User interface language: English | Español

SL Paper 3

Amino acids are usually identified by their common names. Use section 33 of the data booklet.

State the IUPAC name for leucine.

[1]
a.

A mixture of amino acids is separated by gel electrophoresis at pH 6.0. The amino acids are then stained with ninhydrin.

(i) On the diagram below draw the relative positions of the following amino acids at the end of the process: Val, Asp, Lys and Thr.

(ii) Suggest why glycine and isoleucine separate slightly at pH 6.5.

[3]
b.

Determine the number of different tripeptides that can be made from twenty different amino acids.

[1]
c.

The fibrous protein keratin has a secondary structure with a helical arrangement.

(i) State the type of interaction responsible for holding the protein in this arrangement.

(ii) Identify the functional groups responsible for these interactions.

[2]
d.



Carbohydrates are energy-rich molecules which can be synthesized in some plant cells from inorganic compounds.

State the raw materials and source of energy used in the process described above.

[1]
a.

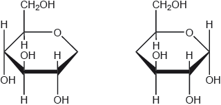
The structures of two molecules, X and Y, are shown below.

(i) Justify why both these molecules are carbohydrates.

(ii) Distinguish between these molecules in terms of their functional groups.

[2]
b.

Amylose is an unbranched polysaccharide composed of repeating units of glucose.

(i) Draw the structure of the repeating unit of amylose. Use section 34 of the data booklet.

(ii) Amylose is a major component of starch. Corn starch can be used to make replacements for plastics derived from oil, especially for packaging. Discuss one potential advantage and one disadvantage of this use of starch.

[3]
c.



Lipids are an important part of the human diet.

Fatty acids react with glycerol to form fats and oils. State the name of the chemical link formed in this reaction and the name of the other product.

[1]
a.

The table below shows average figures for the percentage fatty acid composition of some common fats and oils.

(i) Deduce, with a reason, which fat or oil from the table above has the lowest iodine number.

(ii) Deduce, with a reason, which fat or oil from the table above is most likely to become rancid when exposed to the air.

(iii) The P/S index of a fat or oil is the ratio of polyunsaturated fat to saturated fat present. It is sometimes used to compare the relative health benefits of different lipids in the diet. Calculate the P/S index of beef fat and soybean oil.

(iv) Suggest why a P/S index of greater than 1 is considered beneficial to health.

(v) Cotton seed oil and corn oil have similar iodine numbers but the melting point of cotton seed oil is higher than that of corn oil. Suggest an explanation in terms of the structure and bonding in these two oils.

[6]
b.



Biomagnification factor, BMF, can be defined as the concentration of a chemical, X, in a predator, relative to the concentration found in its prey.

BMF=XpredatorXprey, where X=(μg X per kg body weight)

[Franklin, J., 2015. How reliable are field-derived biomagnification factors and trophic magnification factors as
indicators of bioaccumulation potential? Conclusions from a case study on per- and polyfluoroalkyl substances
.
Available at: https://setac.onlinelibrary.wiley.com/doi/full/10.1002/ieam.1642.]

 

Calculate the BMF if a 120kg shark consumes 1000 mackerel in one year. Each mackerel weighs 1kg on average. The Xmackerel=0.3μgX per kg body weight. Assume chemical X remains in the shark’s body for two years.

[2]
a.

Suggest, with a reason, if fat-soluble or water-soluble xenobiotics would have a larger BMF.

[1]
b.



Proteins are polymers of amino acids. A paper chromatogram of two amino acids, A1 and A2, is obtained using a non-polar solvent.

© International Baccalaureate Organization 2020.

Determine the Rf value of A1.

[1]
a(i).

Proteins are polymers of amino acids.

The mixture is composed of glycine, Gly, and isoleucine, Ile. Their structures can be found in section 33 of the data booklet.

Deduce, referring to relative affinities and Rf, the identity of A1.

[2]
a(ii).

Proteins are polymers of amino acids.

Glycine is one of the amino acids in the primary structure of hemoglobin.

State the type of bonding responsible for the α-helix in the secondary structure.

[1]
b.

Proteins are polymers of amino acids.

Describe how the tertiary structure differs from the quaternary structure in hemoglobin.

[2]
c.



The diverse functions of biological molecules depend on their structure and shape.

Classify vitamins A, C and D as either mainly fat- or water-soluble, using section 35 of the data booklet.

