SL Paper 2

An example of a homogeneous reversible reaction is the reaction between hydrogen and iodine.

\[{{\text{H}}_{\text{2}}}{\text{(g)}} + {{\text{I}}_{\text{2}}}{\text{(g)}} \rightleftharpoons {\text{2HI(g)}}\]

Propane can be formed by the hydrogenation of propene.

\[{\text{C}}{{\text{H}}_3}{\text{CH=C}}{{\text{H}}_2}{\text{(g)}} + {{\text{H}}_2}{\text{(g)}} \to {\text{C}}{{\text{H}}_3}{\text{C}}{{\text{H}}_2}{\text{C}}{{\text{H}}_3}{\text{(g)}}\]

Outline the characteristics of a homogeneous chemical system that is in a state of equilibrium.

[2]
a.i.

Deduce the expression for the equilibrium constant, \({K_{\text{c}}}\).

[1]
a.ii.

Predict what would happen to the position of equilibrium and the value of \({K_{\text{c}}}\) if the pressure is increased from 1 atm to 2 atm.

[2]
a.iii.

The value of \({K_{\text{c}}}\) at 500 K is 160 and the value of \({K_{\text{c}}}\) at 700 K is 54. Deduce what this information tells us about the enthalpy change of the forward reaction.

[1]
a.iv.

The reaction can be catalysed by adding platinum metal. State and explain what effect the addition of platinum would have on the value of the equilibrium constant.

[2]
a.v.

State the conditions necessary for the hydrogenation reaction to occur.

[2]
b.i.

Enthalpy changes can be determined using average bond enthalpies. Define the term average bond enthalpy.

[2]
b.ii.

Determine a value for the hydrogenation of propene using information from Table 10 of the Data Booklet.

[2]
b.iii.

Explain why the enthalpy of hydrogenation of propene is an exothermic process.

[1]
b.iv.

Describe a chemical test that could be used to distinguish between propane and propene. In each case state the result of the test.

[2]
c.i.

Under certain conditions propene can polymerize to form poly(propene). State the type of polymerization taking place and draw a section of the polymer to represent the repeating unit.

[2]
c.ii.

Other than polymerization, state one reaction of alkenes which is of economic importance.

[1]
c.iii.

Markscheme

reactants and products in same phase/state;

rate of forward reaction = rate of reverse reaction;

concentrations of reactants and products remain constant / macroscopic properties remain constant;

Do not accept concentrations are equal.

a.i.

\(({K_{\text{c}}}) = \frac{{{{{\text{[HI]}}}^{\text{2}}}}}{{{\text{[}}{{\text{H}}_{\text{2}}}{\text{][}}{{\text{I}}_{\text{2}}}{\text{]}}}}\);

a.ii.

no change to position of equilibrium;

no change to value of \({K_{\text{c}}}\);

a.iii.

the reaction is exothermic/heat is given out/ \(\Delta H\) is negative;

a.iv.

no effect (on the value of the equilibrium constant);

as it speeds up forward and reverse reaction / concentrations of reactants and products do not change / position of equilibrium does not change / no change in yield;

a.v.

nickel / platinum / paladium;

150 − 200 °C/ heat;

Accept temperatures in this range.

Accept room temperature as an answer if platinum or palladium used.

b.i.

the enthalpy change when (one mole of) the gaseous bond is broken (or formed) / \({\text{X}}–{\text{Y(g)}} \to {\text{X(g)}} + {\text{Y(g)}}/{\text{X(g)}} + {\text{Y(g)}} \to {\text{X}}–{\text{Y(g)}}\);

averaged for the same bond in a number of similar compounds / OWTTE;

b.ii.

energy in: C=C + H–H and energy out: C–C + 2C–H;

Accept energy in C–C + 6C–H + C=C + H–H and energy out 2C–C + 8C–H.

\(\Delta H = (612 + 436) - (347 + 826) = 1048 - 1173/ - 125{\text{ (kJ}}\,{\text{mo}}{{\text{l}}^{ - 1}}{\text{)}}\);

Award [2] for correct final answer.

Award [1] for +125.

If old Data Booklet values then allow: \(\Delta H = \) 10481172 = −124 (kJ\(\,\)mol–1)

b.iii.

due to the relative strength of the C–C and 2C–H bonds compared to the C=C and H–H bonds / bonds in products stronger than bonds in reactants;

b.iv.

(i) addition of bromine/bromine water;

the bromine colour remains with propane and propene decolourizes the bromine / solution changes from brown to colourless;

Do not accept “clear” instead of “colourless”.

c.i.

addition (polymerization);

−(−CH(\({\text{C}}{{\text{H}}_{\text{3}}}\))−\({\text{C}}{{\text{H}}_{\text{2}}}\)−)− / −CH(\({\text{C}}{{\text{H}}_{\text{3}}}\))CH−;

Continuation bonds necessary for mark, displayed formula or condensed structural formula can be given.

Accept if more than one repeating unit is shown.

c.ii.

hydrogenation (of vegetable oils) / manufacture of margarine / manufacture of ethanol / addition of water;

Accept manufacture of alcohol.

Do not accept hydrogenation of alkenes.

c.iii.

Examiners report

Part (a) of this question focused on equilibrium and many candidates were able to show a good understanding of what would happen when the conditions were changed and were able to deduce the equilibrium expression. Most could describe the properties of a homogeneous equilibrium but some said that concentrations of reactants and products were equal at equilibrium as opposed to constant. The candidates also could state and explain the effect of a catalyst.

a.i.

Part (a) of this question focused on equilibrium and many candidates were able to show a good understanding of what would happen when the conditions were changed and were able to deduce the equilibrium expression. Most could describe the properties of a homogeneous equilibrium but some said that concentrations of reactants and products were equal at equilibrium as opposed to constant. The candidates also could state and explain the effect of a catalyst.

a.ii.

Part (a) of this question focused on equilibrium and many candidates were able to show a good understanding of what would happen when the conditions were changed and were able to deduce the equilibrium expression. Most could describe the properties of a homogeneous equilibrium but some said that concentrations of reactants and products were equal at equilibrium as opposed to constant. The candidates also could state and explain the effect of a catalyst.

a.iii.

Part (a) of this question focused on equilibrium and many candidates were able to show a good understanding of what would happen when the conditions were changed and were able to deduce the equilibrium expression. Most could describe the properties of a homogeneous equilibrium but some said that concentrations of reactants and products were equal at equilibrium as opposed to constant. The candidates also could state and explain the effect of a catalyst.

a.iv.

Part (a) of this question focused on equilibrium and many candidates were able to show a good understanding of what would happen when the conditions were changed and were able to deduce the equilibrium expression. Most could describe the properties of a homogeneous equilibrium but some said that concentrations of reactants and products were equal at equilibrium as opposed to constant. The candidates also could state and explain the effect of a catalyst.

a.v.

Part (b) proved more problematic and relatively few could describe the necessary conditions for hydrogenation, and even fewer could correctly state a definition of average bond enthalpy. The calculation of the bond enthalpy of propene proved difficult for many and although some gained marks by ecf few obtained the correct answer -125. Candidates also had difficulty explaining why the process was exothermic in terms of the relative strengths of the bonds being made and broken.

b.i.

Part (b) proved more problematic and relatively few could describe the necessary conditions for hydrogenation, and even fewer could correctly state a definition of average bond enthalpy. The calculation of the bond enthalpy of propene proved difficult for many and although some gained marks by ecf few obtained the correct answer -125. Candidates also had difficulty explaining why the process was exothermic in terms of the relative strengths of the bonds being made and broken.

b.ii.

Part (b) proved more problematic and relatively few could describe the necessary conditions for hydrogenation, and even fewer could correctly state a definition of average bond enthalpy. The calculation of the bond enthalpy of propene proved difficult for many and although some gained marks by ecf few obtained the correct answer -125. Candidates also had difficulty explaining why the process was exothermic in terms of the relative strengths of the bonds being made and broken.

b.iii.

Part (b) proved more problematic and relatively few could describe the necessary conditions for hydrogenation, and even fewer could correctly state a definition of average bond enthalpy. The calculation of the bond enthalpy of propene proved difficult for many and although some gained marks by ecf few obtained the correct answer -125. Candidates also had difficulty explaining why the process was exothermic in terms of the relative strengths of the bonds being made and broken.

b.iv.

Part (c) was also based in organic chemistry and although most candidates could suggest bromine as a test for unsaturation, they did not all state a correct test result.

Candidates must make sure that they state that the bromine becomes colourless and not clear. Many realised that propene polymerises by addition polymerisation but few could successfully draw the structure of the repeating unit. Also few could suggest a reaction of alkenes of economic importance- such as hydration to make alcohols.

c.i.

Part (c) was also based in organic chemistry and although most candidates could suggest bromine as a test for unsaturation, they did not all state a correct test result.

Candidates must make sure that they state that the bromine becomes colourless and not clear. Many realised that propene polymerises by addition polymerisation but few could successfully draw the structure of the repeating unit. Also few could suggest a reaction of alkenes of economic importance- such as hydration to make alcohols.

c.ii.

Part (c) was also based in organic chemistry and although most candidates could suggest bromine as a test for unsaturation, they did not all state a correct test result.

Candidates must make sure that they state that the bromine becomes colourless and not clear. Many realised that propene polymerises by addition polymerisation but few could successfully draw the structure of the repeating unit. Also few could suggest a reaction of alkenes of economic importance- such as hydration to make alcohols.

c.iii.



Factors that affect the rate of a chemical reaction include particle size, concentration of reactants and the temperature of the reaction.

Propan-1-ol and propan-2-ol are two structural isomers of \({{\text{C}}_{\text{3}}}{{\text{H}}_{\text{8}}}{\text{O}}\).

Define the term rate of a chemical reaction.

[1]
a.i.

List the three characteristic properties of reactant particles which affect the rate of reaction as described by the collision theory.

[3]
a.ii.

On the axes below sketch two Maxwell-Boltzmann energy distribution curves for the same sample of gas, one at a temperature \(T\) and another at a higher temperature \(T'\). Label both axes. Explain why raising the temperature increases the rate of a chemical reaction.

M11/4/CHEMI/SP2/ENG/TZ2/07.a.iii

[5]
a.iii.

Explain why coal dust burns much faster than a large piece of coal with the same mass.

[1]
a.iv.

State the equation for the complete combustion of \({{\text{C}}_{\text{3}}}{{\text{H}}_{\text{8}}}{\text{O}}\).

[2]
b.i.

Both propan-1-ol and propan-2-ol can be oxidized in aqueous solution by potassium dichromate(VI). State any necessary conditions for the oxidation to occur and describe the colour change during the oxidation process.

[3]
b.ii.

State the name(s) and structure(s) of the organic product(s) that can be formed when each of the alcohols is oxidized and suggest why one of the alcohols gives two organic products and the other only gives one organic product.

[5]
b.iii.

Markscheme

increase in concentration of product per unit time / decrease in concentration of reactant per unit time;

Accept change instead of increase/decrease and mass/amount/volume instead of concentration.

a.i.

frequency of collisions;

kinetic energy/speed of reactant particles;

collision geometry/orientation;

a.ii.

M11/4/CHEMI/SP2/ENG/TZ2/07.a.iii/M

correctly labelled axes showing number of particles/frequency against (kinetic) energy;

correctly shaped graph for \(T\) (curve must not touch or cross x axes);

\(T'\) curve to the right of \(T\) and with a peak lower than \(T\);

increasing the temperature increases the (kinetic) energy of the particles / more particles will possess the necessary activation energy;

there will be more collisions per unit time / the frequency of collisions increases / there are more successful collisions;

a.iii.

the dust has a greatly increased surface area / more of the coal can come into contact with the oxygen molecules when it is in dust form / OWTTE;

a.iv.

\({{\text{C}}_3}{{\text{H}}_8}{\text{O}} + {\text{4}}\frac{1}{2}{{\text{O}}_2} \to {\text{3C}}{{\text{O}}_2} + {\text{4}}{{\text{H}}_2}{\text{O}}/{\text{2}}{{\text{C}}_3}{{\text{H}}_8}{\text{O}} + {\text{9}}{{\text{O}}_2} \to {\text{6C}}{{\text{O}}_2} + {\text{8}}{{\text{H}}_2}{\text{O}}\)

Award [1] for correct products and reactants and [1] for correct balancing.

Ignore state symbols.

b.i.

acidic solution / \({{\text{H}}^ + }\) / sulfuric acid;

warm / heat / reflux;

(the solution changes) from orange to green;

b.ii.

\({\text{C}}{{\text{H}}_3}{\text{C}}{{\text{H}}_2}{\text{CHO}}\) and propanal;

\({\text{C}}{{\text{H}}_3}{\text{C}}{{\text{H}}_2}{\text{COOH}}\) and propanoic acid;

\({\text{C}}{{\text{H}}_3}{\text{COC}}{{\text{H}}_3}\) and propanone/acetone;

Award [1] for 2 or 3 correct names or structures, award [2] for 4 or 5 correct names or structures.

propan-1-ol gives propanal and propanoic acid and propan-2-ol gives propanone;

propan-1-ol has two H atoms bonded to the C containing the –OH whereas propan-2-ol only has one / propan-1-ol is a primary alcohol and propan-2-ol is a secondary alcohol;

b.iii.

Examiners report

This question began with kinetics and although many did well, there were also a lot of marks lost. Some did not have a correct definition of rate of reaction and many misread the question that asked for the properties of reactant particles that affect rate. Many candidates talked about surface area, concentration etc as opposed to collision frequency, collision geometry and reactant particle kinetic energy. The Maxwell-Bolzmann energy curves were drawn very badly and even candidates who could do it lost marks for the sloppy drawing of the curves e.g curves did not start at the origin or they crossed the x axis.

Also candidates could not label the axes correctly. However most could suggest that coal dust burns faster as it has a larger surface area.

a.i.

This question began with kinetics and although many did well, there were also a lot of marks lost. Some did not have a correct definition of rate of reaction and many misread the question that asked for the properties of reactant particles that affect rate. Many candidates talked about surface area, concentration etc as opposed to collision frequency, collision geometry and reactant particle kinetic energy. The Maxwell-Bolzmann energy curves were drawn very badly and even candidates who could do it lost marks for the sloppy drawing of the curves e.g curves did not start at the origin or they crossed the x axis.

Also candidates could not label the axes correctly. However most could suggest that coal dust burns faster as it has a larger surface area.

a.ii.

This question began with kinetics and although many did well, there were also a lot of marks lost. Some did not have a correct definition of rate of reaction and many misread the question that asked for the properties of reactant particles that affect rate. Many candidates talked about surface area, concentration etc as opposed to collision frequency, collision geometry and reactant particle kinetic energy. The Maxwell-Bolzmann energy curves were drawn very badly and even candidates who could do it lost marks for the sloppy drawing of the curves e.g curves did not start at the origin or they crossed the x axis.

Also candidates could not label the axes correctly. However most could suggest that coal dust burns faster as it has a larger surface area.

a.iii.

This question began with kinetics and although many did well, there were also a lot of marks lost. Some did not have a correct definition of rate of reaction and many misread the question that asked for the properties of reactant particles that affect rate. Many candidates talked about surface area, concentration etc as opposed to collision frequency, collision geometry and reactant particle kinetic energy. The Maxwell-Bolzmann energy curves were drawn very badly and even candidates who could do it lost marks for the sloppy drawing of the curves e.g curves did not start at the origin or they crossed the x axis.

Also candidates could not label the axes correctly. However most could suggest that coal dust burns faster as it has a larger surface area.

a.iv.

Part (b) was based on organic chemistry and most candidates knew that the products of combusting propan-2-ol were carbon dioxide and water- although few could balance the equation correctly. In the next part of the question the colour change from orange to green was well known, but the necessary conditions of reflux and acidifying the dichromate were not. The final part of this question was often done very well and many candidates could draw the structures of the 3 oxidation products and name them.

b.i.

Part (b) was based on organic chemistry and most candidates knew that the products of combusting propan-2-ol were carbon dioxide and water- although few could balance the equation correctly. In the next part of the question the colour change from orange to green was well known, but the necessary conditions of reflux and acidifying the dichromate were not. The final part of this question was often done very well and many candidates could draw the structures of the 3 oxidation products and name them.

b.ii.

Part (b) was based on organic chemistry and most candidates knew that the products of combusting propan-2-ol were carbon dioxide and water- although few could balance the equation correctly. In the next part of the question the colour change from orange to green was well known, but the necessary conditions of reflux and acidifying the dichromate were not. The final part of this question was often done very well and many candidates could draw the structures of the 3 oxidation products and name them.

b.iii.



Consider the following reaction taking place at 375 °C in a \({\text{1.00 d}}{{\text{m}}^{\text{3}}}\) closed container.

\[\begin{array}{*{20}{l}} {{\text{C}}{{\text{l}}_{\text{2}}}{\text{(g)}} + {\text{S}}{{\text{O}}_{\text{2}}}{\text{(g)}} \rightleftharpoons {\text{S}}{{\text{O}}_{\text{2}}}{\text{C}}{{\text{l}}_{\text{2}}}{\text{(g)}}}&{\Delta {H^\Theta } = - 84.5{\text{ kJ}}} \end{array}\]

A solution of hydrogen peroxide, \({{\text{H}}_{\text{2}}}{{\text{O}}_{\text{2}}}\), is added to a solution of sodium iodide, NaI, acidified with hydrochloric acid, HCl. The yellow colour of the iodine, \({{\text{I}}_{\text{2}}}\), can be used to determine the rate of reaction.

\[{{\text{H}}_2}{{\text{O}}_2}{\text{(aq)}} + {\text{2NaI(aq)}} + {\text{2HCl(aq)}} \to {\text{2NaCl(aq)}} + {{\text{I}}_2}{\text{(aq)}} + {\text{2}}{{\text{H}}_2}{\text{O(l)}}\]

The experiment is repeated with some changes to the reaction conditions. For each of the changes that follow, predict, stating a reason, its effect on the rate of reaction.

Deduce the equilibrium constant expression, \({K_{\text{c}}}\), for the reaction.

[1]
a.i.

If the temperature of the reaction is changed to 300 °C, predict, stating a reason in each case, whether the equilibrium concentration of \({\text{S}}{{\text{O}}_{\text{2}}}{\text{C}}{{\text{l}}_{\text{2}}}\) and the value of \({K_{\text{c}}}\) will increase or decrease.

[3]
a.ii.

If the volume of the container is changed to \({\text{1.50 d}}{{\text{m}}^{\text{3}}}\), predict, stating a reason in each case, how this will affect the equilibrium concentration of \({\text{S}}{{\text{O}}_{\text{2}}}{\text{C}}{{\text{l}}_{\text{2}}}\) and the value of \({K_{\text{c}}}\).

[3]
a.iii.

Suggest, stating a reason, how the addition of a catalyst at constant pressure and temperature will affect the equilibrium concentration of \({\text{S}}{{\text{O}}_{\text{2}}}{\text{C}}{{\text{l}}_{\text{2}}}\).

[2]
a.iv.

Graphing is an important method in the study of the rates of chemical reaction. Sketch a graph to show how the reactant concentration changes with time in a typical chemical reaction taking place in solution. Show how the rate of the reaction at a particular time can be determined.

[4]
b.

The concentration of \({{\text{H}}_{\text{2}}}{{\text{O}}_{\text{2}}}\) is increased at constant temperature.

[2]
c.i.

The solution of NaI is prepared from a fine powder instead of large crystals.

[2]
c.ii.

Explain why the rate of a reaction increases when the temperature of the system increases.

[3]
d.

Markscheme

\(({K_{\text{c}}}) = \frac{{{\text{[S}}{{\text{O}}_2}{\text{C}}{{\text{l}}_2}{\text{]}}}}{{{\text{[C}}{{\text{l}}_2}{\text{][S}}{{\text{O}}_2}{\text{]}}}}\);

Ignore state symbols.

Square brackets [ ] required for the equilibrium expression.

a.i.

value of \({K_{\text{c}}}\) increases;

\({\text{[S}}{{\text{O}}_2}{\text{C}}{{\text{l}}_2}{\text{]}}\) increases;

decrease in temperature favours (forward) reaction which is exothermic;

Do not allow ECF.

a.ii.

no effect on the value of \({K_{\text{c}}}\) / depends only on temperature;

\({\text{[S}}{{\text{O}}_2}{\text{C}}{{\text{l}}_2}{\text{]}}\) decreases;

increase in volume favours the reverse reaction which has more gaseous moles;

Do not allow ECF.

a.iii.

no effect;

catalyst increases the rate of forward and reverse reactions (equally) / catalyst decreases activation energies (equally);

a.iv.

N09/4/CHEMI/SP2/ENG/TZ0/05.b/M

labelled axes (including appropriate units);

correctly drawn curve;

correctly drawn tangent;

rate equal to slope/gradient of tangent (at given time) / rate \( = \frac{y}{x}\) at time \(t\);

[3 max] for straight line graph or graph showing product formation.

b.

increases rate of reaction;

molecules (of \({{\text{H}}_2}{{\text{O}}_2}\)) collide more frequently / more collisions per unit time;

No ECF here.

c.i.

no effect / (solution) remains unchanged;

solid NaI is not reacting / aqueous solution of NaI is reacting / surface area of NaI is not relevant in preparing the solution / OWTTE;

c.ii.

kinetic energy/speed of reacting molecules increases;

frequency of collisions increases per unit time;

greater proportion of molecules have energy greater than activation energy/\({E_{\text{a}}}\);

Accept more energetic collisions.

d.

Examiners report

This was the most popular question in Section B and there was a generally pleasing level of performance. In (a)(i) most candidates were able to correctly deduce the equilibrium constant.

a.i.

In (ii) most candidates realized the exothermic reaction would be favoured, and gained full marks for their explanation. However, some candidates seemed not to appreciate that the specified temperature of 300 °C was lower than the original, and so based their answers on a temperature increase.

a.ii.

In (iii) most forgot to mention the word gaseous when talking about the particles and many forgot that \({K_{\text{c}}}\) is only affected by temperature.

a.iii.

In (iv) candidates correctly stated that concentration would not change and stated that reaction rates of both forward and reverse reactions would be affected equally. However, some answered ‘the addition of a catalyst does not affect \({K_{\text{c}}}\) or the position of equilibrium’ which did not answer the question and scored no marks as they had not commented on the concentration of \({\text{SOC}}{{\text{l}}_{\text{2}}}\).

a.iv.

For (b), although most students were able to correctly sketch the reactant concentration / time graph by labeling the axes and drawing an appropriate curve, some candidates incorrectly read the question and sketched product / concentration time curve. Drawing a tangent to determine the rate was not well known and only some were able to describe how the rate at a particular instant could be determined from the tangent to the curve.

b.

In (c), most scored the marks in (i) and were able to correctly describe the effect of concentration on rate in terms of collision theory, although some forgot to mention the frequency of the collisions just stating there would be more.

c.i.

In part (ii), most candidates assumed that the rate would increase with surface area of the solute, and few realized that once the sodium iodide was in solution then the particle size of the solid used to make it was not relevant as it is the solution which reacts.

c.ii.

Part (d) was well answered but some candidates lost marks due to imprecise responses. For example it is the kinetic energy that increases with temperature, not energy. Also there were some errors such as the omission of the idea of frequency when referring to collisions and the belief that an increase in temperature caused a decrease in activation energy.

d.



Ethene belongs to the homologous series of the alkenes.

A bromoalkane, \({{\text{C}}_{\text{4}}}{{\text{H}}_{\text{9}}}{\text{Br}}\), reacts with a warm, aqueous sodium hydroxide solution, NaOH.

The time taken to produce a certain amount of product using different initial concentrations of \({{\text{C}}_{\text{4}}}{{\text{H}}_{\text{9}}}{\text{Br}}\) and NaOH is measured. The results are shown in the following table.

M13/4/CHEMI/SP2/ENG/TZ1/08.c

Outline three features of a homologous series.

[3]
a.i.

Describe a test to distinguish ethene from ethane, including what is observed in each case.

[2]
a.ii.

Bromoethane can be produced either from ethene or from ethane. State an equation for each reaction.

[2]
a.iii.

State the equation for the reaction of \({{\text{C}}_{\text{4}}}{{\text{H}}_{\text{9}}}{\text{Br}}\) with NaOH.

[1]
b.i.

Suggest what would happen to the pH of the solution as the reaction proceeds.

[1]
b.ii.

Deduce the effect of the concentration of \({{\text{C}}_{\text{4}}}{{\text{H}}_{\text{9}}}{\text{Br}}\) and NaOH on the rate of reaction.

 

C4H9Br:

 

 

NaOH:

[2]
c.i.

Suggest why warm sodium hydroxide solution is used.

[1]
c.ii.

Deduce whether C4H9Br is a primary or tertiary halogenoalkane.

[2]
c.iii.

Determine the structural formula of C4H9Br.

[1]
c.iv.

Describe, using an equation, how \({{\text{C}}_{\text{4}}}{{\text{H}}_{\text{9}}}{\text{Br}}\) can be converted into \({{\text{C}}_{\text{4}}}{{\text{H}}_{\text{8}}}{\text{B}}{{\text{r}}_{\text{2}}}\).

[1]
c.v.

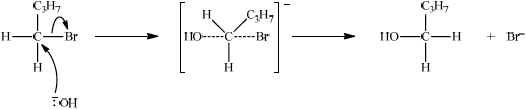
Explain the mechanism for the reaction in (c) of \({{\text{C}}_{\text{4}}}{{\text{H}}_{\text{9}}}{\text{Br}}\) with NaOH, using curly arrows to represent the movement of electron pairs.

[4]
d.

Markscheme

same functional group / same general formula;

difference between successive members is \({\text{C}}{{\text{H}}_{\text{2}}}\);

similar chemical properties;

Do not accept “same” chemical properties.

gradually changing physical properties;

a.i.

adding bromine (water);

ethene: brown/orange to colourless / decolourizes bromine water and

ethane: does not change colour;

OR

adding acidified potassium permanganate solution/\({\text{KMn}}{{\text{O}}_{\text{4}}}{\text{(aq)}}\);

ethene: purple to colourless/brown and

ethane: does not change colour;

OR

adding Baeyer’s reagent;

ethene: purple/pink to brown and

ethane: does not change colour;

Do not accept “clear” or “transparent” for “colourless”.

a.ii.

\({{\text{C}}_{\text{2}}}{{\text{H}}_{\text{4}}} + {\text{HBr}} \to {{\text{C}}_{\text{2}}}{{\text{H}}_{\text{5}}}{\text{Br}}\);

\({{\text{C}}_2}{{\text{H}}_6} + {\text{B}}{{\text{r}}_2} \to {{\text{C}}_2}{{\text{H}}_5}{\text{Br}} + {\text{HBr}}\);

Accept structural formulas.

Penalise missing H atoms or incorrect bonds (such as C–HO, C–H2C) in structural formulas only once in the paper.

a.iii.

\({{\text{C}}_4}{{\text{H}}_9}{\text{Br}} + {\text{O}}{{\text{H}}^ - } \to {{\text{C}}_4}{{\text{H}}_9}{\text{OH}} + {\text{B}}{{\text{r}}^ - }\);

Accept NaOH in the equation.

b.i.

decreases;

b.ii.

C4H9Br:

[C4H9Br] doubles and time halves/rate doubles / rate proportional to [C4H9Br];

Do not accept rate increases when [C4H9Br] increases.

NaOH:

[NaOH] doubles and time/rate does not change / rate independent of [NaOH];

c.i.

increases rate;

Accept increases number of collisions.

c.ii.

rate depends on \({\text{[}}{{\text{C}}_{\text{4}}}{{\text{H}}_{\text{9}}}{\text{Br]}}\) only / rate does not depend on \({\text{[O}}{{\text{H}}^ - }{\text{]}}\) / \({{\text{S}}_{\text{N}}}{\text{1}}\) reaction /

first order reaction / if it was primary, reaction would be \({{\text{S}}_{\text{N}}}{\text{2}}\);

tertiary;

Accept ECF.

c.iii.

\({{\text{(C}}{{\text{H}}_{\text{3}}}{\text{)}}_{\text{3}}}{\text{CBr}}\);

Allow both condensed and full structural formula.

Accept ECF.

c.iv.

\({{\text{C}}_{\text{4}}}{{\text{H}}_{\text{9}}}{\text{Br}} + {\text{B}}{{\text{r}}_{\text{2}}} \to {{\text{C}}_{\text{4}}}{{\text{H}}_{\text{8}}}{\text{B}}{{\text{r}}_{\text{2}}} + {\text{HBr}}\);

c.v.

