HL Paper 2
Define the terms acid and base according to the Brønsted-Lowry theory. Distinguish between a weak base and a strong base. State one example of a weak base.
Weak acids in the environment may cause damage. Identify a weak acid in the environment and outline one of its effects.
The graph below indicates the pH change during the titration of \({\text{20.0 c}}{{\text{m}}^{\text{3}}}\) of \({\text{0.100 mol}}\,{\text{d}}{{\text{m}}^{ - 3}}\) of \({\text{C}}{{\text{H}}_{\text{3}}}{\text{COOH(aq)}}\) with \({\text{0.100 mol}}\,{\text{d}}{{\text{m}}^{ - 3}}{\text{ KOH(aq)}}\). From the graph, identify the volume of KOH(aq) and the pH at the equivalence point.

Explain how the graph could be used to determine the \({\text{p}}{K_{\text{a}}}\) of ethanoic acid and determine the \({\text{p}}{K_{\text{a}}}\) value for these data.
Sketch a graph, similar to the graph on the previous page, to indicate the change in pH during a titration of \({\text{25.0 c}}{{\text{m}}^{\text{3}}}\) of \({\text{0.100 mol}}\,{\text{d}}{{\text{m}}^{ - 3}}{\text{ HN}}{{\text{O}}_{\text{3}}}{\text{(aq)}}\) with \({\text{0.100 mol}}\,{\text{d}}{{\text{m}}^{ - 3}}\) KOH(aq). On your graph, clearly indicate the starting pH value, the equivalence point, the pH at the equivalence point and the final pH reached.
Describe how an indicator works.
Using Table 16 of the Data Booklet, identify the most appropriate indicator for the titration of ethanoic acid with potassium hydroxide. Explain your choice.
Determine the pH of the solution resulting when \({\text{100 c}}{{\text{m}}^{\text{3}}}\) of \({\text{0.50 mol}}\,{\text{d}}{{\text{m}}^{ - 3}}{\text{ HCl(aq)}}\) is mixed with \({\text{200 c}}{{\text{m}}^{\text{3}}}\) of \({\text{0.10 mol}}\,{\text{d}}{{\text{m}}^{ - 3}}{\text{ NaOH(aq)}}\).
Markscheme
Acid: proton/\({{\text{H}}^ + }\) donor and Base: proton/\({{\text{H}}^ + }\) acceptor;
Do not accept \(O{H^ - }\) for base.
Weak base: (base/electrolyte) partially dissociated/ionized (in solution/water) and Strong base: (base/electrolyte assumed to be almost) completely/100% dissociated/ionized (in solution/water) / OWTTE;
\({\text{N}}{{\text{H}}_{\text{3}}}/{\text{C}}{{\text{H}}_{\text{3}}}{\text{C}}{{\text{H}}_{\text{2}}}{\text{N}}{{\text{H}}_{\text{2}}}\);
Allow either name or formula or other suitable example.
sulfurous acid/\({{\text{H}}_{\text{2}}}{\text{S}}{{\text{O}}_{\text{3}}}\);
corrodes marble/limestone buildings/statues / leaching in soils / harms/kills
plants;
OR
nitrous acid/\({\text{HN}}{{\text{O}}_{\text{2}}}\);
corrodes marble/limestone buildings/statues / leaching in soils / harms/kills
plants;
OR
carbonic acid/\({{\text{H}}_{\text{2}}}{\text{C}}{{\text{O}}_{\text{3}}}\);
corrodes marble/limestone buildings/statues / acidification of lakes;
Do not allow oxides (e.g. CO2 etc.).
Do not accept just corrodes or damages.
Volume of KOH: 20 (\({\text{c}}{{\text{m}}^{\text{3}}}\));
Allow any value between 20 and 21 (cm3).
pH at the equivalence point: 8.0–10.0;
At half-equivalence point \({\text{[C}}{{\text{H}}_{\text{3}}}{\text{COOH]}} = {\text{[C}}{{\text{H}}_{\text{3}}}{\text{CO}}{{\text{O}}^ - }{\text{]}}\) so \({\text{pH}} = {\text{p}}{K_{\text{a}}}\);
\({\text{p}}{K_{\text{a}}} = 4.7\);
Accept in range 4.2 to 5.2.
M2 can only be scored if M1 correct (i.e. no marks for just Data Booklet value of 4.76).

Starting pH: 1;
Equivalence point: \({\text{pH}} = 7\) and 25 \({\text{c}}{{\text{m}}^{\text{3}}}\);
Final pH reached: 12–13;
correct curve shape;
Do not award M4 if turn in curve is seen at low volumes (suggesting weak acid–strong base titration).
Award [4] if values corresponding to M1, M2 and M3 are labelled on graph (e.g using X) and correct shape of curve shown.
HIn is a weak acid / weak base;

Award [2] for M2 alone.
in base equilibrium moves to right / in acid equilibrium moves to left;
phenolphthalein;
indicator colour change occurs in range of pH at the equivalence point / OWTTE;
M2 can be scored independently even if indicator is incorrect.
\(n{\text{(HCl)}} = (0.100 \times 0.50) = 0.050{\text{ (mol)}}\);
\(n{\text{(NaOH)}} = (0.200 \times 0.10) = 0.020{\text{ (mol)}}\);
\(n{{\text{(HCl)}}_{{\text{remaining}}}} = (0.050 - 0.020) = 0.030{\text{ (mol)}}\);
\({\text{[HCl]}} = \left( {\frac{{0.030}}{{0.30}}} \right) = 0.10{\text{ (mol}}\,{\text{d}}{{\text{m}}^{ - 3}}{\text{)}}\);
\({\text{pH}} = 1.0\);
Award [2 max] for just pH = 1.0 without working.
Examiners report
This was a popular question and often was well answered by candidates. In (a) (i) most candidates knew the formal definitions of an acid and a base and most could distinguish between a weak base and a strong base. Ammonia was generally given as a suitable example of a weak base. Some of the weaker students gave sodium hydroxide incorrectly as an example of a weak base which was quite surprising at HL.
In (ii), common mistakes included nitric acid and this question proved to be problematic for candidates. There were a number of G2 comments expressing some concern at asking this style of question, though this is a clear Aim 8 type question that should be explored in the formal teaching programme.
(iii) was well done.
Candidates rarely got (iv) correct.
In (v) most candidates scored either two or three, but often an incorrect shape of the curve was given.
In (b), few could describe how an indicator works and the equilibrium sign was sometimes omitted.
In (ii), phenolphthalein was usually identified as an appropriate indicator.
In (d), candidates who were able to think logically about all this did well; others scattered figures across the page and became hopelessly muddled. Often an incorrect answer of \({\text{pH}} = 7.0\) was seen.
Many reactions are in a state of equilibrium.
The following reaction was allowed to reach equilibrium at 761 K.
H2 (g) + I2 (g) \( \rightleftharpoons \) 2HI (g) ΔHθ < 0
The pH of 0.010 mol dm–3 carbonic acid, H2CO3 (aq), is 4.17 at 25 °C.
H2CO3 (aq) + H2O (l) \( \rightleftharpoons \) HCO3– (aq) + H3O+ (aq).
State the equilibrium constant expression, Kc , for this reaction.
The following equilibrium concentrations in mol dm–3 were obtained at 761 K.
Calculate the value of the equilibrium constant at 761 K.
Determine the value of ΔGθ, in kJ, for the above reaction at 761 K using section 1 of the data booklet.
Calculate [H3O+] in the solution and the dissociation constant, Ka , of the acid at 25 °C.
Calculate Kb for HCO3– acting as a base.
Markscheme
Kc = \(\frac{{{{{\text{[HI]}}}^{\text{2}}}}}{{{\text{[}}{{\text{H}}_{\text{2}}}{\text{][}}{{\text{I}}_{\text{2}}}{\text{]}}}}\)
45.6
ΔGθ = «– RT ln K = – (0.00831 kJ K−1 mol−1 x 761 K x ln 45.6) =» – 24.2 «kJ»
[H3O+] = 6.76 x 10–5 «mol dm–3»
Ka = \(\frac{{{{\left( {6.76 \times {{10}^{ - 5}}} \right)}^2}}}{{\left( {0.010 - 6.76 \times {{10}^{ - 5}}} \right)}}/\frac{{{{\left( {6.76 \times {{10}^{ - 5}}} \right)}^2}}}{{0.010}}\)
4.6 x 10–7
Accept 4.57 x 10–7
Award [3] for correct final answer.
«\(\frac{{1.00 \times {{10}^{ - 14}}}}{{4.6 \times {{10}^{ - 7}}}}\) =» 2.17 x 10–8
OR
«\(\frac{{1.00 \times {{10}^{ - 14}}}}{{4.57 \times {{10}^{ - 7}}}}\) =» 2.19 x 10–8
Examiners report
Chloroethene, C2H3Cl, is an important organic compound used to manufacture the polymer poly(chloroethene).
State an equation for the reaction of ethanoic acid with water.
Calculate the pH of \({\text{0.200 mol}}\,{\text{d}}{{\text{m}}^{ - 3}}\) ethanoic acid \(({\text{p}}{K_{\text{a}}} = 4.76)\).
Determine the pH of a solution formed from adding \({\text{50.0 c}}{{\text{m}}^{\text{3}}}\) of \({\text{1.00 mol}}\,{\text{d}}{{\text{m}}^{ - 3}}\) ethanoic acid, \({\text{C}}{{\text{H}}_{\text{3}}}{\text{COOH(aq)}}\), to \({\text{50.0 c}}{{\text{m}}^{\text{3}}}\) of \({\text{0.600 mol}}\,{\text{d}}{{\text{m}}^{ - 3}}\) sodium hydroxide, NaOH(aq).
(if acid added) \({\text{C}}{{\text{H}}_3}{\text{CO}}{{\text{O}}^ - } + {{\text{H}}^ + } \to {\text{C}}{{\text{H}}_3}{\text{COOH}}\);
(if alkali added) \({\text{C}}{{\text{H}}_3}{\text{COOH}} + {\text{O}}{{\text{H}}^ - } \to {\text{C}}{{\text{H}}_3}{\text{CO}}{{\text{O}}^ - } + {{\text{H}}_2}{\text{O}}\);
Explanation marks cannot be awarded without equations.
Markscheme
\({\text{C}}{{\text{H}}_3}{\text{COOH(aq)}} + {{\text{H}}_2}{\text{O(l)}} \rightleftharpoons {\text{C}}{{\text{H}}_3}{\text{CO}}{{\text{O}}^ - }{\text{(aq)}} + {{\text{H}}_3}{{\text{O}}^ + }{\text{(aq)}}\);
OR
\({\text{C}}{{\text{H}}_3}{\text{COOH(l)}} + {{\text{H}}_2}{\text{O(l)}} \rightleftharpoons {\text{C}}{{\text{H}}_3}{\text{CO}}{{\text{O}}^ - }{\text{(aq)}} + {{\text{H}}_3}{{\text{O}}^ + }{\text{(aq)}}\);
OR
\({\text{C}}{{\text{H}}_3}{\text{COOH(aq)}} \rightleftharpoons {\text{C}}{{\text{H}}_3}{\text{CO}}{{\text{O}}^ - }{\text{(aq)}} + {{\text{H}}^ + }{\text{(aq)}}\);
Must include \( \rightleftharpoons \).
Ignore state symbols.
(ii) \({K_{\text{a}}} = {10^{ - 4.76}}/1.74 \times {10^{ - 5}}/{\text{pH}} = {\text{p}}{K_{\text{a}}} + \log \frac{{{\text{[SALT]}}}}{{{\text{[ACID]}}}}\);
\(1.74 \times {10^{ - 5}} = \frac{{{{{\text{[}}{{\text{H}}^ + }{\text{]}}}^2}}}{{{\text{0.200}}}}/{\text{[}}{{\text{H}}^ + }{\text{]}} = 0.00187\);
\({\text{pH}} = 2.73\);
Award [3] for correct final answer, allow mark for correct conversion of [H+] to pH even if [H+] incorrect.
(initial) \({\text{[C}}{{\text{H}}_{\text{3}}}{\text{COOH]}} = 0.500{\text{ mol}}\,{\text{d}}{{\text{m}}^{ - 3}}\) and) eqm \({\text{[C}}{{\text{H}}_{\text{3}}}{\text{COOH]}} = 0.200{\text{ mol}}\,{\text{d}}{{\text{m}}^{ - 3}}\);
(initial) \({\text{[C}}{{\text{H}}_{\text{3}}}{\text{CO}}{{\text{O}}^ - }{\text{]}} = 0.300{\text{ mol}}\,{\text{d}}{{\text{m}}^{ - 3}}\) and) eqm \({\text{[C}}{{\text{H}}_{\text{3}}}{\text{CO}}{{\text{O}}^ - }{\text{]}} = 0.300{\text{ mol}}\,{\text{d}}{{\text{m}}^{ - 3}}\);
Allow 0.02 moles and 0.03 moles instead of 0.200 and 0.300.
\({\text{[}}{{\text{H}}^ + }{\text{]}} = {K_{\text{a}}}\frac{{{\text{[C}}{{\text{H}}_3}{\text{COOH]}}}}{{{\text{[C}}{{\text{H}}_3}{\text{CO}}{{\text{O}}^ - }{\text{]}}}} = 1.16 \times {10^{ - 5}}{\text{ mol}}\,{\text{d}}{{\text{m}}^{ - 3}}\);
\({\text{pH}} = 4.94\);
Award [3 max] for correct final answer if no working shown.
Examiners report
The only issue was that some candidates forgot the reversible arrow in the equation.
A pleasing number were able to complete the pH calculation successfully.
Only the best candidates scored full marks for the buffer calculation; in some cases an incorrect expression was used, but more often there was no attempt to calculate the equilibrium amounts or concentrations.
There were very few who could write appropriate equations for the buffer action, even though it clearly stated that the answer should include equations many explained buffer action without any equations and scored no marks as a result.
Graphing is an important tool in the study of rates of chemical reactions.
The graph represents the titration of 25.00 cm3 of 0.100 mol dm−3 aqueous ethanoic acid with 0.100 mol dm−3 aqueous sodium hydroxide.

Deduce the major species, other than water and sodium ions, present at points A and B during the titration.
Calculate the pH of 0.100 mol dm−3 aqueous ethanoic acid.
Ka = 1.74 × 10−5
Outline, using an equation, why sodium ethanoate is basic.
Predict whether the pH of an aqueous solution of ammonium chloride will be greater than, equal to or less than 7 at 298 K.
Formulate the equation for the reaction of nitrogen dioxide, NO2, with water to form two acids.
Formulate the equation for the reaction of one of the acids produced in (e)(i) with calcium carbonate.
Markscheme
A: CH3COOH/ethanoic/acetic acid AND CH3COO–/ethanoate/acetate ions
B: CH3COO–/ethanoate/acetate ions
Penalize “sodium ethanoate/acetate” instead of “ethanoate/acetate ions” only once.
[2 marks]
\({K_{\text{a}}} = 1.74 \times {10^{ - 5}} = \frac{{{{{\text{[}}{{\text{H}}^ + }{\text{]}}}^2}}}{{0.10}}\)
OR
[H+] = 1.32 × 10–3 «mol dm–3»
«pH =» 2.88
Accept [2] for correct final answer.
[2 marks]
«forms weak acid and strong base, thus basic»
CH3COO–(aq) + H2O(l) \( \rightleftharpoons \) CH3COOH(aq) + OH–(aq)
Accept → for \( \rightleftharpoons \).
[1 mark]
less than 7
[1 mark]
2NO2(g) + H2O(l) → HNO2(aq) + HNO3(aq)
[1 mark]
2HNO2(aq) + CaCO3(s) → Ca(NO2)2(aq) + CO2(g) + H2O(l)
OR
2HNO3(aq) + CaCO3(s) → Ca(NO3)2(aq) + CO2(g) + H2O(l)
[1 mark]
Examiners report
A \({\text{25.0 c}}{{\text{m}}^{\text{3}}}\) solution of a weak monoprotic acid, HA(aq), is titrated with \({\text{0.155 mol}}\,{\text{d}}{{\text{m}}^{ - 3}}\) sodium hydroxide, NaOH(aq), and the following graph is obtained.

0.100 mol of ammonia, \({\text{N}}{{\text{H}}_{\text{3}}}\), was dissolved in water to make \({\text{1.00 d}}{{\text{m}}^{\text{3}}}\) of solution. This solution has a hydroxide ion concentration of \({\text{1.28}} \times {\text{1}}{{\text{0}}^{ - 3}}{\text{ mol}}\,{\text{d}}{{\text{m}}^{ - 3}}\).
Determine the pH at the equivalence point.
Explain, using an equation, why the equivalence point is not at \({\text{pH}} = 7\).
Calculate the concentration of the weak acid before the addition of any NaOH(aq).
Estimate, using data from the graph, the dissociation constant, \({K_{\text{a}}}\), of the weak acid, HA, showing your working.
Suggest an appropriate indicator for this titration.
Describe qualitatively the action of an acid-base indicator.
Explain what is meant by the term buffer solution.
Calculate the pH of a solution prepared by mixing \({\text{50.0 c}}{{\text{m}}^{\text{3}}}\) of \({\text{0.200 mol}}\,{\text{d}}{{\text{m}}^{ - 3}}{\text{ C}}{{\text{H}}_{\text{3}}}{\text{COOH(aq)}}\) and \({\text{50.0 c}}{{\text{m}}^{\text{3}}}\) of ,\({\text{0.100 mol}}\,{\text{d}}{{\text{m}}^{ - 3}}{\text{ NaOH(aq)}}\) showing your working.
Determine the pH of the solution.
Calculate the base dissociation constant, \({K_{\text{b}}}\), for ammonia.
Markscheme
9.5;
Accept any value in the range 9.4–9.6.
titration involves a weak acid and a strong base;
salt formed at equivalence point is basic due to hydrolysis;
\({{\text{A}}^ - }{\text{(aq)}} + {{\text{H}}_2}{\text{O(l)}} \rightleftharpoons {\text{HA(aq)}} + {\text{O}}{{\text{H}}^ - }{\text{(aq)}}\);
Ignore state symbols.
\(\frac{{{\text{0.155}} \times {\text{22.0}} \times {\text{1}}}}{{{\text{25.0}} \times {\text{1}}}}\);
\( = {\text{0.136 (mol}}\,{\text{d}}{{\text{m}}^{ - 3}}{\text{)}}\);
at half neutralization point, \({\text{pH}} = {\text{p}}{K_{\text{a}}}\);
\({\text{p}}{K_{\text{a}}} = {\text{5.3}}\);
Accept any value in the range 5.2–5.4.
\({K_{\text{a}}} = {\text{5.0}} \times {\text{1}}{{\text{0}}^{ - 6}}{\text{ (mol}}\,{\text{d}}{{\text{m}}^{ - 3}}{\text{)}}\);
Accept calculations based on initial pH or on pH of salt.
phenolphthalein;
Accept thymolphthalein.
Allow ECF from (a)(i).
\({\text{HIn(aq)}} \rightleftharpoons {{\text{H}}^ + }{\text{(aq)}} + {\text{I}}{{\text{n}}^ - }{\text{(aq)}}\);
colour A colour B
in presence of acid/\({{\text{H}}^ + }\), equilibrium shifts to left, colour A;
in presence of base/\({\text{O}}{{\text{H}}^ - }{\text{ }}\), equilibrium shifts to right, colour B;
buffer solution resists change in pH;
on addition of small amount of acid or base;
after mixing \({\text{[C}}{{\text{H}}_3}{\text{CO}}{{\text{O}}^ - }{\text{]}} = {\text{[C}}{{\text{H}}_3}{\text{COOH]}} = {\text{0.050 mol}}\,{\text{d}}{{\text{m}}^{ - 3}}\);
\({K_{\text{a}}} = {\text{[}}{{\text{H}}^ + }{\text{]/p}}{K_{\text{a}}} = {\text{pH}}\);
\({\text{pH}} = {\text{4.76}}\);
Working must be shown to score [3].
Award [1] if 4.76 stated with no working.
\({\text{[}}{{\text{H}}^ + }{\text{]}} = \frac{{{\text{1.00}} \times {\text{1}}{{\text{0}}^{ - 14}}}}{{{\text{1.28}} \times {\text{1}}{{\text{0}}^{ - 3}}}} = {\text{7.81}} \times {\text{1}}{{\text{0}}^{ - 12}}{\text{ mol}}\,{\text{d}}{{\text{m}}^{ - 3}}/{\text{pOH}} = - \log 1.28 \times {10^{ - 3}} = 2.90\);
\({\text{pH}} = (14.0 - 2.90) = 11.1\);
Award [2] for the correct final answer
\({K_{\text{b}}} = \frac{{{\text{[NH}}_4^ + {\text{][O}}{{\text{H}}^ - }{\text{]}}}}{{{\text{[N}}{{\text{H}}_3}{\text{]}}}}\);
\( = \frac{{{{(1.28 \times {{10}^{ - 3}})}^2}}}{{0.100{\text{ - }}0.00128}}/\frac{{{{(1.28 \times {{10}^{ - 3}})}^2}}}{{0.100}}\);
\( = 1.66 \times {10^{ - 5}}/1.64 \times {10^{ - 5}}\);
Examiners report
Most candidates were able to determine the pH at the equivalence point.
Salt hydrolysis was very poorly understood by many candidates and therefore they were not able to write an equation.
In part (b) most candidates described the use of indicators during titrations, but lost credit for not using the reversible equilibrium equation to explain how they function qualitatively.
Part c (ii) baffled the majority of candidates. It is surprising to see that calculations based on buffers are almost an exclusive domain of the better candidates.
In part (e), only the able candidates scored the maximum five marks for calculating the pH and the base dissociation constant for ammonia.
Overall knowledge of acid-base chemistry was considerably weak, especially calculations.
Limescale, CaCO3(s), can be removed from water kettles by using vinegar, a dilute solution of ethanoic acid, CH3COOH(aq).
Predict, giving a reason, a difference between the reactions of the same concentrations of hydrochloric acid and ethanoic acid with samples of calcium carbonate.
Dissolved carbon dioxide causes unpolluted rain to have a pH of approximately 5, but other dissolved gases can result in a much lower pH. State one environmental effect of acid rain.
Write an equation to show ammonia, NH3, acting as a Brønsted–Lowry base and a different equation to show it acting as a Lewis base.
Determine the pH of 0.010 mol dm−3 2,2-dimethylpropanoic acid solution.
Ka (2,2-dimethylpropanoic acid) = 9.333 × 10−6
Explain, using appropriate equations, how a suitably concentrated solution formed by the partial neutralization of 2,2-dimethylpropanoic acid with sodium hydroxide acts as a buffer solution.
Markscheme
slower rate with ethanoic acid
OR
smaller temperature rise with ethanoic acid
[H+] lower
OR
ethanoic acid is weak
OR
ethanoic acid is partially dissociated
Accept experimental observations such as “slower bubbling” or “feels less warm”.
[2 marks]
Any one of:
corrosion of materials/metals/carbonate materials
destruction of plant/aquatic life
«indirect» effect on human health
Accept “lowering pH of oceans/lakes/waterways”.
[1 mark]
Brønsted–Lowry base:
NH3 + H+ → NH4+
Lewis base:
NH3 + BF3 → H3NBF3
Accept “AlCl3 as an example of Lewis acid”.
Accept other valid equations such as Cu2+ + 4NH3 → [Cu(NH3)4]2+.
[2 marks]
[H+] «\( = \sqrt {{{\text{K}}_{\text{a}}} \times \left[ {{{\text{C}}_5}{{\text{H}}_{10}}{{\text{O}}_2}} \right]} = \sqrt {9.333 \times {{10}^{ - 6}} \times 0.010} {\text{ }}\)» = 3.055 × 10–4 «mol dm–3»
«pH =» 3.51
Accept “pH = 3.52”.
Award [2] for correct final answer.
Accept other calculation methods.
[2 marks]
(CH3)3CCOOH(aq) + OH–(aq) → (CH3)3CCOO–(aq) + H2O(l)
OR
(CH3)3CCOOH(aq) + OH–(aq) \( \rightleftharpoons \) (CH3)3CCOO–(aq) + H2O(l) AND addition of alkali causes equilibrium to move to right
(CH3)3CCOO–(aq) + H+(aq) → (CH3)3CCOOH(aq)
OR
(CH3)3CCOO–(aq) + H+(aq) \( \rightleftharpoons \) (CH3)3CCOOH(aq) AND addition of acid causes equilibrium to move to right
Accept “HA” for the acid.
Award [1 max] for correct explanations of buffering with addition of acid AND base without equilibrium equations.
[2 marks]
Examiners report
The oxides and chlorides of period 3 elements exhibit periodicity.
Chlorine gas, \({\text{C}}{{\text{l}}_{\text{2}}}{\text{(g)}}\), is bubbled through separate solutions of aqueous bromine, \({\text{B}}{{\text{r}}_{\text{2}}}{\text{(aq)}}\), and potassium bromide, \({\text{KBr(aq)}}\).
The hydrogen halides do not show perfect periodicity. A bar chart of boiling points shows that the boiling point of hydrogen fluoride, HF, is much higher than periodic trends would indicate.

Transition metals form complex ions which are usually coloured.
(i) State the changes in the acid-base nature of the oxides across period 3 (from \({\text{N}}{{\text{a}}_2}{\text{O}}\) to \({\text{C}}{{\text{l}}_{\text{2}}}{{\text{O}}_{\text{7}}}\)), including equations for the reactions of \({\text{N}}{{\text{a}}_2}{\text{O}}\) and \({\text{S}}{{\text{O}}_{\text{3}}}\) with water.
(ii) State whether or not molten aluminium chloride, \({\text{A}}{{\text{l}}_{\text{2}}}{\text{C}}{{\text{l}}_{\text{6}}}\), and molten aluminium oxide, \({\text{A}}{{\text{l}}_{\text{2}}}{{\text{O}}_{\text{3}}}\), conduct electricity. Explain this behaviour in terms of the structure and bonding of the two compounds.
(iii) State the equation for the reaction of \({\text{C}}{{\text{l}}_{\text{2}}}\) with water.
(i) Predict any changes that may be observed in each case.
\({\text{B}}{{\text{r}}_{\text{2}}}{\text{(aq)}}\):
\({\text{KBr(aq)}}\):
(ii) State the half-equations for the reactions that occur.
(i) Explain why the boiling point of HF is much higher than the boiling points of the other hydrogen halides.
(ii) Explain the trend in the boiling points of HCl, HBr and HI.
State the full electron configurations of Cr and \({\text{C}}{{\text{r}}^{3 + }}\).
Cr:
\({\text{C}}{{\text{r}}^{3 + }}\):
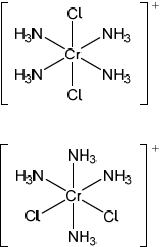
\({\text{C}}{{\text{r}}^{3 + }}\) ions and water molecules bond together to form the complex ion \({{\text{[Cr(}}{{\text{H}}_{\text{2}}}{\text{O}}{{\text{)}}_{\text{6}}}{\text{]}}^{3 + }}\).
Describe how the water acts and how it forms the bond, identifying the acid-base character of the reaction.
Explain why the \({{\text{[Cr(}}{{\text{H}}_{\text{2}}}{\text{O}}{{\text{)}}_{\text{6}}}{\text{]}}^{3 + }}\) ion is coloured.
Outline, including a relevant equation, whether the \({{\text{[Cr(}}{{\text{H}}_{\text{2}}}{\text{O}}{{\text{)}}_{\text{6}}}{\text{]}}^{3 + }}\) ion is acidic, basic or neutral.
Explain how the number of electrons in the outer main energy level of phosphorus, P, can be determined using the data of successive ionization energies.
Markscheme
(i) basic to acidic;
\({\text{N}}{{\text{a}}_{\text{2}}}{\text{O(s)}} + {{\text{H}}_{\text{2}}}{\text{O(l)}} \to {\text{2NaOH(aq)}}\);
\({\text{S}}{{\text{O}}_3}{\text{(g)}} + {{\text{H}}_2}{\text{O(l)}} \to {{\text{H}}_2}{\text{S}}{{\text{O}}_4}{\text{(aq)}}\);
Ignore state symbols.
(ii) molten \({\text{A}}{{\text{l}}_2}{\text{C}}{{\text{l}}_6}\) does not conduct electricity and molten \({\text{A}}{{\text{l}}_{\text{2}}}{{\text{O}}_{\text{3}}}\) does;
\({\text{A}}{{\text{l}}_2}{\text{C}}{{\text{l}}_6}\) is a covalent molecule and has no free charged particles to conduct electricity;
\({\text{A}}{{\text{l}}_2}{{\text{O}}_3}\) is ionic/has ions which are free to move when molten;
(iii) \({\text{C}}{{\text{l}}_2}{\text{(g)}} + {{\text{H}}_2}{\text{O(l)}} \rightleftharpoons {\text{HCl(aq)}} + {\text{HClO(aq)}}\);
Ignore state symbols.
Allow \( \to \).
(i) \({\text{B}}{{\text{r}}_2}{\text{(aq)}}\): no change;
\({\text{KBr(aq)}}\): colour change / from colourless to red/yellow/orange/brown;
(ii) \({\text{2B}}{{\text{r}}^ - }{\text{(aq)}} \to {\text{B}}{{\text{r}}_2}{\text{(aq)}} + {\text{2}}{{\text{e}}^ - }\);
\({\text{C}}{{\text{l}}_2}{\text{(g)}} + {\text{2}}{{\text{e}}^ - } \to {\text{2C}}{{\text{l}}^ - }{\text{(aq)}}\);
Ignore state symbols.
Accept e instead of e–.
(i) HF has hydrogen bonds (between molecules);
(ii) strength of van der Waals’/London/dispersion forces increases;
as mass/size/number of electrons of halogen atom/molecule increases;
Cr: \({\text{1}}{{\text{s}}^{\text{2}}}{\text{2}}{{\text{s}}^{\text{2}}}{\text{2}}{{\text{p}}^{\text{6}}}{\text{3}}{{\text{s}}^{\text{2}}}{\text{3}}{{\text{p}}^{\text{6}}}{\text{4}}{{\text{s}}^{\text{1}}}{\text{3}}{{\text{d}}^{\text{5}}}/{\text{1}}{{\text{s}}^{\text{2}}}{\text{2}}{{\text{s}}^{\text{2}}}{\text{2}}{{\text{p}}^{\text{6}}}{\text{3}}{{\text{s}}^{\text{2}}}{\text{3}}{{\text{p}}^{\text{6}}}{\text{3}}{{\text{d}}^{\text{5}}}{\text{4}}{{\text{s}}^{\text{1}}}\);
Cr3+: \({\text{1}}{{\text{s}}^{\text{2}}}{\text{2}}{{\text{s}}^{\text{2}}}{\text{2}}{{\text{p}}^{\text{6}}}{\text{3}}{{\text{s}}^{\text{2}}}{\text{3}}{{\text{p}}^{\text{6}}}{\text{3}}{{\text{d}}^{\text{3}}}\);
\({{\text{H}}_2}{\text{O}}\) is a ligand / has lone (electron) pair;
forms dative (covalent)/coordinate bond / donates a lone (electron) pair ;
ligand is Lewis base / \({\text{C}}{{\text{r}}^{3 + }}\) is Lewis acid;
\({\text{C}}{{\text{r}}^{3 + }}\) has partially filled d orbitals;
d orbitals split into two levels / three lower energy and two higher energy levels;
energy difference is in visible part of spectrum;
electrons absorb visible light / one colour/frequency/wavelength;
electron transitions occur from lower to higher energy level within d sub-level;
complementary colour/colour not absorbed is seen;
acidic because \({{\text{[Cr(}}{{\text{H}}_2}{\text{O}}{{\text{)}}_6}{\text{]}}^{3 + }}{\text{(aq)}} \to {{\text{[Cr(}}{{\text{H}}_2}{\text{O}}{{\text{)}}_5}{\text{(OH)]}}^{2 + }}{\text{(aq)}} + {{\text{H}}^ + }{\text{(aq)}}\);
Allow answers with further equations.
Accept any other valid equations.
Ignore state symbols.
successive ionization energy values increase with removal of each electron;
large increase in ionization energy when sixth electron is removed;
as electron is one energy level/shell closer to the nucleus;
Accept a suitably annotated diagram.
Examiners report
There appeared to be some significant gaps in knowledge within this question, the various parts either scored very well or not at all.
In a(ii) there was a poor understanding of the nature of bonding in aluminium chloride and aluminium oxide. Candidates are still confusing electrical conductivity in compounds with that in metals, and often refer to the inability to conduct being down to a lack of mobile electrons in compounds.
Balancing equations, both full, as in parts a(i) and a(iii), and half equations as in b(ii), showed poor knowledge both of the reactants and products and in the ability to balance them in both atoms and charge. It should be expected that higher level candidates would be comfortable with these processes. The ability to deduce and predict what they would see during a reaction is a skill required of all chemists, it was missing in the attempts to answer b(ii). Parts c and d(i), (ii) and (iii) showed good knowledge, but in part d(iv) the understanding of the acid nature of some d block complex ions was lacking. Part e was rarely given credit, as many appeared to misread the question, and discussed the changes in first ionisation energies across Period 3.
There appeared to be some significant gaps in knowledge within this question, the various parts either scored very well or not at all.
In a(ii) there was a poor understanding of the nature of bonding in aluminium chloride and aluminium oxide. Candidates are still confusing electrical conductivity in compounds with that in metals, and often refer to the inability to conduct being down to a lack of mobile electrons in compounds.
Balancing equation,s both full, as in parts a(i) and a(iii), and half equations as in b(ii), showed poor knowledge both of the reactants and products and in the ability to balance them in both atoms and charge. It should be expected that higher level candidates would be comfortable with these processes. The ability to deduce and predict what they would see during a reaction is a skill required of all chemists, it was missing in the attempts to answer b(ii). Parts c and d(i), ii) and iii) showed good knowledge, but in part d(iv) the understanding of the acid nature of some d block complex ions was lacking. Part e was rarely given credit, as many appeared to misread the question, and discussed the changes in first ionisation energies across Period 3.
There appeared to be some significant gaps in knowledge within this question, the various parts either scored very well or not at all.
In a(ii) there was a poor understanding of the nature of bonding in aluminium chloride and aluminium oxide. Candidates are still confusing electrical conductivity in compounds with that in metals, and often refer to the inability to conduct being down to a lack of mobile electrons in compounds.
Balancing equations, both full, as in parts a(i) and a(iii), and half equations as in b(ii), showed poor knowledge both of the reactants and products and in the ability to balance them in both atoms and charge. It should be expected that higher level candidates would be comfortable with these processes. The ability to deduce and predict what they would see during a reaction is a skill required of all chemists, it was missing in the attempts to answer b(ii). Parts c and d(i), ii) and iii) showed good knowledge, but in part d(iv) the understanding of the acid nature of some d block complex ions was lacking. Part e was rarely given credit, as many appeared to misread the question, and discussed the changes in first ionisation energies across Period 3.
There appeared to be some significant gaps in knowledge within this question, the various parts either scored very well or not at all.
In a(ii) there was a poor understanding of the nature of bonding in aluminium chloride and aluminium oxide. Candidates are still confusing electrical conductivity in compounds with that in metals, and often refer to the inability to conduct being down to a lack of mobile electrons in compounds.
Balancing equations, both full, as in parts a(i) and a(iii), and half equations as in b(ii), showed poor knowledge both of the reactants and products and in the ability to balance them in both atoms and charge. It should be expected that higher level candidates would be comfortable with these processes. The ability to deduce and predict what they would see during a reaction is a skill required of all chemists, it was missing in the attempts to answer b(ii). Parts c and d(i), ii) and iii) showed good knowledge, but in part d(iv) the understanding of the acid nature of some d block complex ions was lacking. Part e was rarely given credit, as many appeared to misread the question, and discussed the changes in first ionisation energies across Period 3.
There appeared to be some significant gaps in knowledge within this question, the various parts either scored very well or not at all.
In a(ii) there was a poor understanding of the nature of bonding in aluminium chloride and aluminium oxide. Candidates are still confusing electrical conductivity in compounds with that in metals, and often refer to the inability to conduct being down to a lack of mobile electrons in compounds.
Balancing equations, both full, as in parts a(i) and a(iii), and half equations as in b(ii), showed poor knowledge both of the reactants and products and in the ability to balance them in both atoms and charge. It should be expected that higher level candidates would be comfortable with these processes. The ability to deduce and predict what they would see during a reaction is a skill required of all chemists, it was missing in the attempts to answer b(ii). Parts c and d(i), ii) and iii) showed good knowledge, but in part d(iv) the understanding of the acid nature of some d block complex ions was lacking. Part e was rarely given credit, as many appeared to misread the question, and discussed the changes in first ionisation energies across Period 3.
There appeared to be some significant gaps in knowledge within this question, the various parts either scored very well or not at all.
In a(ii) there was a poor understanding of the nature of bonding in aluminium chloride and aluminium oxide. Candidates are still confusing electrical conductivity in compounds with that in metals, and often refer to the inability to conduct being down to a lack of mobile electrons in compounds.
Balancing equations, both full, as in parts a(i) and a(iii), and half equations as in b(ii), showed poor knowledge both of the reactants and products and in the ability to balance them in both atoms and charge. It should be expected that higher level candidates would be comfortable with these processes. The ability to deduce and predict what they would see during a reaction is a skill required of all chemists, it was missing in the attempts to answer b(ii). Parts c and d(i), ii) and iii) showed good knowledge, but in part d(iv) the understanding of the acid nature of some d block complex ions was lacking. Part e was rarely given credit, as many appeared to misread the question, and discussed the changes in first ionisation energies across Period 3.
There appeared to be some significant gaps in knowledge within this question, the various parts either scored very well or not at all.
In a(ii) there was a poor understanding of the nature of bonding in aluminium chloride and aluminium oxide. Candidates are still confusing electrical conductivity in compounds with that in metals, and often refer to the inability to conduct being down to a lack of mobile electrons in compounds.
Balancing equations, both full, as in parts a(i) and a(iii), and half equations as in b(ii), showed poor knowledge both of the reactants and products and in the ability to balance them in both atoms and charge. It should be expected that higher level candidates would be comfortable with these processes. The ability to deduce and predict what they would see during a reaction is a skill required of all chemists, it was missing in the attempts to answer b(ii). Parts c and d(i), ii) and iii) showed good knowledge, but in part d(iv) the understanding of the acid nature of some d block complex ions was lacking. Part e was rarely given credit, as many appeared to misread the question, and discussed the changes in first ionisation energies across Period 3.
There appeared to be some significant gaps in knowledge within this question, the various parts either scored very well or not at all.
In a(ii) there was a poor understanding of the nature of bonding in aluminium chloride and aluminium oxide. Candidates are still confusing electrical conductivity in compounds with that in metals, and often refer to the inability to conduct being down to a lack of mobile electrons in compounds.
Balancing equations, both full, as in parts a(i) and a(iii), and half equations as in b(ii) showed poor knowledge both of the reactants and products and in the ability to balance them in both atoms and charge. It should be expected that higher level candidates would be comfortable with these processes. The ability to deduce and predict what they would see during a reaction is a skill required of all chemists, it was missing in the attempts to answer b(ii). Parts c and d(i), ii) and iii) showed good knowledge, but in part d(iv) the understanding of the acid nature of some d block complex ions was lacking. Part e was rarely given credit, as many appeared to misread the question, and discussed the changes in first ionisation energies across Period 3.
Bleaches in which chlorine is the active ingredient are the most common, although some environmental groups have concerns about their use.
In aqueous chlorine the equilibrium below produces chloric(I) acid (hypochlorous acid), HOCl, the active bleach.
\[{\text{C}}{{\text{l}}_2}{\text{(aq)}} + {{\text{H}}_2}{\text{O(l)}} \rightleftharpoons {\text{HOCl(aq)}} + {{\text{H}}^ + }{\text{(aq)}} + {\text{C}}{{\text{l}}^ - }{\text{(aq)}}\]
Aqueous sodium chlorate(I), NaOCl, the most common active ingredient in chlorine based bleaches, oxidizes coloured materials to colourless products while being reduced to the chloride ion. It will also oxidize sulfur dioxide to the sulfate ion.
The standard electrode potential for the reduction of the chlorate(V) ion to the chloride ion is \( + 1.49{\text{ V}}\).
(i) Describe the colour change that occurs when aqueous chlorine is added to aqueous sodium bromide.
(ii) Outline, with the help of a chemical equation, why this reaction occurs.
Chloric(I) acid is a weak acid, but hydrochloric acid is a strong acid. Outline how this is indicated in the equation above.
State a balanced equation for the reaction of chloric(I) acid with water.
Outline, in terms of the equilibrium in aqueous chlorine, why it is dangerous to use an acidic toilet cleaner in combination with this kind of bleach.
Suggest why a covalent molecule, such as chloric(I) acid, is readily soluble in water.
Partial neutralization of chloric(I) acid creates a buffer solution. Given that the \({\text{p}}{K_{\text{a}}}\) of chloric(I) acid is 7.53, determine the pH of a solution that has \({\text{[HOCl]}} = 0.100{\text{ mol}}\,{\text{d}}{{\text{m}}^{ - 3}}\) and \({\text{[Cl}}{{\text{O}}^ - }{\text{]}} = 0.0500{\text{ mol}}\,{\text{d}}{{\text{m}}^{ - 3}}\).
Describe, using HIn to represent the indicator in its acid form, why an indicator changes colour when excess alkali is added.
(i) Deduce a balanced equation for the reaction between the chlorate(I) ion and sulfur dioxide from the appropriate half-equations.
(ii) State the initial and final oxidation numbers of both chlorine and sulfur in the final equation.