[1]
a.

The diverse functions of biological molecules depend on their structure and shape.

Deduce the straight chain structure of deoxyribose from its ring structure drawn in section 34 of the data booklet.

[1]
b(i).

The diverse functions of biological molecules depend on their structure and shape.

Sucrose is a disaccharide formed in the reaction of glucose with fructose.
Identify the reaction type and the newly formed functional group that joins the monosaccharide units in the product.

[2]
b(ii).



Phospholipids are a main component of cell membranes.

 

Deduce the products of the hydrolysis of a non-substituted phospholipid, where R1 and R2 represent long alkyl chains.

[2]
a.

A representation of a phospholipid bilayer cell membrane is shown:

© International Baccalaureate Organization 2020.

Identify the components of the phospholipid labelled A and B.

[1]
b(i).

State the most significant intermolecular forces in the phospholipid in b(i).

[2]
b(ii).

Phospholipids help maintain cellular environments while fatty acid lipids have important roles in energy storage and electrical insulation. Discuss the structural properties of saturated fats needed for these roles.

[2]
c.



Sugars exist in both straight chain and ring forms.

Biodegradable plastics produced from starch present one solution to the environmental problem created by the use of large quantities of plastics.

Deduce the straight chain structure of ribose from its ring structure drawn in section 34 of the data booklet.

[1]
a.i.

Using the partial structure given, complete the structural formula of the molecule formed from the condensation of two cyclic α -glucose molecules.

M17/4/CHEMI/SP3/ENG/TZ1/12.a.ii

[1]
a.ii.

Constructing models that allow visualizations of the stereochemistry of carbohydrates is essential to understand their structural roles in cells.

Describe how Haworth projections help focus on the position of attached groups.

[1]
b.

State one advantage of starch based polymers besides being biodegradable.

[1]
c.i.

Biodegradable boxes made from polylactic acid, PLA, disintegrate when exposed to water.

State the formula of the product formed when water reacts with PLA.

[1]
c.ii.



Lipids and carbohydrates contain the same elements but have different properties.

List the building blocks of triglycerides and carbohydrates.

[1]
a.

The drain pipe of a kitchen sink can become clogged by fatty acids, such as linoleic acid, C18H32O2, but not by the trisaccharide, raffinose, C18H32O16, containing the same number of carbon atoms.

Explain why raffinose is far more water soluble than linoleic acid.

[2]
b.i.

Solid fat triglycerides can also clog kitchen sink drains.

Explain how sodium hydroxide unblocks the drain.

[2]
b.ii.

The amount of proteins, fats and carbohydrates determine the energy content of foods.


Explain why linoleic acid, C18H32O2, is a more efficient energy storage molecule than raffinose, C18H32O16.

[2]
c.



Peptidase enzyme in the digestive system hydrolyses peptide bonds.

A tripeptide Ala-Asp-Lys was hydrolysed and electrophoresis of the mixture of the amino acids was carried out at a pH of 6.0. Refer to section 33 of the data booklet.

Identify the type of metabolic process that occurs in the hydrolysis of the peptide during digestion.

[1]
a.

Identify the name of the amino acid that does not move under the influence of the applied voltage.

[1]
b.i.

Deduce, giving a reason, which amino acid will develop closest to the negative electrode.

[2]
b.ii.

The breakdown of a dipeptide in the presence of peptidase was investigated between 18 °C and 43 °C. The results are shown below.

Comment on the rate of reaction at temperature X in terms of the enzyme’s active site.

[1]
c.

The solubility of a vitamin depends on its structure.

Identify the vitamin given in section 35 of the data booklet that is the most soluble in water.

[1]
d.

Pollution from heavy metal ions has become a health concern.

Outline how the presence of heavy metal ions decreases the action of enzymes.

[1]
e.

Outline how lead ions could be removed from an individual suffering from lead poisoning.

[1]
f.



The structures of the amino acids cysteine, glutamine and lysine are given in section 33 of the data booklet.

Deduce the structural formula of the dipeptide Cys-Lys.

[2]
a.

Identify the type of bond between two cysteine residues in the tertiary structure of a protein.

[1]
b.

Deduce the structural formula of the predominant form of cysteine at pH 1.0.

[1]
c.

A mixture of the three amino acids, cysteine, glutamine and lysine, was placed in the centre of a square plate covered in polyacrylamide gel. The gel was saturated with a buffer solution of pH 6.0. Electrodes were connected to opposite sides of the gel and a potential difference was applied.