M13/4/CHEMI/SP2/ENG/TZ1/08.d_1/M

curly arrow showing \({\text{B}}{{\text{r}}^ - }\) leaving;

representation of tertiary carbocation;

curly arrow going from lone pair/negative charge on O in \(^ - {\text{OH}}\) to \({{\text{C}}^ + }\);

Do not allow arrow originating on H in OH.

formation of \({{\text{(C}}{{\text{H}}_{\text{3}}}{\text{)}}_{\text{3}}}{\text{COH}}\) and \({\text{B}}{{\text{r}}^ - }\);

Accept Br anywhere on product side in the reaction scheme.

If primary halogenoalkane has been answered in (c)(iii) apply ECF for the mechanism:

M13/4/CHEMI/SP2/ENG/TZ1/08.d_2/M

curly arrow going from lone pair/negative charge on O in \(^ - {\text{OH}}\) to C;

Do not allow curly arrow originating on H in OH.

curly arrow showing \({\text{B}}{{\text{r}}^ - }\) leaving;

Accept curly arrow either going from bond between C and Br to Br in bromobutane or in the transition state.

representation of transition state showing negative charge, square brackets and partial bond;

Do not penalize if HO and Br are not at 180° to each other.

Do not award M3 if OH—C bond is represented.

formation of organic product \({{\text{C}}_{\text{4}}}{{\text{H}}_{\text{9}}}{\text{OH}}\) and \({\text{B}}{{\text{r}}^ - }\);

Accept Branywhere on product side in the reaction scheme.

d.

Examiners report

Students had surprisingly difficulties to name the features of a homologous series. Common mistakes were to say SAME chemical or physical properties or same empirical/molecular/structural formula.

a.i.

Most candidates did well describing the test to distinguish alkanes and alkenes.

a.ii.

The formation of dibromobutane was a common error.

a.iii.

The equation for the reaction of the \({{\text{C}}_{\text{4}}}{{\text{H}}_{\text{9}}}{\text{Br}}\) with NaOH presented no problem.

b.i.

Some did not realize that pH decreases as NaOH is reacting, often referring as the pH would become more neutral.

b.ii.

Candidates could deduce that the concentration of NaOH does not affect the rate, but could not accurately explain and quantify the relationship between the concentration of C4H9Br and the rate of reaction. Time and rate were often confused.

c.i.

This was well answered.

c.ii.

Very few candidates could relate rate information to deduce that \({{\text{C}}_{\text{4}}}{{\text{H}}_{\text{9}}}{\text{Br}}\) was tertiary.

c.iii.

The structural formula was generally gained by ECF.

c.iv.

Students did not have problems with the equation.

c.v.

Mechanism with curly arrows was done very poorly, students confused \({{\text{S}}_{\text{N}}}{\text{1}}\) and \({{\text{S}}_{\text{N}}}{\text{2}}\) mechanisms, drew arrows that did not show clearly origin and end or did not draw any arrow at all.

d.



A class studied the equilibrium established when ethanoic acid and ethanol react together in the presence of a strong acid, using propanone as an inert solvent. The equation is given below.

\[{\text{C}}{{\text{H}}_{\text{3}}}{\text{COOH}} + {{\text{C}}_{\text{2}}}{{\text{H}}_{\text{5}}}{\text{OH}} \rightleftharpoons {\text{C}}{{\text{H}}_{\text{3}}}{\text{COO}}{{\text{C}}_{\text{2}}}{{\text{H}}_{\text{5}}} + {{\text{H}}_{\text{2}}}{\text{O}}\]

One group made the following initial mixture:

M14/4/CHEMI/SP2/ENG/TZ2/01

After one week, a \(5.00 \pm 0.05{\text{ c}}{{\text{m}}^{\text{3}}}\) sample of the final equilibrium mixture was pipetted out and titrated with \({\text{0.200 mol}}\,{\text{d}}{{\text{m}}^{ - 2}}\) aqueous sodium hydroxide to determine the amount of ethanoic acid remaining. The following titration results were obtained:

M14/4/CHEMI/SP2/ENG/TZ2/01.d

The density of ethanoic acid is \({\text{1.05 g}}\,{\text{c}}{{\text{m}}^{ - 3}}\). Determine the amount, in mol, of ethanoic acid present in the initial mixture.

[3]
a.

The hydrochloric acid does not appear in the balanced equation for the reaction. State its function.

[1]
b.

Identify the liquid whose volume has the greatest percentage uncertainty.

[1]
c.

(i)     Calculate the absolute uncertainty of the titre for Titration 1 (\({\text{27.60 c}}{{\text{m}}^{\text{3}}}\)).

 

(ii)     Suggest the average volume of alkali, required to neutralize the \({\text{5.00 c}}{{\text{m}}^{\text{3}}}\) sample, that the student should use.

 

 

(iii)     \({\text{23.00 c}}{{\text{m}}^{\text{3}}}\) of this \({\text{0.200 mol}}\,{\text{d}}{{\text{m}}^{ - 3}}\) aqueous sodium hydroxide reacted with the ethanoic acid in the \({\text{5.00 c}}{{\text{m}}^{\text{3}}}\) sample. Determine the amount, in mol, of ethanoic acid present in the \({\text{50.0 c}}{{\text{m}}^{\text{3}}}\) of final equilibrium mixture.

[4]
d.

Referring back to your answer for part (a), calculate the percentage of ethanoic acid converted to ethyl ethanoate.

[1]
e.

Deduce the equilibrium constant expression for the reaction.

[1]
f.

Outline how you could establish that the system had reached equilibrium at the end of one week.

[1]
g.

Outline why changing the temperature has only a very small effect on the value of the equilibrium constant for this equilibrium.

[1]
h.

Outline how adding some ethyl ethanoate to the initial mixture would affect the amount of ethanoic acid converted to product.

[2]
i.

Propanone is used as the solvent because one compound involved in the equilibrium is insoluble in water. Identify this compound and explain why it is insoluble in water.

[2]
j.

Suggest one other reason why using water as a solvent would make the experiment less successful.

[1]
k.

Markscheme

\({\text{M(C}}{{\text{H}}_3}{\text{COOH)}}\left( { = (4 \times 1.01) + (2 \times 12.01) + (2 \times 16.00)} \right) = 60.06{\text{ (g}}\,{\text{mo}}{{\text{l}}^{ - 1}}{\text{)}}\);

Accept 60 (g mol–1).

\({\text{mass (C}}{{\text{H}}_3}{\text{COOH)}}( = 5.00 \times 1.05) = 5.25{\text{ (g)}}\);

\(\frac{{5.25}}{{{\text{60.06}}}} = 0.0874{\text{ (mol)}}\);

Award [3] for correct final answer.

Accept 0.0875 (comes from using Mr = 60 g mol–1).

a.

catalyst / OWTTE;

b.

hydrochloric acid/HCl;

c.

(i)     \( \pm 0.1/0.10{\text{ (c}}{{\text{m}}^3}{\text{)}}\);

Do not accept without ±.

(ii)     \({\text{26.00 (c}}{{\text{m}}^3}{\text{)}}\);

(iii)     \(0.200 \times \frac{{23.00}}{{1000}} = 0.0046\);

\({\text{0.0046}} \times \frac{{{\text{50.0}}}}{{{\text{5.00}}}} = {\text{0.0460 (mol)}}\);

d.

\(\frac{{0.0874 - 0.0460}}{{0.0874}} \times 100 = 47.4\% \);

e.

\({\text{(}}{K_{\text{c}}} = {\text{)}}\frac{{{\text{[C}}{{\text{H}}_3}{\text{COO}}{{\text{C}}_2}{{\text{H}}_3}{\text{][}}{{\text{H}}_2}{\text{O]}}}}{{{\text{[}}{{\text{C}}_2}{{\text{H}}_5}{\text{OH][C}}{{\text{H}}_3}{\text{COOH]}}}}\);

Do not penalize minor errors in formulas.

Accept \({\text{(}}{K_{\text{c}}} = {\text{)}}\frac{{{\text{[}}ester{\text{][}}water{\text{]}}}}{{{\text{[}}ethanol / alcohol{\text{][(}}ethanoic{\text{)}} acid{\text{]}}}}\).

f.

repeat the titration a day/week later (and result should be the same) / OWTTE;

Accept “concentrations/physical properties/macroscopic properties of the system do not change”.

g.

enthalpy change/\(\Delta H\) for the reaction is (very) small / OWTTE;

h.

decreases (the amount of ethanoic acid converted);

Accept “increases amount of ethanoic acid present at equilibrium” / OWTTE.

(adding product) shifts position of equilibrium towards reactants/LHS / increases the rate of the reverse reaction / OWTTE;

i.

ethyl ethanoate/\({\text{C}}{{\text{H}}_{\text{3}}}{\text{COO}}{{\text{C}}_{\text{2}}}{{\text{H}}_{\text{5}}}\);

forms only weak hydrogen bonds (to water);

Allow “does not hydrogen bond to water” / “hydrocarbon sections too long” / OWTTE.

M2 can only be given only if M1 correct.

j.

(large excess of) water will shift the position of equilibrium (far to the left) / OWTTE;

Accept any other chemically sound response, such as “dissociation of ethanoic acid would affect equilibrium”.

k.

Examiners report

Generally candidates found some elements of this question quite challenging but there were accessible marks of even the weakest candidates. The majority of students were able to determine the molar mass of ethanoic acid but some struggled to calculate the mass from the volume. Most candidates were able to identify the role of hydrochloric acid as a catalyst but some struggled to identify the liquid whose volume had the greatest uncertainty. Most candidates were able to calculate the absolute uncertainty of the titre but some lost a mark by omitting the \( + \)/\( - \) sign. Candidates did not identify the first titre as incongruent and simply averaged the three values which perhaps suggests limited experimental experience. Most students could determine an equilibrium constant expression, but many did not answer the question in (g) and did not suggest how the equilibrium could be established experimentally with many referring to the equal rate of the forward and backward reaction. Many candidates were aware of Le Chatelier effects on the position of equilibrium, but a significant number failed to use this information to answer the question asked and could not explain the small effect of temperature changes. Whilst most students managed to identify the ester as the component of the mixture that was insoluble in water, many did not refer to its inability to form strong hydrogen bonds to water which was necessary for the mark. Quite a number of students came up with a valid reason why water would not be a suitable though some students appeared to have overlooked that the question asked for “one other reason” than that implied in (j).

a.

Generally candidates found some elements of this question quite challenging but there were accessible marks of even the weakest candidates. The majority of students were able to determine the molar mass of ethanoic acid but some struggled to calculate the mass from the volume. Most candidates were able to identify the role of hydrochloric acid as a catalyst but some struggled to identify the liquid whose volume had the greatest uncertainty. Most candidates were able to calculate the absolute uncertainty of the titre but some lost a mark by omitting the \( + \)/\( - \) sign. Candidates did not identify the first titre as incongruent and simply averaged the three values which perhaps suggests limited experimental experience. Most students could determine an equilibrium constant expression, but many did not answer the question in (g) and did not suggest how the equilibrium could be established experimentally with many referring to the equal rate of the forward and backward reaction. Many candidates were aware of Le Chatelier effects on the position of equilibrium, but a significant number failed to use this information to answer the question asked and could not explain the small effect of temperature changes. Whilst most students managed to identify the ester as the component of the mixture that was insoluble in water, many did not refer to its inability to form strong hydrogen bonds to water which was necessary for the mark. Quite a number of students came up with a valid reason why water would not be a suitable though some students appeared to have overlooked that the question asked for “one other reason” than that implied in (j).

b.

Generally candidates found some elements of this question quite challenging but there were accessible marks of even the weakest candidates. The majority of students were able to determine the molar mass of ethanoic acid but some struggled to calculate the mass from the volume. Most candidates were able to identify the role of hydrochloric acid as a catalyst but some struggled to identify the liquid whose volume had the greatest uncertainty. Most candidates were able to calculate the absolute uncertainty of the titre but some lost a mark by omitting the \( + \)/\( - \) sign. Candidates did not identify the first titre as incongruent and simply averaged the three values which perhaps suggests limited experimental experience. Most students could determine an equilibrium constant expression, but many did not answer the question in (g) and did not suggest how the equilibrium could be established experimentally with many referring to the equal rate of the forward and backward reaction. Many candidates were aware of Le Chatelier effects on the position of equilibrium, but a significant number failed to use this information to answer the question asked and could not explain the small effect of temperature changes. Whilst most students managed to identify the ester as the component of the mixture that was insoluble in water, many did not refer to its inability to form strong hydrogen bonds to water which was necessary for the mark. Quite a number of students came up with a valid reason why water would not be a suitable though some students appeared to have overlooked that the question asked for “one other reason” than that implied in (j).

c.

Generally candidates found some elements of this question quite challenging but there were accessible marks of even the weakest candidates. The majority of students were able to determine the molar mass of ethanoic acid but some struggled to calculate the mass from the volume. Most candidates were able to identify the role of hydrochloric acid as a catalyst but some struggled to identify the liquid whose volume had the greatest uncertainty. Most candidates were able to calculate the absolute uncertainty of the titre but some lost a mark by omitting the \( + \)/\( - \) sign. Candidates did not identify the first titre as incongruent and simply averaged the three values which perhaps suggests limited experimental experience. Most students could determine an equilibrium constant expression, but many did not answer the question in (g) and did not suggest how the equilibrium could be established experimentally with many referring to the equal rate of the forward and backward reaction. Many candidates were aware of Le Chatelier effects on the position of equilibrium, but a significant number failed to use this information to answer the question asked and could not explain the small effect of temperature changes. Whilst most students managed to identify the ester as the component of the mixture that was insoluble in water, many did not refer to its inability to form strong hydrogen bonds to water which was necessary for the mark. Quite a number of students came up with a valid reason why water would not be a suitable though some students appeared to have overlooked that the question asked for “one other reason” than that implied in (j).

d.

Generally candidates found some elements of this question quite challenging but there were accessible marks of even the weakest candidates. The majority of students were able to determine the molar mass of ethanoic acid but some struggled to calculate the mass from the volume. Most candidates were able to identify the role of hydrochloric acid as a catalyst but some struggled to identify the liquid whose volume had the greatest uncertainty. Most candidates were able to calculate the absolute uncertainty of the titre but some lost a mark by omitting the \( + \)/\( - \) sign. Candidates did not identify the first titre as incongruent and simply averaged the three values which perhaps suggests limited experimental experience. Most students could determine an equilibrium constant expression, but many did not answer the question in (g) and did not suggest how the equilibrium could be established experimentally with many referring to the equal rate of the forward and backward reaction. Many candidates were aware of Le Chatelier effects on the position of equilibrium, but a significant number failed to use this information to answer the question asked and could not explain the small effect of temperature changes. Whilst most students managed to identify the ester as the component of the mixture that was insoluble in water, many did not refer to its inability to form strong hydrogen bonds to water which was necessary for the mark. Quite a number of students came up with a valid reason why water would not be a suitable though some students appeared to have overlooked that the question asked for “one other reason” than that implied in (j).

e.

Generally candidates found some elements of this question quite challenging but there were accessible marks of even the weakest candidates. The majority of students were able to determine the molar mass of ethanoic acid but some struggled to calculate the mass from the volume. Most candidates were able to identify the role of hydrochloric acid as a catalyst but some struggled to identify the liquid whose volume had the greatest uncertainty. Most candidates were able to calculate the absolute uncertainty of the titre but some lost a mark by omitting the \( + \)/\( - \) sign. Candidates did not identify the first titre as incongruent and simply averaged the three values which perhaps suggests limited experimental experience. Most students could determine an equilibrium constant expression, but many did not answer the question in (g) and did not suggest how the equilibrium could be established experimentally with many referring to the equal rate of the forward and backward reaction. Many candidates were aware of Le Chatelier effects on the position of equilibrium, but a significant number failed to use this information to answer the question asked and could not explain the small effect of temperature changes. Whilst most students managed to identify the ester as the component of the mixture that was insoluble in water, many did not refer to its inability to form strong hydrogen bonds to water which was necessary for the mark. Quite a number of students came up with a valid reason why water would not be a suitable though some students appeared to have overlooked that the question asked for “one other reason” than that implied in (j).

f.

Generally candidates found some elements of this question quite challenging but there were accessible marks of even the weakest candidates. The majority of students were able to determine the molar mass of ethanoic acid but some struggled to calculate the mass from the volume. Most candidates were able to identify the role of hydrochloric acid as a catalyst but some struggled to identify the liquid whose volume had the greatest uncertainty. Most candidates were able to calculate the absolute uncertainty of the titre but some lost a mark by omitting the \( + \)/\( - \) sign. Candidates did not identify the first titre as incongruent and simply averaged the three values which perhaps suggests limited experimental experience. Most students could determine an equilibrium constant expression, but many did not answer the question in (g) and did not suggest how the equilibrium could be established experimentally with many referring to the equal rate of the forward and backward reaction. Many candidates were aware of Le Chatelier effects on the position of equilibrium, but a significant number failed to use this information to answer the question asked and could not explain the small effect of temperature changes. Whilst most students managed to identify the ester as the component of the mixture that was insoluble in water, many did not refer to its inability to form strong hydrogen bonds to water which was necessary for the mark. Quite a number of students came up with a valid reason why water would not be a suitable though some students appeared to have overlooked that the question asked for “one other reason” than that implied in (j).

g.

Generally candidates found some elements of this question quite challenging but there were accessible marks of even the weakest candidates. The majority of students were able to determine the molar mass of ethanoic acid but some struggled to calculate the mass from the volume. Most candidates were able to identify the role of hydrochloric acid as a catalyst but some struggled to identify the liquid whose volume had the greatest uncertainty. Most candidates were able to calculate the absolute uncertainty of the titre but some lost a mark by omitting the \( + \)/\( - \) sign. Candidates did not identify the first titre as incongruent and simply averaged the three values which perhaps suggests limited experimental experience. Most students could determine an equilibrium constant expression, but many did not answer the question in (g) and did not suggest how the equilibrium could be established experimentally with many referring to the equal rate of the forward and backward reaction. Many candidates were aware of Le Chatelier effects on the position of equilibrium, but a significant number failed to use this information to answer the question asked and could not explain the small effect of temperature changes. Whilst most students managed to identify the ester as the component of the mixture that was insoluble in water, many did not refer to its inability to form strong hydrogen bonds to water which was necessary for the mark. Quite a number of students came up with a valid reason why water would not be a suitable though some students appeared to have overlooked that the question asked for “one other reason” than that implied in (j).

h.

Generally candidates found some elements of this question quite challenging but there were accessible marks of even the weakest candidates. The majority of students were able to determine the molar mass of ethanoic acid but some struggled to calculate the mass from the volume. Most candidates were able to identify the role of hydrochloric acid as a catalyst but some struggled to identify the liquid whose volume had the greatest uncertainty. Most candidates were able to calculate the absolute uncertainty of the titre but some lost a mark by omitting the \( + \)/\( - \) sign. Candidates did not identify the first titre as incongruent and simply averaged the three values which perhaps suggests limited experimental experience. Most students could determine an equilibrium constant expression, but many did not answer the question in (g) and did not suggest how the equilibrium could be established experimentally with many referring to the equal rate of the forward and backward reaction. Many candidates were aware of Le Chatelier effects on the position of equilibrium, but a significant number failed to use this information to answer the question asked and could not explain the small effect of temperature changes. Whilst most students managed to identify the ester as the component of the mixture that was insoluble in water, many did not refer to its inability to form strong hydrogen bonds to water which was necessary for the mark. Quite a number of students came up with a valid reason why water would not be a suitable though some students appeared to have overlooked that the question asked for “one other reason” than that implied in (j).

i.

Generally candidates found some elements of this question quite challenging but there were accessible marks of even the weakest candidates. The majority of students were able to determine the molar mass of ethanoic acid but some struggled to calculate the mass from the volume. Most candidates were able to identify the role of hydrochloric acid as a catalyst but some struggled to identify the liquid whose volume had the greatest uncertainty. Most candidates were able to calculate the absolute uncertainty of the titre but some lost a mark by omitting the \( + \)/\( - \) sign. Candidates did not identify the first titre as incongruent and simply averaged the three values which perhaps suggests limited experimental experience. Most students could determine an equilibrium constant expression, but many did not answer the question in (g) and did not suggest how the equilibrium could be established experimentally with many referring to the equal rate of the forward and backward reaction. Many candidates were aware of Le Chatelier effects on the position of equilibrium, but a significant number failed to use this information to answer the question asked and could not explain the small effect of temperature changes. Whilst most students managed to identify the ester as the component of the mixture that was insoluble in water, many did not refer to its inability to form strong hydrogen bonds to water which was necessary for the mark. Quite a number of students came up with a valid reason why water would not be a suitable though some students appeared to have overlooked that the question asked for “one other reason” than that implied in (j).

j.

Generally candidates found some elements of this question quite challenging but there were accessible marks of even the weakest candidates. The majority of students were able to determine the molar mass of ethanoic acid but some struggled to calculate the mass from the volume. Most candidates were able to identify the role of hydrochloric acid as a catalyst but some struggled to identify the liquid whose volume had the greatest uncertainty. Most candidates were able to calculate the absolute uncertainty of the titre but some lost a mark by omitting the \( + \)/\( - \) sign. Candidates did not identify the first titre as incongruent and simply averaged the three values which perhaps suggests limited experimental experience. Most students could determine an equilibrium constant expression, but many did not answer the question in (g) and did not suggest how the equilibrium could be established experimentally with many referring to the equal rate of the forward and backward reaction. Many candidates were aware of Le Chatelier effects on the position of equilibrium, but a significant number failed to use this information to answer the question asked and could not explain the small effect of temperature changes. Whilst most students managed to identify the ester as the component of the mixture that was insoluble in water, many did not refer to its inability to form strong hydrogen bonds to water which was necessary for the mark. Quite a number of students came up with a valid reason why water would not be a suitable though some students appeared to have overlooked that the question asked for “one other reason” than that implied in (j).

k.



The standard enthalpy change of three combustion reactions are given below.

\[\begin{array}{*{20}{l}} {{{\text{H}}_2}{\text{(g)}} + \frac{1}{2}{{\text{O}}_2}{\text{(g)}} \to {{\text{H}}_2}{\text{O(l)}}}&{\Delta H =  - 286{\text{ kJ}}\,{\text{mo}}{{\text{l}}^{ - 1}}} \\ {{{\text{C}}_3}{{\text{H}}_8}{\text{(g)}} + {\text{5}}{{\text{O}}_2}{\text{(g)}} \to {\text{3C}}{{\text{O}}_2}{\text{(g)}} + {\text{4}}{{\text{H}}_2}{\text{O(l)}}}&{\Delta H =  - 2219{\text{ kJ}}\,{\text{mo}}{{\text{l}}^{ - 1}}} \\ {{\text{C(s)}} + {{\text{O}}_2}{\text{(g)}} \to {\text{C}}{{\text{O}}_2}{\text{(g)}}}&{\Delta H =  - 394{\text{ kJ}}\,{\text{mo}}{{\text{l}}^{ - 1}}} \end{array}\]

Determine the change in enthalpy, \(\Delta H\), in \({\text{kJ}}\,{\text{mo}}{{\text{l}}^{ - 1}}\), for the formation of propane in the following reaction.

\({\text{3C(s)}} + {\text{4}}{{\text{H}}_2}{\text{(g)}} \to {{\text{C}}_3}{{\text{H}}_8}{\text{(g)}}\)

[4]
a.

A catalyst provides an alternative pathway for a reaction, lowering the activation energy, \({E_{\text{a}}}\). Define the term activation energy, \({E_{\text{a}}}\).

[1]
b.

Sketch two Maxwell–Boltzmann energy distribution curves for a fixed amount of gas at two different temperatures, \({T_{\text{1}}}\) and \({T_2}{\text{ }}({T_2} > {T_1})\) and label both axes.

M13/4/CHEMI/SP2/ENG/TZ2/02.c

[3]
c.

Markscheme

\({\text{4}}{{\text{H}}_{\text{2}}}{\text{O(l)}} + {\text{3C}}{{\text{O}}_2}{\text{(g)}} \to {{\text{C}}_3}{{\text{H}}_8}{\text{(g)}} + {\text{5}}{{\text{O}}_2}{\text{(g)}}\)     \(\Delta H =  + {\text{2219 (kJ}}\,{\text{mo}}{{\text{l}}^{ - 1}}{\text{)}}\);

\({\text{4}}{{\text{H}}_2}{\text{(g)}} + {\text{2}}{{\text{O}}_2}{\text{(g)}} \to {\text{4}}{{\text{H}}_2}{\text{O(l)}}\):     \(\Delta H = \left( {{\text{(}} - {\text{286)(4)}} = } \right){\text{ }} - {\text{1144 (kJ}}\,{\text{mo}}{{\text{l}}^{ - 1}}{\text{)}}\);

\({\text{3C(s)}} + {\text{3}}{{\text{O}}_2}{\text{(g)}} \to {\text{3C}}{{\text{O}}_2}{\text{(g)}}\):     \(\Delta H = \left( {{\text{(}} - {\text{394)(3)}} = } \right){\text{ }} - {\text{1182 (kJ}}\,{\text{mo}}{{\text{l}}^{ - 1}}{\text{)}}\);

\(\Delta H = \left( {{\text{(}} - {\text{286)(4)}} + {\text{(}} - {\text{394)(3)}} + {\text{(}} + {\text{2219)}} = } \right){\text{ }} - {\text{107 (kJ}}\,{\text{mo}}{{\text{l}}^{ - 1}}{\text{)}}\);

Award [4] for correct final answer.

a.

minimum energy needed (by reactants/colliding particles) to react/start/initiate a reaction / for a successful collision;

Allow energy difference between reactants and transition state.

b.

x-axis label: (kinetic) energy/(K)E and y-axis label: fraction of molecules/particles / probability density;

Allow velocity/speed for x-axis.

Allow frequency / number of molecules/particles or (kinetic) energy distribution for y-axis.

correct shape of a Maxwell–Boltzmann energy distribution curve;

Do not award mark if curve is symmetric, does not start at zero or if it crosses x-axis.

M13/4/CHEMI/SP2/ENG/TZ2/02.c/M

two curves represented with second curve for \({T_2} > {T_1}\) to right of first curve, lower

peak than first curve and after the curves cross \({T_2}\) curve needs to be above \({T_1}\) curve;

c.

Examiners report

In contrast, question 2 a) which involved Hess’s Law calculation, was answered correctly by candidates of all capabilities.

a.

The definition of activation energy in part b) was reasonably well answered, with some candidates losing marks for omitting the word minimum from their response. However, it is disappointing that even very good candidates sometimes fail to score marks for definitions.

b.

Several candidates sketched very clear, correct Maxwell-Boltzmann curves in part c). Most scored at least 1 mark for this question. Some did not know what labels to put on the axes. Some did not realise that the area under the curves represents the total number of particles so as temperature increases the peak of the curve shifts to the right and is lower than the peak at the lower temperature.

c.



A group of students investigated the rate of the reaction between aqueous sodium thiosulfate and hydrochloric acid according to the equation below.

\[{\text{N}}{{\text{a}}_2}{{\text{S}}_2}{{\text{O}}_3}{\text{(aq)}} + {\text{2HCl(aq)}} \to {\text{2NaCl(aq)}} + {\text{S}}{{\text{O}}_2}{\text{(g)}} + {\text{S(s)}} + {{\text{H}}_2}{\text{O(l)}}\]

The two reagents were rapidly mixed together in a beaker and placed over a mark on a piece of paper. The time taken for the precipitate of sulfur to obscure the mark when viewed through the reaction mixture was recorded.

M14/4/CHEMI/SP2/ENG/TZ2/05

Initially they measured out \({\text{10.0 c}}{{\text{m}}^{\text{3}}}\) of \({\text{0.500 mol}}\,{\text{d}}{{\text{m}}^{ - 3}}\) hydrochloric acid and then added \({\text{40.0 c}}{{\text{m}}^{\text{3}}}\) of \({\text{0.0200 mol}}\,{\text{d}}{{\text{m}}^{ - 3}}\) aqueous sodium thiosulfate. The mark on the paper was obscured 47 seconds after the solutions were mixed.

The teacher asked the students to measure the effect of halving the concentration of sodium thiosulfate on the rate of reaction.

The teacher asked the students to devise another technique to measure the rate of this reaction.

Another group suggested collecting the sulfur dioxide and drawing a graph of the volume of gas against time.

The teacher made up \({\text{2.50 d}}{{\text{m}}^{\text{3}}}\) of the sodium thiosulfate solution using sodium thiosulfate pentahydrate crystals, \({\text{N}}{{\text{a}}_2}{{\text{S}}_{\text{2}}}{{\text{O}}_{\text{3}}} \bullet {\text{5}}{{\text{H}}_{\text{2}}}{\text{O}}\). Calculate the required mass of these crystals.

[3]
a.

(i)     State the volumes of the liquids that should be mixed.

M14/4/CHEMI/SP2/ENG/TZ2/05.b.i

(ii)     State why it is important that the students use a similar beaker for both reactions.

