HL Paper 2
Urea, (H2N)2CO, is excreted by mammals and can be used as a fertilizer.
Urea can also be made by the direct combination of ammonia and carbon dioxide gases.
2NH3(g) + CO2(g) \( \rightleftharpoons \) (H2N)2CO(g) + H2O(g) ΔH < 0
Calculate the percentage by mass of nitrogen in urea to two decimal places using section 6 of the data booklet.
Suggest how the percentage of nitrogen affects the cost of transport of fertilizers giving a reason.
The structural formula of urea is shown.

Predict the electron domain and molecular geometries at the nitrogen and carbon atoms, applying the VSEPR theory.

Urea can be made by reacting potassium cyanate, KNCO, with ammonium chloride, NH4Cl.
KNCO(aq) + NH4Cl(aq) → (H2N)2CO(aq) + KCl(aq)
Determine the maximum mass of urea that could be formed from 50.0 cm3 of 0.100 mol dm−3 potassium cyanate solution.
State the equilibrium constant expression, Kc.
Predict, with a reason, the effect on the equilibrium constant, Kc, when the temperature is increased.
Determine an approximate order of magnitude for Kc, using sections 1 and 2 of the data booklet. Assume ΔGΘ for the forward reaction is approximately +50 kJ at 298 K.
Suggest one reason why urea is a solid and ammonia a gas at room temperature.
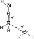
Sketch two different hydrogen bonding interactions between ammonia and water.
The combustion of urea produces water, carbon dioxide and nitrogen.
Formulate a balanced equation for the reaction.
Calculate the maximum volume of CO2, in cm3, produced at STP by the combustion of 0.600 g of urea, using sections 2 and 6 of the data booklet.
Describe the bond formation when urea acts as a ligand in a transition metal complex ion.
The C–N bonds in urea are shorter than might be expected for a single C–N bond. Suggest, in terms of electrons, how this could occur.
The mass spectrum of urea is shown below.

Identify the species responsible for the peaks at m/z = 60 and 44.
The IR spectrum of urea is shown below.

Identify the bonds causing the absorptions at 3450 cm−1 and 1700 cm−1 using section 26 of the data booklet.
Predict the number of signals in the 1H NMR spectrum of urea.
Predict the splitting pattern of the 1H NMR spectrum of urea.
Outline why TMS (tetramethylsilane) may be added to the sample to carry out 1H NMR spectroscopy and why it is particularly suited to this role.
Markscheme
molar mass of urea «4 \( \times \) 1.01 + 2 \( \times \) 14.01 + 12.01 + 16.00» = 60.07 «g mol-1»
«% nitrogen = \(\frac{{{\text{2}} \times {\text{14.01}}}}{{{\text{60.07}}}}\) \( \times \) 100 =» 46.65 «%»
Award [2] for correct final answer.
Award [1 max] for final answer not to two decimal places.
[2 marks]
«cost» increases AND lower N% «means higher cost of transportation per unit of nitrogen»
OR
«cost» increases AND inefficient/too much/about half mass not nitrogen
Accept other reasonable explanations.
Do not accept answers referring to safety/explosions.
[1 mark]

Note: Urea’s structure is more complex than that predicted from VSEPR theory.
[3 marks]
n(KNCO) «= 0.0500 dm3 \( \times \) 0.100 mol dm–3» = 5.00 \( \times \) 10–3 «mol»
«mass of urea = 5.00 \( \times \) 10–3 mol \( \times \) 60.07 g mol–1» = 0.300 «g»
Award [2] for correct final answer.
[2 marks]
\({K_{\text{c}}} = \frac{{[{{({{\text{H}}_2}{\text{N}})}_2}{\text{CO}}] \times [{{\text{H}}_2}{\text{O}}]}}{{{{[{\text{N}}{{\text{H}}_3}]}^2} \times [{\text{C}}{{\text{O}}_2}]}}\)
[1 mark]
«Kc» decreases AND reaction is exothermic
OR
«Kc» decreases AND ΔH is negative
OR
«Kc» decreases AND reverse/endothermic reaction is favoured
[1 mark]
ln K « = \(\frac{{ - \Delta {G^\Theta }}}{{RT}} = \frac{{ - 50 \times {{10}^3}{\text{ J}}}}{{8.31{\text{ J }}{{\text{K}}^{ - 1}}{\text{ mo}}{{\text{l}}^{ - 1}} \times 298{\text{ K}}}}\) » = –20
«Kc =» 2 \( \times \) 10–9
OR
1.69 \( \times \) 10–9
OR
10–9
Accept range of 20-20.2 for M1.
Award [2] for correct final answer.
[2 marks]
Any one of:
urea has greater molar mass
urea has greater electron density/greater London/dispersion
urea has more hydrogen bonding
urea is more polar/has greater dipole moment
Accept “urea has larger size/greater van der Waals forces”.
Do not accept “urea has greater intermolecular forces/IMF”.
[1 mark]