Sketch lines on the diagram to show the relative positions of the three amino acids after electrophoresis.

M17/4/CHEMI/SP3/ENG/TZ2/02.d

 

[2]
d.



A chemical reaction occurs when a phospholipid is heated with excess sodium hydroxide.

Glycerol is one product of the reaction. Identify the two other organic products.

[2]
a.

Identify the type of reaction which occurs.

[1]
b.



Sunflower oil contains stearic, oleic and linoleic fatty acids. The structural formulas of these acids are given in section 34 of the data booklet.

Explain which one of these fatty acids has the highest boiling point.

[2]
a.

10.0 g of sunflower oil reacts completely with 123 cm3 of 0.500 mol dm–3 iodine solution. Calculate the iodine number of sunflower oil to the nearest whole number.

[3]
b.



Monosaccharides can combine to form disaccharides and polysaccharides.

Identify the functional groups which are present in only one structure of glucose.

[2]
a.

Sucrose is a disaccharide formed from α -glucose and β-fructose.

Deduce the structural formula of sucrose.

[1]
b.

Starch is a constituent of many plastics. Suggest one reason for including starch in plastics.

[1]
c.

Suggest one of the challenges scientists face when scaling up the synthesis of a new compound.

[1]
d.



Consider the following lipid and carbohydrate.

In order to determine the number of carbon-carbon double bonds in a molecule of linoleic acid, 1.24 g of the lipid were dissolved in 10.0 cm3 of non-polar solvent.

The solution was titrated with a 0.300 mol dm–3 solution of iodine, I2.

Determine the empirical formula of linoleic acid.

[1]
a.i.

The empirical formula of fructose is CH2O. Suggest why linoleic acid releases more energy per gram than fructose.

[1]
a.ii.

State the type of reaction occurring during the titration.

[1]
b.i.

Calculate the volume of iodine solution used to reach the end-point. 

[3]
b.ii.

Outline the importance of linoleic acid for human health.

[2]
c.



Lactose is a disaccharide formed by the condensation reaction of the monosaccharides galactose and glucose.

Describe what is meant by a condensation reaction.

[2]
a.

Draw the structure of galactose on the skeleton provided.

[1]
b.

Explain how the inclusion of carbohydrates in plastics makes them biodegradable.

[2]
c.



Vitamins can be water-soluble or fat-soluble.

Explain, at the molecular level, why vitamin D is soluble in fats. Use section 35 of the data booklet.

[2]
a.

State one function of vitamin D in the body.

[1]
b.



Polymers of α-glucose include the disaccharide maltose and the polysaccharide amylose, a type of starch. The cyclic structure of α-glucose is shown in section 34 of the data booklet.

State the specific type of linkage formed between α-glucose fragments in both maltose and amylose.

[1]
a.

A person with diabetes suffering very low blood sugar (hypoglycaemia) may be advised to consume glucose immediately and then eat a small amount of starchy food such as a sandwich. Explain this advice in terms of the properties of glucose and starch.

[2]
b.



Explain the solubility of vitamins A and C using section 35 of the data booklet.




Lipids provide energy and are an important part of a balanced diet.

Identify the type of chemical reaction that occurs between fatty acids and glycerol to form lipids and the by-product of the reaction.

 

[2]
a.

Arachidonic acid is a polyunsaturated omega-6 fatty acid found in peanut oil.

Determine the number of carbon–carbon double bonds present if the iodine number for the compound is 334. (Arachidonic acid Mr = 304.5)

[2]
b.

Deduce the structure of the lipid formed by the reaction between lauric acid and glycerol (propane-1,2,3-triol) using section 34 of the data booklet.

[2]
c.

Outline one impact food labelling has had on the consumption of foods containing different types of lipids.

[1]
d.

Determine, to the correct number of significant figures, the energy produced by the respiration of 29.9 g of C5H10O5.

ΔH(C5H10O5) = 205.9 kJ mol−1

[2]
e.

Explain why lipids provide more energy than carbohydrates and proteins.

[2]
f.



Saturated lipids found in butter and unsaturated lipids found in fish oil readily become rancid.

Identify the type of rancidity occurring in saturated lipids and the structural feature that causes it.

[2]
a.i.

State one factor that increases the rate at which saturated lipids become rancid.

