HL Paper 2
An acidic sample of a waste solution containing Sn2+(aq) reacted completely with K2Cr2O7 solution to form Sn4+(aq).
Identify one organic functional group that can react with acidified K2Cr2O7(aq).
Corrosion of iron is similar to the processes that occur in a voltaic cell. The initial steps involve the following half-equations:
Fe2+(aq) + 2e– \( \rightleftharpoons \) Fe(s)
\(\frac{1}{2}\)O2(g) + H2O(l) + 2e– \( \rightleftharpoons \) 2OH–(aq)
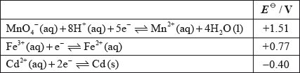
Calculate E θ, in V, for the spontaneous reaction using section 24 of the data booklet.
Calculate the Gibbs free energy, ΔG θ, in kJ, which is released by the corrosion of 1 mole of iron. Use section 1 of the data booklet.
Explain why iron forms many different coloured complex ions.
Zinc is used to galvanize iron pipes, forming a protective coating. Outline how this process prevents corrosion of the iron pipes.
In acidic solution, bromate ions, BrO3−(aq), oxidize iodide ions, I−(aq).
BrO3−(aq) + 6H+(aq) + 6e− \( \rightleftharpoons \) Br−(aq) + 3H2O(l)
2I−(aq) \( \rightleftharpoons \) I2(s) + 2e−
Formulate the equation for the redox reaction.
The change in the free energy for the reaction under standard conditions, ΔGΘ, is −514 kJ at 298 K.
Determine the value of EΘ, in V, for the reaction using sections 1 and 2 of the data booklet.
Calculate the standard electrode potential, in V, for the BrO3−/Br− reduction half‑equation using section 24 of the data booklet.
An electrochemical cell is made from an iron half-cell connected to a cobalt half-cell:

The standard electrode potential for \({\text{F}}{{\text{e}}^{2 + }}{\text{(aq)}} + {\text{2}}{{\text{e}}^ - } \rightleftharpoons {\text{Fe(s)}}\) is –0.45 V. The total cell potential obtained when the cell is operating under standard conditions is 0.17 V. Cobalt is produced during the spontaneous reaction.
An electrolytic cell is made using a very dilute solution of sodium chloride.
Predict the products by giving the relevant half-equation for the reaction occurring at each electrode if the electrolyte of the cell described in part (c) was changed to:
Define the term standard electrode potential and state the meaning of the minus sign in the value of –0.45 V.
Calculate the value for the standard electrode potential for the cobalt half-cell.
Deduce which species acts as the oxidizing agent when the cell is operating.
Deduce the equation for the spontaneous reaction taking place when the iron half-cell is connected instead to an aluminium half-cell.
Explain the function of the salt bridge in an electrochemical cell.
\({{\text{[Co(}}{{\text{H}}_{\text{2}}}{\text{O}}{{\text{)}}_{\text{6}}}{\text{]}}^{2 + }}\)
\({\text{C}}{{\text{o}}_{\text{2}}}{{\text{(S}}{{\text{O}}_{\text{4}}}{\text{)}}_{\text{3}}}\)
\({{\text{[CoC}}{{\text{l}}_{\text{4}}}{\text{]}}^{2 - }}\)
Draw a labelled diagram of the cell. Use an arrow to show the direction of the electron flow and identify the positive and negative electrodes.
Give the formulas of all the ions present in the solution.
Predict the products obtained at each electrode and state the half-equation for the formation of each product.
Deduce the molar ratios of the products obtained at the two electrodes.
concentrated sodium chloride
molten sodium bromide
The standard electrode potential for a half-cell made from iron metal in a solution of iron(II) ions, \({\text{F}}{{\text{e}}^{2 + }}{\text{(aq)}}\), has the value \( - 0.45{\text{ V}}\).
Consider the following table of standard electrode potentials.

