| Date | May 2018 | Marks available | 1 | Reference code | 18M.1.SL.TZ1.2 |
| Level | Standard level | Paper | Paper 1 | Time zone | Time zone 1 |
| Command term | Question number | 2 | Adapted from | N/A |
Question
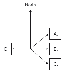
A river flows north. A boat crosses the river so that it only moves in the direction east of its starting point.
What is the direction in which the boat must be steered?

Markscheme
C
Examiners report
[N/A]
