| Date | November 2013 | Marks available | 1 | Reference code | 13N.1.hl.TZ0.14 |
| Level | HL | Paper | 1 | Time zone | TZ0 |
| Command term | Determine | Question number | 14 | Adapted from | N/A |
Question
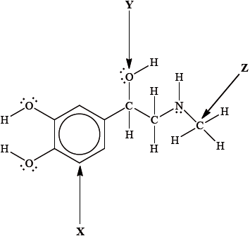
What is the hybridization of atoms X, Y and Z in epinephrine?


Markscheme
A
Examiners report
This was thought to be tricky for those who had not studied Option G for paper 3 as they might have less idea about hybridization in a benzene ring. This should be covered in topics 14.2.2 and 14.3.1. It was one of the harder questions but, even so, 68.20% gave the correct answer. “B” was the next most common answer, presumably because candidates had forgotten the hydrogen atom on carbon X.