From the list above:
An acidified solution of potassium dichromate is often used as an oxidizing agent in organic chemistry. During the oxidation reaction of ethanol to ethanal the dichromate ion is reduced to chromium(III) ions according to the following unbalanced half-equation.
\[{\text{C}}{{\text{r}}_2}{\text{O}}_7^{2 - }{\text{(aq)}} + {{\text{H}}^ + }{\text{(aq)}} + {{\text{e}}^ - } \to {\text{C}}{{\text{r}}^{3 + }}{\text{(aq)}} + {{\text{H}}_2}{\text{O(l)}}\]
Sodium metal can be obtained by the electrolysis of molten sodium chloride.
Define standard electrode potential.
Explain the significance of the minus sign in \( - {\text{0.45 V}}\).
State the species which is the strongest oxidizing agent.
Deduce which species can reduce \({\text{S}}{{\text{n}}^{4 + }}{\text{(aq)}}\) to \({\text{S}}{{\text{n}}^{2 + }}{\text{(aq)}}\) but will not reduce \({\text{S}}{{\text{n}}^{2 + }}{\text{(aq)}}\) to Sn(s) under standard conditions.
Deduce which species can reduce \({\text{S}}{{\text{n}}^{2 + }}{\text{(aq)}}\) to Sn(s) under standard conditions.
Draw a labelled diagram of a voltaic cell made from an Fe (s) / \({\text{F}}{{\text{e}}^{2 + }}{\text{(aq)}}\) half-cell connected to an Ag(s) / \({\text{A}}{{\text{g}}^ + }{\text{(aq)}}\) half-cell operating under standard conditions. In your diagram identify the positive electrode (cathode), the negative electrode (anode) and the direction of electron flow in the external circuit.
Deduce the equation for the chemical reaction occurring when the cell in part (c) (i) is operating under standard conditions and calculate the voltage produced by the cell.
Describe the colour change that will be observed in the reaction.
Deduce the oxidation number of chromium in \({\text{C}}{{\text{r}}_{\text{2}}}{\text{O}}_7^{2 - }\).
State the balanced half-equation for the reduction of dichromate ions to chromium(III) ions.
Deduce the half-equation for the oxidation of ethanol to ethanal and hence the overall redox equation for the oxidation of ethanol to ethanal by acidified dichromate ions.
Explain why it is necessary to carry out the reaction under acidic conditions.
Identify the organic product formed if excess potassium dichromate is used and the reaction is carried out under reflux.
Explain why it is very difficult to obtain sodium from sodium chloride by any other method.
Explain why an aqueous solution of sodium chloride cannot be used to obtain sodium metal by electrolysis.
Chromium is a typical transition metal with many uses.
A voltaic cell is constructed as follows. One half-cell contains a platinum electrode in a solution containing \({{\text{K}}_{\text{2}}}{\text{C}}{{\text{r}}_{\text{2}}}{{\text{O}}_{\text{7}}}\) and \({{\text{H}}_{\text{2}}}{\text{S}}{{\text{O}}_{\text{4}}}\). The other half-cell contains an iron electrode in a solution containing \({\text{F}}{{\text{e}}^{2 + }}\) ions. The two electrodes are connected to a voltmeter and the two solutions by a salt bridge.
Distinguish between the terms oxidation and reduction in terms of oxidation numbers.
State the names of \({\text{C}}{{\text{r}}_{\text{2}}}{{\text{O}}_{\text{3}}}\) and \({\text{Cr}}{{\text{O}}_{\text{3}}}\).
\({\text{C}}{{\text{r}}_{\text{2}}}{{\text{O}}_{\text{3}}}\):
\({\text{Cr}}{{\text{O}}_{\text{3}}}\):
Define the term oxidizing agent.
\({\text{C}}{{\text{r}}_{\text{2}}}{\text{O}}_7^{2 - }{\text{(aq)}}\) and \({{\text{I}}^ - }{\text{(aq)}}\) ions react together in the presence of acid to form \({\text{C}}{{\text{r}}^{3 + }}{\text{(aq)}}\) and \({\text{IO}}_3^ - {\text{(aq)}}\) ions. Deduce the balanced chemical equation for this redox reaction and identify the species that acts as the oxidizing agent.
Draw a diagram of the voltaic cell, labelling the positive and negative electrodes (cathode and anode) and showing the direction of movement of the electrons and ions. Deduce an equation for the reaction occurring in each of the half-cells, and the equation for the overall cell reaction.
Define the term standard electrode potential.
Calculate the cell potential, in V, under standard conditions, using information from Table 14 of the Data Booklet.
State two characteristic properties of transition elements.
State the type of bond formed by a ligand and identify the feature that enables it to form this bond.
Explain why the complex \({{\text{[Cr(}}{{\text{H}}_{\text{2}}}{\text{O}}{{\text{)}}_{\text{6}}}{\text{]}}^{{\text{3 + }}}}\) is coloured.
Draw an orbital box diagram (arrow-in-box notation) showing the electrons in the 4s and 3d sub-levels in chromium metal.
Chromium is often used in electroplating. State what is used as the positive electrode (anode), the negative electrode (cathode) and the electrolyte in the chromium electroplating process.
The conditions used in an electrolytic cell can determine the products formed.
A voltaic cell is constructed from two half-cells as illustrated below.

Nitrogen monoxide may be removed from industrial emissions via a reaction with ammonia as shown by the equation below.
\[{\text{4N}}{{\text{H}}_3}{\text{(g)}} + {\text{6NO(g)}} \to {\text{5}}{{\text{N}}_2}{\text{(g)}} + {\text{6}}{{\text{H}}_{\text{2}}}{\text{O(l)}}\]
Draw an electrolytic cell illustrating the electrolysis of molten nickel(II) bromide, \({\text{NiB}}{{\text{r}}_{\text{2}}}\). Include in the diagram the direction of the electron flow, the polarity of electrodes and state the half-equations for the product formed at each electrode.
Deduce the equations for the formation of the major product at the positive electrode (anode) when the following aqueous solutions are electrolysed.
• dilute sodium chloride
• concentrated sodium chloride
Use Table 14 of the Data Booklet to deduce the equation for the spontaneous reaction occurring in this cell.
Calculate the standard potential for this cell.
State the conditions necessary for the potential of the cell to equal that calculated in part (b) (ii) using the data from Table 14.
Using the data below and data from Table 14 of the Data Booklet, predict and explain which metal, cadmium or chromium, may be obtained by electrolysis of separate aqueous solutions of \({\text{C}}{{\text{d}}^{2 + }}{\text{(aq)}}\) ions and \({\text{C}}{{\text{r}}^{2 + }}{\text{(aq)}}\) ions.
Electrolysis is used in the electroplating of metals. The same amount of current is passed through separate aqueous solutions of \({\text{NiS}}{{\text{O}}_{\text{4}}}\), \({\text{Sn(S}}{{\text{O}}_{\text{4}}}{{\text{)}}_{\text{2}}}\) and \({\text{C}}{{\text{r}}_{\text{2}}}{{\text{(S}}{{\text{O}}_{\text{4}}}{\text{)}}_{\text{3}}}\) in separate electrolytic cells for the same amount of time. State and explain which cell would deposit the greatest amount (in mol) of metal. Identify the electrode at which the metal is deposited.
For the \({\text{Sn(S}}{{\text{O}}_{\text{4}}}{{\text{)}}_{\text{2}}}\) cell, suggest two factors, other than time and current, that would affect the amount of metal deposited during electroplating.
Deduce the oxidation number of the nitrogen in the reactants and product.
Deduce the oxidation and reduction half-equations and identify the oxidizing agent for the reaction.
\({\text{30.0 d}}{{\text{m}}^{\text{3}}}\) of ammonia reacts with \({\text{30.0 d}}{{\text{m}}^{\text{3}}}\) of nitrogen monoxide at 100 °C. Identify which gas is in excess and by how much and calculate the volume of nitrogen produced.
Consider the following half-cell reactions and their standard electrode potentials.
\[\begin{array}{*{20}{l}} {{\text{N}}{{\text{i}}^{2 + }}{\text{(aq)}} + {\text{2}}{{\text{e}}^ - } \rightleftharpoons {\text{Ni(s)}}}&{{E^\Theta } = - {\text{0.26 V}}} \\ {{\text{A}}{{\text{l}}^{3 + }}{\text{(aq)}} + {\text{3}}{{\text{e}}^ - } \rightleftharpoons {\text{Al(s)}}}&{{E^\Theta } = - {\text{1.66 V}}} \end{array}\]
Outline two differences between an electrolytic cell and a voltaic cell.
Deduce a balanced equation for the overall reaction which will occur spontaneously when these two half-cells are connected.
Determine the cell potential when the two half-cells are connected.
On the cell diagram below, label the negative electrode (anode), the positive electrode (cathode) and the directions of the movement of electrons and ion flow.

