nist.gov/cgi/cbook.cgi?ID=C79094&Units=SI&Mask=80#IR-Spec [Accessed 6 May 2020]. Source adapted.

NIST Mass Spectrometry Data Center Collection © 2021 copyright by the U.S. Secretary of Commerce on behalf of the United States of America. Available at: https://webbook.nist.gov/cgi/cbook.cgi?Name=propanal&Units=SI&cIR=on&cTZ=on#IRSpec [Accessed 6 May 2020]. Source adapted.

Determine the empirical formula of the compound using section 6 of the data booklet.

[3]
a.

Determine the molecular formula of this compound if its molar mass is 88.12 g mol−1. If you did not obtain an answer in (a) use CS, but this is not the correct answer.

[1]
b.

Identify each compound from the spectra given, use absorptions from the range of 1700 cm−1 to 3500 cm−1. Explain the reason for your choice, referring to section 26 of the data booklet.

[3]
c.

Markscheme

«8.802 g44.01gmol-1=» 0.2000 «mol of C/CO2»

AND «3.604g18.02gmol-1=» 0.2000 «mol of H2O»/0.4000 «mol of H»

OR

 «8.802 g44.01 g mol-1×12.01 g mol-1» 2.402 «g of C»

OR

«3.604 g18.02 g mol-1×2×1.01 g mol-1=» 0.404 «g of H» ✔

 

«4.406 g − 2.806 g» = 1.600 «g of O» ✔

«2.402 g12.01 g mol-1=0.2000 mol C; 0.404 g1.01 g mol-1=0.400 mol H; 1.600 g16.00 g mol-1=0.1000 mol O»

C2H4O ✔

 

Award [3] for correct final answer.

a.

«88.12gmol-144.06gmol-1=2» C4H8O2

 

C2S2 if CS used.

b.

 

Award [1 max] for correctly identifying all 3 compounds without valid reasons given.

Accept specific values of wavenumbers within each range.

c.

Examiners report

[N/A]
a.
[N/A]
b.
[N/A]
c.



Soluble acids and bases ionize in water.

Sodium hypochlorite ionizes in water.

OCl(aq) + H2O(l) OH(aq) + HOCl(aq)

A solution containing 0.510 g of an unknown monoprotic acid, HA, was titrated with 0.100 mol dm–3 NaOH(aq). 25.0 cm3 was required to reach the equivalence point.

Identify the amphiprotic species.

[1]
a.i.

Identify one conjugate acid-base pair in the reaction.

[1]
a.ii.

Calculate the amount, in mol, of NaOH(aq) used.

[1]
b.i.

Calculate the molar mass of the acid.

[1]
b.ii.

Calculate [H+] in the NaOH solution.

[1]
b.iii.

Markscheme

water/H2O

Accept “hydroxide ion/OH”.

[1 mark]

a.i.

[1 mark]

a.ii.

«0.100 mol dm–3 x 0.0250 dm3» = 0.00250 «mol»

[1 mark]

b.i.

«M = 0.510  g 0.00250  mol  =» 204 «g mol–1»

[1 mark]

b.ii.

«1.00 x 10–14 = [H+] x 0.100»

1.00 x 10–13 «mol dm–3»

[1 mark]

b.iii.

Examiners report

[N/A]
a.i.
[N/A]
a.ii.
[N/A]
b.i.
[N/A]
b.ii.
[N/A]
b.iii.



The concentration of a solution of a weak acid, such as ethanedioic acid, can be determined
by titration with a standard solution of sodium hydroxide, NaOH (aq).

Distinguish between a weak acid and a strong acid.

Weak acid:

Strong acid:

[1]
a.

Suggest why it is more convenient to express acidity using the pH scale instead of using the concentration of hydrogen ions.

[1]
b.

5.00 g of an impure sample of hydrated ethanedioic acid, (COOH)2•2H2O, was dissolved in water to make 1.00 dm3 of solution. 25.0 cm3 samples of this solution were titrated against a 0.100 mol dm-3 solution of sodium hydroxide using a suitable indicator.

(COOH)2 (aq) + 2NaOH (aq) → (COONa)2 (aq) + 2H2O (l)

The mean value of the titre was 14.0 cm3.

(i)   Calculate the amount, in mol, of NaOH in 14.0 cm3 of 0.100 mol dm-3 solution.

(ii)  Calculate the amount, in mol, of ethanedioic acid in each 25.0 cm3 sample.

(iii) Determine the percentage purity of the hydrated ethanedioic acid sample.

