SL Paper 3
Nuclear reactions transform one nuclide into another. Fission, splitting a large nucleus into two smaller nuclei, releases vast amounts of energy.
(i) Explain why fusion, combining two smaller nuclei into a larger nucleus, releases vast amounts of energy. Use section 36 of the data booklet.
(ii) Outline one advantage of fusion as a source of energy.
Radioactive phosphorus, 33P, has a half-life of 25.3 days.
(i) Calculate 33P decay constant λ and state its unit. Use section 1 of the data booklet.
(ii) Determine the fraction of the 33P sample remaining after 101.2 days.
Markscheme
i
product has higher binding energy «per nucleon»/more stable
OR
nucleons in product more tightly bound «with one another»
lighter elements «than Fe» can fuse/combine with loss of mass/mass defect «and release vast amount of energy»
Accept “mass is converted to energy” for M2
ii
Any one of:
deuterium/fuel is abundant/cheap
«helium» products not radioactive
fusion much less dangerous than fission
large amounts/shipments of radioactive fuel not required
far less radioactive waste «created by fast moving neutrons» has to be stored
Accept “reduces greenhouse gas emissions/global warming” OR “no radioactive waste” OR “more reliable power” OR “fewer safety issues”.
Do not accept “gives out a large amount of energy” as it is in the stem of the question.
i
«» 2.74 × 10−2 day−1
Need correct unit for mark.
ii
«4 half-lives; 1 →→→→ =» / 6.25 × 10−2
OR
«» 6.25 × 10−2
Accept 6.25%.
Examiners report
Chemical energy from redox reactions can be used as a portable source of electrical energy. A hybrid car uses a lithium ion battery in addition to gasoline as fuel.
(i) Calculate the specific energy of the lithium ion battery, in MJ kg−1, when 80.0 kg of fuel in the battery releases 1.58 × 107 J. Use section 1 of the data booklet.
(ii) The specific energy of gasoline is 46.0 MJ kg−1. Suggest why gasoline may be considered a better energy source than the lithium ion battery based on your answer to part (a) (i).
(i) The energy density of gasoline is 34.3 MJ dm−3. Calculate the volume of gasoline, in dm3, that is equivalent to the energy in 80.0 kg of fuel in the lithium ion battery. Use section 1 of the data booklet.
(ii) The efficiency of energy transfer by this lithium ion battery is four times greater than that of gasoline. Determine the distance, in km, the car can travel on the lithium ion battery power alone if the gasoline-powered car uses 1.00 dm3 gasoline to travel 32.0 km.
Markscheme
i
«==» 1.98 × 10−1 «MJ kg−1»
ii
gasoline releases more energy from a given mass of fuel
OR
gasoline has higher specific energy
Do not accept volume in place of mass as question refers to specific energy, not energy density.
i
«»= 4.61 × 10−1 «dm3»
ii
«4.61 × 10−1 dm3 × 32.0 km dm−3 × 4»= 59.0/59.1 «km»
Examiners report
of the mass of a rock weighing is uranium(IV) oxide, . of the uranium atoms in the rock are uranium-238, .
Show that the mass of the isotope in the rock is .
The half-life of 238U is years. Calculate the mass of 238U that remains after has decayed for years.
Outline a health risk produced by exposure to radioactive decay.
Deduce the nuclear equation for the decay of uranium-238 to thorium-234.
Thorium-234 has a higher binding energy per nucleon than uranium-238. Outline what is meant by the binding energy of a nucleus.
Markscheme
// ✔
✔
Award [1 max] for omitting mass composition (giving ).
M2 is for numerical setup, not for final value of .
Alternative 1
✔
✔
Alternative 2
✔
✔
Award [2] for correct final answer.
Any one:
«genetic» mutations ✔
«could cause» cancer ✔
Accept specific named types of cancer.
cells «in body» altered ✔
cells «in body» cannot function ✔
damaged DNA/proteins/enzymes/organs/tissue ✔
«radiation» burns ✔
hair loss ✔
damage in foetuses ✔
damages/weakens immune system ✔
✔
Do not penalize missing atomic numbers in the equation.
Accept “” for "”.
energy required to separate a nucleus into protons and neutrons/nucleons
OR
energy released when nucleus was formed from «individual/free/isolated» protons and neutrons/nucleons ✔
Do not accept “energy released when atom was formed”.
Examiners report
This was a very different question as student were given the answer and it was the work that was being marked. Students should always clearly show their calculations so examiners can award marks throughout the question and potentially award ECF if possible. It is very difficult to do this when students do not show work clearly.
This continues to be a topic that students understand well, and probably more used alternative 1 to calculate the half-life. Students should always clearly show their calculations so examiners can award marks throughout the question and potentially award ECF if possible. It is very difficult to do this when students do not show work clearly.
A well answered question.
Only very weak candidates lost this mark.
Many students appeared to have portion of the answer but not the entire concept. They seemed to have studied previous MS by heart and entered an answer that was mostly correct but didn't address the question. It is important that student understand the material and not try to memorize their way through the topics.
Carbon is produced by fusion reactions in stars.
The main fusion reaction responsible for the production of carbon is:
X +
Outline how the spectra of light from stars can be used to detect the presence of carbon.
Deduce the identity of X.
Outline why this reaction results in a release of energy.
Nuclear fusion reactors are predicted to become an important source of electrical energy in the future. State two advantages of nuclear fusion over nuclear fission.
Markscheme
presence of dark/absorption lines corresponding to those found for carbon
OR
missing wavelengths/frequencies correspond to carbon’s spectrum
Accept “presence of characteristic dark lines”.
Do not accept answer in terms of emission spectra.
[1 mark]
[1 mark]
product «nucleus» has a greater binding energy «per nucleon than reacting nuclei»
Accept “mass of the products is less than mass of the reactants”.
Accept converse arguments.
[1 mark]
fuel more abundant/cheaper
no «long half-life» radioisotopes/radioactive waste
shipment of radioactive fuels not required
plutonium/nuclear weapons cannot be produced from products
nuclear disasters less likely «as no critical mass of fuel required»
higher specific energy/energy per g/kg/unit mass than fission
Do not accept simply “fusion produces more energy than fission”.
[2 marks]
Examiners report
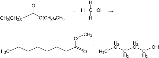
Biofuels are renewable energy sources derived mainly from plants.
State the equation for the complete transesterification of the triglyceride given below with methanol.
Outline why the fuel produced by the reaction in (a) is more suitable for use in diesel engines than vegetable oils.
Markscheme
methyl ester formula AND glycerol formula
correct balancing
Award M2 only if M1 is correct.
«methyl esters have» low«er» viscosity/surface tensions
OR
«methyl esters have» high«er» volatility
OR
«combustion of vegetable oils» produces carbon deposits in engine/reduces engine life
Accept converse arguments.
Examiners report
A link between the combustion of fossil fuels and an increase in the temperature of the Earth’s atmosphere was proposed over a century ago.
Suggest why it is only in recent years that specific predictions of the future effects of fossil fuel combustion have been made.
Carbon dioxide has two different bond stretching modes illustrated below.

Predict, with an explanation, whether these stretching modes will absorb infrared radiation.
Outline, giving the appropriate equation(s), how increasing levels of carbon dioxide will affect the pH of the oceans.
Many combustion processes also release particulate matter into the atmosphere. Suggest, giving your reason, how this might affect the temperature of the Earth’s surface.
Markscheme
computers can now carry out more complex calculations
OR
better understanding of the interactions between the various systems involved
OR
clear evidence of global warming
OR
«reliable» global temperature data now available
OR
techniques have been available to monitor carbon dioxide levels
Accept “better/faster computers”.
Accept “better modelling”.
Accept “better/more reliable/consistent data”.
Accept “better measuring techniques”.
Accept other scientifically based (not politically based) reasons.
Accept if specific relevant data is given.
Do not accept “increased combustion of fossil fuels” or “increased concerns about global warming”.
[1 mark]
symmetric stretching will not absorb IR
OR
asymmetric stretching will absorb IR
change in polarity/dipole «moment» required «to absorb IR»
[2 marks]
CO2(aq) + H2O(l) H+(aq) + HCO3–(aq) «and pH decreases»
OR
CO2(aq) + H2O(l) H2CO3(aq) AND H2CO3(aq) H+(aq) + HCO3–(aq) «and pH decreases»
Accept reversible or non-reversible arrows for all.
[1 mark]
reduce it AND absorbing/reflecting sunlight
Accept “reduce it because of global dimming”.
