SL Paper 3
Amino acids are usually identified by their common names. Use section 33 of the data booklet.
State the IUPAC name for leucine.
A mixture of amino acids is separated by gel electrophoresis at pH 6.0. The amino acids are then stained with ninhydrin.
(i) On the diagram below draw the relative positions of the following amino acids at the end of the process: Val, Asp, Lys and Thr.
(ii) Suggest why glycine and isoleucine separate slightly at pH 6.5.
Determine the number of different tripeptides that can be made from twenty different amino acids.
The fibrous protein keratin has a secondary structure with a helical arrangement.
(i) State the type of interaction responsible for holding the protein in this arrangement.
(ii) Identify the functional groups responsible for these interactions.
Markscheme
2-amino-4-methylpentanoic acid
Accept 4-methyl-2-aminopentanoic acid.
i
Lys on cathode side AND Asp on anode side
Val at origin AND Thr on anode side but closer to origin than Asp
Val and Thr need not overlap.
Accept any (reasonable) size and demarcation of position so long as position relative to origin is correct.
Accept crosses for spots.
Award [1 max] for any two correct.
Award [1 max] if net direction of spots is reversed.
Award [1 max] if the four points are in the correct order but not in a straight line.
ii
different sizes/molar masses/chain lengths «so move with different speeds»
«203 =» 8000
i
hydrogen bonds
ii
carboxamide/amide/amido
OR
C=O AND N–H
Accept peptide.
Examiners report
Carbohydrates are energy-rich molecules which can be synthesized in some plant cells from inorganic compounds.
State the raw materials and source of energy used in the process described above.
The structures of two molecules, X and Y, are shown below.
(i) Justify why both these molecules are carbohydrates.
(ii) Distinguish between these molecules in terms of their functional groups.
Amylose is an unbranched polysaccharide composed of repeating units of glucose.
(i) Draw the structure of the repeating unit of amylose. Use section 34 of the data booklet.
(ii) Amylose is a major component of starch. Corn starch can be used to make replacements for plastics derived from oil, especially for packaging. Discuss one potential advantage and one disadvantage of this use of starch.
Markscheme
CO2 AND H2O AND sun
Accept names.
Accept “sunlight/light/photons” instead of “sun”.
i
both have formula Cx(H2O)y
OR
both contain several OH/hydroxyl «groups» AND a C=O/carbonyl «group»
Accept “both have the formula CnH2nOn /empirical formula CH2O” but do not accept “both have same molecular formula/have formula C3H6O3”.
Accept “aldehyde or ketone” for “carbonyl”.
ii
Accept “alkyl” for “R”.
Accept “X: aldose/aldehyde AND Y: ketose/ketone”.
Accept “CO” for “C=O”.
i
continuation bonds AND open O on either but not both ends
Brackets are not necessary for the mark.
Do not accept β-isomer.
Mark may be awarded if a polymer is shown but with the repeating unit clearly identified.
3-D representation is not required.
ii
Advantage:
Any one of:
biodegradable / break down naturally/by bacteria
Do not accept just “decompose easily”.
compostable
does not contribute to land-fill
renewable/sustainable resource
starch grains swell AND help break up plastic
lower greenhouse gas emissions
uses less fossil fuels than traditional plastics
less energy needed for production
Disadvantage:
Any one of:
land use «affects biodiversity/loss of habitat»
growing corn for plastics instead of food
«starch» breakdown can increase acidity of soil/compost
«starch» breakdown can produce methane «especially when buried»
sensitive to moisture/bacteria/acidic foods
«bioplastics sometimes» degrade quickly/before end of use
cannot be reused
poor mechanical strength
eutrophication
increased use of fertilizers/pesticides/phosphorus/nitrogen «has negative environmental effects»
Ignore any reference to cost.
Accept “prone to site explosions/fires” or “low heat resistance” for disadvantage.
Only award [1 max] if the same example is used for the advantage and disadvantage.
Examiners report
Lipids are an important part of the human diet.
Fatty acids react with glycerol to form fats and oils. State the name of the chemical link formed in this reaction and the name of the other product.
The table below shows average figures for the percentage fatty acid composition of some common fats and oils.
(i) Deduce, with a reason, which fat or oil from the table above has the lowest iodine number.
(ii) Deduce, with a reason, which fat or oil from the table above is most likely to become rancid when exposed to the air.
(iii) The P/S index of a fat or oil is the ratio of polyunsaturated fat to saturated fat present. It is sometimes used to compare the relative health benefits of different lipids in the diet. Calculate the P/S index of beef fat and soybean oil.
(iv) Suggest why a P/S index of greater than 1 is considered beneficial to health.
(v) Cotton seed oil and corn oil have similar iodine numbers but the melting point of cotton seed oil is higher than that of corn oil. Suggest an explanation in terms of the structure and bonding in these two oils.
Markscheme
Name of the chemical link: ester/ethoxycarbonyl
AND
Name of the other product: water
Do not accept formulas.
Do not accept “esterification”
i
coconut oil AND lowest «percentage of» unsaturated fatty acids
OR
coconut oil AND smallest number of C=C bonds
OR
coconut oil AND highest «percentage of» saturated fatty acids
Accept “fats” for “fatty acids”.
ii
soybean oil AND highest «percentage of» polyunsaturated fatty acids
OR
soybean oil AND greatest number of C=C bonds
OR
soybean oil AND lowest «percentage of» saturated fatty acids
Accept “fats” for “fatty acids”.
iii
Beef fat: «P/S = = » 0.05
AND
Soybean oil: «P/S = =» 4.1
iv
«higher proportion of» polyunsaturated fatty acids decrease risk of atherosclerosis/heart disease/cardiovascular disease/CVD
OR
«higher proportion of» polyunsaturated fatty acids which are less likely to be deposited on the walls of arteries «than saturated fatty acids»
Accept converse arguments.
Accept correct arguments in terms of HDL and LDL but not in terms of “good” and “bad” cholesterol.
Accept “fats” for “fatty acids”.
v
Any two of:
cotton seed oil has «a higher proportion of» longer chain/greater molar mass fatty acids
molecules of cotton seed oil have greater surface area/have higher electron density
Accept “molecules of cotton seed oil are packed more closely/have more regular structure” for M2.
stronger London/dispersion/instantaneous induced dipole-induced dipole forces between chains in cotton seed oil
Accept converse arguments.
Accept “fats” for “fatty acids”.
Examiners report
Biomagnification factor, BMF, can be defined as the concentration of a chemical, , in a predator, relative to the concentration found in its prey.
BMF, where ( per body weight)
| [Franklin, J., 2015. How reliable are field-derived biomagnification factors and trophic magnification factors as indicators of bioaccumulation potential? Conclusions from a case study on per- and polyfluoroalkyl substances. Available at: https://setac.onlinelibrary.wiley.com/doi/full/10.1002/ieam.1642.] |
Calculate the BMF if a shark consumes mackerel in one year. Each mackerel weighs on average. The per body weight. Assume chemical remains in the shark’s body for two years.
Suggest, with a reason, if fat-soluble or water-soluble xenobiotics would have a larger BMF.
Markscheme
✔
✔
Award [2] for correct final answer.
M2 may also be correctly expressed to SF.
fat-soluble AND pass through lipid membranes/accumulate in cells/fatty tissues
OR
fat-soluble AND less easily excreted/metabolized ✔
Accept “water-soluble” only if an organometallic–protein interaction is mentioned.
Examiners report
Many candidates produced the correct answer for M1 but not as many fully scored. Students did not appear to understand the concept, and many missed the idea of 2 years in the calculation. Students should always clearly show their calculations so examiners can award marks throughout the question and potentially award ECF if possible. It is very difficult to do this when students do not show work clearly.