[5]
c.

The Lewis (electron dot) structure of the ethanedioate ion is shown below.

Outline why all the C–O bond lengths in the ethanedioate ion are the same length and suggest a value for them. Use section 10 of the data booklet.

[2]
d.

Markscheme

Weak acid: partially dissociated/ionized «in solution/water»
AND
Strong acid:
«assumed to be almost» completely/100% dissociated/ionized «in solution/water»

Accept answers relating to pH, conductivity, reactivity if solutions of equal concentrations stated.

a.

«log scale» reduces a wide range of numbers to a small range
OR
simple/easy to use
OR
converts exponential expressions into linear scale/simple numbers

Do not accept “easy for calculations”

b.

i

«n(NaOH) =  ( 14.0 1000 )  dm-3 x  0.100 mol dm-3 =» 1.40 x 10-3 «mol»

 

ii

« 1 2 × 1.40 × 10 3 =   7.00 × 10 4  «mol»

 

iii
ALTERNATIVE 1:
«mass of pure hydrated ethanedioic acid in each titration = 7.00 × 10-4 mol × 126.08 g mol-1 =» 0.0883 / 8.83 × 10-2 «g»

mass of sample in each titration = « 25 1000 ×5.00g=»0.125«g»

«% purity =  0.0883 g 0.125 g × 100 =» 70.6 «%»

ALTERNATIVE 2:
«mol of pure hydrated ethanedioic acid in 1 dm3 solution = 7.00 × 10-4 ×  1000 25 =» 2.80×10-2 «mol»
«mass of pure hydrated ethanedioic acid in sample = 2.80 × 10-2 mol × 126.08 g mol-1 =» 3.53 «g»
«% purity =  3.53 g 5.00 g × 100 =» 70.6 «%»

ALTERNATIVE 3:
mol of hydrated ethanedioic acid (assuming sample to be pure) =  5.00 g 126.08 g m o l 1 = 0.03966 «mol»
actual amount of hydrated ethanedioic acid = «7.00 × 10-4 ×  1000 25 =» 2.80 × 10-2 «mol»

«% purity =  2.80 × 10 2 0.03966 × 100 =» 70.6 «%»

Award suitable part marks for alternative methods.
Award [3] for correct final answer.
Award [2 max] for 50.4 % if anhydrous ethanedioic acid assumed.

c.

electrons delocalized «across the O–C–O system»
OR
resonance occurs
Accept delocalized π-bond(s).

122 «pm» < C–O < 143 «pm»

Accept any answer in the range 123 «pm» to 142 «pm». Accept “bond intermediate between single and double bond” or “bond order 1.5”.

d.

Examiners report

[N/A]
a.
[N/A]
b.
[N/A]
c.
[N/A]
d.



Dinitrogen monoxide, N2O, causes depletion of ozone in the stratosphere.

Different sources of N2O have different ratios of 14N:15N.

Outline why ozone in the stratosphere is important.

[1]
a.

State one analytical technique that could be used to determine the ratio of 14N:15N.

[1]
b(i).

A sample of gas was enriched to contain 2 % by mass of 15N with the remainder being 14N.

Calculate the relative molecular mass of the resulting N2O.

[2]
b(ii).

Predict, giving two reasons, how the first ionization energy of 15N compares with that of 14N.

[2]
b(iii).

Suggest why it is surprising that dinitrogen monoxide dissolves in water to give a neutral solution.

[1]
c.

Markscheme

absorbs UV/ultraviolet light «of longer wavelength than absorbed by O2»  [✔]

a.

mass spectrometry/MS  [✔]

b(i).

«  ( 98 × 14 ) + ( 2 × 15 ) 100 = » 14.02  [✔]

«Mr = (14.02 × 2) + 16.00 =» 44.04  [✔]

b(ii).

Any two:
same AND have same nuclear charge/number of protons/Zeff  [✔]

same AND neutrons do not affect attraction/ionization energy/Zeff
OR
same AND neutrons have no charge [✔]

same AND same attraction for «outer» electrons [✔]

same AND have same electronic configuration/shielding [✔]

 

Note: Accept “almost the same”.
“same” only needs to be stated once.

b(iii).

oxides of nitrogen/non-metals are «usually» acidic  [✔]

c.

Examiners report

60 % of the candidates were aware that ozone in the atmosphere absorbs UV light. Some candidates did not gain the mark for not specifying the type of radiation absorbed.

a.