(i) Define the term standard electrode potential.
(ii) Referring to Table 14 of the Data Booklet, deduce, giving a reason, whether the oxidation of the chromium(III) ion to the dichromate(VI) ion by the chlorate(V) ion is energetically feasible.
Markscheme
(i) from (pale) green/colourless to yellow/orange/brown;
Initial colour must be stated.
Do not accept “clear/transparent” instead of “colourless”.
(ii) chlorine more reactive/more powerful oxidizing agent (than bromine);
Accept opposite statements for bromine.
Accept “chloride ion a weaker reducing agent” / “bromide ion a stronger reducing agent”.
Accept “chlorine more electronegative than bromine”.
\({\text{C}}{{\text{l}}_2}{\text{(aq)}} + {\text{2NaBr(aq)}} \to {\text{B}}{{\text{r}}_2}{\text{(aq)}} + {\text{2NaCl(aq)}}/{\text{C}}{{\text{l}}_2}{\text{(aq)}} + {\text{2B}}{{\text{r}}^ - }{\text{(aq)}} \to {\text{B}}{{\text{r}}_2}{\text{(aq)}} + {\text{2C}}{{\text{l}}^ - }{\text{(aq)}}\);
Ignore state symbols.
Do not accept with equilibrium sign.
chloric(I) acid (shown as) a molecule/molecular, but hydrochloric acid (shown as being) split into ions / OWTTE;
Accept “chloric(I) acid is partially dissociated and hydrochloric acid is fully dissociated”.
Reference needed to both acids for mark.
\({\text{HOCl(aq)}} \rightleftharpoons {{\text{H}}^ + }{\text{(aq)}} + {\text{Cl}}{{\text{O}}^ - }{\text{(aq)}}/{\text{HOCl(aq)}} + {{\text{H}}_2}{\text{O(l)}} \rightleftharpoons {{\text{H}}_3}{{\text{O}}^ + }{\text{(aq)}} + {\text{Cl}}{{\text{O}}^ - }{\text{(aq)}}\);
Equilibrium sign required for the mark.
Ignore state symbols.
acid displaces the equilibrium to the left (to form chlorine);
chlorine is toxic/poisonous/harmful/lung irritant;
Accept answers that refer to the (b) (ii) equilibrium.
chloric(I) acid has –OH group / hydrogen attached to a very electronegative atom;
Accept polar molecule.
can form hydrogen bonds to water;
hydrogen bonding to water increases its solubility;
(as a weak acid it is) in equilibrium with ions;
\({K_{\text{a}}} = {10^{ - 7.53}} = 2.95 \times {10^{ - 8}}{\text{ (mol}}\,{\text{d}}{{\text{m}}^{ - 3}})\);
\({K_{\text{a}}} = \frac{{{\text{[}}{{\text{H}}^ + }{\text{][Cl}}{{\text{O}}^ - }{\text{]}}}}{{{\text{[HOCl]}}}} = \frac{{{\text{[}}{{\text{H}}^ + }{\text{](0.05)}}}}{{{\text{(0.1)}}}} \approx \frac{{{\text{[}}{{\text{H}}^ + }{\text{]}}}}{2} = {\text{2.95}} \times {\text{1}}{{\text{0}}^{ - 8}}{\text{ (mol}}\,{\text{d}}{{\text{m}}^{ - 3}}{\text{)}}\);
\({\text{[}}{{\text{H}}^ + }{\text{]}} = 2 \times 2.95 \times {10^{ - 8}} = 5.9 \times {10^{ - 8}}{\text{ (mol}}\,{\text{d}}{{\text{m}}^{ - 3}}{\text{)}}\);
\({\text{pH}} = - \log (5.9 \times {10^{ - 8}}) = 7.23\);
Accept other methods of carrying out the calculation.
Award [4] for correct final answer.
\({\text{HIn}} \rightleftharpoons {{\text{H}}^ + } + {\text{I}}{{\text{n}}^ - }\);
Do not accept equation without equilibrium arrow.
(weak acid in which the) acid/HIn and conjugate base/In– have different colours / OWTTE;
excess alkali shifts the equilibrium to the RHS/towards the conjugate base;
(i) \({\text{Cl}}{{\text{O}}^ - }{\text{(aq)}} + {\text{2}}{{\text{H}}^ + }{\text{(aq)}} + {\text{2}}{{\text{e}}^ - } \rightleftharpoons {{\text{H}}_2}{\text{O(l)}} + {\text{C}}{{\text{l}}^ - }{\text{(aq)}}\);
\({\text{SO}}_4^{2 - }{\text{(aq)}} + {\text{4}}{{\text{H}}^ + }{\text{(aq)}} + {\text{2}}{{\text{e}}^ - } \rightleftharpoons {\text{S}}{{\text{O}}_2}{\text{(aq)}} + {\text{2}}{{\text{H}}_2}{\text{O(l)}}\);
Accept SO42–(aq) + 4H+(aq) + 2e– \( \rightleftharpoons \) H2SO3(aq) + H2O(l).
For final equation:
\({\text{Cl}}{{\text{O}}^ - }{\text{(aq)}} + {\text{S}}{{\text{O}}_2}{\text{(aq)}} + {{\text{H}}_2}{\text{O(l)}} \rightleftharpoons {\text{SO}}_4^{2 - }{\text{(aq)}} + {\text{2}}{{\text{H}}^ + }{\text{(aq)}} + {\text{C}}{{\text{l}}^ - }{\text{(aq)}}\)
Accept ClO–(aq) + H2SO3(aq) \( \rightleftharpoons \) SO42–(aq) + 2H+(aq) + Cl–(aq).
correct reactants and products;
balancing and cancelling \({{\text{e}}^ - }\), \({{\text{H}}^ + }\) and \({{\text{H}}_2}{\text{O}}\);
Apply ECF if incorrect half-equations written.
Ignore state symbols and absence of equilibrium arrow for all equations and accept inclusion of Na+ in any equation.
(ii) Award [2] for all correct, [1] for 2 or 3 correct.

Remember to apply ECF from final (c) (i) equation.
Penalise incorrect notation (eg, 4 or 4+ rather than +4) once only, so award [1] for a fully correct answer in an incorrect format.
(i) potential (of reduction half-reaction) under standard conditions measured
relative to standard hydrogen electrode/SHE / OWTTE;
Allow “solute concentration of 1 mol dm–3” or “1 bar/1 atm (pressure) for gases” instead of “standard conditions”.
(ii) yes / energetically feasible;
would have a positive \({E_{{\text{cell}}}}\) / chlorate(V) ion stronger oxidizing agent than dichromate(VI) ion / OWTTE;
Examiners report
Though it was the least popular question on the paper, it was still answered, though not very well, by a significant number of students. Correct responses to the colour change required in the first part were rare, though more students could write an appropriate equation and outline why the reaction occurred, even though this was often phrased in terms of electronegativity, rather than reactivity or electrode potential. In part (b) many students seemed to be aware of the difference between strong and weak acids, but few could use this to answer the question asked and frequently, even having displayed this knowledge, were unable to write an equation for the required reaction in water. Unfortunately changes in pagination meant that the phrase “the equilibrium above” in part (b) (iii) may have confused candidates with regard to which particular equilibrium the question referred to. Fortunately both of the equilibria that it could have referred to change in the same direction and students scored well on this, and both would eventually result in the release of chlorine, that a number recognized as a toxic gas. In contrast to Question 1, many students could correctly identify the hydrogen bonding, resulting from the –OH group, as being the reason for the solubility of HOCl in water. An encouraging number of students gained full marks for calculating the pH of the buffer, usually by memorizing the Henderson-Hasselbalch equation and substituting in this. An even greater number of students could accurately explain the mode of action of acid-base indicators. In part (c) very few students could write, much less combine, appropriate half equations, even though the reactants and products were given, but far more could correctly deduce the oxidation numbers of the species involved. In the final part most students had some general idea of what a standard electrode potential was, but in many cases the definitions lacked the detail required. Quite a few students correctly deduced that the oxidation of chromium(III) to dichromate(VI) was energetically feasible and give valid reasons to support this.
Though it was the least popular question on the paper, it was still answered, though not very well, by a significant number of students. Correct responses to the colour change required in the first part were rare, though more students could write an appropriate equation and outline why the reaction occurred, even though this was often phrased in terms of electronegativity, rather than reactivity or electrode potential. In part (b) many students seemed to be aware of the difference between strong and weak acids, but few could use this to answer the question asked and frequently, even having displayed this knowledge, were unable to write an equation for the required reaction in water. Unfortunately changes in pagination meant that the phrase “the equilibrium above” in part (b) (iii) may have confused candidates with regard to which particular equilibrium the question referred to. Fortunately both of the equilibria that it could have referred to change in the same direction and students scored well on this, and both would eventually result in the release of chlorine, that a number recognized as a toxic gas. In contrast to Question 1, many students could correctly identify the hydrogen bonding, resulting from the –OH group, as being the reason for the solubility of HOCl in water. An encouraging number of students gained full marks for calculating the pH of the buffer, usually by memorizing the Henderson-Hasselbalch equation and substituting in this. An even greater number of students could accurately explain the mode of action of acid-base indicators. In part (c) very few students could write, much less combine, appropriate half equations, even though the reactants and products were given, but far more could correctly deduce the oxidation numbers of the species involved. In the final part most students had some general idea of what a standard electrode potential was, but in many cases the definitions lacked the detail required. Quite a few students correctly deduced that the oxidation of chromium(III) to dichromate(VI) was energetically feasible and give valid reasons to support this.
Though it was the least popular question on the paper, it was still answered, though not very well, by a significant number of students. Correct responses to the colour change required in the first part were rare, though more students could write an appropriate equation and outline why the reaction occurred, even though this was often phrased in terms of electronegativity, rather than reactivity or electrode potential. In part (b) many students seemed to be aware of the difference between strong and weak acids, but few could use this to answer the question asked and frequently, even having displayed this knowledge, were unable to write an equation for the required reaction in water. Unfortunately changes in pagination meant that the phrase “the equilibrium above” in part (b) (iii) may have confused candidates with regard to which particular equilibrium the question referred to. Fortunately both of the equilibria that it could have referred to change in the same direction and students scored well on this, and both would eventually result in the release of chlorine, that a number recognized as a toxic gas. In contrast to Question 1, many students could correctly identify the hydrogen bonding, resulting from the –OH group, as being the reason for the solubility of HOCl in water. An encouraging number of students gained full marks for calculating the pH of the buffer, usually by memorizing the Henderson-Hasselbalch equation and substituting in this. An even greater number of students could accurately explain the mode of action of acid-base indicators. In part (c) very few students could write, much less combine, appropriate half equations, even though the reactants and products were given, but far more could correctly deduce the oxidation numbers of the species involved. In the final part most students had some general idea of what a standard electrode potential was, but in many cases the definitions lacked the detail required. Quite a few students correctly deduced that the oxidation of chromium(III) to dichromate(VI) was energetically feasible and give valid reasons to support this.
Though it was the least popular question on the paper, it was still answered, though not very well, by a significant number of students. Correct responses to the colour change required in the first part were rare, though more students could write an appropriate equation and outline why the reaction occurred, even though this was often phrased in terms of electronegativity, rather than reactivity or electrode potential. In part (b) many students seemed to be aware of the difference between strong and weak acids, but few could use this to answer the question asked and frequently, even having displayed this knowledge, were unable to write an equation for the required reaction in water. Unfortunately changes in pagination meant that the phrase “the equilibrium above” in part (b) (iii) may have confused candidates with regard to which particular equilibrium the question referred to. Fortunately both of the equilibria that it could have referred to change in the same direction and students scored well on this, and both would eventually result in the release of chlorine, that a number recognized as a toxic gas. In contrast to Question 1, many students could correctly identify the hydrogen bonding, resulting from the –OH group, as being the reason for the solubility of HOCl in water. An encouraging number of students gained full marks for calculating the pH of the buffer, usually by memorizing the Henderson-Hasselbalch equation and substituting in this. An even greater number of students could accurately explain the mode of action of acid-base indicators. In part (c) very few students could write, much less combine, appropriate half equations, even though the reactants and products were given, but far more could correctly deduce the oxidation numbers of the species involved. In the final part most students had some general idea of what a standard electrode potential was, but in many cases the definitions lacked the detail required. Quite a few students correctly deduced that the oxidation of chromium(III) to dichromate(VI) was energetically feasible and give valid reasons to support this.
Though it was the least popular question on the paper, it was still answered, though not very well, by a significant number of students. Correct responses to the colour change required in the first part were rare, though more students could write an appropriate equation and outline why the reaction occurred, even though this was often phrased in terms of electronegativity, rather than reactivity or electrode potential. In part (b) many students seemed to be aware of the difference between strong and weak acids, but few could use this to answer the question asked and frequently, even having displayed this knowledge, were unable to write an equation for the required reaction in water. Unfortunately changes in pagination meant that the phrase “the equilibrium above” in part (b) (iii) may have confused candidates with regard to which particular equilibrium the question referred to. Fortunately both of the equilibria that it could have referred to change in the same direction and students scored well on this, and both would eventually result in the release of chlorine, that a number recognized as a toxic gas. In contrast to Question 1, many students could correctly identify the hydrogen bonding, resulting from the –OH group, as being the reason for the solubility of HOCl in water. An encouraging number of students gained full marks for calculating the pH of the buffer, usually by memorizing the Henderson-Hasselbalch equation and substituting in this. An even greater number of students could accurately explain the mode of action of acid-base indicators. In part (c) very few students could write, much less combine, appropriate half equations, even though the reactants and products were given, but far more could correctly deduce the oxidation numbers of the species involved. In the final part most students had some general idea of what a standard electrode potential was, but in many cases the definitions lacked the detail required. Quite a few students correctly deduced that the oxidation of chromium(III) to dichromate(VI) was energetically feasible and give valid reasons to support this.
Though it was the least popular question on the paper, it was still answered, though not very well, by a significant number of students. Correct responses to the colour change required in the first part were rare, though more students could write an appropriate equation and outline why the reaction occurred, even though this was often phrased in terms of electronegativity, rather than reactivity or electrode potential. In part (b) many students seemed to be aware of the difference between strong and weak acids, but few could use this to answer the question asked and frequently, even having displayed this knowledge, were unable to write an equation for the required reaction in water. Unfortunately changes in pagination meant that the phrase “the equilibrium above” in part (b) (iii) may have confused candidates with regard to which particular equilibrium the question referred to. Fortunately both of the equilibria that it could have referred to change in the same direction and students scored well on this, and both would eventually result in the release of chlorine, that a number recognized as a toxic gas. In contrast to Question 1, many students could correctly identify the hydrogen bonding, resulting from the –OH group, as being the reason for the solubility of HOCl in water. An encouraging number of students gained full marks for calculating the pH of the buffer, usually by memorizing the Henderson-Hasselbalch equation and substituting in this. An even greater number of students could accurately explain the mode of action of acid-base indicators. In part (c) very few students could write, much less combine, appropriate half equations, even though the reactants and products were given, but far more could correctly deduce the oxidation numbers of the species involved. In the final part most students had some general idea of what a standard electrode potential was, but in many cases the definitions lacked the detail required. Quite a few students correctly deduced that the oxidation of chromium(III) to dichromate(VI) was energetically feasible and give valid reasons to support this.
Though it was the least popular question on the paper, it was still answered, though not very well, by a significant number of students. Correct responses to the colour change required in the first part were rare, though more students could write an appropriate equation and outline why the reaction occurred, even though this was often phrased in terms of electronegativity, rather than reactivity or electrode potential. In part (b) many students seemed to be aware of the difference between strong and weak acids, but few could use this to answer the question asked and frequently, even having displayed this knowledge, were unable to write an equation for the required reaction in water. Unfortunately changes in pagination meant that the phrase “the equilibrium above” in part (b) (iii) may have confused candidates with regard to which particular equilibrium the question referred to. Fortunately both of the equilibria that it could have referred to change in the same direction and students scored well on this, and both would eventually result in the release of chlorine, that a number recognized as a toxic gas. In contrast to Question 1, many students could correctly identify the hydrogen bonding, resulting from the –OH group, as being the reason for the solubility of HOCl in water. An encouraging number of students gained full marks for calculating the pH of the buffer, usually by memorizing the Henderson-Hasselbalch equation and substituting in this. An even greater number of students could accurately explain the mode of action of acid-base indicators. In part (c) very few students could write, much less combine, appropriate half equations, even though the reactants and products were given, but far more could correctly deduce the oxidation numbers of the species involved. In the final part most students had some general idea of what a standard electrode potential was, but in many cases the definitions lacked the detail required. Quite a few students correctly deduced that the oxidation of chromium(III) to dichromate(VI) was energetically feasible and give valid reasons to support this.
Though it was the least popular question on the paper, it was still answered, though not very well, by a significant number of students. Correct responses to the colour change required in the first part were rare, though more students could write an appropriate equation and outline why the reaction occurred, even though this was often phrased in terms of electronegativity, rather than reactivity or electrode potential. In part (b) many students seemed to be aware of the difference between strong and weak acids, but few could use this to answer the question asked and frequently, even having displayed this knowledge, were unable to write an equation for the required reaction in water. Unfortunately changes in pagination meant that the phrase “the equilibrium above” in part (b) (iii) may have confused candidates with regard to which particular equilibrium the question referred to. Fortunately both of the equilibria that it could have referred to change in the same direction and students scored well on this, and both would eventually result in the release of chlorine, that a number recognized as a toxic gas. In contrast to Question 1, many students could correctly identify the hydrogen bonding, resulting from the –OH group, as being the reason for the solubility of HOCl in water. An encouraging number of students gained full marks for calculating the pH of the buffer, usually by memorizing the Henderson-Hasselbalch equation and substituting in this. An even greater number of students could accurately explain the mode of action of acid-base indicators. In part (c) very few students could write, much less combine, appropriate half equations, even though the reactants and products were given, but far more could correctly deduce the oxidation numbers of the species involved. In the final part most students had some general idea of what a standard electrode potential was, but in many cases the definitions lacked the detail required. Quite a few students correctly deduced that the oxidation of chromium(III) to dichromate(VI) was energetically feasible and give valid reasons to support this.
Though it was the least popular question on the paper, it was still answered, though not very well, by a significant number of students. Correct responses to the colour change required in the first part were rare, though more students could write an appropriate equation and outline why the reaction occurred, even though this was often phrased in terms of electronegativity, rather than reactivity or electrode potential. In part (b) many students seemed to be aware of the difference between strong and weak acids, but few could use this to answer the question asked and frequently, even having displayed this knowledge, were unable to write an equation for the required reaction in water. Unfortunately changes in pagination meant that the phrase “the equilibrium above” in part (b) (iii) may have confused candidates with regard to which particular equilibrium the question referred to. Fortunately both of the equilibria that it could have referred to change in the same direction and students scored well on this, and both would eventually result in the release of chlorine, that a number recognized as a toxic gas. In contrast to Question 1, many students could correctly identify the hydrogen bonding, resulting from the –OH group, as being the reason for the solubility of HOCl in water. An encouraging number of students gained full marks for calculating the pH of the buffer, usually by memorizing the Henderson-Hasselbalch equation and substituting in this. An even greater number of students could accurately explain the mode of action of acid-base indicators. In part (c) very few students could write, much less combine, appropriate half equations, even though the reactants and products were given, but far more could correctly deduce the oxidation numbers of the species involved. In the final part most students had some general idea of what a standard electrode potential was, but in many cases the definitions lacked the detail required. Quite a few students correctly deduced that the oxidation of chromium(III) to dichromate(VI) was energetically feasible and give valid reasons to support this.
The Haber process enables the large-scale production of ammonia needed to make fertilizers.
The equation for the Haber process is given below.
\[{{\text{N}}_2}({\text{g)}} + 3{{\text{H}}_2}({\text{g)}} \rightleftharpoons {\text{2N}}{{\text{H}}_3}({\text{g)}}\]
The percentage of ammonia in the equilibrium mixture varies with temperature.

Ammonia can be converted into nitric acid, \({\text{HN}}{{\text{O}}_{\text{3}}}{\text{(aq)}}\), and hydrocyanic acid, HCN(aq). The \({\text{p}}{K_{\text{a}}}\) of hydrocyanic acid is 9.21.
A student decided to investigate the reactions of the two acids with separate samples of \({\text{0.20 mol}}\,{\text{d}}{{\text{m}}^{ - 3}}\) sodium hydroxide solution.
(i) Use the graph to deduce whether the forward reaction is exothermic or endothermic and explain your choice.
(ii) State and explain the effect of increasing the pressure on the yield of ammonia.
(iii) Deduce the equilibrium constant expression, \({K_{\text{c}}}\), for the reaction.
(iv) A mixture of 1.00 mol \({{\text{N}}_{\text{2}}}\) and 3.00 mol \({{\text{H}}_{\text{2}}}\) was placed in a \({\text{1.0 d}}{{\text{m}}^{\text{3}}}\) flask at 400 °C. When the system was allowed to reach equilibrium, the concentration of was found to be \({\text{0.062 mol}}\,{\text{d}}{{\text{m}}^{ - 3}}\). Determine the equilibrium constant, \({K_{\text{c}}}\), of the reaction at this temperature.
(v) Iron is used as a catalyst in the Haber process. State the effect of a catalyst on the value of \({K_{\text{c}}}\).
(i) Distinguish between the terms strong and weak acid and state the equations used to show the dissociation of each acid in aqueous solution.
(ii) Deduce the expression for the ionization constant, \({K_{\text{a}}}\), of hydrocyanic acid and calculate its value from the \({\text{p}}{K_{\text{a}}}\) value given.
(iii) Use your answer from part (b) (ii) to calculate the \({\text{[}}{{\text{H}}^ + }{\text{]}}\) and the pH of an aqueous solution of hydrocyanic acid of concentration \({\text{0.108 mol}}\,{\text{d}}{{\text{m}}^{ - 3}}\). State one assumption made in arriving at your answer.
A small piece of magnesium ribbon is added to solutions of nitric and hydrocyanic acid of the same concentration at the same temperature. Describe two observations that would allow you to distinguish between the two acids.
(i) Calculate the volume of the sodium hydroxide solution required to react exactly with a \({\text{15.0 c}}{{\text{m}}^{\text{3}}}\) solution of \({\text{0.10 mol}}\,{\text{d}}{{\text{m}}^{ - 3}}\) nitric acid.
(ii) The following hypothesis was suggested by the student: “Since hydrocyanic acid is a weak acid it will react with a smaller volume of the \({\text{0.20 mol}}\,{\text{d}}{{\text{m}}^{ - 3}}\) sodium hydroxide solution.” Comment on whether or not this is a valid hypothesis.
(iii) Use Table 16 of the Data Booklet to identify a suitable indicator for the titration of sodium hydroxide and hydrocyanic acid.
Markscheme
(i) exothermic;
Accept either of the following for the second mark.
increasing temperature favours endothermic/reverse reaction;
as yield decreases with increasing temperature;
(ii) yield increases / equilibrium moves to the right / more ammonia;
increase in pressure favours the reaction which has fewer moles of gaseous products;
(iii) \({K_{\text{c}}} = \frac{{{{{\text{[N}}{{\text{H}}_3}{\text{]}}}^2}}}{{{\text{[}}{{\text{N}}_2}{\text{][}}{{\text{H}}_2}{{\text{]}}^3}}}\);
(iv) \({\text{[}}{{\text{N}}_2}{\text{]}}\): (at equilibrium \( = 1.00 - 0.031 = \)) \({\text{0.969 (mol}}\,{\text{d}}{{\text{m}}^{ - 3}}{\text{)}}\);
\({\text{[}}{{\text{H}}_2}{\text{]}}\): (at equilibrium \( = 3.00 - 3(0.031) = \)) \({\text{2.91 (mol}}\,{\text{d}}{{\text{m}}^{ - 3}}{\text{)}}\);
\({K_{\text{c}}}{\text{ }}\left( { = \frac{{{{{\text{(0.062)}}}^2}}}{{{\text{(0.969) (2.91}}{{\text{)}}^3}}}} \right) = {\text{1.6(1)}} \times {\text{1}}{{\text{0}}^{ - 4}}\);
Ignore units.
Award [1] for Kc = 1.4 \( \times \) 10–4
(v) no effect;
(i) strong acid completely dissociated/ionized and weak acid partially dissociated/ionized;
\({\text{HN}}{{\text{O}}_3}{\text{(aq)}} \to {{\text{H}}^ + }{\text{(aq)}} + {\text{NO}}_3^ - {\text{(aq)}}\);
\({\text{HCN(aq)}} \rightleftharpoons {{\text{H}}^ + }{\text{(aq)}} + {\text{C}}{{\text{N}}^ - }{\text{(aq)}}\);
Insist on both arrows as shown.
State symbols not needed.
Accept H2O and H3O+.
(ii) \({K_{\text{a}}} = \frac{{{\text{[}}{{\text{H}}^ + }{\text{][C}}{{\text{N}}^ - }{\text{]}}}}{{{\text{[HCN]}}}}\);
Allow H3O+ instead of H+.
\({K_{\text{a}}} = {10^{ - 9.21}} = 6.17 \times {10^{ - 10}}\);
(iii) \({[{{\text{H}}^ + }] = \sqrt {{K_{\text{a}}}[{\text{HCN}}]} /\sqrt {(6.17 \times {{10}^{ - 10}} \times 0.108)} }\);
\({ = 8.16 \times {{10}^{ - 6}}}\);
Allow in the range 8.13 \( \times \) 10–6 to 8.16 \( \times \) 10–6.
\({\text{pH}} = 5.09\);
OR
\({{\text{pH}} = \frac{1}{2}{\text{(p}}{K_{\text{a}}} - {\text{log}}[{\text{HCN}}])/\frac{1}{2}(9.21 - \log \,0.108)}\);
\({ = 5.09}\);
\({\text{[}}{{\text{H}}^ + }{\text{]}} = {10^{ - 5.09}} = 8.16 \times {10^{ - 6}}\);
Allow in the range 8.13 \( \times \) 10–6 to 8.16 \( \times \) 10–6.
If expression for [H+] missing but both answers correct, award [3], if one answer
correct, award [2].
assume \({\text{[}}{{\text{H}}^ + }{\text{]}} \ll 0.108\) / negligible dissociation;
With HNO3:
faster rate of bubble/hydrogen/gas production;
faster rate of magnesium dissolving;
higher temperature change;
Accept opposite argument for HCN.
Reference to specific observations needed.
Award [1] if 2 observations given but acid is not identified.
(i) (nitric acid) 7.5 cm3;
(ii) not valid as hydrocyanic acid reacts with same volume/ 7.5 cm3;
(iii) bromothymol blue / phenol red / phenolphthalein;
Examiners report
Equilibrium is a topic that has shown substantial improvement in recent sessions with some very well produced arguments. The reaction was correctly described as exothermic with a reason correctly given in most cases. Most candidates knew that yield would increase with increased pressure, but some failed to identify the change in the number of “gaseous” molecules as the reason. More candidates had difficulty with the equilibrium constant calculation often using the initial not equilibrium concentrations.
In (b) most correctly defined strong and weak acids and many also wrote correct equations. A few, however, missed the equilibrium sign for hydrocyanic acid. HA, CH3COOH and HCl were commonly given instead of HCN and HNO3, suggesting that students sometimes have difficulty applying general concepts to specific cases. It was encouraging to see many candidates determine the pH from the pKa value including the assumption that there is negligible dissociation, as this has challenged students in previous sessions. A significant number of weaker candidates reported however that the acid solution would have pH values above 7.
Part (c) presented problems with many candidates unable to describe specific observations related to rate which would distinguish between a strong and weak acid and simply stated that the reaction would be faster.
The moles calculation was answered well in (d) with most candidates able to identify phenolphthalein as a suitable indicator.
The \({\text{p}}{K_{\text{a}}}\) value for propanoic acid is given in Table 15 of the Data Booklet.
State the equation for the reaction of propanoic acid with water.
Calculate the hydrogen ion concentration (in \({\text{mol}}\,{\text{d}}{{\text{m}}^{ - 3}}\)) of an aqueous solution of \({\text{0.100 mol}}\,{\text{d}}{{\text{m}}^{ - 3}}\) propanoic acid.
The graph below shows a computer simulation of a titration of \({\text{25.0 c}}{{\text{m}}^{\text{3}}}\) of \({\text{0.100 mol}}\,{\text{d}}{{\text{m}}^{ - 3}}\) hydrochloric acid with \({\text{0.100 mol}}\,{\text{d}}{{\text{m}}^{ - 3}}\) sodium hydroxide and the pH range of phenol red indicator.