A well answered question although some did not give a reason.
Proteins are polymers of amino acids. A paper chromatogram of two amino acids, A1 and A2, is obtained using a non-polar solvent.
© International Baccalaureate Organization 2020.
Determine the value of A1.
Proteins are polymers of amino acids.
The mixture is composed of glycine, , and isoleucine, . Their structures can be found in section 33 of the data booklet.
Deduce, referring to relative affinities and , the identity of A1.
Proteins are polymers of amino acids.
Glycine is one of the amino acids in the primary structure of hemoglobin.
State the type of bonding responsible for the α-helix in the secondary structure.
Proteins are polymers of amino acids.
Describe how the tertiary structure differs from the quaternary structure in hemoglobin.
Markscheme
✔
Accept any value within the range “”.
Ile AND larger Rf ✔
more soluble in non-polar solvent «mobile phase»
OR
not as attracted to polar «stationary» phase ✔
Only award M2 if Ile is identified in M1.
hydrogen/ bonding «between amido hydrogen and carboxyl oxygen atoms» ✔
tertiary: folding/shape of a single «polypeptide/protein» chain ✔
quaternary: arrangement/folding of four/several chains/proteins/polypeptides «held together by » ✔
Accept “two or more polypeptides” for M2.
Examiners report
Many students scored this mark. The students who missed this mark that were close either measured from the top or bottom of the spot rather than the middle. A few students had answers that were greater than 1 which indicated a clear lack of understanding of this concept.
Not well answered. Many candidates referred to glycine even when they had obtained the correct Rf value in 5a. Answers referring to Molar mass and isoelectric point were quite common. Some candidates that identified Ile correctly lost the first mark as didn't make any reference to the Rf. There was a clear lack of understanding that the Rf value was related to polarity not molar mass.
A well answered question.
Many candidates didn't understand the question and provided long answers referring to the interactions but failing to identify those took place within the same/one chain. More candidates were able to score the second mark referring to multiple chains.
The diverse functions of biological molecules depend on their structure and shape.
Classify vitamins A, C and D as either mainly fat- or water-soluble, using section 35 of the data booklet.
The diverse functions of biological molecules depend on their structure and shape.
Deduce the straight chain structure of deoxyribose from its ring structure drawn in section 34 of the data booklet.
The diverse functions of biological molecules depend on their structure and shape.
Sucrose is a disaccharide formed in the reaction of glucose with fructose.
Identify the reaction type and the newly formed functional group that joins the monosaccharide units in the product.
Markscheme
all three correct ✔
must be placed next to AND s on central carbons must be on same side (LHS or RHS) ✔
Accept crosses in place of on three middle carbons.
Reaction type:
condensation ✔
Accept “nucleophilic substitution/” for M1.
Functional group:
acetal/ether/glycosidic «linkage» ✔
Accept “glycoside” for M2.
Examiners report
Only a few very weak candidates answered this one wrongly.
Very disappointing. I had only a few correct answers and the wrong ones very often showed no understanding at all. Some candidates drew ring structures even though a straight chain was requested.
Many candidates scored both marks here. Ether was the most common answer for M2 with some responding glycosidic.
| Phospholipids are a main component of cell membranes. |
Deduce the products of the hydrolysis of a non-substituted phospholipid, where and represent long alkyl chains.
A representation of a phospholipid bilayer cell membrane is shown:
© International Baccalaureate Organization 2020.
Identify the components of the phospholipid labelled A and B.
State the most significant intermolecular forces in the phospholipid in b(i).
Phospholipids help maintain cellular environments while fatty acid lipids have important roles in energy storage and electrical insulation. Discuss the structural properties of saturated fats needed for these roles.
Markscheme
glycerol ✔
both fatty acids AND phosphoric acid ✔
Accept either names OR structures.
Accept “long chain carboxylic acid” for “fatty acid”.
Penalize once only if an incorrect name is given for a correct structure or vice-versa.
A: phosphate/ionic group
AND
B: alkyl/hydrocarbon «chain» ✔
Accept "glycerol «fragment»" OR "glycerophosphate" OR “ester” for A.
Accept “fatty acid «tail»” for B.
Do not accept terms such as “polar head”, “non-polar tail”, “hydrophilic” OR “hydrophobic” for components alone.
Forces occurring between components labelled A:
hydrogen/ bonding
OR
ion–dipole
OR
ionic/electrostatic «repulsion and/or attraction» ✔
Accept “dipole-dipole” for M1.
Do not accept “van der Waals/vdW” for M1.
Forces occurring between components labelled B:
dispersion/London/instantaneous dipoles/temporary dipoles ✔
Accept “van der Waals/vdW” for M2.
Energy storage:
not water-soluble/no hydrogen/ bonding
OR
less oxidized/more reduced
OR
high energy stored in bonds
OR
high «negative» enthalpy of combustion/oxidation ✔
Accept “potential energy” for “stored energy”.
Electrical insulator:
no delocalized electrons/conjugation ✔
Examiners report
Not as well answered as expected. However, many candidates managed to score at least one point. Quite a few lost the only mark due to wrong linkage. Some students drew fatty acid structures with aldehydes or phosphoric acid with incorrect bond linkages in the structure (OH-).
Mostly well answered. Weaker candidates used the terms hydrophobic (non-polar) tail and/or hydrophilic (polar) head and therefore lost the mark. Students are expected to know the names of these structures.
Many good answers. Those that failed to score often provided the inverted answer. Dipole-dipole was fairly common for M1 but VdW forces less so for M2.
Not well answered. In particular the first mark seemed particularly challenging for students. Even when at times wording wasn't enough to allow BOD for M2 it was evident the candidate had some idea but none for the first one. Non-polar allowed many students to score the second mark.
Sugars exist in both straight chain and ring forms.
Biodegradable plastics produced from starch present one solution to the environmental problem created by the use of large quantities of plastics.
Deduce the straight chain structure of ribose from its ring structure drawn in section 34 of the data booklet.
Using the partial structure given, complete the structural formula of the molecule formed from the condensation of two cyclic -glucose molecules.

Constructing models that allow visualizations of the stereochemistry of carbohydrates is essential to understand their structural roles in cells.
Describe how Haworth projections help focus on the position of attached groups.
State one advantage of starch based polymers besides being biodegradable.
Biodegradable boxes made from polylactic acid, PLA, disintegrate when exposed to water.
State the formula of the product formed when water reacts with PLA.
Markscheme
All OH groups must be on the same side.
Accept structures with chiral carbon atoms shown as C or C* instead of crosses.
[1 mark]

Accept –O– in a straight line provided both H’s are above the plane.
[1 mark]
«allow» 3-D perspective of structures «of cyclic monosaccharide molecules»
OR
«show» cis/same side arrangement of «attached» groups
OR
«show» trans/opposite side arrangement of «attached» groups
OR
«make» carbon and hydrogen implicit
[1 mark]
abundant/renewable/allows use of «local» vegetation
OR
less use of fossil fuel/oil based plastics
OR
air permeable/better breathing of products
OR
«can be» mixed/blended with synthetic polymers
Do not accept answers related to biodegradable examples.
Ignore any reference to cost.
Accept “carbon neutral/do not contribute to global warming”.
Accept “require less energy to produce”.
Accept “do not produce toxic products”.
[1 mark]
HO–CH(CH3)–COOH/CH3CH(OH)COOH
Do not accept C3H6O3.
Do not accept OH–CH(CH3)–COOH.
[1 mark]
Examiners report
Lipids and carbohydrates contain the same elements but have different properties.