Award [1] for each correct interaction.
If lone pairs are shown on N or O, then the lone pair on N or one of the lone pairs on O MUST be involved in the H-bond.
Penalize solid line to represent H-bonding only once.
[2 marks]
2(H2N)2CO(s) + 3O2(g) → 4H2O(l) + 2CO2(g) + 2N2(g)
correct coefficients on LHS
correct coefficients on RHS
Accept (H2N)2CO(s) + \(\frac{3}{2}\)O2(g) → 2H2O(l) + CO2(g) + N2(g).
Accept any correct ratio.
[2 marks]
«V = \(\frac{{{\text{0.600 g}}}}{{{\text{60.07 g mo}}{{\text{l}}^{ - 1}}}}\) \( \times \) 22700 cm3 mol–1 =» 227 «cm3»
[1 mark]
lone/non-bonding electron pairs «on nitrogen/oxygen/ligand» given to/shared with metal ion
co-ordinate/dative/covalent bonds
[2 marks]
lone pairs on nitrogen atoms can be donated to/shared with C–N bond
OR
C–N bond partial double bond character
OR
delocalization «of electrons occurs across molecule»
OR
slight positive charge on C due to C=O polarity reduces C–N bond length
[1 mark]
60: CON2H4+
44: CONH2+
Accept “molecular ion”.
[2 marks]
3450 cm–1: N–H
1700 cm–1: C=O
Do not accept “O–H” for 3450 cm–1.
[2 marks]
1
[2 marks]
singlet
Accept “no splitting”.
[1 mark]
acts as internal standard
OR
acts as reference point
one strong signal
OR
12 H atoms in same environment
OR
signal is well away from other absorptions
Accept “inert” or “readily removed” or “non-toxic” for M1.
[2 marks]
Examiners report
This question is about carbon and chlorine compounds.
Ethane, \({{\text{C}}_{\text{2}}}{{\text{H}}_{\text{6}}}\), reacts with chlorine in sunlight. State the type of this reaction and the name of the mechanism by which it occurs.

Formulate equations for the two propagation steps and one termination step in the formation of chloroethane from ethane.