Iron rusts in the presence of oxygen and water. Rusting is a redox process involving several steps that produces hydrated iron(III) oxide, \({\text{F}}{{\text{e}}_{\text{2}}}{{\text{O}}_{\text{3}}} \bullet {\text{n}}{{\text{H}}_{\text{2}}}{\text{O}}\), as the final product.
The half-equations involved for the first step of rusting are given below.
Half-equation 1: \({\text{Fe(s)}} \to {\text{F}}{{\text{e}}^{2 + }}{\text{(aq)}} + {\text{2}}{{\text{e}}^ - }\)
Half-equation 2: \({{\text{O}}_{\text{2}}}{\text{(aq)}} + {\text{4}}{{\text{e}}^ - } + {\text{2}}{{\text{H}}_{\text{2}}}{\text{O(l)}} \to {\text{4O}}{{\text{H}}^ - }{\text{(aq)}}\)
(i) Identify whether half-equation 1 represents oxidation or reduction, giving a reason for your answer.
(ii) Identify the oxidation number of each atom in the three species in half-equation 2.

(iii) Deduce the overall redox equation for the first step of rusting by combining half-equations 1 and 2.
(iv) Identify the reducing agent in the redox equation in part (iii).
The oxygen in half-equation 2 is atmospheric oxygen that is found dissolved in water in very small concentrations. Explain, in terms of intermolecular forces, why oxygen is not very soluble in water.
State the relationship between the electron arrangement of an element and its group and period in the periodic table.
Transition metals and their compounds often catalyse reactions. The catalyzed decomposition of hydrogen peroxide by CuO is an example. State two other examples of catalyzed reactions giving the transition metal or its compound acting as catalyst.
(i) State a chemical equation for the partial dissociation of water into ions, including state symbols.
(ii) The dissociation of water into ions is reversible. State the expression for the ionic product constant of water.
(iii) The ionic product constant of water was measured at three different temperatures.

Deduce whether the ionization of water is exothermic or endothermic, giving your reason.
(iv) Use the data in part (iii) to determine the pH of water at 373 K, correct to two decimal places.
(i) An aqueous solution of sodium chloride is electrolysed using inert electrodes. Explain which product is obtained at the positive electrode (anode) if the concentration of sodium chloride is high.
(ii) State the half-equations occurring at the electrodes during the electrolysis of the concentrated aqueous solution of sodium chloride.
Negative electrode (cathode):
Positive electrode (anode):
Describe how electrolysis can be used to electroplate a bracelet with a layer of silver metal. Include the choice of electrodes and electrolyte needed in your description.
The standard electrode potentials for three other electrode systems are given below.

Using Table 14 of the Data Booklet, calculate the cell potential for this cell.
The standard electrode potentials for three other electrode systems are given below.

(i) Identify which species in the table above is the best reducing agent.
(ii) Deduce the equation for the overall reaction with the greatest cell potential.
These values were obtained using a standard hydrogen electrode. Describe the materials and conditions used in the standard hydrogen electrode. (A suitably labelled diagram is acceptable).
Two electrolytic cells are connected in series as shown in the diagram below. In one there is molten magnesium chloride and in the other, dilute sodium hydroxide solution. Both cells have inert electrodes. If 12.16 g of magnesium is produced in the first cell, deduce the identity and mass of products produced at the positive and negative electrodes in the second cell.