List the building blocks of triglycerides and carbohydrates.
The drain pipe of a kitchen sink can become clogged by fatty acids, such as linoleic acid, C18H32O2, but not by the trisaccharide, raffinose, C18H32O16, containing the same number of carbon atoms.
Explain why raffinose is far more water soluble than linoleic acid.
Solid fat triglycerides can also clog kitchen sink drains.
Explain how sodium hydroxide unblocks the drain.
The amount of proteins, fats and carbohydrates determine the energy content of foods.
Explain why linoleic acid, C18H32O2, is a more efficient energy storage molecule than raffinose, C18H32O16.
Markscheme
Triglycerides:
organic acid/fatty acid and glycerol/propane-1,2,3-triol
AND
Carbohydrates:
monosaccharides
Accept simple sugars.
[1 mark]
«water/aqueous solubility depends on forming many» H-bonds with water
raffinose has many hydroxyl/O–H/oxygen atoms/O «and forms many H-bonds» AND linoleic acid has few/one hydroxyl/O–H/oxygen atom/O/carboxyl group/ COOH/is largely non-polar «and cannot form many H-bonds»
Accept statement which implies comparison.
[2 marks]
«base» hydrolysis/saponification
OR
«produces glycerol and» soap/salt of the «fatty» acid
«products are» water soluble «and drain away»
Accept condensed formulas.
Accept non-balanced equation.
Accept “RCOONa”.
[2 marks]
linoleic acid/C18H32O2 combustion/oxidation more exothermic «per mol»
linoleic acid/C18H32O2 has lower proportion/number of O atoms
OR
linoleic acid/C18H32O2 is less oxidized
Accept converse arguments.
[2 marks]
Examiners report
Peptidase enzyme in the digestive system hydrolyses peptide bonds.
A tripeptide Ala-Asp-Lys was hydrolysed and electrophoresis of the mixture of the amino acids was carried out at a pH of 6.0. Refer to section 33 of the data booklet.
Identify the type of metabolic process that occurs in the hydrolysis of the peptide during digestion.
Identify the name of the amino acid that does not move under the influence of the applied voltage.
Deduce, giving a reason, which amino acid will develop closest to the negative electrode.
The breakdown of a dipeptide in the presence of peptidase was investigated between 18 °C and 43 °C. The results are shown below.
Comment on the rate of reaction at temperature X in terms of the enzyme’s active site.
The solubility of a vitamin depends on its structure.
Identify the vitamin given in section 35 of the data booklet that is the most soluble in water.
Pollution from heavy metal ions has become a health concern.
Outline how the presence of heavy metal ions decreases the action of enzymes.
Outline how lead ions could be removed from an individual suffering from lead poisoning.
Markscheme
catabolism/catabolic
[1 mark]
alanine
Do not accept ala.
[1 mark]
Lys/lysine
pH «buffer» < pI «Lys»
OR
buffer more acidic than Lys «at isoelectric point»
OR
«Lys» exists as
OR
«Lys» charged positively/has +1/1+ «overall» charge «and moves to negative electrode»
Do not apply ECF from M1.
Accept converse argument.
Do not accept just “has H3N+ group” for M2 (as H3N+ is also present in zwitterion).
Do not penalize if COOH is given in the structure of lysine at pH 6 instead of COO–.
[2 marks]
highest frequency of successful collisions between active site and substrate
OR
highest frequency of collisions between active site and substrate with sufficient energy/ AND correct orientation/conformation
OR
optimal shape/conformation of the active site «that matches the substrate»
OR
best ability of the active site to bind «to the substrate»
Accept “number of collisions per unit time” for “frequency”.
Do not accept “all active sites are occupied”.
[1 mark]
ascorbic acid/vitamin C
[1 mark]
react/bind/chelate with enzyme
OR
disrupt ionic salt bridges
OR
affect shape of tertiary/quaternary structures
OR
precipitate enzymes
OR
break/disrupt disulfide bridges/bonds
Do not accept “changes shape of active site” by itself.
[1 mark]
«use of» host-guest chemistry
OR
chelation «therapy»
Accept specific medication/chelating agent such as EDTA, CaNa2 EDTA, succimer, D-penicillamine, dimercaprol.
[1 mark]
Examiners report
The structures of the amino acids cysteine, glutamine and lysine are given in section 33 of the data booklet.
Deduce the structural formula of the dipeptide Cys-Lys.
Identify the type of bond between two cysteine residues in the tertiary structure of a protein.
Deduce the structural formula of the predominant form of cysteine at pH 1.0.
A mixture of the three amino acids, cysteine, glutamine and lysine, was placed in the centre of a square plate covered in polyacrylamide gel. The gel was saturated with a buffer solution of pH 6.0. Electrodes were connected to opposite sides of the gel and a potential difference was applied.
Sketch lines on the diagram to show the relative positions of the three amino acids after electrophoresis.

Markscheme
correct order
amide link
Accept CO–NH but not CO–HN for amide link.
Penalize incorrect bond linkages or missing hydrogens once only in 7 (a) and 7 (c).
[2 marks]
covalent
Accept “S-S/disulfide”.
[1 mark]
Penalize incorrect bond linkages or missing hydrogens once only in 7 (a) and 7 (c).
[1 mark]
Cys and Gln move to positive electrode AND Lys to negative electrode
Cys further to positive electrode than Gln
Do not penalize if lines are omitted or if different markings are given (eg, spots etc.), as long as relative positions are correctly indicated.
Accept Gln on original position indicated.
Award [1 max] for reverse order of amino acids.
[2 marks]
Examiners report
A chemical reaction occurs when a phospholipid is heated with excess sodium hydroxide.
Glycerol is one product of the reaction. Identify the two other organic products.
Identify the type of reaction which occurs.
Markscheme
C17H31COONa
[(CH3)3NCH2CH2OH]OH
Accept “NaC17H31COO”.
Accept “(CH3)3N+CH2CH2OH OR [(CH3)3NCH2CH2OH]+” if positive charge is shown.
Accept suitable names (eg, sodium linoleate, choline hydroxide etc.) OR correct molecular formulas.
[2 marks]
hydrolysis
Accept “nucleophilic substitution/displacement / SN/SN2 /saponification”.
Do not accept “acid hydrolysis”.
[1 mark]
Examiners report
Sunflower oil contains stearic, oleic and linoleic fatty acids. The structural formulas of these acids are given in section 34 of the data booklet.
Explain which one of these fatty acids has the highest boiling point.
10.0 g of sunflower oil reacts completely with 123 cm3 of 0.500 moldm–3 iodine solution. Calculate the iodine number of sunflower oil to the nearest whole number.
Markscheme
stearic acid AND chain has no kinks/more regular structure
OR
stearic acid AND it has straight chain
OR
stearic acid AND no C=C/carbon to carbon double bonds
OR
stearic acid AND saturated
OR
stearic acid AND chains pack more closely together
stronger London/dispersion/instantaneous induced dipole-induced dipole forces «between molecules»
Accept “stearic acid AND greater surface area/electron density”.
M2 can only be scored if stearic acid is correctly identified.
Accept “stronger intermolecular/van der Waals’/vdW forces”.
[2 marks]
«n(I2) = 0.123 dm3 x 0.500 moldm–3 =» 0.0615 «mol»
«m(I2) = 0.0615 mol x 253.8 gmol–1 =» 15.6 «g»
«iodine number » = 156
Award [3] for correct final answer.
Iodine number must be a whole number.
Award [2 max] for 78.
[3 marks]
Examiners report
Monosaccharides can combine to form disaccharides and polysaccharides.
Identify the functional groups which are present in only one structure of glucose.