Accept “reduce it AND blocking sunlight”.
[1 mark]
Examiners report
Gasoline (petrol), biodiesel and ethanol are fuels.
[U.S. Department of Energy. https://afdc.energy.gov/]
Calculate the energy released, in , from the complete combustion of of ethanol.
State a class of organic compounds found in gasoline.
Outline the advantages and disadvantages of using biodiesel instead of gasoline as fuel for a car. Exclude any discussion of cost.
A mixture of gasoline and ethanol is often used as a fuel. Suggest an advantage of such a mixture over the use of pure gasoline. Exclude any discussion of cost.
Contrast the molecular structures of biodiesel and the vegetable oil from which it is formed.
When combusted, all three fuels can release carbon dioxide, a greenhouse gas, as well as particulates. Contrast how carbon dioxide and particulates interact with sunlight.
Methane is another greenhouse gas. Contrast the reasons why methane and carbon dioxide are considered significant greenhouse gases.
Suggest a wavenumber absorbed by methane gas.
Markscheme
✔
alkane
OR
cycloalkane
OR
arene ✔
Accept “alkene”.
Do not accept just “hydrocarbon”, since given in stem.
Do not accept “benzene/aromatic” for “arene”.
Advantages: [2 max]
renewable ✔
uses up waste «such as used cooking oil» ✔
lower carbon footprint/carbon neutral ✔
higher flashpoint ✔
produces less /
OR
less polluting emissions ✔
has lubricating properties
OR
preserves/increases lifespan of engine ✔
increases the life of the catalytic converter ✔
eliminates dependence on foreign suppliers ✔
does not require pipelines/infrastructure «to produce» ✔
relatively less destruction of habitat compared to obtaining petrochemicals ✔
Accept “higher energy density” OR “biodegradable” for advantage.
Disadvantages: [2 max]
needs conversion/transesterification ✔
takes time to produce/grow plants ✔
takes up land
OR
deforestation ✔
fertilizers/pesticides/phosphates/nitrates «used in production of crops» have negative environmental effects ✔
biodiversity affected
OR
loss of habitats «due to energy crop plantations» ✔
cannot be used at low temperatures ✔
variable quality «in production» ✔
high viscosity/can clog/damage engines ✔
Accept “lower specific energy” as disadvantage.
Do not accept “lower octane number” as disadvantage”.
Any one:
uses up fossil fuels more slowly ✔
lower carbon footprint/CO2 emissions ✔
undergoes more complete combustion ✔
produces fewer particulates ✔
higher octane number/rating
OR
less knocking ✔
prevents fuel injection system build up
OR
helps keep engine clean ✔
Accept an example of a suitable advantage even if repeated from 9c.
Any two:
biodiesel has smaller molecules/single «hydrocarbon» chain AND oil has larger molecules/multiple «hydrocarbon» chains ✔
biodiesel is methyl/ethyl ester AND oil has «backbone of» glycerol joined to fatty acids ✔
biodiesel contains one ester group AND oil contains three ester groups ✔
Do not accept properties such as “less viscous” or “lower ignition point”.
carbon dioxide allows sunlight/short wavelength radiation to pass through AND particulates reflect/scatter/absorb sunlight ✔
Accept “particulates reflect/scatter/absorb sunlight AND carbon dioxide does not”.
Accept “ absorbs «radiation» AND particulates reflect/scatter/absorb sunlight”.
Do not accept “traps” for “absorbs”.
carbon dioxide is highly/more abundant «in the atmosphere» ✔
methane is more effective/potent «as a greenhouse gas»
OR
methane/better/more effective at absorbing «radiation»
OR
methane has greater greenhouse factor
OR
methane has greater global warming potential/GWP✔
Accept “carbon dioxide contributes more to global warming” for M1.
any value or range within ✔
Examiners report
Even rather weak candidates answered this one correctly.
Most candidates answered alkanes with a lower number stating hydrocarbons or benzene and therefore lost the mark.
There were many good answers, but few candidates fully scored. Higher energy density and lower specific energy were quite common, and so references to damaging engines. Many students spent more time explaining each advantage rather than simply outlining. There were fewer journalistic and generic answers for this type of question than in the past.
Another question where many candidates obtained the mark. In quite a few cases students repeated the argument for (c) and this allowed them to get two points for the same answer.
Quite disappointing with few candidates producing answers that showed deep understanding. Answers such as less viscous or lower ignition point were common. This question specifically asks for contrasts in the structures not the properties of the compounds. Students need to be reminded that a contrast statement requires something about each substance.
Showed a wide variety of answers but is was worrying that many students limited to explain the greenhouse effect. There were many responses that did not answer the question or only gave a response for one of the 2 substances.
We received many good answers, but it was worrying the number of students that still provided general and shallow comments. Of the 3 contrast question this had the best response.
Many good answers with some students losing the mark as didn't read or understand the question correctly and provided answers in terms of wavelengths.
Auto-ignition of hydrocarbon fuel in a car engine causes “knocking”. The tendency of a fuel to knock depends on its molecular structure.
Discuss how the octane number changes with the molecular structure of the alkanes.
Catalytic reforming and cracking reactions are used to produce more efficient fuels. Deduce the equation for the conversion of heptane to methylbenzene.
Markscheme
«tends to» decrease with longer/larger/heavier alkanes
«tends to» increase with bulkier/more branched alkanes
Accept “octane number decreases with the separation between branches” OR “increases with the more central position of branches”.
Accept converse arguments.
C7H16 → C6H5CH3 + 4H2
Accept “C7H8” for “C6H5CH3”.
Examiners report
Coal is often converted to liquid hydrocarbon fuels through initial conversion to carbon monoxide and hydrogen.
State how these gases are produced, giving the appropriate equation(s).
Outline how the carbon monoxide is then converted to a hydrocarbon fuel.
Markscheme
heat/react with «oxygen and» water/steam
C + H2O → CO + H2
OR
3C + O2 + H2O → H2 + 3CO
OR
2C + O2 → 2CO AND C + H2O → H2 + CO
OR
C + O2 → CO2 AND C + CO2 → 2CO AND C + H2O → H2 + CO
M1 requires concept of heat.
[2 marks]
«Fischer-Tropsch» catalytic reduction of carbon monoxide with hydrogen
OR
(2n + 1)H2 + nCO → CnH(2n + 2) + nH2O
OR
reduction of carbon monoxide to methanol AND catalytic dehydration
OR
2H2 + CO + CH3OH AND nCH3OH → CnH2n + nH2O
If equation is given for a specific alkane or alkene, it must be a liquid (n > 4).
[1 mark]
Examiners report
The sun is the main source of energy used on earth.
One fusion reaction occurring in the sun is the fusion of deuterium, , with tritium, , to form helium, . State a nuclear equation for this reaction.
Explain why this fusion reaction releases energy by using section 36 of the data booklet.
State the technique used to show that the sun is mainly composed of hydrogen and helium.
Coloured molecules absorb sunlight. Identify the bonding characteristics of such molecules.
Markscheme
+ → +
Accept "n" for ""
Accept "2H + 3H → 4He + 1n/n".
[1 mark]
higher binding energy/BE «per nucleon» for helium/products
OR
nucleons in products more tightly bound
mass defect/lost matter converted to energy
Accept converse statement in M1.
Accept “mass deficit” for “mass defect”.
[2 marks]
spectrometry
Accept “spectroscopy” for “spectrometry” OR more specific techniques such as “atomic absorption spectrometry/AAS”, “astrophotometry” etc. Do not award mark for incorrect specific spectrometric techniques.
Do not accept “spectrum”.
[1 mark]
«extensive system of» conjugation/alternating single and double «carbon to carbon» bonds
OR
delocalized electrons «over much of the molecule»
[1 mark]
Examiners report
One method of comparing fuels is by considering their specific energies.
Calculate the specific energy of octane, C8H18, in kJ kg–1 using sections 1, 6 and 13 of the data booklet.
A typical wood has a specific energy of 17 × 103 kJ kg–1. Comment on the usefulness of octane and wood for powering a moving vehicle, using your answer to (a).
If you did not work out an answer for (a), use 45 × 103 kJ kg–1 but this is not the correct answer.
State the name of one renewable source of energy other than wood.
Markscheme
Mr (C8H18) = 114.26 AND ΔH= –5470 «kJ mol–1»
«specific energy = =» 4.79 x 104/47873/47900 «kJ kg–1»
Award [2] for correct final answer.