 

 

(iii)     Explain, in terms of the collision theory, how decreasing the concentration of sodium thiosulfate would affect the time taken for the mark to be obscured.

[4]
b.

(i)     Sketch and label, indicating an approximate activation energy, the Maxwell–Boltzmann energy distribution curves for two temperatures, \({T_1}\) and \({T_2}{\text{ }}({T_2} > {T_1})\), at which the rate of reaction would be significantly different.

M14/4/CHEMI/SP2/ENG/TZ2/05.c.i

(ii)     Explain why increasing the temperature of the reaction mixture would significantly increase the rate of the reaction.

[6]
c.

(i)     One group suggested recording how long it takes for the pH of the solution to change by one unit. Calculate the initial pH of the original reaction mixture.

 

 

 

 

(ii)     Deduce the percentage of hydrochloric acid that would have to be used up for the pH to change by one unit.

[3]
d.

(i)     Calculate the volume of sulfur dioxide, in \({\text{c}}{{\text{m}}^{\text{3}}}\), that the original reaction mixture would produce if it were collected at \(1.00 \times {10^5}{\text{ Pa}}\) and 300 K.

 

 

 

 

 

 

(ii)     Suggest why it is better to use a gas syringe rather than collecting the gas in a measuring cylinder over water.

[4]
e.

Markscheme

\({\text{mol N}}{{\text{a}}_{\text{2}}}{{\text{S}}_{\text{2}}}{{\text{O}}_{\text{3}}}( = 2.50 \times 0.0200) = 0.0500\);

\({{\text{M}}_{\text{r}}}{\text{N}}{{\text{a}}_2}{{\text{S}}_2}{{\text{O}}_3} \bullet {\text{5}}{{\text{H}}_2}{\text{O}}\left( { = (2 \times 22.99) + (2 \times 32.06) + (3 \times 16.00) + (5 \times 18.02)} \right) = 248.20\);

Allow 248.

\({\text{mass N}}{{\text{a}}_2}{{\text{S}}_2}{{\text{O}}_3} \bullet {\text{5}}{{\text{H}}_2}{\text{O}} = (0.0500 \times 248.20) = 12.4{\text{ g}}\);

Award [3] for correct final answer.

Award [2] for 7.91g (water of crystallization omitted in \({M_r}\) calculation).

a.

(i)     M14/4/CHEMI/SP2/ENG/TZ2/05.b.i/M ;

Accept other volumes in a 1:2:2 ratio.

(ii)     depth of liquid in the beaker must remain constant / OWTTE;

Accept “same thickness of glass” and any other valid point, such as answers framed around minimizing uncontrolled variables / making it a “fair test”.

(iii)     increases the time;

decrease in collision frequency/number of collisions per unit time;

Do not award mark for decrease in number of collisions.

b.

(i)     M14/4/CHEMI/SP2/ENG/TZ2/05.c.i/M

labelled y-axis: number of particles / probability of particles (with that kinetic energy) and labelled x-axis: (kinetic) energy;

Allow fraction/proportion/amount of particles (with kinetic energy) for y-axis label.

Allow speed/velocity for x-axis label.

T2 curve broader and with maximum lower and to right of T1 curve;

Do not award this mark if both curves not asymmetric.

Curves must pass through the origin and be asymptotic to x axis.

Do not award this mark if curves not labelled.

\({E_{\text{a}}}\) marked on graph;

(ii)     kinetic energy of molecules increases;

This may be answered implicitly in the final marking point.

frequency of collision/number of collisions per unit time increases;

Only penalize use of “number of collisions” if not penalized in (b)(iii).

greater proportion of molecules have energy greater than/equal to activation energy / rate related to temperature by the Arrhenius equation;

Award [1 max] for statements such as “there will be more successful collisions” if neither of last two marking points awarded.

c.

(i)     \({\text{[}}{{\text{H}}^ + }{\text{]}} = 0.5 \times \frac{{10}}{{{\text{50}}}} = 0.1{\text{ (mol}}\,{\text{d}}{{\text{m}}^{ - 3}}{\text{)}}\);

\({\text{pH }}\left( { =  - \log {\text{[}}{{\text{H}}^ + }{\text{]}} =  - \log (0.10)} \right) = 1\);

(ii)     90%;

d.

(i)     \({\text{mol N}}{{\text{a}}_2}{{\text{S}}_2}{{\text{O}}_3} = {\text{mol S}}{{\text{O}}_2} = 0.0400 \times 0.0200 = 0.000800\);

\(V = \frac{{n \times R \times T}}{P}/\frac{{0.000800 \times 8.31 \times 300}}{{{{10}^5}}}\);

\((1.99 \times {10^{ - 5}}{\text{ }}{{\text{m}}^3}) = 19.9{\text{ }}({\text{c}}{{\text{m}}^3})\);

Award [3] for correct final answer.

Accept 20.0 cm3 if R = 8.314 is used.

Award [2] for 17.9 cm3 or 19.2 cm3 (result from using molar volume at standard temperature and pressure or at room temperature and pressure).

OR

\({\text{mol N}}{{\text{a}}_2}{{\text{S}}_2}{{\text{O}}_3} = {\text{mol S}}{{\text{O}}_2} = 0.0400 \times 0.0200 = 0.000800\);

\(V = 0.00080 \times 2.24 \times {10^{ - 2}} \times \left[ {\frac{{1.00 \times {{10}^5}}}{{1.01 \times {{10}^5}}}} \right] \times \frac{{300}}{{273}}\);

\((1.95 \times {10^{ - 5}}{\text{ }}{{\text{m}}^3}) = 19.5{\text{ }}({\text{c}}{{\text{m}}^3})\);

Award [3] for correct final answer.

Deduct [1] for answers based on amount of HCl, so correct calculation would score [2 max].

(ii)     sulfur dioxide is soluble in water;

Accept other reasonable responses based on sound chemistry.

Accept “syringe more accurate/precise” or “less gas escapes”.

e.

Examiners report

This was quite a popular question, but responses were mixed. As in question 1, students struggled to answer questions with a strong practical context, with very few able to devise a mixture that would halve the concentration of thiosulfate, whilst keeping other concentrations constant, and responses for the need for similar beakers to be used were often too vague. Explanations of changes of rates in terms of the collision theory were generally successful but a significant number referred to the “number” rather than “frequency” of collisions. Many candidates were able to sketch Maxwell–Boltzmann distribution curves for the two temperatures, \({T_1}\) and \({T_2}\), but marks were lost due to careless omissions; the graphs did not start at the origin, were not labelled or the activation energy was missing. Many struggled to calculate the pH and many teachers have commented that this question was beyond what is expected at Standard Level and it is acknowledged that the question would have been more accessible if candidates had been asked to calculate the concentration of \({{\text{H}}^ + }\) ions and state the pH. In part (e) many students could quote and substitute into the ideal gas equation, correctly converting the temperature to Kelvin, but converting from \({{\text{m}}^{\text{3}}}\) to \({\text{c}}{{\text{m}}^{\text{3}}}\) posed a problem for most candidates. Although not necessary for the mark, as answers which referred to improved accuracy and precision were accepted, most candidates did not refer to the solubility of sulfur dioxide as a problem when using measuring cylinders to measure its volume.

a.

This was quite a popular question, but responses were mixed. As in question 1, students struggled to answer questions with a strong practical context, with very few able to devise a mixture that would halve the concentration of thiosulfate, whilst keeping other concentrations constant, and responses for the need for similar beakers to be used were often too vague. Explanations of changes of rates in terms of the collision theory were generally successful but a significant number referred to the “number” rather than “frequency” of collisions. Many candidates were able to sketch Maxwell–Boltzmann distribution curves for the two temperatures, \({T_1}\) and \({T_2}\), but marks were lost due to careless omissions; the graphs did not start at the origin, were not labelled or the activation energy was missing. Many struggled to calculate the pH and many teachers have commented that this question was beyond what is expected at Standard Level and it is acknowledged that the question would have been more accessible if candidates had been asked to calculate the concentration of \({{\text{H}}^ + }\) ions and state the pH. In part (e) many students could quote and substitute into the ideal gas equation, correctly converting the temperature to Kelvin, but converting from \({{\text{m}}^{\text{3}}}\) to \({\text{c}}{{\text{m}}^{\text{3}}}\) posed a problem for most candidates. Although not necessary for the mark, as answers which referred to improved accuracy and precision were accepted, most candidates did not refer to the solubility of sulfur dioxide as a problem when using measuring cylinders to measure its volume.

b.

This was quite a popular question, but responses were mixed. As in question 1, students struggled to answer questions with a strong practical context, with very few able to devise a mixture that would halve the concentration of thiosulfate, whilst keeping other concentrations constant, and responses for the need for similar beakers to be used were often too vague. Explanations of changes of rates in terms of the collision theory were generally successful but a significant number referred to the “number” rather than “frequency” of collisions. Many candidates were able to sketch Maxwell–Boltzmann distribution curves for the two temperatures, \({T_1}\) and \({T_2}\), but marks were lost due to careless omissions; the graphs did not start at the origin, were not labelled or the activation energy was missing. Many struggled to calculate the pH and many teachers have commented that this question was beyond what is expected at Standard Level and it is acknowledged that the question would have been more accessible if candidates had been asked to calculate the concentration of \({{\text{H}}^ + }\) ions and state the pH. In part (e) many students could quote and substitute into the ideal gas equation, correctly converting the temperature to Kelvin, but converting from \({{\text{m}}^{\text{3}}}\) to \({\text{c}}{{\text{m}}^{\text{3}}}\) posed a problem for most candidates. Although not necessary for the mark, as answers which referred to improved accuracy and precision were accepted, most candidates did not refer to the solubility of sulfur dioxide as a problem when using measuring cylinders to measure its volume.

c.

This was quite a popular question, but responses were mixed. As in question 1, students struggled to answer questions with a strong practical context, with very few able to devise a mixture that would halve the concentration of thiosulfate, whilst keeping other concentrations constant, and responses for the need for similar beakers to be used were often too vague. Explanations of changes of rates in terms of the collision theory were generally successful but a significant number referred to the “number” rather than “frequency” of collisions. Many candidates were able to sketch Maxwell–Boltzmann distribution curves for the two temperatures, \({T_1}\) and \({T_2}\), but marks were lost due to careless omissions; the graphs did not start at the origin, were not labelled or the activation energy was missing. Many struggled to calculate the pH and many teachers have commented that this question was beyond what is expected at Standard Level and it is acknowledged that the question would have been more accessible if candidates had been asked to calculate the concentration of \({{\text{H}}^ + }\) ions and state the pH. In part (e) many students could quote and substitute into the ideal gas equation, correctly converting the temperature to Kelvin, but converting from \({{\text{m}}^{\text{3}}}\) to \({\text{c}}{{\text{m}}^{\text{3}}}\) posed a problem for most candidates. Although not necessary for the mark, as answers which referred to improved accuracy and precision were accepted, most candidates did not refer to the solubility of sulfur dioxide as a problem when using measuring cylinders to measure its volume.

d.

This was quite a popular question, but responses were mixed. As in question 1, students struggled to answer questions with a strong practical context, with very few able to devise a mixture that would halve the concentration of thiosulfate, whilst keeping other concentrations constant, and responses for the need for similar beakers to be used were often too vague. Explanations of changes of rates in terms of the collision theory were generally successful but a significant number referred to the “number” rather than “frequency” of collisions. Many candidates were able to sketch Maxwell–Boltzmann distribution curves for the two temperatures, \({T_1}\) and \({T_2}\), but marks were lost due to careless omissions; the graphs did not start at the origin, were not labelled or the activation energy was missing. Many struggled to calculate the pH and many teachers have commented that this question was beyond what is expected at Standard Level and it is acknowledged that the question would have been more accessible if candidates had been asked to calculate the concentration of \({{\text{H}}^ + }\) ions and state the pH. In part (e) many students could quote and substitute into the ideal gas equation, correctly converting the temperature to Kelvin, but converting from \({{\text{m}}^{\text{3}}}\) to \({\text{c}}{{\text{m}}^{\text{3}}}\) posed a problem for most candidates. Although not necessary for the mark, as answers which referred to improved accuracy and precision were accepted, most candidates did not refer to the solubility of sulfur dioxide as a problem when using measuring cylinders to measure its volume.

e.



Water is an important substance that is abundant on the Earth’s surface. Water dissociates according to the following equation.

\[{{\text{H}}_{\text{2}}}{\text{O(l)}} \rightleftharpoons {{\text{H}}^ + }{\text{(aq)}} + {\text{O}}{{\text{H}}^ - }{\text{(aq)}}\]

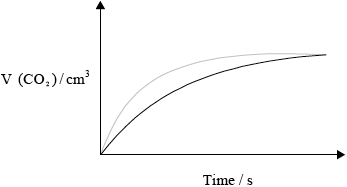
The graph below shows how the volume of carbon dioxide formed varies with time when a hydrochloric acid solution is added to excess calcium carbonate in a flask.

M10/4/CHEMI/SP2/ENG/TZ2/06.c

(i)     State the equilibrium constant expression for the dissociation of water.

(ii)     Explain why even a very acidic aqueous solution still has some \({\text{O}}{{\text{H}}^ - }\) ions present in it.

(iii)     State and explain the effect of increasing temperature on the equilibrium constant above given that the dissociation of water is an endothermic process.

(iv)     The pH of a solution is 2. If its pH is increased to 6, deduce how the hydrogen ion concentration changes.

[7]
a.

In carbonated drinks containing dissolved carbon dioxide under high pressure, the

following dynamic equilibrium exists.

\[{\text{C}}{{\text{O}}_2}({\text{aq)}} \rightleftharpoons {\text{C}}{{\text{O}}_2}({\text{g)}}\]

Describe the effect of opening a carbonated drink container and outline how this

equilibrium is affected.

[2]
b.

(i)     Explain the shape of the curve.

(ii)     Copy the above graph on your answer sheet and sketch the curve you would obtain if double the volume of hydrochloric acid solution of half the concentration as in the example above is used instead, with all other variables kept constant from the original. Explain why the shape of the curve is different.

(iii)     Outline one other way in which the rate of this reaction can be studied in a school laboratory. Sketch a graph to illustrate how the selected variable would change with time.

(iv)     Define the term activation energy and state one reason why the reaction between calcium carbonate and hydrochloric acid takes place at a reasonably fast rate at room temperature.

[11]
c.

Markscheme

(i)     \({K_{\text{c}}} = \frac{{{\text{[}}{{\text{H}}^ + }{\text{][O}}{{\text{H}}^ - }{\text{]}}}}{{{\text{[}}{{\text{H}}_2}{\text{O]}}}}/{K_{\text{c}}} = \frac{{{{{\text{[}}{{\text{H}}_3}{\text{O]}}}^ + }{\text{[O}}{{\text{H}}^ - }{\text{]}}}}{{{\text{[}}{{\text{H}}_2}{\text{O]}}}}/{K_{\text{w}}} = {\text{[}}{{\text{H}}^ + }{\text{][O}}{{\text{H}}^ - }{\text{]}}/{K_{\text{w}}} = {\text{[}}{{\text{H}}_{\text{3}}}{{\text{O}}^ + }{\text{][O}}{{\text{H}}^ - }{\text{]}}\);

Do not award mark if [ ] are omitted or other brackets are used.

Expression must be consistent with \({K_{\text{c}}}/{K_{\text{w}}}\).

(ii)     \({\text{[}}{{\text{H}}^ + }{\text{]}}\) increases, \({\text{[O}}{{\text{H}}^ - }{\text{]}}\) decreases but still some present (\({K_{\text{w}}}/{K_{\text{c}}}\) constant) / \({\text{[O}}{{\text{H}}^ - }{\text{]}}\)

cannot go to zero as equilibrium present / \({\text{[O}}{{\text{H}}^ - }{\text{]}} = \frac{{{K_{\text{w}}}}}{{{\text{[}}{{\text{H}}^ + }{\text{]}}}}/\frac{{{K_{\text{c}}}{\text{[}}{{\text{H}}_2}{\text{O]}}}}{{{\text{[}}{{\text{H}}^ + }{\text{]}}}}\), thus \({\text{[O}}{{\text{H}}^ - }{\text{]}}\)

cannot be zero / OWTTE;

Accept equilibrium present.

(iii)     (changing T disturbs equilibrium) forward reaction favoured / equilibrium shifts to the right;

to use up (some of the) heat supplied;

(\({K_{\text{w}}}/{K_{\text{c}}}\)) increases (as both \({\text{[}}{{\text{H}}^ + }{\text{]}}\) and \({\text{[O}}{{\text{H}}^ - }{\text{]}}\) increase);

(iv)     \({\text{pH}} = 2{\text{, [}}{{\text{H}}^ + }{\text{]}} = 0.01{\text{ mol}}\,{\text{d}}{{\text{m}}^{ - 3}}\) and \({\text{pH}} = 6{\text{, [}}{{\text{H}}^ + }{\text{]}} = {10^{ - 6}}{\text{ mol}}\,{\text{d}}{{\text{m}}^{ - 3}}/{\text{[}}{{\text{H}}^ + }{\text{]}} = {10^{ - {\text{pH}}}}\);

\({\text{[}}{{\text{H}}^ + }{\text{]}}\) decreased/changed by \({\text{10000/1}}{{\text{0}}^{ - 4}}\);

Award [2] for correct final answer.

a.

\({\text{C}}{{\text{O}}_2}({\text{g)}}\) /gas escapes / (gas) pressure / \({\text{C}}{{\text{O}}_2}\) (above liquid) decreases / bubbles (of \({\text{C}}{{\text{O}}_2}\) gas) form in the liquid;

equilibrium shifts to the right (to replace the lost \({\text{C}}{{\text{O}}_2}\) gas);

b.

(i)          rate = increase in \(\frac{{{\text{volume}}}}{{{\text{time}}}}\) = slope of graph;

initially/to begin with steeper slope / fastest rate / volume of gas/ \({\text{C}}{{\text{O}}_2}\) produced faster/quickly as concentration of HCl highest / OWTTE;

as reaction progresses/with time, less steep slope / volume of gas production slows / rate decreases due to less frequent collisions as concentration (of HCl) decreases / OWTTE;

curve flattens/becomes horizontal when HCl used up/consumed (as there are no more \({{\text{H}}^ + }\) ions to collide with the \({\text{CaC}}{{\text{O}}_3}\) particles);

Each mark requires explanation.

(ii)     M10/4/CHEMI/SP2/ENG/TZ2/06.c/M

 

less steep curve;

same maximum volume at later time;

half/lower \({{\text{H}}^ + }\)/acid concentration less frequent collisions slower rate;

same amount of HCl, same volume \({\text{C}}{{\text{O}}_2}\) produced;

(iii)     mass loss/of \({\text{C}}{{\text{O}}_2}\) / mass of flask + content;

M10/4/CHEMI/SP2/ENG/TZ2/06.c_1/M ;

OR

M10/4/CHEMI/SP2/ENG/TZ2/06.c_2/M ;

OR

M10/4/CHEMI/SP2/ENG/TZ2/06.c_3/M ;

 

Do not penalize for missing x-axis label or for missing units on y-axis.

Accept if line meets time axis.

Award [1 max] if temperature is on the vertical axis and magnitude of slope decreases with time.

(iv)     minimum/least energy (of colliding particles) for a reaction to occur / OWTTE;

low/lower \({E_{\text{a}}}\) /activation energy / greater/larger surface area/contact between \({\text{CaC}}{{\text{O}}_{\text{3}}}\) and HCl / high/higher HCl concentration/[HCl] / (sufficient) particles/molecules have activation energy;

c.

Examiners report

This was the most popular question in Section B but responses were mixed. Part (a) was generally well dealt with but some candidates confused \({K_{\text{w}}}\) with \({K_{\text{c}}}\) or forgot to include charges on the ions in the equilibrium constant expression. Few received the mark for question (ii) although some mentioned equilibrium which was sufficient.

Candidates recognised that increasing the temperature shifts the equilibrium to the right, but most did not explain why, namely to use up some of the heat supplied. The calculation in (iv) was quite well done although some only gave a qualitative answer.

a.

The equilibrium of carbonated drinks was well understood.

b.

In part (c) (i) candidates frequently described the shape of the curve instead of offering an explanation using collisions theory. Candidates did state, for example, that the curve flattens but did not refer to consumption of HCl(aq), the limiting reagent. Only the better candidates were only able to link slope with rate and some still consider the rate to increase after the reaction has started. In (ii) most realised that the curve would be less steep but few drew a curve with the same maximum volume produced at a later time. Even fewer candidates were able to explain why the number of moles of carbon dioxide remained the same. Although some candidates chose mass loss / pH / pressure as the dependant variable in c(iii), some were penalised for imprecise answers such as mass of reactants without referring to mass of flask. Others misunderstood the question and described experiments that they had done with catalysis or described changes with temperature as the dependant variable. (c)(iv) was generally well answered, but again some responses lacked precision; the activation energy is the minimum energy needed for a reaction to occur.

c.



Alex and Hannah were asked to investigate the kinetics involved in the iodination of propanone. They were given the following equation by their teacher.

\[{\text{C}}{{\text{H}}_3}{\text{COC}}{{\text{H}}_3}{\text{(aq)}} + {{\text{I}}_2}{\text{(aq)}}\xrightarrow{{{{\text{H}}^ + }{\text{(aq)}}}}{\text{C}}{{\text{H}}_2}{\text{ICOC}}{{\text{H}}_3}{\text{(aq)}} + {\text{HI(aq)}}\]

Alex’s hypothesis was that the rate will be affected by changing the concentrations of the propanone and the iodine, as the reaction can happen without a catalyst. Hannah’s hypothesis was that as the catalyst is involved in the reaction, the concentrations of the propanone, iodine and the hydrogen ions will all affect the rate.

They carried out several experiments varying the concentration of one of the reactants or the catalyst whilst keeping other concentrations and conditions the same. Their results are shown graphically below.

M10/4/CHEMI/SP2/ENG/TZ1/02

(a)     Discuss whether either Alex’s or Hannah’s hypothesis is correct.

(b)     Explain why the reaction rate will increase with increasing temperature.

(c)     (i)     This reaction uses a catalyst. Sketch and annotate the Maxwell-Boltzmann energy distribution curve for a reaction with and without a catalyst on labelled axes below.

(ii)     Describe how a catalyst works.

Markscheme

(a)     [I2] does not affect rate / OWTTE;

neither correct/both partially correct with explanation as to how;

(b)     more particles/molecules have sufficient energy to overcome activation energy / OWTTE;

more frequent collisions;

(c)     (i)     M10/4/CHEMI/SP2/ENG/TZ1/02/M

axes correctly labelled x = energy/velocity/speed, y = number/% of molecules/particles;

graph showing correct curve for Maxwell-Boltzmann distribution;

If two curves are drawn, first and second mark can still be scored, but not third.

Curve(s) must begin at origin and not go up at high energy.

two activation energies shown with Ecat shown lower;

Award the mark for the final point if shown on an enthalpy level diagram.

(ii)     catalyst provides an alternative pathway of lower energy / OWTTE;

Accept catalyst lowers activation energy (of reaction).

Examiners report

Most of the G2 comments on this question predicted the downfalls in the performance of the candidates. Q2 proved to be poorly answered overall with virtually no candidate scoring full marks. In (a), often the question was not addressed accurately. It appeared that some candidates interpreted the question to imply that one of the hypotheses was correct. Many candidates did however score at least one mark for stating that the concentration of iodine did not affect the rate. In (b), candidates typically understood the basics of the concept. However, the most common error was candidates stating that there are more collisions instead of stating that there are more frequent collisions i.e. some reference to time had to be given which has been commented extensively previously in subject reports. In (c), very few candidates knew how to draw a Maxwell-Boltzmann distribution curve which was very surprising, as this is securely on-syllabus. Many candidates drew an enthalpy-level diagram, others drew two curves and many dropped marks for incorrectly labelled axes or poorly sketched curves. For the latter, the most common mistakes involved symmetric curves, curves not starting at the origin or crossing the x-axis at high energy. In contrast however, (c) (ii) was very well answered with most candidates stating that a catalyst provides an alternative pathway of lower energy. Some candidates stated that a catalyst lowers the activation energy which was also accepted.




Calcium carbonate reacts with hydrochloric acid.

CaCO3(s) + 2HCl(aq) → CaCl2(aq) + H2O(l) + CO2(g)

The results of a series of experiments in which the concentration of HCl was varied are shown below.

M18/4/CHEMI/SP2/ENG/TZ1/04.b

Outline two ways in which the progress of the reaction can be monitored. No practical details are required.

[2]
a.

Suggest why point D is so far out of line assuming human error is not the cause.

[1]
b.i.

Suggest the relationship that points A, B and C show between the concentration of the acid and the rate of reaction.

[1]
b.ii.

Markscheme

Any two of:

loss of mass «of reaction mixture/CO2»

«increase in» volume of gas produced

change of conductivity

change of pH

change in temperature

 

Do not accept “disappearance of calcium carbonate”.

Do not accept “gas bubbles”.

Do not accept “colour change” or “indicator”.

[2 marks]

a.

reaction is fast at high concentration AND may be difficult to measure accurately

OR

so many bubbles of CO2 produced that inhibit contact of HCl(aq) with CaCO3(s)

OR

insufficient change in conductivity/pH at high concentrations

OR

calcium carbonate has been used up/is limiting reagent/there is not enough calcium carbonate «to react with the high concentration of HCl»

OR

HCl is in excess

OR

so many bubbles of CO2 produced that inhibit contact of HCl(aq) with CaCO3(s)

[1 mark]

b.i.

«directly» proportional

 

Accept “first order” or “linear”.

Do not accept “rate increases as concentration increases” or “positive correlation”

[1 mark]

b.ii.

Examiners report

[N/A]
a.
[N/A]
b.i.
[N/A]
b.ii.



Airbags are an important safety feature in vehicles. Sodium azide, potassium nitrate and silicon dioxide have been used in one design of airbag.

N11/4/CHEMI/SP2/ENG/TZ0/01

Sodium azide, a toxic compound, undergoes the following decomposition reaction under certain conditions.

\[{\text{2Na}}{{\text{N}}_{\text{3}}}{\text{(s)}} \to {\text{2Na(s)}} + {\text{3}}{{\text{N}}_{\text{2}}}{\text{(g)}}\]

Two students looked at data in a simulated computer-based experiment to determine the volume of nitrogen generated in an airbag.

Using the simulation programme, the students entered the following data into the computer.

N11/4/CHEMI/SP2/ENG/TZ0/01.b

The chemistry of the airbag was found to involve three reactions. The first reaction involves the decomposition of sodium azide to form sodium and nitrogen. In the second reaction, potassium nitrate reacts with sodium.

\[{\text{2KN}}{{\text{O}}_3}{\text{(s)}} + {\text{10Na(s)}} \to {{\text{K}}_2}{\text{O(s)}} + {\text{5N}}{{\text{a}}_2}{\text{O(s)}} + {{\text{N}}_2}{\text{(g)}}\]

An airbag inflates very quickly.

Sodium azide involves ionic bonding, and metallic bonding is present in sodium. Describe ionic and metallic bonding.

[2]
a.

State the number of significant figures for the temperature, mass and pressure data.

T:

m:

p:

[1]
b.i.

Calculate the amount, in mol, of sodium azide present.

[1]
b.ii.

Determine the volume of nitrogen gas, in \({\text{d}}{{\text{m}}^{\text{3}}}\), produced under these conditions based on this reaction.

[4]
b.iii.

Suggest why it is necessary for sodium to be removed by this reaction.

[1]
c.i.

The metal oxides from the second reaction then react with silicon dioxide to form a silicate in the third reaction.

\[{{\text{K}}_2}{\text{O(s)}} + {\text{N}}{{\text{a}}_2}{\text{O(s)}} + {\text{Si}}{{\text{O}}_2}{\text{(s)}} \to {\text{N}}{{\text{a}}_2}{{\text{K}}_2}{\text{Si}}{{\text{O}}_4}{\text{(s)}}\]

Draw the structure of silicon dioxide and state the type of bonding present.

Structure:

Bonding:

[2]
c.ii.

It takes just 0.0400 seconds to produce nitrogen gas in the simulation. Calculate the average rate of formation of nitrogen in (b) (iii) and state its units.

[1]
d.i.

The students also discovered that a small increase in temperature (e.g. 10 °C) causes a large increase (e.g. doubling) in the rate of this reaction. State one reason for this.

[1]
d.ii.

Markscheme

Ionic:

(electrostatic) attraction between oppositely charged ions/cations and anions/positive and negative ions;

Do not accept answers such as compounds containing metal and non-metal are ionic.

Metallic:

(electrostatic attraction between lattice of) positive ions/cations/nuclei and delocalized electrons / (bed of) positive ions/cations/nuclei in sea of electrons / OWTTE;

a.