Sucrose is a disaccharide formed from -glucose and β-fructose.
Deduce the structural formula of sucrose.
Starch is a constituent of many plastics. Suggest one reason for including starch in plastics.
Suggest one of the challenges scientists face when scaling up the synthesis of a new compound.
Markscheme
Only in straight chain form:
carbonyl
OR
aldehyde
Only in ring structure:
hemiacetal
Accept functional group abbreviations (eg, CHO etc.).
Accept “ether”.
[2 marks]
correct link between the two monosaccharides
Correct 1,4 beta link AND all bonds on the 2 carbons in the link required for mark.
Ignore any errors in the rest of the structure.
Penalize extra atoms on carbons in link.
[1 mark]
plastic «more» biodegradable/degrades into nontoxic products
OR
plastic can be produced using green technology/renewable resource
OR
reduces fossil fuel use/petrochemicals
OR
easily plasticized
OR
used to form thermoplasts
[1 mark]
minimize «negative» impact on environment
OR
minimize waste produced
OR
consider atom economy
OR
efficiency of synthetic process
OR
problems of side reactions/lower yields
OR
control temperature «inside large reactors»
OR
availability of starting/raw materials
OR
minimize energy costs
OR
value for money/cost effectiveness/cost of production
[1 mark]
Examiners report
Consider the following lipid and carbohydrate.
In order to determine the number of carbon-carbon double bonds in a molecule of linoleic acid, 1.24 g of the lipid were dissolved in 10.0 cm3 of non-polar solvent.
The solution was titrated with a 0.300 mol dm–3 solution of iodine, I2.
Determine the empirical formula of linoleic acid.
The empirical formula of fructose is CH2O. Suggest why linoleic acid releases more energy per gram than fructose.
State the type of reaction occurring during the titration.
Calculate the volume of iodine solution used to reach the end-point.
Outline the importance of linoleic acid for human health.
Markscheme
C9H16O
ratio of oxygen to carbon in linoleic acid lower
OR
linoleic acid less oxidized
OR
linoleic acid more reduced
Accept “«average» oxidation state of carbon in linoleic acid is lower”.
«electrophilic» addition/AE
OR
oxidation–reduction/redox
« =» 0.00442 «mol»
0.00884 mol of C=C
OR
ratio of linoleic acid : iodine = 1:2
«volume of I2 solution = =» 0.0295 «dm3» / 29.5 «cm3»
Award [3] for correct final answer.
Any two of:
increases «ratio of» HDL «to LDL» cholesterol
OR
decreases LDL cholesterol «level»
removes plaque from/unblocks arteries
OR
decreases risk of heart disease
decreases risk of stroke «in the brain»
Accept "essential fatty acid".
Do not accept “bad cholesterol” for “LDL cholesterol” OR “good cholesterol” for “HDL cholesterol”.
Do not accept general answers such as “source of energy” OR “forms triglycerides” OR “regulates permeability of cell membranes” etc.
[Max 2 Marks]
Examiners report
Lactose is a disaccharide formed by the condensation reaction of the monosaccharides galactose and glucose.
Describe what is meant by a condensation reaction.
Draw the structure of galactose on the skeleton provided.
Explain how the inclusion of carbohydrates in plastics makes them biodegradable.
Markscheme
«reaction in which» two reactants/molecules/functional groups bond/react «to form a larger molecule/single main product»
small/tiny molecule
OR
H2O formed
Accept formula or name of a specified small molecule other than water such as ammonia, ethanoic/acetic acid,
ethanol, hydrogen sulfide etc. for M2.
Do not accept just “molecule formed”.
Award [1 max] for an example giving an equation of a condensation reaction such as the formation of a disaccharide.
Accept “alpha” or “beta” form of galactose.
Any two of:
makes the plastic more hydrophilic/water soluble
carbohydrates are broken down/hydrolysed by bacteria/microorganisms
makes plastic more accessible to bacteria as holes/channels are created
OR
plastic of lower density is more permeable/susceptible to water/oxygen/heat/pressure
weakens intermolecular/London/dispersion/instantaneous induced dipole-induced dipole forces «between polymer chains in the plastic»
Accept “van der Waals/vdW” for “London” forces.
[Max 2 Marks]
Examiners report
Vitamins can be water-soluble or fat-soluble.
Explain, at the molecular level, why vitamin D is soluble in fats. Use section 35 of the data booklet.
State one function of vitamin D in the body.
Markscheme
«mainly» hydrocarbon/non-polar «structure»
forms London/dispersion/instantaneous induced dipole-induced dipole forces «with fats»
Accept “forms van der Waals’/vdW forces”.
Award [1 max] for “contains only one OH/hydroxyl AND cannot form «enough» H-bonds”.
helps absorb calcium
OR
helps build bones
OR
helps keep bones healthy
OR
helps block the release of parathyroid hormone
OR
helps in muscle function
OR
helps immune system function
OR
cell growth
OR
reduction of inflammation
OR
protection from osteoporosis
OR
prevents rickets
Accept helps prevent colon/breast/prostate cancer.
Accept treat/prevent diabetes/heart disease/high blood pressure/multiple sclerosis.
Accept other correct answers.
Examiners report
Polymers of α-glucose include the disaccharide maltose and the polysaccharide amylose, a type of starch. The cyclic structure of α-glucose is shown in section 34 of the data booklet.
State the specific type of linkage formed between α-glucose fragments in both maltose and amylose.
A person with diabetes suffering very low blood sugar (hypoglycaemia) may be advised to consume glucose immediately and then eat a small amount of starchy food such as a sandwich. Explain this advice in terms of the properties of glucose and starch.
Markscheme
«α-1,4-»glycosidic
Accept «α-1,4-»glycoside.
Accept “ether”.
[1 mark]
Glucose:
readily passes through intestine wall/dissolves in blood
OR
is immediately available for energy/respiration
OR
transported rapidly around body
Starch:
must be hydrolysed/broken down «into smaller molecules» first
[2 marks]
Examiners report
Explain the solubility of vitamins A and C using section 35 of the data booklet.
Markscheme
Vitamin A:
fat soluble/soluble in non-polar solvents AND non-polar/long hydrocarbon backbone/chain
Vitamin C:
water soluble AND contains 4 hydroxyl groups/contains many hydroxyl groups/forms «many» H-bonds with water
Accept “Vitamin A: fat soluble/soluble in non-polar solvents as it contains only one hydroxyl group whose H-bonds with water are not strong enough to overcome London/dispersion/vdW forces between Vitamin A molecules”.
Accept “lipid” for “fats”.
Accept “alcohol” OR “hydroxy” OR “OH groups” for “hydroxyl” but not “hydroxide”.
Award [1 max] for “Vitamin A: fat soluble AND Vitamin C: water soluble” with no or incomplete explanation.
[2 marks]
Examiners report
Lipids provide energy and are an important part of a balanced diet.
Identify the type of chemical reaction that occurs between fatty acids and glycerol to form lipids and the by-product of the reaction.
Arachidonic acid is a polyunsaturated omega-6 fatty acid found in peanut oil.
Determine the number of carbon–carbon double bonds present if the iodine number for the compound is 334. (Arachidonic acid Mr = 304.5)
Deduce the structure of the lipid formed by the reaction between lauric acid and glycerol (propane-1,2,3-triol) using section 34 of the data booklet.
Outline one impact food labelling has had on the consumption of foods containing different types of lipids.
Determine, to the correct number of significant figures, the energy produced by the respiration of 29.9 g of C5H10O5.
ΔHc (C5H10O5) = 205.9 kJ mol−1
Explain why lipids provide more energy than carbohydrates and proteins.