Accept “48 x 103 «kJ kg–1»” OR “47.9 x 103 «kJ kg–1»”.
wood is less useful because it requires «about three times» more mass for same energy
Accept “octane is more useful because it has higher specific energy”.
Any one of:
wind
tidal/wave
hydro-electric
solar
thermal/geothermal
plant oil
Accept “biofuel/biodiesel/«bio»ethanol” but not just “water” or “fuel cells”.
[Max 1 Mark]
Examiners report
Vegetable oils, such as that shown, require conversion to biodiesel for use in current internal combustion engines.
State two reagents required to convert vegetable oil to biodiesel.
Deduce the formula of the biodiesel formed when the vegetable oil shown is reacted with the reagents in (a).
Explain, in terms of the molecular structure, the critical difference in properties that makes biodiesel a more suitable liquid fuel than vegetable oil.
Determine the specific energy, in kJg−1, and energy density, in kJcm−3, of a particular biodiesel using the following data and section 1 of the data booklet.
Density = 0.850 gcm−3; Molar mass = 299 gmol−1;
Enthalpy of combustion = 12.0 MJmol−1.
Markscheme
methanol
OR
ethanol
strong acid
OR
strong base
Accept “alcohol”.
Accept any specific strong acid or strong base other than HNO3/nitric acid.
[3 marks]
CH3(CH2)16COOCH3 / CH3OCO(CH2)16CH3
OR
CH3(CH2)16COOC2H5 / C2H5OCO(CH2)16CH3
Product must correspond to alcohol chosen in (a), but award mark for either structure if neither given for (a).
[1 mark]
lower viscosity
weaker intermolecular/dispersion/London/van der Waals’ forces
OR
smaller/shorter molecules
Accept “lower molecular mass/Mr” or “lower number of electrons”.
Accept converse arguments.
[2 marks]
Specific energy: «» = 40.1 «kJ g−1»
Energy density: «= 40.1 kJg−1 x 0.850 gcm−3» = 34.1 «kJcm−3»
Award [1] if both are in terms of a unit other than kJ (such as J or MJ).
[2 marks]
Examiners report
Much of our energy needs are still provided by the refined products of crude oil.
“Knocking” in an automobile (car) engine can be prevented by increasing the octane number of the fuel. Explain, including an equation with structural formulas, how heptane, C7H16, could be chemically converted to increase its octane number.
Many like to refer to our “carbon footprint”. Outline one difficulty in quantifying such a concept.
Climate change or global warming is a consequence of increased levels of carbon dioxide in the atmosphere. Explain how the greenhouse effect warms the surface of the earth.
Outline how water and carbon dioxide absorb infrared radiation.
Markscheme
CH3CH2CH2CH2CH2CH2CH3 → CH3CH(CH3)CH2CH(CH3)2
OR
CH3CH2CH2CH2CH2CH2CH3 →
isomerisation/reforming/platforming/cracking
Pt/Re/Rh/Pd/Ir
OR
catalyst
A structural formula is only required for the organic product, not heptane.
Accept any correctly balanced equation showing increased branching or cyclization OR aromatization OR cracking.
Suitable supports for catalysts may be included for M3 (eg silica, alumina, zeolite) but the symbol or name of an appropriate metal must be given (typically a noble metal). Ignore temperature and other conditions.
Award M2 AND M3 for “catalytic isomerisation” OR “catalytic reforming” OR “catalytic cracking”.
which specific carbon-based greenhouse gases are included
OR
whether non-carbon based greenhouse gases should be included
OR
whether CO/incomplete combustion should be included «as can be oxidized to CO2»
OR
how to “sum” all steps in a process creating CO2
OR
difficult to determine both direct and indirect production of GHG/greenhouse gas emissions
Ignore reference to geopolitical issues (eg false recording of data by governments etc.).
Accept “difficult to measure all sources of CO2” but not “difficult to measure CO2 released in atmosphere”.
Any three of:
incoming solar radiation is short wavelength/high frequency/high energy/UV
radiated/emitted as long wavelength/low frequency/low energy/IR «radiation»
energy/IR «radiation» absorbed by «bonds in» greenhouse gases
energy radiated/emitted as IR «radiation» some of which returns back to Earth
Do not accept “reflected” OR “bounced” OR “trapped”.
[Max 3 Marks]
bond length changes
OR
«asymmetric» stretching «of bonds»
OR
bond angle changes/bends
OR
polarity/dipole «moment» changes
OR
a dipole «moment» is created «when the molecule absorbs IR»
Accept “vibration of bonds” OR appropriate diagram
Examiners report
There are many sources of energy available.
State one advantage and one disadvantage for each energy source in the table.
Calculate the specific energy of hydrogen, stating its units. Refer to sections 1, 6 and 13 of the data booklet.
Hydrogen has a higher specific energy than petrol (gasoline) but is not used as a primary fuel source in cars. Discuss the disadvantages of using hydrogen.
Markscheme
Do not award marks for converse statements for advantage and disadvantage.
Points related to greenhouse gases should be counted only once for the entire question.
Biofuels:
Accept “«close to» carbon neutral”, “produce less greenhouse gases/CO2” as an advantage.
Accept “engines have to be modified if biodiesel used” as a disadvantage.
Fossil Fuels:
Accept specific pollution examples (eg, oil spills, toxic substances released when burning crude oil, etc.) as a disadvantage.
[4 marks]
«specific energy =» 142
kJg–1
Accept other correct values with the correct corresponding units.
M2 can be scored independently.
[2 marks]
large volumes of hydrogen required
OR
hydrogen has lower energy density
not easily transportable «form» as it is a gas
OR
heavy containers required to carry AND compress/regulate «hydrogen»
OR
high energy/cost required to compress hydrogen to transportable liquid form
OR
atmospheric pollution may be generated during production of hydrogen
OR
hydrogen fuel cells do not work at very low temperatures
OR
highly flammable when compressed/difficult to extinguish fires
OR
leaks not easy to detect
OR
high cost of production
OR
lack of filling stations/availability to consumer «in many countries»
Accept “«hydrogen combustion contributes to» knocking in engines” OR “modified engine required” for M2.
Accept “explosive” but not “more dangerous” for M2.
[2 marks]
Examiners report
The combustion of fossil fuels produces large amounts of CO2, a greenhouse gas.
The diagram below illustrates a range of wavelengths in the electromagnetic spectrum.
Synthesis gas, or syngas, mainly composed of CO(g) and H2(g), is an alternative form of fuel. It can be produced by coal or biomass gasification, passing steam over the source material in a low oxygen environment.
Identify which region, A or B, corresponds to each type of radiation by completing the table.
Oceans can act as a carbon sink, removing some CO2(g) from the atmosphere.
CO2(g) CO2(aq)
Aqueous carbon dioxide, CO2(aq), quickly reacts with ocean water in a new equilibrium reaction. Construct the equilibrium equation for this reaction including state symbols.
Describe how large amounts of CO2 could reduce the pH of the ocean using an equation to support your answer.
Suggest an equation for the production of syngas from coal.
The Fischer-Tropsch process, an indirect coal liquefaction method, converts CO(g) and H2(g) to larger molecular weight hydrocarbons and steam.
Deduce the equation for the production of octane by this process.
Suggest a reason why syngas may be considered a viable alternative to crude oil.
Markscheme
Accept “B” alone for incoming radiation from sun.
All three correct answers necessary for mark.
[1 mark]
CO2(aq) + H2O(l) H2CO3(aq)
State symbols AND equilibrium arrow required for mark.
Accept
CO2(aq) + H2O(l) H+(aq) + HCO3–(aq).
CO2(aq) + H2O(l) 2H+(aq) + CO32–(aq).
[1 mark]
CO2(aq) + H2O(l) 2H+(aq) + CO32–(aq)
OR
CO2(aq) + H2O(l) H+(aq) + HCO3–(aq)
OR
H2CO3(aq) + H2O(l) H3O+(aq) + HCO3–(aq)
OR
H2CO3(aq) H+(aq) + HCO3–(aq)
OR
H2CO3(aq) + 2H2O(l) 2H3O+(aq) + CO32–(aq)
OR
H2CO3(aq) 2H+(aq) + CO32–(aq)
equilibrium shifts to the right causing increase in [H3O+]/[H+ ] «thereby decreasing pH»
Equilibrium sign needed in (b) (ii) but penalize missing equilibrium sign once only in b (i) and (ii).
Do not accept “CO2(aq) + H2O(l) H2CO3(aq)” unless equation was not given in b (i).