T: 4 and m: 3 and p: 3;

b.i.

\(n = (65.0/65.02) = 1.00{\text{ (mol)}}\);

No penalty for using whole number atomic masses.

b.ii.

\(n{\text{(}}{{\text{N}}_{\text{2}}}{\text{)}} = \left( {\frac{3}{2} \times 1.00 = } \right){\text{ }}1.50{\text{ (mol)}}\);

\(T = \left( {(25.00 + 273.15) = } \right){\text{ }}298.15{\text{ K}}/(25.00 + 273) = 298{\text{ K}}\);

\(p = 1.08 \times 1.01 \times {10^5}{\text{ Pa}}/1.08 \times 1.01 \times {10^2}{\text{ kPa}}/1.09 \times {10^5}{\text{ Pa}}/1.09 \times {10^2}{\text{ kPa}}\);

\(V = \frac{{nRT}}{p} = \frac{{({{10}^3})(1.50)(8.31)(298.15/298)}}{{(1.08 \times 1.01 \times {{10}^5})}} = 34.1{\text{ (d}}{{\text{m}}^{\text{3}}}{\text{)}}\);

Award [4] for correct final answer.

Award [3 max] for 0.0341 (dm3) or 22.7 (dm3).

Award [3 max] for 34.4 (dm3).

Award [2 max] for 22.9 (dm3).

Award [2 max] for 0.0227 (dm3).

Award [2 max] for 0.034 (dm3).

b.iii.

sodium could react violently with any moisture present / sodium is (potentially) explosive / sodium (is dangerous since it is flammable when it) forms hydrogen on contact with water / OWTTE;

Do not accept answers such as sodium is dangerous or sodium is too reactive.

c.i.

Structure:

drawing of giant structure showing tetrahedrally arranged silicon;

Minimum information required for mark is Si and 4 O atoms, in a tetrahedral arrangement (not 90° bond angles) but with each of the 4 O atoms showing an extension bond.

N11/4/CHEMI/SP2/ENG/TZ0/01.c.ii/M

 

Bonding:

(giant/network/3D) covalent;

c.ii.

\(\left( {\frac{{34.1}}{{0.0400}}} \right) = 853{\text{ d}}{{\text{m}}^{\text{3}}}{{\text{s}}^{ - 1}}/\left( {\frac{{1.50}}{{0.0400}}} \right) = 37.5{\text{ mol}}\,{{\text{s}}^{ - 1}}\);

Accept 851 dm3s–1.

Units required for mark.

d.i.

more energetic collisions / more species have energy \( \geqslant {E_{\text{a}}}\);

Allow more frequent collisions / species collide more often.

d.ii.

Examiners report

Question 1 tested a number of concepts and very few students were able to gain all the marks available. Part (a) was fairly well done and students could explain ionic and metallic bonding although weak students did not explain the bonding but simply stated that ionic was between metal and non metal etc.

a.

Surprisingly in part (b) (i) a number of students could not state the number of significant figures and many stated that 25.00 was 2 SF instead of 4.

b.i.

Part (b) (ii) required the calculation of the amount of substance in moles, and was generally well done although some did not realise the value was in kg and so had a value 1000 times too small.

b.ii.

In part (b) (iii) a number of students lost marks for forgetting to convert temperature or pressure and also to multiply the amount by 1.5. Also many forgot to convert the pressure into kPa if they wanted their answer in \({\text{d}}{{\text{m}}^{\text{3}}}\). However, most students could obtain at least one of the marks available.

b.iii.

In part (c) (i) many did not relate the removal of sodium to the potential for it to react with water and instead gave a far too vague of answer that it was reactive. However, the very best students were able to answer this hypothesis type question and stated that sodium reacts with water. This proved a good discriminator at the top end of the candidature.

c.i.

Part (c)(ii) was very poorly answered and the majority of students believed that \({\text{Si}}{{\text{O}}_{\text{2}}}\) had a similar structure to \({\text{C}}{{\text{O}}_{\text{2}}}\). The very few students that drew a giant structure often did not then show a tetrahedral arrangement of the atoms, however most did realise that the bonding was covalent.

c.ii.

Part (d) was generally well answered and most students calculated a rate from their results although some lost the mark for incorrect or absent units.

d.i.

Most students could then successfully explain why the rate increased with temperature. However a minority forgot to refer to time (i.e. more frequent) in relation to collisions.

d.ii.



Hydrogen peroxide, \({{\text{H}}_{\text{2}}}{{\text{O}}_{\text{2}}}{\text{(aq)}}\), releases oxygen gas, \({{\text{O}}_{\text{2}}}{\text{(g)}}\), as it decomposes according to the equation below.

\[{\text{2}}{{\text{H}}_{\text{2}}}{{\text{O}}_{\text{2}}}{\text{(aq)}} \to {\text{2}}{{\text{H}}_{\text{2}}}{\text{O(l)}} + {{\text{O}}_{\text{2}}}{\text{(g)}}\]

\({\text{50.0 c}}{{\text{m}}^{\text{3}}}\) of hydrogen peroxide solution was placed in a boiling tube, and a drop of liquid detergent was added to create a layer of bubbles on the top of the hydrogen peroxide solution as oxygen gas was released. The tube was placed in a water bath at 75 °C and the height of the bubble layer was measured every thirty seconds. A graph was plotted of the height of the bubble layer against time.

M12/4/CHEMI/SP2/ENG/TZ2/01

The experiment was repeated using solid manganese(IV) oxide, \({\text{Mn}}{{\text{O}}_{\text{2}}}{\text{(s)}}\), as a catalyst.

The decomposition of hydrogen peroxide to form water and oxygen is a redox reaction.

Explain why the curve reaches a maximum.

[1]
a.

Use the graph to calculate the rate of decomposition of hydrogen peroxide at 120 s.

[3]
b.

(i)     Draw a curve on the graph opposite to show how the height of the bubble layer changes with time when manganese(IV) oxide is present.

(ii)     Explain the effect of the catalyst on the rate of decomposition of hydrogen peroxide.

[3]
c.

(i)     Deduce the oxidation numbers of oxygen present in each of the species below.

M12/4/CHEMI/SP2/ENG/TZ2/01.d

(ii)     State two half-equations for the decomposition of hydrogen peroxide.

Oxidation:

Reduction:

[4]
d.

Markscheme

reaction is complete / all hydrogen peroxide/reactant is used up / no more bubbles are being produced / layer of bubbles is constant / OWTTE;

a.

correctly drawn tangent to the graph at 120 s;

rate = gradient of the tangent to the graph at 120 s / \({\text{rate}} = \frac{{6.0 - 2.0}}{{240 - 0}}\);

\( = 10.017{\text{ mm}}\,{{\text{s}}^{ - 1}}\);

Accept answers in the range 0.014 to 0.020 mm\(\,\)s–1.

Units required for M3.

b.

(i)     any line which shows the height of the bubbles increasing much faster;

M12/4/CHEMI/SP2/ENG/TZ2/01.c/M

(ii)     catalyst provides an alternative reaction pathway/mechanism with a lower activation energy;

more molecules/particles have energy greater than or equal to the activation energy / OWTTE;

Accept alternative response which refers to mechanism of heterogeneous catalysts.

c.

(i)     M12/4/CHEMI/SP2/ENG/TZ2/01.d/M

Award [2] for three correct.

Award [1] for two correct.

(ii)     Oxidation:

\({{\text{H}}_2}{{\text{O}}_2} \to {{\text{O}}_{\text{2}}} + 2{{\text{H}}^ + } + {\text{2}}{{\text{e}}^ - }\);

Reduction:

\({{\text{H}}_2}{{\text{O}}_2} + {\text{2}}{{\text{H}}^ + } + {\text{2}}{{\text{e}}^ - } \to {\text{2}}{{\text{H}}_2}{\text{O}}\);

d.

Examiners report

Part (a) was well answered.

a.

Part (b) was either right or wrong. Few candidates drew the tangent, many being satisfied with a gradient of 4.0/120. Although a number of G2s commented on the “unusual” units of the rate (\({\text{mm}}\,{{\text{s}}^{ - 1}}\)) this did not seem to be an issue for the candidates.

b.

In (c)(i), the line was usually correctly drawn although a significant minority drew it below the original. In (c)(ii), having stated that the catalyst provides a lower activation energy, candidates rarely explained that “more molecules/particles have energy greater than or equal to the activation energy”, many muddling the answer with that appropriate to an elevated temperature.

c.

Most managed the oxidation numbers in (d)(i) although there were some rather curious answers for \({{\text{H}}_{\text{2}}}{{\text{O}}_{\text{2}}}\). There were very few correct answers to the oxidation and reduction half equations in (ii) and this question discriminated the best candidates.

d.



Methanol may be produced by the exothermic reaction of carbon monoxide gas and hydrogen gas.

\[\begin{array}{*{20}{l}} {{\text{CO(g)}} + {\text{2}}{{\text{H}}_{\text{2}}}{\text{(g)}} \rightleftharpoons {\text{C}}{{\text{H}}_{\text{3}}}{\text{OH(g)}}}&{\Delta {H^\Theta } = - 103{\text{ kJ}}} \end{array}\]

State and explain the effect of changing the following conditions on the amount of methanol present at equilibrium:

State the equilibrium constant expression, \({K_{\text{c}}}\), for the production of methanol.

[1]
a.

increasing the temperature of the reaction at constant pressure.

[2]
b.i.

increasing the pressure of the reaction at constant temperature.

[2]
b.ii.

The conditions used in industry during the production of methanol are a temperature of 450 °C and pressure of up to 220 atm. Explain why these conditions are used rather than those that could give an even greater amount of methanol.

[2]
c.

A catalyst of copper mixed with zinc oxide and alumina is used in industry for this production of methanol. Explain the function of the catalyst.

[1]
d.

Markscheme

\(({K_{\text{c}}}) = \frac{{{\text{[C}}{{\text{H}}_{\text{3}}}{\text{OH]}}}}{{{\text{[CO][}}{{\text{H}}_{\text{2}}}{{\text{]}}^{\text{2}}}}}\);

Do not award mark if incorrect brackets are used or brackets are missing.

a.

amount (of methanol)/product decreases / less methanol;

(forward reaction) exothermic / reverse reaction endothermic / OWTTE;

b.i.

amount (of methanol)/product increases / more methanol;

3 gas molecules/mol \( \to \) 1 / decrease in volume / fewer gas molecules on right

hand side/products / more gas molecules on left hand side/reactants;

b.ii.

high pressure expensive / greater cost of operating at high pressure;

lower temperature – lower (reaction) rate;

c.

increases rate of forward and reverse reactions (equally) / lowers activation energy/\({E_{\text{a}}}\) (of both the forward and reverse reaction equally) / provides alternative path with lower activation energy/\({E_{\text{a}}}\);

Accept reactants adsorb onto the catalyst surface and bonds weaken resulting in a decrease in the activation energy.

d.

Examiners report

Candidates were able to write an equilibrium expression accurately in part (a).

a.

Candidates had a good understanding of the effect of temperature and pressure on an equilibrium system but some did not make reference to the change in the amount of methanol produced and hence did not always achieved full marks.

b.i.

In (b) (ii) candidates also failed to achieve full marks if reference was not made to the gaseous nature of the reactants and products. Occasionally candidates incorrectly discussed the effect on the rate of reaction rather than answering the question.

b.ii.

There was much confusion with part (c) and candidates often struggled to express themselves adequately, demonstrating that they did not fully understand the question.

c.

Part (d) on the other hand was extremely well answered with candidates having an excellent understanding of the function of a catalyst.

d.



Consider the following equilibrium:

\[\begin{array}{*{20}{l}} {{\text{4N}}{{\text{H}}_3}{\text{(g)}} + {\text{5}}{{\text{O}}_2}{\text{(g)}} \rightleftharpoons {\text{4NO(g)}} + {\text{6}}{{\text{H}}_2}{\text{O(g)}}}&{\Delta {H^\Theta } = - 909{\text{ kJ}}} \end{array}\]

Nitrogen reacts with hydrogen to form ammonia in the Haber process, according to the following equilibrium.

\[\begin{array}{*{20}{l}} {{{\text{N}}_{\text{2}}}{\text{(g)}} + {\text{3}}{{\text{H}}_{\text{2}}}{\text{(g)}} \rightleftharpoons {\text{2N}}{{\text{H}}_{\text{3}}}{\text{(g)}}}&{\Delta {H^\Theta } = - 92.6{\text{ kJ}}} \end{array}\]

Deduce the equilibrium constant expression, \({K_{\text{c}}}\), for the reaction.

[1]
a.i.

Predict the direction in which the equilibrium will shift when the following changes occur.

The volume increases.

The temperature decreases.

\({{\text{H}}_{\text{2}}}{\text{O(g)}}\) is removed from the system.

A catalyst is added to the reaction mixture.

[4]
a.ii.

Define the term activation energy, \({E_{\text{a}}}\).

[1]
b.

Nitrogen monoxide, NO, is involved in the decomposition of ozone according to the following mechanism.

\[\begin{array}{*{20}{l}} {}&{{{\text{O}}_{\text{3}}} \to {{\text{O}}_{\text{2}}} + {\text{O}} \bullet } \\ {}&{{{\text{O}}_3} + {\text{NO}} \to {\text{N}}{{\text{O}}_2} + {{\text{O}}_2}} \\ {}&{{\text{N}}{{\text{O}}_2} + {\text{O}} \bullet \to {\text{NO}} + {{\text{O}}_2}} \\ {{\text{Overall:}}}&{{\text{2}}{{\text{O}}_3} \to {\text{3}}{{\text{O}}_2}} \end{array}\]

State and explain whether or not NO is acting as a catalyst.

[2]
c.

Define the term endothermic reaction.

[1]
d.i.

Sketch the Maxwell-Boltzmann energy distribution curve for a reaction with and without a catalyst, and label both axes.

[3]
d.ii.

Define the term rate of reaction.

[1]
e.i.

Iron, used as the catalyst in the Haber process, has a specific heat capacity of \({\text{0.4490 J}}\,{{\text{g}}^{ - 1}}{{\text{K}}^{ - 1}}\). If 245.0 kJ of heat is supplied to 8.500 kg of iron, initially at a temperature of 15.25 °C, determine its final temperature in K.

[3]
f.

Markscheme

\({\text{(}}{K_{\text{c}}}{\text{)}} = \frac{{{{{\text{[NO]}}}^4}{{{\text{[}}{{\text{H}}_2}{\text{O]}}}^6}}}{{{{{\text{[N}}{{\text{H}}_3}{\text{]}}}^4}{{{\text{[}}{{\text{O}}_2}{\text{]}}}^5}}}\);

No mark if square brackets are omitted or are incorrect.

a.i.

right;

right;

right;

no change;

a.ii.

minimum energy needed (by reactants/colliding particles) to react/start/initiate a reaction;

Allow energy difference between reactants and transition state.

b.

catalyst;

regenerated at end of reaction / OWTTE;

c.

(system) absorbs/takes in heat from surroundings / OWTTE;

Allow standard enthalpy change/ \(\Delta {H^\Theta }\) positive.

Allow bond breaking more energetic then bond formation / OWTTE.

Absorbs/takes in heat alone not sufficient for mark.

d.i.

Curve showing:

general shape of Maxwell-Boltzmann energy distribution curve;

correct position of \({E_{\text{a}}}\) (catalysed) and \({E_{\text{a}}}\) (uncatalysed);

labelled y-axis: probability of particles (with that kinetic energy) and labelled x-axis: (kinetic) energy;

Allow number/fraction/proportion of particles (with kinetic energy) for y-axis label, but do not allow amount or particles.

N11/4/CHEMI/SP2/ENG/TZ0/06.d.ii/M

Award [2 max] if a second curve is drawn, but at a higher temperature, M2 will not be scored here.

d.ii.

change in concentration of reactant/product with time / rate of change of concentration;

Increase can be used instead of change for product or decrease can be used instead of change for reactant.

Allow mass/amount/volume instead of concentration.

Do not accept substance.

e.i.

\(q = mc\Delta T = 2.450 \times {10^5} = (8.500 \times {10^3})(0.4490)({T_{\text{f}}} - 15.25)\);

\({T_{\text{f}}} = 79.44{\text{ °C}}/\Delta T = 64.19{\text{ (°C}}/{\text{K)}}\);

\({T_{\text{f}}} = (79.44 + 273) = 352{\text{ (K)}}\);

Award [3] for correct final answer.

Accept the use of 273.15 K instead of 273 K giving final value of 352.59 K.

For M1 and M2 award [1 max] for use of \(q = mc\Delta T\) if incorrect units of m and c are used.

f.

Examiners report

In part (a) of this question the \({K_{\text{c}}}\) expression was usually written correctly though the very weak students did mix up the numerator and denominator in (i), or include a + sign between substances.

a.i.

Candidates generally had few problems, but the reaction condition that proved to be the most the most difficult factor was the volume.

a.ii.

Activation energy was often clearly defined though some forgot to mention minimum.

b.

The best students realised that NO acted as a catalyst as it was regenerated at the end of the reaction. However many weaker students stated it was not a catalyst as it was not involved in the reaction.

c.

The definition of an endothermic reaction was generally well answered, however some just said it absorbs heat and forgot to mention the surroundings in their answer.

d.i.

Incorrect labels for the axes were often seen, as well as a very high proportion of symmetrical curves, some which did not start at the origin. Also many drew two curves. Also in some cases the catalyzed and uncatalyzed activation energies were often mixed up. The weaker students drew an enthalpy level diagram instead of a Maxwell-Boltzmann distribution.

d.ii.

In the definition for rate of reaction some students forgot to mention concentration.

e.i.
[N/A]
f.



Define the term activation energy, \({E_{\text{a}}}\).

[1]
a.

State two conditions necessary for a reaction to take place between two reactant particles.

[2]
b.

Sketch an enthalpy level diagram to describe the effect of a catalyst on an exothermic reaction.

[3]
c.

Markscheme

(minimum) energy needed for a reaction to occur / (minimum) energy difference between reactants and transition state;

a.

particles must collide;

appropriate collision geometry/orientation;

\(E \geqslant {E_{\text{a}}}\);

b.

Diagram showing:

correct labelling of axes (enthalpy/H/(potential) energy for y-axis and time/progress/course of reaction/reaction coordinate for x-axis) and H (products) line shown below H (reactants) line;

correct labelling of the two curves, catalysed and uncatalysed;

correct position of \({E_{\text{a}}}\) shown with lines for a catalysed and uncatalysed reaction;

the correct label \(\Delta H\) /change in enthalpy;

Do not penalize if reactants and products are not labelled.

M09/4/CHEMI/SP2/ENG/TZ2/ 4.c/M

If an endothermic reaction is shown, award [2 max] if all other parts are shown correctly.

c.

Examiners report

Most candidates gave the correct definition of activation energy in (a).

a.

The two conditions needed for a reaction to take place were given by the majority of candidates.

b.

In (c) some of the enthalpy level diagrams had many labels missing. Axes weren‟t always labelled, one of them was wrongly labelled as delta H, and the curves of Ea with and without catalyst were not properly indicated. A few answers showed an endothermic reaction instead.

c.



Consider the following equilibrium.

\[\begin{array}{*{20}{l}} {{\text{2S}}{{\text{O}}_2}{\text{(g)}} + {{\text{O}}_2}{\text{(g)}} \rightleftharpoons {\text{2S}}{{\text{O}}_3}{\text{(g)}}}&{\Delta {H^\Theta } = - 198{\text{ kJ}}\,{\text{mo}}{{\text{l}}^{ - 1}}} \end{array}\]

Deduce the equilibrium constant expression, \({K_{\text{c}}}\), for the reaction.

[1]
a.i.

State and explain the effect of increasing the temperature on the yield of sulfur trioxide.

[2]
a.ii.

State the effect of a catalyst on the value of \({K_{\text{c}}}\).

[1]
a.iii.

State and explain the effect of a catalyst on the position of equilibrium.

[2]
a.iv.

Define oxidation in terms of oxidation numbers.

[1]
b.i.

Describe using a labelled diagram, the essential components of an electrolytic cell.

[3]
b.ii.

Explain why solid sodium chloride does not conduct electricity but molten sodium chloride does.

[2]
b.iii.

Molten sodium chloride undergoes electrolysis in an electrolytic cell. For each electrode deduce the half-equation and state whether oxidation or reduction takes place. Deduce the equation of the overall cell reaction including state symbols.

[5]
b.iv.

Electrolysis has made it possible to obtain reactive metals such as aluminium from their ores, which has resulted in significant developments in engineering and technology. State one reason why aluminium is preferred to iron in many uses.

[1]
b.v.

Outline two differences between an electrolytic cell and a voltaic cell.

[2]
b.vi.

Markscheme

\({\text{(}}{K_{\text{c}}} = {\text{)[S}}{{\text{O}}_{\text{3}}}{{\text{]}}^{\text{2}}}{\text{/[}}{{\text{O}}_{\text{2}}}{\text{][S}}{{\text{O}}_{\text{2}}}{{\text{]}}^{\text{2}}}\);

a.i.

yield (of \({\text{S}}{{\text{O}}_{\text{3}}}\)) decreases;

forward reaction is exothermic / reverse/backwards reaction is endothermic / equilibrium shifts to absorb (some of) the heat;

Do not accept exothermic reaction or Le Châtelier’s Principle.

Do not allow ECF.

a.ii.

no effect;

a.iii.

no effect;

the rates of both the forward and reverse reactions increase equally;

a.iv.

increase in the oxidation number;

b.i.

Annotated diagram of cell showing:

power supply/battery;

electrolyte;

cathode/negative electrode and anode/positive electrode;

M09/4/CHEMI/SP2/ENG/TZ2/05.b.ii/M

b.ii.

(solid) ions in a lattice / ions cannot move;

(molten) ions mobile / ions free to move;

b.iii.

reduction occurs at the cathode/negative electrode and oxidation occurs at the anode/positive electrode;

Cathode/negative electrode: \({\text{N}}{{\text{a}}^ + } + {{\text{e}}^ - } \to {\text{Na}}\);

Anode/positive electrode: \({\text{2C}}{{\text{l}}^ - } \to {\text{C}}{{\text{l}}_2} + {\text{2}}{{\text{e}}^ - }/{\text{C}}{{\text{l}}^ - } \to \frac{1}{2}{\text{C}}{{\text{l}}_2} + {{\text{e}}^ - }\);

Award [1 max] if the two electrodes are not labelled/labelled incorrectly for the two half-equations.

Overall cell reaction: \({\text{N}}{{\text{a}}^ + }{\text{(1)}} + {\text{C}}{{\text{l}}^ - }{\text{(1)}} \to {\text{Na(1)}} + \frac{1}{2}{\text{C}}{{\text{l}}_2}{\text{(g)}}\)

Award [1] for correct equation and [1] for correct state symbols.

Allow NaCl(l) instead of Na+(l) and Cl(l).

b.iv.

Al does not corrode/rust / Al is less dense/better conductor/more malleable;

Accept Al is a lighter (metal compared to Fe).

Accept converse argument.

b.v.

electrolytic cell converts electrical energy to chemical energy and voltaic cell converts chemical energy to electrical energy / electrolytic cell uses electricity to carry out a (redox) chemical reaction and voltaic cell uses a (redox) chemical reaction to produce electricity / electrolytic cell requires a power supply and voltaic cell does not;

electrolytic cell involves a non-spontaneous (redox) reaction and voltaic cell involves a spontaneous (redox) reaction;

in an electrolytic cell, cathode is negative and anode is positive and vice-versa for a voltaic cell / electrolytic cell, anode is positive and voltaic cell, anode is negative / electrolytic cell, cathode is negative and voltaic cell, cathode is positive;

voltaic cell has two separate solutions and electrolytic cell has one solution / voltaic cell has salt bridge and electrolytic cell has no salt bridge;

electrolytic cell, oxidation occurs at the positive electrode/anode and voltaic cell, oxidation occurs at the negative electrode/anode and vice-versa;

b.vi.

Examiners report

Nearly all candidates deduced the equilibrium constant expression for the reaction given in (a) (i).

a.i.

there were many good and complete answers here for (a) (ii). Some candidates did not state that the forward reaction was exothermic or the reverse reaction was endothermic, when trying to decide the effect of an increase in temperature on the yield of \({\text{S}}{{\text{O}}_{\text{3}}}\).

a.ii.

In (a) (iii) most candidates correctly stated that the catalyst would not have any effect on the value of \({K_{\text{c}}}\).

a.iii.

In part (iv) many candidates correctly stated that the catalyst would not have any effect on the position of equilibrium, but some did not explain why.

a.iv.

In (b) (i) some candidates defined oxidation as the loss of electrons but not in terms of oxidation numbers, as required by the question.

b.i.

Some candidates described a voltaic cell instead of an electrolytic cell in (b) (ii). In some cases the electrodes were wrongly labelled or wrongly connected to the battery and the electrolyte was missing.

b.ii.

A large number of candidates stated that solid sodium chloride did not conduct electricity because it did not contain electrons in (iii). However some gave the correct answer indicating the free/moving ions as the particles responsible for the conductivity.

b.iii.

Part (b) (iv) was generally well answered. Most candidates lost a mark because they did not give the correct state symbols in the overall reaction.

b.iv.

Most candidates gave a correct answer as to why aluminium is preferred to iron in many uses in (b) (v).

b.v.

There were very good answers indicating the main differences between an electrolytic cell and a voltaic cell in (vi).

b.vi.



Biodiesel makes use of plants’ ability to fix atmospheric carbon by photosynthesis. Many companies and individuals are now using biodiesel as a fuel in order to reduce their carbon footprint. Biodiesel can be synthesized from vegetable oil according to the following reaction.

M09/4/CHEMI/SP2/ENG/TZ1/01

The reversible arrows in the equation indicate that the production of biodiesel is an equilibrium process.

Identify the organic functional group present in both vegetable oil and biodiesel.

[1]
a.

For part of her extended essay investigation into the efficiency of the process, a student reacted a pure sample of a vegetable oil (where \({\text{R}} = {{\text{C}}_{{\text{17}}}}{{\text{H}}_{{\text{33}}}}\)) with methanol. The raw data recorded for the reaction is below.

\[\begin{array}{*{20}{l}} {{\text{Mass of oil}}}&{ = 1013.0{\text{ g}}} \\ {{\text{Mass of methanol}}}&{ = 200.0{\text{ g}}} \\ {{\text{Mass of sodium hydroxide}}}&{ = 3.5{\text{ g}}} \\ {{\text{Mass of biodiesel produced}}}&{ = 811.0{\text{ g}}} \end{array}\]

The relative molecular mass of the oil used by the student is 885.6. Calculate the amount (in moles) of the oil and the methanol used, and hence the amount (in moles) of excess methanol.

[3]
b.

State what is meant by the term dynamic equilibrium.

[1]
c.i.

Using the abbreviations [vegetable oil], [methanol], [glycerol] and [biodiesel] deduce the equilibrium constant expression \({\text{(}}{K_{\text{c}}}{\text{)}}\) for this reaction.

[1]
c.ii.

Suggest a reason why excess methanol is used in this process.

[1]
c.iii.

State and explain the effect that the addition of the sodium hydroxide catalyst will have on the position of equilibrium.

[2]
c.iv.

The reactants had to be stirred vigorously because they formed two distinct layers in the reaction vessel. Explain why they form two distinct layers and why stirring increases the rate of reaction.

[2]
d.

Calculate the percentage yield of biodiesel obtained in this process.

[2]
e.

Markscheme

ester;

a.

amount of oil \( = \frac{{1013.0}}{{885.6}} = 1.144{\text{ mol}}\);

amount of methanol \( = \frac{{200.0}}{{32.05}} = 6.240{\text{ mol}}\);

since three mol of methanol react with one mol of vegetable oil the amount of excess methanol \( = 6.204 - (3 \times 1.144) = 2.808{\text{ mol}}\);

b.

rate of the forward reaction is equal to the rate of the reverse reaction / forward and reverse reactions occur and the concentrations of the reactants and products do not change / OWTTE;

c.i.

\({K_{\text{c}}} = \frac{{{\text{[glycerol]}} \times {{{\text{[biodiesel]}}}^3}}}{{{\text{[vegetable oil]}} \times {{{\text{[methanol]}}}^3}}}\);

c.ii.

to move the position of equilibrium to the right/product side / increase the yield of biodiesel;

c.iii.

no effect (on position of equilibrium);

increases the rate of the forward and the reverse reactions equally (so equilibrium reached quicker) / it lowers Ea for both the forward and reverse reactions by the same amount / OWTTE;

No ECF for explanation.

c.iv.

vegetable oil is mainly non-polar and methanol is polar / OWTTE;

stirring brings them into more contact with each other / increase the frequency of collisions / OWTTE;

Do not allow simply mixing.

d.