Sketch the graph that would be obtained for the titration of \({\text{25.0 c}}{{\text{m}}^{\text{3}}}\) of \({\text{0.100 mol}}\,{\text{d}}{{\text{m}}^{ - 3}}\) propanoic acid with \({\text{0.100 mol}}\,{\text{d}}{{\text{m}}^{ - 3}}\) potassium hydroxide using bromophenol blue as an indicator. (The pH range of bromophenol blue can be found in Table 16 of the Data Booklet).

Markscheme
\({\text{C}}{{\text{H}}_3}{\text{C}}{{\text{H}}_2}{\text{COOH}} + {{\text{H}}_2}{\text{O}} \rightleftharpoons {\text{C}}{{\text{H}}_3}{\text{C}}{{\text{H}}_2}{\text{CO}}{{\text{O}}^ - } + {{\text{H}}_3}{{\text{O}}^ + }\) /
\({\text{C}}{{\text{H}}_3}{\text{C}}{{\text{H}}_2}{\text{COOH}} \rightleftharpoons {\text{C}}{{\text{H}}_3}{\text{C}}{{\text{H}}_2}{\text{COO}}{{\text{H}}^ - } + {{\text{H}}^ + }\);
\( \rightleftharpoons \) required for mark.
(\({\text{p}}{K_{\text{a}}}\) for propanoic acid = 4.87)
\({{\text{[}}{{\text{H}}^ + }{\text{]}}^2} = 0.100 \times {K_{\text{a}}}\);
\({\text{[}}{{\text{H}}^ + }{\text{]}} = 1.16 \times {10^{ - 3}}{\text{ (mol}}\,{\text{d}}{{\text{m}}^{ - 3}})\);
sketch to show:

indicator range between pH 3.0 and pH 4.6 (with “yellow” at pH 3.0 and “blue” at pH 4.6);
initial pH of acid at 2.9 ± 1.0 (when no KOH has been added);
half-equivalence point (does not need to be named) at pH 4.9 when \({\text{12.5 c}}{{\text{m}}^{\text{3}}}\) of KOH have been added;
equivalence point at approx pH 8.5 – 9.0 when \({\text{25.0 c}}{{\text{m}}^{\text{3}}}\) of KOH(aq) added;
upper part of curve from 25.0 – 50.0 \({\text{c}}{{\text{m}}^{\text{3}}}\) added identical to original curve;
Award [1] each for any three points.
Examiners report
The equation of propanoic acid with water was problematic for many candidates who omitted the equilibrium arrow \(( \rightleftharpoons )\) in part (a)(i). Although candidates were referred to the Data Booklet, some candidates did not know the formula of propanoic acid.
Part (a)(ii) was answered well by about half the candidates.
Part (b) also caused difficulties, with many candidates scoring only the mark for showing the pH range of bromophenol blue. Some candidates were thrown by the choice of indicator and selected a more appropriate indicator for these reagents. It is important to answer the question on the paper as the indicator was deliberately chosen to be different to the indicator used in the example. Graphs were generally badly and roughly drawn. Even candidates who had correctly calculated \({\text{[}}{{\text{H}}^ + }{\text{]}}\) in part (a) often did not start the graph at the correct pH. Most graphs finished too low at a pH of 10 or less, and the vertical part of the graph was frequently at a volume less than \({\text{25 c}}{{\text{m}}^{\text{3}}}\). Rarely did a candidate get the half-equivalence value correct.
Acid–base chemistry can play a major role in chemical and biological processes.
White vinegar, which contains ethanoic acid, CH3COOH, can be used as a cleaning agent to dissolve mineral deposits from coffee machines.
Buffer solutions play a pivotal role in solution chemistry.
Acid–base indicators are often organic dyes.
Ammonia, NH3, can be used to clean ovens. The concentration of hydroxide ions, OH–(aq), in a solution of ammonia is \({\text{3.98}} \times {\text{1}}{{\text{0}}^{ - 3}}{\text{ mol}}\,{\text{d}}{{\text{m}}^{ - 3}}\). Calculate its pH, correct to one decimal place, at 298 K.
Define an acid according to the Brønsted–Lowry theory and the Lewis theory.
Brønsted–Lowry theory:
Lewis theory:
Ethanoic acid is an example of a weak acid. Distinguish between a strong acid and a weak acid in terms of the extent of dissociation.
State whether the following mixtures, in the appropriate molar ratios, can be classified as buffer solutions. Show your answer by stating yes or no in the table below.

Describe qualitatively the action of an acid–base indicator.
Using Table 16 of the Data Booklet, identify the most appropriate indicator for the titration of ethanoic acid with sodium hydroxide. Explain your choice.
\({\text{150 c}}{{\text{m}}^{\text{3}}}\) of \({\text{5.00}} \times {\text{1}}{{\text{0}}^{ - 1}}{\text{ mol}}\,{\text{d}}{{\text{m}}^{ - 3}}\) HCl (aq) is mixed with \({\text{300 c}}{{\text{m}}^{\text{3}}}\) of \({\text{2.03}} \times {\text{1}}{{\text{0}}^{ - 1}}{\text{ mol}}\,{\text{d}}{{\text{m}}^{ - 3}}\) NaOH(aq). Determine the pH of the solution, correct to two decimal places.
Markscheme
\([{{\text{H}}_3}{{\text{O}}^ + }] = \frac{{{K_{\text{w}}}}}{{[{\text{O}}{{\text{H}}^ - }]}} = \frac{{(1.00 \times {{10}^{ - 14}})}}{{(3.98 \times {{10}^{ - 3}})}} = 2.51 \times {10^{ - 12}}{\text{ }}({\text{mol}}\,{\text{d}}{{\text{m}}^{ - 3}})\);
\({\text{pH}}\left( { = - \log [{{\text{H}}_3}{{\text{O}}^ + }] = - \log (2.51 \times {{10}^{ - 12}})} \right) = 11.6\);
OR
\({\text{pOH}} = \left( { - \log (3.98 \times {{10}^{ - 3}}) = } \right){\text{ }}2.4\);
\({\text{pH}} = (14.00 - 2.40) = 11.6\);
Award [2] for correct final answer.
Allow correct use of H+ instead of \({H_3}{O^ + }\) throughout.
Brønsted-Lowry theory:
proton/\({{\text{H}}^ + }\) donor;
Lewis theory:
electron pair acceptor;
Strong acid: acid/electrolyte (assumed to be almost) completely/100% dissociated/ionized (in solution/water) / OWTTE and Weak acid:
acid/electrolyte partially dissociated/ionized (in solution/water) / OWTTE;

Award [1] for both “yes”.
Award [0] for any “no”.
\(\begin{array}{*{20}{l}} {{\text{HIn(aq)}} \rightleftharpoons {{\text{H}}^ + }{\text{(aq)}} + {\text{I}}{{\text{n}}^ - }{\text{(aq) /}}}&{{\text{HIn(aq)}} + {{\text{H}}_2}{\text{O(l)}} \rightleftharpoons {\text{I}}{{\text{n}}^ - }{\text{(aq)}} + {{\text{H}}_3}{{\text{O}}^ + }{\text{(aq)}}} \\ {{\text{Colour}}\,{\text{A Colour}}\,{\text{B}}}&{{\text{Colour}}\,{\text{A Colour}}\,{\text{B}}} \end{array}\);
Allow statement such as solution of weak acid with different colours for conjugate base/In\(^ - \)(aq) and undissociated acid/HIn(aq) / OWTTE.
Equilibrium sign required.
Ignore state symbols.
Allow corresponding argument for an indicator as a weak base.
for example, BOH(aq) \( \to \) B\(^ + \)(aq) + OH\(^ - \)(aq) etc.
in acid/presence of \({{\text{H}}^ + }\) equilibrium lies to left (so colour A);
in alkali/base/presence of \({\text{O}}{{\text{H}}^ - }\) equilibrium lies to right (so colour B);
colour changes/end point when \({\text{[HIn(aq)]}} \approx {\text{[I}}{{\text{n}}^ - }{\text{(aq)]}}\);
phenolphthalein/phenol red;
indicator changes colour in range of pH at equivalence point which is above 7 / OWTTE;
M2 can be scored independently even if indicator is incorrect.
Accept it is a titration of weak acid with a strong base for M2.
\(n{\text{(HCl) }}\left( { = \frac{{(150 \times 5.00 \times {{10}^{ - 1}})}}{{(1000)}}} \right) = 7.50 \times {10^{ - 2}}{\text{ (mol)}}\) and
\(n{\text{(NaOH) }}\left( {\frac{{(300 \times 2.03 \times {{10}^{ - 1}})}}{{(1000)}}} \right) = 6.09 \times {10^{ - 2}}{\text{ (mol)}}\);
\(n{{\text{(HCl)}}_{{\text{remaining}}}}{\text{ }}\left( { = (7.50 - 6.09) \times {{10}^{ - 2}}} \right) = 1.41 \times {10^{ - 2}}{\text{ (mol)}}\);
\({\text{[HCl]}} = (1.41 \times {10^{ - 2}})(1000)/(450) = 3.13 \times {10^{ - 2}}{\text{ (mol}}\,{\text{d}}{{\text{m}}^{ - 3}}{\text{ )}}\);
pH =1.50;
Award [4] for correct final answer.
Award [3 max] for pH = –log (1.41 \( \times \) 10−2 ) =1.85 .
Examiners report
Most candidates calculated the pH of ammonia solution correctly and also the pH of the buffer solution in part (c) (ii). Most students could explain why a solution of the chromium complex is coloured. The difficult part in this question for many was to state and explain whether the salts in solution were acidic, basic or neutral. (e) again caused difficulties for candidates, similar to previous sessions, though many scored some marks for stating acidic. (ii) was very poorly done and M2 was effectively a dead mark.
Most candidates calculated the pH of ammonia solution correctly and also the pH of the buffer solution in part (c) (ii). Most students could explain why a solution of the chromium complex is coloured. The difficult part in this question for many was to state and explain whether the salts in solution were acidic, basic or neutral. (e) again caused difficulties for candidates, similar to previous sessions, though many scored some marks for stating acidic. (ii) was very poorly done and M2 was effectively a dead mark.
Most candidates calculated the pH of ammonia solution correctly and also the pH of the buffer solution in part (c) (ii). Most students could explain why a solution of the chromium complex is coloured. The difficult part in this question for many was to state and explain whether the salts in solution were acidic, basic or neutral. (e) again caused difficulties for candidates, similar to previous sessions, though many scored some marks for stating acidic. (ii) was very poorly done and M2 was effectively a dead mark.
Most candidates calculated the pH of ammonia solution correctly and also the pH of the buffer solution in part (c) (ii). Most students could explain why a solution of the chromium complex is coloured. The difficult part in this question for many was to state and explain whether the salts in solution were acidic, basic or neutral. (e) again caused difficulties for candidates, similar to previous sessions, though many scored some marks for stating acidic. (ii) was very poorly done and M2 was effectively a dead mark.
Most candidates calculated the pH of ammonia solution correctly and also the pH of the buffer solution in part (c) (ii). Most students could explain why a solution of the chromium complex is coloured. The difficult part in this question for many was to state and explain whether the salts in solution were acidic, basic or neutral. (e) again caused difficulties for candidates, similar to previous sessions, though many scored some marks for stating acidic. (ii) was very poorly done and M2 was effectively a dead mark.
Most candidates calculated the pH of ammonia solution correctly and also the pH of the buffer solution in part (c) (ii). Most students could explain why a solution of the chromium complex is coloured. The difficult part in this question for many was to state and explain whether the salts in solution were acidic, basic or neutral. (e) again caused difficulties for candidates, similar to previous sessions, though many scored some marks for stating acidic. (ii) was very poorly done and M2 was effectively a dead mark.
Most candidates calculated the pH of ammonia solution correctly and also the pH of the buffer solution in part (c) (ii). Most students could explain why a solution of the chromium complex is coloured. The difficult part in this question for many was to state and explain whether the salts in solution were acidic, basic or neutral. (e) again caused difficulties for candidates, similar to previous sessions, though many scored some marks for stating acidic. (ii) was very poorly done and M2 was effectively a dead mark.
An equilibrium exists between nitrosyl chloride, NOCl, nitrogen oxide, NO, and chlorine, \({\text{C}}{{\text{l}}_{\text{2}}}\).
\[{\text{2NOCl(g)}} \rightleftharpoons {\text{2NO(g)}} + {\text{C}}{{\text{l}}_2}{\text{(g)}}\]
\({\text{20.0 c}}{{\text{m}}^{\text{3}}}\) of hexane, \({{\text{C}}_{\text{6}}}{{\text{H}}_{{\text{14}}}}\), and \({\text{20.0 c}}{{\text{m}}^{\text{3}}}\) of pentan-1-ol, \({{\text{C}}_{\text{5}}}{{\text{H}}_{{\text{11}}}}{\text{OH}}\), were placed separately into two closed containers at 298 K and allowed to reach equilibrium.
Ammonia is a weak base.
(i) Deduce the equilibrium constant expression for this reaction.
(ii) Explain the effect on the position of equilibrium and the value of \({K_{\text{c}}}\) when pressure is decreased and temperature is kept constant.
(iii) 2.00 mol of NOCl was placed in a \({\text{1.00 d}}{{\text{m}}^{\text{3}}}\) container and allowed to reach equilibrium at 298 K. At equilibrium, 0.200 mol of NO was present. Determine the equilibrium concentrations of NOCl and \({\text{C}}{{\text{l}}_{\text{2}}}\), and hence calculate the value of \({K_{\text{c}}}\) at this temperature.
(iv) The value of \({K_{\text{c}}}\) is \(1.60 \times {10^{ - 5}}\) at 318 K. State and explain whether the forward reaction is exothermic or endothermic.
(i) Compare the two liquids in terms of their boiling points, enthalpies of vaporization and vapour pressures.
(ii) Explain your answer given for part (b)(i).
Calculate the pH of a \({\text{1.50 mol}}\,{\text{d}}{{\text{m}}^{ - 3}}\) solution of ammonia at 298 K to two decimal places, using Table 15 of the Data Booklet.
A buffer solution is made using \({\text{25.0 c}}{{\text{m}}^{\text{3}}}\) of \({\text{0.500 mol}}\,{\text{d}}{{\text{m}}^{ - 3}}\) hydrochloric acid, HCl (aq), and \({\text{20.0 c}}{{\text{m}}^{\text{3}}}\) of \({\text{1.50 mol}}\,{\text{d}}{{\text{m}}^{ - 3}}\) ammonia solution, \({\text{N}}{{\text{H}}_{\text{3}}}{\text{(aq)}}\).
Describe the meaning of the term buffer solution.
Determine the pH of the buffer solution at 298 K.
A \({\text{1.50 mol}}\,{\text{d}}{{\text{m}}^{ - 3}}\) solution of ammonia is added to \({\text{25.0 c}}{{\text{m}}^{\text{3}}}\) of a \({\text{0.500 mol}}\,{\text{d}}{{\text{m}}^{ - 3}}\) hydrochloric acid solution in a titration experiment.
Calculate the total volume of the solution at the equivalence point.
Calculate the pH of the solution at the equivalence point, using Table 15 of the Data Booklet.
Identify a suitable indicator for this titration, using Table 16 of the Data Booklet.
Markscheme
(i) \(({K_{\text{c}}} = )\frac{{{\text{[C}}{{\text{l}}_2}{\text{(g)][NO(g)}}{{\text{]}}^2}}}{{{{{\text{[NOCl(g)]}}}^2}}}\);
Ignore state symbols.
(ii) equilibrium shifts to right as there are more moles (of gas) on product side;
no change to \({K_{\text{c}}}\) as it is a constant at fixed temperature / OWTTE;
(iii) \({\text{[NOCl(g)]}} = 1.80{\text{ (mol}}\,{\text{d}}{{\text{m}}^{ - 3}}{\text{)}}\);
\({\text{[C}}{{\text{l}}_2}{\text{(g)]}} = 0.100{\text{ (mol}}\,{\text{d}}{{\text{m}}^{ - 3}}{\text{)}}\);
\({K_{\text{c}}} = \left( {\frac{{0.100 \times {{(0.200)}^2}}}{{{{(1.80)}^2}}}} \right)1.23 \times {10^{ - 3}}{\text{ (mol}}\,{\text{d}}{{\text{m}}^{ - 3}}{\text{)}}\);
Award [3] for correct final answer.
(iv) exothermic as \({K_{\text{c}}}\) is lower at higher temperature;
(i) hexane has lower boiling point and enthalpy of vaporization than pentan-1-ol / OWTTE;
hexane has higher vapour pressure than pentan-1-ol / OWTTE;
(ii) hexane is non-polar / has only van der Waals’/London/dispersion forces / has weaker intermolecular forces than pentan-1-ol;
pentan-1-ol has hydrogen bonding between molecules;
\({\text{[O}}{{\text{H}}^ - }{\text{]}} = \sqrt {1.50 \times 1.78 \times {{10}^{ - 5}}} = 5.17 \times {10^{ - 3}}{\text{ (mol}}\,{\text{d}}{{\text{m}}^{ - 3}}{\text{)}}\);
\({\text{pH}} = (14 - {\text{pOH}} = 14 - 2.29 = ){\text{ }}11.71\);
Award [2] for correct final answer.
Accept correct answer with more than 2 decimal places.
solution which resists change in pH / changes pH slightly / OWTTE;
when small amounts of acid or base are added;
\({\text{[N}}{{\text{H}}_3}{\text{] = }}\left( {\frac{{(1.50 \times 0.0200) - (0.500 \times 0.0250)}}{{0.0450}} = } \right){\text{ }}0.389{\text{ (mol}}\,{\text{d}}{{\text{m}}^{ - 3}}{\text{)}}\);
\({\text{[NH}}_4^ + {\text{]}} = \left( {\frac{{(0.500 \times 0.0250)}}{{0.0450}} = } \right){\text{ }}0.278{\text{ (mol}}\,{\text{d}}{{\text{m}}^{ - 3}}{\text{)}}\);
\({\text{[O}}{{\text{H}}^ - }{\text{]}} = \left( {\frac{{{K_b}{\text{[N}}{{\text{H}}_3}{\text{]}}}}{{{\text{[NH}}_4^ + {\text{]}}}} = } \right){\text{ }}\frac{{1.78 \times {{10}^{ - 5}} \times 0.389}}{{0.278}} = 2.49 \times {10^{ - 5}}{\text{ (mol}}\,{\text{d}}{{\text{m}}^{ - 3}}{\text{)}}\);
\({\text{pH}} = (14.0 - {\text{pOH}} = 14.0 - 4.60 = ){\text{ }}9.40\);
OR
\({\text{pOH}} = {\text{p}}{K_b} + \log \frac{{[{\text{NH}}_4^ + ]}}{{{\text{[N}}{{\text{H}}_3}]}}{\text{ = p}}{K_{\text{b}}} + \log \frac{{(12.5/1000)}}{{(17.5/1000)}}\);
\({\text{pOH}} = 4.75 + \log \left( {\frac{{12.5}}{{17.5}}} \right) = 4.75 - 0.146 = 4.604\);
\({\text{pH}} = 14.0 - 4.604 = 9.40\);
Award [4] for the correct final answer.
\(\left( {{\text{V(N}}{{\text{H}}_{\text{3}}}{\text{)}} = \frac{{25.0 \times 0.500}}{{1.50}} = 8.33{\text{ c}}{{\text{m}}^3}} \right)\)
\({\text{V}} = {\text{V(N}}{{\text{H}}_3}{\text{)}} + {\text{V(HCl)}} = 8.33 + 25.0 = 33.3{\text{ c}}{{\text{m}}^3}/0.0333{\text{ d}}{{\text{m}}^3}\);
(\({\text{NH}}_{\text{4}}^ + \) ions are present at equivalence point \({\text{N}}{{\text{H}}_3} + {\text{HCl}} \to {\text{NH}}_4^ + + {\text{C}}{{\text{l}}^ - }\) at equivalence \({\text{n}}({\text{NH}}_4^ + {\text{ produced}}) = {\text{n}}({\text{N}}{{\text{H}}_3}{\text{ added}}) = {\text{n(HCl)}}\))
\([{\text{NH}}_4^ + ] = \frac{{0.500 \times 0.0250}}{{0.0333}} = 0.375{\text{ (mol}}\,{\text{d}}{{\text{m}}^{ - 3}})\);
\({\text{(NH}}_4^ + {\text{(aq)}} \rightleftharpoons {\text{N}}{{\text{H}}_3}{\text{(aq)}} + {{\text{H}}^ + }{\text{(aq)}}/{\text{NH}}_4^ + {\text{(aq)}} + {{\text{H}}_2}{\text{O(l)}} \rightleftharpoons {\text{N}}{{\text{H}}_3}{\text{(aq)}} + {{\text{H}}_3}{{\text{O}}^ + }{\text{(aq)}}\)
\({\text{p}}{K_{\text{a}}}{\text{(NH}}_4^ + ) = 14 - {\text{p}}{K_{\text{b}}}{\text{(N}}{{\text{H}}_3}) = 14.00 - 4.75 = 9.25)\)
\({K_{\text{a}}} = \frac{{{\text{[N}}{{\text{H}}_3}{\text{(aq)][}}{{\text{H}}^ + }{\text{(aq)]}}}}{{{\text{[NH}}_4^ + {\text{(aq)]}}}} = 5.62 \times {10^{ - 10}}\);
\({\text{[}}{{\text{H}}^ + }{\text{(aq)]}} = \sqrt {5.62 \times {{10}^{ - 10}} \times 0.375} = 1.45 \times {10^{ - 5}}{\text{ (mol}}\,{\text{d}}{{\text{m}}^{ - 3}}{\text{)}}\);
\({\text{pH}} = 4.84\);
Award [4] for the correct final answer.
bromocresol green / methyl red;
ECF for answer in 7(c)(v) if pH given is below 7.
Examiners report
The construction and use of equilibrium expressions for \({K_{\text{c}}}\) showed good understanding. The prediction of the effect of increasing pressure on the position of equilibria by applying Le Chatelier’s principle was good, but the fact that \({K_{\text{c}}}\) remains constant at fixed temperatures was less well known.
pH calculations in c(i), c(ii) and c(v) tended to be very good or completely incorrect.
The construction and use of equilibrium expressions for \({K_{\text{c}}}\) showed good understanding. The prediction of the effect of increasing pressure on the position of equilibria by applying Le Chatelier’s principle was good, but the fact that \({K_{\text{c}}}\) remains constant at fixed temperatures was less well known.
pH calculations in c(i), c(ii) and c(v) tended to be very good or completely incorrect.
The construction and use of equilibrium expressions for \({K_{\text{c}}}\) showed good understanding. The prediction of the effect of increasing pressure on the position of equilibria by applying Le Chatelier’s principle was good, but the fact that \({K_{\text{c}}}\) remains constant at fixed temperatures was less well known.
pH calculations in c(i), c(ii) and c(v) tended to be very good or completely incorrect.
The construction and use of equilibrium expressions for \({K_{\text{c}}}\) showed good understanding. The prediction of the effect of increasing pressure on the position of equilibria by applying Le Chatelier’s principle was good, but the fact that \({K_{\text{c}}}\) remains constant at fixed temperatures was less well known.
pH calculations in c(i), c(ii) and c(v) tended to be very good or completely incorrect.
The construction and use of equilibrium expressions for \({K_{\text{c}}}\) showed good understanding. The prediction of the effect of increasing pressure on the position of equilibria by applying Le Chatelier’s principle was good, but the fact that \({K_{\text{c}}}\) remains constant at fixed temperatures was less well known.
pH calculations in c(i), c(ii) and c(v) tended to be very good or completely incorrect.
The construction and use of equilibrium expressions for \({K_{\text{c}}}\) showed good understanding. The prediction of the effect of increasing pressure on the position of equilibria by applying Le Chatelier’s principle was good, but the fact that \({K_{\text{c}}}\) remains constant at fixed temperatures was less well known.
pH calculations in c(i), c(ii) and c(v) tended to be very good or completely incorrect.
The construction and use of equilibrium expressions for \({K_{\text{c}}}\) showed good understanding. The prediction of the effect of increasing pressure on the position of equilibria by applying Le Chatelier’s principle was good, but the fact that \({K_{\text{c}}}\) remains constant at fixed temperatures was less well known.
pH calculations in c(i), c(ii) and c(v) tended to be very good or completely incorrect.
The construction and use of equilibrium expressions for \({K_{\text{c}}}\) showed good understanding. The prediction of the effect of increasing pressure on the position of equilibria by applying Le Chatelier’s principle was good, but the fact that \({K_{\text{c}}}\) remains constant at fixed temperatures was less well known.
pH calculations in c(i), c(ii) and c(v) tended to be very good or completely incorrect.
A group of students investigated the rate of the reaction between aqueous sodium thiosulfate and hydrochloric acid according to the equation below.
\[{\text{N}}{{\text{a}}_2}{{\text{S}}_2}{{\text{O}}_3}{\text{(aq)}} + {\text{2HCl(aq)}} \to {\text{2NaCl(aq)}} + {\text{S}}{{\text{O}}_2}{\text{(g)}} + {\text{S(s)}} + {{\text{H}}_2}{\text{O(l )}}\]
The two reagents were rapidly mixed together in a beaker and placed over a mark on a piece of paper. The time taken for the precipitate of sulfur to obscure the mark when viewed through the reaction mixture was recorded.

Initially they measured out \({\text{10.0 c}}{{\text{m}}^{\text{3}}}\) of \({\text{0.500 mol}}\,{\text{d}}{{\text{m}}^{ - 3}}\) hydrochloric acid and then added \({\text{40.0 c}}{{\text{m}}^{\text{3}}}\) of \({\text{0.0200 mol}}\,{\text{d}}{{\text{m}}^{ - 3}}\) aqueous sodium thiosulfate. The mark on the paper was obscured 47 seconds after the solutions were mixed.
One proposed mechanism for this reaction is:
\({{\text{S}}_2}{\text{O}}_3^{2 - }{\text{(aq)}} + {{\text{H}}^ + }{\text{(aq)}} \rightleftharpoons {\text{H}}{{\text{S}}_2}{\text{O}}_3^ - {\text{(aq)}}\) Fast
\({\text{H}}{{\text{S}}_2}{\text{O}}_3^ - {\text{(aq)}} + {{\text{H}}^ + }{\text{(aq)}} \to {\text{S}}{{\text{O}}_2}{\text{(g)}} + {\text{S(s)}} + {{\text{H}}_2}{\text{O(l)}}\) Slow
The teacher asked the students to devise another technique to measure the rate of this reaction.
Another group suggested collecting the sulfur dioxide and drawing a graph of the volume of gas against time.
(i) State the volumes of the liquids that should be mixed.

(ii) State why it is important that the students use a similar beaker for both reactions.
(iii) If the reaction were first order with respect to the thiosulfate ion, predict the time it would take for the mark on the paper to be obscured when the concentration of sodium thiosulfate solution is halved.
(i) Deduce the rate expression of this mechanism.
(ii) The results of an experiment investigating the effect of the concentration of hydrochloric acid on the rate, while keeping the concentration of thiosulfate at the original value, are given in the table below.

On the axes provided, draw an appropriate graph to investigate the order of the reaction with respect to hydrochloric acid.

(iii) Identify two ways in which these data do not support the rate expression deduced in part (i).
(i) Sketch and label, indicating an approximate activation energy, the Maxwell–Boltzmann energy distribution curves for two temperatures, \({T_1}\) and \(T2{\text{ }}({T_2} > {T_1})\), at which the rate of reaction would be significantly different.