A voltaic cell was set up, using the standard hydrogen electrode as a reference electrode and a standard \({\text{C}}{{\text{u}}^{2 + }}{\text{(aq)/Cu(s)}}\) electrode.
Another voltaic cell was set up, using a \({\text{S}}{{\text{n}}^{2 + }}{\text{(aq)/Sn(s)}}\) half-cell and a \({\text{C}}{{\text{u}}^{2 + }}{\text{(aq)/Cu(s)}}\) half-cell under standard conditions.
Water in a beaker at a pressure of \(1.01 \times {10^5}{\text{ Pa}}\) and a temperature of 298 K will not spontaneously decompose. However, decomposition of water can be induced by means of electrolysis.
Define oxidation in terms of oxidation number.
Deduce the balanced chemical equation for the redox reaction of copper, Cu(s), with nitrate ions, \({\text{N}}{{\text{O}}^{3 - }}{\text{(aq)}}\), in acid, to produce copper(II) ions, \({\text{C}}{{\text{u}}^{2 + }}{\text{(aq)}}\), and nitrogen(IV) oxide, \({\text{N}}{{\text{O}}_{\text{2}}}{\text{(g)}}\).
Deduce the oxidizing and reducing agents in this reaction.
Oxidizing agent:
Reducing agent:
Describe the standard hydrogen electrode including a fully labelled diagram.
Define the term standard electrode potential, \({E^\Theta }\).
Deduce a balanced chemical equation, including state symbols, for the overall reaction which will occur spontaneously when the two half-cells are connected.
Draw a fully labelled diagram of the voltaic cell, showing the positive electrode (cathode), the negative electrode (anode) and the direction of electron movement through the external circuit.
Using Table 14 of the Data Booklet, calculate the cell potential, \(E_{{\text{cell}}}^\Theta \), in V, when the two half-cells are connected.
Deduce the sign of the standard free energy change, \(\Delta {G^\Theta }\), for any non-spontaneous reaction.
State why dilute sulfuric acid needs to be added in order for the current to flow in the electrolytic cell.
State why copper electrodes cannot be used in the electrolysis of water. Suggest instead suitable metallic electrodes for this electrolysis process.
Deduce the half-equations for the reactions occurring at the positive electrode (anode) and the negative electrode (cathode).
Positive electrode (anode):
Negative electrode (cathode):
Deduce the overall cell reaction, including state symbols.
Draw a fully labelled diagram of the electrolytic cell, showing the positive electrode (anode) and the negative electrode (cathode).
Comment on what is observed at both electrodes.
Two electrolytic cells are connected in series (the same current passes through each cell). One cell for the electrolysis of water produces 100 cm\(^3\) of oxygen, measured at 273 K and \(1.01 \times {10^5}{\text{ Pa}}\). The second cell contains molten lead(II) bromide, \({\text{PbB}}{{\text{r}}_{\text{2}}}\). Determine the mass, in g, of lead produced.
Consider the following equilibrium.
\[\begin{array}{*{20}{l}} {{\text{2S}}{{\text{O}}_2}{\text{(g)}} + {{\text{O}}_2}{\text{(g)}} \rightleftharpoons {\text{2S}}{{\text{O}}_3}{\text{(g)}}}&{\Delta {H^\Theta } = - 198{\text{ kJ}}\,{\text{mo}}{{\text{l}}^{ - 1}}} \end{array}\]
State and explain the effect of increasing the pressure on the yield of sulfur trioxide.
State the effects of a catalyst on the forward and reverse reactions, on the position of equilibrium and on the value of \({K_{\text{c}}}\).
When a mixture of 0.100 mol NO, 0.051 mol \({{\text{H}}_{\text{2}}}\) and 0.100 mol \({{\text{H}}_{\text{2}}}{\text{O}}\) were placed in a \({\text{1.0 d}}{{\text{m}}^{\text{3}}}\) flask at 300 K, the following equilibrium was established.
\(2{\text{NO(g)}} + 2{{\text{H}}_2}{\text{(g)}} \rightleftharpoons {{\text{N}}_2}{\text{(g)}} + 2{{\text{H}}_2}{\text{O(g)}}\)
At equilibrium, the concentration of NO was found to be \({\text{0.062 mol}}\,{\text{d}}{{\text{m}}^{ - 3}}\). Determine the equilibrium constant, \({K_{\text{c}}}\), of the reaction at this temperature.
Outline two differences between an electrolytic cell and a voltaic cell.
Electroplating is an important application of electrolysis. State the composition of the electrodes and the electrolyte used in the silver electroplating process.
In acidic solution, ions containing titanium can react according to the half-equation below.
\({\text{Ti}}{{\text{O}}^{2 + }}{\text{(aq)}} + {\text{2}}{{\text{H}}^ + }{\text{(aq)}} + {{\text{e}}^ - } \rightleftharpoons {\text{T}}{{\text{i}}^{3 + }}{\text{(aq)}} + {{\text{H}}_2}{\text{O(l)}}\) \({E^\Theta } = - 0.06{\text{ V}}\)
In the diagram below, A and B are inert electrodes and, in the aqueous solutions, all ions have a concentration of \({\text{1 mol}}\,{\text{d}}{{\text{m}}^{ - 3}}\).

Sodium, silicon and sulfur are elements in period 3 of the periodic table that all form oxides.
Although carbon and silicon both belong to group 4 of the periodic table, carbon dioxide and silicon dioxide are different in many ways.
Define the term standard electrode potential, \({E^\Theta }\).
State the initial and final oxidation numbers of titanium and hence deduce whether it is oxidized or reduced in this change.

Considering the above equilibrium, predict, giving a reason, how adding more acid would affect the strength of the \({\text{Ti}}{{\text{O}}^{2 + }}\) ion as an oxidizing agent.
In the two experiments below, predict whether a reaction would occur and deduce an equation for any reaction that takes place. Refer to Table 14 of the Data Booklet if necessary.
KI(aq) is added to a solution containing \({\text{T}}{{\text{i}}^{3 + }}{\text{(aq)}}\) ions:
Zn (s) is added to a solution containing \({\text{Ti}}{{\text{O}}^{2 + }}{\text{(aq)}}\) and \({{\text{H}}^ + }{\text{(aq)}}\) ions:
Using Table 14 of the Data Booklet, state the balanced half-equation for the reaction that occurs at electrode A and whether it involves oxidation or reduction.
Calculate the cell potential in V.
On the diagram above label with an arrow
• the direction of electron flow in the wire
• the direction in which the positive ions flow in the salt bridge.
Compare the properties of the three oxides by completing the table below.

Sulfur dioxide is a significant contributor to acid deposition. Identify a major, man-made source of this pollutant.
As well as the oxide above, sodium forms a peroxide that contains the peroxide ion, \({\text{O}}_2^{2 - }\). Draw the Lewis (electron dot) structure of the peroxide ion.
Describe the differences in the hybridization of these group 4 elements and the precise nature of the bonds that they form with the oxygen atoms.
Xenon, although a noble gas, forms an oxide, \({\text{Xe}}{{\text{O}}_{\text{2}}}\), that has a structure related to that of \({\text{Si}}{{\text{O}}_{\text{2}}}\). Compare the geometry around the silicon atoms in \({\text{Si}}{{\text{O}}_{\text{2}}}\) with the geometry around the xenon atoms in \({\text{Xe}}{{\text{O}}_{\text{2}}}\), using the valence shell electron pair repulsion (VSEPR) theory.
Ethanedioic acid (oxalic acid), \({{\text{(COOH)}}_{\text{2}}}\), reacts with acidified potassium permanganate solution, \({\text{KMn}}{{\text{O}}_{\text{4}}}\), according to the following equation.
\[{\text{5(COOH}}{{\text{)}}_2}{\text{(aq)}} + {\text{2MnO}}_4^ - {\text{(aq)}} + {\text{6}}{{\text{H}}^ + }{\text{(aq)}} \to {\text{10C}}{{\text{O}}_2}{\text{(g)}} + {\text{2M}}{{\text{n}}^{2 + }}{\text{(aq)}} + {\text{8}}{{\text{H}}_2}{\text{O(l)}}\]
The reaction is a redox reaction.
Deduce the half-equation involving ethanedioic acid.
The standard electrode potential for the half-equation involving ethanedioic acid is \({E^\Theta } = - 0.49V\). Using Table 14 of the Data Booklet, calculate the standard electrode potential for the equation on page 10.
Explain the sign of the calculated standard electrode potential.
Predict the sign of \(\Delta {G^\Theta }\) for this reaction.
The word redox comes from a combination of the terms reduction and oxidation. Redox reactions affect our daily lives.
The overall reaction that takes place in a voltaic cell is shown below.
\[{\text{Pb(s)}} + {\text{Pb}}{{\text{O}}_{\text{2}}}{\text{(s)}} + {\text{2}}{{\text{H}}_{\text{2}}}{\text{S}}{{\text{O}}_{\text{4}}}{\text{(aq)}} \to {\text{2PbS}}{{\text{O}}_{\text{4}}}{\text{(s)}} + {\text{2}}{{\text{H}}_{\text{2}}}{\text{O(l)}}\]
Use information from Table 14 of the Data Booklet to deduce the oxidizing agent that can oxidize chloride ions but not fluoride ions. State the redox equation for the reaction and determine its cell potential.
(i) Molten sodium chloride is electrolysed in a cell using inert electrodes. State the half-equation, with state symbols, for the reaction taking place at the positive electrode (anode) and for the reaction taking place at the negative electrode (cathode). Determine the mole ratio of the products formed.
(ii) Predict and explain the products of electrolysis of a concentrated solution of NaCl (aq) using inert electrodes. Your answer should include half-equations with state symbols for the reaction at each electrode.
Electroplating is an important application of electrolytic cells with commercial implications. Copper may be plated using an electrolytic cell with an aqueous acidified copper(II) sulfate electrolyte.
For the copper plating of tin to make jewellery, state the half-equation at each electrode. Assume the other electrode is also inert. Suggest two observations that you would be able to make as the electroplating progresses.
Magnesium is the eighth most abundant element in the earth’s crust. The successive ionization energies of the element are shown below.