Deduce the splitting patterns in the 1H NMR spectrum of C2H5Cl.
Explain why tetramethylsilane (TMS) is often used as a reference standard in 1H NMR.
One possible product, X, of the reaction of ethane with chlorine has the following composition by mass:
carbon: 24.27%, hydrogen: 4.08%, chlorine: 71.65%
Determine the empirical formula of the product.
The mass and 1H NMR spectra of product X are shown below. Deduce, giving your reasons, its structural formula and hence the name of the compound.
When the product X is reacted with NaOH in a hot alcoholic solution, C2H3Cl is formed. State the role of the reactant NaOH other than as a nucleophile.
Chloroethene, \({{\text{C}}_{\text{2}}}{{\text{H}}_{\text{3}}}{\text{Cl}}\), can undergo polymerization. Draw a section of the polymer with three repeating units.
Markscheme
substitution AND «free-»radical
OR
substitution AND chain
Award [1] for “«free-»radical substitution” or “SR” written anywhere in the answer.
[1 mark]
Two propagation steps:
\({{\text{C}}_{\text{2}}}{{\text{H}}_{\text{6}}} + \bullet {\text{Cl}} \to {{\text{C}}_{\text{2}}}{{\text{H}}_{\text{5}}} \bullet + {\text{HCl}}\)
\({{\text{C}}_{\text{2}}}{{\text{H}}_{\text{5}}} \bullet + {\text{C}}{{\text{l}}_{\text{2}}} \to {{\text{C}}_{\text{2}}}{{\text{H}}_{\text{5}}}{\text{Cl}} + \bullet {\text{Cl}}\)
One termination step:
\({{\text{C}}_{\text{2}}}{{\text{H}}_{\text{5}}} \bullet + {{\text{C}}_{\text{2}}}{{\text{H}}_{\text{5}}} \bullet \to {{\text{C}}_{\text{4}}}{{\text{H}}_{{\text{10}}}}\)
OR
\({{\text{C}}_{\text{2}}}{{\text{H}}_{\text{5}}} \bullet + \bullet {\text{Cl}} \to {{\text{C}}_{\text{2}}}{{\text{H}}_{\text{5}}}{\text{Cl}}\)
OR
\( \bullet {\text{Cl}} + \bullet {\text{Cl}} \to {\text{C}}{{\text{l}}_{\text{2}}}\)
Accept radical without \( \bullet \) if consistent throughout.
Allow ECF for incorrect radicals produced in propagation step for M3.
[3 marks]
triplet AND quartet
[1 mark]
chemical shift/signal outside range of common chemical shift/signal
strong signal/12/all H atoms in same environment
OR
singlet/no splitting of the signal
volatile/easily separated/easily removed
OR
inert/stabl
contains three common NMR nuclei/1H and 13C and 29Si
Do not accept chemical shift = 0.
[2 marks]
\({\text{C}} = \frac{{24.27}}{{12.01}} = 2.021\) AND \({\text{H}} = \frac{{4.08}}{{1.01}} = 4.04\) AND \({\text{Cl}} = \frac{{71.65}}{{35.45}} = 2.021\)
«hence» CH2Cl
Accept \(\frac{{24.27}}{{12.01}}\) : \(\frac{{4.08}}{{1.01}}\) : \(\frac{{71.65}}{{35.45}}.\)
Do not accept C2H4Cl2.
Award [2] for correct final answer.
[2 marks]
molecular ion peak(s) «about» m/z 100 AND «so» C2H4Cl2 «isotopes of Cl»
two signals «in 1H NMR spectrum» AND «so» CH3CHCl2
OR
«signals in» 3:1 ratio «in 1H NMR spectrum» AND «so» CH3CHCl2
OR
one doublet and one quartet «in 1H NMR spectrum» AND «so» CH3CHCl2
1,1-dichloroethane
Accept “peaks” for “signals”.
Allow ECF for a correct name for M3 if an incorrect chlorohydrocarbon is identified.
[3 marks]
base
OR
proton acceptor
[1 mark]

