| Date | May 2014 | Marks available | 7 | Reference code | 14M.3.hl.TZ1.14 |
| Level | HL | Paper | 3 | Time zone | TZ1 |
| Command term | Describe and Identify | Question number | 14 | Adapted from | N/A |
Question
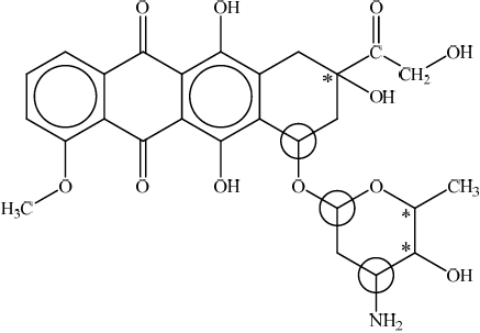
Thalidomide is currently used to treat several different diseases including certain types of cancer. Research to compare its effectiveness with other cancer drugs, such as doxorubicin, is ongoing.
(i) Doxorubicin contains six different chiral carbon atoms. Three of them are identifi ed with an asterisk, *. Identify the locations of the other three by placing circles around the relevant carbon atoms.

(ii) Only one of the possible enantiomers is really effective as an anti-cancer drug.
Describe the general principles behind the use of chiral auxiliaries to form the desired enantiomer when several different enantiomers of a drug exist.
(iii) From its structure it can be seen that doxorubicin contains several polar hydroxyl groups. However, when it is given intravenously it needs to be in an ionic form to make it even more soluble in an aqueous medium. Describe how doxorubicin can be converted into a salt.
Markscheme
(i)
;
Award [1] for each correct circle.
(ii) a chiral auxiliary (which is itself optically active/chiral) attaches to nonchiral molecule (to force reaction to follow a certain path);
chiral auxiliary is removed (once stereospecific intermediate has been formed to leave desired enantiomer) / OWTTE;
(iii) EITHER
doxorubicin contains an amino group (which is basic);
Allow (primary) amine.
can react with acid/hydrochloric acid (to form acid salt);
OR
doxorubicin contains OH/hydroxyl groups some of which are acidic;
can react with sodium hydroxide/NaOH/hydroxide ions/OH– (to form sodium/alkaline salt);
Accept other suitable base such as potassium hydroxide/KOH.
Allow “can react with alkali”.
Award [2] for a correct equation.
Examiners report
In (a), enantiomers typically were not referred to and few stated that since drugs can pass from mother to foetus all drugs must be tested for their effect on pregnant women. In (b) (i) most candidates got one chiral centre but surprisingly at HL only the better students got all three. In (b) (ii) although M2 was generally scored, few scored M1 i.e. the fact that a chiral auxiliary attaches to a non-chiral molecule. In (iii) few candidates scored both marks. Many stated that doxorubicin can react with an acid but did not mention the fact that it contains an amino group etc.
