| Date | November 2009 | Marks available | 1 | Reference code | 09N.1.HL.TZ0.30 |
| Level | Higher level | Paper | Paper 1 | Time zone | Time zone 0 |
| Command term | Question number | 30 | Adapted from | N/A |
Question
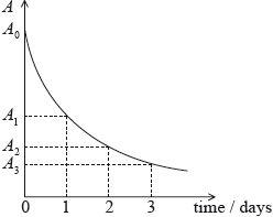
A radioactive isotope has an initial activity \({A_0}\) and a half-life of 1 day. The graph shows how the activity \(A\) varies with time.

The ratio \(\frac{{{A_0}}}{{{A_2}}}\) is equal to which of the following?
A. \(\frac{{{A_1}}}{{{A_3}}}\)
B. \(\frac{{{A_0}}}{{{A_3}}}\)
C. \(\frac{{{A_0}}}{2}\)
D. \(\frac{{{A_3}}}{3}\)
Markscheme
A
Examiners report
The diagram was not drawn strictly to scale, but this did not confuse the majority of the students.
Syllabus sections
Show 124 related questions
- 17N.2.HL.TZ0.3a.i: State and explain the nature of the particle labelled X.
- 17N.1.SL.TZ0.23: Which statement about atomic spectra is not true? A. They provide evidence for discrete...
- 17M.2.HL.TZ2.5c.i: The wall of cylinder A is made from glass. Outline why this glass wall had to be very thin.
- 17M.2.HL.TZ2.5a: Write down the nuclear equation for this decay.
- 17M.2.SL.TZ2.4d: Rutherford and Royds identified the helium gas in cylinder B by observing its emission...
- 17M.2.SL.TZ2.4b: Rutherford and Royds put some pure radium-226 in a small closed cylinder A. Cylinder A is...
- 17M.2.SL.TZ2.4a: Write down the missing values in the nuclear equation for this decay.
- 17M.1.HL.TZ2.25: Which of the following leads to a paradigm shift? A. Multi-loop circuits B. Standing...
- 17M.1.HL.TZ1.20: A pure sample of nuclide A and a pure sample of nuclide B have the same activity at time t =...
- 17M.1.SL.TZ2.25: The half-life of a radioactive element is 5.0 days. A freshly-prepared sample contains 128 g...
- 17M.1.SL.TZ2.24: Atomic spectra are caused when a certain particle makes transitions between energy...
- 17M.1.SL.TZ1.24: A nucleus of phosphorus (P) decays to a nucleus of silicon (Si) with the emission of particle...
- 17M.1.SL.TZ1.15: Two pulses are travelling towards each other. What is a possible pulse shape when the...
- 16N.3.SL.TZ0.3b: The change in foam height can be modelled using ideas from other areas of physics. Identify...
- 16N.3.SL.TZ0.3a: Determine the time taken for the foam to drop to (i) half its initial height. (ii) a...
- 16M.2.SL.TZ0.6b: The graph shows the variation with time t of the activity A of a sample containing...
- 16N.1.HL.TZ0.40: What is the charge on an electron antineutrino and during what process is an electron...
- 16N.1.HL.TZ0.20: Which of the following lists the particles emitted during radioactive decay in order of...
- 16N.1.SL.TZ0.24: Photons of energy 2.3eV are incident on a low-pressure vapour. The energy levels of the atoms...
- 16M.1.SL.TZ0.24: ...
- 15M.1.SL.TZ1.23: Nucleus P decays by a sequence of emissions to form nucleus Q. One \(\alpha \) particle and...
- 15M.1.HL.TZ1.31: Some of the energy levels for a hydrogen atom are shown in the diagram. The table shows four...
- 15M.1.SL.TZ2.22: What is the relationship between nucleon number A, proton number Z and neutron number...
- 15M.1.SL.TZ2.24: The initial number of atoms in a pure radioactive sample is N. The radioactive half-life of...
- 15M.2.SL.TZ1.6g: Calculate the percentage of a sample of calcium-47 that decays in 27 days.