[1]
a.ii.

Butter contains varying proportions of oleic, myristic, palmitic and stearic acids. Explain in terms of their structures why stearic acid has a higher melting point than oleic acid, using section 34 of the data booklet.

[3]
b.

Fish oil is an excellent dietary source of omega-3 fatty acids. Outline one impact on health of consuming omega-3 fatty acids.

[1]
c.i.

Predict the solubility of retinol (vitamin A) in body fat, giving a reason. Use section 35 of the data booklet.

[1]
c.ii.

Explain why sharks and swordfish sometimes contain high concentrations of mercury and polychlorinated biphenyls (PCBs).

[2]
c.iii.

Plastics are another source of marine pollution. Outline one way in which plastics can be made more biodegradable.

[1]
c.iv.



Insulin was the first protein to be sequenced. It was determined that the end of one chain had the primary structure Phe–Val–Asn–Gln.

Paper chromatography can be used to identify the amino acids in insulin.

Draw the structural formula of a dipeptide containing the residues of valine, Val, and asparagine, Asn, using section 33 of the data booklet.

[2]
a.

Deduce the strongest intermolecular forces that would occur between the following amino acid residues in a protein chain.

 

[2]
b.

State the name of the process used to break down the insulin protein into its constituent amino acids.

[1]
c.i.

Outline how the amino acids may be identified from a paper chromatogram.

[1]
c.ii.



Lipids play several roles in our bodies.

A phospholipid generally consists of two hydrophobic fatty acids and a hydrophilic group.

Fatty acids are products of the acidic hydrolysis of phospholipids. Deduce the names of the other two products.

[2]
a.

The iodine number is the maximum mass of iodine that reacts with 100 g of an unsaturated compound.

Determine the iodine number of stearidonic acid, C17H27COOH.

[3]
b.i.

State two functions of lipids in the body.

[2]
b.ii.

Outline one effect of increased levels of low-density lipoproteins in the blood.

[1]
c.



Dietary recommendations are made by scientists.

The formation of proteins from amino acids is an example of an anabolic reaction in the human body.

State the source of energy for such a synthetic reaction.

[1]
a.

Suggest why it is advisable for those living in northerly or southerly latitudes (that is away from the equator) to take vitamin D supplements during the winter.

[1]
b.

Explain how a xenobiotic is biomagnified.

[2]
c.



Lactose, found in milk and dairy products, is a disaccharide formed from two different monosaccharides. The structure of lactose is shown with numbered carbon atoms.

Name the type of link between the two monosaccharide residues.

[1]
a.

Outline how the two monomer structures, galactose and glucose, differ.

[1]
b.



Suggest, in terms of its structure, why vitamin D is fat-soluble using section 35 of the data booklet.




Enzyme activity depends on many factors. Explain how pH change causes loss of activity of an enzyme.




Amino acids are the building blocks of proteins.

Draw the dipeptide represented by the formula Ala-Gly using section 33 of the data booklet.

[2]
a.

Deduce the number of 1H NMR signals produced by the zwitterion form of alanine.

[1]
b.

Outline why amino acids have high melting points.

[2]
c.



Starch is a natural polymer of glucose.

Draw the structure of the repeating unit of starch and state the type of linkage formed between these units.

Type of linkage:

[2]
a.

Formulate the equation for the complete hydrolysis of a starch molecule, (C6H10O5)n.

[1]
b.

Calculate the energy released, in kJ g−1, when 3.49 g of starch are completely combusted in a calorimeter, increasing the temperature of 975 g of water from 21.0 °C to 36.0 °C. Use section 1 of the data booklet.

[2]
c.

Explain how the inclusion of starch in plastics makes them biodegradable.

[2]
d.



The main fatty acid composition of cocoa butter and coconut oil is detailed below.

 

The melting points of cocoa butter and coconut oil are 34 °C and 25 °C respectively.

Explain this in terms of their saturated fatty acid composition.

[3]
a.

Fats contain triglycerides that are esters of glycerol and fatty acids. Deduce an equation for the acid hydrolysis of the following triglyceride.

[2]
b.

The addition of partially hydrogenated cocoa butter to chocolate increases its melting point and the content of trans-fatty acids (trans-fats).

Outline two effects of trans-fatty acids on health.

[2]
c.



Aspartame is a derivative of a dipeptide formed between two amino acids, phenylalanine (Phe) and aspartic acid (Asp).