Well answered. More than half of the candidates stated mass spectrometry is used to determine the ratio of the isotopes.

b(i).

Many candidates successfully calculated the relative atomic mass of nitrogen in the sample. M2 was awarded independently of M1, so candidates who calculated the relative molecular mass using the Ar of nitrogen in the data booklet (14.01) were awarded M2. Many candidates scored both marks.

b(ii).

This was a challenging question for many candidates, while stronger candidates often showed clarity of thinking and were able to conclude that the ionization energies of the two isotopes must be the same and to provide two different reasons for this. Some candidates did realize that the ionization energies are similar but did not give the best reasons to support their answer. Many candidates thought the ionization energies would be different because the size of the nucleus was different. Some teachers commented that the question was difficult while others liked it because it made students apply their knowledge in an unfamiliar situation. The question had a good discrimination index.

b(iii).

Only a quarter of the candidates answered correctly. Some simply stated that N2O forms HNO3 with water which did not gain the mark.

c.



Copper forms two chlorides, copper(I) chloride and copper(II) chloride.

An electrolysis cell was assembled using graphite electrodes and connected as shown.

State the electron configuration of the Cu+ ion.

[1]
a(i).

Copper(II) chloride is used as a catalyst in the production of chlorine from hydrogen chloride.

4HCl (g) + O2 (g) → 2Cl2 (g) + 2H2O (g)

Calculate the standard enthalpy change, ΔHθ, in kJ, for this reaction, using section 12 of the data booklet.

[2]
a(ii).

The diagram shows the Maxwell–Boltzmann distribution and potential energy profile for the reaction without a catalyst.

Annotate both charts to show the activation energy for the catalysed reaction, using the label Ea (cat).

[2]
a(iii).

Explain how the catalyst increases the rate of the reaction.

[2]
a(iv).

Solid copper(II) chloride absorbs moisture from the atmosphere to form a hydrate of formula CuCl2xH2O.

A student heated a sample of hydrated copper(II) chloride, in order to determine the value of x. The following results were obtained:

Mass of crucible = 16.221 g
Initial mass of crucible and hydrated copper(II) chloride = 18.360 g
Final mass of crucible and anhydrous copper(II) chloride = 17.917 g

Determine the value of x.

[3]
b.

State how current is conducted through the wires and through the electrolyte.

Wires: 

Electrolyte:

[2]
c(i).

Write the half-equation for the formation of gas bubbles at electrode 1.

[1]
c(ii).

Markscheme

[Ar] 3d10
OR
1s2 2s2 2p6 3s2 3p6 3d10

a(i).

ΔHθ = ΣΔHθf (products) − ΣΔHθf (reactants) ✔
ΔHθ = 2(−241.8 «kJ mol−1») − 4(−92.3 «kJ mol−1») = −114.4 «kJ» ✔

 

NOTE: Award [2] for correct final answer.

a(ii).

Ea (cat) to the left of Ea ✔                        

 

peak lower AND Ea (cat) smaller ✔

a(iii).

«catalyst provides an» alternative pathway ✔

«with» lower Ea
OR
higher proportion of/more particles with «kinetic» EEa(cat) «than Ea» ✔

a(iv).

mass of H2O = «18.360 g – 17.917 g =» 0.443 «g» AND mass of CuCl2 = «17.917 g – 16.221 g =» 1.696 «g» ✔

moles of H2O = «0.443g18.02g mol1=» 0.0246 «mol»
OR
moles of CuCl2 =«1.696g134.45g mol1= » 0.0126 «mol» ✔

«water : copper(II) chloride = 1.95 : 1»
«x =» 2 ✔

NOTE: Accept «x =» 1.95.

NOTE: Award [3] for correct final answer.

b.

Wires:
«delocalized» electrons «flow» ✔

Electrolyte:
«mobile» ions «flow» ✔

c(i).

2Cl → Cl2 (g) + 2e
OR
Cl 1 2 Cl2 (g) + e

NOTE: Accept e for e.

c(ii).

Examiners report

[N/A]
a(i).
[N/A]
a(ii).
[N/A]
a(iii).
[N/A]
a(iv).
[N/A]
b.
[N/A]
c(i).
[N/A]
c(ii).



This question is about peroxides.

Hydrogen peroxide decomposes to water and oxygen when a catalyst such as potassium iodide, KI, is added.

2H2O2 (aq)  KI (aq) O2 (g) + 2H2O (l)

Suggest why many chemicals, including hydrogen peroxide, are kept in brown bottles instead of clear colourless bottles.