- 15M.2.HL.TZ1.9f: For the final thallium nuclide, identify the (i) nucleon number. (ii) proton number.
- 15M.2.HL.TZ1.9g: Radon-220 is a radioactive gas. It is released by rocks such as granite. In some parts of the...
- 15M.2.SL.TZ2.4e: U-235 \(\left( {{}_{92}^{235}{\rm{U}}} \right)\) can undergo alpha decay to form an isotope...
- 15M.3.SL.TZ2.6a: An electron is excited to the n=3 energy level. On the diagram, draw arrows to show the...
- 15M.3.SL.TZ2.6b: Show that a photon of wavelength 656 nm can be emitted from a hydrogen atom.
- 14M.1.SL.TZ1.24: A radioactive sample has activity A0 at t=0. What will be the activity of the sample after...
- 14M.1.HL.TZ1.32: The de Broglie wavelength of an electron is equal to the wavelength of a photon that has...
- 14M.1.HL.TZ1.29: The arrows below indicate transitions involving three energy levels of an atom. The...
- 14M.1.HL.TZ1.30: The graph shows the variation with time t of the activity A of a radioactive sample. The...
- 14M.1.SL.TZ2.22: Which of the following provides evidence for the existence of atomic energy levels? A....
- 14M.1.SL.TZ2.24: Nuclei of the isotope nitrogen-14 are bombarded with neutrons and as a result nuclei of an...
- 14M.1.HL.TZ2.30: The diagram shows four energy levels W, X, Y and Z of an atom. Which electron transition...
- 14M.1.HL.TZ2.32: The nuclei in a sample of a radioactive isotope decay by emitting α and γ particles. Which of...
- 14M.1.HL.TZ2.33: A pure sample of a known element has a very long half-life. What measurement(s), together...
- 15N.1.HL.TZ0.31: All the energy levels in a simple model of an atom are shown. The atom is excited so that...
- 15N.1.HL.TZ0.33: \(_{\;{\text{6}}}^{{\text{11}}}{\text{C}}\) undergoes \({\beta ^ + }\) decay. The products of...
- 15N.2.HL.TZ0.6c.ii: Construct the nuclear equation for the decay of radium-226.
- 15N.1.SL.TZ0.24: A simple model of the hydrogen atom suggests that the electron orbits the proton. What is the...
- 15N.2.SL.TZ0.4b: Outline why classical physics does not permit a model of an electron orbiting the nucleus.
- 15N.2.SL.TZ0.4c.i: State what is meant by the terms nuclide and isotope. Nuclide: Isotope:
- 15N.2.SL.TZ0.4c.iii: Radium-226 has a half-life of 1600 years. Determine the time, in years, it takes for the...
- 14N.1.SL.TZ0.24: In a neutral atom there are ne electrons, np protons and nn neutrons. What is the mass number...
- 15N.3.SL.TZ0.7a: Aluminium-26 decays into an isotope of magnesium (Mg) by \({\beta ^ + }\)...
- 15N.3.SL.TZ0.7b: Explain why the beta particles emitted from the aluminium-26 have a continuous range of...
- 14N.1.HL.TZ0.34: A radioactive nuclide decays to a stable daughter nuclide. Initially the sample consists...
- 14N.2.SL.TZ0.3a: Explain what is meant by an isotope.
- 14N.2.SL.TZ0.3c.ii: A different isotope has half the initial activity and double the half-life of I-131. On the...
- 14N.2.SL.TZ0.3b: Identify the missing entries to complete the nuclear reaction for the decay of I-131.
- 14N.2.SL.TZ0.3c.i: The I-131 can be used for a medical application but only when the activity lies within the...
- 14N.3.SL.TZ0.6a: Outline how atomic absorption spectra provide evidence for the quantization of energy states...
- 14N.3.SL.TZ0.6b: The diagram shows some atomic energy levels of hydrogen. A photon of energy 2.86 eV is...
- 14N.3.SL.TZ0.7a.i: Identify the numbers and the particle to complete the decay equation.
