| Date | May 2013 | Marks available | 1 | Reference code | 13M.3.sl.TZ1.F2 |
| Level | SL | Paper | 3 | Time zone | TZ1 |
| Command term | Identify | Question number | F2 | Adapted from | N/A |
Question
The food industry uses food-grade dyes and pigments to increase the appeal of food products.
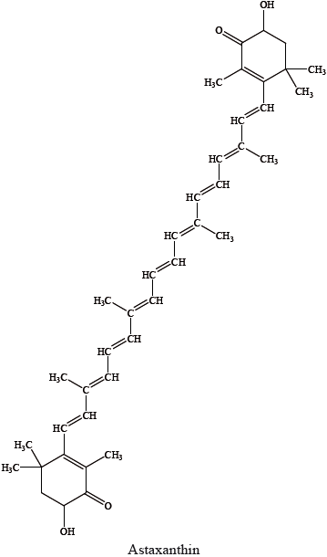
The pigment associated with the olive-green colour of the outer shell of the American lobster is astaxanthin, shown below. When cooked the lobster changes to a red colour.

Identify the class of pigment to which astaxanthin belongs.
Explain why the properties of pigments in the shell of a live lobster can lead to colour variation (for example, from olive-green to orange).
Explain how the colour of astaxanthin changes to red when cooked.
Markscheme
carotenoids/carotenes;
colour masked changing light-absorption properties (resulting in colour variation) / protein holds pigment/astaxanthin tightly / protein forms a complex with the pigment/astaxanthin / OWTTE;
Do not allow protein combines with pigment.
(astaxanthin stable in heat but high temperature causes) protein to change shape/denature/uncoil/break down / OWTTE;
cartenoid pigment released from the protein (allowing red colour to appear) / other colours absorbed / OWTTE;
M2 can only be scored if M1 is correct.
Examiners report
Most candidates knew that astaxanthin was a carotenoid, but it was rare that a candidate recognized the role of the complex with the protein in altering the colour in part (b) (although it is explained in the programme guide). This was one of the most discriminating questions in the paper.
Most candidates knew that astaxanthin was a carotenoid, but it was rare that a candidate recognized the role of the complex with the protein in altering the colour in part (b) (although it is explained in the programme guide). This was one of the most discriminating questions in the paper.
Most candidates knew that astaxanthin was a carotenoid, but it was rare that a candidate recognized the role of the complex with the protein in altering the colour in part (b) (although it is explained in the programme guide). This was one of the most discriminating questions in the paper.