(ii) Explain why increasing the temperature of the reaction mixture would significantly increase the rate of the reaction.
(i) One group suggested recording how long it takes for the pH of the solution to change by one unit. Calculate the initial pH of the original reaction mixture.
(ii) Deduce the percentage of hydrochloric acid that would have to be used up for the pH to change by one unit.
Calculate the volume of sulfur dioxide, in \({\text{c}}{{\text{m}}^{\text{3}}}\), that the original reaction mixture would produce if it were collected at \(1.00 \times {10^5}{\text{ Pa}}\) and 300 K.
Sulfur dioxide, a major cause of acid rain, is quite soluble in water and the equilibrium shown below is established.
\({\text{S}}{{\text{O}}_2}{\text{(aq)}} + {{\text{H}}_2}{\text{O(l)}} \rightleftharpoons {\text{HSO}}_3^ - {\text{(aq)}} + {{\text{H}}^ + }{\text{(aq)}}\)
Given that the \({K_{\text{a}}}\) for this equilibrium is \(1.25 \times {10^{ - 2}}{\text{ mol}}\,{\text{d}}{{\text{m}}^{ - 3}}\), determine the pH of a \(2.00{\text{ mol}}\,{\text{d}}{{\text{m}}^{ - 3}}\) solution of sulfur dioxide.
Using Table 15 of the Data Booklet, identify an organic acid that is a stronger acid than sulfur dioxide.
Markscheme
(i)
;
Accept other volumes in a 1:2:2 ratio.
(ii) depth of liquid in the beaker must remain constant / OWTTE;
Accept “same thickness of glass” and any other valid point, such as answers framed around minimizing uncontrolled variables / making it a “fair test”.
(iii) 94 (s) / 1 min 34 s;
(i) \({\text{rate}} = k{\text{[}}{{\text{S}}_{\text{2}}}{\text{O}}_3^{2 - }{\text{][}}{{\text{H}}^ + }{{\text{]}}^2}/{\text{rate}} = k{\text{[N}}{{\text{a}}_2}{{\text{S}}_2}{{\text{O}}_3}{\text{][HCl}}{{\text{]}}^2}\);
(ii) 
correct scale and units on y-axis;
Accept other suitable scales (such as 1/t) and units (such as ms–1).
Axes do not have to show origin/start at zero.
correct calculation of rate in \({s^{ - 1}}\);

If graph correct, assume this has been done on calculator and not written down.
correct plotting of points that the student decides to use and a connecting line;
Award final mark if 3 or more points are correct, irrespective of what is plotted on y-axis.
If line goes through the correct values at given concentrations of HCl, assume that points are marked there.
(iii) linear dependence on [HCl] (so not second order in \({\text{[}}{{\text{H}}^ + }{\text{]}}\));
Accept that doubling of concentration does not result in quadrupling of rate / OWTTE.
does not go through origin;
Remember to allow ECF from (b) (i).
(i) 
labelled y-axis: number of particles / probability of particles (with that kinetic energy) and labelled x-axis: (kinetic) energy;
Allow fraction/proportion/amount of particles (with kinetic energy) for y-axis label.
Allow speed/velocity for x-axis label.
\({T_2}\) curve broader and with maximum lower and to right of \({T_1}\) curve;
Do not award this mark if both curves not asymmetric.
Curves must pass through the origin and be asymptotic to x axis.
Do not award this mark if curves not labelled.
\({E_{\text{a}}}\) marked on graph;
(ii) kinetic energy of molecules increases;
This may be answered implicitly in the final marking point.
frequency of collision/number of collisions per unit time increases;
Do not accept “number of collisions increases”.
greater proportion of molecules have energy greater than/equal to activation energy / rate related to temperature by the Arrhenius equation;
Award [1 max] for statements such as “there will be more successful collisions” if neither of last two marking points awarded.
(i) \({\text{[}}{{\text{H}}^ + }{\text{]}} = 0.5 \times \frac{{10}}{{50}} = 0.1{\text{ (mol}}\,{\text{d}}{{\text{m}}^{ - 3}}{\text{)}}\);
\({\text{pH (}} = - \log {\text{[H}}{{\text{r}}^ + }{\text{]}} = - \log (0.10)) = 1\);
(ii) 90%;
\({\text{mol N}}{{\text{a}}_{\text{2}}}{{\text{S}}_{\text{2}}}{{\text{O}}_{\text{3}}} = {\text{mol S}}{{\text{O}}_{\text{2}}} = 0.0400 \times 0.0200 = 0.000800\);
\(V = \frac{{n \times R \times T}}{p}/\frac{{0.000800 \times 8.31 \times 300}}{{{{10}^5}}}\);
\((1.99 \times {10^{ - 5}}{\text{ }}{{\text{m}}^3}) = 19.9{\text{ }}({\text{c}}{{\text{m}}^3})\);
Note that two errors involving a factor of 1000 can also produce the correct answer. If this is the case award [1] not [3].
Accept 20.0 cm3 if R =8.314 is used.
Award [2] for 17.9 cm3 or 19.2 cm3 (result from using molar volume at standard temperature and pressure or at room temperature and pressure).
OR
\({\text{mol N}}{{\text{a}}_2}{{\text{S}}_2}{{\text{O}}_3} = {\text{mol S}}{{\text{O}}_2} = 0.0400 \times 0.0200 = 0.000800\);
\(V = 0.00080 \times 2.24 \times {10^{ - 2}} \times \left[ {\frac{{1.00 \times {{10}^5}}}{{1.01 \times {{10}^5}}}} \right] \times \frac{{300}}{{273}}\);
\((1.95 \times {10^{ - 5}}{\text{ }}{{\text{m}}^3}) = 19.5{\text{ }}({\text{c}}{{\text{m}}^3})\);
Note that two errors involving a factor of 1000 can also produce the correct answer. If this is the case award [1] not [3].
Deduct [1] for answers based on amount of HCl, so correct calculation would score [2 max].
\({K_{\text{a}}} = \frac{{{\text{[}}{{\text{H}}^ + }{\text{][HSO}}_3^ - {\text{]}}}}{{{\text{[}}{{\text{H}}_2}{\text{S}}{{\text{O}}_3}{\text{]}}}} = \frac{{{x^2}}}{{2 - x}} \approx \frac{{{x^2}}}{2} \approx 1.25 \times {10^{ - 2}}{\text{ (mol}}\,{\text{d}}{{\text{m}}^{ - 3}}{\text{)}}\);
\({\text{[}}{{\text{H}}^ + }{\text{]}} = \sqrt {2.50 \times {{10}^{ - 2}}} = 0.158{\text{ }}({\text{mol}}\,{\text{d}}{{\text{m}}^{ - 3}})\);
\({\text{pH}} = - \log (0.158) = 0.80\);
Award [3] for correct final answer.
dichloroethanoic acid / trichloroethanoic acid / 2,4,6-trinitrophenol;
Examiners report
This was quite a popular question, though generally not well answered. In the first part students again appeared to display a lack of expertise in a practical context with very few able to devise a mixture that would halve the concentration of thiosulfate, whilst keeping other concentrations constant, and answers predicting that this would halve the reaction time were far more commonly encountered than those doubling it. Many candidates did however suggest valid reasons why the reaction vessel should remain unchanged and a significant number of students were able to correctly deduce the rate equation that the mechanism given would predict. Again a lack of ability to interpret experimental data was evident in the fact that it was very rare to find students who realised that a graph of (time)-1 against concentration was required to be able to deduce the reaction order, with almost all simply plotting time-concentration graphs and, as a result, very few could evaluate the mechanism in the light of the experimental data. Part (c) was a fairly standard question on the effect of temperature on reaction rate, hence it was a surprise that students did not score better on it, with many of the oft repeated mistakes (number of collisions rather than collision frequency) again coming to the surface. Again it was probably inability to interpret experimental data that led to only very few students being able to correctly state the initial pH of the mixture (I am certain almost all would have gained the mark if the pH of \({\text{ 0.1 mol}}\,{\text{d}}{{\text{m}}^{ - 3}}\) HCl had been asked for) and the percentage that would have to be consumed to increase the pH by one unit (which is independent of the previous answer) proved too much for almost all candidates. In part (e) most students could quote and substitute into the ideal gas equation, but converting from \({{\text{m}}^3}\) to \({\text{c}}{{\text{m}}^3}\) posed a problem for most candidates. Quite a number of candidates were however able to calculate the pH of the sulfur dioxide solution and identify a stronger acid.
This was quite a popular question, though generally not well answered. In the first part students again appeared to display a lack of expertise in a practical context with very few able to devise a mixture that would halve the concentration of thiosulfate, whilst keeping other concentrations constant, and answers predicting that this would halve the reaction time were far more commonly encountered than those doubling it. Many candidates did however suggest valid reasons why the reaction vessel should remain unchanged and a significant number of students were able to correctly deduce the rate equation that the mechanism given would predict. Again a lack of ability to interpret experimental data was evident in the fact that it was very rare to find students who realised that a graph of (time)-1 against concentration was required to be able to deduce the reaction order, with almost all simply plotting time-concentration graphs and, as a result, very few could evaluate the mechanism in the light of the experimental data. Part (c) was a fairly standard question on the effect of temperature on reaction rate, hence it was a surprise that students did not score better on it, with many of the oft repeated mistakes (number of collisions rather than collision frequency) again coming to the surface. Again it was probably inability to interpret experimental data that led to only very few students being able to correctly state the initial pH of the mixture (I am certain almost all would have gained the mark if the pH of \({\text{ 0.1 mol}}\,{\text{d}}{{\text{m}}^{ - 3}}\) HCl had been asked for) and the percentage that would have to be consumed to increase the pH by one unit (which is independent of the previous answer) proved too much for almost all candidates. In part (e) most students could quote and substitute into the ideal gas equation, but converting from \({{\text{m}}^3}\) to \({\text{c}}{{\text{m}}^3}\) posed a problem for most candidates. Quite a number of candidates were however able to calculate the pH of the sulfur dioxide solution and identify a stronger acid.
This was quite a popular question, though generally not well answered. In the first part students again appeared to display a lack of expertise in a practical context with very few able to devise a mixture that would halve the concentration of thiosulfate, whilst keeping other concentrations constant, and answers predicting that this would halve the reaction time were far more commonly encountered than those doubling it. Many candidates did however suggest valid reasons why the reaction vessel should remain unchanged and a significant number of students were able to correctly deduce the rate equation that the mechanism given would predict. Again a lack of ability to interpret experimental data was evident in the fact that it was very rare to find students who realised that a graph of (time)-1 against concentration was required to be able to deduce the reaction order, with almost all simply plotting time-concentration graphs and, as a result, very few could evaluate the mechanism in the light of the experimental data. Part (c) was a fairly standard question on the effect of temperature on reaction rate, hence it was a surprise that students did not score better on it, with many of the oft repeated mistakes (number of collisions rather than collision frequency) again coming to the surface. Again it was probably inability to interpret experimental data that led to only very few students being able to correctly state the initial pH of the mixture (I am certain almost all would have gained the mark if the pH of \({\text{ 0.1 mol}}\,{\text{d}}{{\text{m}}^{ - 3}}\) HCl had been asked for) and the percentage that would have to be consumed to increase the pH by one unit (which is independent of the previous answer) proved too much for almost all candidates. In part (e) most students could quote and substitute into the ideal gas equation, but converting from \({{\text{m}}^3}\) to \({\text{c}}{{\text{m}}^3}\) posed a problem for most candidates. Quite a number of candidates were however able to calculate the pH of the sulfur dioxide solution and identify a stronger acid.
This was quite a popular question, though generally not well answered. In the first part students again appeared to display a lack of expertise in a practical context with very few able to devise a mixture that would halve the concentration of thiosulfate, whilst keeping other concentrations constant, and answers predicting that this would halve the reaction time were far more commonly encountered than those doubling it. Many candidates did however suggest valid reasons why the reaction vessel should remain unchanged and a significant number of students were able to correctly deduce the rate equation that the mechanism given would predict. Again a lack of ability to interpret experimental data was evident in the fact that it was very rare to find students who realised that a graph of (time)-1 against concentration was required to be able to deduce the reaction order, with almost all simply plotting time-concentration graphs and, as a result, very few could evaluate the mechanism in the light of the experimental data. Part (c) was a fairly standard question on the effect of temperature on reaction rate, hence it was a surprise that students did not score better on it, with many of the oft repeated mistakes (number of collisions rather than collision frequency) again coming to the surface. Again it was probably inability to interpret experimental data that led to only very few students being able to correctly state the initial pH of the mixture (I am certain almost all would have gained the mark if the pH of \({\text{ 0.1 mol}}\,{\text{d}}{{\text{m}}^{ - 3}}\) HCl had been asked for) and the percentage that would have to be consumed to increase the pH by one unit (which is independent of the previous answer) proved too much for almost all candidates. In part (e) most students could quote and substitute into the ideal gas equation, but converting from \({{\text{m}}^3}\) to \({\text{c}}{{\text{m}}^3}\) posed a problem for most candidates. Quite a number of candidates were however able to calculate the pH of the sulfur dioxide solution and identify a stronger acid.
This was quite a popular question, though generally not well answered. In the first part students again appeared to display a lack of expertise in a practical context with very few able to devise a mixture that would halve the concentration of thiosulfate, whilst keeping other concentrations constant, and answers predicting that this would halve the reaction time were far more commonly encountered than those doubling it. Many candidates did however suggest valid reasons why the reaction vessel should remain unchanged and a significant number of students were able to correctly deduce the rate equation that the mechanism given would predict. Again a lack of ability to interpret experimental data was evident in the fact that it was very rare to find students who realised that a graph of (time)-1 against concentration was required to be able to deduce the reaction order, with almost all simply plotting time-concentration graphs and, as a result, very few could evaluate the mechanism in the light of the experimental data. Part (c) was a fairly standard question on the effect of temperature on reaction rate, hence it was a surprise that students did not score better on it, with many of the oft repeated mistakes (number of collisions rather than collision frequency) again coming to the surface. Again it was probably inability to interpret experimental data that led to only very few students being able to correctly state the initial pH of the mixture (I am certain almost all would have gained the mark if the pH of \({\text{ 0.1 mol}}\,{\text{d}}{{\text{m}}^{ - 3}}\) HCl had been asked for) and the percentage that would have to be consumed to increase the pH by one unit (which is independent of the previous answer) proved too much for almost all candidates. In part (e) most students could quote and substitute into the ideal gas equation, but converting from \({{\text{m}}^3}\) to \({\text{c}}{{\text{m}}^3}\) posed a problem for most candidates. Quite a number of candidates were however able to calculate the pH of the sulfur dioxide solution and identify a stronger acid.
This was quite a popular question, though generally not well answered. In the first part students again appeared to display a lack of expertise in a practical context with very few able to devise a mixture that would halve the concentration of thiosulfate, whilst keeping other concentrations constant, and answers predicting that this would halve the reaction time were far more commonly encountered than those doubling it. Many candidates did however suggest valid reasons why the reaction vessel should remain unchanged and a significant number of students were able to correctly deduce the rate equation that the mechanism given would predict. Again a lack of ability to interpret experimental data was evident in the fact that it was very rare to find students who realised that a graph of (time)-1 against concentration was required to be able to deduce the reaction order, with almost all simply plotting time-concentration graphs and, as a result, very few could evaluate the mechanism in the light of the experimental data. Part (c) was a fairly standard question on the effect of temperature on reaction rate, hence it was a surprise that students did not score better on it, with many of the oft repeated mistakes (number of collisions rather than collision frequency) again coming to the surface. Again it was probably inability to interpret experimental data that led to only very few students being able to correctly state the initial pH of the mixture (I am certain almost all would have gained the mark if the pH of \({\text{ 0.1 mol}}\,{\text{d}}{{\text{m}}^{ - 3}}\) HCl had been asked for) and the percentage that would have to be consumed to increase the pH by one unit (which is independent of the previous answer) proved too much for almost all candidates. In part (e) most students could quote and substitute into the ideal gas equation, but converting from \({{\text{m}}^3}\) to \({\text{c}}{{\text{m}}^3}\) posed a problem for most candidates. Quite a number of candidates were however able to calculate the pH of the sulfur dioxide solution and identify a stronger acid.
This was quite a popular question, though generally not well answered. In the first part students again appeared to display a lack of expertise in a practical context with very few able to devise a mixture that would halve the concentration of thiosulfate, whilst keeping other concentrations constant, and answers predicting that this would halve the reaction time were far more commonly encountered than those doubling it. Many candidates did however suggest valid reasons why the reaction vessel should remain unchanged and a significant number of students were able to correctly deduce the rate equation that the mechanism given would predict. Again a lack of ability to interpret experimental data was evident in the fact that it was very rare to find students who realised that a graph of (time)-1 against concentration was required to be able to deduce the reaction order, with almost all simply plotting time-concentration graphs and, as a result, very few could evaluate the mechanism in the light of the experimental data. Part (c) was a fairly standard question on the effect of temperature on reaction rate, hence it was a surprise that students did not score better on it, with many of the oft repeated mistakes (number of collisions rather than collision frequency) again coming to the surface. Again it was probably inability to interpret experimental data that led to only very few students being able to correctly state the initial pH of the mixture (I am certain almost all would have gained the mark if the pH of \({\text{ 0.1 mol}}\,{\text{d}}{{\text{m}}^{ - 3}}\) HCl had been asked for) and the percentage that would have to be consumed to increase the pH by one unit (which is independent of the previous answer) proved too much for almost all candidates. In part (e) most students could quote and substitute into the ideal gas equation, but converting from \({{\text{m}}^3}\) to \({\text{c}}{{\text{m}}^3}\) posed a problem for most candidates. Quite a number of candidates were however able to calculate the pH of the sulfur dioxide solution and identify a stronger acid.
Antimony, Sb, forms a fluoride, \({\text{Sb}}{{\text{F}}_{\text{5}}}\).
The equilibrium that occurs when antimony(V) fluoride is dissolved in liquid hydrogen fluoride can be represented by the equation below.
\[{\text{Sb}}{{\text{F}}_5}{\text{(s)}} + {\text{2HF(l)}} \rightleftharpoons {\text{SbF}}_6^ - {\text{(sol)}} + {{\text{H}}_2}{{\text{F}}^ + }{\text{(sol)}}\]
Outline how the following factors account for the fact that HCl is a strong acid and HF is a weak acid.
Some students were provided with a \({\text{0.100 mol}}\,{\text{d}}{{\text{m}}^{ - 3}}\) solution of a monobasic acid, HQ, and given the problem of determining whether HQ was a weak acid or a strong acid.
The second problem set for the students was to determine the acid dissociation constant, \({K_{\text{a}}}\), of the acid HQ and its \({\text{p}}{K_{\text{a}}}\).
State the element that you would expect to have chemical properties most similar to those of antimony.
Describe the relationship between \({\text{Sb}}{{\text{F}}_{\text{5}}}\) and \({\text{SbF}}_6^ - \) in terms of the Lewis theory of acids.
Explain the behaviour of HF in terms of the Brønsted–Lowry theory of acids.
The strength of the hydrogen–halogen bond.
The interaction between an undissociated hydrogen halide molecule and a water molecule.
Neelu and Charles decided to solve the problem by determining the volume of \({\text{0.100 mol}}\,{\text{d}}{{\text{m}}^{ - 3}}\) sodium hydroxide solution needed to neutralize \({\text{25.0 c}}{{\text{m}}^{\text{3}}}\) of the acid. Outline whether this was a good choice.
Identify one indicator that could be used when titrating aqueous sodium hydroxide with both a strong acid and a weak acid, and outline the reason for your choice.
Indicator:
Reason:
Neelu and Charles decided to compare the volume of sodium hydroxide solution needed with those required by known \({\text{0.100 mol}}\,{\text{d}}{{\text{m}}^{ - 3}}\) strong and weak acids. Unfortunately they chose sulfuric acid as the strong acid. Outline why this was an unsuitable choice.
Francisco and Shamiso decided to measure the pH of the initial solution, HQ, and they found that its pH was 3.7. Deduce, giving a reason, the strength (weak or strong) of the acid HQ.
Explain how the \({\text{p}}{K_{\text{a}}}\) could be determined from a graph of pH against the volume of \({\text{0.100 mol}}\,{\text{d}}{{\text{m}}^{ - 3}}\) sodium hydroxide added.
Francisco and Shamiso found that the pH of the initial \({\text{0.100 mol}}\,{\text{d}}{{\text{m}}^{ - 3}}\) solution was 3.7. However, this reading was inaccurate because they forgot to wash the pH probe. Calculate the \({\text{p}}{K_{\text{a}}}\) of HQ using the reading they obtained.
Markscheme
arsenic/As;
Accept bismuth/Bi.
\({\text{Sb}}{{\text{F}}_{\text{5}}}\) accepts an electron pair (from \({{\text{F}}^ - }\)) / \({\text{SbF}}_6^ - \) donates an electron pair (to \(H_2F^ +\));
\({\text{Sb}}{{\text{F}}_{\text{5}}}\) acts as a Lewis acid / \({\text{SbF}}_6^ - \) acts as a Lewis base;
one HF donates a \({{\text{H}}^ + }\)/proton and the other accepts a \({{\text{H}}^ + }\)/proton;
HF acts as both a Brønsted–Lowry acid and a Brønsted–Lowry base;
Award [1 max] for correct description of HF acting as a Brønsted–Lowry acid or base.
H–F bond stronger than H–Cl bond / H–Cl bond weaker than H–F bond;
H–F can hydrogen bond to water and H–Cl cannot;
not a good choice / poor choice;
requires same volume of base / the amount/volume to react/for neutralization does not depend on the acid strength;
phenolphthalein / phenol red;
pH at equivalence point 7 or above;
Accept pH range for colour change/end-point corresponds to rapid change in pH.
sulfuric acid is diprotic/dibasic/liberates two protons/\({{\text{H}}^ + }\);
Accept “reacts with 2 moles of alkali/base”.
weak;
strong \({\text{0.100 mol}}\,{\text{d}}{{\text{m}}^{ - 3}}\) acid has a pH of 1/lower than that observed;
Accept “pH value of 3.7 means that it produces only 10–3.7/2.0 \( \times \) 10–4 [H+] in water”.
when volume of alkali is half equivalence volume/volume required for neutralization;
\({\text{p}}{K_{\text{a}}}\) is equal to the pH;
\([{{\text{H}}^ + }] = {10^{ - 3.7}} = 2.00 \times {10^{ - 4}}{\text{ }}({\text{mol}}\,{\text{d}}{{\text{m}}^{ - 3}})\);
\({K_{\text{a}}} = \frac{{[{{\text{H}}^ + }][{{\text{Q}}^ - }]}}{{[{\text{HQ}}]}} = \frac{{{{(2.00 \times {{10}^{ - 4}})}^2}}}{{0.100}}\);
\( = 3.98 \times {10^{ - 7}}\);
\({\text{p}}{K_{\text{a}}} = 6.4\);
Award [4] for correct final answer.
Examiners report
Most students could identify an element which would be expected to have similar properties to antimony and the reaction between its fluoride and hydrogen fluoride was generally well interpreted in terms of acid-base theories, though hardly any students realized that HF is acting as both a base (to give \({{\text{H}}_{\text{2}}}{{\text{F}}^ + }\)) and an acid (to give \({{\text{F}}^ - }\) which complexes with \({\text{As}}{{\text{F}}_{\text{5}}}\)). The significance of the strength of the hydrogen-halogen bond on the strength of the hydrogen halides was often appreciated though very few seemed to realize that HF hydrogen bonds to water whereas HCl does not. Many students think that weak acids require a smaller volume of alkali for neutralization than strong acids of equal concentration, though most could correctly identify an appropriate indicator for the titration and justify their choice. Most realized that sulfuric acid was dibasic, were aware of the significance of the pH at the half equivalence point and correctly identified HQ as a weak acid, though justifying this proved more of a challenge. Quite a few students gained full credit the calculation of the \({\text{p}}{K_{\text{a}}}\) from the initial pH and many gained some marks for the calculation of the pH of the buffer system.
Most students could identify an element which would be expected to have similar properties to antimony and the reaction between its fluoride and hydrogen fluoride was generally well interpreted in terms of acid-base theories, though hardly any students realized that HF is acting as both a base (to give \({{\text{H}}_{\text{2}}}{{\text{F}}^ + }\)) and an acid (to give \({{\text{F}}^ - }\) which complexes with \({\text{As}}{{\text{F}}_{\text{5}}}\)). The significance of the strength of the hydrogen-halogen bond on the strength of the hydrogen halides was often appreciated though very few seemed to realize that HF hydrogen bonds to water whereas HCl does not. Many students think that weak acids require a smaller volume of alkali for neutralization than strong acids of equal concentration, though most could correctly identify an appropriate indicator for the titration and justify their choice. Most realized that sulfuric acid was dibasic, were aware of the significance of the pH at the half equivalence point and correctly identified HQ as a weak acid, though justifying this proved more of a challenge. Quite a few students gained full credit the calculation of the \({\text{p}}{K_{\text{a}}}\) from the initial pH and many gained some marks for the calculation of the pH of the buffer system.
Most students could identify an element which would be expected to have similar properties to antimony and the reaction between its fluoride and hydrogen fluoride was generally well interpreted in terms of acid-base theories, though hardly any students realized that HF is acting as both a base (to give \({{\text{H}}_{\text{2}}}{{\text{F}}^ + }\)) and an acid (to give \({{\text{F}}^ - }\) which complexes with \({\text{As}}{{\text{F}}_{\text{5}}}\)). The significance of the strength of the hydrogen-halogen bond on the strength of the hydrogen halides was often appreciated though very few seemed to realize that HF hydrogen bonds to water whereas HCl does not. Many students think that weak acids require a smaller volume of alkali for neutralization than strong acids of equal concentration, though most could correctly identify an appropriate indicator for the titration and justify their choice. Most realized that sulfuric acid was dibasic, were aware of the significance of the pH at the half equivalence point and correctly identified HQ as a weak acid, though justifying this proved more of a challenge. Quite a few students gained full credit the calculation of the \({\text{p}}{K_{\text{a}}}\) from the initial pH and many gained some marks for the calculation of the pH of the buffer system.
Most students could identify an element which would be expected to have similar properties to antimony and the reaction between its fluoride and hydrogen fluoride was generally well interpreted in terms of acid-base theories, though hardly any students realized that HF is acting as both a base (to give \({{\text{H}}_{\text{2}}}{{\text{F}}^ + }\)) and an acid (to give \({{\text{F}}^ - }\) which complexes with \({\text{As}}{{\text{F}}_{\text{5}}}\)). The significance of the strength of the hydrogen-halogen bond on the strength of the hydrogen halides was often appreciated though very few seemed to realize that HF hydrogen bonds to water whereas HCl does not. Many students think that weak acids require a smaller volume of alkali for neutralization than strong acids of equal concentration, though most could correctly identify an appropriate indicator for the titration and justify their choice. Most realized that sulfuric acid was dibasic, were aware of the significance of the pH at the half equivalence point and correctly identified HQ as a weak acid, though justifying this proved more of a challenge. Quite a few students gained full credit the calculation of the \({\text{p}}{K_{\text{a}}}\) from the initial pH and many gained some marks for the calculation of the pH of the buffer system.
Most students could identify an element which would be expected to have similar properties to antimony and the reaction between its fluoride and hydrogen fluoride was generally well interpreted in terms of acid-base theories, though hardly any students realized that HF is acting as both a base (to give \({{\text{H}}_{\text{2}}}{{\text{F}}^ + }\)) and an acid (to give \({{\text{F}}^ - }\) which complexes with \({\text{As}}{{\text{F}}_{\text{5}}}\)). The significance of the strength of the hydrogen-halogen bond on the strength of the hydrogen halides was often appreciated though very few seemed to realize that HF hydrogen bonds to water whereas HCl does not. Many students think that weak acids require a smaller volume of alkali for neutralization than strong acids of equal concentration, though most could correctly identify an appropriate indicator for the titration and justify their choice. Most realized that sulfuric acid was dibasic, were aware of the significance of the pH at the half equivalence point and correctly identified HQ as a weak acid, though justifying this proved more of a challenge. Quite a few students gained full credit the calculation of the \({\text{p}}{K_{\text{a}}}\) from the initial pH and many gained some marks for the calculation of the pH of the buffer system.
Most students could identify an element which would be expected to have similar properties to antimony and the reaction between its fluoride and hydrogen fluoride was generally well interpreted in terms of acid-base theories, though hardly any students realized that HF is acting as both a base (to give \({{\text{H}}_{\text{2}}}{{\text{F}}^ + }\)) and an acid (to give \({{\text{F}}^ - }\) which complexes with \({\text{As}}{{\text{F}}_{\text{5}}}\)). The significance of the strength of the hydrogen-halogen bond on the strength of the hydrogen halides was often appreciated though very few seemed to realize that HF hydrogen bonds to water whereas HCl does not. Many students think that weak acids require a smaller volume of alkali for neutralization than strong acids of equal concentration, though most could correctly identify an appropriate indicator for the titration and justify their choice. Most realized that sulfuric acid was dibasic, were aware of the significance of the pH at the half equivalence point and correctly identified HQ as a weak acid, though justifying this proved more of a challenge. Quite a few students gained full credit the calculation of the \({\text{p}}{K_{\text{a}}}\) from the initial pH and many gained some marks for the calculation of the pH of the buffer system.
Most students could identify an element which would be expected to have similar properties to antimony and the reaction between its fluoride and hydrogen fluoride was generally well interpreted in terms of acid-base theories, though hardly any students realized that HF is acting as both a base (to give \({{\text{H}}_{\text{2}}}{{\text{F}}^ + }\)) and an acid (to give \({{\text{F}}^ - }\) which complexes with \({\text{As}}{{\text{F}}_{\text{5}}}\)). The significance of the strength of the hydrogen-halogen bond on the strength of the hydrogen halides was often appreciated though very few seemed to realize that HF hydrogen bonds to water whereas HCl does not. Many students think that weak acids require a smaller volume of alkali for neutralization than strong acids of equal concentration, though most could correctly identify an appropriate indicator for the titration and justify their choice. Most realized that sulfuric acid was dibasic, were aware of the significance of the pH at the half equivalence point and correctly identified HQ as a weak acid, though justifying this proved more of a challenge. Quite a few students gained full credit the calculation of the \({\text{p}}{K_{\text{a}}}\) from the initial pH and many gained some marks for the calculation of the pH of the buffer system.
Most students could identify an element which would be expected to have similar properties to antimony and the reaction between its fluoride and hydrogen fluoride was generally well interpreted in terms of acid-base theories, though hardly any students realized that HF is acting as both a base (to give \({{\text{H}}_{\text{2}}}{{\text{F}}^ + }\)) and an acid (to give \({{\text{F}}^ - }\) which complexes with \({\text{As}}{{\text{F}}_{\text{5}}}\)). The significance of the strength of the hydrogen-halogen bond on the strength of the hydrogen halides was often appreciated though very few seemed to realize that HF hydrogen bonds to water whereas HCl does not. Many students think that weak acids require a smaller volume of alkali for neutralization than strong acids of equal concentration, though most could correctly identify an appropriate indicator for the titration and justify their choice. Most realized that sulfuric acid was dibasic, were aware of the significance of the pH at the half equivalence point and correctly identified HQ as a weak acid, though justifying this proved more of a challenge. Quite a few students gained full credit the calculation of the \({\text{p}}{K_{\text{a}}}\) from the initial pH and many gained some marks for the calculation of the pH of the buffer system.
Most students could identify an element which would be expected to have similar properties to antimony and the reaction between its fluoride and hydrogen fluoride was generally well interpreted in terms of acid-base theories, though hardly any students realized that HF is acting as both a base (to give \({{\text{H}}_{\text{2}}}{{\text{F}}^ + }\)) and an acid (to give \({{\text{F}}^ - }\) which complexes with \({\text{As}}{{\text{F}}_{\text{5}}}\)). The significance of the strength of the hydrogen-halogen bond on the strength of the hydrogen halides was often appreciated though very few seemed to realize that HF hydrogen bonds to water whereas HCl does not. Many students think that weak acids require a smaller volume of alkali for neutralization than strong acids of equal concentration, though most could correctly identify an appropriate indicator for the titration and justify their choice. Most realized that sulfuric acid was dibasic, were aware of the significance of the pH at the half equivalence point and correctly identified HQ as a weak acid, though justifying this proved more of a challenge. Quite a few students gained full credit the calculation of the \({\text{p}}{K_{\text{a}}}\) from the initial pH and many gained some marks for the calculation of the pH of the buffer system.
Most students could identify an element which would be expected to have similar properties to antimony and the reaction between its fluoride and hydrogen fluoride was generally well interpreted in terms of acid-base theories, though hardly any students realized that HF is acting as both a base (to give \({{\text{H}}_{\text{2}}}{{\text{F}}^ + }\)) and an acid (to give \({{\text{F}}^ - }\) which complexes with \({\text{As}}{{\text{F}}_{\text{5}}}\)). The significance of the strength of the hydrogen-halogen bond on the strength of the hydrogen halides was often appreciated though very few seemed to realize that HF hydrogen bonds to water whereas HCl does not. Many students think that weak acids require a smaller volume of alkali for neutralization than strong acids of equal concentration, though most could correctly identify an appropriate indicator for the titration and justify their choice. Most realized that sulfuric acid was dibasic, were aware of the significance of the pH at the half equivalence point and correctly identified HQ as a weak acid, though justifying this proved more of a challenge. Quite a few students gained full credit the calculation of the \({\text{p}}{K_{\text{a}}}\) from the initial pH and many gained some marks for the calculation of the pH of the buffer system.
Most students could identify an element which would be expected to have similar properties to antimony and the reaction between its fluoride and hydrogen fluoride was generally well interpreted in terms of acid-base theories, though hardly any students realized that HF is acting as both a base (to give \({{\text{H}}_{\text{2}}}{{\text{F}}^ + }\)) and an acid (to give \({{\text{F}}^ - }\) which complexes with \({\text{As}}{{\text{F}}_{\text{5}}}\)). The significance of the strength of the hydrogen-halogen bond on the strength of the hydrogen halides was often appreciated though very few seemed to realize that HF hydrogen bonds to water whereas HCl does not. Many students think that weak acids require a smaller volume of alkali for neutralization than strong acids of equal concentration, though most could correctly identify an appropriate indicator for the titration and justify their choice. Most realized that sulfuric acid was dibasic, were aware of the significance of the pH at the half equivalence point and correctly identified HQ as a weak acid, though justifying this proved more of a challenge. Quite a few students gained full credit the calculation of the \({\text{p}}{K_{\text{a}}}\) from the initial pH and many gained some marks for the calculation of the pH of the buffer system.
Ammonia, \({\text{N}}{{\text{H}}_{\text{3}}}\), is a weak base. It has a \({\text{p}}{K_{\text{b}}}\) value of 4.75.
Salts may form neutral, acidic or alkaline solutions when dissolved in water.
Another weak base is nitrogen trifluoride, \({\text{N}}{{\text{F}}_{\text{3}}}\). Explain how \({\text{N}}{{\text{F}}_{\text{3}}}\) is able to function as a Lewis base.
Calculate the pH of a \({\text{1.00}} \times {\text{1}}{{\text{0}}^{ - 2}}{\text{ mol}}\,{\text{d}}{{\text{m}}^{ - 3}}\) aqueous solution of ammonia at 298 K.
\({\text{25.0 c}}{{\text{m}}^{\text{3}}}\) of \(1.00 \times {10^{ - 2}}{\text{ mol}}\,{\text{d}}{{\text{m}}^{ - 3}}\) hydrochloric acid solution is added to \({\text{50.0 c}}{{\text{m}}^{\text{3}}}\) of \({\text{1.00}} \times {\text{1}}{{\text{0}}^{ - 2}}{\text{ mol}}\,{\text{d}}{{\text{m}}^{ - 3}}\) aqueous ammonia solution. Calculate the concentrations of both ammonia and ammonium ions in the resulting solution and hence determine the pH of the solution.
State what is meant by a buffer solution and explain how the solution in (v), which contains ammonium chloride dissolved in aqueous ammonia, can function as a buffer solution.
State the equations for the reactions of sodium oxide, \({\text{N}}{{\text{a}}_{\text{2}}}{\text{O}}\), and phosphorus(V)oxide, \({{\text{P}}_{\text{4}}}{{\text{O}}_{{\text{10}}}}\), with water.
Markscheme
it can donate the lone/non-bonding pair of electrons (on the N atom);
\({K_{\text{b}}} = \frac{{{{{\text{[O}}{{\text{H}}^ - }{\text{]}}}^{\text{2}}}}}{{{\text{[N}}{{\text{H}}_{\text{3}}}{\text{]}}}} = {10^{ - 4.75}}/1.78 \times {10^{ - 5}}\);
\({\text{[O}}{{\text{H}}^ - }{\text{]}} = \sqrt {(1.00 \times {{10}^{ - 2}} \times {{10}^{ - 4.75}})} = 4.22 \times {10^{ - 4}}{\text{ (mol}}\,{\text{d}}{{\text{m}}^{ - 3}}{\text{)}}\);
\({\text{pOH}} = - {\log _{10}}(4.22 \times {10^{ - 4}}) = 3.37/[{{\text{H}}^ + }] = \frac{{1.00 \times {{10}^{ - 14}}}}{{4.22 \times {{10}^{ - 4}}}} = 2.37 \times {10^{ - 11}}\);
\({\text{pH}} = 14 - 3.37 = 10.6\);
Award [2 max] for correct final answer if no working shown.
initial amount of \({\text{HCl}} = \frac{{25.0}}{{1000}} \times 1.00 \times {10^{ - 2}} = 2.50 \times {10^{ - 4}}{\text{ mol}}\) and initial amount of \({\text{N}}{{\text{H}}_3}{\text{ = }}\frac{{50.0}}{{1000}} \times 1.00 \times {10^{ - 2}}{\text{ = }}5.00 \times {10^{ - 4}}{\text{ mol}}\);
final amount of \({\text{NH}}_4^ + \) and \({\text{N}}{{\text{H}}_3}\) both \( = 2.50 \times {10^{ - 4}}{\text{ mol}}\);
final \({\text{[NH}}_4^ + {\text{]}}\) and \({\text{[N}}{{\text{H}}_3}{\text{]}}\) both \( = \frac{{2.50 \times {{10}^{ - 4}}}}{{75.0 \times {{10}^{ - 3}}}} = 3.33 \times {10^{ - 3}}{\text{ mol}}\,{\text{d}}{{\text{m}}^{ - 3}}\);
\({\text{[O}}{{\text{H}}^ - }{\text{]}} = {K_{\text{b}}} \times \frac{{{\text{[N}}{{\text{H}}_{\text{3}}}{\text{]}}}}{{{\text{[NH}}_4^ + {\text{]}}}} = {K_{\text{b}}} = {10^{ - 4.75}}/1.78 \times {10^{ - 5}}\);
\({\text{pOH}} = 4.75\) hence \({\text{pH}} = 9.25\);
Award final two marking points if half-equivalence method used.
a buffer solution resists a change in pH when small amounts of acid or base are added to it;
Do not accept description in terms of composition of buffer.
when \({{\text{H}}^ + }\) is added it reacts with \({\text{N}}{{\text{H}}_3}\) to form \({\text{NH}}_4^ + \);
when \({\text{O}}{{\text{H}}^ - }\) is added it reacts with \({\text{NH}}_4^ + \) to form \({\text{N}}{{\text{H}}_3}\) and \({{\text{H}}_2}{\text{O}}\);
Accept equations for last two marking points.
\({\text{N}}{{\text{a}}_2}{\text{O}} + {{\text{H}}_2}{\text{O}} \to {\text{2N}}{{\text{a}}^ + } + {\text{2O}}{{\text{H}}^ - }/{\text{N}}{{\text{a}}_2}{\text{O}} + {{\text{H}}_2}{\text{O}} \to {\text{2NaOH}}\);
\({{\text{P}}_4}{{\text{O}}_{10}} + {\text{6}}{{\text{H}}_2}{\text{O}} \to {\text{4}}{{\text{H}}_3}{\text{P}}{{\text{O}}_4}\);
Ignore state symbols.
Examiners report
In (a) (iii) some candidate did not mention the need for a lone pair even though they had an understanding of the need for a pair of electrons when explaining the basic properties of nitrogen trifluoride.
Answers to (a) (iv) were encouraging with many candidates able to calculate the pH from the \({\text{p}}{K_{\text{b}}}\) value for ammonia.
The more difficult (a) (v) was only answered correctly by the strongest candidates and a significant number left it blank.
Some candidates lost marks in (a) (vi) as they did not explicitly state that buffers are resistant to changes of pH when small amounts of acid or base are added. Many also did not respond directly to the requirements of the question and explain the action of the specific buffer mixture of ammonia and ammonium chloride. Salt hydrolysis was poorly understood.
Most could give an equation for the reaction of sodium oxide with water but the formation of phosphoric (V) acid from phosphorus (V) oxide proved more problematic.
Some of the most important processes in chemistry involve acid-base reactions.
Calculate the \({K_{\text{a}}}\) value of benzoic acid, \({{\text{C}}_{\text{6}}}{{\text{H}}_{\text{5}}}{\text{COOH}}\), using Table 15 in the Data Booklet.
Based on its \({K_{\text{a}}}\) value, state and explain whether benzoic acid is a strong or weak acid.
Determine the hydrogen ion concentration and the pH of a \({\text{0.010 mol}}\,{\text{d}}{{\text{m}}^{ - 3}}\) benzoic acid solution. State one assumption made in your calculation.
Markscheme
\({K_{\text{a}}} = 6.310 \times {10^{ - 5}}/6.31 \times {10^{ - 5}}\);
Accept 6.3 \( \times \) 10–5.
weak (acid);
\({K_{\text{a}}} \ll 1/{\text{small }}{K_{\text{a}}}\);
\({\text{[}}{{\text{H}}_3}{{\text{O}}^ + }{\text{]}}/{\text{[}}{{\text{H}}^ + }{\text{]}} = \sqrt {{K_{\text{a}}} \times 0.010} \);
\({\text{[}}{{\text{H}}_3}{{\text{O}}^ + }{\text{]}}/{\text{[}}{{\text{H}}^ + }{\text{]}} = 7.9 \times {10^{ - 4}}{\text{ (mol}}\,{\text{d}}{{\text{m}}^{ - 3}}{\text{)}}\);
\({\text{pH}} = 3.10/3.1/3.12\);
Award [3] for correct final answer of pH.
assume \({\text{x}} \ll 0.010{\text{ (mol}}\,{\text{d}}{{\text{m}}^{ - 3}}{\text{)}}\) / ionization of water is insignificant / \({{\text{[}}{{\text{C}}_{\text{6}}}{{\text{H}}_{\text{5}}}{\text{COOH]}}_{{\text{initial}}}} = {{\text{[}}{{\text{C}}_{\text{6}}}{{\text{H}}_{\text{5}}}{\text{COOH]}}_{{\text{eq}}}}\) / temperature 25 °C /298 K;
Examiners report
Part (a) (i) proved to be a well known topic where only weaker candidates couldn’t finish the calculation.
For (ii) although a significant number of candidates knew that benzoic acid was a weak acid, only the better candidates explained this based on the fact that \({K_{\text{a}}}\) is \( \ll 1\).
Part (iii) was very well answered, but even the better candidates often forgot to state one assumption made in the calculation.
Hypochlorous acid, HOCl(aq), is an example of a weak acid.
A household bleach contains sodium hypochlorite, NaOCl(aq), at a concentration of \({\text{0.705 mol}}\,{\text{d}}{{\text{m}}^{ - 3}}\). The hypochlorite ion, \({\text{OC}}{{\text{l}}^ - }{\text{(aq)}}\) is a weak base.
\[{\text{OC}}{{\text{l}}^ - }{\text{(aq)}} + {{\text{H}}_2}{\text{O(l)}} \rightleftharpoons {\text{HOCl(aq)}} + {\text{O}}{{\text{H}}^ - }{\text{(aq)}}\]
State the expression for the ionic product constant of water, \({K_{\text{w}}}\).
The \({\text{p}}{K_{\text{a}}}\) value of HOCl(aq) is 7.52. Determine the \({K_{\text{b}}}\) value of \({\text{OC}}{{\text{l}}^ - }{\text{(aq)}}\) assuming a temperature of 298 K.
Determine the concentration of \({\text{O}}{{\text{H}}^ - }{\text{(aq)}}\), in \({\text{mol}}\,{\text{d}}{{\text{m}}^{ - 3}}\), at equilibrium and state one assumption made in arriving at your answer other than a temperature of 298 K.
Calculate the pH of the bleach.
Markscheme
\({\text{(}}{K_{\text{w}}} = {\text{)[}}{{\text{H}}^ + }{\text{(aq)][O}}{{\text{H}}^ - }{\text{(aq)]}}\);
Do not penalize if (aq) not stated.
H3O+ may be given instead of H+.
Do not mark awarded if square brackets are omitted or are incorrect.
\({\text{(p}}{K_{\text{b}}} = (14.00 - 7.52 = ){\text{ }}6.48{\text{ and) }}{K_{\text{b}}} = ({10^{ - 6.48}}) = 3.3 \times {10^{ - 7}}\);
Do not award mark if answer just left as 10–6.48.
\({K_{\text{b}}} = \frac{{{\text{[HOCl][O}}{{\text{H}}^ - }{\text{]}}}}{{{\text{[OC}}{{\text{l}}^ - }{\text{]}}}} = \frac{{{x^2}}}{{0.705}} = 3.3 \times {10^{ - 7}}\);
\({\text{[O}}{{\text{H}}^ - }{\text{]}} = 4.8 \times {10^{ - 4}}{\text{ (mol}}\,{\text{d}}{{\text{m}}^{ - 3}}{\text{)}}\);
Award [2] for correct value of [OH–].
\({\text{OC}}{{\text{l}}^ - }\) only partially hydrolysed / x negligible (compared to \({\text{OC}}{{\text{l}}^ - }\)) / OWTTE;
Accept [HOCl] = [OH–].
\({\text{[}}{{\text{H}}_3}{{\text{O}}^ + }{\text{]}}/{\text{[}}{{\text{H}}^ + }{\text{]}} = \frac{{{K_{\text{w}}}}}{{{\text{[O}}{{\text{H}}^ - }{\text{]}}}} = \frac{{1.00 \times {{10}^{ - 14}}}}{{4.8 \times {{10}^{ - 4}}}} = 2.1 \times {10^{ - 11}}\);
\({\text{pH}} = \left( { - {{\log }_{10}}{\text{[}}{{\text{H}}_3}{{\text{O}}^ + }{\text{]}}/ - {{\log }_{10}}{\text{[}}{{\text{H}}^ + }{\text{]}} = - {{\log }_{10}}(2.1 \times {{10}^{ - 11}}) = } \right)10.68\);
Award [2] for correct final answer.
Examiners report
This was generally well answered.
Many of the better students scored full marks here, and even the weaker students gained some marks.
Many of the better students scored full marks here, and even the weaker students gained some marks.
Many of the better students scored full marks here, and even the weaker students gained some marks.
The element boron has two naturally occurring isotopes, \(^{{\text{10}}}{\text{B}}\) and \(^{{\text{11}}}{\text{B}}\).
Phosphorus forms two chlorides, \({\text{PC}}{{\text{l}}_{\text{3}}}\) and \({\text{PC}}{{\text{l}}_{\text{5}}}\).
Apply the Aufbau principle to state the full electron configuration for an atom of phosphorus.
Deduce the Lewis structures for \({\text{PC}}{{\text{l}}_{\text{3}}}\) and \({\text{PC}}{{\text{l}}_{\text{5}}}\).
\({\text{PC}}{{\text{l}}_{\text{3}}}\)\(\quad \quad \quad \quad \quad \quad \quad \quad \quad \quad \)\({\text{PC}}{{\text{l}}_{\text{5}}}\)
Predict the shapes and the bond angles in the two molecules.