Markscheme
Type of reaction:
condensation
OR
esterification/triesterification
OR
nucleophilic substitution/nucleophilic displacement/SN2
By-product:
water/H2O
Do not accept just “substitution/displacement”.
[2 marks]
ALTERNATIVE 1
« =» 1.32 AND « =» 0.328
« ≈» 4
ALTERNATIVE 2
«334 × ≈» 1017
« ≈» 4
Award [2] for correct final answer.
[2 marks]

glycerol backbone
ester formula AND linkage
Accept a skeletal structure.
Penalize missing hydrogens or incorrect bond connectivities once only in Option B.
Accept condensed formula for ester.
[2 marks]
has affected consumption of trans-fats/cis-fats/saturated fats/unsaturated fats/hydrogenated/artificially altered fats
OR
reduce/eliminate trans-fats/increase in cis-fats
OR
reduce/eliminate saturated fats
OR
increase unsaturated fats
Do not accept “decrease in fat” alone.
Accept “lipid” for “fats”.
[1 mark]
« =» 0.199 «mol»
«0.199 mol × 205.9 kJ mol–1 =» 41.0 «kJ»
Ignore significant figures in M1.
Award [2] for correct final answer.
Award [1 max] for incorrect significant figures in final answer.
[2 marks]
ratio of oxygen to carbon in lipids lower
OR
lipids less oxidized
OR
lipids more reduced
more energy per mass/g released when lipids are oxidized
Accept “«average» oxidation number of carbon in linoleic acid is lower” for M1.
[2 marks]
Examiners report
Saturated lipids found in butter and unsaturated lipids found in fish oil readily become rancid.
Identify the type of rancidity occurring in saturated lipids and the structural feature that causes it.
State one factor that increases the rate at which saturated lipids become rancid.
Butter contains varying proportions of oleic, myristic, palmitic and stearic acids. Explain in terms of their structures why stearic acid has a higher melting point than oleic acid, using section 34 of the data booklet.
Fish oil is an excellent dietary source of omega-3 fatty acids. Outline one impact on health of consuming omega-3 fatty acids.
Predict the solubility of retinol (vitamin A) in body fat, giving a reason. Use section 35 of the data booklet.
Explain why sharks and swordfish sometimes contain high concentrations of mercury and polychlorinated biphenyls (PCBs).
Plastics are another source of marine pollution. Outline one way in which plastics can be made more biodegradable.
Markscheme
hydrolytic «rancidity»
ester group
Accept a formula for ester group.
[2 marks]
«presence of» moisture/water
OR
«increase in» temperature
OR
«presence of» enzymes/bacteria/fungi/mould
OR
low pH/«presence of» acid
Accept “heat”.
[1 mark]
«stearic acid» straight chain/chain has no kinks/more regular structure
OR
«stearic acid» saturated/no «carbon–carbon» double bonds
«stearic acid» chains pack more closely together
stronger London/dispersion/instantaneous induced dipole-induced dipole forces «between molecules»
Accept “«stearic acid» greater surface area/electron density”.
[3 marks]
lowers risk of heart disease/atherosclerosis
OR
lowers LDL cholesterol
OR
increases HDL cholesterol
OR
aids brain/neurological development «in children»
OR
relieves rheumatoid arthritis
[1 mark]
soluble AND non-polar hydrocarbon chain
Accept as reasons “«predominantly» non-polar” OR “long hydrocarbon chain”.
[1 mark]
not biodegradable
OR
stored/accumulate in fat
biomagnification occurs
OR
concentration increases along food chain
Accept “stored/accumulate in bodies of prey/animals eaten”.
Accept “not excreted”.
[2 marks]
add starch/cellulose/carbohydrates/additives/catalysts «to plastic during manufacture to allow digestion by micro-organisms»
OR
replace traditional plastics with polylactic acid/PLA-based ones
OR
blend traditional and polylactic acid/PLA-based plastics
Accept reference to biodegradable plastics other than PLA; for example polyhydroxyalkanoates (PHA), poly(butylene succinate) (PBS), polybutylene adipate terephthalate (PBAT) and polycaprolactone (PCL).
[1 mark]
Examiners report
Insulin was the first protein to be sequenced. It was determined that the end of one chain had the primary structure Phe–Val–Asn–Gln.
Paper chromatography can be used to identify the amino acids in insulin.
Draw the structural formula of a dipeptide containing the residues of valine, Val, and asparagine, Asn, using section 33 of the data booklet.
Deduce the strongest intermolecular forces that would occur between the following amino acid residues in a protein chain.
State the name of the process used to break down the insulin protein into its constituent amino acids.
Outline how the amino acids may be identified from a paper chromatogram.
Markscheme

correct structures of Val AND Asn
correct amide link
[2 marks]
Phenylalanine and valine:
London/dispersion/instantaneous induced dipole-induced dipole forces
OR
permanent dipole-induced dipole «interactions»
Glutamine and asparagine:
hydrogen bonds
Do not accept dipole-dipole interactions.
[2 marks]
hydrolysis
[1 mark]
compare Rf with known amino acids
OR
compare distance moved with known amino acids
Accept “from Rf”.
[1 mark]
Examiners report
Lipids play several roles in our bodies.
A phospholipid generally consists of two hydrophobic fatty acids and a hydrophilic group.
Fatty acids are products of the acidic hydrolysis of phospholipids. Deduce the names of the other two products.
The iodine number is the maximum mass of iodine that reacts with 100 g of an unsaturated compound.
Determine the iodine number of stearidonic acid, C17H27COOH.
State two functions of lipids in the body.
Outline one effect of increased levels of low-density lipoproteins in the blood.
Markscheme
phosphoric acid ✔
glycerol/propane-1,2,3-triol ✔
Do not accept formulas.
ALTERNATIVE 1:
4 C=C bonds/4 carbon to carbon double bonds ✔
mass of iodine per mole of acid = «4 × 253.80 g mol–1 =» 1015.2 «g mol–1» ✔
iodine number «= » = 367 ✔
ALTERNATIVE 2:
4 C=C bonds/4 carbon to carbon double bonds ✔
« =» 1.447 mol of I2 «reacts with 100 g» ✔
iodine number «= 1.447 mol × 253.80 g mol–1» = 367 ✔
Award [3] for correct final answer.
Any two of:
«structural» components of cell membranes ✔
energy storage/utilization ✔
«thermal/electrical» insulation ✔
transport «of lipid-soluble molecules» ✔
hormones/chemical messengers ✔
Accept other specific functions, such as “prostaglandin/cytokine/bile acid synthesis”, “cell differentiation/growth”, “myelination”, “storage of vitamins/biomolecules”, “signal transmission”, “protection/padding of organs”, “precursors/starting materials for the biosynthesis of other lipid”.
Any one of:
atherosclerosis/cholesterol deposition «in artery walls» ✔
heart/cardiovascular disease ✔
stroke ✔
Accept “arteries become blocked/walls become thicker”.
Examiners report
Dietary recommendations are made by scientists.
The formation of proteins from amino acids is an example of an anabolic reaction in the human body.
State the source of energy for such a synthetic reaction.
Suggest why it is advisable for those living in northerly or southerly latitudes (that is away from the equator) to take vitamin D supplements during the winter.
Explain how a xenobiotic is biomagnified.
Markscheme
catabolism «of food/nutrients»
OR
«cellular» respiration ✔
Accept “ATP” but not “burning of food/nutrients”.
not enough sunlight/UV light «for synthesis of vitamin D in the skin» ✔
cannot be metabolized/broken down
OR
not biodegradable
OR
accumulates in lipid/fat tissues ✔
increased concentration as one species feeds on another «in the food chain» ✔
Examiners report
Lactose, found in milk and dairy products, is a disaccharide formed from two different monosaccharides. The structure of lactose is shown with numbered carbon atoms.