Magnesium can be produced from the electrolysis of molten magnesium chloride, MgCl2.
The lattice enthalpy of magnesium chloride can be calculated from the Born-Haber cycle shown below.

(i) Define the term first ionization energy and state the equation for the first ionization of magnesium.
(ii) Explain the general increase in successive ionization energies of the element.
(iii) Explain the large increase between the tenth and eleventh ionization energies.
(i) Explain how molten magnesium chloride conducts an electric current.
(ii) Identify the electrode where oxidation occurs during electrolysis of molten magnesium chloride and state an equation for the half-reaction.
(iii) Explain why magnesium is not formed during the electrolysis of aqueous magnesium chloride solution.
(i) Identify the enthalpy changes labelled by I and V in the cycle.
(ii) Use the ionization energies given in the cycle above and further data from the Data Booklet to calculate a value for the lattice enthalpy of magnesium chloride.
(iii) The theoretically calculated value for the lattice enthalpy of magnesium chloride is +2326 kJ. Explain the difference between the theoretically calculated value and the experimental value.
(iv) The experimental lattice enthalpy of magnesium oxide is given in Table 13 of the Data Booklet. Explain why magnesium oxide has a higher lattice enthalpy than magnesium chloride.
(i) State whether aqueous solutions of magnesium oxide and magnesium chloride are acidic, alkaline or neutral.
(ii) State an equation for the reaction between magnesium oxide and water.
Bromine is a member of group 7, the halogens.
Iron is a transition metal.
Freshly prepared iron(II) bromide can be electrolysed both in the liquid state and in aqueous solution.
Explain the trend in reactivity of the halogens.
Deduce, using equations where appropriate, if bromine reacts with sodium chloride solution and with sodium iodide solution.
Describe the bonding in metals and explain their malleability.
List three characteristic properties of transition elements.
Identify the type of bonding between iron and cyanide in \({{\text{[Fe(CN}}{{\text{)}}_{\text{6}}}{\text{]}}^{3 - }}\).
Deduce the oxidation number of iron in \({{\text{[Fe(CN}}{{\text{)}}_{\text{6}}}{\text{]}}^{3 - }}\).
Draw the abbreviated orbital diagram for an iron atom using the arrow-in-box notation to represent electrons.
Draw the abbreviated orbital diagram for the iron ion in [Fe(CN)6]3– using the arrow-in-box notation to represent electrons.
Describe, using a diagram, the essential components of an electrolytic cell.
Describe the two ways in which current is conducted in an electrolytic cell.
Predict and explain the products of electrolysis of a dilute iron(II) bromide solution.
Identify another product that is formed if the solution of iron(II) bromide is concentrated.
Explain why this other product is formed.
Magnesium, a reactive metal found in many common minerals, is also an essential nutrient for both plants and animals.
Successive ionization energies of magnesium are given in the table below.