Identify the type of hybridization present in \({\text{PC}}{{\text{l}}_{\text{3}}}\).
Compare the melting points of \({\text{PC}}{{\text{l}}_{\text{3}}}\) and \({\text{PC}}{{\text{l}}_{\text{5}}}\) and explain the difference.
Define an acid according to the Lewis theory.
State and explain the acid–base character of \({\text{PC}}{{\text{l}}_{\text{3}}}\) according to the Lewis theory.
Explain the delocalization of \(\pi \) electrons using the \({{\text{O}}_{\text{3}}}\) molecule as an example, including two facts that support the delocalization.
Markscheme
\({\text{1}}{{\text{s}}^{\text{2}}}{\text{2}}{{\text{s}}^{\text{2}}}{\text{2}}{{\text{p}}^{\text{6}}}{\text{3}}{{\text{s}}^{\text{2}}}{\text{3}}{{\text{p}}^{\text{3}}}\);
;
Penalize missing lone pairs on chlorine only once.
Accept any combination of lines, dots or crosses to represent electron pairs.

Shape and bond angle must be consistent with the number of electron domains given in the diagram in (ii).
\({\text{s}}{{\text{p}}^{\text{3}}}\) (hybridization);
\({\text{PC}}{{\text{l}}_{\text{5}}}\) has higher melting point than \({\text{PC}}{{\text{l}}_{\text{3}}}\);
\({\text{PC}}{{\text{l}}_{\text{5}}}\) has stronger intermolecular/London/dispersion/van der Waals’ forces;
(because of) more electrons/greater mass;
Accept the opposite argument for PCl3.
Award [1 max] for answers suggesting PCl3 has higher melting point because it is polar and PCl5 is not.
electron pair acceptor;
Lewis base;
has non-bonding/lone pair of electrons;
No ECF from (i).
overlap of \(p\) orbitals / \(p\) electrons of double/\(\pi \) bond and non-bonding/lone pair on oxygen interact / OWTTE;
\(\pi \) electrons not localized / different resonance structures possible /
;
both bonds/O–O and O=O have equal length / OWTTE;
both bonds/O–O and O=O have equal bond energy / OWTTE;
Examiners report
The electron configuration of phosphorus was successfully answered (even by apparently weaker candidates) and there were many good answers for the Lewis structures. Candidates would do well to draw the “dots” clearly remembering that their answer will be scanned. They should group the electron dots neatly in pairs (much easier for the examiner to count, for one thing) or use a line to represent an electron pair. The usual errors occurred namely missing lone pairs on P and/or Cl atoms.
The electron configuration of phosphorus was successfully answered (even by apparently weaker candidates) and there were many good answers for the Lewis structures. Candidates would do well to draw the “dots” clearly remembering that their answer will be scanned. They should group the electron dots neatly in pairs (much easier for the examiner to count, for one thing) or use a line to represent an electron pair. The usual errors occurred namely missing lone pairs on P and/or Cl atoms.
The shapes and angles in (iii) were patchy but there were also some impressive answers.
About half knew that \({\text{s}}{{\text{p}}^{\text{3}}}\) was the answer to (iv) and in (v) about half based their explanation on the dipole moment in \({\text{PC}}{{\text{l}}_{\text{3}}}\). (One mark was allowed for those who recognized that \({\text{PC}}{{\text{l}}_{\text{3}}}\) would be polar whilst \({\text{PC}}{{\text{l}}_{\text{5}}}\) would not – thus suggesting that \({\text{PC}}{{\text{l}}_{\text{3}}}\) had the higher melting point.) Candidates were expected to know the order of melting points as this had been studied in 13.1.1. Very few were able to write a balanced equation for the reaction of \({\text{PC}}{{\text{l}}_{\text{5}}}\) with water.
About half knew that \({\text{s}}{{\text{p}}^{\text{3}}}\) was the answer to (iv) and in (v) about half based their explanation on the dipole moment in \({\text{PC}}{{\text{l}}_{\text{3}}}\). (One mark was allowed for those who recognized that \({\text{PC}}{{\text{l}}_{\text{3}}}\) would be polar whilst \({\text{PC}}{{\text{l}}_{\text{5}}}\) would not – thus suggesting that \({\text{PC}}{{\text{l}}_{\text{3}}}\) had the higher melting point.) Candidates were expected to know the order of melting points as this had been studied in 13.1.1. Very few were able to write a balanced equation for the reaction of \({\text{PC}}{{\text{l}}_{\text{5}}}\) with water.
Many failed to note that a Lewis acid is an electron pair acceptor and the definition was often muddled with that of Brønsted-Lowry.
Some, in (d) (ii), treated the P and Cl atoms separately.
In (e) there was little discussion of overlap of \(p\) orbitals, some of resonance but hardly any evidence in terms of equal bond length and equal bond strength. The bonding in an ozone molecule was not well-understood.
Two hydrides of nitrogen are ammonia and hydrazine, \({{\text{N}}_{\text{2}}}{{\text{H}}_{\text{4}}}\). One derivative of ammonia is methanamine whose molecular structure is shown below.

Hydrazine is used to remove oxygen from water used to generate steam or hot water.
\[{{\text{N}}_{\text{2}}}{{\text{H}}_{\text{4}}}{\text{(aq)}} + {{\text{O}}_{\text{2}}}{\text{(aq)}} \to {{\text{N}}_{\text{2}}}{\text{(g)}} + {\text{2}}{{\text{H}}_{\text{2}}}{\text{O(l)}}\]
The concentration of dissolved oxygen in a sample of water is \(8.0 \times {10^{ - 3}}{\text{ g}}\,{\text{d}}{{\text{m}}^{ - 3}}\).
Estimate the H−N−H bond angle in methanamine using VSEPR theory.
State the electron domain geometry around the nitrogen atom and its hybridization in methanamine.
Ammonia reacts reversibly with water.
\[{\text{N}}{{\text{H}}_{\text{3}}}{\text{(g)}} + {{\text{H}}_{\text{2}}}{\text{O(l)}} \rightleftharpoons {\text{NH}}_{\text{4}}^ + {\text{(aq)}} + {\text{O}}{{\text{H}}^ - }{\text{(aq)}}\]
Explain the effect of adding \({{\text{H}}^ + }{\text{(aq)}}\) ions on the position of the equilibrium.
Hydrazine reacts with water in a similar way to ammonia. (The association of a molecule of hydrazine with a second H+ is so small it can be neglected.)
\[{{\text{N}}_{\text{2}}}{{\text{H}}_{\text{4}}}{\text{(aq)}} + {{\text{H}}_{\text{2}}}{\text{O(l)}} \rightleftharpoons {{\text{N}}_{\text{2}}}{\text{H}}_{\text{5}}^ + {\text{(aq)}} + {\text{O}}{{\text{H}}^ - }{\text{(aq)}}\]
\[{\text{p}}{K_{\text{b}}}{\text{ (hydrazine)}} = 5.77\]
Calculate the pH of a \(0.0100{\text{ mol}}\,{\text{d}}{{\text{m}}^{ - 3}}\) solution of hydrazine.
Suggest a suitable indicator for the titration of hydrazine solution with dilute sulfuric acid using section 22 of the data booklet.
Outline, using an ionic equation, what is observed when magnesium powder is added to a solution of ammonium chloride.
Determine the enthalpy change of reaction, \(\Delta H\), in kJ, when 1.00 mol of gaseous hydrazine decomposes to its elements. Use bond enthalpy values in section 11 of the data booklet.
\[{{\text{N}}_{\text{2}}}{{\text{H}}_{\text{4}}}{\text{(g)}} \to {{\text{N}}_{\text{2}}}{\text{(g)}} + {\text{2}}{{\text{H}}_{\text{2}}}{\text{(g)}}\]
The standard enthalpy of formation of \({{\text{N}}_{\text{2}}}{{\text{H}}_{\text{4}}}{\text{(l)}}\) is \( + 50.6{\text{ kJ}}\,{\text{mo}}{{\text{l}}^{ - 1}}\). Calculate the enthalpy of vaporization, \(\Delta {H_{{\text{vap}}}}\), of hydrazine in \({\text{kJ}}\,{\text{mo}}{{\text{l}}^{ - 1}}\). \[{{\text{N}}_{\text{2}}}{{\text{H}}_{\text{4}}}{\text{(l)}} \to {{\text{N}}_{\text{2}}}{{\text{H}}_{\text{4}}}{\text{(g)}}\] (If you did not get an answer to (f), use \( - 85{\text{ kJ}}\) but this is not the correct answer.)
Calculate, showing your working, the mass of hydrazine needed to remove all the dissolved oxygen from \({\text{1000 d}}{{\text{m}}^{\text{3}}}\) of the sample.
Calculate the volume, in \({\text{d}}{{\text{m}}^{\text{3}}}\), of nitrogen formed under SATP conditions. (The volume of 1 mol of gas = \({\text{24.8 d}}{{\text{m}}^{\text{3}}}\) at SATP.)
Markscheme
107°
Accept 100° to < 109.5°.
Literature value = 105.8°
[1 mark]
tetrahedral
sp3
No ECF allowed.
[2 marks]
removes/reacts with \({\text{O}}{{\text{H}}^ - }\)
moves to the right/products «to replace \({\text{O}}{{\text{H}}^ - }\) ions»
Accept ionic equation for M1.
[2 marks]
Kb = 10–5.77 / 1.698 x 10–6
OR
\({K_{\text{b}}} = \frac{{\left[ {{{\text{N}}_{\text{2}}}{\text{H}}_5^ + } \right] \times \left[ {{\text{O}}{{\text{H}}^ - }} \right]}}{{\left[ {{{\text{N}}_{\text{2}}}{{\text{H}}_4}} \right]}}\)
[OH–]2 «= 1.698 × 10–6 × 0.0100» = 1.698 × 10–8
OR
[OH–] «\( = \sqrt {1.698 \times {{10}^{ - 8}}} \)» = 1.303 × 10–4 «mol dm–3»
pH «\( = - {\text{lo}}{{\text{g}}_{10}}\frac{{1 \times {{10}^{ - 14}}}}{{1.3 \times {{10}^{ - 4}}}}\)» = 10.1
Award [3] for correct final answer.
Give appropriate credit for other methods containing errors that do not yield correct final answer.
[3 marks]
methyl red
OR
bromocresol green
OR
bromophenol blue
OR
methyl orange
[1 mark]
bubbles
OR
gas
OR
magnesium disappears
\({\text{2NH}}_{\text{4}}^ + {\text{(aq)}} + {\text{Mg(s)}} \to {\text{M}}{{\text{g}}^{{\text{2}} + }}{\text{(aq)}} + {\text{2N}}{{\text{H}}_{\text{3}}}{\text{(aq)}} + {{\text{H}}_{\text{2}}}{\text{(g)}}\)
Do not accept “hydrogen” without reference to observed changes.
Accept "smell of ammonia".
Accept 2H+(aq) + Mg(s) \( \to \) Mg2+(aq) + H2(g)
Equation must be ionic.
[2 marks]
bonds broken:
E(N–N) + 4E(N–H)
OR
\(158{\text{ }}\ll {\text{kJ}}\,{\text{mo}}{{\text{l}}^{ - 1}}\gg + 4 \times 391{\text{ }}\ll {\text{kJ}}\,{\text{mo}}{{\text{l}}^{ - 1}}\gg /1722{\text{ }}\ll {\text{kJ}}\gg \)
bonds formed:
E(N\( \equiv \)N) + 2E(H–H)
OR
\(945{\text{ }}\ll {\text{kJ}}\,{\text{mo}}{{\text{l}}^{ - 1}}\gg + 2 \times 436{\text{ }}\ll {\text{kJ}}\,{\text{mo}}{{\text{l}}^{ - 1}}\gg /1817{\text{ }}\ll {\text{kJ}}\gg \)
\(\ll \Delta H = {\text{bonds broken}} - {\text{bonds formed}} = 1722 - 1817 = \gg - 95{\text{ }}\ll {\text{kJ}}\gg \)
Award [3] for correct final answer.
Award [2 max] for +95 «kJ».
[3 marks]

OR
\(\Delta {H_{{\text{vap}}}} = - 50.6{\text{ kJ}}\,{\text{mo}}{{\text{l}}^{ - 1}} - {\text{(}} - 95{\text{ kJ}}\,{\text{mo}}{{\text{l}}^{ - 1}}{\text{)}}\)
\(\ll \Delta {H_{vap}} = \gg + 44{\text{ }}\ll {\text{kJ}}\,{\text{mo}}{{\text{l}}^{ - 1}}\gg \)
Award [2] for correct final answer. Award [1 max] for –44 «kJ mol–1».
Award [2] for:
ΔHvap = –50.6 kJ mol–1 – (–85 J mol–1) = +34 «kJ mol–1».
Award [1 max] for –34 «kJ mol–1».
[2 marks]
total mass of oxygen \(\ll = 8.0 \times {10^{ - 3}}{\text{ g}}\,{\text{d}}{{\text{m}}^{ - 3}} \times 1000{\text{ d}}{{\text{m}}^3}\gg = 8.0{\text{ }}\ll {\text{g}}\gg \)
\({\text{n(}}{{\text{O}}_{\text{2}}}{\text{) }}\ll = \frac{{8.0{\text{ g}}}}{{32.00{\text{ g}}\,{\text{mo}}{{\text{l}}^{ - 1}}}} = \gg {\text{ }}0.25{\text{ }}\ll {\text{mol}}\gg \)
OR
\({\text{n(}}{{\text{N}}_{\text{2}}}{{\text{H}}_{\text{4}}}{\text{)}} = {\text{n(}}{{\text{O}}_{\text{2}}}{\text{)}}\)
\(\ll {\text{mass of hydrazine}} = 0.25{\text{ mol}} \times 32.06{\text{ g}}\,{\text{mo}}{{\text{l}}^{ - 1}} = \gg {\text{ }}8.0{\text{ }}\ll {\text{g}}\gg \)
Award [3] for correct final answer.
[3 marks]
\(\ll {\text{n(}}{{\text{N}}_{\text{2}}}{{\text{H}}_{\text{4}}}{\text{)}} = {\text{n(}}{{\text{O}}_{\text{2}}}{\text{)}} = \frac{{8.0{\text{ g}}}}{{32.00{\text{ g}}\,{\text{mo}}{{\text{l}}^{ - 1}}}} = \gg {\text{ }}0.25{\text{ }}\ll {\text{mol}}\gg \)
\(\ll {\text{volume of nitrogen}} = 0.25{\text{ mol}} \times 24.8{\text{ d}}{{\text{m}}^3}\,{\text{mo}}{{\text{l}}^{ - 1}}\gg = 6.2{\text{ }}\ll {\text{d}}{{\text{m}}^3}\gg \)
Award [1] for correct final answer.
[1 mark]
Examiners report
A buffer solution is made using \({\text{25.0 c}}{{\text{m}}^{\text{3}}}\) of \({\text{0.500 mol}}\,{\text{d}}{{\text{m}}^{ - 3}}\) nitric acid, \({\text{HN}}{{\text{O}}_{\text{3}}}{\text{(aq)}}\), and \({\text{25.0 c}}{{\text{m}}^{\text{3}}}\) of \({\text{1.00 mol}}\,{\text{d}}{{\text{m}}^{ - 3}}\) ammonia solution, \({\text{N}}{{\text{H}}_{\text{3}}}{\text{(aq)}}\).
Bromocresol green is an acid–base indicator. Information about bromocresol green is given in Table 16 of the Data Booklet.
A solution of ammonia has a concentration of \({\text{0.500 mol}}\,{\text{d}}{{\text{m}}^{ - 3}}\).
Calculate the pH of the ammonia solution using information from Table 15 of the Data Booklet. State one assumption made.
(i) State the meaning of the term buffer solution.
(ii) Calculate the concentrations of ammonia and ammonium ion in the buffer solution.
(iii) Determine the pH of the buffer solution at 25 °C.
(iv) Explain why the pH of the buffer solution is different from the pH of the ammonia solution calculated in (d).
(v) Explain the action of the buffer solution when a few drops of nitric acid solution are added to it.
(i) Identify the property of bromocresol green that makes it suitable to use as an acid–base indicator.
(ii) State and explain the relationship between the pH range of bromocresol green and its \({\text{p}}{K_{\text{a}}}\) value.
Markscheme
\({\text{[O}}{{\text{H}}^ - }{\text{]}} = \left( {\sqrt {0.500 \times 1.78 \times {{10}^{ - 5}}} } \right) = 2.98 \times {10^{ - 3}}{\text{ mol}}\,{\text{d}}{{\text{m}}^{ - 3}}\);
\({\text{pOH}} = - {\log _{10}}{\text{[O}}{{\text{H}}^ - }{\text{]}} = 2.526/{\text{[}}{{\text{H}}^ + }{\text{]}} = \left( {\frac{{1.00 \times {{10}^{ - 14}}}}{{2.98 \times {{10}^{ - 3}}}}} \right) = 3.35 \times {10^{ - 12}}{\text{ mol}}\,{\text{d}}{{\text{m}}^{ - 3}}\);
\({\text{pH}} = 11.47\);
Accept correct answer obtained using another method.
Assumption:
\({\text{[N}}{{\text{H}}_{\text{3}}}{\text{]}} = 0.500{\text{ mol}}\,{\text{d}}{{\text{m}}^{ - 3}}\) / \({\text{[NH}}_4^ + {\text{]}} = {\text{[O}}{{\text{H}}^ - }{\text{]}}\) / all \({\text{O}}{{\text{H}}^ - }\) ions come from the reaction of ammonia with water and not from the dissociation of water / temperature is 25 °C/298 K / OWTTE;
(i) resists change in pH when small amounts of a strong base/strong acid/water are added to it;
(ii) \({\text{[N}}{{\text{H}}_{\text{3}}}{\text{]}} = 0.250{\text{ mol}}\,{\text{d}}{{\text{m}}^{ - 3}}\);
\({\text{[NH}}_4^ + {\text{]}} = 0.250{\text{ mol}}\,{\text{d}}{{\text{m}}^{ - 3}}\);
(iii) \({\text{pOH}} = {\text{p}}{K_b} = 4.75\);
\({\text{pH}} = 9.25\);
(iv) equilibrium shifted left in buffer / OWTTE;
(v) acid neutralized by hydroxide / most of the added \({{\text{H}}^ + }\) ions react with \({\text{N}}{{\text{H}}_{\text{3}}}\);
more ammonia reacts with water to replace hydroxide ions / more \({\text{NH}}_4^ + \) ions form so there is little change in the pH / OWTTE;
Accept equations.
(i) colours of HIn and \({\text{I}}{{\text{n}}^ - }\) are different / OWTTE;
(ii) colour change occurs when \({\text{[HIn]}} = {\text{[I}}{{\text{n}}^ - }{\text{]}}\);
\({\text{pH}} = {\text{p}}{K_{\text{a}}}\);
OR
pH range is a range of pH values either side of \({\text{p}}{K_{\text{a}}}\) value;
lower pH when acid colour is seen and upper pH when alkaline colour seen;
Examiners report
Calculation of pH in (d) proved challenging for some and straightforward for others. Those who knew how to perform the calculations generally also correctly stated an assumption.
Most candidates correctly described a buffer solution in (e). Several candidates had difficulty calculating the concentrations of ammonia and ammonium ions in the buffer but managed to calculate the pH correctly (some with ECF). The explanations of why the pH of the buffer differs from the pH of ammonia and the action of the buffer when a few drops of nitric acid are added were poorly done and would have been better with the use of equations and references to equilibrium.
Answers to (f) were quite general. Many candidates simply said that bromocresol green changes colour with no further details, or said that the indicator had different colours in acid and alkaline conditions. Most candidates scored 1 mark for stating that the \({\text{p}}{K_{\text{a}}}\) is in the middle of the pH range.
Iron has three main naturally occurring isotopes which can be investigated using a mass spectrometer.
State the full electronic configurations of a Cu atom and a \({\text{C}}{{\text{u}}^ + }\) ion.
Cu:
\({\text{C}}{{\text{u}}^ + }\):
Explain the origin of colour in transition metal complexes and use your explanation to suggest why copper(II) sulfate, CuSO4(aq), is blue, but zinc sulfate, ZnSO4(aq), is colourless.
\({\text{C}}{{\text{u}}^{2 + }}{\text{(aq)}}\) reacts with ammonia to form the complex ion \({{\text{[Cu(N}}{{\text{H}}_{\text{3}}}{{\text{)}}_{\text{4}}}{\text{]}}^{2 + }}\). Explain this reaction in terms of an acid-base theory, and outline how the bond is formed between \({\text{C}}{{\text{u}}^{2 + }}\) and \({\text{N}}{{\text{H}}_{\text{3}}}\).
Markscheme
Cu:
\({\text{1}}{{\text{s}}^{\text{2}}}{\text{2}}{{\text{s}}^{\text{2}}}{\text{2}}{{\text{p}}^{\text{6}}}{\text{3}}{{\text{s}}^{\text{2}}}{\text{3}}{{\text{p}}^{\text{6}}}{\text{3}}{{\text{d}}^{{\text{10}}}}{\text{4}}{{\text{s}}^{\text{1}}}\);
\({\text{C}}{{\text{u}}^ + }\):
\({\text{1}}{{\text{s}}^{\text{2}}}{\text{2}}{{\text{s}}^{\text{2}}}{\text{2}}{{\text{p}}^{\text{6}}}{\text{3}}{{\text{s}}^{\text{2}}}{\text{3}}{{\text{p}}^{\text{6}}}{\text{3}}{{\text{d}}^{{\text{10}}}}\);
Ignore relative order of 3d and 4s.
Penalize only once if noble gas core is given.
d orbitals are split (into two sets of different energies);
frequencies of (visible) light absorbed by electrons moving from lower to higher d levels;
colour due to remaining frequencies/complementary colour transmitted;
\({\text{C}}{{\text{u}}^{2 + }}\) has unpaired electrons/partially filled d sub-level;
\({\text{Z}}{{\text{n}}^{2 + }}\) has filled d sub-shell;
electronic transitions/d-d transitions possible for \({\text{C}}{{\text{u}}^{2 + }}\) / no electronic/d-d transitions possible for \({\text{Z}}{{\text{n}}^{2 + }}\);
Allow wavelength as well as frequency.
\({\text{N}}{{\text{H}}_{\text{3}}}\): Lewis base / \({\text{C}}{{\text{u}}^{2 + }}\): Lewis acid;
each \({\text{N}}{{\text{H}}_{\text{3}}}\)/ligand donates an electron pair (to \({\text{C}}{{\text{u}}^{2 + }}\));
\({\text{N}}{{\text{H}}_{\text{3}}}\) replace \({{\text{H}}_2}{\text{O}}\) ligands around \({\text{C}}{{\text{u}}^{2 + }}\) ion/around central ion;
forming coordinate (covalent)/dative covalent bond;
Examiners report
Many candidates identified the electronic configuration of Cu as an exception but the 3d electron was often removed in forming the ion instead of the 4s.
Precision of language proved to be an issue in (e) with some candidates referring to Cu and Zn and not their ions and some students explained the colour as a result of “reflection” or “emission”.
In (f), many candidates mentioned proton donors and proton acceptors and made no reference to Lewis theory.
When nitrogen gas and hydrogen gas are allowed to react in a closed container the following equilibrium is established.
\[{{\text{N}}_{\text{2}}}{\text{(g)}} + {\text{3}}{{\text{H}}_{\text{2}}}{\text{(g)}} \rightleftharpoons {\text{2N}}{{\text{H}}_{\text{3}}}{\text{(g) }}\Delta H = -92.6{\text{ kJ}}\]
Outline two characteristics of a reversible reaction in a state of dynamic equilibrium.
Predict, with a reason, how each of the following changes affects the position of equilibrium.
The volume of the container is increased.
Ammonia is removed from the equilibrium mixture.
Define the term activation energy, \({E_{\text{a}}}\).
Ammonia is manufactured by the Haber process in which iron is used as a catalyst.
Explain the effect of a catalyst on the rate of reaction.
Typical conditions used in the Haber process are 500 °C and 200 atm, resulting in approximately 15% yield of ammonia.
(i) Explain why a temperature lower than 500 °C is not used.
(ii) Outline why a pressure higher than 200 atm is not often used.
Deduce the equilibrium constant expression, \({K_{\text{c}}}\), for the reaction on page 10.
When 1.00 mol of nitrogen and 3.00 mol of hydrogen were allowed to reach equilibrium in a \({\text{1.00 d}}{{\text{m}}^{\text{3}}}\) container at a temperature of 500 °C and a pressure of 1000 atm, the equilibrium mixture contained 1.46 mol of ammonia.
Calculate the value of \({K_{\text{c}}}\) at 500 °C.
Define the term base according to the Lewis theory.
Define the term weak base according to the Brønsted–Lowry theory.
Deduce the formulas of conjugate acid-base pairs in the reaction below.
\[{\text{C}}{{\text{H}}_{\text{3}}}{\text{N}}{{\text{H}}_{\text{2}}}{\text{(aq)}} + {{\text{H}}_{\text{2}}}{\text{O(l)}} \rightleftharpoons {\text{C}}{{\text{H}}_{\text{3}}}{\text{NH}}_{\text{3}}^ + {\text{(aq)}} + {\text{O}}{{\text{H}}^ - }{\text{(aq)}}\]

Determine the pH of a \({\text{0.100 mol}}\,{\text{d}}{{\text{m}}^{ - 3}}\) solution of ammonia, \({\text{N}}{{\text{H}}_{\text{3}}}{\text{(aq)}}\), using tables 2 and 15 of the data booklet.
(i) Sketch the pH titration curve obtained when \({\text{50.0 c}}{{\text{m}}^{\text{3}}}\) of \({\text{0.100 mol}}\,{\text{d}}{{\text{m}}^{ - 3}}{\text{N}}{{\text{H}}_{\text{3}}}{\text{(aq)}}\) is added to \({\text{25.0 c}}{{\text{m}}^{\text{3}}}\) of \({\text{0.100 mol}}\,{\text{d}}{{\text{m}}^{ - 3}}{\text{HCl (aq)}}\).