Name the type of link between the two monosaccharide residues.
Outline how the two monomer structures, galactose and glucose, differ.
Markscheme
«1,4-»glycosidic ✔
Do not accept “glucosidic”.
H and OH are reversed/in different positions on C-4 ✔
C-4 must be specified.
Do not penalize if reference is made to H and OH above and below ring/in alpha and beta positions on C-4 incorrectly.
Examiners report
Suggest, in terms of its structure, why vitamin D is fat-soluble using section 35 of the data booklet.
Markscheme
«mostly» non-polar
OR
hydrocarbon backbone
OR
only 1 hydroxyl «group so mostly non-polar»
Accept “alcohol/hydroxy” for “hydroxyl” but not “hydroxide”.
[1 mark]
Examiners report
Enzyme activity depends on many factors. Explain how pH change causes loss of activity of an enzyme.
Markscheme
conformation/shape altered
OR
active site altered
OR
tertiary structure altered
acidic/basic/ionizable/COOH/carboxyl/NH2/amino groups in the R groups/side chains «react»
exchange/lose/gain protons/H+
ionic/H-bonds altered
Accept “substrate doesn't fit/fits poorly into active site” OR “enzyme denatures” for M1 but not “affects potential of
enzyme to form complex with substrate”.
Examiners report
Amino acids are the building blocks of proteins.
Draw the dipeptide represented by the formula Ala-Gly using section 33 of the data booklet.
Deduce the number of 1H NMR signals produced by the zwitterion form of alanine.
Outline why amino acids have high melting points.
Markscheme

peptide bond
order of amino acids
Accept zwitterion form of dipeptide.
Accept a condensed structural formula or a skeletal structure.
Penalize missing hydrogens or incorrect bond connectivities once only in Option B.
[2 marks]
3
[1 mark]
form zwitterions
«strong» ionic bonding
OR
«strong» ionic lattice
OR
«strong» electrostatic attraction/forces
Do not accept hydrogen bonding or IMFs for M2.
[2 mark]
Examiners report
Starch is a natural polymer of glucose.
Draw the structure of the repeating unit of starch and state the type of linkage formed between these units.
Type of linkage:
Formulate the equation for the complete hydrolysis of a starch molecule, (C6H10O5)n.
Calculate the energy released, in kJ g−1, when 3.49 g of starch are completely combusted in a calorimeter, increasing the temperature of 975 g of water from 21.0 °C to 36.0 °C. Use section 1 of the data booklet.
Explain how the inclusion of starch in plastics makes them biodegradable.
Markscheme
continuation bonds AND -O- attached to just one end AND both H-atoms on end carbons must be on the same side [✔]
Note: Square brackets not required.
Ignore “n” if given.
Mark may be awarded if a polymer is shown but with the repeating unit clearly identified.
Type of linkage:
glycosidic [✔]
Note: Accept “ether”.
(C6H10O5)n(s) + nH2O (l) → nC6H12O6 (aq) [✔]
Note: Accept “(n-1)H2O”.
Do not award mark if “n” not included.
q = «mcΔT = 975 g × 4.18 J g–1 K–1 × 15.0 K =» 61 100 «J» / 61.1 «kJ» [✔]
«heat per gram= =» 17.5 «kJ g–1» [✔]
Note: Award [2] for correct final answer.
Any two of:
carbohydrate grains swell/break plastic into smaller pieces [✔]
inclusion of carbohydrate makes the plastic more hydrophilic/water soluble [✔]
carbohydrates are broken down/hydrolysed/digested by bacteria/micro-organisms [✔]
plastic becomes more accessible to bacteria as holes/channels are created in it [✔]
«presence of» carbohydrate weakens intermolecular/London/dispersion forces between polymer chains in the plastic [✔]
Note: Accept “starch” for “carbohydrate” throughout. Do not accept carbohydrates are broken down/hydrolyzed.
Examiners report
Hardly any students were able to draw the required repeating unit, but in contrast almost all knew that the monomers were joined by a glycosidic linkage.
It was very unusual to find a candidate who could give a correct equation for starch hydrolysis.
Nearly half the students correctly calculated the enthalpy change and some of these went on to find the value in kJ g-1. The most common mistakes were to use the mass of starch rather than the mass of water and adding 273 to the temperature change.
Whilst many could quote from 7b, that starch undergoes hydrolysis, very few linked this to a biochemical mechanism. Other factors, relating to the reduction of intermolecular forces between the polymer chains were also rarely encountered.
The main fatty acid composition of cocoa butter and coconut oil is detailed below.
The melting points of cocoa butter and coconut oil are 34 °C and 25 °C respectively.
Explain this in terms of their saturated fatty acid composition.
Fats contain triglycerides that are esters of glycerol and fatty acids. Deduce an equation for the acid hydrolysis of the following triglyceride.
The addition of partially hydrogenated cocoa butter to chocolate increases its melting point and the content of trans-fatty acids (trans-fats).
Outline two effects of trans-fatty acids on health.
Markscheme
coconut oil has higher content of lauric/short-chain «saturated» fatty acids
OR
cocoa butter has higher content of stearic/palmitic/longer chain «saturated» fatty acids [✔]
longer chain fatty acids have greater surface area/larger electron cloud [✔]
stronger London/dispersion/instantaneous dipole-induced dipole forces «between triglycerides of longer chain saturated fatty acids» [✔]
Note: Do not accept arguments that relate to the melting points of saturated and unsaturated fats.
correct products [✔]
correctly balanced [✔]
Any two of:
«increased risk of» coronary/heart disease [✔]
«increased risk of» stroke [✔]
«increased risk of» atherosclerosis [✔]
«increased risk of type-2» diabetes [✔]
increase in LDL cholesterol [✔]
decrease in HDL cholesterol [✔]
«increased risk of» obesity [✔]
Examiners report
A classic instance of candidates answering the question they thought (or hoped?) they had been asked rather than the one that was asked. Almost all answers referred to the differing amounts of saturated and unsaturated fatty acids present, totally ignoring the fact that the question clearly stated “their saturated fatty acid composition”, where the relative lengths of the chains was the key point. Nevertheless some who went on to discuss the nature of the intermolecular forces between the chains gained some credit.
A disappointingly small number of candidates gained any marks for deducing the equation for the hydrolysis of the given lipid.
Almost all students were aware of negative health effects of trans-fats, though quite a few lost marks by just stating “cholesterol” without specifying HDL or LDL.
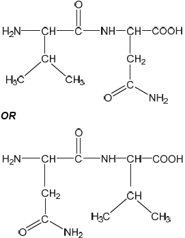
Aspartame is a derivative of a dipeptide formed between two amino acids, phenylalanine (Phe) and aspartic acid (Asp).
Draw a circle around the functional group formed between the amino acids and state its name.
Name:
A mixture of phenylalanine and aspartic acid is separated by gel electrophoresis with a buffer of pH = 5.5.
Deduce their relative positions after electrophoresis, annotating them on the diagram. Use section 33 of the data booklet.
Markscheme
Name:
amide/amido/carboxamide [✔]
Note: Accept “peptide bond/linkage”.
Phe: must be on the origin [✔]
Asp: any position on the left/anode/+ side [✔]
Examiners report
Many candidates correctly circled the bond between the amino acid residues, though in some cases their circle missed out key atoms. Many correctly identified it as a peptide or amide linkage.
Most candidates seemed to realise that phenylalanine would be neutral and hence unaffected by the field, but many failed to realise that the negative charge of the aspartic acid anion would cause it to move to the left, not the right.