Magnesium metal is mainly used as a component in lightweight alloys, particularly in combination with aluminium and titanium.
Magnesium is usually produced by the electrolysis of molten magnesium chloride.
Define the term first ionization energy.
(i) Explain why the second ionization energy is greater than the first ionization energy.
(ii) Explain why the third ionization energy is much greater than the second ionization energy.
Although magnesium is usually found as \({\text{M}}{{\text{g}}^{2 + }}\) in its compounds, it is possible to use the Born-Haber cycle to investigate the possibility of \({\text{M}}{{\text{g}}^ + }\) being able to form stable compounds.
Use the ionization energy data from part (b), along with the other data provided below, to determine the enthalpy change of formation of MgCl(s). Assume that, because \({\text{M}}{{\text{g}}^ + }\) would be similar in size to \({\text{N}}{{\text{a}}^ + }\), MgCl would have a similar lattice enthalpy to NaCl.
Enthalpy of atomization of Mg \( + 146{\text{ kJ}}\,{\text{mo}}{{\text{l}}^{ - 1}}\)
Bond enthalpy in \({\text{C}}{{\text{l}}_{\text{2}}}\) \( + 243{\text{ kJ}}\,{\text{mo}}{{\text{l}}^{ - 1}}\)
Electron affinity of Cl \( + 349{\text{ kJ}}\,{\text{mo}}{{\text{l}}^{ - 1}}\)
Lattice enthalpy of NaCl \( + 790{\text{ kJ}}\,{\text{mo}}{{\text{l}}^{ - 1}}\)
Consider the lattice enthalpies of \({\text{Mg}}{{\text{F}}_{\text{2}}}\), \({\text{MgC}}{{\text{l}}_2}\) and \({\text{CaC}}{{\text{l}}_{\text{2}}}\). List these from the most endothermic to the least endothermic and explain your order.
\({\text{Most endothermic}} \to {\text{Least endothermic}}\)
Magnesium hydroxide, \({\text{Mg(OH}}{{\text{)}}_{\text{2}}}\), is only sparingly soluble in water and the equilibrium below exists when excess solid is in contact with a saturated solution.
\[{\text{Mg(OH}}{{\text{)}}_2}{\text{(s)}} \rightleftharpoons {\text{M}}{{\text{g}}^{2 + }}{\text{(aq)}} + {\text{2O}}{{\text{H}}^ - }{\text{(aq)}}\]
Outline how the solubility of magnesium hydroxide will vary with pH.
(i) Describe the bonding present in magnesium metal.
(ii) Suggest why magnesium is harder than sodium.
(iii) Outline why alloys are generally less malleable than their component metals.
(i) Draw a labelled diagram of a suitable apparatus for the electrolysis.
(ii) State equations for the reactions that take place at the electrodes.
Negative electrode (cathode) reaction:
Positive electrode (anode) reaction:
(iii) When dilute aqueous magnesium chloride is used as the electrolyte, the reactions at both electrodes are different. State equations for the reactions that occur in aqueous solution.
Negative electrode (cathode) reaction:
Positive electrode (anode) reaction:
(iv) Outline why magnesium metal is not produced in the electrolysis of aqueous magnesium chloride.
Oxidation and reduction can be defined in terms of electron transfer or oxidation numbers.
A reactivity series can be experimentally determined by adding the metals W, X, Y and Z to solutions of these metal ions. The following reactions were observed:
\({{\text{W}}^{2 + }}{\text{(aq)}} + {\text{X(s)}} \to {\text{W(s)}} + {{\text{X}}^{2 + }}{\text{(aq)}}\)
\({\text{Y(s)}} + {{\text{W}}^{2 + }}{\text{(aq)}} \to {{\text{Y}}^{2 + }}{\text{(aq)}} + {\text{W(s)}}\)
\({{\text{Z}}^{2 + }}{\text{(aq)}} + {\text{W(s)}} \to {\text{Z(s)}} + {{\text{W}}^{2 + }}{\text{(aq)}}\)
\({\text{Y(s)}} + {{\text{X}}^{2 + }}{\text{(aq)}} \to {{\text{Y}}^{2 + }}{\text{(aq)}} + {\text{X(s)}}\)
A student carries out the electrolysis of aqueous potassium iodide, KI, using inert electrodes.
Three electrolytic cells were set up in series (one cell after the other), as shown below.
All of the solutions had a concentration of \({\text{1.00 mol}}\,{\text{d}}{{\text{m}}^{ - 3}}\).

