| Date | May 2011 | Marks available | 2 | Reference code | 11M.3.sl.TZ2.B3 |
| Level | SL | Paper | 3 | Time zone | TZ2 |
| Command term | State and explain | Question number | B3 | Adapted from | N/A |
Question
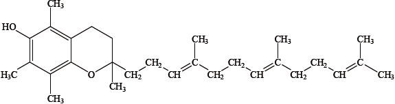
The structure of one form of vitamin E is shown below.

State and explain whether vitamin E is fat soluble or water soluble.
Markscheme
fat soluble as long non-polar/hydrocarbon chain;
with few polar groups;
cannot form hydrogen bonds with water;
Examiners report
Most candidates knew that vitamin E is fat soluble but could not explain further to achieve the marks.