Proteins have structural or enzyme functions.
Oil spills are a major environmental problem.
Some proteins form an α-helix. State the name of another secondary protein structure.
Compare and contrast the bonding responsible for the two secondary structures.
One similarity:
One difference:
Explain why an increase in temperature reduces the rate of an enzyme-catalyzed reaction.
Suggest two reasons why oil decomposes faster at the surface of the ocean than at greater depth.
Oil spills can be treated with an enzyme mixture to speed up decomposition.
Outline one factor to be considered when assessing the greenness of an enzyme mixture.
Markscheme
β/beta pleated/sheet [✔]
One similarity:
hydrogen bonding
OR
attractions between C=O and N–H [✔]
One difference:
α-helix has hydrogen bonds between amino acid residues that are closer than β-pleated sheet
OR
H-bonds in α-helix parallel to helix axis AND perpendicular to sheet in β-pleated sheet
OR
α-helix has one strand AND β-pleated sheet has two «or more» strands
OR
α-helix is more elastic «since H-bonds can be broken easily» AND β-pleated sheet is less elastic «since H-bonds are difficult to break» [✔]
Note: Accept a diagram which shows hydrogen bonding between O of C=O and H of NH groups for M1.
Accept “between carbonyl/amido/amide/carboxamide” but not “between amino/amine” for M1.
enzyme denatured/loss of 3-D structure/conformational change
OR
«interactions responsible for» tertiary/quaternary structures altered [✔]
shape of active site changes
OR
fewer substrate molecules fit into active sites [✔]
Any two of:
surface water is warmer «so faster reaction rate»/more light/energy from the sun [✔]
more oxygen «for aerobic bacteria/oxidation of oil» [✔]
greater surface area [✔]
Any one of:
non-hazardous/toxic to the environment/living organisms [✔]
energy requirements «during production» [✔]
quantity/type of waste produced «during production»
OR
atom economy [✔]
safety of process [✔]
Note: Accept “use of solvents/toxic materials «during production»”.
Do not accept “more steps involved”.
Examiners report
This question was quite well answered with many scoring the mark although there were quite a few incorrect responses that answered “beta-helix” rather than “beta-pleated sheet”.
The similarity in bonding between the 2 types of secondary structures was answered well but the difference was not. Most students were not descriptive enough to receive the second mark or simply repeated the idea of proteins containing an alpha-helix and beta-pleated sheets rather than describing something different about them.
This was another question where most candidates received one mark for identifying that the enzyme will denature with an increase in temperature. However, many candidates did not continue with the explanation of the active site shape changing or substrate molecules not longer fitting into the active site.
While many candidates did receive two marks for this question some candidates only suggested one reason or repeated the same reason (for example - heat and energy from the sun) even though the question clearly asked for two reasons.
Students tend to struggle with these questions and end up giving journalistic or vague answers that cannot be awarded marks. It is important for teachers to instruct students to give more specific answers directly related to the topics presented.
Phosphatidylcholine is an example of a phospholipid found in lecithin.
Phosphatidylcholine may be formed from propane-1,2,3-triol, two lauric acid molecules, phosphoric acid and the choline cation.
Deduce the structural formula of phosphatidylcholine.
Identify the type of reaction in (a).
Lecithin is a major component of cell membranes. Describe the structure of a cell membrane.
Predict, giving a reason, the relative energy density of a carbohydrate and a lipid of similar molar mass.
Lecithin aids the body’s absorption of vitamin E.
Suggest why vitamin E is fat-soluble.
Phospholipids are also found in lipoprotein structures.
Describe two effects of increased levels of low-density lipoprotein (LDL) on health.
Markscheme
phosphodiester correctly drawn [✔]
both ester groups correctly drawn [✔]
Note: Accept protonated phosphate.
Accept phosphodiester in centre position.
condensation [✔]
Note: Accept “esterification”.
Accept “nucleophilic substitution/SN”.
phospholipid bilayer/double layer
OR
two layers of phospholipids [✔]
polar/hydrophilic heads facing aqueous environment AND non-polar/hydrophobic tails facing away from aqueous environment [✔]
Note: Award [2] for a suitably labelled diagram.
Award [1 max] for a correct but unlabelled diagram.
Accept “polar/hydrophilic heads on outside AND non-polar/hydrophobic tails on inside for M2.
carbohydrates less energy dense AND carbohydrates higher ratio of oxygen to carbon/more oxidized/less reduced [✔]
long non-polar/hydrocarbon chain «and only one hydroxyl group»
OR
forms London/dispersion/van der Waals/vdW interactions with fat [✔]
Note: Accept “alcohol/hydroxy/OH” for “hydroxyl” but not “hydroxide”.
atherosclerosis/cholesterol deposition «in artery walls» [✔]
increases risk of heart attack/stroke/cardiovascular disease/CHD [✔]
Note: Accept “arteries become blocked/walls become thicker”, “increases blood pressure”, or “blood clots”.
Do not accept “high cholesterol”.
Examiners report
This was very poorly answered. Although the phosphodiester was a challenging mark it could be awarded in both the protonated and deprotonated form. The two esters should have been much more straight forward mark, and both were required to receive the second mark. Students struggled with proper structural drawings for both marks and many students simply left this question blank. The functional groups did need to be drawn out in their full structural form to receive the mark as indicated in the question.
This question was well answered.
This question was another one where the first mark was fairly well answered but the explanation or second mark was often not correct or complete.
This question was not well answered even though it has appeared on previous tests. In any cases the students did not give the relative energy density or the reason. It is important that candidates read question carefully and responds completely to each question as asked.
This question was also not answered well even though it has appeared on previous tests. Many students missed the idea of a long or large non-polar chain when describing the structure.
Students were required to state two effects of increased LDL. High cholesterol is not an accepted answer but still frequently seen. Many students also repeated similar answers that could not receive the same mark.
Sucrose is a disaccharide.
State the name of the functional group forming part of the ring structure of each monosaccharide unit.
Sketch the cyclic structures of the two monosaccharides which combine to form sucrose.
Markscheme
acetal
OR
ether [✔]
Note: Accept “glycosidic bond/linkage” but not “glucosidic”.
Do not accept “hemiacetal”.
[✔]
[✔]
Examiners report
This was reasonably answered although there were some students who responded with ester or hemiacetal which is incorrect.
This question was very poorly answered. Many students lost marks due to sloppy drawing and incorrect bond linkages. Some students did not separate the two saccharides as instructed.
Enzymes are biological catalysts.
The graph shows the relationship between the temperature and the rate of an enzyme-catalysed reaction.
State one reason for the decrease in rate above the optimum temperature.
Explain why a change in pH affects the tertiary structure of an enzyme in solution.
State one use of enzymes in reducing environmental problems.
Markscheme
enzyme denatures
OR
change of conformation/shape of active site
OR
substrate cannot bind to active site/binds less efficiently ✔
NOTE: Accept “change in structure” or “substrate doesn't fit/fits poorly into active site”
Any two of:
acidic/basic/ionizable/COOH/carboxyl/NH2/amino groups in the R groups/side chains «react» ✔
exchange/lose/gain protons/H+ ✔
change in H-bonds/ionic interactions/intermolecular forces/London dispersion forces ✔
NOTE: Do not accept “enzyme denatures” OR “change of conformation/tertiary structure” OR “substrate cannot bind to active site/binds less efficiently” as this was the answer to 8(a).
breakdown of oil spills/industrial/sewage waste/plastics
OR
production of alternate sources of energy «such as bio diesel»
OR
involve less toxic chemical pathway «in industry» ✔
NOTE: Accept “«enzymes in» biological detergents can improve energy efficiency”.