Alcohols with the molecular formula \({{\text{C}}_{\text{4}}}{{\text{H}}_{\text{9}}}{\text{OH}}\) occur as four structural isomers. Three of the isomers can be oxidized with acidified potassium dichromate solution to form compounds with the molecular formula \({{\text{C}}_{\text{4}}}{{\text{H}}_{\text{8}}}{\text{O}}\).
(i) Deduce the half-equation for the oxidation of the alcohol \({{\text{C}}_{\text{4}}}{{\text{H}}_{\text{9}}}{\text{OH}}\).
(ii) Deduce the overall equation for the redox reaction.
(iii) Two of the isomers with the molecular formula \({{\text{C}}_{\text{4}}}{{\text{H}}_{\text{9}}}{\text{OH}}\) can be oxidized further to form compounds with the molecular formula \({{\text{C}}_{\text{4}}}{{\text{H}}_{\text{8}}}{{\text{O}}_{\text{2}}}\). Deduce the structural formulas of these two isomers.
(iv) One isomer cannot be oxidized by acidified potassium dichromate solution.
Deduce its structural formula, state its name and identify it as a primary, secondary or tertiary alcohol.
Name:
Alcohol:
(v) All isomers of the alcohol \({{\text{C}}_{\text{4}}}{{\text{H}}_{\text{9}}}{\text{OH}}\) undergo complete combustion. State an equation for the complete combustion of \({{\text{C}}_{\text{4}}}{{\text{H}}_{\text{9}}}{\text{OH}}\).
(i) Deduce the order of reactivity of these four metals, from the least to the most reactive.
(ii) A voltaic cell is made by connecting a half-cell of X in \({\text{XC}}{{\text{l}}_{\text{2}}}{\text{(aq)}}\) to a half-cell of Z in \({\text{ZC}}{{\text{l}}_{\text{2}}}{\text{(aq)}}\). Deduce the overall equation for the reaction taking place when the cell is operating.
(iii) The standard electrode potential for \({{\text{Z}}^{2 + }}{\text{(aq)}} + {\text{2}}{{\text{e}}^ - } \rightleftharpoons {\text{Z(s)}}\) is \( + {\text{0.20 V}}\). State which species is oxidized when this half-cell is connected to a standard hydrogen electrode.
(iv) Describe the standard hydrogen electrode including a fully labelled diagram.
(i) State the half-equation for the reaction that occurs at each electrode.
Positive electrode (anode):
Negative electrode (cathode):
(ii) Suggest, giving a reason, what would happen if the electrodes were changed to aluminium.
(i) Determine the mass of copper produced at one of the electrodes in cell 2 if the tin electrode in cell 1 decreased in mass by 0.034 g.
(ii) Compare the colour and the pH of the solutions in cells 2 and 3 after the current has been flowing for one hour.
(iii) Explain your answer given for part (d) (ii).
Colour:
pH:
Bromomethane was used as a pesticide until it was found to be ozone-depleting.
State the equation for the reaction between methane and bromine to form bromomethane.
Explain, using equations, the complete free-radical mechanism for the reaction of methane with bromine, including necessary reaction conditions.
Bromomethane reacts with aqueous sodium hydroxide. State the organic product of this reaction.
Explain why the rate of the reaction between iodomethane, \({\text{C}}{{\text{H}}_{\text{3}}}{\text{I}}\), and NaOH(aq) is faster than the rate of the reaction between \({\text{C}}{{\text{H}}_{\text{3}}}{\text{Br}}\) and NaOH(aq).
Bromine can be produced by the electrolysis of molten sodium bromide.
Deduce the half-equation for the reaction at each electrode.
Positive electrode (anode):
Negative electrode (cathode):
Predict the products formed at the electrodes during the electrolysis of concentrated aqueous sodium bromide.
Positive electrode (anode):
Negative electrode (cathode):
Bromine reacts with aqueous sodium iodide.
\[{\text{B}}{{\text{r}}_{\text{2}}}{\text{(aq)}} + {\text{2NaI(aq)}} \to {{\text{I}}_{\text{2}}}{\text{(aq)}} + {\text{2NaBr(aq)}}\]
Identify the oxidizing agent in this reaction.
Define the term standard electrode potential, \({E^\Theta }\).
Draw a labelled diagram for the voltaic cell in which the following reaction occurs.
\[{\text{Mg(s)}} + {\text{C}}{{\text{u}}^{2 + }}{\text{(aq)}} \to {\text{M}}{{\text{g}}^{2 + }}{\text{(aq)}} + {\text{Cu(s)}}\]
Include in your answer the direction of electron flow and the polarity of the electrodes.
A student measures a voltage of 2.65 V in the voltaic cell formed between magnesium and copper half-cells using a digital voltmeter.
State the random uncertainty of this value, in V, and the number of significant figures in the answer.
Random uncertainty:
Significant figures:
Outline how the student can reduce the random error in her results.
Determine the standard enthalpy change of formation, \(\Delta H_{\text{f}}^\Theta \), of NaCl(s), in \({\text{kJ}}\,{\text{mo}}{{\text{l}}^{ - 1}}\), using a Born-Haber cycle and tables 7, 10 and 13 of the data booklet. The standard enthalpy change of atomization (standard enthalpy change of sublimation), \(\Delta H_{{\text{at}}}^\Theta \), of Na(s) is \( + {\text{108 kJ}}\,{\text{mo}}{{\text{l}}^{ - 1}}\).
Arsenic and nitrogen play a significant role in environmental chemistry. Arsenous acid, H3AsO3, can be found in oxygen-poor (anaerobic) water, and nitrogen-containing fertilizers can contaminate water.
The electrolysis of aqueous copper(II) sulfate is an example of an electrolysis process where the nature of the electrodes can determine which products form. Platinum electrodes were used in process 1 and copper electrodes in process 2.
(i) Draw an annotated diagram of the electrolytic cell in process 1 and identify the direction of electron flow.
(ii) For process 1 (platinum electrodes), state the half-equations occurring at the positive electrode (anode) and negative electrode (cathode). Include state symbols for all species. Describe what is observed at each electrode and comment on any change in the colour and the acidity of the solution.
Half-equation at positive electrode (anode):
Half-equation at negative electrode (cathode):
Observation at positive electrode (anode):
Obsevation at negative electrode (cathode):
Change in colour (if any) of the solution:
Change in acidity (if any) of the solution:
(iii) For process 2 (copper electrodes), state the half-equations occurring at the positive electrode (anode) and negative electrode (cathode). Include state symbols for all species. Describe what is observed at each electrode and comment on any change in the colour and the acidity of the solution.
Half-equation at positive electrode (anode):
Half-equation at negative electrode (cathode):
Observation at positive electrode (anode):
Observation at negative electrode (cathode):
Change in colour (if any) of the solution:
Change in acidity (if any) of the solution:
Magnesium is a group 2 metal which exists as a number of isotopes and forms many compounds.
Magnesium ions produce no emission or absorption lines in the visible region of the electromagnetic spectrum. Suggest why most magnesium compounds tested in a school laboratory show traces of yellow in the flame.
(i) Explain the convergence of lines in a hydrogen emission spectrum.
(ii) State what can be determined from the frequency of the convergence limit.
Magnesium chloride can be electrolysed.
(i) Deduce the half-equations for the reactions at each electrode when molten magnesium chloride is electrolysed, showing the state symbols of the products. The melting points of magnesium and magnesium chloride are 922K and 987K respectively.
(ii) Identify the type of reaction occurring at the cathode (negative electrode).
(iii) State the products when a very dilute aqueous solution of magnesium chloride is electrolysed.
Standard electrode potentials are measured relative to the standard hydrogen electrode. Describe a standard hydrogen electrode.
A magnesium half-cell, Mg(s)/Mg2+(aq), can be connected to a copper half-cell, Cu(s)/Cu2+(aq).
(i) Formulate an equation for the spontaneous reaction that occurs when the circuit is completed.
(ii) Determine the standard cell potential, in V, for the cell. Refer to section 24 of the data booklet.
(iii) Predict, giving a reason, the change in cell potential when the concentration of copper ions increases.
The emission spectrum of an element can be used to identify it.
Hydrogen spectral data give the frequency of 3.28 × 1015 s−1 for its convergence limit.
Calculate the ionization energy, in J, for a single atom of hydrogen using sections 1 and 2 of the data booklet.
Calculate the wavelength, in m, for the electron transition corresponding to the frequency in (a)(iii) using section 1 of the data booklet.
Deduce any change in the colour of the electrolyte during electrolysis.
Deduce the gas formed at the anode (positive electrode) when graphite is used in place of copper.
Explain why transition metals exhibit variable oxidation states in contrast to alkali metals.
Chromium is a transition metal with many uses.
A voltaic cell is constructed as follows. One half-cell contains a chromium electrode immersed in a solution containing \({\text{C}}{{\text{r}}^{3 + }}{\text{(aq)}}\) ions. The other half-cell contains a copper electrode immersed in a solution containing \({\text{C}}{{\text{u}}^{2 + }}{\text{(aq)}}\) ions. The two electrodes are connected to a voltmeter and the two solutions by a salt bridge.