(relative molecular mass of biodiesel, \({{\text{C}}_{19}}{{\text{H}}_{36}}{{\text{O}}_2} = 296.55\))

maximum yield of biodiesel \( = 3.432{\text{ mol}}/1018{\text{ g}}\);

percentage yield \(\frac{{811.0}}{{1018}} \times 100 = 79.67\% \);

Allow 80% for percentage yield.

e.

Examiners report

Part (a) was reasonably well answered with most candidates opting for an ester. Ketone (frequently spelt keytone) and carbonyl were the most common incorrect responses.

a.

In Part (b) most candidates scored 1 or 2 marks, showing that they knew the correct method but the third mark proved to be more difficult to obtain, usually because the factor of 3 was omitted.

b.

In general, equilibrium (Part (c)) seems to be quite well understood. The most common error in (i) was to describe the reaction as constant rather than having opposing reactions with equal rates.

c.i.

The expression in (ii) was an easy mark for the better candidates. The weaker ones often missed one or both of the powers of three and a small number had + signs in both the numerator and denominator.

c.ii.

In (iii) the most common incorrect answer was ‘to use up all the vegetable oil’.

c.iii.

In (iv) most candidates were aware that a catalyst has no effect on the equilibrium constant but failed to gain the second mark for saying that the catalyst affected both reactions equally, either by increasing the rates equally or lowering the activation energy by the same amount.

c.iv.

Very few candidates scored both marks for Part (d) of the question. The better candidates realised that there was a difference in polarity, though not always identifying which reactant was polar and which was non-polar. The most common answers either simply stated that the two were immiscible or that they had different densities. For the second mark an increase in collisions was often mentioned but not always an increase in the frequency of collisions.

d.

Candidates found Part (e) to be very difficult. This was not helped by the small amount of space available to them on the paper. Many answers expressed the data in terms which would have calculated (100 - %) as though they had been drilled to calculate % impurities.

e.



The Haber process enables the large-scale production of ammonia needed to make fertilizers.

The equation for the Haber process is given below.

\[{{\text{N}}_2}({\text{g)}} + 3{{\text{H}}_2}({\text{g)}} \rightleftharpoons {\text{2N}}{{\text{H}}_3}({\text{g)}}\]

The percentage of ammonia in the equilibrium mixture varies with temperature.

N10/4/CHEMI/SP2/ENG/TZ0/06.a

Fertilizers may cause health problems for babies because nitrates can change into nitrites in water used for drinking.

A student decided to investigate the reactions of the two acids with separate samples of \({\text{0.20 mol}}\,{\text{d}}{{\text{m}}^{ - 3}}\) sodium hydroxide solution.

(i)     Use the graph to deduce whether the forward reaction is exothermic or endothermic and explain your choice.

(ii)     State and explain the effect of increasing the pressure on the yield of ammonia.

(iii)     Explain the effect of increasing the temperature on the rate of reaction.

[6]
a.

(i)     Define oxidation in terms of oxidation numbers.

(ii)     Deduce the oxidation states of nitrogen in the nitrate, \({\text{NO}}_{\text{3}}^ - \), and nitrite, \({\text{NO}}_{\text{2}}^ - \), ions.

[2]
b.

The nitrite ion is present in nitrous acid, HNO2, which is a weak acid. The nitrate ion is present in nitric acid, HNO3, which is a strong acid. Distinguish between the terms strong and weak acid and state the equations used to show the dissociation of each acid in aqueous solution.

[3]
c.

A small piece of magnesium ribbon is added to solutions of nitric and nitrous acid of the same concentration at the same temperature. Describe two observations that would allow you to distinguish between the two acids.

[2]
d.

(i)     Calculate the volume of the sodium hydroxide solution required to react exactly with a \({\text{15.0 c}}{{\text{m}}^{\text{3}}}\) solution of \({\text{0.10 mol}}\,{\text{d}}{{\text{m}}^{ - 3}}\) nitric acid.

(ii)     The following hypothesis was suggested by the student: “Since nitrous acid is a weak acid it will react with a smaller volume of the \({\text{0.20 mol}}\,{\text{d}}{{\text{m}}^{ - 3}}\) sodium hydroxide solution.” Comment on whether or not this is a valid hypothesis.

[2]
e.

The graph below shows how the conductivity of the two acids changes with concentration.

N10/4/CHEMI/SP2/ENG/TZ0/06.f

Identify Acid 1 and explain your choice.

[2]
f.

Nitric acid reacts with silver in a redox reaction.

__ \({\text{Ag(s)}} + \) __ \({\text{NO}}_3^ - {\text{(aq)}} + \) ___ \( \to \) ___\({\text{A}}{{\text{g}}^ + }{\text{(aq)}} + \) __ \({\text{NO(g)}} + \) ____

Using oxidation numbers, deduce the complete balanced equation for the reaction showing all the reactants and products.

[3]
g.

Markscheme

(i)     exothermic;

Accept either of the following for the second mark.

increasing temperature favours endothermic/reverse reaction;

as yield decreases with increasing temperature;

(ii)     yield increases / equilibrium moves to the right / more ammonia;

increase in pressure favours the reaction which has fewer moles of gaseous products;

(iii)     (rate increases because) increase in frequency (of collisions);

increase in energy (of collisions);

more colliding molecules with \(E \geqslant {E_{\text{a}}}\);

a.

(i)     increase in the oxidation number;

(ii)     (NO3) + 5 and (NO2) + 3;

Accept V and III.

Do not penalize missing charges on numbers.

b.

strong acid completely dissociated/ionized and weak acid partially dissociated/ionized;

\({\text{HN}}{{\text{O}}_3}{\text{(aq)}} \to {{\text{H}}^ + }{\text{(aq)}} + {\text{NO}}_3^ - {\text{(aq)}}\);

\({\text{HN}}{{\text{O}}_2}{\text{(aq)}} \rightleftharpoons {{\text{H}}^ + }{\text{(aq)}} + {\text{NO}}_2^ - {\text{(aq)}}\);

Allow only arrows as shown.

State symbols not needed.

Accept H2O and H3O+.

c.

With HNO3:

faster rate of bubble/gas/hydrogen production;

faster rate of magnesium dissolving;

higher temperature change;

Accept opposite argument for HNO2.

Award [1] if 2 observations given but acid is not identified.

Reference to specific observations needed.

d.

(i)     (nitric acid) \({\text{7.5 c}}{{\text{m}}^{\text{3}}}\);

(ii)     not valid as nitrous acid reacts with same volume/ \({\text{7.5 c}}{{\text{m}}^{\text{3}}}\);

e.

HNO3;

(higher conductivity for solutions with same concentration as) there are more ions in solution;

f.

change in oxidation numbers: Ag from 0 to +1 and N from +5 to +2;

Do not penalise missing charges on numbers.

balanced equation: \({\text{3Ag}} + {\text{NO}}_3^ -  + {\text{4}}{{\text{H}}^ + } \to {\text{3A}}{{\text{g}}^ + } + {\text{NO}} + {\text{2}}{{\text{H}}_2}{\text{O}}\)

Award [1] for correct reactants and product;

Award [3] for correct balanced equation.

Ignore state symbols

g.

Examiners report

This was the most popular question and it was well answered by the majority of candidates. The reaction was correctly described as exothermic and the reason for this explained correctly in most cases. Most candidates knew that yield would increase with increased pressure, but failed to score a second mark because they did not mention ‘gaseous’ although they did know the answer. The effect of increased temperature on rate was generally well described although some did get confused with yield and how it would affect equilibrium.

a.

Most candidates correctly defined oxidation in 6(b)(i) but ‘hedged their bets’ by stating loss of electrons as well as an increase in oxidation number. In 6(b)(ii) the oxidation states were generally deduced correctly but sometimes written as ionic charges (5+ for instance, instead of +5).

b.

In 6(c) most correctly defined strong and weak acids, and many also wrote correct equations. A few, though, had no idea. In (c), arrows proved to be a minefield for several candidates, especially the equilibrium sign. HA was commonly given, as were CH3COOH and HCl, instead of nitric and nitrous acid.

c.

6(d) presented problems with many candidates unable to describe observations and instead stating there would be ‘more hydrogen produced’ or just that ‘the reaction would be faster’. However, better candidates were able to answer this part correctly and scored full marks.

d.

In 6(e)(i) the calculation was answered well, but 6(e)(ii), that asked for a comment on the hypothesis, was not and few candidates stated that the same volume of acid was needed.

e.

In 6(f), the majority correctly identified the strong acid but often failed to explain its better conductivity in terms of the ions.

f.

Many could give a correct balanced equation and scored the 3 marks, and others scored 1 mark for giving the correct reactants and products. However, not many candidates used oxidation numbers to deduce the balanced equation.

g.



Reaction kinetics can be investigated using the iodine clock reaction. The equations for two reactions that occur are given below.

     Reaction A: \({{\text{H}}_2}{{\text{O}}_2}{\text{(aq)}} + {\text{2}}{{\text{I}}^ - }{\text{(aq)}} + {\text{2}}{{\text{H}}^ + }{\text{(aq)}} \to {{\text{I}}_2}{\text{(aq)}} + {\text{2}}{{\text{H}}_2}{\text{O(l)}}\)

     Reaction B: \({{\text{I}}_2}{\text{(aq)}} + {\text{2}}{{\text{S}}_2}{\text{O}}_3^{2 - }{\text{(aq)}} \to {\text{2}}{{\text{I}}^ - }{\text{(aq)}} + {{\text{S}}_4}{\text{O}}_6^{2 - }{\text{(aq)}}\)

Reaction B is much faster than reaction A, so the iodine, \({{\text{I}}_{\text{2}}}\), formed in reaction A immediately reacts with thiosulfate ions, \({{\text{S}}_{\text{2}}}{\text{O}}_3^{2 - }\), in reaction B, before it can react with starch to form the familiar blue-black, starch-iodine complex.

In one experiment the reaction mixture contained:

\(5.0 \pm 0.1{\text{ c}}{{\text{m}}^{\text{3}}}\) of \({\text{2.00 mol}}\,{\text{d}}{{\text{m}}^{ - 3}}\) hydrogen peroxide \({\text{(}}{{\text{H}}_{\text{2}}}{{\text{O}}_{\text{2}}}{\text{)}}\)

\(5.0 \pm 0.1{\text{ c}}{{\text{m}}^{\text{3}}}\) of 1% aqueous starch

\(20.0 \pm 0.1{\text{ c}}{{\text{m}}^{\text{3}}}\) of \({\text{1.00 mol}}\,{\text{d}}{{\text{m}}^{ - 3}}\) sulfuric acid (\({{\text{H}}_{\text{2}}}{\text{S}}{{\text{O}}_{\text{4}}}\))

\(20.0 \pm 0.1{\text{ c}}{{\text{m}}^{\text{3}}}\) of \({\text{0.0100 mol}}\,{\text{d}}{{\text{m}}^{ - 3}}\) sodium thiosulfate (\({\text{N}}{{\text{a}}_{\text{2}}}{{\text{S}}_{\text{2}}}{{\text{O}}_{\text{3}}}\))

\(50.0 \pm 0.1{\text{ c}}{{\text{m}}^{\text{3}}}\) of water with 0.0200 ± 0.0001 g of potassium iodide (KI) dissolved in it.

After 45 seconds this mixture suddenly changed from colourless to blue-black.

Calculate the amount, in mol, of KI in the reaction mixture.

[1]
a.

Calculate the amount, in mol, of \({{\text{H}}_{\text{2}}}{{\text{O}}_{\text{2}}}\) in the reaction mixture.

[1]
b.

The concentration of iodide ions, \({{\text{I}}^ - }\), is assumed to be constant. Outline why this is a valid assumption.

[1]
c.

For this mixture the concentration of hydrogen peroxide, \({{\text{H}}_{\text{2}}}{{\text{O}}_{\text{2}}}\), can also be assumed to be constant. Explain why this is a valid assumption.

[2]
d.

Explain why the solution suddenly changes colour.

[2]
e.

Apart from the precision uncertainties given, state one source of error that could affect this investigation and identify whether this is a random error or a systematic error.

[2]
f.

Calculate the total uncertainty, in \({\text{c}}{{\text{m}}^{\text{3}}}\), of the volume of the reaction mixture.

[1]
g.

The colour change occurs when \(1.00 \times {10^{ - 4}}{\text{ mol}}\) of iodine has been formed. Use the total volume of the solution and the time taken, to calculate the rate of the reaction, including appropriate units.

[4]
h.

In a second experiment, the concentration of the hydrogen peroxide was decreased to \({\text{1.00 mol}}\,{\text{d}}{{\text{m}}^{ - 3}}\) while all other concentrations and volumes remained unchanged. The colour change now occurred after 100 seconds. Explain why the reaction in this experiment is slower than in the original experiment.

[2]
i.

In a third experiment, 0.100 g of a black powder was also added while all other concentrations and volumes remained unchanged. The time taken for the solution to change colour was now 20 seconds. Outline why you think the colour change occurred more rapidly and how you could confirm your hypothesis.

[2]
j.

Explain why increasing the temperature also decreases the time required for the colour to change.

[2]
k.

Markscheme

\(\left( {\frac{{0.0200}}{{166.00}} = } \right){\text{ }}0.000120/1.20 \times {10^{ - 4}}{\text{ (mol)}}\);

Accept 1.21 \( \times \) 10–4.

a.

\((0.0050 \times 2.00 = ){\text{ }}0.010{\text{ (mol)}}/1.0 \times {10^{ - 2}}\);

b.

KI/\({{\text{I}}^ - }\)/potassium iodide/iodide (ion) (rapidly) reformed (in second stage of reaction);

c.

amount (in mol) of \({{\text{H}}_{\text{2}}}{{\text{O}}_{\text{2}}}\)/hydrogen peroxide \( \gg \) amount (in mol) \({\text{N}}{{\text{a}}_{\text{2}}}{{\text{S}}_{\text{2}}}{{\text{O}}_{\text{3}}}{\text{/}}{{\text{S}}_{\text{2}}}{\text{O}}_3^{2 - }\)/sodium thiosulfate/ thiosulfate (ion);

Accept amount (in mol) of H2O2/hydrogen peroxide \( \gg \) amount (in mol) KI/I/potassium iodide/iodide (ion).

Accept “[H2O2]/hydrogen peroxide is in (large) excess/high concentration”.

(at end of reaction) [\({{\text{H}}_{\text{2}}}{{\text{O}}_{\text{2}}}\)] is only slightly decreased/virtually unchanged;

d.

all \({\text{N}}{{\text{a}}_{\text{2}}}{{\text{S}}_{\text{2}}}{{\text{O}}_{\text{3}}}\)/sodium thiosulfate/\({{\text{S}}_{\text{2}}}{\text{O}}_3^{2 - }\)/thiosulfate consumed/used up;

Accept “iodine no longer converted to iodide”.

(free) iodine is formed / iodine reacts with starch / forms iodine-starch complex;

e.

Random: synchronizing mixing and starting timing / (reaction) time / uncertainty of concentrations of solutions / temperature of solutions/room temperature;

OR

Systematic: liquid remaining in measuring cylinders / not all solid KI transferred / precision uncertainty of stopwatch / ability of human eye to detect colour change / parallax error;

Accept concentration of stock solution and human reaction time as systematic error.

Award M1 for correctly identifying a source of error and M2 for classifying it.

Accept other valid sources of error.

Do not accept “student making mistakes” / OWTTE.

f.

\((5 \times 0.1) = ( \pm )0.5{\text{ }}({\text{c}}{{\text{m}}^3})\);

g.

total volume \( = 0.100{\text{ }}({\text{d}}{{\text{m}}^3})/100{\text{ }}({\text{c}}{{\text{m}}^3})\);

\(\left( {{\text{change in concentration}} = \frac{{1.00 \times {{10}^{ - 4}}}}{{{\text{0.100}}}} = } \right){\text{ }}1.00 \times {10^{ - 3}}{\text{ (mol}}\,{\text{d}}{{\text{m}}^{ - 3}}{\text{)}}\);

\(\left( {{\text{rate}} = \frac{{1.00 \times {{10}^{ - 3}}}}{{45}} = } \right){\text{ }}2.2 \times {10^{ - 5}}\);

Award [3] for the correct final answer.

\({\text{mol}}\,{\text{d}}{{\text{m}}^{ - 3}}{{\text{s}}^{ - 1}}\);

h.

fewer particles (per unit volume);

lower collision rate/collision frequency / less frequent collisions;

Do not accept “less collisions”.

i.

acting as a catalyst / black powder reacts with thiosulfate ions / solid dissolves to give blue-black solution;

Accept any other valid suggestion which will make colour change more rapid.

For catalyst: amount/mass of black powder remains constant / no new/different products formed / activation energy decreased;

For other suggestions: any appropriate way to test the hypothesis;

Award [1] for valid hypothesis, [1] for appropriate method of testing the stated hypothesis.

j.

particles have greater (average) kinetic energy;

Do not accept energy instead of kinetic energy.

more frequent collisions/collision frequency/number of collisions in a given time increases;

Do not accept “more collisions” unless “less collisions” penalized in (i).

greater proportion of particles have energy \( \ge\) activation energy;

Accept “particles have sufficient energy for collisions to be successful”.

k.

Examiners report

This was a data based question based on quantitative chemistry and proved difficult for many candidates. Majority of candidates were able to gain almost full marks in parts (a) and (b). In part (c), many candidates failing to recognise that KI is rapidly reformed in the second stage of the reaction. In part (d), majority of candidates could not interpret the information correctly and hence lost two marks. Similarly, only 1 mark was obtained in part (e) where candidates recognized that iodine forms the starch-iodine complex. Many candidates managed the systematic and random errors in part (f). Calculation of uncertainty in part (g) was relatively well done by many candidates. In part (h), calculation of rate of reaction occasionally saw the erroneous use of volume in \({\text{c}}{{\text{m}}^{\text{3}}}\). In part (i), the candidates just repeated the stem of the question but obtained credit for the second mark for stating less frequent collisions. Part (j) was quite open ended and elicited a number of interesting responses (instead of acting as catalyst) whereas the suggested tests would not in fact confirm the hypothesis suggested. In part (k), the effect of increasing temperature on the rate of reaction proved easy for majority of candidates.

a.

This was a data based question based on quantitative chemistry and proved difficult for many candidates. Majority of candidates were able to gain almost full marks in parts (a) and (b). In part (c), many candidates failing to recognise that KI is rapidly reformed in the second stage of the reaction. In part (d), majority of candidates could not interpret the information correctly and hence lost two marks. Similarly, only 1 mark was obtained in part (e) where candidates recognized that iodine forms the starch-iodine complex. Many candidates managed the systematic and random errors in part (f). Calculation of uncertainty in part (g) was relatively well done by many candidates. In part (h), calculation of rate of reaction occasionally saw the erroneous use of volume in \({\text{c}}{{\text{m}}^{\text{3}}}\). In part (i), the candidates just repeated the stem of the question but obtained credit for the second mark for stating less frequent collisions. Part (j) was quite open ended and elicited a number of interesting responses (instead of acting as catalyst) whereas the suggested tests would not in fact confirm the hypothesis suggested. In part (k), the effect of increasing temperature on the rate of reaction proved easy for majority of candidates.

b.

This was a data based question based on quantitative chemistry and proved difficult for many candidates. Majority of candidates were able to gain almost full marks in parts (a) and (b). In part (c), many candidates failing to recognise that KI is rapidly reformed in the second stage of the reaction. In part (d), majority of candidates could not interpret the information correctly and hence lost two marks. Similarly, only 1 mark was obtained in part (e) where candidates recognized that iodine forms the starch-iodine complex. Many candidates managed the systematic and random errors in part (f). Calculation of uncertainty in part (g) was relatively well done by many candidates. In part (h), calculation of rate of reaction occasionally saw the erroneous use of volume in \({\text{c}}{{\text{m}}^{\text{3}}}\). In part (i), the candidates just repeated the stem of the question but obtained credit for the second mark for stating less frequent collisions. Part (j) was quite open ended and elicited a number of interesting responses (instead of acting as catalyst) whereas the suggested tests would not in fact confirm the hypothesis suggested. In part (k), the effect of increasing temperature on the rate of reaction proved easy for majority of candidates.

c.

This was a data based question based on quantitative chemistry and proved difficult for many candidates. Majority of candidates were able to gain almost full marks in parts (a) and (b). In part (c), many candidates failing to recognise that KI is rapidly reformed in the second stage of the reaction. In part (d), majority of candidates could not interpret the information correctly and hence lost two marks. Similarly, only 1 mark was obtained in part (e) where candidates recognized that iodine forms the starch-iodine complex. Many candidates managed the systematic and random errors in part (f). Calculation of uncertainty in part (g) was relatively well done by many candidates. In part (h), calculation of rate of reaction occasionally saw the erroneous use of volume in \({\text{c}}{{\text{m}}^{\text{3}}}\). In part (i), the candidates just repeated the stem of the question but obtained credit for the second mark for stating less frequent collisions. Part (j) was quite open ended and elicited a number of interesting responses (instead of acting as catalyst) whereas the suggested tests would not in fact confirm the hypothesis suggested. In part (k), the effect of increasing temperature on the rate of reaction proved easy for majority of candidates.

d.

This was a data based question based on quantitative chemistry and proved difficult for many candidates. Majority of candidates were able to gain almost full marks in parts (a) and (b). In part (c), many candidates failing to recognise that KI is rapidly reformed in the second stage of the reaction. In part (d), majority of candidates could not interpret the information correctly and hence lost two marks. Similarly, only 1 mark was obtained in part (e) where candidates recognized that iodine forms the starch-iodine complex. Many candidates managed the systematic and random errors in part (f). Calculation of uncertainty in part (g) was relatively well done by many candidates. In part (h), calculation of rate of reaction occasionally saw the erroneous use of volume in \({\text{c}}{{\text{m}}^{\text{3}}}\). In part (i), the candidates just repeated the stem of the question but obtained credit for the second mark for stating less frequent collisions. Part (j) was quite open ended and elicited a number of interesting responses (instead of acting as catalyst) whereas the suggested tests would not in fact confirm the hypothesis suggested. In part (k), the effect of increasing temperature on the rate of reaction proved easy for majority of candidates.

e.

This was a data based question based on quantitative chemistry and proved difficult for many candidates. Majority of candidates were able to gain almost full marks in parts (a) and (b). In part (c), many candidates failing to recognise that KI is rapidly reformed in the second stage of the reaction. In part (d), majority of candidates could not interpret the information correctly and hence lost two marks. Similarly, only 1 mark was obtained in part (e) where candidates recognized that iodine forms the starch-iodine complex. Many candidates managed the systematic and random errors in part (f). Calculation of uncertainty in part (g) was relatively well done by many candidates. In part (h), calculation of rate of reaction occasionally saw the erroneous use of volume in \({\text{c}}{{\text{m}}^{\text{3}}}\). In part (i), the candidates just repeated the stem of the question but obtained credit for the second mark for stating less frequent collisions. Part (j) was quite open ended and elicited a number of interesting responses (instead of acting as catalyst) whereas the suggested tests would not in fact confirm the hypothesis suggested. In part (k), the effect of increasing temperature on the rate of reaction proved easy for majority of candidates.

f.

This was a data based question based on quantitative chemistry and proved difficult for many candidates. Majority of candidates were able to gain almost full marks in parts (a) and (b). In part (c), many candidates failing to recognise that KI is rapidly reformed in the second stage of the reaction. In part (d), majority of candidates could not interpret the information correctly and hence lost two marks. Similarly, only 1 mark was obtained in part (e) where candidates recognized that iodine forms the starch-iodine complex. Many candidates managed the systematic and random errors in part (f). Calculation of uncertainty in part (g) was relatively well done by many candidates. In part (h), calculation of rate of reaction occasionally saw the erroneous use of volume in \({\text{c}}{{\text{m}}^{\text{3}}}\). In part (i), the candidates just repeated the stem of the question but obtained credit for the second mark for stating less frequent collisions. Part (j) was quite open ended and elicited a number of interesting responses (instead of acting as catalyst) whereas the suggested tests would not in fact confirm the hypothesis suggested. In part (k), the effect of increasing temperature on the rate of reaction proved easy for majority of candidates.

g.

This was a data based question based on quantitative chemistry and proved difficult for many candidates. Majority of candidates were able to gain almost full marks in parts (a) and (b). In part (c), many candidates failing to recognise that KI is rapidly reformed in the second stage of the reaction. In part (d), majority of candidates could not interpret the information correctly and hence lost two marks. Similarly, only 1 mark was obtained in part (e) where candidates recognized that iodine forms the starch-iodine complex. Many candidates managed the systematic and random errors in part (f). Calculation of uncertainty in part (g) was relatively well done by many candidates. In part (h), calculation of rate of reaction occasionally saw the erroneous use of volume in \({\text{c}}{{\text{m}}^{\text{3}}}\). In part (i), the candidates just repeated the stem of the question but obtained credit for the second mark for stating less frequent collisions. Part (j) was quite open ended and elicited a number of interesting responses (instead of acting as catalyst) whereas the suggested tests would not in fact confirm the hypothesis suggested. In part (k), the effect of increasing temperature on the rate of reaction proved easy for majority of candidates.

h.

This was a data based question based on quantitative chemistry and proved difficult for many candidates. Majority of candidates were able to gain almost full marks in parts (a) and (b). In part (c), many candidates failing to recognise that KI is rapidly reformed in the second stage of the reaction. In part (d), majority of candidates could not interpret the information correctly and hence lost two marks. Similarly, only 1 mark was obtained in part (e) where candidates recognized that iodine forms the starch-iodine complex. Many candidates managed the systematic and random errors in part (f). Calculation of uncertainty in part (g) was relatively well done by many candidates. In part (h), calculation of rate of reaction occasionally saw the erroneous use of volume in \({\text{c}}{{\text{m}}^{\text{3}}}\). In part (i), the candidates just repeated the stem of the question but obtained credit for the second mark for stating less frequent collisions. Part (j) was quite open ended and elicited a number of interesting responses (instead of acting as catalyst) whereas the suggested tests would not in fact confirm the hypothesis suggested. In part (k), the effect of increasing temperature on the rate of reaction proved easy for majority of candidates.

i.

This was a data based question based on quantitative chemistry and proved difficult for many candidates. Majority of candidates were able to gain almost full marks in parts (a) and (b). In part (c), many candidates failing to recognise that KI is rapidly reformed in the second stage of the reaction. In part (d), majority of candidates could not interpret the information correctly and hence lost two marks. Similarly, only 1 mark was obtained in part (e) where candidates recognized that iodine forms the starch-iodine complex. Many candidates managed the systematic and random errors in part (f). Calculation of uncertainty in part (g) was relatively well done by many candidates. In part (h), calculation of rate of reaction occasionally saw the erroneous use of volume in \({\text{c}}{{\text{m}}^{\text{3}}}\). In part (i), the candidates just repeated the stem of the question but obtained credit for the second mark for stating less frequent collisions. Part (j) was quite open ended and elicited a number of interesting responses (instead of acting as catalyst) whereas the suggested tests would not in fact confirm the hypothesis suggested. In part (k), the effect of increasing temperature on the rate of reaction proved easy for majority of candidates.

j.

This was a data based question based on quantitative chemistry and proved difficult for many candidates. Majority of candidates were able to gain almost full marks in parts (a) and (b). In part (c), many candidates failing to recognise that KI is rapidly reformed in the second stage of the reaction. In part (d), majority of candidates could not interpret the information correctly and hence lost two marks. Similarly, only 1 mark was obtained in part (e) where candidates recognized that iodine forms the starch-iodine complex. Many candidates managed the systematic and random errors in part (f). Calculation of uncertainty in part (g) was relatively well done by many candidates. In part (h), calculation of rate of reaction occasionally saw the erroneous use of volume in \({\text{c}}{{\text{m}}^{\text{3}}}\). In part (i), the candidates just repeated the stem of the question but obtained credit for the second mark for stating less frequent collisions. Part (j) was quite open ended and elicited a number of interesting responses (instead of acting as catalyst) whereas the suggested tests would not in fact confirm the hypothesis suggested. In part (k), the effect of increasing temperature on the rate of reaction proved easy for majority of candidates.

k.



Graphing is an important tool in the study of rates of chemical reactions.

Excess hydrochloric acid is added to lumps of calcium carbonate. The graph shows the volume of carbon dioxide gas produced over time.

Sketch a Maxwell–Boltzmann distribution curve for a chemical reaction showing the activation energies with and without a catalyst.

[3]
a.

Sketch a curve on the graph to show the volume of gas produced over time if the same mass of crushed calcium carbonate is used instead of lumps. All other conditions remain constant.

[1]
b.i.

State and explain the effect on the rate of reaction if ethanoic acid of the same concentration is used in place of hydrochloric acid.

[2]
b.ii.

Outline why pH is more widely used than [H+] for measuring relative acidity.

[1]
c.