Examiners report
Vitamins are organic compounds essential in small amounts.
State the name of one functional group common to all three vitamins shown in section 35 of the data booklet.
Explain the biomagnification of the pesticide DDT.
Explain why maltose, C12H22O11, is soluble in water.
Markscheme
hydroxyl ✔
NOTE: Accept “hydroxy” but not “hydroxide”.
Accept “alkenyl”.
Do not accept formula.
accumulates in fat/tissues/living organisms
OR
cannot be metabolized/does not break down «in living organisms»
OR
not excreted / excreted «very» slowly ✔
passes «unchanged» up the food chain
OR
increased concentration as one species feeds on another «up the food chain» ✔
NOTE: Accept “lipids” for “fat”.
«solubility depends on forming many» H-bonds with water ✔
maltose has many hydroxyl/OH/oxygen atom/O «and forms many H-bonds» ✔
NOTE: Reference to “with water” required.
Accept “hydroxy” for “hydroxyl” but not “hydroxide/OH–”.
Reference to many/several OH groups/O atoms required for M2.
Examiners report
Aspartame is formed from the two amino acids aspartic acid (Asp) and phenylalanine (Phe).
Draw the structure of the dipeptide Asp–Phe using section 33 of the data booklet.
The isoelectric point of amino acids is the intermediate pH at which an amino acid is electrically neutral.
Suggest why Asp and Phe have different isoelectric points.
Markscheme
amide link (eg, CONH) ✔
correct order and structures of amino acids ✔
NOTE: Accept a skeletal formula or a full or condensed structural formula.
Accept zwitterion form of dipeptide.
Accept CO–NH but not CO–HN for amide link.
«Asp isoelectric point lower than Phe and » Phe has a neutral/hydrocarbon side chain ✔
Asp side chain contains −COOH/carboxyl ✔
NOTE: Award [1 max] for “Asp has two carboxyl/−COOH groups and Phe has one carboxyl/−COOH group”.
Accept “Asp has an acidic side chain” for M2
Examiners report
Stearic acid (Mr = 284.47) and oleic acid (Mr = 282.46) have the same number of carbon atoms. The structures of both lipids are shown in section 34 of the data booklet.
The iodine number is the number of grams of iodine which reacts with 100 g of fat. Calculate the iodine number of oleic acid.
State one impact on health of the increase in LDL cholesterol concentration in blood.
Explain why stearic acid has a higher melting point than oleic acid.
State one similarity and one difference in composition between phospholipids and triglycerides.
Similarity:
Difference:
Identify a reagent that hydrolyses triglycerides.
Markscheme
«one C=C bond»
«1 mole iodine : 1 mole oleic acid»
« =» 89.85 «g of I2» ✔
NOTE: Accept “90 «g of I2»”.
atherosclerosis/cholesterol deposition «in artery walls»/increases risk of heart attack/stroke/cardiovascular disease/CHD ✔
NOTE: Accept “arteries become blocked/walls become thicker”, “increases blood pressure”, OR “blood clots”.
Do not accept “high cholesterol” OR "obesity"
no kinks in chain/more regular structure
OR
straight chain
OR
no C=C/carbon to carbon double bonds
OR
saturated
OR
chains pack more closely together ✔
NOTE: Accept “greater surface area/electron density” for M1.
stronger London/dispersion/instantaneous induced dipole-induced dipole forces «between molecules» ✔
NOTE: Accept “stronger intermolecular/van der Waals’/vdW forces” for M2.
Similarity:
«derived from» propane-1,2,3-triol/glycerol/glycerin/glycerine
OR
«derived from» at least two fatty acids
OR
contains ester linkages
OR
long carbon chains ✔
NOTE: Do not accept “two fatty acids as both a similarity and a difference”.
Do not accept just “hydrocarbon/carbon chains”.
Difference:
phospholipids contain two fatty acids «condensed onto glycerol» AND triglycerides three
OR
phospholipids contain phosphate/phosphato «group»/residue of phosphoric acid AND triglycerides do not ✔
NOTE: Accept “phospholipids contain phosphorus AND triglycerides do not".
Accept “phospholipids are amphiphilic AND triglycerides are not” OR “phospholipids have hydrophobic tails and hydrophilic heads AND triglycerides do not”.
«concentrated» NaOH (aq)/sodium hydroxide
OR
«concentrated» HCl (aq)/hydrochloric acid
OR
enzymes/lipases ✔
NOTE: Accept other strong acids or bases.
Examiners report
Ascorbic acid and retinol are two important vitamins.
Explain why ascorbic acid is soluble in water and retinol is not. Use section 35 of the data booklet.
Markscheme
ascorbic acid: many hydroxyl/OH groups AND retinol: few/one hydroxyl/OH group
OR
ascorbic acid: many hydroxyl/OH groups AND retinol: long hydrocarbon chain [✔]
ascorbic acid: «many» H-bond with water
OR
retinol: cannot «sufficiently» H-bond with water [✔]
Note: Do not accept “OH−/hydroxide”.
Examiners report
Another instance where candidates insist on discussing water solubility in terms of polarity or hydrophilicity rather than its fundamental dependence on the presence of sufficient groups that can form hydrogen bonds to water. A few however gained a mark through pointing out the significance of the –OH groups in ascorbic acid and the long hydrocarbon chain in retinol.
Enzymes are mainly globular proteins.
Describe the interaction responsible for the secondary structure of a protein.
Explain the action of an enzyme and state one of its limitations.
Enzymes are widely used in washing detergents. Outline how they improve the efficiency of the process.
Markscheme
hydrogen bonding ✔
between C=O and H–N «groups» ✔
Accept a diagram which shows hydrogen bonding for M1 and which shows the interaction between O of C=O and H of NH groups for M2.
Accept “between amido/amide/carboxamide” but not “between amino/amine” for M2.
Enzyme action:
Any two of:
substrate binds to active site ✔
weakens bonds in substrate ✔
lowers activation energy
OR
provides alternate pathway ✔
increases rate of reaction
OR
acts as catalyst ✔
substrate specific ✔
Limitation:
Any one of:
temperature dependent ✔
pH dependent ✔
can be sensitive to heavy metal ions ✔
sensitive to denaturation ✔
can be inhibited ✔
substrate specific ✔
Accept “favourable orientation/conformation of the substrate «enforced by enzyme»” for M1.
Do not accept “substrate specific” as both an enzyme action and a limitation.
Any one of:
«increase rate of» hydrolyse/break down lipids/oils/fats/proteins ✔
«wash at» lower temperature/consume less energy ✔
Examiners report
Green Chemistry reduces the production of hazardous materials and chemical waste.
Outline two specific examples or technological processes of how Green Chemistry has accomplished this environmental impact.
Markscheme
Any two of:
replaces plastics with biodegradable/starch/cellulose based plastics
use enzymes instead of polluting detergents/phosphates
OR
use of enzymes means lower temperatures can be used
OR
use enzymes instead of emulsifiers to treat oil spills
OR
use enzymes to produce esters at lower temperatures/without sulfuric acid
replace organic/toxic solvents with carbon dioxide
replace polymers from fossil fuel with bamboo/renewable resources
develop paint resins reducing production of volatile compounds «when paint is applied»
industrial synthesis of ethanoic/acetic acid from methanol and carbon monoxide has 100% atom economy
energy recovery
Accept formulas for names.
Award mark for any other reasonable specific green chemistry example that prevents the release of pollutants/toxic chemicals into the environment by changing the method or the materials used.
Do not award mark for methods that involve clean-up of pollutants from the environment such as host-guest chemistry or alternative energy sources.
[2 marks]