[1]
a.

In a laboratory experiment solutions of potassium iodide and hydrogen peroxide were mixed and the volume of oxygen generated was recorded. The volume was adjusted to 0 at t = 0.

The data for the first trial is given below.

Plot a graph on the axes below and from it determine the average rate of formation of oxygen gas in cm3 O2 (g) s−1.

Average rate of reaction:

[3]
b(i).

Additional experiments were carried out at an elevated temperature. On the axes below, sketch Maxwell–Boltzmann energy distribution curves at two temperatures T1 and T2, where T2 > T1.

[2]
b(ii).

Apart from a greater frequency of collisions, explain, by annotating your graphs in (b)(ii), why an increased temperature causes the rate of reaction to increase.

[2]
b(iii).

MnO2 is another possible catalyst for the reaction. State the IUPAC name for MnO2.

[1]
b(iv).

Comment on why peracetic acid, CH3COOOH, is always sold in solution with ethanoic acid and hydrogen peroxide.

H2O2 (aq) + CH3COOH (aq) CH3COOOH (aq) + H2O (l)

[1]
c.

Sodium percarbonate, 2Na2CO3•3H2O2, is an adduct of sodium carbonate and hydrogen peroxide and is used as a cleaning agent.

Mr (2Na2CO3•3H2O2) = 314.04

Calculate the percentage by mass of hydrogen peroxide in sodium percarbonate, giving your answer to two decimal places.

[2]
d.

Markscheme

decomposes in light  [✔]

 

Note: Accept “sensitive to light”.

a.

points correctly plotted  [✔]

best fit line AND extended through (to) the origin  [✔]

Average rate of reaction:
«slope (gradient) of line =» 0.022 «cm3 O2 (g) s−1»  [✔]

 

Note: Accept range 0.020–0.024cm3 O2 (g) s−1.

b(i).

peak of T2 to right of AND lower than T1  [✔]

lines begin at origin AND T2 must finish above T1  [✔]

b(ii).

Ea marked on graph  [✔]

explanation in terms of more “particles” with E ≥ Ea
OR
greater area under curve to the right of Ea in T2  [✔]

b(iii).

manganese(IV) oxide
OR
manganese dioxide  [✔]

 

Note: Accept “manganese(IV) dioxide”.

b(iv).

move «position of» equilibrium to right/products  [✔]

 

Note: Accept “reactants are always present as the reaction is in equilibrium”.

c.

M (H2O2) «= 2 × 1.01 + 2 × 16.00» = 34.02 «g»  [✔]

«% H2O2 = 3 ×  34.02 314.04 × 100 =» 32.50 «%»  [✔]

 

Note: Award [2] for correct final answer.

d.

Examiners report

The explanation that the brown bottle prevented light causing a decomposition of the chemical was well answered but some incorrectly suggested it helped to stop mixing up of chemicals e.g. acid/water/peroxide.

a.

The graphing was disappointing with a surprising number of students missing at least one mark for failing to draw a straight line or for failing to draw the line passing through the origin. Also some were unable to calculate the gradient.

b(i).

The drawing of the two curves at T1 and T2 was generally poorly done.

b(ii).

Explaining why temperature increase caused an increase in reaction rate was generally incorrectly answered with most students failing to mention “activation energy” in their answer or failing to annotate the graph.

b(iii).

Many could correctly name manganese(IV)oxide, but there were answers of magnesium(IV) oxide or manganese(II) oxide.

b(iv).

Suggesting why peractic acid was sold in solution was very poorly answered and only a few students mentioned equilibrium and, if they did, they thought it would move to the left to restore equilibrium.

c.

Calculating the % by mass was generally well answered although some candidates started by using rounded values of atomic masses which made their final answer unprecise.

d.



There are many oxides of silver with the formula AgxOy. All of them decompose into their elements when heated strongly.

After heating 3.760 g of a silver oxide 3.275 g of silver remained. Determine the empirical formula of AgxOy.

[2]
a.i.

Suggest why the final mass of solid obtained by heating 3.760 g of AgxOy may be greater than 3.275 g giving one design improvement for your proposed suggestion. Ignore any possible errors in the weighing procedure.

[2]
a.ii.

Naturally occurring silver is composed of two stable isotopes, 107Ag and 109Ag.

The relative atomic mass of silver is 107.87. Show that isotope 107Ag is more abundant.

[1]
b.