Outline why H3PO4/HPO42− is not a conjugate acid-base pair.

[1]
d.

Markscheme

M18/4/CHEMI/SP2/ENG/TZ2/02.a/M

both axes correctly labelled

correct shape of curve starting at origin

Ea(catalyst) < Ea(without catalyst) on x-axis

 

M1:

Accept “speed” for x-axis label.

Accept “number of particles”, “N”, “frequency” or “probability «density»” for y-axis label.

Do not accept “potential energy” for x-axis label.

 

M2:

Do not accept a curve that touches the x-axis at high energy.

Do not award M2 if two curves are drawn.

 

M3:

Ignore any shading under the curve.

[3 marks]

a.

M18/4/CHEMI/SP2/ENG/TZ2/02.b.i/M

curve starting from origin with steeper gradient AND reaching same maximum volume

[1 mark]

b.i.

rate decreases

OR

slower reaction

 

«ethanoic acid» partially dissociated/ionized «in solution/water»

OR

lower [H+]

 

Accept “weak acid” or “higher pH”.

[2 marks]

b.ii.

«pH» converts «wide range of [H+]» into simple «log» scale/numbers

OR

«pH» avoids need for exponential/scientific notation

OR

«pH» converts small numbers into values «typically» between 0/1 and 14

OR

«pH» allows easy comparison of values of [H+]

 

Accept “uses values between 0/1 and 14”.

Do not accept “easier to use”.

Do not accept “easier for calculations”.

[1 mark]

c.

«species» do not differ by a «single» proton/H+

OR

conjugate base of H3PO4 is H2PO4 «not HPO42–»

OR

conjugate acid of HPO42– is H2PO4 «not H3PO4»

 

Do not accept “hydrogen/H” for “H+/proton”.

[1 mark]

d.

Examiners report

[N/A]
a.
[N/A]
b.i.
[N/A]
b.ii.
[N/A]
c.
[N/A]
d.



The rate of reaction is an important factor in industrial processes such as the Contact process to make sulfur trioxide, \({\text{S}}{{\text{O}}_{\text{3}}}{\text{(g)}}\).

\({\text{2S}}{{\text{O}}_{\text{2}}}{\text{(g)}} + {{\text{O}}_{\text{2}}}{\text{(g)}} \rightleftharpoons {\text{2S}}{{\text{O}}_{\text{3}}}{\text{(g)}}\)     \(\Delta {H^\Theta } =  - 198{\text{ kJ}}\)

Define the term rate of reaction.

[1]
a.

Describe the collision theory.

[3]
b.

Markscheme

change in concentration of reactant/product with time / rate of change of concentration;

Accept “increase” instead of “change” for product and “decrease” instead of “change” for reactant.

Accept “mass/amount/volume” instead of “concentration”.

Do not accept substance.

a.

collision frequency;

two particles must collide;

particles must have sufficient energy to overcome the activation energy/\(E \geqslant {E_{\text{a}}}\);

Concept of activation energy must be mentioned.

appropriate collision geometry/orientation;

b.

Examiners report

This question was very straightforward and based on kinetics but few scored all the marks available as their ability to correctly define rate of reaction and describe the collision theory was limited.

a.

This question was very straightforward and based on kinetics but few scored all the marks available as their ability to correctly define rate of reaction and describe the collision theory was limited.

b.



The Contact process involves an exothermic reversible reaction.

\({\text{2S}}{{\text{O}}_{\text{2}}}{\text{(g)}} + {{\text{O}}_{\text{2}}}{\text{(g)}} \rightleftharpoons {\text{2S}}{{\text{O}}_{\text{3}}}{\text{(g)}}\)     \({K_{\text{c}}} \gg 1\) at 200 °C and 1 atm

Deduce the extent of the reaction at 200 °C and 1 atm.

[1]
a.

The Contact process operates at a temperature of 450 °C and a pressure of 2 atm as optimum conditions for the production of \({\text{S}}{{\text{O}}_{\text{3}}}\). Outline the reasons for choosing these conditions.

 

Temperature:

 

 

 

 

Pressure:

[4]
b.

An engineer at a Contact process plant hypothesized that using pure oxygen, instead of air, would increase the profits. Comment on whether or not her hypothesis is valid, giving your reasons.

[2]
c.

Markscheme

concentration of products is much higher than the concentration of reactants / reaction nearly/almost goes to completion / position of equilibrium lies very far to the right / OWTTE;

Response must indicate the position of equilibrium is far to the right, but not complete conversion.

a.

Temperature:

rate of reaction/production is slow at low temperature/fast at high temperature / OWTTE;

forward reaction is exothermic/backward reaction is endothermic

and

high temperature shifts equilibrium to left/reactants/favours reverse reaction / low temperature shifts equilibrium to right/products/favours forward reaction / OWTTE;

450 °C is a compromise temperature / produces a relatively good equilibrium yield at a reasonably fast rate;

Pressure:

rate of reaction/production is slow at low pressure/fast at high pressure / OWTTE;

more moles of gaseous reactants/less moles of gaseous products

and

high pressure shifts equilibrium to right/products/favours forward reaction / low pressure shifts equilibrium to left/reactants/favours reverse reaction / OWTTE;

a high yield/good reaction rate is obtained even at low pressure;

high pressure is expensive/dangerous;

b.

(hypothesis is not valid as) equilibrium already nearly goes to completion / OWTTE;

(hypothesis is not valid as increase in yield may not be worth) expense of using pure oxygen / OWTTE;

(hypothesis is valid as pure oxygen) increases the rate of (the forward) reaction / more \({\text{S}}{{\text{O}}_{\text{3}}}\) produced per hour/day;

(hypothesis is valid as pure oxygen) shifts equilibrium to the right/products/\({\text{S}}{{\text{O}}_{\text{3}}}\) / increases the equilibrium concentration of \({\text{S}}{{\text{O}}_{\text{3}}}\);

Award [1 max] if no reference to “hypothesis”.

c.

Examiners report

A number of candidates seemed confused as to what Part (a) required, but most students could relate completeness of reaction to the value of \({K_{\text{c}}}\), a common error being to declare the reaction “complete” rather than “almost complete”. Obviously some candidates had covered the “compromise” conditions for the reaction in some detail and could give a thorough answer to Part (b), though candidates often failed to give reasons (forward reaction exothermic and decreases moles of gas) for equilibrium shifts. Candidates seemed less at ease with the hypothesis question in Part (c), with many stating opinion without any reference to the hypothesis, in addition quite a few failed to realise that two separate factors were required to gain full marks.

a.

A number of candidates seemed confused as to what Part (a) required, but most students could relate completeness of reaction to the value of \({K_{\text{c}}}\), a common error being to declare the reaction “complete” rather than “almost complete”. Obviously some candidates had covered the “compromise” conditions for the reaction in some detail and could give a thorough answer to Part (b), though candidates often failed to give reasons (forward reaction exothermic and decreases moles of gas) for equilibrium shifts. Candidates seemed less at ease with the hypothesis question in Part (c), with many stating opinion without any reference to the hypothesis, in addition quite a few failed to realise that two separate factors were required to gain full marks.

b.

A number of candidates seemed confused as to what Part (a) required, but most students could relate completeness of reaction to the value of \({K_{\text{c}}}\), a common error being to declare the reaction “complete” rather than “almost complete”. Obviously some candidates had covered the “compromise” conditions for the reaction in some detail and could give a thorough answer to Part (b), though candidates often failed to give reasons (forward reaction exothermic and decreases moles of gas) for equilibrium shifts. Candidates seemed less at ease with the hypothesis question in Part (c), with many stating opinion without any reference to the hypothesis, in addition quite a few failed to realise that two separate factors were required to gain full marks.

c.



Chemical equilibrium and kinetics are important concepts in chemistry.

The oxidation of sulfur dioxide is an important reaction in the Contact process used to manufacture sulfuric acid.

\[\begin{array}{*{20}{l}} {{\text{2S}}{{\text{O}}_2}{\text{(g)}} + {{\text{O}}_{\text{2}}}{\text{(g)}} \rightleftharpoons {\text{2S}}{{\text{O}}_{\text{3}}}{\text{(g)}}}&{\Delta H =  - 198.2{\text{ kJ}}} \end{array}\]

Vanadium(V) oxide, \({{\text{V}}_{\text{2}}}{{\text{O}}_{\text{5}}}\), is a catalyst that can be used in the Contact process. It provides an alternative pathway for the reaction, lowering the activation energy, \({E_{\text{a}}}\).

A glass container is half-filled with liquid bromine and then sealed. The system eventually reaches a dynamic equilibrium. State one characteristic of a system in equilibrium.

[1]
a.

(i)     Deduce the equilibrium constant expression, \({K_{\text{c}}}\).

(ii)     Predict how each of the following changes affects the position of equilibrium and

the value of \({K_{\text{c}}}\).

N12/4/CHEMI/SP2/ENG/TZ0/03.b

[4]
b.

(i)     Define the term activation energy, \({E_{\text{a}}}\).

(ii)     Sketch the two Maxwell–Boltzmann energy distribution curves for a fixed amount of gas at two different temperatures, \({T_1}\) and \({T_2}{\text{ }}({T_2} > {T_1})\). Label both axes.

N12/4/CHEMI/SP2/ENG/TZ0/03.c

[4]
c.

Markscheme

rate of forward process/reaction = rate of backwards/reverse process/reaction / rate of vaporization/evaporation = rate of condensation;

concentrations of reactants and products remain constant;

no change in macroscopic properties / closed system / constant matter/energy / OWTTE;

Do not accept concentration of reactants and products are equal.

Accept constant colour of \({\rm{B}}{{\rm{r}}_2}\) vapour/liquid.

a.

(i)     \(({K_{\text{c}}} = )\frac{{{{{\text{[S}}{{\text{O}}_3}{\text{]}}}^2}}}{{{{{\text{[S}}{{\text{O}}_2}{\text{]}}}^2}{\text{[}}{{\text{O}}_2}{\text{]}}}}\);

(ii)     N12/4/CHEMI/SP2/ENG/TZ0/03.b/M

Award [1] for any two or three correct, [2] for any four or five correct, [3] for six correct.

b.

(i)     minimum/least/smallest energy needed (by reactants/colliding particles) to react/start/initiate a reaction;

Allow energy difference between reactants and transition state.

(ii)     x-axis label: (kinetic) energy/(K)E and y-axis label: probability/fraction of molecules/particles / probability density;

Allow number of molecules/particles for y-axis.

correct shape of a typical Maxwell–Boltzmann energy distribution curve;

Do not award mark if curve is symmetric, does not start at zero or if it crosses x-axis.

two curves represented with second curve for \({T_2} > {T_1}\) to right of first curve, peak maximum lower than first curve and after the curves cross going to the right, \({T_2}\) curve needs to be above \({T_1}\) curve as illustrated;

M2 and M3 can be scored independently.

N12/4/CHEMI/SP2/ENG/TZ0/03.c/M

c.

Examiners report

The equilibrium question was generally well answered, but some candidates suggested that the forward reaction equal the reverse reaction without reference to the rates, while some other candidates incorrectly stated that the concentration of reactants and products are equal.

a.

In part (b) (i), the \({K_{\text{c}}}\) expression was usually written correctly. Part (b) (ii) was done well and candidates showed a good understanding of the effect of temperature and catalyst on an equilibrium system; however, weaker candidates incorrectly identified a change in the value of \({K_{\text{c}}}\) on increasing the pressure.

b.

In part (c), the word minimum was often missed in the definition of activation energy. In the Maxwell–Boltzmann energy distribution curves, many candidates labelled the axes incorrectly. Also in some cases, the curves did not start at the origin or the curve for \({T_2}\) was drawn incorrectly at the same level on the y-axis. The weaker students drew an enthalpy level diagram instead of a Maxwell- Boltzmann distribution.

c.



The rate of the acid-catalysed iodination of propanone can be followed by measuring how the concentration of iodine changes with time.

I2(aq) + CH3COCH3(aq) → CH3COCH2I(aq) + H+(aq) + I(aq)

Suggest how the change of iodine concentration could be followed.

[1]
a.i.

A student produced these results with [H+] = 0.15 mol\(\,\)dm−3. Propanone and acid were in excess and iodine was the limiting reagent.

Determine the relative rate of reaction when [H+] = 0.15 mol\(\,\)dm−3.

M17/4/CHEMI/SP2/ENG/TZ1/01.a.ii

[2]
a.ii.

The student then carried out the experiment at other acid concentrations with all other conditions remaining unchanged.

State and explain the relationship between the rate of reaction and the concentration of acid.

[2]
b.

Markscheme

use a colorimeter/monitor the change in colour
OR
take samples AND quench AND titrate «with thiosulfate»

 

Accept change in pH.
Accept change in conductivity.
Accept other suitable methods.
Method must imply “change”.

[1 mark]

a.i.

M17/4/CHEMI/SP2/ENG/TZ1/01.a.ii/M

best fit line

relative rate of reaction = «\(\frac{{ - \Delta y}}{{\Delta x}} = \frac{{ - \left( {0.43 - 0.80} \right)}}{{50}}\) =» 0.0074/7.4 x 10−3

 

Best fit line required for M1.

M2 is independent of M1.

Accept range from 0.0070 to 0.0080.

[2 marks]

a.ii.

Relationship:
rate of reaction is «directly» proportional to [H+]
OR
rate of reaction \(\alpha \) [H+

Explanation:
more frequent collisions/more collisions per unit of time «at greater concentration»

 

Accept "doubling the concentration doubles the rate".

Do not accept “rate increases as concentration increases”.

Do not accept collisions more likely.

[2 marks]

b.

Examiners report

[N/A]
a.i.
[N/A]
a.ii.
[N/A]
b.



0.100 g of magnesium ribbon is added to \({\text{50.0 c}}{{\text{m}}^{\text{3}}}\) of \({\text{1.00 mol}}\,{\text{d}}{{\text{m}}^{ - 3}}\) sulfuric acid to produce hydrogen gas and magnesium sulfate.

\[{\text{Mg(s)}} + {{\text{H}}_2}{\text{S}}{{\text{O}}_4}{\text{(aq)}} \to {{\text{H}}_2}{\text{(g)}} + {\text{MgS}}{{\text{O}}_4}{\text{(aq)}}\]

Magnesium sulfate can exist in either the hydrated form or in the anhydrous form. Two students wished to determine the enthalpy of hydration of anhydrous magnesium sulfate. They measured the initial and the highest temperature reached when anhydrous magnesium sulfate, \({\text{MgS}}{{\text{O}}_{\text{4}}}{\text{(s)}}\), was dissolved in water. They presented their results in the following table.

M14/4/CHEMI/SP2/ENG/TZ1/01.0b

The students repeated the experiment using 6.16 g of solid hydrated magnesium sulfate, \({\text{MgS}}{{\text{O}}_{\text{4}}} \bullet {\text{7}}{{\text{H}}_{\text{2}}}{\text{O(s)}}\), and \({\text{50.0 c}}{{\text{m}}^{\text{3}}}\) of water. They found the enthalpy change, \(\Delta {H_2}\), to be \( + 18{\text{ kJ}}\,{\text{mo}}{{\text{l}}^{ - 1}}\).

The enthalpy of hydration of solid anhydrous magnesium sulfate is difficult to determine experimentally, but can be determined using the diagram below.

M14/4/CHEMI/SP2/ENG/TZ1/01.c

Magnesium sulfate is one of the products formed when acid rain reacts with dolomitic limestone. This limestone is a mixture of magnesium carbonate and calcium carbonate.

(i)     The graph shows the volume of hydrogen produced against time under these experimental conditions.

M14/4/CHEMI/SP2/ENG/TZ1/01.a

Sketch two curves, labelled I and II, to show how the volume of hydrogen produced (under the same temperature and pressure) changes with time when:

I.     using the same mass of magnesium powder instead of a piece of magnesium ribbon;

II.     0.100 g of magnesium ribbon is added to \({\text{50 c}}{{\text{m}}^{\text{3}}}\) of \({\text{0.500 mol}}\,{\text{d}}{{\text{m}}^{ - 3}}\) sulfuric acid.

(ii)     Outline why it is better to measure the volume of hydrogen produced against time rather than the loss of mass of reactants against time.

[3]
a.

(i)     Calculate the amount, in mol, of anhydrous magnesium sulfate.

 

 

(ii) Calculate the enthalpy change, \(\Delta {H_1}\), for anhydrous magnesium sulfate dissolving in water, in \({\text{kJ}}\,{\text{mo}}{{\text{l}}^{ - 1}}\). State your answer to the correct number of significant figures.

[3]
b.

(i)     Determine the enthalpy change, \(\Delta H\), in \({\text{kJ}}\,{\text{mo}}{{\text{l}}^{ - 1}}\), for the hydration of solid anhydrous magnesium sulfate, \({\text{MgS}}{{\text{O}}_{\text{4}}}\).

 

 

(ii)     The literature value for the enthalpy of hydration of anhydrous magnesium sulfate is \( - 103{\text{ kJ}}\,{\text{mo}}{{\text{l}}^{ - 1}}\). Calculate the percentage difference between the literature value and the value determined from experimental results, giving your answer to one decimal place. (If you did not obtain an answer for the experimental value in (c)(i) then use the value of \( - 100{\text{ kJ}}\,{\text{mo}}{{\text{l}}^{ - 1}}\), but this is not the correct value.)

[2]
c.

Another group of students experimentally determined an enthalpy of hydration of \( - 95{\text{ kJ}}\,{\text{mo}}{{\text{l}}^{ - 1}}\). Outline two reasons which may explain the variation between the experimental and literature values.

[2]
d.

(i)     State the equation for the reaction of sulfuric acid with magnesium carbonate.

 

 

(ii)     Deduce the Lewis (electron dot) structure of the carbonate ion, giving the shape and the oxygen-carbon-oxygen bond angle.

 

Lewis (electron dot) structure:

 

Shape:

 

Bond angle:

[[N/A]]
e.

Markscheme

(i)     M14/4/CHEMI/SP2/ENG/TZ1/01.a.i/M

I:     line which is steeper/increases faster and finishes at the same height;

II:     line which is less steep/increases more slowly and finishes at the same height;

(ii)     mass of hydrogen produced is very small (so not accurate) / decrease in mass is very small (so not accurate);

a.

(i)     \(n({\text{MgS}}{{\text{O}}_4}) = \left( {\frac{{3.01}}{{120.37}} = } \right){\text{ }}0.0250{\text{ (mol)}}\);

(ii)     energy released \( = 50.0 \times 4.18 \times 9.7 \times 2027{\text{ (J)}}/2.027{\text{ (kJ)}}\);

\(\Delta {H_1} =  - 81{\text{ (kJ}}\,{\text{mo}}{{\text{l}}^{ - 1}}{\text{)}}\);

Award [2] for correct answer.

Award [2] if 53.01 is used giving an answer of –86 (kJ mol–1).

Award [1 max] for +81/81/+86/86 (kJ mol−1).

Award [1 max] for –81000/–86000 if units are stated as J mol−1.

Allow answers to 3 significant figures.

b.

(i)     \(\Delta H{\text{ }}( = \Delta {H_1} - \Delta {H_2}) =  - 99{\text{ (kJ}}\,{\text{mo}}{{\text{l}}^{ - 1}})\);

Award [1] if –86 is used giving an answer of –104 (kJ mol−1).

(ii)     \(\frac{{(103 - 99)}}{{103}} \times 100 = 3.9\% \);

Accept answer of 2.9 % if –100 used but only if a value for (b)(i) is not
present.

Award [1] if –104 is used giving an answer of 1.0% .

Accept correct answers which are not to 1 decimal place.

c.

\({\text{MgS}}{{\text{O}}_{\text{4}}}\) not completely anhydrous / OWTTE;

\({\text{MgS}}{{\text{O}}_{\text{4}}}\) is impure;

heat loss to the atmosphere/surroundings;

specific heat capacity of solution is taken as that of pure water;

experiment was done once only so it is not scientific;

density of solution is taken to be \(1{\text{ g}}\,{\text{c}}{{\text{m}}^{ - 3}}\);

mass of \(7{{\text{H}}_2}{\text{O}}\) ignored in calculation;

uncertainty of thermometer is high so temperature change is unreliable;

literature values determined under standard conditions but this experiment is not;

all solid not dissolved;

d.

(i)     \({{\text{H}}_2}{\text{S}}{{\text{O}}_4}{\text{(aq)}} + {\text{MgC}}{{\text{O}}_3}{\text{(s)}} \to {\text{MgS}}{{\text{O}}_4}{\text{(aq)}} + {\text{C}}{{\text{O}}_2}{\text{(g)}} + {{\text{H}}_2}{\text{O(l)}}\);

Ignore state symbols.

Do not accept H2CO3.

(ii)     M14/4/CHEMI/SP2/ENG/TZ1/01.e.ii/M ;

Accept crosses, lines or dots as electron pairs.

Accept any correct resonance structure.

Award [0] if structure is drawn without brackets and charge.

Award [0] if lone pairs not shown on O atoms.

shape: trigonal/triangular planar;

bond angle: 120°;

Accept answers trigonal/triangular planar and 120° if M1 incorrect, but no other answer should be given credit.

e.

Examiners report

Many candidates could sketch correct curves in (a)(i), though many did not realize that the same final volume of hydrogen is formed. Lines were generally poorly drawn with several lines for one curve, and curve I often did not join smoothly with the given curve, but dropped near the end or overshot the final volume and then fell back down. Candidates are advised to draw graphs in pencil first. In (a)(ii), very few students indicated that because the mass of hydrogen is very small it is better to measure reaction rate using gas volume; most indicated that it is not precise because the mass of a mixture is measured. It seems that very few candidates are aware that measuring loss of mass per unit time is a valid tool for determining the rate of a reaction when \({\text{C}}{{\text{O}}_{\text{2}}}\) is produced. The moles of magnesium sulfate were mostly calculated correctly in (b)(i), but in (b)(ii) most candidates had problems calculating the enthalpy change, working with the mass of magnesium sulfate instead of water or solution and not giving the enthalpy change a negative sign. Several candidates only found the temperature change and called this the enthalpy change, or found the energy change and ignored the number of moles. Few candidates correctly applied Hess’s law in (c)(i). Some respondents felt that this was not on the SL course, but it is clearly stated in 5.3.1. Some candidates had no idea how to calculate the percentage difference in (c)(ii) and several left this blank despite a value being given for the experimental results for candidates to use if they had not found a value themselves. Quite a few others determined the percentage difference correctly. In (d) most candidates stated heat loss to the surroundings as an error, mentioning further irrelevant errors. Only the better candidates also referred to the partial hydration of the anhydrous salt. The equation for the reaction between sulfuric acid and magnesium carbonate was generally done well in (e)(i) but \({{\text{H}}_{\text{2}}}{\text{C}}{{\text{O}}_{\text{3}}}\) was frequently (incorrectly) given as a product. A few candidates did not know the formulas for sulfuric acid and magnesium carbonate. Very few candidates could give a correct Lewis structure for the carbonate ion in (ii). Some almost scored but failed to include brackets and charge. Some decided that the carbonate ion was a synonym for carbon dioxide and drew that. The formula for the carbonate ion should be known (assessment statement 4.1.7) and only one Lewis structure was required so students did not need to know about resonance structures. Shape and bond angle were also done poorly but there were a few candidates who knew the shape and bond angle of the carbonate ion even though they couldn’t draw the Lewis structure.

a.

Many candidates could sketch correct curves in (a)(i), though many did not realize that the same final volume of hydrogen is formed. Lines were generally poorly drawn with several lines for one curve, and curve I often did not join smoothly with the given curve, but dropped near the end or overshot the final volume and then fell back down. Candidates are advised to draw graphs in pencil first. In (a)(ii), very few students indicated that because the mass of hydrogen is very small it is better to measure reaction rate using gas volume; most indicated that it is not precise because the mass of a mixture is measured. It seems that very few candidates are aware that measuring loss of mass per unit time is a valid tool for determining the rate of a reaction when \({\text{C}}{{\text{O}}_{\text{2}}}\) is produced. The moles of magnesium sulfate were mostly calculated correctly in (b)(i), but in (b)(ii) most candidates had problems calculating the enthalpy change, working with the mass of magnesium sulfate instead of water or solution and not giving the enthalpy change a negative sign. Several candidates only found the temperature change and called this the enthalpy change, or found the energy change and ignored the number of moles. Few candidates correctly applied Hess’s law in (c)(i). Some respondents felt that this was not on the SL course, but it is clearly stated in 5.3.1. Some candidates had no idea how to calculate the percentage difference in (c)(ii) and several left this blank despite a value being given for the experimental results for candidates to use if they had not found a value themselves. Quite a few others determined the percentage difference correctly. In (d) most candidates stated heat loss to the surroundings as an error, mentioning further irrelevant errors. Only the better candidates also referred to the partial hydration of the anhydrous salt. The equation for the reaction between sulfuric acid and magnesium carbonate was generally done well in (e)(i) but \({{\text{H}}_{\text{2}}}{\text{C}}{{\text{O}}_{\text{3}}}\) was frequently (incorrectly) given as a product. A few candidates did not know the formulas for sulfuric acid and magnesium carbonate. Very few candidates could give a correct Lewis structure for the carbonate ion in (ii). Some almost scored but failed to include brackets and charge. Some decided that the carbonate ion was a synonym for carbon dioxide and drew that. The formula for the carbonate ion should be known (assessment statement 4.1.7) and only one Lewis structure was required so students did not need to know about resonance structures. Shape and bond angle were also done poorly but there were a few candidates who knew the shape and bond angle of the carbonate ion even though they couldn’t draw the Lewis structure.

b.

Many candidates could sketch correct curves in (a)(i), though many did not realize that the same final volume of hydrogen is formed. Lines were generally poorly drawn with several lines for one curve, and curve I often did not join smoothly with the given curve, but dropped near the end or overshot the final volume and then fell back down. Candidates are advised to draw graphs in pencil first. In (a)(ii), very few students indicated that because the mass of hydrogen is very small it is better to measure reaction rate using gas volume; most indicated that it is not precise because the mass of a mixture is measured. It seems that very few candidates are aware that measuring loss of mass per unit time is a valid tool for determining the rate of a reaction when \({\text{C}}{{\text{O}}_{\text{2}}}\) is produced. The moles of magnesium sulfate were mostly calculated correctly in (b)(i), but in (b)(ii) most candidates had problems calculating the enthalpy change, working with the mass of magnesium sulfate instead of water or solution and not giving the enthalpy change a negative sign. Several candidates only found the temperature change and called this the enthalpy change, or found the energy change and ignored the number of moles. Few candidates correctly applied Hess’s law in (c)(i). Some respondents felt that this was not on the SL course, but it is clearly stated in 5.3.1. Some candidates had no idea how to calculate the percentage difference in (c)(ii) and several left this blank despite a value being given for the experimental results for candidates to use if they had not found a value themselves. Quite a few others determined the percentage difference correctly. In (d) most candidates stated heat loss to the surroundings as an error, mentioning further irrelevant errors. Only the better candidates also referred to the partial hydration of the anhydrous salt. The equation for the reaction between sulfuric acid and magnesium carbonate was generally done well in (e)(i) but \({{\text{H}}_{\text{2}}}{\text{C}}{{\text{O}}_{\text{3}}}\) was frequently (incorrectly) given as a product. A few candidates did not know the formulas for sulfuric acid and magnesium carbonate. Very few candidates could give a correct Lewis structure for the carbonate ion in (ii). Some almost scored but failed to include brackets and charge. Some decided that the carbonate ion was a synonym for carbon dioxide and drew that. The formula for the carbonate ion should be known (assessment statement 4.1.7) and only one Lewis structure was required so students did not need to know about resonance structures. Shape and bond angle were also done poorly but there were a few candidates who knew the shape and bond angle of the carbonate ion even though they couldn’t draw the Lewis structure.

c.