Continuation bonds must be shown.
Ignore square brackets and “n”.
Accept
.
Accept other versions of the polymer, such as head to head and head to tail.
Accept condensed structure provided all C to C bonds are shown (as single).
[1 mark]
Examiners report
Ethane-1,2-diol, HOCH2CH2OH, has a wide variety of uses including the removal of ice from aircraft and heat transfer in a solar cell.
(i) Calculate ΔHθ, in kJ, for this similar reaction below using \(\Delta H_{\rm{f}}^\theta \) data from section 12 of the data booklet. \(\Delta H_{\rm{f}}^\theta \) of HOCH2CH2OH(l) is –454.8kJmol-1.
2CO (g) + 3H2 (g) \( \rightleftharpoons \) HOCH2CH2OH (l)
(ii) Deduce why the answers to (a)(iii) and (b)(i) differ.
(iii) ΔSθ for the reaction in (b)(i) is –620.1JK-1. Comment on the decrease in entropy.
(iv) Calculate the value of ΔGθ, in kJ, for this reaction at 298 K using your answer to (b)(i). (If you did not obtain an answer to (b)(i), use –244.0 kJ, but this is not the correct value.)
(v) Comment on the statement that the reaction becomes less spontaneous as temperature is increased.
Predict the 1HNMR data for ethanedioic acid and ethane-1,2-diol by completing the table.
Markscheme
i
«ΔH = Σ ΔHf products – ΣΔHf reactants = –454.8 kJ mol-1 – 2(–110.5 kJ mol-1) =» –233.8 «kJ»
ii
in (a)(iii) gas is formed and in (b)(i) liquid is formed
OR
products are in different states
OR
conversion of gas to liquid is exothermic
OR
conversion of liquid to gas is endothermic
OR
enthalpy of vapourisation needs to be taken into account
Accept product is «now» a liquid.
Accept answers referring to bond enthalpies being means/averages.
iii
«ΔS is negative because five mols of» gases becomes «one mol of» liquid
OR
increase in complexity of product «compared to reactants»
OR
product more ordered «than reactants»
Accept “fewer moles of gas” but not “fewer molecules”.
iv
ΔS = \(\left( {\frac{{ - 620.1}}{{1000}}} \right)\)«kJ K-1»
ΔG = –233.8 kJ – (298 K \(\left( {\frac{{ - 620.1}}{{1000}}} \right)\) kJ K-1) = –49.0 «kJ»
Award [2] for correct final answer.
Award [1 max] for «+»185 × 103.
If –244.0 kJ used, answer is:
ΔG = –244.0 kJ – (298 K \(\left( {\frac{{ - 620.1}}{{1000}}} \right)\)kJ K-1) = –59.2 «kJ»
Award [2] for correct final answer.
v
increasing T makes ΔG larger/more positive/less negative
OR
–TΔS will increase
Accept “none/no splitting” for singlet.
Examiners report
Organic compounds often have isomers.
A straight chain molecule of formula C5H10O contains a carbonyl group. The compound cannot be oxidized by acidified potassium dichromate(VI) solution.
A tertiary halogenoalkane with three different alkyl groups, (R1R2R3)C−X, undergoes a SN1 reaction and forms two isomers.
Deduce the structural formulas of the two possible isomers.
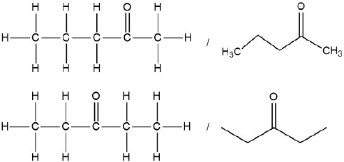
Mass spectra A and B of the two isomers are given.

Explain which spectrum is produced by each compound using section 28 of the data booklet.
State the type of bond fission that takes place in a SN1 reaction.
State the type of solvent most suitable for the reaction.
Draw the structure of the intermediate formed stating its shape.
Suggest, giving a reason, the percentage of each isomer from the SN1 reaction.
Nitrobenzene, C6H5NO2, can be converted to phenylamine via a two-stage reaction.
In the first stage, nitrobenzene is reduced with tin in an acidic solution to form an intermediate ion and tin(II) ions. In the second stage, the intermediate ion is converted to phenylamine in the presence of hydroxide ions.
Formulate the equation for each stage of the reaction.
Markscheme

Accept condensed formulas.
[2 marks]
A:
CH3CH2COCH2CH3 AND «peak at» 29 due to
(CH3CH2)+/(C2H5)+/(M – CH3CH2CO)+
OR
CH3CH2COCH2CH3 AND «peak at» 57 due to
(CH3CH2CO)+/(M – CH3CH2)+/(M – C2H5)+
B:
CH3COCH2CH2CH3 AND «peak at» 43 due to
(CH3CH2CH2)+/(CH3CO)+/(C2H3O)+/(M – CH3CO)+
Penalize missing “+” sign once only.
Accept “CH3COCH2CH2CH3 by elimination since fragment CH3CO is not listed” for M2.
[2 marks]
heterolytic/heterolysis
[1 mark]
polar protic
[1 mark]