[2 marks]
C(s) + H2O(g) → CO(g) + H2(g)
OR
3C(s) + H2O(g) + O2(g) → 3CO(g) + H2(g)
OR
4C(s) + 2H2O(g) + O2(g) → 4CO(g) + 2H2(g)
OR
5C(s) + H2O(g) + 2O2(g) → 5CO(g) + H2(g)
Accept other correctly balanced equations which produce both CO AND H2.
[1 mark]
8CO(g) + 17H2(g) → C8H18(l) + 8H2O(g)
[1 mark]
coal more plentiful than crude oil
OR
syngas can be produced from biomass/renewable source
OR
syngas can undergo liquefaction to form octanes/no need to transport crude
OR
syngas can be produced by gasification underground, using carbon
OR
capture/storage «to not release CO2 to the atmosphere»
OR
coal gasification produces other usable products/slag
[1 mark]
Examiners report
One suggestion for the reduction of carbon footprints is the use of biofuels, such as vegetable oils, as a substitute for petroleum based fuels.
Outline the major technical problem affecting the direct use of vegetable oils as fuels in internal combustion engines and the chemical conversion that has overcome this.
State the formula of a fuel that might be produced from the vegetable oil whose formula is shown.
Outline why biofuels are considered more environmentally friendly, even though they produce more carbon dioxide per kJ of energy than petroleum based fuels.
Markscheme
viscosity «of vegetable oils is too high»
transesterification
OR
«conversion into» alkyl/methyl/ethyl esters
[2 marks]
R–CO–O–CH3/RCOOMe
OR
R–CO–O–C2H5/RCOOEt
[1 mark]
«growing oil producing» plants absorbs carbon dioxide from the atmosphere
OR
«combustion of» petroleum based fuels releases carbon stored «for millions of years»
Accept “biofuels renewable” OR “petroleum based fuels non-renewable”.
Accept “waste vegetable oils can be converted to biofuels/biodiesel”.
Accept “biofuels do not contain sulfur”.
[1 mark]
Examiners report
Greenhouse gases absorb infrared radiation.
Identify one naturally occurring greenhouse gas, other than carbon dioxide or water vapour, and its natural source.
Formulate an equation that shows how aqueous carbon dioxide produces hydrogen ions, H+(aq).
The concentrations of oxygen and nitrogen in the atmosphere are much greater than those of greenhouse gases. Outline why these gases do not absorb infrared radiation.
Markscheme

Accept “nitrous oxide”.
Accept “electrical discharges/lightning”.
[2 marks]
CO2(aq) + H2O(l) H+(aq) + HCO3–(aq)
OR
CO2(aq) + H2O(l) H2CO3(aq) AND H2CO3(aq) H+(aq) + HCO3–(aq)
Accept CO2(aq) + H2O(l) 2H+(aq) + CO32–(aq).
Accept equations with single arrow.
[1 mark]
no change in polarity/dipole «moment when molecule vibrates»
Do not accept “non-polar” or “no dipole moment” – idea of change must be there.
[1 mark]
Examiners report
Carbon dioxide is a product of the combustion of petrol.
Explain the molecular mechanism by which carbon dioxide acts as a greenhouse gas.
Discuss the significance of two greenhouse gases, other than carbon dioxide, in causing global warming or climate change.
Markscheme
Any three of:
IR/long wavelength/low frequency radiation radiated/emitted by the Earth’s «surface absorbed in the bonds»
bond length/C=O changes
OR
«asymmetric» stretching of bonds
OR
bond angle/OCO changes
polarity/dipole «moment» changes
OR
dipole «moment» created «when molecule absorbs IR»
«some of» energy is then re-radiated towards «the surface of the» Earth
Do not accept terms such as “reflect” OR “bounced” OR “trapped”.
[3 marks]
Any two of:
H2O AND «relatively» greater abundance/stable concentration/less effective at absorbing radiation/lower GWP so not much overall effect on global warming/climate change
CH4/N2O/CFCs/SF6/O3/HCFCs AND more effective «than CO2» at absorbing radiation/higher GWP so could contribute to global warming/climate change
PFCs/SF6/NF3/Some CFCs AND have very long life in atmosphere so could contribute «in the future» to global warming/climate change
Accept names or formulas.
Accept two different gases with the same effect for [2].
Award [1 max] for identifying the names/formulas of two greenhouse gases.
Accept “greenhouse factor” for “GWP” but not just “greenhouse effect”.
For M3, do not allow “CFC” alone as only some have long lifetimes (eg, CFC-115, CFC-113).
[2 marks]
Examiners report
Nuclear power is another source of energy.
Compare and contrast the process of nuclear fusion with nuclear fission.
Dubnium-261 has a half-life of 27 seconds and rutherfordium-261 has a half-life of 81 seconds.
Estimate what fraction of the dubnium-261 isotope remains in the same amount of time that of rutherfordium-261 decays.
Markscheme
Award [1] for one similarity:
both increase binding energy/energy yield «per nucleon»
OR
mass loss/defect in both «nuclear» reactions/mass converted to energy «from E = mc2»
OR
both produce ionizing radiation
Award [2 max] for any two differences:
in fusion, light nuclei combine to form heavier ones AND in fission, heavier nuclei split into lighter ones
fission produces radioactive/nuclear waste AND fusion does not
fission is caused by bombarding with a neutron «or by spontaneous fission» AND fusion does not
OR
fission can initiate a chain reaction AND fusion does not
fusion releases more energy per unit mass of fuel than fission
fuel is easier to obtain/cheaper for fusion reactions
fission reactions can be controlled in a power plant AND fusion cannot «yet»
fusion reactor less likely to cause a large-scale technological disaster compared to fission
fusion less dangerous than fission as radioactive isotopes produced have short half-lives so only cause a threat for a relatively short period of time
fusion is in experimental development AND fission used commercially
Accept “small nuclei” OR “smaller atomic masses of nuclei” for “light nuclei” AND “large nuclei” OR “greater atomic masses of nuclei” for “heavier nuclei”.
Do not accept “no/less waste produced for fusion”.
Accept “higher specific energy for fusion”.
[3 marks]
//0.016
Accept “1.6%”.
[1 mark]
Examiners report
Nuclear fission of 235U is one source of electrical energy that has a minimal carbon footprint.
Natural uranium needs to be enriched to increase the proportion of 235U. Suggest a technique that would determine the relative abundances of 235U and 238U.
Explain how 235U fission results in a chain reaction, including the concept of critical mass.
Suggest one reason why there is opposition to the increased use of nuclear fission reactors.
Markscheme
mass spectrometry/mass spectroscopy/MS
Accept “analysis of radiation emitted”.
[1 mark]
critical mass: mass required so that «on average» each fission/reaction results in a further fission/reaction
Any two for [2 max]:
neutron captured by «235U» nucleus
fission/reaction produces many neutrons/more than one neutron
if these cause further fission/reaction a chain reaction occurs
Accept “minimum mass of fuel needed for the reaction to be self-sustaining”.
Accept answers in the form of suitable diagrams/equations.
[3 marks]
produce long lived/long half-life radioisotopes/radioactivity
OR
could be used to produce nuclear weapons
OR
«nuclear» accidents/meltdowns can occur
Accept “long lived/long half-life radioactive waste”.
[1 mark]
Examiners report
In the 20th Century, both fission and fusion were considered as sources of energy but fusion was economically and technically unattainable.
Compare and contrast fission and fusion in terms of binding energy and the types of nuclei involved.
Suggest two advantages that fusion has over fission.
The amount of 228Ac in a sample decreases to one eighth of its original value in about 18 hours due to β-decay. Estimate the half-life of 228Ac.
Markscheme
Fission: heavy nuclei AND Fusion: light nuclei
both increase in binding energy/energy yield «per nucleon»
Accept “large nuclei” OR “greater atomic masses of nuclei” for fission AND “small nuclei” OR “smaller atomic masses of nuclei” for fusion.
Award [1 max] for “Fission: heavy nuclei AND increase in binding energy «per nucleon»” OR “Fusion: light nuclei AND increase in binding energy” «per nucleon»”.
Any two of:
no/less radioactive waste produced
abundance/low cost of fuel
larger amounts of energy released per unit mass
does not require a critical mass
can be used continuously
fusion reactor less likely to cause large-scale technological disaster
Do not accept "no/less waste produced".
Accept “higher specific energy”.
[Max 2 Marks]
6 «hours»
Examiners report
The increased concentration of carbon dioxide in the atmosphere is thought to result from the increased combustion of fossil fuels such as petroleum.
Identify an element, other than carbon and hydrogen, found at significant concentrations in fossil fuels.