Draw a circle around the functional group formed between the amino acids and state its name.

Name: 

[2]
a.

A mixture of phenylalanine and aspartic acid is separated by gel electrophoresis with a buffer of pH = 5.5.

Deduce their relative positions after electrophoresis, annotating them on the diagram. Use section 33 of the data booklet.

[2]
b.



Proteins have structural or enzyme functions.

Oil spills are a major environmental problem.

Some proteins form an α-helix. State the name of another secondary protein structure.

[1]
a(i) .

Compare and contrast the bonding responsible for the two secondary structures.

 

One similarity:

One difference:

[2]
a(ii).

Explain why an increase in temperature reduces the rate of an enzyme-catalyzed reaction.

[2]
b.

Suggest two reasons why oil decomposes faster at the surface of the ocean than at greater depth.

[2]
c(i).

Oil spills can be treated with an enzyme mixture to speed up decomposition.

Outline one factor to be considered when assessing the greenness of an enzyme mixture.

[1]
c(ii).



Phosphatidylcholine is an example of a phospholipid found in lecithin.

Phosphatidylcholine may be formed from propane-1,2,3-triol, two lauric acid molecules, phosphoric acid and the choline cation.

Deduce the structural formula of phosphatidylcholine.

[2]
a(i).

Identify the type of reaction in (a).

[1]
a(ii).

Lecithin is a major component of cell membranes. Describe the structure of a cell membrane.

[2]
b.

Predict, giving a reason, the relative energy density of a carbohydrate and a lipid of similar molar mass.

[1]
c.

Lecithin aids the body’s absorption of vitamin E.

Suggest why vitamin E is fat-soluble.

[1]
d.

Phospholipids are also found in lipoprotein structures.

Describe two effects of increased levels of low-density lipoprotein (LDL) on health.

[2]
e.



Sucrose is a disaccharide.

State the name of the functional group forming part of the ring structure of each monosaccharide unit.

[1]
a.

Sketch the cyclic structures of the two monosaccharides which combine to form sucrose.

[2]
b.



Enzymes are biological catalysts.

The graph shows the relationship between the temperature and the rate of an enzyme-catalysed reaction.

State one reason for the decrease in rate above the optimum temperature.

[1]
a.

Explain why a change in pH affects the tertiary structure of an enzyme in solution.

[2]
b.

State one use of enzymes in reducing environmental problems.

[1]
c.



Vitamins are organic compounds essential in small amounts.

State the name of one functional group common to all three vitamins shown in section 35 of the data booklet.

[1]
a.

Explain the biomagnification of the pesticide DDT.

[2]
b.

Explain why maltose, C12H22O11, is soluble in water.

[2]
c.



Aspartame is formed from the two amino acids aspartic acid (Asp) and phenylalanine (Phe).

Draw the structure of the dipeptide Asp–Phe using section 33 of the data booklet.

[2]
a.

The isoelectric point of amino acids is the intermediate pH at which an amino acid is electrically neutral.

Suggest why Asp and Phe have different isoelectric points.

[2]
b.



Stearic acid (Mr = 284.47) and oleic acid (Mr = 282.46) have the same number of carbon atoms. The structures of both lipids are shown in section 34 of the data booklet.

The iodine number is the number of grams of iodine which reacts with 100 g of fat. Calculate the iodine number of oleic acid.

[1]
a.

State one impact on health of the increase in LDL cholesterol concentration in blood.

[1]
b.

Explain why stearic acid has a higher melting point than oleic acid.

[2]
c.

State one similarity and one difference in composition between phospholipids and triglycerides.

Similarity:

Difference:

[2]
d(i).

Identify a reagent that hydrolyses triglycerides.

[1]
d(ii).



Ascorbic acid and retinol are two important vitamins.

Explain why ascorbic acid is soluble in water and retinol is not. Use section 35 of the data booklet.




Enzymes are mainly globular proteins.

Describe the interaction responsible for the secondary structure of a protein.

[2]
a.

Explain the action of an enzyme and state one of its limitations.

[3]
b.i.

Enzymes are widely used in washing detergents. Outline how they improve the efficiency of the process.

[1]
b.ii.



Green Chemistry reduces the production of hazardous materials and chemical waste.

Outline two specific examples or technological processes of how Green Chemistry has accomplished this environmental impact.