Shape: triangular/trigonal planar
[2 marks]
«around» 50% «each»
OR
similar/equal percentages
nucleophile can attack from either side «of the planar carbocation»
Accept “racemic mixture/racemate” for M1.
[2 marks]
Stage one:
C6H5NO2(l) + 3Sn(s) + 7H+(aq) → C6H5NH3+(aq) + 3Sn2+(aq) + 2H2O(l)
Stage two:
C6H5NH3+(aq) + OH–(aq) → C6H5NH2(l) + H2O(l)
[2 marks]
Examiners report
A compound with a molecular formula C7H14O produced the following high resolution 1H NMR spectrum.
Deduce what information can be obtained from the 1H NMR spectrum.
Identify the functional group that shows stretching at 1710 cm–1 in the infrared spectrum of this compound using section 26 of the data booklet and the 1H NMR.
Suggest the structural formula of this compound.
Bromine was added to hexane, hex-1-ene and benzene. Identify the compound(s) which will react with bromine in a well-lit laboratory.
Deduce the structural formula of the main organic product when hex-1-ene reacts with hydrogen bromide.
State the reagents and the name of the mechanism for the nitration of benzene.
Outline, in terms of the bonding present, why the reaction conditions of halogenation are different for alkanes and benzene.
Below are two isomers, A and B, with the molecular formula C4H9Br.
Explain the mechanism of the nucleophilic substitution reaction with NaOH(aq) for the isomer that reacts almost exclusively by an SN2 mechanism using curly arrows to represent the movement of electron pairs.
Markscheme
Number of hydrogen environments: 3
Ratio of hydrogen environments: 2:3:9
Splitting patterns: «all» singlets
Accept any equivalent ratios such as 9:3:2.
Accept “no splitting”.
[3 marks]
carbonyl
OR
C=O
Accept “ketone” but not “aldehyde”.
[1 mark]
Accept (CH3)3CCH2COCH3.
Award [1] for any aldehyde or ketone with C7H14O structural formula.
[2 marks]
hexane AND hex-1-ene
Accept “benzene AND hexane AND hex-1-ene”.
[1 mark]
CH3CH2CH2CH2CHBrCH3
Accept displayed formula but not molecular formula.
[1 mark]
Reagents: «concentrated» sulfuric acid AND «concentrated» nitric acid
Name of mechanism: electrophilic substitution
[2 marks]
benzene has «delocalized» \(\pi \) bonds «that are susceptible to electrophile attack» AND alkanes do not
Do not accept “benzene has single and double bonds”.
[1 mark]
curly arrow going from lone pair/negative charge on O in –OH to C
curly arrow showing Br leaving
representation of transition state showing negative charge, square brackets and partial bonds
Accept OH– with or without the lone pair.
Do not allow curly arrows originating on H in OH–.
Accept curly arrows in the transition state.
Do not penalize if HO and Br are not at 180°.
Do not award M3 if OH–C bond is represented.
Award [2 max] if wrong isomer is used.
[3 marks]
Examiners report
Compound A and compound B are hydrocarbons.
(i) State the term that is used to describe molecules that are related to each other in the same way as compound A and compound B.
(ii) Suggest a chemical test to distinguish between compound A and compound B, giving the observation you would expect for each.
Test:
Observation with A:
Observation with B:
Outline how you could use the IR spectra of compounds A and B and section 26 of the data booklet to identify them.
Two signals occur in the 1H NMR spectrum of compound A. Deduce their expected chemical shift and their splitting pattern, using section 27 of the data booklet.
Markscheme
(i)
«structural/functional» isomer«s»
(ii)
Test:
«react with» bromine/Br2 «in the dark»
OR
«react with» bromine water/Br2 (aq) «in the dark»
A: from yellow/orange/brown to colourless AND B: colour remains/slowly decolourized
Accept other correct reagents, such as manganate(VII) or iodine solutions, and descriptions of the corresponding changes observed.
Accept “decolourized” for A and “not decolourized/unchanged” for B.
Do not accept “clear/transparent” instead of “colourless”.
compound A would absorb at 1620–1680«cm−1»
Accept any value in range 1620 – 1680 cm−1.
Signal 1/2 2/1
Chemical shift/ ppm 0.9 - 1.0 AND 4.5 - 6.0
Splitting pattern singlet AND singlet
Accept 0.9 to 2.0 for the first signal as the C=C affects the CH3 shift (actually 1.7).
Accept “none/no splitting” for both splitting patterns
Award [1 max] for the correct deduction (both shift and splitting) of signal 1 or 2.