(ii) Identify an indicator from table 16 of the data booklet that could be used for this titration.
Markscheme
rates of forward and reverse reactions are equal / opposing changes occur at equal rates;
the concentrations of all reactants and products remain constant / macroscopic properties remain constant;
closed/isolated system;
Accept “the same” for “equal” in M1 and for “constant” in M2.
The volume of the container is increased:
position of equilibrium shifts to the left/reactants and fewer moles of gas on the right hand side/pressure decreases / OWTTE;
Ammonia is removed from the equilibrium mixture:
position of equilibrium shifts to the right/products and \({\text{[N}}{{\text{H}}_{\text{3}}}{\text{]}}\) decreases so \({\text{[}}{{\text{N}}_{\text{2}}}{\text{]}}\) and \({\text{[}}{{\text{H}}_{\text{2}}}{\text{]}}\) must also decrease to keep Kc constant
OR
position of equilibrium shifts to the right/products and rate of reverse reaction decreases / OWTTE;
Award [1 max] if both predicted changes are correct.
Do not accept “to increase \([N{H_3}]\)” or reference to LCP without explanation.
minimum energy needed (by reactants/colliding particles) to react/start/initiate a reaction;
Accept “energy difference between reactants and transition state”.
more effective/successful collisions per unit time / greater proportion of collisions effective;
alternative pathway and a lower activation energy
OR
lowers activation energy so that more particles have enough energy to react;
Do not accept just “lowers/reduces the activation energy”.
Accept “provides a surface for reacting/reactants/reaction”.
(i) slower rate / OWTTE;
uneconomic / OWTTE;
(ii) high cost for building/maintaining plant / high energy cost of compressor / OWTTE;
Do not accept “high pressure is expensive” without justification.
Accept high pressure requires high energy.
\(({K_{\text{c}}} = )\frac{{{{{\text{[N}}{{\text{H}}_3}{\text{(g)]}}}^2}}}{{{\text{[}}{{\text{N}}_2}{\text{(g)]}} \times {{{\text{[}}{{\text{H}}_2}{\text{(g)]}}}^3}}}\);
Ignore state symbols.
Concentrations must be represented by square brackets.
moles at equilibrium: nitrogen 0.27, hydrogen 0.81 / concentrations at equilibrium: nitrogen \({\text{0.27 (mol}}\,{\text{d}}{{\text{m}}^{ - 3}}{\text{)}}\), hydrogen \({\text{0.81 (mol}}\,{\text{d}}{{\text{m}}^{ - 3}}{\text{)}}\) (and ammonia \({\text{1.46 mol}}\,{\text{d}}{{\text{m}}^{ - 3}}\));
\({K_{\text{c}}} = 15\);
Actual calculation gives \({K_{\text{c}}}{\text{ = }}14{\text{.}}86\).
Award [2] for correct final answer.
Award [1 max] if \({K_{\text{c}}}\left( { = \frac{{{{1.46}^2}}}{{{3^3} \times 1}}} \right) = 0.079\)
electron pair donor;
Accept lone pair donor.
proton acceptor and partially/slightly ionized;
Accept “proton acceptor and partially/slightly dissociated”.

Award [1 max] for two correct acids OR two correct conjugate bases.
\({K_{\text{b}}} = \frac{{{\text{[NH}}_4^ + {\text{][O}}{{\text{H}}^ - }{\text{]}}}}{{{\text{[N}}{{\text{H}}_3}{\text{]}}}} = 1.8 \times {10^{ - 5}}/{10^{ - 4.75}}\);
\({\text{[NH}}_4^ + {\text{]}} = {\text{[O}}{{\text{H}}^ - }{\text{]}}\) and \({\text{[N}}{{\text{H}}_3}{\text{]}} \approx 1.00 \times {10^{ - 1}}{\text{ (mol}}\,{\text{d}}{{\text{m}}^{ - 3}}{\text{)}}\);
\({\text{[O}}{{\text{H}}^ - }{\text{]}} = (\sqrt {1.8 \times {{10}^{ - 6}}} = )1.3 \times {10^{ - 3}}{\text{ (mol}}\,{\text{d}}{{\text{m}}^{ - 3}}{\text{)}}/{\text{pOH}} = 2.89\);
\({\text{pH}} = (14.0 - 2.89 = )11.1\);
Award [4] for correct final answer.
(i) 
For volume \( = 0:{\text{ pH}} = 1\);
vertical jump should be positioned in volume range \({\text{24 c}}{{\text{m}}^{\text{3}}}\) to \({\text{26 c}}{{\text{m}}^{\text{3}}}\) and include pH range between 3 to 6;
For volume = 50: pH between 8 to 11;
(ii) methyl orange / bromophenol blue / bromocresol green / methyl red;
Examiners report
Most candidates were able to give two characteristics of a dynamic equilibrium and explain the effect of changes in volume on the position of equilibrium but many had difficulty giving a complete explanation of the equilibrium shift resulting from the removal of ammonia. Candidates were expected to include a reference to the value of \({K_{\text{c}}}\) or the reduced rate of the reverse reaction when justifying their answer. The definition of activation energy was well known but some lost a mark in their explanation of catalyst action as they did not refer to an alternative pathway in their explanation for the lower activation energy. The explanation of why lower temperatures were not used in the Haber process was also incomplete with many not considering the economic disadvantages of a slow reaction rate. Similarly many did not explain why high pressure was expensive in terms of energy or building costs. Most were able to deduce the equilibrium constant but many lost a mark in the calculation of \({K_{\text{c}}}\) as they used the initial concentrations of nitrogen and hydrogen. Some teachers identified an inconsistency in the question in that the total number of moles of gas under the conditions stated in the question was not consistent with the ideal gas equation however this did not appear to be a problem for the candidates. (However, the ideal gas law cannot be applied here as under these conditions ammonia would be in its supercritical state.) Most candidates were able to define Lewis bases but the definition of weak Brønsted-Lowry bases proved to be more problematic as many did not refer to partial ionisation in their response. Most students were able to identify the conjugate acid-base pairs. The calculation of the pH of an ammonia solution proved to be challenging with many confusing \({K_{\text{a}}}\) and \({K_{\text{b}}}\). Others did not recognize that since it is a weak base, \({\text{[N}}{{\text{H}}_{\text{3}}}{\text{]}}\) at equilibrium is approximately equal to starting concentration \({\text{(0.100 mol}}\,{\text{d}}{{\text{m}}^{ - 3}}{\text{)}}\) or that \({\text{[NH}}{{\text{4}}^ + }{\text{]}} = {\text{[O}}{{\text{H}}^ - }{\text{]}}\). (The examination paper was rescaled for candidates sitting the examination in Spanish (due to the error in the question) and candidates close to a boundary given particular attention.) Only the strongest candidates were able to gain full marks for the pH curve although many recognised that the pH would be 1 before any ammonia was added given that HCl is a strong acid. A significant number had the final pH above 11 and did not allow for dilution of the \({\text{0.1 mol}}\,{\text{d}}{{\text{m}}^{ - 3}}\) ammonia solution. Many correctly identified a possible indicator.
Most candidates were able to give two characteristics of a dynamic equilibrium and explain the effect of changes in volume on the position of equilibrium but many had difficulty giving a complete explanation of the equilibrium shift resulting from the removal of ammonia. Candidates were expected to include a reference to the value of \({K_{\text{c}}}\) or the reduced rate of the reverse reaction when justifying their answer. The definition of activation energy was well known but some lost a mark in their explanation of catalyst action as they did not refer to an alternative pathway in their explanation for the lower activation energy. The explanation of why lower temperatures were not used in the Haber process was also incomplete with many not considering the economic disadvantages of a slow reaction rate. Similarly many did not explain why high pressure was expensive in terms of energy or building costs. Most were able to deduce the equilibrium constant but many lost a mark in the calculation of \({K_{\text{c}}}\) as they used the initial concentrations of nitrogen and hydrogen. Some teachers identified an inconsistency in the question in that the total number of moles of gas under the conditions stated in the question was not consistent with the ideal gas equation however this did not appear to be a problem for the candidates. (However, the ideal gas law cannot be applied here as under these conditions ammonia would be in its supercritical state.) Most candidates were able to define Lewis bases but the definition of weak Brønsted-Lowry bases proved to be more problematic as many did not refer to partial ionisation in their response. Most students were able to identify the conjugate acid-base pairs. The calculation of the pH of an ammonia solution proved to be challenging with many confusing \({K_{\text{a}}}\) and \({K_{\text{b}}}\). Others did not recognize that since it is a weak base, \({\text{[N}}{{\text{H}}_{\text{3}}}{\text{]}}\) at equilibrium is approximately equal to starting concentration \({\text{(0.100 mol}}\,{\text{d}}{{\text{m}}^{ - 3}}{\text{)}}\) or that \({\text{[NH}}{{\text{4}}^ + }{\text{]}} = {\text{[O}}{{\text{H}}^ - }{\text{]}}\). (The examination paper was rescaled for candidates sitting the examination in Spanish (due to the error in the question) and candidates close to a boundary given particular attention.) Only the strongest candidates were able to gain full marks for the pH curve although many recognised that the pH would be 1 before any ammonia was added given that HCl is a strong acid. A significant number had the final pH above 11 and did not allow for dilution of the \({\text{0.1 mol}}\,{\text{d}}{{\text{m}}^{ - 3}}\) ammonia solution. Many correctly identified a possible indicator.
Most candidates were able to give two characteristics of a dynamic equilibrium and explain the effect of changes in volume on the position of equilibrium but many had difficulty giving a complete explanation of the equilibrium shift resulting from the removal of ammonia. Candidates were expected to include a reference to the value of \({K_{\text{c}}}\) or the reduced rate of the reverse reaction when justifying their answer. The definition of activation energy was well known but some lost a mark in their explanation of catalyst action as they did not refer to an alternative pathway in their explanation for the lower activation energy. The explanation of why lower temperatures were not used in the Haber process was also incomplete with many not considering the economic disadvantages of a slow reaction rate. Similarly many did not explain why high pressure was expensive in terms of energy or building costs. Most were able to deduce the equilibrium constant but many lost a mark in the calculation of \({K_{\text{c}}}\) as they used the initial concentrations of nitrogen and hydrogen. Some teachers identified an inconsistency in the question in that the total number of moles of gas under the conditions stated in the question was not consistent with the ideal gas equation however this did not appear to be a problem for the candidates. (However, the ideal gas law cannot be applied here as under these conditions ammonia would be in its supercritical state.) Most candidates were able to define Lewis bases but the definition of weak Brønsted-Lowry bases proved to be more problematic as many did not refer to partial ionisation in their response. Most students were able to identify the conjugate acid-base pairs. The calculation of the pH of an ammonia solution proved to be challenging with many confusing \({K_{\text{a}}}\) and \({K_{\text{b}}}\). Others did not recognize that since it is a weak base, \({\text{[N}}{{\text{H}}_{\text{3}}}{\text{]}}\) at equilibrium is approximately equal to starting concentration \({\text{(0.100 mol}}\,{\text{d}}{{\text{m}}^{ - 3}}{\text{)}}\) or that \({\text{[NH}}{{\text{4}}^ + }{\text{]}} = {\text{[O}}{{\text{H}}^ - }{\text{]}}\). (The examination paper was rescaled for candidates sitting the examination in Spanish (due to the error in the question) and candidates close to a boundary given particular attention.) Only the strongest candidates were able to gain full marks for the pH curve although many recognised that the pH would be 1 before any ammonia was added given that HCl is a strong acid. A significant number had the final pH above 11 and did not allow for dilution of the \({\text{0.1 mol}}\,{\text{d}}{{\text{m}}^{ - 3}}\) ammonia solution. Many correctly identified a possible indicator.
Most candidates were able to give two characteristics of a dynamic equilibrium and explain the effect of changes in volume on the position of equilibrium but many had difficulty giving a complete explanation of the equilibrium shift resulting from the removal of ammonia. Candidates were expected to include a reference to the value of \({K_{\text{c}}}\) or the reduced rate of the reverse reaction when justifying their answer. The definition of activation energy was well known but some lost a mark in their explanation of catalyst action as they did not refer to an alternative pathway in their explanation for the lower activation energy. The explanation of why lower temperatures were not used in the Haber process was also incomplete with many not considering the economic disadvantages of a slow reaction rate. Similarly many did not explain why high pressure was expensive in terms of energy or building costs. Most were able to deduce the equilibrium constant but many lost a mark in the calculation of \({K_{\text{c}}}\) as they used the initial concentrations of nitrogen and hydrogen. Some teachers identified an inconsistency in the question in that the total number of moles of gas under the conditions stated in the question was not consistent with the ideal gas equation however this did not appear to be a problem for the candidates. (However, the ideal gas law cannot be applied here as under these conditions ammonia would be in its supercritical state.) Most candidates were able to define Lewis bases but the definition of weak Brønsted-Lowry bases proved to be more problematic as many did not refer to partial ionisation in their response. Most students were able to identify the conjugate acid-base pairs. The calculation of the pH of an ammonia solution proved to be challenging with many confusing \({K_{\text{a}}}\) and \({K_{\text{b}}}\). Others did not recognize that since it is a weak base, \({\text{[N}}{{\text{H}}_{\text{3}}}{\text{]}}\) at equilibrium is approximately equal to starting concentration \({\text{(0.100 mol}}\,{\text{d}}{{\text{m}}^{ - 3}}{\text{)}}\) or that \({\text{[NH}}{{\text{4}}^ + }{\text{]}} = {\text{[O}}{{\text{H}}^ - }{\text{]}}\). (The examination paper was rescaled for candidates sitting the examination in Spanish (due to the error in the question) and candidates close to a boundary given particular attention.) Only the strongest candidates were able to gain full marks for the pH curve although many recognised that the pH would be 1 before any ammonia was added given that HCl is a strong acid. A significant number had the final pH above 11 and did not allow for dilution of the \({\text{0.1 mol}}\,{\text{d}}{{\text{m}}^{ - 3}}\) ammonia solution. Many correctly identified a possible indicator.
Most candidates were able to give two characteristics of a dynamic equilibrium and explain the effect of changes in volume on the position of equilibrium but many had difficulty giving a complete explanation of the equilibrium shift resulting from the removal of ammonia. Candidates were expected to include a reference to the value of \({K_{\text{c}}}\) or the reduced rate of the reverse reaction when justifying their answer. The definition of activation energy was well known but some lost a mark in their explanation of catalyst action as they did not refer to an alternative pathway in their explanation for the lower activation energy. The explanation of why lower temperatures were not used in the Haber process was also incomplete with many not considering the economic disadvantages of a slow reaction rate. Similarly many did not explain why high pressure was expensive in terms of energy or building costs. Most were able to deduce the equilibrium constant but many lost a mark in the calculation of \({K_{\text{c}}}\) as they used the initial concentrations of nitrogen and hydrogen. Some teachers identified an inconsistency in the question in that the total number of moles of gas under the conditions stated in the question was not consistent with the ideal gas equation however this did not appear to be a problem for the candidates. (However, the ideal gas law cannot be applied here as under these conditions ammonia would be in its supercritical state.) Most candidates were able to define Lewis bases but the definition of weak Brønsted-Lowry bases proved to be more problematic as many did not refer to partial ionisation in their response. Most students were able to identify the conjugate acid-base pairs. The calculation of the pH of an ammonia solution proved to be challenging with many confusing \({K_{\text{a}}}\) and \({K_{\text{b}}}\). Others did not recognize that since it is a weak base, \({\text{[N}}{{\text{H}}_{\text{3}}}{\text{]}}\) at equilibrium is approximately equal to starting concentration \({\text{(0.100 mol}}\,{\text{d}}{{\text{m}}^{ - 3}}{\text{)}}\) or that \({\text{[NH}}{{\text{4}}^ + }{\text{]}} = {\text{[O}}{{\text{H}}^ - }{\text{]}}\). (The examination paper was rescaled for candidates sitting the examination in Spanish (due to the error in the question) and candidates close to a boundary given particular attention.) Only the strongest candidates were able to gain full marks for the pH curve although many recognised that the pH would be 1 before any ammonia was added given that HCl is a strong acid. A significant number had the final pH above 11 and did not allow for dilution of the \({\text{0.1 mol}}\,{\text{d}}{{\text{m}}^{ - 3}}\) ammonia solution. Many correctly identified a possible indicator.
Most candidates were able to give two characteristics of a dynamic equilibrium and explain the effect of changes in volume on the position of equilibrium but many had difficulty giving a complete explanation of the equilibrium shift resulting from the removal of ammonia. Candidates were expected to include a reference to the value of \({K_{\text{c}}}\) or the reduced rate of the reverse reaction when justifying their answer. The definition of activation energy was well known but some lost a mark in their explanation of catalyst action as they did not refer to an alternative pathway in their explanation for the lower activation energy. The explanation of why lower temperatures were not used in the Haber process was also incomplete with many not considering the economic disadvantages of a slow reaction rate. Similarly many did not explain why high pressure was expensive in terms of energy or building costs. Most were able to deduce the equilibrium constant but many lost a mark in the calculation of \({K_{\text{c}}}\) as they used the initial concentrations of nitrogen and hydrogen. Some teachers identified an inconsistency in the question in that the total number of moles of gas under the conditions stated in the question was not consistent with the ideal gas equation however this did not appear to be a problem for the candidates. (However, the ideal gas law cannot be applied here as under these conditions ammonia would be in its supercritical state.) Most candidates were able to define Lewis bases but the definition of weak Brønsted-Lowry bases proved to be more problematic as many did not refer to partial ionisation in their response. Most students were able to identify the conjugate acid-base pairs. The calculation of the pH of an ammonia solution proved to be challenging with many confusing \({K_{\text{a}}}\) and \({K_{\text{b}}}\). Others did not recognize that since it is a weak base, \({\text{[N}}{{\text{H}}_{\text{3}}}{\text{]}}\) at equilibrium is approximately equal to starting concentration \({\text{(0.100 mol}}\,{\text{d}}{{\text{m}}^{ - 3}}{\text{)}}\) or that \({\text{[NH}}{{\text{4}}^ + }{\text{]}} = {\text{[O}}{{\text{H}}^ - }{\text{]}}\). (The examination paper was rescaled for candidates sitting the examination in Spanish (due to the error in the question) and candidates close to a boundary given particular attention.) Only the strongest candidates were able to gain full marks for the pH curve although many recognised that the pH would be 1 before any ammonia was added given that HCl is a strong acid. A significant number had the final pH above 11 and did not allow for dilution of the \({\text{0.1 mol}}\,{\text{d}}{{\text{m}}^{ - 3}}\) ammonia solution. Many correctly identified a possible indicator.
Most candidates were able to give two characteristics of a dynamic equilibrium and explain the effect of changes in volume on the position of equilibrium but many had difficulty giving a complete explanation of the equilibrium shift resulting from the removal of ammonia. Candidates were expected to include a reference to the value of \({K_{\text{c}}}\) or the reduced rate of the reverse reaction when justifying their answer. The definition of activation energy was well known but some lost a mark in their explanation of catalyst action as they did not refer to an alternative pathway in their explanation for the lower activation energy. The explanation of why lower temperatures were not used in the Haber process was also incomplete with many not considering the economic disadvantages of a slow reaction rate. Similarly many did not explain why high pressure was expensive in terms of energy or building costs. Most were able to deduce the equilibrium constant but many lost a mark in the calculation of \({K_{\text{c}}}\) as they used the initial concentrations of nitrogen and hydrogen. Some teachers identified an inconsistency in the question in that the total number of moles of gas under the conditions stated in the question was not consistent with the ideal gas equation however this did not appear to be a problem for the candidates. (However, the ideal gas law cannot be applied here as under these conditions ammonia would be in its supercritical state.) Most candidates were able to define Lewis bases but the definition of weak Brønsted-Lowry bases proved to be more problematic as many did not refer to partial ionisation in their response. Most students were able to identify the conjugate acid-base pairs. The calculation of the pH of an ammonia solution proved to be challenging with many confusing \({K_{\text{a}}}\) and \({K_{\text{b}}}\). Others did not recognize that since it is a weak base, \({\text{[N}}{{\text{H}}_{\text{3}}}{\text{]}}\) at equilibrium is approximately equal to starting concentration \({\text{(0.100 mol}}\,{\text{d}}{{\text{m}}^{ - 3}}{\text{)}}\) or that \({\text{[NH}}{{\text{4}}^ + }{\text{]}} = {\text{[O}}{{\text{H}}^ - }{\text{]}}\). (The examination paper was rescaled for candidates sitting the examination in Spanish (due to the error in the question) and candidates close to a boundary given particular attention.) Only the strongest candidates were able to gain full marks for the pH curve although many recognised that the pH would be 1 before any ammonia was added given that HCl is a strong acid. A significant number had the final pH above 11 and did not allow for dilution of the \({\text{0.1 mol}}\,{\text{d}}{{\text{m}}^{ - 3}}\) ammonia solution. Many correctly identified a possible indicator.
Most candidates were able to give two characteristics of a dynamic equilibrium and explain the effect of changes in volume on the position of equilibrium but many had difficulty giving a complete explanation of the equilibrium shift resulting from the removal of ammonia. Candidates were expected to include a reference to the value of \({K_{\text{c}}}\) or the reduced rate of the reverse reaction when justifying their answer. The definition of activation energy was well known but some lost a mark in their explanation of catalyst action as they did not refer to an alternative pathway in their explanation for the lower activation energy. The explanation of why lower temperatures were not used in the Haber process was also incomplete with many not considering the economic disadvantages of a slow reaction rate. Similarly many did not explain why high pressure was expensive in terms of energy or building costs. Most were able to deduce the equilibrium constant but many lost a mark in the calculation of \({K_{\text{c}}}\) as they used the initial concentrations of nitrogen and hydrogen. Some teachers identified an inconsistency in the question in that the total number of moles of gas under the conditions stated in the question was not consistent with the ideal gas equation however this did not appear to be a problem for the candidates. (However, the ideal gas law cannot be applied here as under these conditions ammonia would be in its supercritical state.) Most candidates were able to define Lewis bases but the definition of weak Brønsted-Lowry bases proved to be more problematic as many did not refer to partial ionisation in their response. Most students were able to identify the conjugate acid-base pairs. The calculation of the pH of an ammonia solution proved to be challenging with many confusing \({K_{\text{a}}}\) and \({K_{\text{b}}}\). Others did not recognize that since it is a weak base, \({\text{[N}}{{\text{H}}_{\text{3}}}{\text{]}}\) at equilibrium is approximately equal to starting concentration \({\text{(0.100 mol}}\,{\text{d}}{{\text{m}}^{ - 3}}{\text{)}}\) or that \({\text{[NH}}{{\text{4}}^ + }{\text{]}} = {\text{[O}}{{\text{H}}^ - }{\text{]}}\). (The examination paper was rescaled for candidates sitting the examination in Spanish (due to the error in the question) and candidates close to a boundary given particular attention.) Only the strongest candidates were able to gain full marks for the pH curve although many recognised that the pH would be 1 before any ammonia was added given that HCl is a strong acid. A significant number had the final pH above 11 and did not allow for dilution of the \({\text{0.1 mol}}\,{\text{d}}{{\text{m}}^{ - 3}}\) ammonia solution. Many correctly identified a possible indicator.
Most candidates were able to give two characteristics of a dynamic equilibrium and explain the effect of changes in volume on the position of equilibrium but many had difficulty giving a complete explanation of the equilibrium shift resulting from the removal of ammonia. Candidates were expected to include a reference to the value of \({K_{\text{c}}}\) or the reduced rate of the reverse reaction when justifying their answer. The definition of activation energy was well known but some lost a mark in their explanation of catalyst action as they did not refer to an alternative pathway in their explanation for the lower activation energy. The explanation of why lower temperatures were not used in the Haber process was also incomplete with many not considering the economic disadvantages of a slow reaction rate. Similarly many did not explain why high pressure was expensive in terms of energy or building costs. Most were able to deduce the equilibrium constant but many lost a mark in the calculation of \({K_{\text{c}}}\) as they used the initial concentrations of nitrogen and hydrogen. Some teachers identified an inconsistency in the question in that the total number of moles of gas under the conditions stated in the question was not consistent with the ideal gas equation however this did not appear to be a problem for the candidates. (However, the ideal gas law cannot be applied here as under these conditions ammonia would be in its supercritical state.) Most candidates were able to define Lewis bases but the definition of weak Brønsted-Lowry bases proved to be more problematic as many did not refer to partial ionisation in their response. Most students were able to identify the conjugate acid-base pairs. The calculation of the pH of an ammonia solution proved to be challenging with many confusing \({K_{\text{a}}}\) and \({K_{\text{b}}}\). Others did not recognize that since it is a weak base, \({\text{[N}}{{\text{H}}_{\text{3}}}{\text{]}}\) at equilibrium is approximately equal to starting concentration \({\text{(0.100 mol}}\,{\text{d}}{{\text{m}}^{ - 3}}{\text{)}}\) or that \({\text{[NH}}{{\text{4}}^ + }{\text{]}} = {\text{[O}}{{\text{H}}^ - }{\text{]}}\). (The examination paper was rescaled for candidates sitting the examination in Spanish (due to the error in the question) and candidates close to a boundary given particular attention.) Only the strongest candidates were able to gain full marks for the pH curve although many recognised that the pH would be 1 before any ammonia was added given that HCl is a strong acid. A significant number had the final pH above 11 and did not allow for dilution of the \({\text{0.1 mol}}\,{\text{d}}{{\text{m}}^{ - 3}}\) ammonia solution. Many correctly identified a possible indicator.
Most candidates were able to give two characteristics of a dynamic equilibrium and explain the effect of changes in volume on the position of equilibrium but many had difficulty giving a complete explanation of the equilibrium shift resulting from the removal of ammonia. Candidates were expected to include a reference to the value of \({K_{\text{c}}}\) or the reduced rate of the reverse reaction when justifying their answer. The definition of activation energy was well known but some lost a mark in their explanation of catalyst action as they did not refer to an alternative pathway in their explanation for the lower activation energy. The explanation of why lower temperatures were not used in the Haber process was also incomplete with many not considering the economic disadvantages of a slow reaction rate. Similarly many did not explain why high pressure was expensive in terms of energy or building costs. Most were able to deduce the equilibrium constant but many lost a mark in the calculation of \({K_{\text{c}}}\) as they used the initial concentrations of nitrogen and hydrogen. Some teachers identified an inconsistency in the question in that the total number of moles of gas under the conditions stated in the question was not consistent with the ideal gas equation however this did not appear to be a problem for the candidates. (However, the ideal gas law cannot be applied here as under these conditions ammonia would be in its supercritical state.) Most candidates were able to define Lewis bases but the definition of weak Brønsted-Lowry bases proved to be more problematic as many did not refer to partial ionisation in their response. Most students were able to identify the conjugate acid-base pairs. The calculation of the pH of an ammonia solution proved to be challenging with many confusing \({K_{\text{a}}}\) and \({K_{\text{b}}}\). Others did not recognize that since it is a weak base, \({\text{[N}}{{\text{H}}_{\text{3}}}{\text{]}}\) at equilibrium is approximately equal to starting concentration \({\text{(0.100 mol}}\,{\text{d}}{{\text{m}}^{ - 3}}{\text{)}}\) or that \({\text{[NH}}{{\text{4}}^ + }{\text{]}} = {\text{[O}}{{\text{H}}^ - }{\text{]}}\). (The examination paper was rescaled for candidates sitting the examination in Spanish (due to the error in the question) and candidates close to a boundary given particular attention.) Only the strongest candidates were able to gain full marks for the pH curve although many recognised that the pH would be 1 before any ammonia was added given that HCl is a strong acid. A significant number had the final pH above 11 and did not allow for dilution of the \({\text{0.1 mol}}\,{\text{d}}{{\text{m}}^{ - 3}}\) ammonia solution. Many correctly identified a possible indicator.
Most candidates were able to give two characteristics of a dynamic equilibrium and explain the effect of changes in volume on the position of equilibrium but many had difficulty giving a complete explanation of the equilibrium shift resulting from the removal of ammonia. Candidates were expected to include a reference to the value of \({K_{\text{c}}}\) or the reduced rate of the reverse reaction when justifying their answer. The definition of activation energy was well known but some lost a mark in their explanation of catalyst action as they did not refer to an alternative pathway in their explanation for the lower activation energy. The explanation of why lower temperatures were not used in the Haber process was also incomplete with many not considering the economic disadvantages of a slow reaction rate. Similarly many did not explain why high pressure was expensive in terms of energy or building costs. Most were able to deduce the equilibrium constant but many lost a mark in the calculation of \({K_{\text{c}}}\) as they used the initial concentrations of nitrogen and hydrogen. Some teachers identified an inconsistency in the question in that the total number of moles of gas under the conditions stated in the question was not consistent with the ideal gas equation however this did not appear to be a problem for the candidates. (However, the ideal gas law cannot be applied here as under these conditions ammonia would be in its supercritical state.) Most candidates were able to define Lewis bases but the definition of weak Brønsted-Lowry bases proved to be more problematic as many did not refer to partial ionisation in their response. Most students were able to identify the conjugate acid-base pairs. The calculation of the pH of an ammonia solution proved to be challenging with many confusing \({K_{\text{a}}}\) and \({K_{\text{b}}}\). Others did not recognize that since it is a weak base, \({\text{[N}}{{\text{H}}_{\text{3}}}{\text{]}}\) at equilibrium is approximately equal to starting concentration \({\text{(0.100 mol}}\,{\text{d}}{{\text{m}}^{ - 3}}{\text{)}}\) or that \({\text{[NH}}{{\text{4}}^ + }{\text{]}} = {\text{[O}}{{\text{H}}^ - }{\text{]}}\). (The examination paper was rescaled for candidates sitting the examination in Spanish (due to the error in the question) and candidates close to a boundary given particular attention.) Only the strongest candidates were able to gain full marks for the pH curve although many recognised that the pH would be 1 before any ammonia was added given that HCl is a strong acid. A significant number had the final pH above 11 and did not allow for dilution of the \({\text{0.1 mol}}\,{\text{d}}{{\text{m}}^{ - 3}}\) ammonia solution. Many correctly identified a possible indicator.
Most candidates were able to give two characteristics of a dynamic equilibrium and explain the effect of changes in volume on the position of equilibrium but many had difficulty giving a complete explanation of the equilibrium shift resulting from the removal of ammonia. Candidates were expected to include a reference to the value of \({K_{\text{c}}}\) or the reduced rate of the reverse reaction when justifying their answer. The definition of activation energy was well known but some lost a mark in their explanation of catalyst action as they did not refer to an alternative pathway in their explanation for the lower activation energy. The explanation of why lower temperatures were not used in the Haber process was also incomplete with many not considering the economic disadvantages of a slow reaction rate. Similarly many did not explain why high pressure was expensive in terms of energy or building costs. Most were able to deduce the equilibrium constant but many lost a mark in the calculation of \({K_{\text{c}}}\) as they used the initial concentrations of nitrogen and hydrogen. Some teachers identified an inconsistency in the question in that the total number of moles of gas under the conditions stated in the question was not consistent with the ideal gas equation however this did not appear to be a problem for the candidates. (However, the ideal gas law cannot be applied here as under these conditions ammonia would be in its supercritical state.) Most candidates were able to define Lewis bases but the definition of weak Brønsted-Lowry bases proved to be more problematic as many did not refer to partial ionisation in their response. Most students were able to identify the conjugate acid-base pairs. The calculation of the pH of an ammonia solution proved to be challenging with many confusing \({K_{\text{a}}}\) and \({K_{\text{b}}}\). Others did not recognize that since it is a weak base, \({\text{[N}}{{\text{H}}_{\text{3}}}{\text{]}}\) at equilibrium is approximately equal to starting concentration \({\text{(0.100 mol}}\,{\text{d}}{{\text{m}}^{ - 3}}{\text{)}}\) or that \({\text{[NH}}{{\text{4}}^ + }{\text{]}} = {\text{[O}}{{\text{H}}^ - }{\text{]}}\). (The examination paper was rescaled for candidates sitting the examination in Spanish (due to the error in the question) and candidates close to a boundary given particular attention.) Only the strongest candidates were able to gain full marks for the pH curve although many recognised that the pH would be 1 before any ammonia was added given that HCl is a strong acid. A significant number had the final pH above 11 and did not allow for dilution of the \({\text{0.1 mol}}\,{\text{d}}{{\text{m}}^{ - 3}}\) ammonia solution. Many correctly identified a possible indicator.
A student used a pH meter to measure the pH of different samples of water at 298 K.