Petroleum contains many hydrocarbons. Explain how these are separated by fractional distillation.
Determine the specific energy and energy density of petrol (gasoline), using data from sections 1 and 13 of the data booklet. Assume petrol is pure octane, C8H18. Octane: molar mass = 114.26 g mol−1, density = 0.703 g cm−3.
Outline why the energy available from an engine will be less than these theoretical values.
Markscheme
nitrogen/N
OR
oxygen/O
OR
sulfur/S
Accept “phosphorus/P”.
[1 mark]
Any three of:
different molar masses
OR
different strengths of intermolecular forces
different boiling points
temperature in «fractionating» column decreases upwards
«components» condense at different temperatures/heights
OR
«component with» lower boiling point leaves column first
[3 marks]
specific energy «= = » = 47.9 «kJ g–1»
energy density « = specific energy × density = 47.9 kJ g–1 × 0.703 g cm–3» = 33.7 «kJ cm–3 »
Do not accept “–47.9 «kJ g–1»”.
Do not accept “–33.7 «kJ cm–3»” unless “–47.9 «kJ g–1»” already penalized.
[2 marks]
energy is lost «to the surroundings» as heat/sound/friction
OR
energy is lost to the surroundings «as heat/sound/friction»
OR
incomplete combustion
Do not accept just “energy is lost”.
[1 mark]
Examiners report
Crude oil is a useful energy resource.
Outline two reasons why oil is one of the world’s significant energy sources.
Formulate an equation for the cracking of C16H34 into two products with eight carbon atoms each.
Identify, giving a reason, which product in (b)(i) could be used in petrol (gasoline).
Outline how higher octane fuels help eliminate “knocking” in engines.
The performance of hydrocarbons as fuels can be improved by catalytic reforming.
Outline how catalytic reforming increases a fuel’s octane rating.
Markscheme
Any two of:
high energy content/high energy density/high specific energy
OR
high enthalpy of combustion/very exothermic enthalpy of combustion
shortage of alternatives
OR
alternatives are expensive
OR
oil is relatively cheap
OR
oil is «still» abundant/common
well-established technology
OR
easy for consumers to obtain
OR
commonly used
easy to store
OR
easy to transport
OR
easy to extract
produces energy at a reasonable rate
Accept “high potential energy” for M1.
[2 marks]
C16H34(g) → C8H16(g) + C8H18(g)
OR
C16H34(g) + H2(g) → 2 C8H18(g)
[1 mark]
C8H18 AND is an alkane
OR
C8H18 AND petrol does not contain alkenes
[1 mark]
fuels can be compressed more without undergoing «unwanted» auto-ignition
Accept “burns smoother without undergoing «unwanted» auto-ignition” OR “fuel does not auto-ignite”.
[1 mark]
produces more branched chain hydrocarbons «with higher octane rating»
OR
produces aromatics «which have higher octane rating»
OR
produces cyclohexanes «which have higher octane rating»
Accept “increase branches”.
Do not accept “produces benzene”.
Do not penalize for “benzene” if penalty applied in 2.b.iii.
Accept “produces cyclic structures”.
[1 mark]
Examiners report
Solar energy, which is freely available, is indispensable to life on earth.
Suggest another advantage and one disadvantage of solar energy.
Light can be absorbed by chlorophyll and other pigments.
Consider molecules A and B represented below.
Identify, with a reason, the molecule that absorbs visible light.
State a physical property of vegetable oils that makes them very difficult to use as fuel in internal combustion engines.
Describe how vegetable oils can be converted to a more suitable fuel.
Contrast the importance of carbon dioxide and methane as greenhouse gases.
Explain, using an equation, the effect of increased carbon dioxide in the atmosphere on the pH of lake water.
Markscheme
Advantage:
renewable «energy source»
OR
does not produce greenhouse gases
OR
can be installed «almost» anywhere
OR
low maintenance costs ✔
Disadvantage:
widely dispersed/not concentrated «form of energy»
OR
geography/weather/seasonal dependent
OR
not available at night
OR
energy storage is difficult/expensive
OR
toxic/hazardous materials used in production
OR
concerns about space/aesthetics/local environment where installed
OR
need to be «constantly» cleaned ✔
Accept “can be used for passive/active heating”, “can be converted to electric energy”.
Accept any specific greenhouse gas name or formula for “greenhouse gases”.
Accept “solar cells require large areas”, “solar cell manufacture produces pollution/greenhouse gases”, “higher cost of solar cells «compared with traditional sources such as fossil fuels or hydroelectric»”.
B AND larger/more extensive «electronic» conjugation
OR
B AND «contains» more alternate single and double bonds ✔
Accept more specific statements, such as “sp3 carbon in A prevents conjugation between aromatic rings”.
high viscosity ✔
Accept “low volatility”, just “viscous/viscosity” OR “does not flow easily”.
convert to esters of monoatomic alcohols
OR
react with short-chain alcohols «in the presence of acid or base» ✔
Accept “convert to shorter «carbon chain» esters” OR “transesterification”.
Accept specific alcohols, such as methanol or ethanol.
carbon dioxide/CO2 more/most abundant «GHG than methane/CH4»
OR
carbon dioxide/CO2 has «much» longer atmospheric life «than methane/CH4» ✔
methane/CH4 «much» better/more effective at absorbing IR radiation «than carbon dioxide/CO2»
OR
methane/CH4 has a greater greenhouse factor «than carbon dioxide/CO2»
OR
methane/CH4 has a greater global warming potential/GWP «than carbon dioxide/CO2» ✔
Accept “carbon dioxide/CO2 contributes more to global warming «than methane/CH4»”.
CO2 (g) + H2O (l) H+ (aq) + HCO3– (aq)
OR
CO2 (g) CO2 (aq) AND CO2 (aq) + H2O (l) H+ (aq) + HCO3– (aq) ✔
«increasing [CO2 (g)]» shifts equilibrium/reaction to right AND pH decreases ✔
Accept “H2CO3 (aq)” for “CO2 (aq) + H2O (l)”.
Equilibrium arrows required for M1.
State symbols required for CO2 (g) CO2 (aq) equation only for M1.
Accept “concentration of H+/[H+] increases AND pH decreases” for M2.
Examiners report
The Sun’s energy is produced by the fusion of hydrogen nuclei.
Uranium-238 produces plutonium-239, which is used as fuel in breeder reactors.
Explain fusion reactions with reference to binding energy.
Outline why the term breeder is used for the reactors.
Deduce the fission reaction when 239Pu is bombarded with a neutron to produce 133Xe and 103Zr.
Nuclear disasters release radioactive caesium into the atmosphere, which presents serious health risks.
Cs-137 has a half-life of 30 years.
Calculate the percentage of Cs-137 remaining in the atmosphere after 240 years.
Markscheme
small/lighter nuclei combine to form larger/heavier nuclei ✔
product has higher binding energy «per nucleon» ✔
Accept binding energy curve with explanation.
converts non-fissile «238U» material into fissile «239Pu» material
OR
produces more fissile material than it consumes ✔
239Pu + 1n → 133Xe + 103Zr + 41n ✔
Accept equation with correct atomic numbers included.
Accept notation for neutrons of “n”.
Accept a correctly described equation in words.
ALTERNATIVE 1:
«» 8 /8 half-lives «required» ✔
% remaining = «0.508 × 100 =» 0.39 «%» ✔
ALTERNATIVE 2:
λ = «» 0.023 ✔
% remaining = «100 × e–0.023 × 240 =» 0.39 «%» ✔
Award [2] for correct final answer.
Examiners report
Coal can be converted to clean-burning synthetic natural gas.
Automobile companies use hydrogen as an alternative to fossil fuels. Some properties of fuels are shown.
Formulate equation(s) for the conversion of coal and steam to methane.
Calculate the specific energy, in kJ g−1, of methane.
Comment on the specific energies of hydrogen and methane.
Calculate the mass, in kg, of carbon dioxide produced by the complete combustion of 72.0 dm3 octane, C8H18.
Density of C8H18 = 703 g dm−3
C8H18 (l) + 12.5O2 (g) → 8CO2 (g) + 9H2O (g)
Markscheme
ALTERNATIVE 1:
2C (s) + 2H2O (g) → CH4 (g) + CO2 (g) ✔
ALTERNATIVE 2:
C (s) + 2H2O (g) → CO (g) + H2 (g) AND 3H2 (g) + CO (g) → CH4 (g) + H2O (g) ✔
Accept “3C (s) + 2H2O (g) → CH4 (g) + 2CO (g)”.