Many candidates could sketch correct curves in (a)(i), though many did not realize that the same final volume of hydrogen is formed. Lines were generally poorly drawn with several lines for one curve, and curve I often did not join smoothly with the given curve, but dropped near the end or overshot the final volume and then fell back down. Candidates are advised to draw graphs in pencil first. In (a)(ii), very few students indicated that because the mass of hydrogen is very small it is better to measure reaction rate using gas volume; most indicated that it is not precise because the mass of a mixture is measured. It seems that very few candidates are aware that measuring loss of mass per unit time is a valid tool for determining the rate of a reaction when \({\text{C}}{{\text{O}}_{\text{2}}}\) is produced. The moles of magnesium sulfate were mostly calculated correctly in (b)(i), but in (b)(ii) most candidates had problems calculating the enthalpy change, working with the mass of magnesium sulfate instead of water or solution and not giving the enthalpy change a negative sign. Several candidates only found the temperature change and called this the enthalpy change, or found the energy change and ignored the number of moles. Few candidates correctly applied Hess’s law in (c)(i). Some respondents felt that this was not on the SL course, but it is clearly stated in 5.3.1. Some candidates had no idea how to calculate the percentage difference in (c)(ii) and several left this blank despite a value being given for the experimental results for candidates to use if they had not found a value themselves. Quite a few others determined the percentage difference correctly. In (d) most candidates stated heat loss to the surroundings as an error, mentioning further irrelevant errors. Only the better candidates also referred to the partial hydration of the anhydrous salt. The equation for the reaction between sulfuric acid and magnesium carbonate was generally done well in (e)(i) but \({{\text{H}}_{\text{2}}}{\text{C}}{{\text{O}}_{\text{3}}}\) was frequently (incorrectly) given as a product. A few candidates did not know the formulas for sulfuric acid and magnesium carbonate. Very few candidates could give a correct Lewis structure for the carbonate ion in (ii). Some almost scored but failed to include brackets and charge. Some decided that the carbonate ion was a synonym for carbon dioxide and drew that. The formula for the carbonate ion should be known (assessment statement 4.1.7) and only one Lewis structure was required so students did not need to know about resonance structures. Shape and bond angle were also done poorly but there were a few candidates who knew the shape and bond angle of the carbonate ion even though they couldn’t draw the Lewis structure.

d.

Many candidates could sketch correct curves in (a)(i), though many did not realize that the same final volume of hydrogen is formed. Lines were generally poorly drawn with several lines for one curve, and curve I often did not join smoothly with the given curve, but dropped near the end or overshot the final volume and then fell back down. Candidates are advised to draw graphs in pencil first. In (a)(ii), very few students indicated that because the mass of hydrogen is very small it is better to measure reaction rate using gas volume; most indicated that it is not precise because the mass of a mixture is measured. It seems that very few candidates are aware that measuring loss of mass per unit time is a valid tool for determining the rate of a reaction when \({\text{C}}{{\text{O}}_{\text{2}}}\) is produced. The moles of magnesium sulfate were mostly calculated correctly in (b)(i), but in (b)(ii) most candidates had problems calculating the enthalpy change, working with the mass of magnesium sulfate instead of water or solution and not giving the enthalpy change a negative sign. Several candidates only found the temperature change and called this the enthalpy change, or found the energy change and ignored the number of moles. Few candidates correctly applied Hess’s law in (c)(i). Some respondents felt that this was not on the SL course, but it is clearly stated in 5.3.1. Some candidates had no idea how to calculate the percentage difference in (c)(ii) and several left this blank despite a value being given for the experimental results for candidates to use if they had not found a value themselves. Quite a few others determined the percentage difference correctly. In (d) most candidates stated heat loss to the surroundings as an error, mentioning further irrelevant errors. Only the better candidates also referred to the partial hydration of the anhydrous salt. The equation for the reaction between sulfuric acid and magnesium carbonate was generally done well in (e)(i) but \({{\text{H}}_{\text{2}}}{\text{C}}{{\text{O}}_{\text{3}}}\) was frequently (incorrectly) given as a product. A few candidates did not know the formulas for sulfuric acid and magnesium carbonate. Very few candidates could give a correct Lewis structure for the carbonate ion in (ii). Some almost scored but failed to include brackets and charge. Some decided that the carbonate ion was a synonym for carbon dioxide and drew that. The formula for the carbonate ion should be known (assessment statement 4.1.7) and only one Lewis structure was required so students did not need to know about resonance structures. Shape and bond angle were also done poorly but there were a few candidates who knew the shape and bond angle of the carbonate ion even though they couldn’t draw the Lewis structure.

e.



Iron rusts in the presence of oxygen and water. Rusting is a redox process involving several steps that produces hydrated iron(III) oxide, \({\text{F}}{{\text{e}}_{\text{2}}}{{\text{O}}_{\text{3}}} \bullet {\text{n}}{{\text{H}}_{\text{2}}}{\text{O}}\), as the final product.

The half-equations involved for the first step of rusting are given below.

     Half-equation 1:     \({\text{Fe(s)}} \to {\text{F}}{{\text{e}}^{2 + }}{\text{(aq)}} + {\text{2}}{{\text{e}}^ - }\)

     Half-equation 2:      \({{\text{O}}_{\text{2}}}{\text{(aq)}} + {\text{4}}{{\text{e}}^ - } + {\text{2}}{{\text{H}}_{\text{2}}}{\text{O(l)}} \to {\text{4O}}{{\text{H}}^ - }{\text{(aq)}}\)

A voltaic cell is made from a half-cell containing a magnesium electrode in a solution of magnesium nitrate and a half-cell containing a silver electrode in a solution of silver(I) nitrate.

N14/4/CHEMI/SP2/ENG/TZ0/08.c

Hydrogen peroxide decomposes according to the equation below.

\[{\text{2}}{{\text{H}}_{\text{2}}}{{\text{O}}_{\text{2}}}{\text{(aq)}} \to {\text{2}}{{\text{H}}_{\text{2}}}{\text{O(l)}} + {{\text{O}}_{\text{2}}}{\text{(g)}}\]

The rate of the decomposition can be monitored by measuring the volume of oxygen gas released. The graph shows the results obtained when a solution of hydrogen peroxide decomposed in the presence of a CuO catalyst.

N14/4/CHEMI/SP2/ENG/TZ0/08.e

(i)     Identify whether half-equation 1 represents oxidation or reduction, giving a reason for your answer.

 

 

(ii)     Identify the oxidation number of each atom in the three species in half-equation 2.

N14/4/CHEMI/SP2/ENG/TZ0/08.a.ii

 

(iii)     Deduce the overall redox equation for the first step of rusting by combining half-equations 1 and 2.

 

 

(iv)     Identify the reducing agent in the redox equation in part (iii).

[5]
a.

The oxygen in half-equation 2 is atmospheric oxygen that is found dissolved in water in very small concentrations. Explain, in terms of intermolecular forces, why oxygen is not very soluble in water.

[2]
b.

(i)     Given that magnesium is more reactive than silver, deduce the half-equations for the reactions occurring at each electrode, including state symbols.

 

Negative electrode (anode):

 

Positive electrode (cathode):

 

(ii)     Outline one function of the salt bridge.

[3]
c.

(i)     State the property that determines the order in which elements are arranged in the periodic table.

 

 

(ii)     State the relationship between the electron arrangement of an element and its group and period in the periodic table.

[3]
d.

(i)     The experiment is repeated with the same amount of a more effective catalyst, \({\text{Mn}}{{\text{O}}_{\text{2}}}\), under the same conditions and using the same concentration and volume of hydrogen peroxide. On the graph above, sketch the curve you would expect.

(ii)     Outline how the initial rate of reaction can be found from the graph.

 

 

 

(iii)     Outline a different experimental procedure that can be used to monitor the decomposition rate of hydrogen peroxide.

 

 

(iv)     A Maxwell–Boltzmann energy distribution curve is drawn below. Label both axes and explain, by annotating the graph, how catalysts increase the rate of reaction.

N14/4/CHEMI/SP2/ENG/TZ0/08.e.iv

[7]
e.

Markscheme

(i)     oxidation and (iron/Fe) loses electrons/increases in oxidation number/state;

(ii)     N14/4/CHEMI/SP2/ENG/TZ0/08.a.ii/M ;

Award [2] for five correct.

Award [1] for four correct.

Accept use of oxidation states (0, +1, –2, –2, +1) for oxidation numbers.

Penalize once for incorrect notation (eg, 2, 2–).

(iii)     \({{\text{O}}_2}{\text{(aq)}} + {\text{2}}{{\text{H}}_2}{\text{O(l)}} + {\text{2Fe(s)}} \to {\text{2F}}{{\text{e}}^{2 + }}{\text{(aq)}} + {\text{4O}}{{\text{H}}^ - }{\text{(aq)}}\);

Ignore state symbols.

(iv)     Fe/iron;

a.

oxygen is non-polar;

needs to break strong hydrogen bonds/H–bonds between water molecules (to dissolve) / oxygen cannot form hydrogen bonds/H–bonds with water;

oxygen can only form (weak) van der Waals’/vdW/LDF/London/dispersion forces with water;

b.

(i)     Negative electrode (anode):

\({\text{Mg(s)}} \to {\text{M}}{{\text{g}}^{2 + }}{\text{(aq)}} + {\text{2}}{{\text{e}}^ - }/\frac{1}{2}{\text{Mg(s)}} \to \frac{1}{2}{\text{M}}{{\text{g}}^{2 + }}{\text{(aq)}} + {{\text{e}}^ - }/\)

\({\text{Mg(s)}} - {\text{2}}{{\text{e}}^ - } \to {\text{M}}{{\text{g}}^{2 + }}{\text{(aq)}}/\frac{1}{2}{\text{Mg(s)}} - {{\text{e}}^ - } \to \frac{1}{2}{\text{M}}{{\text{g}}^{2 + }}{\text{(aq)}}\);

Accept equations for the oxidation of water/hydroxide ions.

Positive electrode (cathode):

\({\text{A}}{{\text{g}}^ + }{\text{(aq)}} + {{\text{e}}^ - } \to {\text{Ag (s)}}\);

Accept Ag equation doubled so that both electrodes involve 2 electrons.

Accept e instead of e.

Award [1 max] if both equations are correct but the state symbols are missing/incorrect.

Award [1 max] if both equations are reversed but state symbols correct.

(ii)     provides ions that flow into electrolytes/half-cells / maintains electrical neutrality of solutions/electrolytes / provides electrical continuity by providing path for migrating ions;

Accept completes the (electrical) circuit / allows current to flow / OWTTE.

c.

(i)     atomic number / number of protons;

Accept number of electrons in a (neutral) atom.

(ii)     groups indicate the number of electrons in the highest energy level/outer/valence shell;

periods indicate the number of (occupied) energy levels/shells (in the atom);

d.

(i)     steeper curve with a similar shape that reaches same maximum volume of \({{\text{O}}_{\text{2}}}\);

(ii)     (draw a) tangent to the curve at origin/time = 0/start of reaction;

(calculate) the gradient/slope (of the tangent);

(iii)     measure/monitor mass/pressure/\({\text{[}}{{\text{H}}_{\text{2}}}{{\text{O}}_{\text{2}}}{\text{]}}\);

Accept measure/monitor temperature of system.

(iv)     y-axis: probability / fraction of molecules/particles / probability density

Allow “number of particles/molecules” on y-axis.

and

x-axis: (kinetic) energy;

Accept “speed/velocity” on x-axis.

N14/4/CHEMI/SP2/ENG/TZ0/08.e.iv/M

correct relative position of \({E_{\text{a}}}\) catalysed and \({E_{\text{a}}}\) uncatalysed;

more/greater proportion of molecules/collisions have the lower/required/catalysed \({E_{\text{a}}}\) (and can react upon collision);

M3 can be scored by shading and annotating the graph.

Accept a greater number/proportion of successful collisions as catalyst reduces Ea.

e.

Examiners report

In Part (a) almost all candidates could correctly identify the equation as an oxidation reaction and justify their choice. Assigning oxidation numbers to particular species proved slightly trickier, with many not knowing that elements always have an oxidation state of zero. 

Combining the half equations also provided a bit of challenge with many equations having residual electrons, though most students could correctly identify the reducing agent. The aqueous solubility of oxygen gas in Part (b) was poorly explained, with the discussion being most frequently in terms of polarity rather than invoking hydrogen bonding. The electrolysis question in Part (c) was generally well answered, though most relied on “completing the circuit” to obtain the salt bridge mark with few showing any comprehension of the way in which this was achieved. Both the property responsible for the ordering of the periodic table and the relationship of electronic structure to position in the periodic table, required for Part (d), were well known and it was rare for a student not to gain full marks. Similarly in Part (e), most students correctly drew the curve that would result from a more effective catalyst. Many also seemed to be aware of the basic idea of how to find the reaction rate, though correct use of the terms “tangent” and “gradient” was rare and many failed to note it referred to “initial rate”. Most students could also identify an appropriate alternative method for monitoring the rate. In the final section most students could accurately label the axes of a Maxwell-Boltzmann curve and many could also use it to explain the effect of a catalyst, though some weaker students confused this with the effect of temperature and constructed a second curve.

a.

In Part (a) almost all candidates could correctly identify the equation as an oxidation reaction and justify their choice. Assigning oxidation numbers to particular species proved slightly trickier, with many not knowing that elements always have an oxidation state of zero. 

Combining the half equations also provided a bit of challenge with many equations having residual electrons, though most students could correctly identify the reducing agent. The aqueous solubility of oxygen gas in Part (b) was poorly explained, with the discussion being most frequently in terms of polarity rather than invoking hydrogen bonding. The electrolysis question in Part (c) was generally well answered, though most relied on “completing the circuit” to obtain the salt bridge mark with few showing any comprehension of the way in which this was achieved. Both the property responsible for the ordering of the periodic table and the relationship of electronic structure to position in the periodic table, required for Part (d), were well known and it was rare for a student not to gain full marks. Similarly in Part (e), most students correctly drew the curve that would result from a more effective catalyst. Many also seemed to be aware of the basic idea of how to find the reaction rate, though correct use of the terms “tangent” and “gradient” was rare and many failed to note it referred to “initial rate”. Most students could also identify an appropriate alternative method for monitoring the rate. In the final section most students could accurately label the axes of a Maxwell-Boltzmann curve and many could also use it to explain the effect of a catalyst, though some weaker students confused this with the effect of temperature and constructed a second curve.

b.

In Part (a) almost all candidates could correctly identify the equation as an oxidation reaction and justify their choice. Assigning oxidation numbers to particular species proved slightly trickier, with many not knowing that elements always have an oxidation state of zero. 

Combining the half equations also provided a bit of challenge with many equations having residual electrons, though most students could correctly identify the reducing agent. The aqueous solubility of oxygen gas in Part (b) was poorly explained, with the discussion being most frequently in terms of polarity rather than invoking hydrogen bonding. The electrolysis question in Part (c) was generally well answered, though most relied on “completing the circuit” to obtain the salt bridge mark with few showing any comprehension of the way in which this was achieved. Both the property responsible for the ordering of the periodic table and the relationship of electronic structure to position in the periodic table, required for Part (d), were well known and it was rare for a student not to gain full marks. Similarly in Part (e), most students correctly drew the curve that would result from a more effective catalyst. Many also seemed to be aware of the basic idea of how to find the reaction rate, though correct use of the terms “tangent” and “gradient” was rare and many failed to note it referred to “initial rate”. Most students could also identify an appropriate alternative method for monitoring the rate. In the final section most students could accurately label the axes of a Maxwell-Boltzmann curve and many could also use it to explain the effect of a catalyst, though some weaker students confused this with the effect of temperature and constructed a second curve.

c.

In Part (a) almost all candidates could correctly identify the equation as an oxidation reaction and justify their choice. Assigning oxidation numbers to particular species proved slightly trickier, with many not knowing that elements always have an oxidation state of zero. 

Combining the half equations also provided a bit of challenge with many equations having residual electrons, though most students could correctly identify the reducing agent. The aqueous solubility of oxygen gas in Part (b) was poorly explained, with the discussion being most frequently in terms of polarity rather than invoking hydrogen bonding. The electrolysis question in Part (c) was generally well answered, though most relied on “completing the circuit” to obtain the salt bridge mark with few showing any comprehension of the way in which this was achieved. Both the property responsible for the ordering of the periodic table and the relationship of electronic structure to position in the periodic table, required for Part (d), were well known and it was rare for a student not to gain full marks. Similarly in Part (e), most students correctly drew the curve that would result from a more effective catalyst. Many also seemed to be aware of the basic idea of how to find the reaction rate, though correct use of the terms “tangent” and “gradient” was rare and many failed to note it referred to “initial rate”. Most students could also identify an appropriate alternative method for monitoring the rate. In the final section most students could accurately label the axes of a Maxwell-Boltzmann curve and many could also use it to explain the effect of a catalyst, though some weaker students confused this with the effect of temperature and constructed a second curve.

d.

In Part (a) almost all candidates could correctly identify the equation as an oxidation reaction and justify their choice. Assigning oxidation numbers to particular species proved slightly trickier, with many not knowing that elements always have an oxidation state of zero. 

Combining the half equations also provided a bit of challenge with many equations having residual electrons, though most students could correctly identify the reducing agent. The aqueous solubility of oxygen gas in Part (b) was poorly explained, with the discussion being most frequently in terms of polarity rather than invoking hydrogen bonding. The electrolysis question in Part (c) was generally well answered, though most relied on “completing the circuit” to obtain the salt bridge mark with few showing any comprehension of the way in which this was achieved. Both the property responsible for the ordering of the periodic table and the relationship of electronic structure to position in the periodic table, required for Part (d), were well known and it was rare for a student not to gain full marks. Similarly in Part (e), most students correctly drew the curve that would result from a more effective catalyst. Many also seemed to be aware of the basic idea of how to find the reaction rate, though correct use of the terms “tangent” and “gradient” was rare and many failed to note it referred to “initial rate”. Most students could also identify an appropriate alternative method for monitoring the rate. In the final section most students could accurately label the axes of a Maxwell-Boltzmann curve and many could also use it to explain the effect of a catalyst, though some weaker students confused this with the effect of temperature and constructed a second curve.

e.



A hydrocarbon has the empirical formula \({{\text{C}}_{\text{3}}}{{\text{H}}_{\text{7}}}\). When 1.17 g of the compound is heated to 85 °C at a pressure of 101 kPa it occupies a volume of \({\text{400 c}}{{\text{m}}^{\text{3}}}\).

(i)     Calculate the molar mass of the compound, showing your working.

 

 

 

 

 

(ii)     Deduce the molecular formula of the compound.

[4]
a.

\({{\text{C}}_{\text{5}}}{{\text{H}}_{{\text{12}}}}\) exists as three isomers. Identify the structure of the isomer with the lowest boiling point and explain your choice.

[2]
b.

Ethanol is a primary alcohol that can be oxidized by acidified potassium dichromate(VI). Distinguish between the reaction conditions needed to produce ethanal and ethanoic acid.

 

Ethanal:

 

 

Ethanoic acid:

[2]
c.i.

Determine the oxidation number of carbon in ethanol and ethanal.

 

Ethanol:

 

Ethanal:

[2]
c.ii.

Deduce the half-equation for the oxidation of ethanol to ethanal.

[1]
c.iii.

Deduce the overall redox equation for the reaction of ethanol to ethanal with acidified potassium dichromate(VI) by combining your answer to part (c) (iii) with the following half-equation:

\[{\text{C}}{{\text{r}}_{\text{2}}}{\text{O}}_{\text{7}}^{2 - }{\text{(aq)}} + {\text{14}}{{\text{H}}^ + }{\text{(aq)}} + {\text{6}}{{\text{e}}^ - } \to {\text{2C}}{{\text{r}}^{3 + }}{\text{(aq)}} + {\text{7}}{{\text{H}}_{\text{2}}}{\text{O(l)}}\]

[2]
c.iv.

Describe two characteristics of a reaction at equilibrium.

[2]
d.i.

Describe how a catalyst increases the rate of a reaction.

[2]
d.ii.

State and explain the effect of a catalyst on the position of equilibrium.

[2]
d.iii.

Ethanoic acid reacts with ethanol to form the ester ethyl ethanoate.

\[{\text{C}}{{\text{H}}_{\text{3}}}{\text{COOH(l)}} + {\text{C}}{{\text{H}}_{\text{3}}}{\text{C}}{{\text{H}}_{\text{2}}}{\text{OH(l)?????C}}{{\text{H}}_{\text{3}}}{\text{COOC}}{{\text{H}}_{\text{2}}}{\text{C}}{{\text{H}}_{\text{3}}}{\text{(l)}} + {{\text{H}}_{\text{2}}}{\text{O(l)}}\]

The esterification reaction is exothermic. State the effect of increasing temperature on the value of the equilibrium constant (\({K_{\text{c}}}\)) for this reaction.

[1]
e.

Markscheme

(i)     \({\text{temperature}} = 358{\text{ K}}\);

\(M = \frac{{mRT}}{{pV}}/1.17 \times 8.31 \times \frac{{358}}{{(0.40 \times 101)}}\);

\({\text{(}}M = {\text{) }}86.2{\text{ (gmo}}{{\text{l}}^{ - 1}}{\text{)}}\);

Award [1 max] for correct final answer without working.

(ii)     \({{\text{C}}_6}{{\text{H}}_{14}}\);

a.

\({\text{C(C}}{{\text{H}}_3}{{\text{)}}_4}\);

Accept correct name 2,2-dimethylpropane.

Do not penalize missing H atoms.

weakest London/dispersion/van der Waals’/vdW/instantaneous induced dipoleinduced dipole forces because of smallest surface area/contact

OR

weakest London/dispersion/van der Waals’/vdW/ instantaneous induced dipoleinduced dipole forces because of least distortion of the electron cloud

OR

weakest London/dispersion/van der Waals’/vdW/ instantaneous induced dipoleinduced dipole forces because polarizability of electrons (in electron cloud) is less;

Accept other words to that effect but student must mention a correct IMF and a correct reason.

b.

Ethanal: distill off product as it forms;

Accept distillation.

Ethanoic acid: (heat under) reflux / use excess oxidizing agent;

c.i.

Ethanol: –2/–II;

Ethanal: –1/–I;

Do not accept 2or 1, but penalize only once.

c.ii.

\({\text{C}}{{\text{H}}_3}{\text{C}}{{\text{H}}_2}{\text{OH}} \to {\text{C}}{{\text{H}}_3}{\text{CHO}} + {\text{2}}{{\text{H}}^ + } + {\text{2}}{{\text{e}}^ - }\);

Half-equation required. Do not accept \({C_2}{H_5}OH + 2[O] \to C{H_3}CHO + {H_2}O\).

Accept e for \({e^ - }\).

c.iii.

\({\text{3C}}{{\text{H}}_3}{\text{C}}{{\text{H}}_2}{\text{OH(aq)}} + {\text{C}}{{\text{r}}_2}{\text{O}}_7^{2 - }{\text{(aq)}} + {\text{8}}{{\text{H}}^ + }{\text{(aq)}} \to {\text{2C}}{{\text{r}}^{{\text{3}} + }}{\text{(aq)}} + {\text{3C}}{{\text{H}}_3}{\text{CHO(l)}} + {\text{7}}{{\text{H}}_2}{\text{O(l)}}\)

correct reactants and products;

correct balancing;

M2 can only be scored if M1 correct.

Ignore state symbols.

c.iv.

rate of forward process/reaction = rate of backward/reverse process/reaction;

concentrations of reactants and products remain constant;

no change in macroscopic properties;

closed/isolated system / constant matter/energy;

d.i.

provides alternative pathway (of lower energy);

lowers activation energy (of the reaction) / more particles with \(E \geqslant {E_{\text{a}}}\);

d.ii.

no effect (on position of equilibrium);

increases rate of forward and reverse reactions (equally);

d.iii.

decreases;

e.

Examiners report

This was the least popular question however many who chose it were successful in parts. Part (a) that required a calculation of \({M_{\text{r}}}\) was quite well done. However (b) that asked for the isomer of \({{\text{C}}_{\text{5}}}{{\text{H}}_{{\text{12}}}}\) with the lowest boiling point was not well answered. Identification of the methods to produce ethanal or ethanoic acid was done well by the strong candidates and others just guessed. Deduction of oxidation numbers and then writing of redox equations was not well answered. However (d) and (e) about equilibrium were answered well by many candidates although there were again some very poor answers.

a.

This was the least popular question however many who chose it were successful in parts. Part (a) that required a calculation of \({M_{\text{r}}}\) was quite well done. However (b) that asked for the isomer of \({{\text{C}}_{\text{5}}}{{\text{H}}_{{\text{12}}}}\) with the lowest boiling point was not well answered. Identification of the methods to produce ethanal or ethanoic acid was done well by the strong candidates and others just guessed. Deduction of oxidation numbers and then writing of redox equations was not well answered. However (d) and (e) about equilibrium were answered well by many candidates, although there were again some very poor answers.

b.

This was the least popular question however many who chose it were successful in parts. Part (a) that required a calculation of \({M_{\text{r}}}\) was quite well done. However (b) that asked for the isomer of \({{\text{C}}_{\text{5}}}{{\text{H}}_{{\text{12}}}}\) with the lowest boiling point was not well answered. Identification of the methods to produce ethanal or ethanoic acid was done well by the strong candidates and others just guessed. Deduction of oxidation numbers and then writing of redox equations was not well answered. However (d) and (e) about equilibrium were answered well by many candidates, although there were again some very poor answers.

c.i.

This was the least popular question however many who chose it were successful in parts. Part (a) that required a calculation of \({M_{\text{r}}}\) was quite well done. However (b) that asked for the isomer of \({{\text{C}}_{\text{5}}}{{\text{H}}_{{\text{12}}}}\) with the lowest boiling point was not well answered. Identification of the methods to produce ethanal or ethanoic acid was done well by the strong candidates and others just guessed. Deduction of oxidation numbers and then writing of redox equations was not well answered. However (d) and (e) about equilibrium were answered well by many candidates, although there were again some very poor answers.

c.ii.

This was the least popular question however many who chose it were successful in parts. Part (a) that required a calculation of \({M_{\text{r}}}\) was quite well done. However (b) that asked for the isomer of \({{\text{C}}_{\text{5}}}{{\text{H}}_{{\text{12}}}}\) with the lowest boiling point was not well answered. Identification of the methods to produce ethanal or ethanoic acid was done well by the strong candidates and others just guessed. Deduction of oxidation numbers and then writing of redox equations was not well answered. However (d) and (e) about equilibrium were answered well by many candidates, although there were again some very poor answers.

c.iii.

This was the least popular question however many who chose it were successful in parts. Part (a) that required a calculation of \({M_{\text{r}}}\) was quite well done. However (b) that asked for the isomer of \({{\text{C}}_{\text{5}}}{{\text{H}}_{{\text{12}}}}\) with the lowest boiling point was not well answered. Identification of the methods to produce ethanal or ethanoic acid was done well by the strong candidates and others just guessed. Deduction of oxidation numbers and then writing of redox equations was not well answered. However (d) and (e) about equilibrium were answered well by many candidates, although there were again some very poor answers.

c.iv.

This was the least popular question however many who chose it were successful in parts. Part (a) that required a calculation of \({M_{\text{r}}}\) was quite well done. However (b) that asked for the isomer of \({{\text{C}}_{\text{5}}}{{\text{H}}_{{\text{12}}}}\) with the lowest boiling point was not well answered. Identification of the methods to produce ethanal or ethanoic acid was done well by the strong candidates and others just guessed. Deduction of oxidation numbers and then writing of redox equations was not well answered. However (d) and (e) about equilibrium were answered well by many candidates, although there were again some very poor answers.

d.i.

This was the least popular question however many who chose it were successful in parts. Part (a) that required a calculation of \({M_{\text{r}}}\) was quite well done. However (b) that asked for the isomer of \({{\text{C}}_{\text{5}}}{{\text{H}}_{{\text{12}}}}\) with the lowest boiling point was not well answered. Identification of the methods to produce ethanal or ethanoic acid was done well by the strong candidates and others just guessed. Deduction of oxidation numbers and then writing of redox equations was not well answered. However (d) and (e) about equilibrium were answered well by many candidates, although there were again some very poor answers.

d.ii.

This was the least popular question however many who chose it were successful in parts. Part (a) that required a calculation of \({M_{\text{r}}}\) was quite well done. However (b) that asked for the isomer of \({{\text{C}}_{\text{5}}}{{\text{H}}_{{\text{12}}}}\) with the lowest boiling point was not well answered. Identification of the methods to produce ethanal or ethanoic acid was done well by the strong candidates and others just guessed. Deduction of oxidation numbers and then writing of redox equations was not well answered. However (d) and (e) about equilibrium were answered well by many candidates, although there were again some very poor answers.

d.iii.

This was the least popular question however many who chose it were successful in parts. Part (a) that required a calculation of \({M_{\text{r}}}\) was quite well done. However (b) that asked for the isomer of \({{\text{C}}_{\text{5}}}{{\text{H}}_{{\text{12}}}}\) with the lowest boiling point was not well answered. Identification of the methods to produce ethanal or ethanoic acid was done well by the strong candidates and others just guessed. Deduction of oxidation numbers and then writing of redox equations was not well answered. However (d) and (e) about equilibrium were answered well by many candidates, although there were again some very poor answers.

e.



When nitrogen gas and hydrogen gas are allowed to react in a closed container, the following equilibrium is established.

\[{{\text{N}}_{\text{2}}}{\text{(g)}} + {\text{3}}{{\text{H}}_{\text{2}}}{\text{(g)}} \rightleftharpoons {\text{2N}}{{\text{H}}_{\text{3}}}{\text{(g)}}\;\;\;\;\;\Delta H =  - 92.6{\text{ kJ}}\]

Outline two characteristics of a reversible reaction in a state of dynamic equilibrium.