Use the data in the table to identify the most acidic water sample.
Calculate the percentage uncertainty in the measured pH of the rain water sample.
Determine the ratio of \({\text{[}}{{\text{H}}^ + }{\text{]}}\) in bottled water to that in rain water.
\[\frac{{[{H^ + }]{\text{ }}in{\text{ }}bottled{\text{ }}water}}{{[{H^ + }]{\text{ }}in{\text{ }}rain{\text{ }}water}}\]
Determine the concentration of hydroxide ions in the sample of river water.
The acidity of non-polluted rain water is caused by dissolved carbon dioxide. State an equation for the reaction of carbon dioxide with water.
Markscheme
river (water);
\(\left( {\frac{{0.1}}{{5.1}} \times 100 = } \right){\text{ }}2\% \);
recognition that values differ by 2 pH units / calculation of both \({\text{[}}{{\text{H}}^ + }{\text{]}}\) values;
\(({\text{ratio}} = ){\text{ }}1:100/\frac{1}{{100}}/{10^{ - 2}}/0.01\);
Award [2] for correct final answer.
Award [1 max] for 100:1/100/102.
\({\text{pOH}} = (14.0 - 4.4 = ){\text{ }}9.6/{\text{[}}{{\text{H}}^ + }{\text{]}} = 4 \times {10^{ - 5}}{\text{ (mol}}\,{\text{d}}{{\text{m}}^{ - 3}}{\text{)}}\);
Accept [H+] = 3.98 \( \times \) 10–5 (mol dm–3).
\({\text{[O}}{{\text{H}}^ - }{\text{]}} = 3 \times {10^{ - 10}}{\text{ (mol}}\,{\text{d}}{{\text{m}}^{ - 3}}{\text{)}}\);
Accept 2.51 \( \times \) 10–10 (mol dm–3).
Award [2] for correct final answer.
\({\text{C}}{{\text{O}}_2} + {{\text{H}}_2}{\text{O}} \rightleftharpoons {\text{HCO}}_3^ - + {{\text{H}}^ + }/{\text{C}}{{\text{O}}_2} + {\text{2}}{{\text{H}}_2}{\text{O}} \rightleftharpoons {\text{HCO}}_3^ - + {{\text{H}}_2}{{\text{O}}^ + }/{\text{C}}{{\text{O}}_2} + {{\text{H}}_2}{\text{O}} \rightleftharpoons {{\text{H}}_2}{\text{C}}{{\text{O}}_3}\);
Do not penalize missing reversible arrow.
Do not accept equations with the carbonate ion as a product.
Examiners report
A very well answered question.
The majority of candidates calculated the percentage uncertainty correctly, however, more than half of them did not pay attention to stating the answer to the appropriate number of significant figures. Some candidates used river water data instead of rain water.
More than half of the candidates calculated the correct ratio of hydrogen ion concentration. The majority of these candidates calculated the concentration of hydrogen ions in both samples, instead of simply using the difference of 2 pH units.
Generally well answered. Some students only scored one mark, stopping at the calculation of the pOH or the concentration of hydrogen.
About half the candidates wrote correct products, however, most of the candidates did not use reversible arrows. Several variations of incorrect products were given including \({{\text{H}}_{\text{2}}}{{\text{O}}_{\text{2}}}\) and CO.
A buffer solution with a pH of 3.87 contains \({\text{7.41 g}}\,{\text{d}}{{\text{m}}^{ - 3}}\) of propanoic acid, \({\text{C}}{{\text{H}}_{\text{3}}}{\text{C}}{{\text{H}}_{\text{2}}}{\text{COOH}}\), together with an unknown quantity of sodium propanoate, \({\text{C}}{{\text{H}}_{\text{3}}}{\text{C}}{{\text{H}}_{\text{2}}}{\text{COONa}}\).
Define the term buffer solution.
Explain, using appropriate equations, how this solution acts as a buffer solution.
Calculate the concentration, in \({\text{mol}}\,{\text{d}}{{\text{m}}^{ - 3}}\), of sodium propanoate in this buffer solution.
The \({\text{p}}{K_{\text{a}}}\) of propanoic acid is 4.87 at 298 K.
Markscheme
a solution that resists changes in pH / changes pH slightly / OWTTE;
when small amounts of an acid/\({{\text{H}}^ + }\) or a base/alkali/\({\text{O}}{{\text{H}}^ - }\) are added;
addition of acid:
\({\text{C}}{{\text{H}}_3}{\text{C}}{{\text{H}}_2}{\text{CO}}{{\text{O}}^ - }{\text{(aq)}} + {{\text{H}}^ + }{\text{(aq)}} \to {\text{C}}{{\text{H}}_3}{\text{C}}{{\text{H}}_2}{\text{COOH(aq)}}\) / propanoate ions combine with \({{\text{H}}^ + }\) ions to form undissociated propanoic acid;
addition of base:
\({\text{C}}{{\text{H}}_3}{\text{C}}{{\text{H}}_2}{\text{COOH(aq)}} + {\text{O}}{{\text{H}}^ - }{\text{(aq)}} \to {\text{C}}{{\text{H}}_3}{\text{C}}{{\text{H}}_2}{\text{CO}}{{\text{O}}^ - }{\text{(aq)}} + {{\text{H}}_2}{\text{O(l)}}\) / addition of \({\text{O}}{{\text{H}}^ - }\) removes \({{\text{H}}^ + }\) and more propanoic acid dissociates/ionizes;
Ignore state symbols.
Accept reversible arrows.
Award [1 max] if correct equations are given without reference to addition of acid or alkali.
\({K_{\text{a}}} = \frac{{[{{\text{H}}^ + }{\text{(aq)][C}}{{\text{H}}_3}{\text{C}}{{\text{H}}_2}{\text{CO}}{{\text{O}}^ - }{\text{(aq)]}}}}{{[{\text{C}}{{\text{H}}_3}{\text{C}}{{\text{H}}_2}{\text{COOH(aq)]}}}}/{\text{pH}} = {\text{p}}{K_{\text{a}}} + \log \left( {\frac{{{\text{[base]}}}}{{{\text{[acid]}}}}} \right)\);
\({K_{\text{a}}} = 1.3 \times {10^{ - 5}}/{10^{ - 4.87}}\) and \([{{\text{H}}^ + }] = 1.3 \times {10^{ - 4}}/{10^{ - 3.87}}{\text{ (mol}}\,{\text{d}}{{\text{m}}^{ - 3}}{\text{) }}/\log \frac{{{\text{[C}}{{\text{H}}_3}{\text{C}}{{\text{H}}_2}{\text{CO}}{{\text{O}}^ - }]}}{{[{\text{C}}{{\text{H}}_3}{\text{C}}{{\text{H}}_2}{\text{COOH]}}}} = 3.87 - 4.87 = - 1\);
\(\left( {[{\text{C}}{{\text{H}}_3}{\text{C}}{{\text{H}}_2}{\text{COOH]}} = \frac{{7.41}}{{74.09}} = } \right)0.100/1.00 \times {10^{ - 1}}{\text{ (mol}}\,{\text{d}}{{\text{m}}^{ - 3}}{\text{)}}\);
\({\text{([C}}{{\text{H}}_3}{\text{C}}{{\text{H}}_2}{\text{COONa]}} = )0.010/1.0 \times {10^{ - 2}}{\text{ (mol}}\,{\text{d}}{{\text{m}}^{ - 3}})\);
Award [4] for correct final answer.
Accept corresponding use of \({[{H_3}O]^ + }\) for \([{H^ + }]\), [acid] for \([C{H_3}C{H_2}COOH]\), and [base] or [salt] for \([C{H_3}C{H_2}CO{O^ - }]\) throughout.
Examiners report
Most candidates were able to give a definition of buffer solutions including the detail that pH does not change significantly when small amounts of acid or alkali are added. The explanation of the action of buffers proved to be more challenging with only the stronger candidates giving a complete response in terms of protonation of the conjugate base and increased dissociation of the acid. The calculation of equilibrium concentrations from \({\text{p}}{K_{\text{a}}}\) values was better done than in previous sessions, but still proved too difficult for many. The need to change the units of concentration of propanoic acid made this an additional obstacle in this demanding question.
Most candidates were able to give a definition of buffer solutions including the detail that pH does not change significantly when small amounts of acid or alkali are added. The explanation of the action of buffers proved to be more challenging with only the stronger candidates giving a complete response in terms of protonation of the conjugate base and increased dissociation of the acid. The calculation of equilibrium concentrations from \({\text{p}}{K_{\text{a}}}\) values was better done than in previous sessions, but still proved too difficult for many. The need to change the units of concentration of propanoic acid made this an additional obstacle in this demanding question.
Most candidates were able to give a definition of buffer solutions including the detail that pH does not change significantly when small amounts of acid or alkali are added. The explanation of the action of buffers proved to be more challenging with only the stronger candidates giving a complete response in terms of protonation of the conjugate base and increased dissociation of the acid. The calculation of equilibrium concentrations from \({\text{p}}{K_{\text{a}}}\) values was better done than in previous sessions, but still proved too difficult for many. The need to change the units of concentration of propanoic acid made this an additional obstacle in this demanding question.
Acids can be described as strong or weak.
(i) Outline the difference in dissociation between strong and weak acids of the same concentration.
(ii) Describe three tests that can be carried out in the laboratory, and the expected results, to distinguish between \({\text{0.10 mol}}\,{\text{d}}{{\text{m}}^{ - 3}}{\text{ HCl(aq)}}\) and \({\text{0.10 mol}}\,{\text{d}}{{\text{m}}^{ - 3}}{\text{ C}}{{\text{H}}_{\text{3}}}{\text{COOH(aq)}}\).
Calculate the pH, using table 15 of the data booklet, of a solution of ethanoic acid made by dissolving 1.40 g of the acid in distilled water to make a \({\text{500 c}}{{\text{m}}^{\text{3}}}\) solution.
Determine the pH at the equivalence point of the titration and the \({\text{p}}{K_{\text{a}}}\) of an unknown acid using the acid-base titration curve below.

Identify, using table 16 of the data booklet, a suitable indicator to show the end-point of this titration.
Describe how an indicator, that is a weak acid, works. Use Le Chatelier’s principle in your answer.
State the formula of the conjugate base of chloroethanoic acid, \({\text{C}}{{\text{H}}_{\text{2}}}{\text{ClCOOH}}\).
Identify, with a reason, whether chloroethanoic acid is weaker or stronger than ethanoic acid using table 15 of the data booklet.
Determine the pH of the solution resulting when \({\text{100 c}}{{\text{m}}^{\text{3}}}\) of \({\text{0.50 mol}}\,{\text{d}}{{\text{m}}^{ - 3}}\) \({\text{C}}{{\text{H}}_{\text{2}}}{\text{ClCOOH}}\) is mixed with \({\text{200 c}}{{\text{m}}^{\text{3}}}\) of \({\text{0.10 mol}}\,{\text{d}}{{\text{m}}^{ - 3}}\) NaOH.
Describe how chlorine’s position in the periodic table is related to its electron arrangement.
\({\text{SC}}{{\text{l}}_{\text{2}}}\) and \({\text{SCl}}{{\text{F}}_{\text{5}}}\) are two sulfur chloride type compounds with sulfur having different oxidation states. Predict the name of the shape, the bond angle and polarity of these molecules.
Markscheme
(i) weak acids dissociate only partially and strong acids (are assumed to) dissociate fully;
(ii) measuring electrical conductivity and strong acids have greater electrical conductivity/weak acids have lower electrical conductivity;
Do not accept conductivity for electrical conductivity.
Accept explanation in terms of lightbulb in circuit.
measure pH/use universal indicator and pH higher for weak acid/pH lower for strong acid;
conduct titration with a strong base and equivalence point higher for weak acid / buffer region for weak acid;
adding a reactive metal/carbonate/hydrogen carbonate and stronger effervescence/faster reaction with strong acids;
Accept converse argument.
Accept correct example.
adding a strong base and strong acid would increase more in temperature/weak acids increase less in temperature;
Accept correct example.
Award [1 max] for three suitable tests without correct results.
Accept specific examples with given strong acid and weak acid.
Accept “addition of \(AgN{O_3}(aq)\) and white precipitate with HCl (aq)”.
Do not accept “smell”.
\(\frac{{1.40}}{{60.06}} = 0.0233{\text{ (mol)}}\,\,\,\)and\(\,\,\,\frac{{0.0233}}{{0.500}} = 0.0466{\text{ (mol}}\,{\text{d}}{{\text{m}}^{ - 3}})\);
\({\text{(p}}{K_{\text{a}}} = 4.76{\text{)}}{K_{\text{a}}} = 1.7 \times {10^{ - 5}}\);
\({\text{[}}{{\text{H}}^ + }{\text{]}} = \sqrt {{K_{\text{a}}}{\text{[HA]}}} = 8.9 \times {10^{ - 4}}\);
Accept \(9.0 \times 1{0^{ - {\text{4}}}}\).
\({\text{pH}} = 3.05\);
Award [4] for correct final answer.
Accept alternative methods.
Equivalence point: pH of 9.5;
Accept values between 9 and 10.
\({\text{p}}{K_{\text{a}}} = {\text{pH}}\) at half equivalence point;
\({\text{p}}{K_{\text{a}}} = 5.4\);
Accept any value between 5.2 and 5.6.
Award [2] for M2 and M3 if correct \(p{K_a}\) given without explanation.
phenolphthalein;
\({\text{HIn(aq)}} \rightleftharpoons {{\text{H}}^ + }{\text{(aq)}} + {\text{I}}{{\text{n}}^ - }{\text{(aq)}}\) and HIn and \({\text{I}}{{\text{n}}^ - }\) have different colours;
Ignore state symbols.
equilibrium shifts depending on addition of \({{\text{H}}^ + }\) and \({\text{O}}{{\text{H}}^ - }\) / more HIn in acid/low pH / more \({\text{I}}{{\text{n}}^ - }\) in alkali/high pH;
\({\text{C}}{{\text{H}}_{\text{2}}}{\text{ClCO}}{{\text{O}}^ - }\);
stronger because \({\text{p}}{K_{\text{a}}}\) of chloroethanoic acid is \( < {\text{p}}{K_{\text{a}}}\) of ethanoic acid;
Concentration of acid: \(\frac{{0.030}}{{0.300}} = 0.10{\text{ (mol}}\,{\text{d}}{{\text{m}}^{ - 3}}{\text{)}}\);
Concentration of base/salt: \(\frac{{0.020}}{{0.300}} = 0.067{\text{ (mol}}\,{\text{d}}{{\text{m}}^{ - 3}}{\text{)}}\);
\([{{\text{H}}^ + }] = \frac{{{K_{\text{a}}} \times [{\text{HA}}]}}{{[{{\text{A}}^ - }]}}/\frac{{1.3 \times {{10}^{ - 3}} \times 0.10}}{{0.067}}{\text{/}}1.9 \times {10^{ - 3}}{\text{ (mol}}\,{\text{d}}{{\text{m}}^{ - 3}}{\text{)}}\);
\({\text{pH}} = 2.72\);
Award [4] for correct final answer.
Accept 2.69, 2.70 or 2.7.
Alternative for M3 and M4 if Henderson-Hasselbalch equation used:
M3: \(pH = p{K_a} + log\frac{{[base]}}{{[acid]}}{\text{/ }}2.87 + log\left( {\frac{{{\text{0.067}}}}{{0.10}}} \right)\)
M4: \(pH = 2.70\).
Award [1 max] for \({n_{acid}} ( = 100 \times 0.50 \div 1000) = 0.050 mol\) and
\({n_{base}}( = 200 \times 0.10 \div 1000) = 0.020 mol\).
Cl has 7 valence electrons and is in group 7;
Accept “group 17” as suggested by IUPAC.
Cl has 3 occupied (electron) shells/energy levels and so is in period 3;

Do not accept ECF for bond angles and polarities from incorrect shapes.
Award [3] for all six correct.
Award [2] for four or five correct.
Award [1] for two or three correct.
Examiners report
There is a difference, which candidates should note, between “not fully dissociated” and “partially dissociated” when describing a weak acid. The latter is correct; the former is not accepted as it could mean anything between 1% and 99%. In (ii), many did not state the difference in behaviour of the two acids. Many gained the first mark in (b) for finding the concentration of ethanoic acid. Thereafter either full marks was obtained – or there was total confusion. The equivalence point in (c) was better known than the \({\text{p}}{K_{\text{a}}}\) where an explanation was expected. The best candidates annotated the graph. Almost all candidates identified phenolphthalein in (ii) correctly but in (iii) any answer that did not begin with an equation was likely to score zero. In questions such as (d) (i), candidates should avoid writing a balanced equation (and there were many) unless the actual answer is clearly indicated. Many were able to identify the stronger acid with the correct reason but in (iii) there were few successful conclusions, many not having recognized that a buffer solution was formed. In (e), most were able to explain why chlorine is in group 7, but the explanation for the period, when it was given, often omitted the idea of occupied shells. In (f), it was disappointing to note that many thought \({\text{SC}}{{\text{l}}_{\text{2}}}\) to be linear and \({\text{SCl}}{{\text{F}}_{\text{5}}}\) trigonal bipyramidal or square pyramidal. Two respondents commented that the column headed “polarity” was confusing; although we could have expressed this more clearly, the candidates did not seem to have a difficulty with this.
There is a difference, which candidates should note, between “not fully dissociated” and “partially dissociated” when describing a weak acid. The latter is correct; the former is not accepted as it could mean anything between 1% and 99%. In (ii), many did not state the difference in behaviour of the two acids. Many gained the first mark in (b) for finding the concentration of ethanoic acid. Thereafter either full marks was obtained – or there was total confusion. The equivalence point in (c) was better known than the \({\text{p}}{K_{\text{a}}}\) where an explanation was expected. The best candidates annotated the graph. Almost all candidates identified phenolphthalein in (ii) correctly but in (iii) any answer that did not begin with an equation was likely to score zero. In questions such as (d) (i), candidates should avoid writing a balanced equation (and there were many) unless the actual answer is clearly indicated. Many were able to identify the stronger acid with the correct reason but in (iii) there were few successful conclusions, many not having recognized that a buffer solution was formed. In (e), most were able to explain why chlorine is in group 7, but the explanation for the period, when it was given, often omitted the idea of occupied shells. In (f), it was disappointing to note that many thought \({\text{SC}}{{\text{l}}_{\text{2}}}\) to be linear and \({\text{SCl}}{{\text{F}}_{\text{5}}}\) trigonal bipyramidal or square pyramidal. Two respondents commented that the column headed “polarity” was confusing; although we could have expressed this more clearly, the candidates did not seem to have a difficulty with this.
There is a difference, which candidates should note, between “not fully dissociated” and “partially dissociated” when describing a weak acid. The latter is correct; the former is not accepted as it could mean anything between 1% and 99%. In (ii), many did not state the difference in behaviour of the two acids. Many gained the first mark in (b) for finding the concentration of ethanoic acid. Thereafter either full marks was obtained – or there was total confusion. The equivalence point in (c) was better known than the \({\text{p}}{K_{\text{a}}}\) where an explanation was expected. The best candidates annotated the graph. Almost all candidates identified phenolphthalein in (ii) correctly but in (iii) any answer that did not begin with an equation was likely to score zero. In questions such as (d) (i), candidates should avoid writing a balanced equation (and there were many) unless the actual answer is clearly indicated. Many were able to identify the stronger acid with the correct reason but in (iii) there were few successful conclusions, many not having recognized that a buffer solution was formed. In (e), most were able to explain why chlorine is in group 7, but the explanation for the period, when it was given, often omitted the idea of occupied shells. In (f), it was disappointing to note that many thought \({\text{SC}}{{\text{l}}_{\text{2}}}\) to be linear and \({\text{SCl}}{{\text{F}}_{\text{5}}}\) trigonal bipyramidal or square pyramidal. Two respondents commented that the column headed “polarity” was confusing; although we could have expressed this more clearly, the candidates did not seem to have a difficulty with this.
There is a difference, which candidates should note, between “not fully dissociated” and “partially dissociated” when describing a weak acid. The latter is correct; the former is not accepted as it could mean anything between 1% and 99%. In (ii), many did not state the difference in behaviour of the two acids. Many gained the first mark in (b) for finding the concentration of ethanoic acid. Thereafter either full marks was obtained – or there was total confusion. The equivalence point in (c) was better known than the \({\text{p}}{K_{\text{a}}}\) where an explanation was expected. The best candidates annotated the graph. Almost all candidates identified phenolphthalein in (ii) correctly but in (iii) any answer that did not begin with an equation was likely to score zero. In questions such as (d) (i), candidates should avoid writing a balanced equation (and there were many) unless the actual answer is clearly indicated. Many were able to identify the stronger acid with the correct reason but in (iii) there were few successful conclusions, many not having recognized that a buffer solution was formed. In (e), most were able to explain why chlorine is in group 7, but the explanation for the period, when it was given, often omitted the idea of occupied shells. In (f), it was disappointing to note that many thought \({\text{SC}}{{\text{l}}_{\text{2}}}\) to be linear and \({\text{SCl}}{{\text{F}}_{\text{5}}}\) trigonal bipyramidal or square pyramidal. Two respondents commented that the column headed “polarity” was confusing; although we could have expressed this more clearly, the candidates did not seem to have a difficulty with this.
There is a difference, which candidates should note, between “not fully dissociated” and “partially dissociated” when describing a weak acid. The latter is correct; the former is not accepted as it could mean anything between 1% and 99%. In (ii), many did not state the difference in behaviour of the two acids. Many gained the first mark in (b) for finding the concentration of ethanoic acid. Thereafter either full marks was obtained – or there was total confusion. The equivalence point in (c) was better known than the \({\text{p}}{K_{\text{a}}}\) where an explanation was expected. The best candidates annotated the graph. Almost all candidates identified phenolphthalein in (ii) correctly but in (iii) any answer that did not begin with an equation was likely to score zero. In questions such as (d) (i), candidates should avoid writing a balanced equation (and there were many) unless the actual answer is clearly indicated. Many were able to identify the stronger acid with the correct reason but in (iii) there were few successful conclusions, many not having recognized that a buffer solution was formed. In (e), most were able to explain why chlorine is in group 7, but the explanation for the period, when it was given, often omitted the idea of occupied shells. In (f), it was disappointing to note that many thought \({\text{SC}}{{\text{l}}_{\text{2}}}\) to be linear and \({\text{SCl}}{{\text{F}}_{\text{5}}}\) trigonal bipyramidal or square pyramidal. Two respondents commented that the column headed “polarity” was confusing; although we could have expressed this more clearly, the candidates did not seem to have a difficulty with this.
There is a difference, which candidates should note, between “not fully dissociated” and “partially dissociated” when describing a weak acid. The latter is correct; the former is not accepted as it could mean anything between 1% and 99%. In (ii), many did not state the difference in behaviour of the two acids. Many gained the first mark in (b) for finding the concentration of ethanoic acid. Thereafter either full marks was obtained – or there was total confusion. The equivalence point in (c) was better known than the \({\text{p}}{K_{\text{a}}}\) where an explanation was expected. The best candidates annotated the graph. Almost all candidates identified phenolphthalein in (ii) correctly but in (iii) any answer that did not begin with an equation was likely to score zero. In questions such as (d) (i), candidates should avoid writing a balanced equation (and there were many) unless the actual answer is clearly indicated. Many were able to identify the stronger acid with the correct reason but in (iii) there were few successful conclusions, many not having recognized that a buffer solution was formed. In (e), most were able to explain why chlorine is in group 7, but the explanation for the period, when it was given, often omitted the idea of occupied shells. In (f), it was disappointing to note that many thought \({\text{SC}}{{\text{l}}_{\text{2}}}\) to be linear and \({\text{SCl}}{{\text{F}}_{\text{5}}}\) trigonal bipyramidal or square pyramidal. Two respondents commented that the column headed “polarity” was confusing; although we could have expressed this more clearly, the candidates did not seem to have a difficulty with this.
There is a difference, which candidates should note, between “not fully dissociated” and “partially dissociated” when describing a weak acid. The latter is correct; the former is not accepted as it could mean anything between 1% and 99%. In (ii), many did not state the difference in behaviour of the two acids. Many gained the first mark in (b) for finding the concentration of ethanoic acid. Thereafter either full marks was obtained – or there was total confusion. The equivalence point in (c) was better known than the \({\text{p}}{K_{\text{a}}}\) where an explanation was expected. The best candidates annotated the graph. Almost all candidates identified phenolphthalein in (ii) correctly but in (iii) any answer that did not begin with an equation was likely to score zero. In questions such as (d) (i), candidates should avoid writing a balanced equation (and there were many) unless the actual answer is clearly indicated. Many were able to identify the stronger acid with the correct reason but in (iii) there were few successful conclusions, many not having recognized that a buffer solution was formed. In (e), most were able to explain why chlorine is in group 7, but the explanation for the period, when it was given, often omitted the idea of occupied shells. In (f), it was disappointing to note that many thought \({\text{SC}}{{\text{l}}_{\text{2}}}\) to be linear and \({\text{SCl}}{{\text{F}}_{\text{5}}}\) trigonal bipyramidal or square pyramidal. Two respondents commented that the column headed “polarity” was confusing; although we could have expressed this more clearly, the candidates did not seem to have a difficulty with this.
There is a difference, which candidates should note, between “not fully dissociated” and “partially dissociated” when describing a weak acid. The latter is correct; the former is not accepted as it could mean anything between 1% and 99%. In (ii), many did not state the difference in behaviour of the two acids. Many gained the first mark in (b) for finding the concentration of ethanoic acid. Thereafter either full marks was obtained – or there was total confusion. The equivalence point in (c) was better known than the \({\text{p}}{K_{\text{a}}}\) where an explanation was expected. The best candidates annotated the graph. Almost all candidates identified phenolphthalein in (ii) correctly but in (iii) any answer that did not begin with an equation was likely to score zero. In questions such as (d) (i), candidates should avoid writing a balanced equation (and there were many) unless the actual answer is clearly indicated. Many were able to identify the stronger acid with the correct reason but in (iii) there were few successful conclusions, many not having recognized that a buffer solution was formed. In (e), most were able to explain why chlorine is in group 7, but the explanation for the period, when it was given, often omitted the idea of occupied shells. In (f), it was disappointing to note that many thought \({\text{SC}}{{\text{l}}_{\text{2}}}\) to be linear and \({\text{SCl}}{{\text{F}}_{\text{5}}}\) trigonal bipyramidal or square pyramidal. Two respondents commented that the column headed “polarity” was confusing; although we could have expressed this more clearly, the candidates did not seem to have a difficulty with this.
There is a difference, which candidates should note, between “not fully dissociated” and “partially dissociated” when describing a weak acid. The latter is correct; the former is not accepted as it could mean anything between 1% and 99%. In (ii), many did not state the difference in behaviour of the two acids. Many gained the first mark in (b) for finding the concentration of ethanoic acid. Thereafter either full marks was obtained – or there was total confusion. The equivalence point in (c) was better known than the \({\text{p}}{K_{\text{a}}}\) where an explanation was expected. The best candidates annotated the graph. Almost all candidates identified phenolphthalein in (ii) correctly but in (iii) any answer that did not begin with an equation was likely to score zero. In questions such as (d) (i), candidates should avoid writing a balanced equation (and there were many) unless the actual answer is clearly indicated. Many were able to identify the stronger acid with the correct reason but in (iii) there were few successful conclusions, many not having recognized that a buffer solution was formed. In (e), most were able to explain why chlorine is in group 7, but the explanation for the period, when it was given, often omitted the idea of occupied shells. In (f), it was disappointing to note that many thought \({\text{SC}}{{\text{l}}_{\text{2}}}\) to be linear and \({\text{SCl}}{{\text{F}}_{\text{5}}}\) trigonal bipyramidal or square pyramidal. Two respondents commented that the column headed “polarity” was confusing; although we could have expressed this more clearly, the candidates did not seem to have a difficulty with this.
There is a difference, which candidates should note, between “not fully dissociated” and “partially dissociated” when describing a weak acid. The latter is correct; the former is not accepted as it could mean anything between 1% and 99%. In (ii), many did not state the difference in behaviour of the two acids. Many gained the first mark in (b) for finding the concentration of ethanoic acid. Thereafter either full marks was obtained – or there was total confusion. The equivalence point in (c) was better known than the \({\text{p}}{K_{\text{a}}}\) where an explanation was expected. The best candidates annotated the graph. Almost all candidates identified phenolphthalein in (ii) correctly but in (iii) any answer that did not begin with an equation was likely to score zero. In questions such as (d) (i), candidates should avoid writing a balanced equation (and there were many) unless the actual answer is clearly indicated. Many were able to identify the stronger acid with the correct reason but in (iii) there were few successful conclusions, many not having recognized that a buffer solution was formed. In (e), most were able to explain why chlorine is in group 7, but the explanation for the period, when it was given, often omitted the idea of occupied shells. In (f), it was disappointing to note that many thought \({\text{SC}}{{\text{l}}_{\text{2}}}\) to be linear and \({\text{SCl}}{{\text{F}}_{\text{5}}}\) trigonal bipyramidal or square pyramidal. Two respondents commented that the column headed “polarity” was confusing; although we could have expressed this more clearly, the candidates did not seem to have a difficulty with this.
Iron rusts in the presence of oxygen and water. Rusting is a redox process involving several steps that produces hydrated iron(III) oxide, \({\text{F}}{{\text{e}}_{\text{2}}}{{\text{O}}_{\text{3}}} \bullet {\text{n}}{{\text{H}}_{\text{2}}}{\text{O}}\), as the final product.
The half-equations involved for the first step of rusting are given below.
Half-equation 1: \({\text{Fe(s)}} \to {\text{F}}{{\text{e}}^{2 + }}{\text{(aq)}} + {\text{2}}{{\text{e}}^ - }\)
Half-equation 2: \({{\text{O}}_{\text{2}}}{\text{(aq)}} + {\text{4}}{{\text{e}}^ - } + {\text{2}}{{\text{H}}_{\text{2}}}{\text{O(l)}} \to {\text{4O}}{{\text{H}}^ - }{\text{(aq)}}\)
(i) Identify whether half-equation 1 represents oxidation or reduction, giving a reason for your answer.
(ii) Identify the oxidation number of each atom in the three species in half-equation 2.

(iii) Deduce the overall redox equation for the first step of rusting by combining half-equations 1 and 2.
(iv) Identify the reducing agent in the redox equation in part (iii).
The oxygen in half-equation 2 is atmospheric oxygen that is found dissolved in water in very small concentrations. Explain, in terms of intermolecular forces, why oxygen is not very soluble in water.
State the relationship between the electron arrangement of an element and its group and period in the periodic table.
Transition metals and their compounds often catalyse reactions. The catalyzed decomposition of hydrogen peroxide by CuO is an example. State two other examples of catalyzed reactions giving the transition metal or its compound acting as catalyst.
(i) State a chemical equation for the partial dissociation of water into ions, including state symbols.
(ii) The dissociation of water into ions is reversible. State the expression for the ionic product constant of water.
(iii) The ionic product constant of water was measured at three different temperatures.