« =» 55.5 «kJ g–1» ✔
Do not penalize negative sign.
Do not accept energy density at STP/density at STP = = 55.06 «kJ g–1».
«» hydrogen/H2 produces 2.6 times/more than twice the energy of methane/CH4 «per mass/g»
OR
less mass of hydrogen/H2 required «to produce same amount of energy»
OR
hydrogen/H2 more energy efficient ✔
Accept “hydrogen/H2 produces «nearly» three times more energy than methane/CH4 «per mass/g»”.
moctane «= 72.0 dm3 × 703 g dm–3» = 50600 «g»/50.6 «kg» ✔
mcarbon dioxide «= » = 156 «kg» ✔
Award [2] for correct final answer.
Examiners report
Carbon dioxide and water vapour are greenhouse gases produced by the combustion of fossil fuels.
Explain the effect of the increasing concentration of atmospheric carbon dioxide on the acidity of oceans.
(i) Describe the changes that occur at the molecular level when atmospheric carbon dioxide gas absorbs infrared radiation emitted from the Earth’s surface.
(ii) Other than changes to the acidity of oceans, suggest why the production of carbon dioxide is of greater concern than the production of water vapour.
Markscheme
Any two of:
CO2 (g) CO2 (aq)
CO2 (aq) + H2O (l) H+ (aq) + HCO3– (aq)
OR
HCO3– AND H+ are formed «by dissolved CO2»
«increasing [CO2]» shifts equilibrium to right/increases acidity/decreases pH
H2O (l) not required over equilibrium sign for M1.
State symbols required in the equation in M1.
Accept “H2CO3 ” at either side of the equilibrium in M2.
Equilibrium sign required for M1 but not for M2.
i
bond length/C=O changes
OR
«asymmetric» stretching «of bonds»
OR
bond angle/OCO changes
Accept “molecule bends” for M1.
Accept appropriate diagrams
photon re-emitted in random direction
OR
polarity/dipole «moment» changes
OR
dipole «moment» created «when molecule absorbs IR»
ii
CO2 gas «ten times» more effective as greenhouse gas/GHG than H2O
OR
CO2 gas levels keep increasing «unlike H2O»
OR
CO2 has higher Global Warming Potential/GWP than H2O
OR
CO2 stays in the atmosphere for longer than H2O
Accept converse arguments.
Examiners report
Vegetable oils can be used as a source of energy.
State the structural feature of chlorophyll that enables it to absorb visible light.
Vegetable oils are too viscous for use as liquid fuels. Describe, using an equation, how a vegetable oil, such as that shown, is converted to oils with lower viscosity by reaction with methanol, CH3OH.
Markscheme
«extensive» conjugation
OR
alternating single and double bonds
ester product
glycerol AND correct balancing
Catalyst not required for equation.
Award M2 only if M1 is correct.
Examiners report
Octane number is a measure of the performance of engine fuel.
Suggest why a high-octane number fuel is preferable.
Reforming reactions are used to increase the octane number of a hydrocarbon fuel.
Suggest the structural formulas of two possible products of the reforming reaction of heptane, C7H16.
The 1H NMR spectrum of one of the products has four signals. The integration trace shows a ratio of the areas under the signals of 9 : 3 : 2 : 2.
Deduce the structural formula of the product.
Markscheme
low knocking/auto-ignition
NOTE: Do not accept “pre-ignition”.
OR
more efficient fuel
NOTE: Accept “less CO2 emissions since knocking engine uses more fuel «to produce the same power»”.
OR
high compression
OR
more power extracted
OR
more air going into engine / turbocharging
OR
less engine damage ✔
Any two of:
NOTE: Accept skeletal formulas or full or condensed structural formulas.
Accept any other branched cycloalkane that contains 7 carbons.
Do not accept any alkenes.
Penalise missing hydrogens or bond connectivities once only in Option C.
Accept hydrogen as the second product if the first product is toluene or a cycloalkane.
NOTE: Accept a skeletal formula or a full or condensed structural formula.
Penalise missing hydrogens or bond connectivities once only in Option C.
Examiners report
The process of converting heat to electricity is limited by its thermal (Carnot) efficiency.
Calculate the thermal efficiency of a steam turbine supplied with steam at 540°C and using a river as the choice of sink at 23 °C.
Power plants generating electricity by burning coal to boil water operate at approximately 35% efficiency.
State what this means and suggest why it is lower than the thermal efficiency.
Markscheme
« × 100» = 64 «%»
[1 mark]
35% of chemical/potential energy available in coal is transformed to electricity/electrical energy
not all chemical energy from burning fuel transferred into heating water
OR
energy dispersed elsewhere/energy lost due to friction of moving parts
OR
heat loss to the surroundings
Accept “stored energy” for “potential energy”.
[2 marks]
Examiners report
Uranium-235, 235U, is bombarded with a neutron causing a fission reaction.
Two products of the fission of 235U are 144Ba and 89Kr.
Write the nuclear equation for this fission reaction.
Outline why the reaction releases energy.
The critical mass for weapons-grade uranium can be as small as 15 kg. Outline what is meant by critical mass by referring to the equation in (a)(i).
The daughter product, 89Kr, has a half-life of 3.15 min.
Calculate the time required, in minutes, for the mass of 89Kr to fall to 6.25 % of its initial value.
Markscheme
235U + 1n → 144Ba + 89Kr + 3 1n [✔]
greater binding energy per nucleon in products than reactant [✔]
Note: Accept “mass of products less than reactants” OR “mass converted to energy/E = mc2”.
mass/amount/quantity required so that «on average» each fission/reaction results in a further fission/reaction [✔]
at least one of the «3» neutrons produced must cause another reaction [✔]
Note: Accept “minimum mass of fuel needed for the reaction to be self-sustaining”.
«6.25 % = 4 half-lives, so 4 × 3.15 =» 12.6 «min» [✔]
Examiners report
Only about a third of the candidates could write the nuclear equation for the requested fission reaction.
Only about a quarter of the candidates could explain the release of energy, usually in terms of the change in nuclear binding energy.
Less than half the candidates could correctly explain “critical mass” with even fewer combining the definition as the minimum mass for a sustainable fission reaction with the required clarification in terms of neutrons creating a chain reaction.
Another question that created far more problems than anticipated with only about half gaining the mark. Many students appeared not to realise that 6.25 % is 1/16, hence the amount remaining after 4 half lives.
Natural gas is an energy source composed mainly of methane.
Natural gas is burned to produce steam which turns turbines in an electricity generating power plant.
The efficiency of several sources for power plants is given below.
Calculate the specific energy of methane, in MJ kg−1, using sections 1, 6 and 13 of the data booklet.
Calculate the maximum electric energy output, in MJ, which can be obtained from burning 1.00 kg of methane by using your answer from (a).
Hydroelectric power plants produced 16 % of the world’s energy in 2015, down from 21 % in 1971.
Suggest why hydroelectric power production has a higher efficiency than the other sources given in (b) and why its relative use has decreased despite the high efficiency.
Reason for higher efficiency:
Reason for decreased use:
Methane can also be obtained by fractional distillation of crude oil.
Draw a circle on the diagram to show where the methane fraction is withdrawn.
List the following products, which are also obtained by fractional distillation, according to decreasing volatility: asphalt, diesel, gasoline, lubricating motor oil.
Explain how methane absorbs infrared (IR) radiation by referring to its molecular geometry and dipole moment.
Compare methane’s atmospheric abundance and greenhouse effect to that of carbon dioxide.
Markscheme
« = 55.5 kJ g–1 =» 55.5 «MJ kg–1» [✔]
«55.5 MJ × 58 % =» 32.2 «MJ» [✔]
Reason for higher efficiency:
no heat/energy loss in producing steam
OR
no need to convert chemical energy of the fuel into heat and then heat into mechanical energy
OR
direct conversion of «gravitational» potential energy to mechanical energy [✔]
Note: Accept “less energy lost as heat” but do not accept "no energy lost”.
Reason for decreased use:
limited supply of available hydroelectric sites
OR
rapid growth of electrical supply in countries with little hydroelectric potential
OR
not building «new hydroelectric» dams because of environmental concerns [✔]
Note: Accept “new/alternative/solar/wind power sources «have taken over some of the demand»”.
Accept “lower output from existing stations due to limited water supplies”.