Some oxides of period 3, such as Na2O and P4O10, react with water. A spatula measure of each oxide was added to a separate 100 cm3 flask containing distilled water and a few drops of bromothymol blue indicator.

The indicator is listed in section 22 of the data booklet.

Deduce the colour of the resulting solution and the chemical formula of the product formed after reaction with water for each oxide.

[3]
c.i.

Explain the electrical conductivity of molten Na2O and P4O10.

[2]
c.ii.

Outline the model of electron configuration deduced from the hydrogen line emission spectrum (Bohr’s model).

[2]
d.

Markscheme

n(Ag) = « 3.275  g 107.87  g mol = » 0.03036 «mol»

AND

n(O) = « 3.760  g 3.275  g 16.00  g mo l 1 = 0.485 16.00 = » 0.03031 «mol»

« 0.03036 0.03031 1 / ratio of Ag to O approximately 1 : 1, so»

AgO

 

Accept other valid methods for M1.

Award [1 max] for correct empirical formula if method not shown.

[2 marks]

a.i.

temperature too low
OR
heating time too short
OR
oxide not decomposed completely

heat sample to constant mass «for three or more trials»

 

Accept “not heated strongly enough”.

If M1 as per markscheme, M2 can only be awarded for constant mass technique.

Accept "soot deposition" (M1) and any suitable way to reduce it (for M2).

Accept "absorbs moisture from atmosphere" (M1) and "cool in dessicator" (M2).

Award [1 max] for reference to impurity AND design improvement.

[2 marks]

a.ii.

Ar closer to 107/less than 108 «so more 107Ag»
OR
Ar less than the average of (107 + 109) «so more 107Ag»

 

Accept calculations that gives greater than 50% 107Ag.

[1 mark]

b.

 

Do not accept name for the products.

Accept “Na+ + OH” for NaOH.

Ignore coefficients in front of formula.

[3 marks]

c.i.

«molten» Na2O has mobile ions/charged particles AND conducts electricity

«molten» P4O10 does not have mobile ions/charged particles AND does not conduct electricity/is poor conductor of electricity

 

Do not award marks without concept of mobile charges being present.

Award [1 max] if type of bonding or electrical conductivity correctly identified in each compound.

Do not accept answers based on electrons.

Award [1 max] if reference made to solution.

[2 marks]

c.ii.

electrons in discrete/specific/certain/different shells/energy levels

energy levels converge/get closer together at higher energies
OR
energy levels converge with distance from the nucleus

 

Accept appropriate diagram for M1, M2 or both.

Do not give marks for answers that refer to the lines in the spectrum.

[2 marks] 

d.

Examiners report

[N/A]
a.i.
[N/A]
a.ii.
[N/A]
b.
[N/A]
c.i.
[N/A]
c.ii.
[N/A]
d.



Carbonated water is produced when carbon dioxide is dissolved in water under pressure.

The following equilibria are established.

Carbon dioxide acts as a weak acid.

Soda water has sodium hydrogencarbonate, NaHCO3, dissolved in the carbonated water.

Distinguish between a weak and strong acid.

 

Weak acid: 

Strong acid:

[1]
a(i).

The hydrogencarbonate ion, produced in Equilibrium (2), can also act as an acid.

State the formula of its conjugate base.

[1]
a(ii).

When a bottle of carbonated water is opened, these equilibria are disturbed.

State, giving a reason, how a decrease in pressure affects the position of Equilibrium (1).

[1]
a(iii).

Predict, referring to Equilibrium (2), how the added sodium hydrogencarbonate affects the pH.(Assume pressure and temperature remain constant.)

[2]
b(i).

100.0 cm3 of soda water contains 3.0 × 10−2 g NaHCO3.

Calculate the concentration of NaHCO3 in mol dm−3.

[2]
b(ii).

Identify the type of bonding in sodium hydrogencarbonate.

 

Between sodium and hydrogencarbonate:

Between hydrogen and oxygen in hydrogencarbonate:

[2]
b(iii).

Markscheme

Weak acid: partially dissociated/ionized «in solution/water»
AND
Strong acid: «assumed to be almost» completely/100 % dissociated/ionized «in solution/water»  [✔]

a(i).

CO32–  [✔]

a(ii).

shifts to left/reactants AND to increase amount/number of moles/molecules of gas/CO2 (g)  [✔]

a(iii).

«additional HCO3» shifts position of equilibrium to left  [✔]

pH increases  [✔]

 

Note:  Do not award M2 without any justification in terms of equilibrium shift in M1.

b(i).