[2]
a.

Deduce the equilibrium constant expression, \({K_{\text{c}}}\), for the reaction.

[1]
b.

Predict, with a reason, how each of the following changes affects the position of equilibrium.

 

The volume of the container is increased.

 

 

Ammonia is removed from the equilibrium mixture.

[2]
c.

Define the term activation energy, \({E_{\text{a}}}\).

[1]
d.i.

Ammonia is manufactured by the Haber process in which iron is used as a catalyst. Explain the effect of a catalyst on the rate of reaction.

[2]
d.ii.

Sketch the Maxwell–Boltzmann energy distribution curve for a reaction, labelling both axes and showing the activation energy with and without a catalyst.

[2]
d.iii.

Typical conditions used in the Haber process are 500 °C and 200 atm, resulting in approximately 15% yield of ammonia.

(i)     Explain why a temperature lower than 500 °C is not used.

 

 

 

(ii)     Outline why a pressure higher than 200 atm is not often used.

[3]
e.

Define the term base according to the Lewis theory.

[1]
f.i.

Define the term weak base according to the Brønsted-Lowry theory.

[1]
f.ii.

Deduce the formulas of conjugate acid-base pairs in the reaction below.

\[{\text{C}}{{\text{H}}_{\text{3}}}{\text{N}}{{\text{H}}_{\text{2}}}{\text{(aq)}} + {{\text{H}}_{\text{2}}}{\text{O(l)}} \rightleftharpoons {\text{C}}{{\text{H}}_{\text{3}}}{\text{NH}}_{\text{3}}^ + {\text{(aq)}} + {\text{O}}{{\text{H}}^ - }{\text{(aq)}}\]

M15/4/CHEMI/SP2/ENG/TZ2/05.f.iii

[2]
f.iii.

Outline an experiment and its results which could be used to distinguish between a strong base and a weak base.

[3]
f.iv.

Markscheme

rates of forward and reverse reactions are equal / opposing changes occur at equal rates;

the concentrations of all reactants and products remain constant / macroscopic properties remain constant;

closed/isolated system;

Accept “the same” for “equal” in M1 and for “constant” in M2.

a.

\(({K_{\text{c}}} = )\frac{{{{{\text{[N}}{{\text{H}}_3}{\text{(g)]}}}^2}}}{{{\text{[}}{{\text{N}}_2}{\text{(g)]}} \times {{{\text{[}}{{\text{H}}_2}{\text{(g)]}}}^3}}}\);

Ignore state symbols.

Concentration must be represented by square brackets.

b.

The volume of the container is increased:

position of equilibrium shifts to the left/reactants and fewer moles of gas on the right hand side/pressure decreases / OWTTE;

Ammonia is removed from the equilibrium mixture:

position of equilibrium shifts to the right/products and [NH3] decreases so [N2] and [H2] must also decrease to keep Kc constant

OR

position of equilibrium shifts to the right/products and rate of reverse reaction decreases / OWTTE;

Award [1 max] if both predicted changes are correct.

Do not accept “to increase [NH3]” or reference to LCP without explanation.

c.

minimum energy needed (by reactants/colliding particles) to react/start/initiate a reaction;

Accept “energy difference between reactants and transition state”.

d.i.

rate increases;

more effective/successful collisions per unit time / greater proportion of collisions effective;

alternative pathway and a lower activation energy

OR

lowers activation energy so that more particles have enough energy to react;

Do not accept just “lowers/reduces the activation energy”.

Accept “provides a surface for reacting/reactants/reaction”.

d.ii.

Curve showing:

M15/4/CHEMI/SP2/ENG/TZ2/05.d.iii/M

general shape of Maxwell-Boltzmann energy distribution curve and labelled y-axis: probability of particles / frequency and labelled x-axis: (kinetic)energy;

Curve must begin at zero and must not cut the x-axis on the RHS.

Accept number/fraction/proportion of particles for y-axis label, but do not accept amount or just particles.

correct position of \({E_{\text{a}}}\) catalysed and \({E_{\text{a}}}\) uncatalysed;

Shading shown in the diagram is not required for the marks.

d.iii.

(i)     slower rate / OWTTE;

uneconomic / OWTTE;

(ii)     high cost for building/maintaining plant / high energy cost of compressor /OWTTE;

Do not accept “high pressure is expensive” without justification.

Accept high pressure requires high energy.

e.

electron pair donor;

Accept lone pair donor.

f.i.

proton acceptor and partially/slightly ionized;

Accept “proton acceptor and partially/slightly dissociated”.

f.ii.

M15/4/CHEMI/SP2/ENG/TZ2/05.f.iii/M

Award [1 max] for two correct acids OR two correct conjugate bases.

f.iii.

solutions of equal concentration;

pH measurement/UIP;

strong base has higher pH;

OR

solutions of equal concentration;

electrical conductivity measurement;

strong base has higher electrical conductivity;

OR

solutions of equal concentration;

temperature difference in neutralization reaction with a strong acid;

strong base has a greater temperature difference;

Accept reverse arguments for observations.

f.iv.

Examiners report

This was, by far and away, the most common choice for Section B. 

The conditions for an equilibrium system were well known, and the \({K_{\text{c}}}\) expression was almost universally correctly given, the incidence of curved brackets was very low. With the description of the effect of changing conditions, the increase in volume change generally scored, but the answers for the removal of ammonia were far too general to be given credit. It is pleasing to note that most candidates are aware of the importance of using the word “'minimum”, as well as the effect of a catalyst, with most giving perfect answers. The drawing of the Maxwell-Boltzmann energy distribution curve suffered from poor draughtsmanship. Too many curves did not start at the origin and lacked correct labels. An appreciable minority drew the energy/reaction co-ordinate graph. The knowledge of the compromise conditions for the Haber process was often confused, particularly with regard to why high pressure is not used, where far too many answers lacked the depth required. Occasionally the word “pair” was missing for the definition of a Lewis base, and with the definition of a weak Brønsted-Lowry base most candidates failed to appreciate the difference between partially/slightly ionized and “not completely” ionized, the part of proton acceptor was also often missed out. With the description of the experiment to show the difference between a strong and weak base, many scored two out of the three available; the concept of a fair test, and the importance of equal concentrations was rarely appreciated.

a.

This was, by far and away, the most common choice for Section B. 

The conditions for an equilibrium system were well known, and the \({K_{\text{c}}}\) expression was almost universally correctly given, the incidence of curved brackets was very low. With the description of the effect of changing conditions, the increase in volume change generally scored, but the answers for the removal of ammonia were far too general to be given credit. It is pleasing to note that most candidates are aware of the importance of using the word “'minimum”, as well as the effect of a catalyst, with most giving perfect answers. The drawing of the Maxwell-Boltzmann energy distribution curve suffered from poor draughtsmanship. Too many curves did not start at the origin and lacked correct labels. An appreciable minority drew the energy/reaction co-ordinate graph. The knowledge of the compromise conditions for the Haber process was often confused, particularly with regard to why high pressure is not used, where far too many answers lacked the depth required. Occasionally the word “pair” was missing for the definition of a Lewis base, and with the definition of a weak Brønsted-Lowry base most candidates failed to appreciate the difference between partially/slightly ionized and “not completely” ionized, the part of proton acceptor was also often missed out. With the description of the experiment to show the difference between a strong and weak base, many scored two out of the three available; the concept of a fair test, and the importance of equal concentrations was rarely appreciated.

b.

This was, by far and away, the most common choice for Section B. 

The conditions for an equilibrium system were well known, and the \({K_{\text{c}}}\) expression was almost universally correctly given, the incidence of curved brackets was very low. With the description of the effect of changing conditions, the increase in volume change generally scored, but the answers for the removal of ammonia were far too general to be given credit. It is pleasing to note that most candidates are aware of the importance of using the word “'minimum”, as well as the effect of a catalyst, with most giving perfect answers. The drawing of the Maxwell-Boltzmann energy distribution curve suffered from poor draughtsmanship. Too many curves did not start at the origin and lacked correct labels. An appreciable minority drew the energy/reaction co-ordinate graph. The knowledge of the compromise conditions for the Haber process was often confused, particularly with regard to why high pressure is not used, where far too many answers lacked the depth required. Occasionally the word “pair” was missing for the definition of a Lewis base, and with the definition of a weak Brønsted-Lowry base most candidates failed to appreciate the difference between partially/slightly ionized and “not completely” ionized, the part of proton acceptor was also often missed out. With the description of the experiment to show the difference between a strong and weak base, many scored two out of the three available; the concept of a fair test, and the importance of equal concentrations was rarely appreciated.

c.

This was, by far and away, the most common choice for Section B. 

The conditions for an equilibrium system were well known, and the \({K_{\text{c}}}\) expression was almost universally correctly given, the incidence of curved brackets was very low. With the description of the effect of changing conditions, the increase in volume change generally scored, but the answers for the removal of ammonia were far too general to be given credit. It is pleasing to note that most candidates are aware of the importance of using the word “'minimum”, as well as the effect of a catalyst, with most giving perfect answers. The drawing of the Maxwell-Boltzmann energy distribution curve suffered from poor draughtsmanship. Too many curves did not start at the origin and lacked correct labels. An appreciable minority drew the energy/reaction co-ordinate graph. The knowledge of the compromise conditions for the Haber process was often confused, particularly with regard to why high pressure is not used, where far too many answers lacked the depth required. Occasionally the word “pair” was missing for the definition of a Lewis base, and with the definition of a weak Brønsted-Lowry base most candidates failed to appreciate the difference between partially/slightly ionized and “not completely” ionized, the part of proton acceptor was also often missed out. With the description of the experiment to show the difference between a strong and weak base, many scored two out of the three available; the concept of a fair test, and the importance of equal concentrations was rarely appreciated.

d.i.

This was, by far and away, the most common choice for Section B. 

The conditions for an equilibrium system were well known, and the \({K_{\text{c}}}\) expression was almost universally correctly given, the incidence of curved brackets was very low. With the description of the effect of changing conditions, the increase in volume change generally scored, but the answers for the removal of ammonia were far too general to be given credit. It is pleasing to note that most candidates are aware of the importance of using the word “'minimum”, as well as the effect of a catalyst, with most giving perfect answers. The drawing of the Maxwell-Boltzmann energy distribution curve suffered from poor draughtsmanship. Too many curves did not start at the origin and lacked correct labels. An appreciable minority drew the energy/reaction co-ordinate graph. The knowledge of the compromise conditions for the Haber process was often confused, particularly with regard to why high pressure is not used, where far too many answers lacked the depth required. Occasionally the word “pair” was missing for the definition of a Lewis base, and with the definition of a weak Brønsted-Lowry base most candidates failed to appreciate the difference between partially/slightly ionized and “not completely” ionized, the part of proton acceptor was also often missed out. With the description of the experiment to show the difference between a strong and weak base, many scored two out of the three available; the concept of a fair test, and the importance of equal concentrations was rarely appreciated.

d.ii.

This was, by far and away, the most common choice for Section B. 

The conditions for an equilibrium system were well known, and the \({K_{\text{c}}}\) expression was almost universally correctly given, the incidence of curved brackets was very low. With the description of the effect of changing conditions, the increase in volume change generally scored, but the answers for the removal of ammonia were far too general to be given credit. It is pleasing to note that most candidates are aware of the importance of using the word “'minimum”, as well as the effect of a catalyst, with most giving perfect answers. The drawing of the Maxwell-Boltzmann energy distribution curve suffered from poor draughtsmanship. Too many curves did not start at the origin and lacked correct labels. An appreciable minority drew the energy/reaction co-ordinate graph. The knowledge of the compromise conditions for the Haber process was often confused, particularly with regard to why high pressure is not used, where far too many answers lacked the depth required. Occasionally the word “pair” was missing for the definition of a Lewis base, and with the definition of a weak Brønsted-Lowry base most candidates failed to appreciate the difference between partially/slightly ionized and “not completely” ionized, the part of proton acceptor was also often missed out. With the description of the experiment to show the difference between a strong and weak base, many scored two out of the three available; the concept of a fair test, and the importance of equal concentrations was rarely appreciated.

d.iii.

This was, by far and away, the most common choice for Section B. 

The conditions for an equilibrium system were well known, and the \({K_{\text{c}}}\) expression was almost universally correctly given, the incidence of curved brackets was very low. With the description of the effect of changing conditions, the increase in volume change generally scored, but the answers for the removal of ammonia were far too general to be given credit. It is pleasing to note that most candidates are aware of the importance of using the word “'minimum”, as well as the effect of a catalyst, with most giving perfect answers. The drawing of the Maxwell-Boltzmann energy distribution curve suffered from poor draughtsmanship. Too many curves did not start at the origin and lacked correct labels. An appreciable minority drew the energy/reaction co-ordinate graph. The knowledge of the compromise conditions for the Haber process was often confused, particularly with regard to why high pressure is not used, where far too many answers lacked the depth required. Occasionally the word “pair” was missing for the definition of a Lewis base, and with the definition of a weak Brønsted-Lowry base most candidates failed to appreciate the difference between partially/slightly ionized and “not completely” ionized, the part of proton acceptor was also often missed out. With the description of the experiment to show the difference between a strong and weak base, many scored two out of the three available; the concept of a fair test, and the importance of equal concentrations was rarely appreciated.

e.

This was, by far and away, the most common choice for Section B. 

The conditions for an equilibrium system were well known, and the \({K_{\text{c}}}\) expression was almost universally correctly given, the incidence of curved brackets was very low. With the description of the effect of changing conditions, the increase in volume change generally scored, but the answers for the removal of ammonia were far too general to be given credit. It is pleasing to note that most candidates are aware of the importance of using the word “'minimum”, as well as the effect of a catalyst, with most giving perfect answers. The drawing of the Maxwell-Boltzmann energy distribution curve suffered from poor draughtsmanship. Too many curves did not start at the origin and lacked correct labels. An appreciable minority drew the energy/reaction co-ordinate graph. The knowledge of the compromise conditions for the Haber process was often confused, particularly with regard to why high pressure is not used, where far too many answers lacked the depth required. Occasionally the word “pair” was missing for the definition of a Lewis base, and with the definition of a weak Brønsted-Lowry base most candidates failed to appreciate the difference between partially/slightly ionized and “not completely” ionized, the part of proton acceptor was also often missed out. With the description of the experiment to show the difference between a strong and weak base, many scored two out of the three available; the concept of a fair test, and the importance of equal concentrations was rarely appreciated.

f.i.

This was, by far and away, the most common choice for Section B. 

The conditions for an equilibrium system were well known, and the \({K_{\text{c}}}\) expression was almost universally correctly given, the incidence of curved brackets was very low. With the description of the effect of changing conditions, the increase in volume change generally scored, but the answers for the removal of ammonia were far too general to be given credit. It is pleasing to note that most candidates are aware of the importance of using the word “'minimum”, as well as the effect of a catalyst, with most giving perfect answers. The drawing of the Maxwell-Boltzmann energy distribution curve suffered from poor draughtsmanship. Too many curves did not start at the origin and lacked correct labels. An appreciable minority drew the energy/reaction co-ordinate graph. The knowledge of the compromise conditions for the Haber process was often confused, particularly with regard to why high pressure is not used, where far too many answers lacked the depth required. Occasionally the word “pair” was missing for the definition of a Lewis base, and with the definition of a weak Brønsted-Lowry base most candidates failed to appreciate the difference between partially/slightly ionized and “not completely” ionized, the part of proton acceptor was also often missed out. With the description of the experiment to show the difference between a strong and weak base, many scored two out of the three available; the concept of a fair test, and the importance of equal concentrations was rarely appreciated.

f.ii.

This was, by far and away, the most common choice for Section B. 

The conditions for an equilibrium system were well known, and the \({K_{\text{c}}}\) expression was almost universally correctly given, the incidence of curved brackets was very low. With the description of the effect of changing conditions, the increase in volume change generally scored, but the answers for the removal of ammonia were far too general to be given credit. It is pleasing to note that most candidates are aware of the importance of using the word “'minimum”, as well as the effect of a catalyst, with most giving perfect answers. The drawing of the Maxwell-Boltzmann energy distribution curve suffered from poor draughtsmanship. Too many curves did not start at the origin and lacked correct labels. An appreciable minority drew the energy/reaction co-ordinate graph. The knowledge of the compromise conditions for the Haber process was often confused, particularly with regard to why high pressure is not used, where far too many answers lacked the depth required. Occasionally the word “pair” was missing for the definition of a Lewis base, and with the definition of a weak Brønsted-Lowry base most candidates failed to appreciate the difference between partially/slightly ionized and “not completely” ionized, the part of proton acceptor was also often missed out. With the description of the experiment to show the difference between a strong and weak base, many scored two out of the three available; the concept of a fair test, and the importance of equal concentrations was rarely appreciated.

f.iii.

This was, by far and away, the most common choice for Section B. 

The conditions for an equilibrium system were well known, and the \({K_{\text{c}}}\) expression was almost universally correctly given, the incidence of curved brackets was very low. With the description of the effect of changing conditions, the increase in volume change generally scored, but the answers for the removal of ammonia were far too general to be given credit. It is pleasing to note that most candidates are aware of the importance of using the word “'minimum”, as well as the effect of a catalyst, with most giving perfect answers. The drawing of the Maxwell-Boltzmann energy distribution curve suffered from poor draughtsmanship. Too many curves did not start at the origin and lacked correct labels. An appreciable minority drew the energy/reaction co-ordinate graph. The knowledge of the compromise conditions for the Haber process was often confused, particularly with regard to why high pressure is not used, where far too many answers lacked the depth required. Occasionally the word “pair” was missing for the definition of a Lewis base, and with the definition of a weak Brønsted-Lowry base most candidates failed to appreciate the difference between partially/slightly ionized and “not completely” ionized, the part of proton acceptor was also often missed out. With the description of the experiment to show the difference between a strong and weak base, many scored two out of the three available; the concept of a fair test, and the importance of equal concentrations was rarely appreciated.

f.iv.



Magnesium reacts with sulfuric acid:

Mg(s) + H2SO4(aq) → MgSO4(aq) + H2(g)

The graph shows the results of an experiment using excess magnesium ribbon and dilute sulfuric acid.

M17/4/CHEMI/SP2/ENG/TZ2/05.a.i

Outline why the rate of the reaction decreases with time.

[1]
a.i.

Sketch, on the same graph, the expected results if the experiment were repeated using powdered magnesium, keeping its mass and all other variables unchanged.

[1]
a.ii.

Nitrogen dioxide and carbon monoxide react according to the following equation:

NO2(g) + CO(g) \( \rightleftharpoons \) NO(g) + CO2(g)               ΔH = –226 kJ

Calculate the activation energy for the reverse reaction.

[1]
b.

State the equation for the reaction of NO2 in the atmosphere to produce acid deposition.

[1]
c.

Markscheme

concentration of acid decreases
OR
surface area of magnesium decreases

 

Accept “less frequency/chance/rate/probability/likelihood of collisions”.

Do not accept just “less acid” or “less magnesium”.

Do not accept “concentrations of reagents decrease”.

[1 mark]

a.i.

curve starting from origin with steeper gradient AND reaching same maximum volume

[1 mark]

a.ii.

«Ea(rev) = 226 + 132 =» 358 «kJ»

Do not accept –358.

[1 mark]

b.

2NO2(g) + H2O(l) → HNO3(aq) + HNO2(aq)
OR
2NO2(g) + 2H2O(l) + O2(g) → 4HNO3(aq)

 

Accept ionised forms of the acids.

[1 mark]

c.

Examiners report

[N/A]
a.i.
[N/A]
a.ii.
[N/A]
b.
[N/A]
c.



Sodium thiosulfate solution reacts with dilute hydrochloric acid to form a precipitate of sulfur at room temperature.

Na2S2O3 (aq) + 2HCl (aq) → S (s) + SO(g) + 2NaCl (aq) + X

Identify the formula and state symbol of X.

[1]
a.

Suggest why the experiment should be carried out in a fume hood or in a well-ventilated laboratory.

[1]
b.

The precipitate of sulfur makes the mixture cloudy, so a mark underneath the reaction mixture becomes invisible with time.

10.0 cm3 of 2.00 mol dm-3 hydrochloric acid was added to a 50.0 cm3 solution of sodium thiosulfate at temperature, T1. Students measured the time taken for the mark to be no longer visible to the naked eye. The experiment was repeated at different concentrations of sodium thiosulfate.

Show that the hydrochloric acid added to the flask in experiment 1 is in excess.

[2]
c.

Draw the best fit line of \(\frac{1}{{\rm{t}}}\) against concentration of sodium thiosulfate on the axes provided.

[2]
d.

A student decided to carry out another experiment using 0.075 mol dm-3 solution of sodium thiosulfate under the same conditions. Determine the time taken for the mark to be no longer visible.

[2]
e.

An additional experiment was carried out at a higher temperature, T2.

(i) On the same axes, sketch Maxwell–Boltzmann energy distribution curves at the two temperatures T1 and T2, where T> T1.

(ii) Explain why a higher temperature causes the rate of reaction to increase.

[4]
f.

Suggest one reason why the values of rates of reactions obtained at higher temperatures may be less accurate.

[1]
g.

Markscheme

H2O AND (l)
Do not accept H2O (aq).

a.

SO2 (g) is an irritant/causes breathing problems
OR
SO2 (g) is poisonous/toxic

Accept SO2 (g) is acidic, but do not accept “causes acid rain”.
Accept SO2 (g) is harmful.
Accept SO2 (g) has a foul/pungent smell.

b.

n(HCl) = «\(\frac{{10.0}}{{1000}}\)dm3 × 2.00 mol dm-3 =» 0.0200 / 2.00 × 10-2«mol»
AND
n(Na2S2O3) = «\(\frac{{50}}{{1000}}\)dm3 × 0.150 mol × dm-3 =» 0.00750 / 7.50 × 10-3 «mol»

0.0200 «mol» > 0.0150 «mol»
OR
2.00 × 10-2«mol» > 2 × 7.50 × 10-3 «mol»
OR
\(\frac{1}{2}\) × 2.00 × 10-2 «mol» > 7.50 × 10-3 «mol»

Accept answers based on volume of solutions required for complete reaction.
Award [2] for second marking point.
Do not award M2 unless factor of 2 (or half) is used.

c.

five points plotted correctly
best fit line drawn with ruler, going through the origin

d.

22.5 × 10-3 «s-1»

«Time = \(\frac{1}{{22.5 \times {{10}^{ - 3}}}}\) =» 44.4 «s»

Award [2] for correct final answer.
Accept value based on candidate’s graph.
Award M2 as ECF from M1.
Award [1 max] for methods involving taking mean of appropriate pairs of \(\frac{1}{{\rm{t}}}\) values.
Award [0] for taking mean of pairs of time values.
Award [2] for answers between 42.4 and 46.4 «s».

e.

(i)

correctly labelled axes
peak of T2 curve lower AND to the right of T1 curve

Accept “probability «density» / number of particles / N / fraction” on y-axis.

Accept “kinetic E/KE/EK” but not just “Energy/E” on x-axis.

 

(ii)

greater proportion of molecules have ≥ Ea or Ea
OR
greater area under curve to the right of the Ea

greater frequency of collisions «between molecules»
OR
more collisions per unit time/second

Accept more molecules have energy greater than Ea.
Do not accept just “particles have greater kinetic energy”.
Accept “rate/chance/probability/likelihood/” instead of “frequency”.
Accept suitably shaded/annotated diagram.
Do not accept just “more collisions”.

f.

shorter reaction time so larger «%» error in timing/seeing when mark disappears

Accept cooling of reaction mixture during course of reaction.

g.

Examiners report

[N/A]
a.
[N/A]
b.
[N/A]
c.
[N/A]
d.
[N/A]
e.
[N/A]
f.
[N/A]
g.



Phosgene, COCl2, is usually produced by the reaction between carbon monoxide and chlorine according to the equation:

(i) Deduce the equilibrium constant expression, Kc, for this reaction.

(ii) State the effect of an increase in the total pressure on the equilibrium constant, Kc.

[2]
a.

(i) Sketch the potential energy profile for the synthesis of phosgene, using the axes given, indicating both the enthalpy of reaction and activation energy.

(ii) This reaction is normally carried out using a catalyst. Draw a dotted line labelled “Catalysed” on the diagram above to indicate the effect of the catalyst.

(iii) Sketch and label a second Maxwell–Boltzmann energy distribution curve representing the same system but at a higher temperature, Thigher.

(iv) Explain why an increase in temperature increases the rate of this reaction.

[6]
b.

Markscheme

(i)
\( \ll {K_{\rm{c}}} =  \gg \frac{{\left[ {{\rm{COC}}{{\rm{l}}_{\rm{2}}}} \right]}}{{\left[ {{\rm{CO}}} \right]\left[ {{\rm{C}}{{\rm{l}}_2}} \right]}}\)

(ii)
no effect

a.

(i)

products lower than reactants AND enthalpy of reaction correctly marked and labelled with name or value

activation energy correctly marked and labelled with name or value

Accept other clear ways of indicating energy/ enthalpy changes.

(ii)

lower dotted curve, between same reactants and product levels, labelled “Catalysed”

(iii)

second curve at a higher temperature is correctly drawn (maximum lower and to right of original)

(iv)

greater proportion of molecules have E ≥ Ea or E >Ea 
OR
greater area under curve to the right of the Ea

greater frequency of collisions «between molecules»
OR
more collisions per unit time/second

Do not accept just particles have greater kinetic energy.
Do not accept just “more collisions”.

b.

Examiners report

[N/A]
a.
[N/A]
b.



A student titrated an ethanoic acid solution, CH3COOH (aq), against 50.0 cm3 of 0.995 mol dm–3 sodium hydroxide, NaOH (aq), to determine its concentration.

The temperature of the reaction mixture was measured after each acid addition and plotted against the volume of acid.

Curves X and Y were obtained when a metal carbonate reacted with the same volume of ethanoic acid under two different conditions.

Using the graph, estimate the initial temperature of the solution.

[1]
a.

Determine the maximum temperature reached in the experiment by analysing the graph.

[1]
b.

Calculate the concentration of ethanoic acid, CH3COOH, in mol dm–3.

[2]
c.

Determine the heat change, q, in kJ, for the neutralization reaction between ethanoic acid and sodium hydroxide.

Assume the specific heat capacities of the solutions and their densities are those of water.

[2]
d.i.

Calculate the enthalpy change, ΔH, in kJ mol–1, for the reaction between ethanoic acid and sodium hydroxide.

[2]
d.ii.

Explain the shape of curve X in terms of the collision theory.

[2]
e.i.

Suggest one possible reason for the differences between curves X and Y.

[1]
e.ii.

Markscheme

21.4 °C

Accept values in the range of 21.2 to 21.6 °C.

a.

29.0 «°C»

Accept range 28.8 to 29.2 °C.

 

b.

ALTERNATIVE 1

«volume CH3COOH =» 26.0 «cm3»

«[CH3COOH] = 0.995 mol dm–3 \( \times \frac{{50.0\,{\text{cm3}}}}{{26.0\,{\text{cm3}}}} = \)» 1.91 «mol dm−3»

ALTERNATIVE 2

«n(NaOH) =0.995 mol dm–3 x 0.0500 dm3 =» 0.04975 «mol»

«[CH3COOH] = \(\frac{{0.04975}}{{0.0260}}\) dm3 =» 1.91 «mol dm–3»

Accept values of volume in range 25.5 to 26.5 cm3.

Award [2] for correct final answer.

c.

«total volume = 50.0 + 26.0 =» 76.0 cm3 AND «temperature change 29.0 – 21.4 =» 7.6 «°C»

«q = 0.0760 kg x 4.18 kJ kg–1 K–1 x 7.6 K =» 2.4 «kJ»

Award [2] for correct final answer.

d.i.

«n(NaOH) = 0.995 mol dm–3 x 0.0500 dm3 =» 0.04975 «mol»

OR

«n(CH3COOH) = 1.91 mol dm–3 x 0.0260 dm3 =» 0.04966 «mol»

«ΔH = \( - \frac{{2.4\,{\text{kJ}}}}{{0.04975\,{\text{mol}}}} = \)» –48 / –49 «kJ mol–1»

Award [2] for correct final answer.

Negative sign is required for M2.

d.ii.

«initially steep because» greatest concentration/number of particles at start

OR

«slope decreases because» concentration/number of particles decreases

volume produced per unit of time depends on frequency of collisions

OR

rate depends on frequency of collisions

e.i.

mass/amount/concentration of metal carbonate more in X

OR

concentration/amount of CH3COOH more in X

e.ii.

Examiners report

[N/A]
a.
[N/A]
b.
[N/A]
c.
[N/A]
d.i.
[N/A]
d.ii.
[N/A]
e.i.
[N/A]
e.ii.