Draw an orbital diagram (using the arrow-in-box notation) showing the electrons in the 4s and 3d sub-levels in chromium metal.
Outline the nature of the metallic bonding present in chromium.
Explain why chromium metal is malleable.
State the name of \({\text{C}}{{\text{r}}_{\text{2}}}{{\text{O}}_{\text{3}}}\).
Describe the ionic bonding present in \({\text{C}}{{\text{r}}_{\text{2}}}{{\text{O}}_{\text{3}}}\) and how the ions are formed.
Suggest why solid \({\text{C}}{{\text{r}}_{\text{2}}}{{\text{O}}_{\text{3}}}\) does not conduct electricity.
Chromium forms the complex ion \({[{\text{Cr}}{({\text{N}}{{\text{H}}_{\text{3}}})_{\text{4}}}{\text{C}}{{\text{l}}_2}]^ + }\).
Deduce the oxidation number of chromium in this complex.
Chromium forms the complex ion \({[{\text{Cr}}{({\text{N}}{{\text{H}}_{\text{3}}})_{\text{4}}}{\text{C}}{{\text{l}}_2}]^ + }\).
Describe the nature of the ligand-chromium ion bonds in terms of acid-base theory.
Chromium forms the complex ion \({[{\text{Cr}}{({\text{N}}{{\text{H}}_{\text{3}}})_{\text{4}}}{\text{C}}{{\text{l}}_2}]^ + }\).
Explain why \({[{\text{Cr}}{({\text{N}}{{\text{H}}_{\text{3}}})_{\text{4}}}{\text{C}}{{\text{l}}_{\text{2}}}{\text{]}}^ + }\) is coloured.
Chromium forms the complex ion \({[{\text{Cr}}{({\text{N}}{{\text{H}}_{\text{3}}})_{\text{4}}}{\text{C}}{{\text{l}}_2}]^ + }\).
Draw the structures of two possible isomers of this complex ion.
The dichromate ion, \({\text{C}}{{\text{r}}_{\text{2}}}{\text{O}}_{\text{7}}^{2 - }{\text{(aq)}}\), and the iodide ion, \({{\text{I}}^ - }{\text{(aq)}}\), react together in the presence of an acid to form \({\text{C}}{{\text{r}}^{3 + }}{\text{(aq)}}\) and \({\text{IO}}_3^ - {\text{(aq)}}\) ions. Deduce the half-equation for the reaction of \({{\text{I}}^ - }\) to \({\text{IO}}_3^ - \) and the overall equation for this reaction.
Half-equation:
Overall equation:
Explain in terms of oxidation numbers whether iodine is oxidized or reduced in part (d) (i).
Define the term standard electrode potential.
Calculate the cell potential, in V, under standard conditions, for this voltaic cell, using table 14 of the data booklet and \({\text{E}}_{{\text{C}}{{\text{r}}^{3 + }}/{\text{Cr}}}^\Theta = -0.74{\text{ V}}\).
Predict the balanced equation for the spontaneous reaction which will produce a current in this voltaic cell.
Identify the negative and the positive electrodes in this cell.
Predict the direction of movement of electrons in the external circuit.
State the directions in which the negative ions (anions) and the positive ions (cations) flow in the salt bridge.
Consider the following half-cell reactions and their standard electrode potentials.
Deduce a balanced equation for the overall reaction when the standard nickel and iodine half-cells are connected.
Predict, giving a reason, the direction of movement of electrons when the standard nickel and manganese half-cells are connected.
Calculate the cell potential, in V, when the standard iodine and manganese half-cells are connected.
Identify the best reducing agent in the table above.
State and explain the products of electrolysis of a concentrated aqueous solution of sodium chloride using inert electrodes. Your answer should include half-equations for the reaction at each electrode.
Vanadium has a number of different oxidation states.
Electrode potentials for the reactions of vanadium and other species are shown below.
Determine the oxidation state of vanadium in each of the following species.

Identify, from the table, a non-vanadium species that can reduce VO2+(aq) to V3+(aq) but no further.
Identify, from the table, a non-vanadium species that could convert \({\text{VO}}_2^ + {\text{(aq)}}\) to V2+(aq).
Formulate an equation for the reaction between VO2+(aq) and V2+(aq) in acidic solution to form V3+(aq).
Comment on the spontaneity of this reaction by calculating a value for \(\Delta {G^\theta }\) using the data given in (b) and in section 1 of the data booklet.
The diagram shows an incomplete voltaic cell with a light bulb in the circuit.
Identify the missing component of the cell and its function.
Deduce the half-equations for the reaction at each electrode when current flows.
Annotate the diagram with the location and direction of electron movement when current flows.
Calculate the cell potential, in V, using section 24 of the data booklet.
Determine the loss in mass of one electrode if the mass of the other electrode increases by 0.10 g.
Tin(II) chloride is a white solid that is commonly used as a reducing agent.
(i) State why you would expect tin(II) chloride to have a similar lattice enthalpy to strontium chloride, using section 9 of the data booklet.
(ii) Calculate the molar enthalpy change when strontium chloride is dissolved in water, using sections 18 and 20 of the data booklet.
(iii) Tin(II) chloride reacts with water to precipitate the insoluble basic chloride, Sn(OH)Cl.
Suggest why tin(II) chloride is usually dissolved in dilute hydrochloric acid.
Tin can also exist in the +4 oxidation state.
Vanadium can be reduced from an oxidation state of +4 to +3 according to the equation:
(i) Calculate the cell potential, EΘ, and the standard free energy, ΔGΘ, change for the reaction between the VO2+ and Sn2+ ions, using sections 1 and 2 of the data booklet.
EΘ:
ΔGΘ:
(ii) Deduce, giving your reason, whether a reaction between Sn2+(aq) and VO2+(aq) would be spontaneous.
Outline, giving the full electron configuration of the vanadium atom, what is meant by the term transition metal.
In an aqueous solution of vanadium(III) chloride, the vanadium exists as [V (H2O)6]3+, [VCl (H2O)5]2+ or [VCl2(H2O)4]+ depending on the concentration of chloride ions in the solution.
(i) Describe how Cl− and H2O bond to the vanadium ion.
(ii) Outline what would happen to the wavelength at which the vanadium complex ions would absorb light as the water molecules are gradually replaced by chloride ions, using section 15 of the data booklet.
Eight successive ionisation energies of vanadium are shown in the graph below:
(i) State the sub-levels from which each of the first four electrons are lost.
First: Second: Third: Fourth:
(ii) Outline why there is an increase in ionization energy from electron 3 to electron 5.
(iii) Explain why there is a large increase in the ionization energy between electrons 5 and 6.
(iv) Vanadium is comprised almost entirely of 51V. State the number of neutrons an atom of 51V has in its nucleus.