«molar mass of NaHCO3 =» 84.01 «g mol–1»  [✔]

«concentration =  3.0 × 10 2  g 84.01  g mo l 1 × 1 0.100  d m 3 = » 3.6 × 10–3 «mol dm–3»  [✔]

 

Note: Award [2] for correct final answer.

b(ii).

Between sodium and hydrogencarbonate:
ionic  [✔]

Between hydrogen and oxygen in hydrogencarbonate:
«polar» covalent  [✔]

b(iii).

Examiners report

It was rather disappointing that less than 70 % of the candidates could distinguish between weak and strong acids. Many candidates referred to pH differences.

a(i).

A poorly answered question, though it discriminated very well between high-scoring and low-scoring candidates. Less than 40 % of the candidates were able to deduce the formula of the conjugate base of HCO3-. Wrong answers included water, the hydroxide ion and carbon dioxide.

a(ii).

This was a relatively challenging question. Only about a quarter of the candidates explained how a decrease in pressure affected the equilibrium. Some candidates stated there was no shift in the equilibrium as the number of moles is the same on both sides of the equation, not acknowledging that only gaseous substances need to be considered when deciding the direction of shift in equilibrium due to a change in pressure. Some candidates wrote that the equilibrium shifts right because the gas escapes.

a(iii).

This was one of the most challenging questions on the paper that required application of Le Chatelier’s Principle in an unfamiliar situation. Most candidates did not refer to equilibrium (2), as directed by the question, and hence could not gain any marks. Some candidates stated that NaHCO3 was an acid and decreased pH. Some answers had contradictions that showed poor understanding of the pH concept.

b(i).

Very well answered. Most candidates calculated the molar concentration correctly.

b(ii).

Many candidates identified the bonding between sodium and hydrogencarbonate as ionic. A much smaller proportion of candidates identified the bonding between hydrogen and oxygen in hydrogencarbonate as covalent. The most common mistake was “hydrogen bonding”.

b(iii).



A student titrated an ethanoic acid solution, CH3COOH (aq), against 50.0 cm3 of 0.995 mol dm–3 sodium hydroxide, NaOH (aq), to determine its concentration.

The temperature of the reaction mixture was measured after each acid addition and plotted against the volume of acid.

Curves X and Y were obtained when a metal carbonate reacted with the same volume of ethanoic acid under two different conditions.

Using the graph, estimate the initial temperature of the solution.

[1]
a.

Determine the maximum temperature reached in the experiment by analysing the graph.

[1]
b.

Calculate the concentration of ethanoic acid, CH3COOH, in mol dm–3.

[2]
c.

Determine the heat change, q, in kJ, for the neutralization reaction between ethanoic acid and sodium hydroxide.

Assume the specific heat capacities of the solutions and their densities are those of water.

[2]
d.i.

Calculate the enthalpy change, ΔH, in kJ mol–1, for the reaction between ethanoic acid and sodium hydroxide.

[2]
d.ii.

Explain the shape of curve X in terms of the collision theory.

[2]
e.i.

Suggest one possible reason for the differences between curves X and Y.

[1]
e.ii.

Markscheme

21.4 °C

Accept values in the range of 21.2 to 21.6 °C.

a.

29.0 «°C»

Accept range 28.8 to 29.2 °C.

 

b.

ALTERNATIVE 1

«volume CH3COOH =» 26.0 «cm3»

«[CH3COOH] = 0.995 mol dm–3 \( \times \frac{{50.0\,{\text{cm3}}}}{{26.0\,{\text{cm3}}}} = \)» 1.91 «mol dm−3»

ALTERNATIVE 2

«n(NaOH) =0.995 mol dm–3 x 0.0500 dm3 =» 0.04975 «mol»

«[CH3COOH] =  0.04975 0.0260 dm3 =» 1.91 «mol dm–3»

Accept values of volume in range 25.5 to 26.5 cm3.

Award [2] for correct final answer.

c.

«total volume = 50.0 + 26.0 =» 76.0 cm3 AND «temperature change 29.0 – 21.4 =» 7.6 «°C»

«q = 0.0760 kg x 4.18 kJ kg–1 K–1 x 7.6 K =» 2.4 «kJ»

Award [2] for correct final answer.

d.i.

«n(NaOH) = 0.995 mol dm–3 x 0.0500 dm3 =» 0.04975 «mol»

OR

«n(CH3COOH) = 1.91 mol dm–3 x 0.0260 dm3 =» 0.04966 «mol»

«ΔH = 2.4 kJ 0.04975 mol = » –48 / –49 «kJ mol–1»

Award [2] for correct final answer.

