| Date | November 2014 | Marks available | 3 | Reference code | 14N.3.hl.TZ0.7 |
| Level | HL | Paper | 3 | Time zone | TZ0 |
| Command term | Describe | Question number | 7 | Adapted from | N/A |
Question
Describe how genetic information is encoded within the double helical structure of DNA.
State the name of the bond between complementary base pairs of DNA.
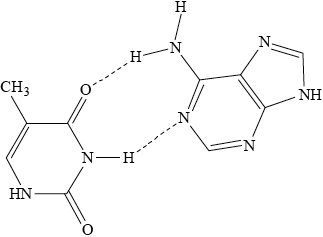
Explain the bonding between base pairs by drawing the complementary base next to thymine below and by showing the bonds that hold the pairs of bases together. Use the structures given in Table 21 of the Data Booklet.

Markscheme
coded information lies in sequence of bases / OWTTE;
each sequence of three (bases) represents one amino acid/triplet code;
allows for up to 64 permutations/codons;
represents 20 naturally occurring amino acids;
(sequence of 3-base codes) gives amino acid sequence/primary structure of protein;
hydrogen bond;

selecting correct base pair, A/adenine;
A–T with 2 H-bonds connections;
Allow even if the two bonds are in the wrong place.
correct placement of H–bonds;
Examiners report
In (a), encoding is determined by the base sequence and each sequence encodes for one amino acid. Unfortunately many candidates described base pairs and how nucleotides are connected rather than how information is encoded. The mark in (b) was invariably gained but whilst adenine was usually correctly identified in (c) and sometimes that there are two hydrogen bonds involved, the positioning and linking of the hydrogen bonds was less than perfect. This included hydrogen bonding to a carbon atom on the ring rather than to nitrogen. There were no “tricks” here; the structure could be copied directly from the Data Booklet in the correct orientation.
In (a), encoding is determined by the base sequence and each sequence encodes for one amino acid. Unfortunately many candidates described base pairs and how nucleotides are connected rather than how information is encoded. The mark in (b) was invariably gained but whilst adenine was usually correctly identified in (c) and sometimes that there are two hydrogen bonds involved, the positioning and linking of the hydrogen bonds was less than perfect. This included hydrogen bonding to a carbon atom on the ring rather than to nitrogen. There were no “tricks” here; the structure could be copied directly from the Data Booklet in the correct orientation.
In (a), encoding is determined by the base sequence and each sequence encodes for one amino acid. Unfortunately many candidates described base pairs and how nucleotides are connected rather than how information is encoded. The mark in (b) was invariably gained but whilst adenine was usually correctly identified in (c) and sometimes that there are two hydrogen bonds involved, the positioning and linking of the hydrogen bonds was less than perfect. This included hydrogen bonding to a carbon atom on the ring rather than to nitrogen. There were no “tricks” here; the structure could be copied directly from the Data Booklet in the correct orientation.