[✔]
gasoline > diesel > lubricating motor oil > asphalt [✔]
Note: Accept products written in this order whether separated by >, comma, or nothing.
methane is tetrahedral
OR
methane has zero dipole moment/is non-polar/bond polarities cancel [✔]
Any two of:
IR absorption can result in increased vibrations/bending/stretching [✔]
only modes that cause change in dipole absorb IR [✔]
for methane this is asymmetric bending/stretching [✔]
methane is less abundant AND has a greater effect «per mol» [✔]
Examiners report
About half the candidates were able to locate the appropriate data and use it to calculate the specific energy of methane.
Many students were aware that methane is the major component of natural gas and could use the efficiency data to calculate the electrical energy available from methane.
This seemed to cause quite a lot of difficulties, especially as some students appeared totally unaware of what hydroelectric power was, with a number discussing it as if it were some kind of fuel. The most usual mark gained was from discussing environmental concerns as a reason for its decreased use.
Having been given it is a gas, it is difficult to know why probably only about a third of the candidates could identify where methane would appear on a fractionating column.
Again surprisingly poorly done. Firstly there appeared to be some confusion about the term “volatility” with listing in the reverse order being quite common. Secondly many seemed unaware of the nature of “asphalt” as it was the one most frequently misplaced.
Comprehensive answers were rare. Many students gained a mark for correct statements about methane’s molecular geometry or polarity, though quite a few totally disregarded the instruction to refer to these. Some seemed aware of the link to vibrational motion and the better ones also identified the need for a change in dipole moment.
Quite a few candidates were aware of the relative atmospheric abundances of carbon dioxide and methane as well as their relative potency for enhancing the greenhouse effect.
This question is about nuclear reactions.
Fission of a nucleus can be initiated by bombarding it with a neutron.
Determine the other product of the fission reaction of plutonium-239.
Outline the concept of critical mass with respect to fission reactions.
Outline one advantage of allowing all countries access to the technology to generate electricity by nuclear fission.
State one advantage of using fusion reactions rather than fission to generate electrical power.
90Sr, a common product of fission, has a half-life of 28.8 years.
Determine the number of years for the activity of a sample of 90Sr to fall to one eighth () of its initial value.
Markscheme
[✔]
minimum mass to «self-»sustain chain reaction
OR
if mass of fissile material is too small, too many neutrons produced pass out of the nuclear fuel
OR
at least one neutron produced causes further reaction [✔]
Any one of:
reduction in emission of greenhouse gases «from burning fossil fuels» [✔]
economic independence/self-sufficiency «from crude oil/producing states» [✔]
uranium is more abundant on Earth «in terms of total energy that can be produced from this fuel» than fossil fuels [✔]
Any one of:
fuel is inexpensive/readily available [✔]
no/less radioactive waste is formed [✔]
lower risk of accidents/large-scale disasters [✔]
impossible/harder to use for making materials for nuclear weapons [✔]
larger amounts of energy released per unit mass [✔]
does not require a critical mass [✔]
can be used continuously [✔]
Note: Accept “higher specific energy for fusion”.
Do not accept “no/less waste produced for fusion”.
Accept specific example for disasters.
86.4 «years» [✔]
Examiners report
This question was well answered.
This question was also fairly well answered although some students missed the concept of maintaining a chain reaction.
This question was reasonable answered by many students, but some gave very vague or general answers.
This was a well answered question with most student referring to fusion having less or no nuclear waste. There were many different possible correct answers.
This was a well answered question with most students solving for the number of years correctly.
This question is about fuel for engines.
Crude oil can be converted into fuels by fractional distillation and cracking.
Contrast these two processes.
Determine the specific energy, in kJ g−1, and energy density, in kJ cm−3, of hexane, C6H14. Give both answers to three significant figures.
Hexane: Mr = 86.2; ΔHc = −4163 kJ mol−1; density = 0.660 g cm−3
Specific energy:
Energy density:
Hydrocarbons need treatment to increase their octane number to prevent pre-ignition (knocking) before they can be used in internal combustion engines.
Describe how this is carried out and the molecular changes that take place.
Markscheme
Note: Award [1] max for any two correct answers from one column OR one from each column.
Award [2] for any two correct from each column; eg: fractional distillation – any two correct award [1 max] AND cracking – any two correct award [1 max].
specific energy = « =» 48.3 «kJ g–1» [✔]
energy density =«48.3 kJ g–1 × 0.660 g cm–3 =» 31.9 «kJ cm–3» [✔]
Note: Award [1 max] if either or both answers not expressed to three significant figures.
Any two of:
«hydrocarbons are heated with» catalyst [✔]
long chains break and reform
OR
branching/aromatization occurs
OR
isomerisation/reforming/platforming/cracking [✔]
zeolite separates branched from non-branched
OR
products are distilled
OR
«distillation» separates reformed and cracked products [✔]
Note: Accept a specific catalysis name or formula for M1 such as Pt/Re/Rh/Pd/Ir.
Examiners report
This question was not well answered. Many candidates didn’t answer the question as asked. Candidates needed two correct statements, either about fractional distillation or cracking as a process for 1 mark.
This question was very well answered by most students and many answered with the correct number of significant figures as specified by the question.
Students responded well to at least one mark of this question. There were several different ways to earn the 2 marks possible. The most common way students earned marks were by identifying the use of a catalyst and then the idea of the compound reforming into a smaller or branched compound. Very few students discussed the idea of purification or separation into individual compounds which is another important part of this process.
This question is about global warming.
State one greenhouse gas, other than carbon dioxide.
Describe the effect of infrared (IR) radiation on carbon dioxide molecules.
Outline one approach to controlling industrial emissions of carbon dioxide.
Markscheme
Any one of:
methane, water, nitrous oxide/nitrogen(I) oxide, ozone, CFCs, sulfur hexafluoride [✔]
Note: Accept formulas.
Do not accept “NO2”, “NOx”, “oxides of sulfur”.
bond length/C=O distance changes
OR
«asymmetric» stretching «of bonds»
OR
bond angle/OCO changes [✔]
polarity/dipole «moment» changes
OR
dipole «moment» created «when molecule absorbs IR» [✔]
Note: Accept appropriate diagrams.
Any one of:
capture where produced «and stored» [✔]
use scrubbers to remove [✔]
use as feedstock for synthesizing other chemicals [✔]
carbon credit/tax/economic incentive/fines/country specific action [✔]
use alternative energy
OR
stop/reduce use of fossil fuels for producing energy [✔]
use carbon reduced fuels «such as methane» [✔]
increase efficiency/reduce energy use [✔]
Examiners report
This question was well answered.
This question was fairly well answered with most students receiving one of the two marks. There were many students who mentioned the information in M1 (asymmetric stretching and bonds vibrate) or M2 (polarity and dipole changes) more than one time but could only receive one mark. Teachers need to remind students each mark is a different topic or concept.
This question was reasonably answered although there were many students who gave vague answers that did not receive marks. Carbon cannot be “filtered out” and the process of “carbon capture or scrubbing” is different from filtering.
The regular rise and fall of sea levels, known as tides, can be used to generate energy.
State one advantage, other than limiting greenhouse gas emissions, and one disadvantage of tidal power.
Advantage:
Disadvantage:
Markscheme
Advantage
Any one of:
renewable [✔]
predictable supply [✔]
tidal barrage may prevent flooding [✔]
effective at low speeds [✔]
long life-span [✔]
low cost to run [✔]
Disadvantage
Any one of:
cost of construction [✔]
changes/unknown effects on marine life [✔]
changes circulation of tides in the area [✔]
power output is variable [✔]
limited locations where feasible [✔]
equipment maintenance can be challenging [✔]
difficult to store energy [✔]
Note: Do not accept vague generalizations.
Do not accept economic issues for both advantage and disadvantage.
Do not accept sustainable.
Accept “energy” or “electricity” for “power”.
Examiners report
Many candidates performed well on this question especially when identifying an advantage of tidal power. The students who struggled tended to either give vague or journalistic answers especially for the disadvantage of tidal power.
Ethanol is a biofuel that can be mixed with gasoline.
Write the equation for the complete combustion of ethanol.
Outline the evidence that relates global warming to increasing concentrations of greenhouse gases in the atmosphere.
Explain, including a suitable equation, why biofuels are considered to be carbon neutral.
State the type of reaction that occurs when ethanol reacts with vegetable oil to form biodiesel.
Markscheme
C2H5OH (l) + 3O2 (g) → 2CO2 (g) + 3H2O (l) ✔
Any two of:
«showing strong» correlation between «atmospheric» CO2 concentration/greenhouse gas concentration and average «global/surface/ocean» temperature ✔
lab evidence that greenhouse gases/CO2 absorb(s) infrared radiation ✔
«advanced» computer modelling ✔
ice core data ✔
tree ring data ✔
ocean sediments / coral reefs / sedimentary rocks data ✔
NOTE: Do not accept “global warming” for “average temperature”.