Negative sign is required for M2.

d.ii.

«initially steep because» greatest concentration/number of particles at start

OR

«slope decreases because» concentration/number of particles decreases

volume produced per unit of time depends on frequency of collisions

OR

rate depends on frequency of collisions

e.i.

mass/amount/concentration of metal carbonate more in X

OR

concentration/amount of CH3COOH more in X

e.ii.

Examiners report

[N/A]
a.
[N/A]
b.
[N/A]
c.
[N/A]
d.i.
[N/A]
d.ii.
[N/A]
e.i.
[N/A]
e.ii.



Ammonia, NH3, is industrially important for the manufacture of fertilizers, explosives and plastics.

Ammonia is produced by the Haber–Bosch process which involves the equilibrium:

N2 (g) + 3 H2 (g)  2 NH3 (g)

The effect of temperature on the position of equilibrium depends on the enthalpy change of the reaction.

Ammonia is soluble in water and forms an alkaline solution:

NH3 (g) + H2O (l) NH4+ (aq) + HO– (aq)

Draw arrows in the boxes to represent the electron configuration of a nitrogen atom.

[1]
a.

Draw the Lewis (electron dot) structure of the ammonia molecule.

[1]
b.

Deduce the expression for the equilibrium constant, Kc, for this equation.

[1]
c(i).

Explain why an increase in pressure shifts the position of equilibrium towards the products and how this affects the value of the equilibrium constant, Kc.

[2]
c(ii).

State how the use of a catalyst affects the position of the equilibrium.

[1]
c(iii).

Determine the enthalpy change, ΔH, for the Haber–Bosch process, in kJ. Use Section 11 of the data booklet.

[3]
d(i).

Calculate the enthalpy change, ΔH, for the Haber–Bosch process, in kJ, using the following data.

H fNH3=-46.2kJmol-1.

[1]
d(ii).

Suggest why the values obtained in (d)(i) and (d)(ii) differ.

[1]
d(iii).

State the relationship between NH4+ and NH3 in terms of the Brønsted–Lowry theory.

[1]
e(i).

Determine the concentration, in mol dm–3, of the solution formed when 900.0 dm3 of NH3 (g) at 300.0 K and 100.0 kPa, is dissolved in water to form 2.00 dm3 of solution. Use sections 1 and 2 of the data booklet.

[2]
e(ii).

Calculate the concentration of hydroxide ions in an ammonia solution with pH = 9.3. Use sections 1 and 2 of the data booklet.

[1]
e(iii).

Markscheme

 

Accept all 2p electrons pointing downwards.

Accept half arrows instead of full arrows.

a.

 

Accept lines or dots or crosses for electrons, or a mixture of these

 

b.

Kc=NH32N2H23 ✔

c(i).

shifts to the side with fewer moles «of gas»
OR
shifts to right as there is a reduction in volume✔

«value of » Kc unchanged ✔

 

Accept “Kc only affected by changes in temperature”.

c(ii).

same/unaffected/unchanged ✔

c(iii).

bonds broken: N≡N + 3(H–H) / «1 mol×»945 «kJ mol–1» + 3«mol»×436 «kJ mol–1» / 945 «kJ» + 1308 «kJ» / 2253 «kJ» ✔

bonds formed: 6(N–H) / 6«mol»×391 «kJ mol–1» / 2346 «kJ» ✔

ΔH = «2253 kJ – 2346 kJ = » –93 «kJ» ✔

 

Award [2 max] for (+)93 «kJ»

d(i).

–92.4 «kJ» ✔

d(ii).

«N-H» bond enthalpy is an average «and may not be the precise value in NH3» ✔


Accept it relies on average values not specific to NH3

d(iii).

conjugate «acid and base» ✔

e(i).

amount of ammonia =P.VR.T=100.0kPa×900.0dm38.31JK-1mol-1×300.0K = 36.1 «mol» ✔

concentration =nV=36.12.00=18.1 «moldm-3» ✔

 

Award [2] for correct final answer.

e(ii).

[OH=KWH+=10-1410-9.3=10-4.7=2.0 × 10-5 moldm-3 ✔

e(iii).

Examiners report

Most students realised that the three p-orbitals were all singly filled.

a.

Even more candidates could draw the correct Lewis structure of ammonia, with omission of the lone pair being the most common error.

b.

Most students could deduce the equilibrium constant expression from the equilibrium equation.

c(i).