- 14N.3.SL.TZ0.7a.ii: State the nature of the \({\beta ^ + }\) particle.
- 14M.3.SL.TZ2.5a: Explain how atomic line spectra provide evidence for the existence of discrete electron...
- 14M.3.SL.TZ2.5b: (i) Calculate the wavelength of the photon that will be emitted when an electron moves...
- 11N.1.SL.TZO.22: A nucleus of the isotope plutonium-238 \(\left( {{}^{238}{\rm{P}}} \right)\) decays into a...
- 11N.1.SL.TZO.24: Which of the following affects the rate at which a sample of a radioactive material...
- 11N.1.HL.TZ0.31: A proton decays to a neutron. The other products of the decay are a A. positron and...
- 11N.1.HL.TZ0.32: The half-life of a radioactive nuclide is 20s. What fraction of the original sample will have...
- 11N.1.HL.TZ0.33: Which of the following gives evidence to support the existence of atomic energy levels? A....
- 12N.1.HL.TZ0.23: The diagram shows three electron energy levels of an atom. Which transition results in the...
- 13N.1.SL.TZ0.23: In a particular atom, the nucleon number is the total number of A. protons.B. neutrons.C....
- 13N.1.HL.TZ0.29: The diagram shows the three lowest energy levels of an atom. Which diagram shows the...
- 13M.1.HL.TZ1.27: Which of the following would decrease the initial activity of a sample of plutonium? A....
- 12M.1.SL.TZ2.25: The half-life of a particular radioactive isotope is 8 days. The initial activity of a pure...
- 12M.1.SL.TZ2.22: The nuclear reaction equation for the decay of a nucleus of thorium-231 (Th-231) to a nucleus...
- 12M.1.SL.TZ1.22: When compared with beta particles and gamma-ray photons, alpha particles have the...
- 12M.1.HL.TZ2.30: The diagram shows three energy levels of the hydrogen atom and some of the associated...
- 13M.2.SL.TZ2.4e: A sample of tritium has an activity of 8.0×104 Bq at time t=0. The half-life of tritium is 12...
- 13M.2.SL.TZ2.4a: The isotope tritium (hydrogen-3) has a radioactive half-life of 12 days. (i) State what is...
- 13M.3.SL.TZ1.5a: Explain how atomic spectra provide evidence for the quantization of energy in atoms.
- 13M.3.SL.TZ1.6a: Identify the missing entries in the following nuclear...
- 13M.3.SL.TZ1.6b: Define half-life.
- 12M.2.SL.TZ2.3a: The nuclide U-235 is an isotope of uranium. A nucleus of U-235 undergoes radioactive decay to...
- 11M.1.HL.TZ2.29: ...
- 12M.1.HL.TZ1.27: When compared with beta particles and gamma-ray photons, alpha particles have the...
- 12M.1.HL.TZ1.25: All isotopes of uranium must have the same A. chemical properties.B. mass.C. half-life.D....
- 12M.1.HL.TZ1.30: The lowest four energy levels of a particular atom are represented in the energy level...
- 12M.1.HL.TZ1.32: Evidence for the existence of isotopes can come from analysis of A. the closest approach...
- 13M.1.SL.TZ2.23: A nucleus of californium (Cf) contains 98 protons and 154 neutrons. Which of the following...
- 11M.2.SL.TZ2.5e: A nucleus of the isotope O-19...
- 11M.2.SL.TZ2.5d: The reaction in (c) produces oxygen...
- 12M.2.SL.TZ1.5a: Describe the phenomenon of natural radioactive decay.
- 12M.2.SL.TZ1.5b: A nucleus of americium-241 (Am-241) decays into a nucleus of neptunium-237 (Np-237) in the...
- 12M.2.HL.TZ1.15b: Outline how atomic emission spectra provide evidence for the quantization of energy in atoms.
- 12M.2.HL.TZ2.14a: The diagram represents the three principal spectral lines in the visible region of...