Do not accept “traps/reflects heat” OR “thermal energy”.
Evidence must be outlined and connected to data.
Accept references to other valid greenhouse gases other than carbon dioxide/CO2, such as methane/CH4 or nitrous oxide/N2O.
biofuel raw material/sugar/glucose formed by photosynthesis
OR
biofuel raw material/sugar/glucose uses up carbon dioxide during its formation
OR
biofuel from capturing gases due to decaying organic matter formed from photosynthesis ✔
6CO2 (g) + 6H2O (l) → C6H12O6 (aq) + 6O2 (g) ✔
NOTE: Accept arguments based on material coming from plant sources consuming carbon dioxide/carbon for M1.
transesterification
OR
«nucleophilic» substitution/SN ✔
Examiners report
Red supergiant stars contain carbon-12 formed by the fusion of helium-4 nuclei with beryllium-8 nuclei.
Mass of a helium-4 nucleus = 4.002602 amu
Mass of a beryllium-8 nucleus = 8.005305 amu
Mass of a carbon-12 nucleus = 12.000000 amu
State the nuclear equation for the fusion reaction.
Explain why fusion is an exothermic process.
Beryllium-8 is a radioactive isotope with a half-life of 6.70 × 10−17 s.
Calculate the mass of beryllium-8 remaining after 2.01 × 10−16 s from a sample initially containing 4.00 g of beryllium-8.
Markscheme
✔
NOTE: Do not penalize missing atomic numbers.
ALTERNATIVE 1
binding energy per nucleon is larger in carbon-12/product «than beryllium-8 and helium-4/reactants» ✔
difference in «total» binding energy is released «during fusion» ✔
ALTERNATIVE 2
mass of carbon-12/product «nucleus» is less than «the sum of» the masses of helium-4 and beryllium-8 «nuclei»/reactants
OR
two smaller nuclei form a lager nucleus ✔
mass lost/difference is converted to energy «and released»
OR
E = mc2 ✔
ALTERNATIVE 1
3 half-lives ✔
0.500 g «of beryllium-8 remain» ✔
ALTERNATIVE 2
✔
0.500 g «of beryllium-8 remain» ✔
ALTERNATIVE 3
λ = « »= 1.03 × 1016 «s−1» ✔
m = « » 0.500 «g» ✔
NOTE: Award [2] for correct final answer.
Examiners report
One method of producing biodiesel is by a transesterification process.
Deduce the equation for the transesterification reaction of pentyl octanoate, C7H15COOC5H11, with methanol.
Outline why the ester product of this reaction is a better diesel fuel than pentyl octanoate.
Markscheme
C7H15COOC5H11(l) + CH3OH(l) → C7H15COOCH3(l) + C5H11OH(l)
OR
C13H26O2(l) + CH4O(l) → C9H18O2(l) + C5H12O(l)
OR

Accept correct equation in any format eg, skeletal, condensed structural formula, etc.
Accept equations with equilibrium arrow.
[1 mark]
less viscous «and so does not need to be heated to flow»
OR
less likely to undergo incomplete combustion
OR
fewer intermolecular/London/dispersion forces
OR
vaporizes easier
Ignore equation and products in 14a.
Accept “van der Waals’/vdW” for “London”.
[1 mark]
Examiners report
E10 is composed of 10 % ethanol and 90 % normal unleaded fuel.
Ethanol has a Research Octane Number (RON) of 108.6.
Outline how higher octane fuels affect engine performance.
Show that, for combustion of equal masses of fuel, ethanol (Mr = 46 g mol−1) has a lower carbon footprint than octane (Mr = 114 g mol−1).
Biodiesel containing ethanol can be made from renewable resources.
Suggest one environmental disadvantage of producing biodiesel from renewable resources.
Markscheme
increased AND fuels can be compressed more «before ignition» [✔]
Note: Accept “engines can be designed with higher compression ratio” OR “less chance of pre-ignition/autoignition/
knocking occurring”.
Alternative 1
C2H5OH (l) + 3O2 (g) → 2CO2 (g) + 3H2O (l) / 1 mol ethanol produces 2 mol CO2
OR
C8H18 (l) + 12.5O2 (g) → 8CO2 (g) + 9H2O (l) / 1 mol octane produces 8 mol CO2 [✔]
For 1 g of fuel:
« × 2 mol CO2 (g) =» 0.04 «mol CO2 (g)» from ethanol [✔]
« × 8 mol CO2 (g) =» 0.07 «mol CO2 (g)» from octane [✔]
Alternative 2
ratio of C in ethanol:octane is 2:8, so ratio in carbon dioxide produced per mole will be 1:4 [✔]
ratio amount of fuel in 1 g = = 2.5:1 [✔]
4 > 2.5 so octane produces more carbon dioxide
OR
ratio of amount of carbon dioxide = 2.5:4 = 1:1.61 so octane produces more «for combustion of same mass» [✔]
use of «farm» land «for production»
OR
deforestation «for crop production for fuel»
OR
can release more NOx «than normal fuel on combustion» [✔]
Note: Ignore any reference to cost.
Examiners report
Over half the students could relate a high octane number to a reduced tendency for auto-ignition, though this was usually referred to as “knocking”.
A question that gave the opportunity for a variety of different approaches. This challenge was beyond all but the best students, though there were a number of well argued responses.
Many students did not take into account “production from renewable resources” and answered in terms of the combustion of biodiesel, though about a third correctly identified the area of land biofuel crops require.
Consider the following data for butane and pentane at STP.
Discuss the data.
In a natural gas power station, 1.00 tonne of natural gas produces 2.41 × 104 MJ of electricity.
Calculate the percentage efficiency of the power station.
1 tonne = 1000 kg
Specific energy of natural gas used = 55.4 MJ kg−1
Markscheme
«similar specific energy and» pentane has «much» larger energy density ✔
Any two for [2 max]:
similar number of bonds/«C and H» atoms in 1 kg «leading to similar specific energy»
OR
only one carbon difference in structure «leading to similar specific energy» ✔
NOTE: Accept “both are alkanes” for M2.
pentane is a liquid AND butane is a gas «at STP» ✔
NOTE: Accept “pentane would be easier to transport”.
1 m3 of pentane contains greater amount/mass than 1 m3 of butane ✔
NOTE: Accept “same volume” for “1 m3” and “more moles” for “greater amount” for M4.
«energy input =» 5.54 ×104 «MJ» ✔
«efficiency = » 43.5 «%» ✔
NOTE: Award [2] for correct final answer.
Examiners report
This question is about biofuel.
The structure of chlorophyll is given in section 35 of the data booklet.
State the feature of the chlorophyll molecule that enables it to absorb light in the visible spectrum.
Evaluate the use of biodiesel in place of diesel from crude oil.
Strength:
Limitation:
Markscheme
large/extensive «electronic» conjugation
OR
«contains» many alternate single and double bonds
OR
extended system of alternating double and single bonds [✔]
Note: Student response must indicate a large or extended system to award mark.
Strength
Any one of:
less flammable «than diesel» [✔]
recycles carbon «lower carbon footprint»
OR
lower greenhouse gas emissions [✔]
easily biodegradable «in case of spill» [✔]
renewable
OR
does not deplete fossil fuel reserves [✔]
economic security/availability in countries without crude oil [✔]
Limitation
Any one of:
more difficult to ignite inside the engine «than diesel» [✔]
more viscous «than diesel» [✔]
lower energy content/specific energy/energy density [✔]
uses food sources
OR
uses land that could be used for food [✔]
«production is» more expensive [✔]
less suitable in low temperatures [✔]
increased NOx emissions for biodiesel [✔]
greenhouse gases still produced [✔]
Note: Accept “«close to» carbon neutral”, “produce less greenhouse gases/CO2”.
Accept “engines have to be modified if biodiesel used” as limitation.
Do not award marks for strength and limitation that are the same topic/concept.
Examiners report
This question was not well answered as many students missed the idea of the system being a large/extensive/extended or containing many alternating single and double bonds. Although fewer students than expected received a mark, examiners did note there were more student who wrote about conjugation or alternating single and double bonds (but were missing the idea of the system being large) which is an improvement from previous sessions.
This question was well answered, and many candidates received one or both marks. Some candidate who did not receive marks were too vague, especially with the limitation.