Many students realised that increasing pressure shifts an equilibrium to the side with the most moles of gas (though the "of gas" was frequently omitted!) but probably less than half realised that, even though the equilibrium position changes, the value of the equilibrium constant remains constant.

c(ii).
[N/A]
c(iii).

It was pleasing to see that about a third of students gaining full marks and an equal number only lost a single mark because they failed to locate the correct bond enthalpy for molecular nitrogen.

d(i).

Very few students could determine the enthalpy change from enthalpy of formation data, with many being baffled by the absence of values for the elemental reactants and more than half who overcame this obstacle failed to note that 2 moles of ammonia are produced.

d(ii).
[N/A]
d(iii).

About half the candidates recognised the species as a conjugate acid-base pair, though some lost the mark by confusing the acid and base, even though this information was not asked for.

e(i).

About 40% of candidates gained full marks for the calculation and a significant number of others gained the second mark to calculate the concentration as an ECF.

e(ii).

This question was very poorly answered with many candidates calculating the [H+] instead of [OH-].

e(iii).



Vanadium, another transition metal, has a number of different oxidation states.

Determine the oxidation state of vanadium in each of the following species.

[2]
a.

Formulate an equation for the reaction between VO2+(aq) and V2+(aq) in acidic solution to form V3+(aq).

[1]
b.

Markscheme

V2O5: +5

VO2+: +4

 

Do not penalize incorrect notation twice.

[2 marks]

a.

VO2+(aq) + V2+(aq) + 2H+(aq) → 2V3+(aq) + H2O(l)

 

Accept equilibrium sign.

[1 mark]

b.

Examiners report

[N/A]
a.
[N/A]
b.



This question is about carbon and chlorine compounds.

Ethane, C2H6, reacts with chlorine in sunlight. State the type of this reaction and the name of the mechanism by which it occurs.

[1]
a.

Formulate equations for the two propagation steps and one termination step in the formation of chloroethane from ethane.

[3]
b.

One possible product, X, of the reaction of ethane with chlorine has the following composition by mass:

carbon: 24.27%, hydrogen: 4.08%, chlorine: 71.65%

Determine the empirical formula of the product.

[2]
c.i.

The mass and 1H NMR spectra of product X are shown below. Deduce, giving your reasons, its structural formula and hence the name of the compound.

[3]
c.ii.

Chloroethene, C2H3Cl, can undergo polymerization. Draw a section of the polymer with three repeating units.

[1]
d.

Markscheme

substitution AND «free-»radical
OR
substitution AND chain

 

Award [1] for “«free-»radical substitution” or “SR” written anywhere in the answer.

[1 mark]

a.

Two propagation steps:
C2H6 + •Cl → C2H5• + HCl

C2H5• + Cl2 → C2H5Cl + •Cl

One termination step:
C2H5• + C2H5• → C4H10
OR
C2H5• + •Cl → C2H5Cl
OR
•Cl + •Cl → Cl2

 

Accept radical without • if consistent throughout.

Allow ECF from incorrect radicals produced in propagation step for M3.

[3 marks]

b.

C = 24.27 12.01 = 2.021 AND H = 4.08 1.01  = 4.04 AND Cl = 71.65 35.45 = 2.021

«hence» CH2Cl

 

Accept  24.27 12.01 4.08 1.01 : 71.65 35.45 .

Do not accept C2H4Cl2

Award [2] for correct final answer.

[2 marks]

c.i.

molecular ion peak(s) «about» m/z 100 AND «so» C2H4Cl2 «isotopes of Cl»

two signals «in 1H NMR spectrum» AND «so» CH3CHCl2
OR
«signals in» 3:1 ratio «in 1H NMR spectrum» AND «so» CH3CHCl2
OR
one doublet and one quartet «in 1H NMR spectrum» AND «so» CH3CHCl2

1,1-dichloroethane

 

Accept “peaks” for “signals”.

Allow ECF for a correct name for M3 if an incorrect chlorohydrocarbon is identified

[3 marks]

c.ii.

 

Continuation bonds must be shown.

Ignore square brackets and “n”.

Accept    M17/4/CHEMI/SP2/ENG/TZ1/05.d/M .

Accept other versions of the polymer, such as head to head and head to tail.

Accept condensed structure provided all C to C bonds are shown (as single).

[1 mark]

d.

Examiners report

[N/A]
a.
[N/A]
b.
[N/A]
c.i.
[N/A]
c.ii.
[N/A]
d.