- 11N.2.HL.TZ0.13a: (i) Calculate, in eV, the energy of a photon of wavelength 490 nm. (ii) On the diagram...
- 11N.2.HL.TZ0.3a: Describe what is meant by (i) radioactive decay. (ii) nuclear fusion.
- 12N.3.SL.TZ0.6c: State the quantities that need to be measured in order to determine the half-life of a...
- 12N.2.SL.TZ0.3c: Explain, with reference to the biological effects of ionizing radiation, why it is important...
- 12N.2.SL.TZ0.3a: State the nuclear equation for this reaction.
- 12N.3.SL.TZ0.5b: (i) Describe the appearance of an atomic absorption spectrum. (ii) Explain why the spectrum...
- 12N.3.SL.TZ0.5a: Outline a laboratory procedure for producing and observing the atomic absorption spectrum of...
- 12N.3.SL.TZ0.5c: The principal energy levels of the hydrogen atom in electronvolt (eV) are given...
- 13N.2.SL.TZ0.4f: A nucleus of another isotope of the element X in (d) decays with a...
- 13N.2.HL.TZ0.10d: The diagram shows four spectral lines in the visible line emission spectrum of atomic...
- 13N.2.HL.TZ0.10e: The energies of the principal energy levels in atomic hydrogen measured in eV are given by...
- 11M.1.SL.TZ1.22: Which of the following gives the correct number of protons and neutrons in a nucleus...
- 11M.1.SL.TZ1.23: A freshly prepared sample contains 4.0 μg of iodine-131. After 24 days, 0.5μg of iodine-131...
- 11M.2.SL.TZ1.5a: For particle P, (i) state how graph 1 shows that its oscillations are not damped. (ii)...
- 11M.2.SL.TZ1.4d: During its normal operation, the following set of reactions takes place in the...
- 11M.3.SL.TZ1.5a: Deduce that the energy of a photon of wavelength 658 nm is 1.89 eV.
- 11M.3.SL.TZ1.5b: (i) On diagram 1, draw an arrow to show the electron transition between energy levels that...
- 11M.3.SL.TZ1.5c: Explain why the lines in the emission spectrum of atomic hydrogen, shown in diagram 2, become...
- 11M.3.SL.TZ1.6a: State the reaction for the decay of the I-124 nuclide.
- 11M.3.SL.TZ1.6b: The graph below shows how the activity of a sample of iodine-124 changes with time. (i)...
- 09M.1.HL.TZ1.28: The diagram shows four possible electron energy levels in the hydrogen atom. The number of...
- 09M.1.HL.TZ1.33: When a nucleus undergoes radioactive \({\beta ^ + }\) decay, the change in the number of...
- 09M.1.SL.TZ1.22: The number of neutrons and the number of protons in a nucleus of an atom of the isotope of...
- 10M.1.HL.TZ1.32: A nucleus of the isotope potassium-40 decays to a nucleus of the isotope argon-40. The...
- 09N.1.SL.TZ0.22: The relationship between proton number \(Z\), neutron number \(N\) and nucleon number \(A\)...
- 10M.1.SL.TZ1.24: Which of the following correctly identifies the three particles emitted in the decay of the...
- 09N.1.SL.TZ0.24: A radio-isotope has an activity of 400 Bq and a half-life of 8 days. After 32 days the...
- 10N.1.SL.TZ0.24: A radioactive isotope has a half-life of two minutes. A sample contains sixteen grams of the...
- 10N.1.HL.TZ0.33: The energies of alpha particles and of gamma-rays emitted in radioactive decay are discrete....
- 10M.1.SL.TZ1.22: Emission and absorption spectra provide evidence for A. the nuclear model of the...
- 10N.1.SL.TZ0.26: Which of the following is true about beta minus (\({\beta ^ - }\)) decay? A. An...
- 10N.3.SL.TZ0.B2b: Calculate the difference in energy in eV between the energy levels in the hydrogen atom that...
- 10N.3.SL.TZ0.B3a: A nucleus of a radioactive isotope of gold (Au-189) emits a neutrino in the decay to a...