Deduce whether the ionization of water is exothermic or endothermic, giving your reason.
(iv) Use the data in part (iii) to determine the pH of water at 373 K, correct to two decimal places.
(i) An aqueous solution of sodium chloride is electrolysed using inert electrodes. Explain which product is obtained at the positive electrode (anode) if the concentration of sodium chloride is high.
(ii) State the half-equations occurring at the electrodes during the electrolysis of the concentrated aqueous solution of sodium chloride.
Negative electrode (cathode):
Positive electrode (anode):
Describe how electrolysis can be used to electroplate a bracelet with a layer of silver metal. Include the choice of electrodes and electrolyte needed in your description.
Markscheme
(i) oxidation and (iron/Fe) loses electrons/increases in oxidation number/state;
(ii)
;
Award [2] for five correct.
Award [1] for four correct.
Accept use of oxidation states (0, +1, –2, –2, +1) for oxidation numbers.
Penalize once for incorrect notation (eg, 2, 2–).
(iii) \({{\text{O}}_2}{\text{(aq)}} + {\text{2}}{{\text{H}}_2}{\text{O(l)}} + {\text{2Fe(s)}} \to {\text{2F}}{{\text{e}}^{2 + }}{\text{(aq)}} + {\text{4O}}{{\text{H}}^ - }{\text{(aq)}}\);
Ignore state symbols.
(iv) Fe/iron;
needs to break strong hydrogen bonds/H–bonds between water molecules (to dissolve) / oxygen cannot form hydrogen bonds/H–bonds with water;
oxygen can only form (weak) van der Waals’/vdW/LDF/London/dispersion forces with water;
groups indicate the number of electrons in the highest energy level/outer/valence shell;
periods indicate the number of (occupied) energy levels/shells (in the atom);
\({{\text{V}}_{\text{2}}}{{\text{O}}_{\text{5}}}\) catalyses oxidation of \({\text{S}}{{\text{O}}_{\text{2}}}\) / \({{\text{V}}_{\text{2}}}{{\text{O}}_{\text{5}}}\) is a catalyst in the Contact Process;
Fe catalyses the reaction between \({{\text{N}}_{\text{2}}}\) and \({{\text{H}}_{\text{2}}}\) / Fe is a catalyst in the Haber Process;
Ni/Pd/Pt catalyses hydrogenation / manufacture of margarine / addition of hydrogen to C=C / conversion of alkenes to alkanes;
Pd/Pt is a catalyst in catalytic converters / Pd/Pt catalyzes reaction of \({\text{N}}{{\text{O}}_{\text{2}}}\) and CO/\({\text{N}}{{\text{O}}_{\text{2}}}\) and (unburnt) fuel/exhaust gases;
Accept other correct examples.
Accept formulas or names of substances.
(i) \({{\text{H}}_2}{\text{O(l)}} \rightleftharpoons {{\text{H}}^ + }{\text{(aq)}} + {\text{O}}{{\text{H}}^ - }{\text{(aq)}}/{\text{2}}{{\text{H}}_2}{\text{O(l)}} \rightleftharpoons {{\text{H}}_3}{{\text{O}}^ + }{\text{(aq)}} + {\text{O}}{{\text{H}}^ - }{\text{(aq)}}\);
\( \rightleftharpoons \) and state symbols are necessary for the mark.
(ii) \({K_w} = {\text{[}}{{\text{H}}^ + }{\text{][O}}{{\text{H}}^ - }{\text{]}}/{K_w} = {\text{[}}{{\text{H}}_3}{{\text{O}}^ + }{\text{][O}}{{\text{H}}^ - }{\text{]}}\);
(iii) at higher temperatures ionization increases / at higher temperatures equilibrium shifts to right;
ionization is endothermic;
Do not allow ECF for M2.
(iv) \({\text{5.13}} \times {\text{1}}{{\text{0}}^{ - 13}} = {{\text{[}}{{\text{H}}_3}{{\text{O}}^ + }{\text{]}}^2}/{{\text{[}}{{\text{H}}^ + }{\text{]}}^2}/{\text{[}}{{\text{H}}_3}{{\text{O}}^ + }{\text{]}}/{\text{[}}{{\text{H}}^ + }{\text{]}} = {\text{7.16}} \times {\text{1}}{{\text{0}}^{ - 7}}{\text{ (mol}}\,{\text{d}}{{\text{m}}^{ - 3}}{\text{)}}\);
\({\text{pH}} = 6.14/6.15\);
Award [2] for correct final answer.
(i) chlorine/\({\text{C}}{{\text{l}}_{\text{2}}}\) (is produced at the positive electrode/anode);
according to electrochemical series/ \(E^\circ \) values/ease of oxidation \({\text{O}}{{\text{H}}^ - }\)/\({{\text{H}}_{\text{2}}}{\text{O}}\) reacts/oxygen is released / OWTTE / at low chloride concentration \({\text{O}}{{\text{H}}^ - }\)/\({{\text{H}}_{\text{2}}}{\text{O}}\) reacts/oxygen is released;
high concentration makes \({\text{C}}{{\text{l}}^ - }\) oxidize/react in preference to \({\text{O}}{{\text{H}}^ - }\)/\({{\text{H}}_{\text{2}}}{\text{O}}\) / OWTTE;
(ii) Negative electrode (cathode):
\({\text{2}}{{\text{H}}^ + }{\text{(aq)}} + {\text{2}}{{\text{e}}^ - } \to {{\text{H}}_2}{\text{(g)}}/{{\text{H}}^ + }{\text{(aq)}} + {{\text{e}}^ - } \to \frac{1}{2}{{\text{H}}_2}{\text{(g)}}/{\text{2}}{{\text{H}}_2}{\text{O(l)}} + {\text{2}}{{\text{e}}^ - } \to {{\text{H}}_2}{\text{(g)}} + {\text{2O}}{{\text{H}}^ - }{\text{(aq)}}\);
Positive electrode (anode):
\({\text{2C}}{{\text{l}}^ - }{\text{(aq)}} \to {\text{C}}{{\text{l}}_2}{\text{(g)}} + {\text{2}}{{\text{e}}^ - }/{\text{C}}{{\text{l}}^ - }{\text{(aq)}} \to \frac{1}{2}{\text{C}}{{\text{l}}_2}{\text{(g)}} + {{\text{e}}^ - }/{\text{2C}}{{\text{l}}^ - }{\text{(aq)}} - {\text{2}}{{\text{e}}^ - } \to {\text{C}}{{\text{l}}_2}{\text{(g)}}/\)
\({\text{C}}{{\text{l}}^ - }{\text{(aq)}} - {{\text{e}}^ - } \to \frac{1}{2}{\text{C}}{{\text{l}}_2}{\text{(g)}}\);
Ignore state symbols.
Accept e instead of e–.
Award [1] if half-equations are correct but placed at the wrong electrodes.
bracelet/object to be electroplated is the cathode/negative electrode;
silver anode/positive electrode;
Accept Pt anode.
Electrolyte: liquid \({\text{Na[Ag(C}}{{\text{N}}_{\text{2}}}{\text{)]}}\)/sodium dicyanoargentate/\({{\text{[Ag(CN}}{{\text{)}}_{\text{2}}}{\text{]}}^ - }\)/ solution of an appropriate silver salt;
Accept AgNO3/silver nitrate.
All marks can be scored with a labelled diagram.
Examiners report
(i) Very well answered.
(ii) Most candidates answered correctly. The most common mistakes were doubling the oxidation number of H in \({{\text{H}}_{\text{2}}}{\text{O}}\), and entering a wrong oxidation number for elemental oxygen.
(iii) A well-answered question.
The aqueous solubility of oxygen gas was often poorly explained, with the discussion focussing on the intermolecular forces found in each substance separately and then stating that “like dissolves like”.
Well answered by most candidates.
The majority of candidates were able to give two valid examples of transition metals or their compounds acting as catalysts.
(i) Very well answered.
(ii) Well answered.
(iii) About half of the candidates were able to gain full marks. Some candidates found difficulty in connecting the increase in \({K_{\text{w}}}\) to the position of equilibrium.
(iv) About half of the candidates were able to calculate the pH from the \({K_{\text{w}}}\) value.
(i) Many candidates identified chlorine as the product, but the other two marks were more discriminating. Some candidates clarified that \({\text{C}}{{\text{l}}^ - }\) was oxidized in preference to OH- because of its high concentration, but very few related the situation to the electrochemical series.
(ii) This was poorly answered by many candidates. Common mistakes included releasing sodium at the cathode, reversing electrodes and unbalanced redox half-reactions where the electrons were sometimes on the wrong side of the equation.
Very well answered. Most candidates determined both electrodes correctly. The main difficulty for some candidates was choosing a suitable electrolyte.
A sample of magnesium contains three isotopes: magnesium-24, magnesium-25 and magnesium-26, with abundances of 77.44%, 10.00% and 12.56% respectively.
A graph of the successive ionization energies of magnesium is shown below.

The graph below shows pressure and volume data collected for a sample of carbon dioxide gas at 330 K.

(i) Calculate the relative atomic mass of this sample of magnesium correct to two decimal places.
(ii) Predict the relative atomic radii of the three magnesium isotopes, giving your reasons.
(i) Explain the increase in ionization energy values from the 3rd to the 8th electrons.
(ii) Explain the sharp increase in ionization energy values between the 10th and 11th electrons.
(i) Magnesium reacts with oxygen to form an ionic compound, magnesium oxide. Describe how the ions are formed, and the structure and bonding in magnesium oxide.
(ii) Carbon reacts with oxygen to form a covalent compound, carbon dioxide. Describe what is meant by a covalent bond.
(iii) State why magnesium and oxygen form an ionic compound while carbon and oxygen form a covalent compound.
(i) Predict the type of hybridization of the carbon and oxygen atoms in \({\text{C}}{{\text{O}}_{\text{2}}}\).
(ii) Sketch the orbitals of an oxygen atom in \({\text{C}}{{\text{O}}_{\text{2}}}\) on the energy level diagram provided, including the electrons that occupy each orbital.

(iii) Define the term electronegativity.
(iv) Explain why oxygen has a larger electronegativity than carbon.
(i) Draw a best-fit curve for the data on the graph.
(ii) Use the data point labelled X to determine the amount, in mol, of carbon dioxide gas in the sample.
(i) Most indicators are weak acids. Describe qualitatively how indicators work.
(ii) Identify a suitable indicator for a titration between a weak acid and a strong base, using Table 16 of the Data Booklet.
Markscheme
(i) \(\left( {\frac{{(77.44 \times 24) + (10.00 \times 25) + (12.56 \times 26)}}{{100}}} \right)\);
24.35;
Award [2] for correct final answer.
Two decimal places are required for M2.
Do not award any marks for 24.31 without showing method (as the value can be copied from the Data Booklet).
(ii) same atomic radii / 160 pm;
isotopes only differ by number of neutrons/size of nucleus / radius determined by electron shells and number of protons / OWTTE;
Accept neutrons do not affect distance of electrons / OWTTE.
(i) decreasing repulsion between electrons / radius decreases as electrons are removed;
Accept increasing positive charge on ion attracts electrons more strongly.
(ii) 10th electron is in second energy level/shell while 11th electron is in first energy level/shell / 10th is removing electron from electronic arrangement 2,1 while 11th ionization energy is removing electron from electronic arrangement 2;
11th electron removed is much closer to the nucleus / 11th electron removed from a (much) lower energy level/shell;
Accept opposite statement for 10th electron.
(i) magnesium (atom) gives two electrons to oxygen (atom) / oxygen (atom) takes two electrons from magnesium (atom) / magnesium (atom) loses two electrons and oxygen (atom) gains two electrons;
3-dimensional/3-D arrangement of ions / lattice of ions;
(electrostatic) attraction between oppositely charged ions/\({\text{M}}{{\text{g}}^{2 + }}\) and \({{\text{O}}^{2 - }}\);
(ii) electrostatic attraction between a pair of electrons and (positively charged) nuclei;
Accept a/two pairs of shared electrons.
(iii) difference in electronegativity is larger between Mg and O/smaller between C and O;
Accept reference to a numerical value of difference in electronegativity such as above and below 1.80.
(i) C: sp hybridization;
O: \({\text{s}}{{\text{p}}^{\text{2}}}\) hybridization;
Award [1] if the answer is sp without specifying C or O atoms.
(ii) 
three \({\text{s}}{{\text{p}}^{\text{2}}}\) orbitals and one p-orbital at higher energy;
\({\text{s}}{{\text{p}}^{\text{2}}}\) orbitals contain: two, two and one electron and p-orbital contains one electron;
Do not allow ECF from (d)(i).
(iii) ability of atom/nucleus to attract bonding/shared pair of electrons / attraction of nucleus for bonding/shared pair of electrons / OWTTE;
(iv) (same number of shells but) increase in nuclear charge/atomic number/number of protons increases electronegativity / O has more protons than C;
Accept oxygen has a higher effective nuclear charge.
decrease in radius along the period increases electronegativity / O has smaller radius than C;
(i) smooth curve through the data;
Do not accept a curve that passes through all of the points or an answer that joins the points using lines.
(ii) \(p = 21 \times {10^5}/2.1 \times {10^6}{\text{ (Pa)}}/2.1 \times {10^3}{\text{ (kPa)}}\) and
\(V = 50 \times {10^{ - 6}}/5.0 \times {10^{ - 5}}{\text{ }}({{\text{m}}^3})/5.0 \times {10^{ - 2}}{\text{ }}({\text{d}}{{\text{m}}^3})\);
\(\left( {n = \frac{{pV}}{{RT}}} \right)\frac{{2.1 \times {{10}^6} \times 5.0 \times {{10}^{ - 5}}}}{{8.31 \times 330}}\);
\(n = 0.038{\text{ (mol)}}\);
Award [3] for correct final answer.
For M3 apply ECF for correct computation of the equation the student has written, unless more than one mistake is made prior this point.
(i) equilibrium between HIn and \({\text{I}}{{\text{n}}^ - }/{\text{HIn}} \rightleftharpoons {\text{I}}{{\text{n}}^ - } + {{\text{H}}^ + }\);
the colours of HIn and \({\text{I}}{{\text{n}}^ - }\) are different;
if added to acid, the equilibrium shifts to the left and the colour of HIn is seen / OWTTE;
if added to base/alkali, the equilibrium shifts to the right and the colour of \({\text{I}}{{\text{n}}^ - }\) is seen / OWTTE;
(ii) phenolphthalein;
Accept phenol red.
Examiners report
(i) Most candidates were able to calculate the relative atomic mass to the correct number of decimal places.
(ii) Only strong candidates were able to predict the same radius for the isotopes and gave correct reasoning. However, the majority of candidates predicted that a larger number of neutrons resulted is a smaller radius, reflecting a poor understanding of atomic structure.
(i) Very few candidates were able to explain the increase in successive ionization energies for electrons removed from the same sub-shell. Many candidates gave incorrect reasoning.
(ii) The increase between the 10th and 11th ionization energies of magnesium was explained correctly by about half of the candidates. Few candidates scored the first mark by identifying the correct shells or sub-shells the electrons are removed from.
(i) Well answered by many candidates. A few candidates were confusing ionic with covalent bonding, and some referred to a linear MgO molecule in an ionic lattice.
(ii) Few candidates were able to describe the covalent bond precisely. Those who didn’t score usually didn’t make any reference to pairs of electrons.
(iii) Many candidates obtained this mark with satisfactory arguments. It was disappointing to see the abundance of answers based on “is a metal with a non-metal” or “both are non-metals”.
(i) A few candidates identified sp hybridization based on a linear structure. Only the strongest candidates were able to give the correct hybridization for oxygen as well.
(ii) This was the most challenging question on the paper. It was rare to see a correct answer. It seems candidates did not have a good understanding of hybridization.
(iii) Less than half the candidates were able to define electronegativity precisely. Many candidates did not relate it to the pair of electrons in a covalent bond, and simply talked about attracting electrons, which was not sufficient for the mark.
(iv) Many candidates gained the first mark by stating that oxygen has more protons than carbon. But very few candidates identified the second factor, which is the smaller radius of oxygen.
(i) More than half of the candidates drew a smooth curve that was central to the data points. Errors included straight lines, curves joining all data points, or a curve that was not central to the points.
(ii) A very well answered question. Some candidates converted the units of p and V incorrectly and others did not read the scales of the graph correctly.
(i) Many candidates could explain the behaviour of indicators, but there were also some poor answers that did not acknowledge the importance of equilibrium in the action of an indicator.
(ii) Most candidates suggested a suitable indicator.
A student decided to determine the molecular mass of a solid monoprotic acid, HA, by titrating a solution of a known mass of the acid.
The following recordings were made.

To investigate the effect of temperature on the effectiveness of a buffer solution, the student placed \({\text{20.0 c}}{{\text{m}}^{\text{3}}}\) of the buffer solution in a water bath at 24 °C. He added small portions of hydrochloric acid, stirring after each addition, until a total of \({\text{10 c}}{{\text{m}}^{\text{3}}}\) was added, and measured the pH continuously during the addition. The procedure was repeated at different temperatures and the results are shown in the following graph.

Determine the molecular formula of HA.
State what is meant by a buffer solution.
With reference to the graph on page 4, describe the effect of increasing temperature on the effectiveness of the buffer solution.
Markscheme
\(\left( {\frac{{\text{M}}}{{{\text{Mass of }}{{\text{C}}_4}{{\text{H}}_4}{\text{O}}}} = } \right){\text{ }}\frac{{139}}{{68.08}} = 2\);
\({{\text{C}}_8}{{\text{H}}_8}{{\text{O}}_2}\);
Award [2] for correct final answer.
solution which resists change in pH / changes pH slightly / keeps pH constant / OWTTE;
when small amounts of acid or base are added;
less effective at higher temperatures / more effective between 24 °C and 40 °C than > 40 °C;
pH changes more if the same volume of acid is added at high(er) temperature / OWTTE;
Examiners report
Errors were carried forward in the marking of (d).
The common error in defining a buffer solution in (f) (i) was to omit “small” in the addition of acid or alkali whilst in (ii) candidates needed to be more specific about the volume of acid added for full credit.
The common error in defining a buffer solution in (f) (i) was to omit “small” in the addition of acid or alkali whilst in (ii) candidates needed to be more specific about the volume of acid added for full credit.
Trends in physical and chemical properties are useful to chemists.
Cobalt forms the transition metal complex [Co(NH3)4 (H2O)Cl]Br.
Explain why the melting points of the group 1 metals (Li → Cs) decrease down the group whereas the melting points of the group 17 elements (F → I) increase down the group.
State the shape of the complex ion.
Deduce the charge on the complex ion and the oxidation state of cobalt.
Describe, in terms of acid-base theories, the type of reaction that takes place between the cobalt ion and water to form the complex ion.
Markscheme
Any three of:
Group 1:
atomic/ionic radius increases
smaller charge density
OR
force of attraction between metal ions and delocalised electrons decreases
Do not accept discussion of attraction between valence electrons and nucleus for M2.
Accept “weaker metallic bonds” for M2.
Group 17:
number of electrons/surface area/molar mass increase
London/dispersion/van der Waals’/vdw forces increase
Accept “atomic mass” for “molar mass”.
[Max 3 Marks]
«distorted» octahedral
Accept “square bipyramid”.
Charge on complex ion: 1+/+
Oxidation state of cobalt: +2
Lewis «acid-base reaction»
H2O: electron/e– pair donor
OR
Co2+: electron/e– pair acceptor
Examiners report
Phosphorus(V) oxide, \({{\text{P}}_{\text{4}}}{{\text{O}}_{{\text{10}}}}{\text{ }}({M_{\text{r}}} = 283.88)\), reacts vigorously with water \(({M_{\text{r}}} = 18.02)\), according to the equation below.
\[{{\text{P}}_{\text{4}}}{{\text{O}}_{{\text{10}}}}{\text{(s)}} + {\text{6}}{{\text{H}}_{\text{2}}}{\text{O(l)}} \to {\text{4}}{{\text{H}}_{\text{3}}}{\text{P}}{{\text{O}}_{\text{4}}}{\text{(aq)}}\]
A student added 5.00 g of \({{\text{P}}_{\text{4}}}{{\text{O}}_{{\text{10}}}}\) to 1.50 g of water. Determine the limiting reactant, showing your working.
Calculate the mass of phosphoric(V) acid, \({{\text{H}}_{\text{3}}}{\text{P}}{{\text{O}}_{\text{4}}}\), formed in the reaction.
Phosphoric(V) acid, \({{\text{H}}_{\text{3}}}{\text{P}}{{\text{O}}_{\text{4}}}\), has a \({\text{p}}{K_{\text{a}}}\) of 2.12 (\({\text{p}}{K_{{\text{a1}}}}\)) while phosphoric(III) acid, \({{\text{H}}_{\text{3}}}{\text{P}}{{\text{O}}_{\text{3}}}\), has a \({\text{p}}{K_{\text{a}}}\) of 1.23 (\({\text{p}}{K_{{\text{a1}}}}\)). Identify the weaker of the two acids, giving a reason for your choice.
Markscheme
\({{\text{P}}_4}{{\text{O}}_{10}}{\text{: }}\left( {\frac{{{\text{5.00}}}}{{{\text{283.88}}}} = } \right){\text{ 0.0176 (mol)}}\) and \({{\text{H}}_2}{\text{O: }}\left( {\frac{{{\text{1.50}}}}{{{\text{18.02}}}} = } \right){\text{ 0.0832 (mol)}}\);
\({{\text{H}}_2}{\text{O}}\) is the limiting reactant and reason related to stoichiometry;
\(\frac{{0.0832 \times 4}}{6}/0.0555{\text{ (mol)}}\);
\((0.0555 \times 98.00 = ){\text{ }}5.44{\text{ g}}\);
The unit is needed for M2.
Award [2] for correct final answer.
Do not penalize slight numerical variations due to premature rounding.
\({{\text{H}}_3}{\text{P}}{{\text{O}}_4}\) is the weaker acid and higher \({\text{p}}{K_{\text{a}}}\)/lower \({K_{\text{a}}}\);
Examiners report
The majority of candidates calculated the amounts of reactants correctly, and many of them applied the stoichiometric ratio correctly to determine the limiting reactant.
More than half of the candidates calculated the mass of product correctly. Even if the final result was incorrect quite frequently students gained some credit through the application of ECF.
Many candidates appreciated that a higher \({\text{p}}{K_{\text{a}}}\) means a weaker acid. Some candidates did not refer to the \({\text{p}}{K_{\text{a}}}\) or \({K_{\text{a}}}\) value in their reasoning, failing to score a mark.
Water is an important substance that is abundant on the Earth’s surface.
Buffer solutions resist small changes in pH. A phosphate buffer can be made by dissolving \({\text{Na}}{{\text{H}}_{\text{2}}}{\text{P}}{{\text{O}}_{\text{4}}}\) and \({\text{N}}{{\text{a}}_{\text{2}}}{\text{HP}}{{\text{O}}_{\text{4}}}\) in water, in which \({\text{Na}}{{\text{H}}_{\text{2}}}{\text{P}}{{\text{O}}_{\text{4}}}\) produces the acidic ion and \({\text{N}}{{\text{a}}_{\text{2}}}{\text{HP}}{{\text{O}}_{\text{4}}}\) produces the conjugate base ion.
A \({\text{0.10 mol}}\,{\text{d}}{{\text{m}}^{ - 3}}\) ammonia solution is placed in a flask and titrated with a \({\text{0.10 mol}}\,{\text{d}}{{\text{m}}^{ - 3}}\) hydrochloric acid solution.
(i) State the expression for the ionic product constant of water, \({K_{\text{w}}}\).
(ii) Explain why even a very acidic aqueous solution still has some \({\text{O}}{{\text{H}}^ - }\) ions present in it.
(iii) State and explain the effect of increasing temperature on the value of \({K_{\text{w}}}\) given that the ionization of water is an endothermic process.
(iv) State and explain the effect of increasing temperature on the pH of water.
(i) Deduce the acid and conjugate base ions that make up the phosphate buffer and state the ionic equation that represents the phosphate buffer.
(ii) Describe how the phosphate buffer minimizes the effect of the addition of a
strong base, \({\text{O}}{{\text{H}}^ - }{\text{(aq)}}\), to the buffer. Illustrate your answer with an ionic equation.
(iii) Describe how the phosphate buffer minimizes the effect of the addition of a
strong acid, \({{\text{H}}^ + }{\text{(aq)}}\), to the buffer. Illustrate your answer with an ionic equation.
(i) Explain why the pH of the ammonia solution is less than 13.
(ii) Estimate the pH at the equivalence point for the titration of hydrochloric acid with ammonia and explain your reasoning.
(iii) State the equation for the reaction of ammonia with water and write the \({K_{\text{b}}}\) expression for \({\text{N}}{{\text{H}}_{\text{3}}}{\text{(aq)}}\).
(iv) When half the ammonia has been neutralized (the half-equivalence point), the pH of the solution is 9.25. Deduce the relationship between \({\text{[N}}{{\text{H}}_{\text{3}}}{\text{]}}\) and \({\text{[NH}}_4^ + {\text{]}}\) at the
half-equivalence point.
(v) Determine \({\text{p}}{K_{\text{b}}}\) and \({K_{\text{b}}}\) for ammonia based on the pH at the half-equivalence point.
(vi) Describe the significance of the half-equivalence point in terms of its effectiveness as a buffer.
Markscheme
(i) \({\text{(}}{K_{\text{w}}}{\text{)}} = {\text{[}}{{\text{H}}^ + }{\text{][O}}{{\text{H}}^ - }{\text{] / (}}{K_{\text{w}}}{\text{)}} = {\text{[}}{{\text{H}}_{\text{3}}}{{\text{O}}^ + }{\text{][O}}{{\text{H}}^ - }{\text{]}}\);
Do not award mark if [ ] omitted or other brackets are used.
(ii) \({\text{[}}{{\text{H}}^ + }{\text{]}}\) increases, \({\text{[O}}{{\text{H}}^ - }{\text{]}}\) decreases but still some present (\({K_{\text{w}}}\) constant) / \({\text{[O}}{{\text{H}}^ - }{\text{]}}\) cannot go to zero as equilibrium present / \({\text{[O}}{{\text{H}}^ - }{\text{]}} = \frac{{{K_{\text{w}}}}}{{{\text{[}}{{\text{H}}^ + }{\text{]}}}}\), thus \({\text{[O}}{{\text{H}}^ - }{\text{]}}\) cannot be zero / OWTTE;
Accept equilibrium present.
(iii) (changing T disturbs equilibrium) forward reaction favoured / equilibrium shifts to the right;
to use up (some of the) heat supplied;
\({{K_{\text{w}}}}\) increases (as both \({{\text{[}}{{\text{H}}^ + }{\text{]}}}\) and \({\text{[O}}{{\text{H}}^ - }{\text{]}}\) increase);
(iv) (as \({{\text{[}}{{\text{H}}^ + }{\text{]}}}\) increases) pH decreases / \({\text{pH}} < 7\);
No mark for more acidic.
inverse relationship between pH and \({\text{[}}{{\text{H}}^ + }{\text{] / pH}} = - \log {\text{[}}{{\text{H}}^ + }{\text{] / pH}} = {\log _{10}}\frac{{\text{1}}}{{{\text{[}}{{\text{H}}^ + }{\text{]}}}}\);
Accept [H3O+] in place of [H+].
(i) Acid: \({{\text{H}}_2}{\text{PO}}_4^ - \);
(Conjugate) base: \({\text{HPO}}_4^{2 - }\);
No mark for NaH2PO4 or Na2HPO4.
\({{\text{H}}_2}{\text{PO}}_4^ - {\text{(aq)}} \rightleftharpoons {{\text{H}}^ + }{\text{(aq)}} + {\text{HPO}}_4^{2 - }{\text{(aq)}}\);
Accept reverse equation or reaction with water.
Ignore state symbols, but equilibrium sign is required.
Accept OH– (ions) react with H+ (ions) to form H2O.
(ii) strong base/\({\text{O}}{{\text{H}}^ - }\) replaced by weak base (\({\text{HPO}}_4^{2 - }\), and effect minimized) / strong base reacts with acid of buffer / equilibrium in (i) shifts in forward direction;
Accept OH– added reacts with H+ to form H2O.
\({\text{O}}{{\text{H}}^ - }{\text{(aq)}} + {{\text{H}}_2}{\text{PO}}_4^ - {\text{(aq)}} \to {{\text{H}}_2}{\text{O(l)}} + {\text{HPO}}_4^{2 - }{\text{(aq)}}\);
Ignore state symbols, accept equilibrium sign.
(iii) strong acid/\({{\text{H}}^ + }\) replaced by weak acid (\({{\text{H}}_2}{\text{PO}}_4^ - \), and effect minimized) / strong acid reacts with base of buffer / equilibrium in (i) shifts in reverse direction;
\({{\text{H}}^ + }{\text{(aq)}} + {\text{HPO}}_4^{2 - }{\text{(aq)}} \to {{\text{H}}_2}{\text{PO}}_4^ - {\text{(aq)}}\);
Accept reaction with H3O+.
Ignore state symbols.
(i) \({\text{N}}{{\text{H}}_3}\) weak(er) base/partial dissociation;
\({\text{[O}}{{\text{H}}^ - }{\text{]}} < {\text{0.1(0)}}/{\text{pOH}} > 1{\text{ (thus pH}} < 13/{\text{pH}} + {\text{pOH}} = 14{\text{)}}\);
(ii) around \({\text{pH}} = 5\);
Accept a value between 4 and 6.
strong acid–weak base titration, (thus acidic) / at equivalence point, \({\text{NH}}_4^ + \) present is acidic / \({\text{NH}}_4^ + \rightleftharpoons {\text{N}}{{\text{H}}_3} + {{\text{H}}^ + }\);
(iii) \({\text{N}}{{\text{H}}_3}{\text{(aq)}} + {{\text{H}}_2}{\text{O(l)}} \rightleftharpoons {\text{NH}}_4^ + {\text{(aq)}} + {\text{O}}{{\text{H}}^ - }{\text{(aq)}}\);
Ignore state symbols, but equilibrium sign required.
\({K_{\text{b}}} = \frac{{{\text{[NH}}_4^ + {\text{][O}}{{\text{H}}^ - }{\text{]}}}}{{{\text{[N}}{{\text{H}}_3}{\text{]}}}}\);
(iv) \({\text{[N}}{{\text{H}}_3}{\text{]}} = {\text{[NH}}_4^ + {\text{]}}\);
(v) \({\text{pOH}} = 14.00 - 9.25 = 4.75\);
\({\text{p}}{K_{\text{b}}}{\text{ (}} = {\text{pOH)}} = 4.75\);
\({K_{\text{b}}} = 1.78 \times {10^{ - 5}}\);
Ignore units.
Award [3] for correct final answer.
(vi) optimum/most effective/highest buffer capacity/50%–50% buffer/equally effective as an acidic buffer and a basic buffer / OWTTE;
Examiners report
This was the second least commonly answered question. With the exception of the part on buffer chemistry where very few appreciated what was happening, the question was reasonably well done.
While many candidates gave the correct \({K_{\text{w}}}\) expression, it was not uncommon to either find the value of the constant or \({K_{\text{w}}} = {K_{\text{a}}} \times {K_{\text{b}}}\) given as the answers. A few included \({\text{[}}{{\text{H}}_{\text{2}}}{\text{O]}}\) in the expression. Candidates recognised that increasing the temperature shifts the equilibrium to the right, but most did not explain why, namely to use up some of the heat supplied.
Candidates generally concluded that formation of more \({{\text{H}}^ + }\) and \({\text{O}}{{\text{H}}^ - }\) ions gives a higher value of \({K_{\text{w}}}\). A significant number of candidates were able to state the effect of increasing temperature on the pH of water (it decreases) but failed to explain why. Some simply incorrectly stated that the pH would not change.
Many candidates gave the wrong formulas for the acid and the conjugate base ions of the buffer or offered \({\text{Na}}{{\text{H}}_{\text{2}}}{\text{P}}{{\text{O}}_{\text{4}}}\) and \({\text{N}}{{\text{a}}_{\text{2}}}{\text{HP}}{{\text{O}}_{\text{4}}}\) as the answers. Some candidates gave good answers about the effect of adding a small amount of a strong acid or a strong base, but they could not write correct equations to show these two effects.
Nearly all candidates correctly said that the ammonia solution is a weak base because of partial dissociation and \({\text{[O}}{{\text{H}}^ - }{\text{]}}\) would be less than 0.1 to give a pH less than 13. The majority of candidates correctly identified the pH around 4 – 6 because it is a titration between a strong acid and a weak base. When writing the equation for the reaction of ammonia and water some candidates did not write the equilibrium sign. The \({K_{\text{b}}}\) expression was correct in most cases. However, many did not recognise that at the half-equivalence point both the base and the conjugate acid concentrations are equal. The \({\text{p}}{K_{\text{b}}}\) and \({K_{\text{b}}}\) were correctly calculated from the pH of the solution by many candidates. However, most failed to realize that at the half-equivalence point the capacity of the buffer is optimum.
Buffer solutions are widely used in both chemical and biochemical systems.
Describe the composition of an acidic buffer solution.
Determine the pH of a buffer solution, correct to two decimal places, showing your working, consisting of 10.0 g of \({\text{C}}{{\text{H}}_{\text{3}}}{\text{COOH}}\) and 10.0 g of CH\(_3\)COONa in \({\text{0.250 d}}{{\text{m}}^{\text{3}}}\) of solution. \({K_{\text{a}}}\) for \({\text{C}}{{\text{H}}_{\text{3}}}{\text{COOH}} = 1.8 \times {10^{ - 5}}\) at 298 K.
Markscheme
(solution containing significant/equal amounts of a) weak acid and its salt / (solution containing) strong base to which excess of weak acid has been added / OWTTE;
Accept (solution containing) weak acid and conjugate base.
Do not accept descriptions with specific compounds alone (e.g. CH3COOH and CH3COONa) unless compounds are stated as weak acid and its salt.
Accept answer such as (solution containing) x mol of weak acid and \(\frac{1}{2}x\,mol\) of strong base.
\({M_{\text{r}}}{\text{(C}}{{\text{H}}_{\text{3}}}{\text{COOH)}} = 60.06\) and \({M_{\text{r}}}{\text{ C}}{{\text{H}}_3}{\text{COONa}} = 82.04\);
\({\text{[C}}{{\text{H}}_3}{\text{COOH]}} = 6.66 \times {10^{ - 1}}/0.666{\text{ mol}}\,{\text{d}}{{\text{m}}^{ - 3}}\)
\({\text{[C}}{{\text{H}}_3}{\text{CO}}{{\text{O}}^ - }{\text{]}} = 4.88 \times {10^{ - 1}}/{\text{ }}0.488{\text{ mol}}\,{\text{d}}{{\text{m}}^{ - 3}}\);
\({\text{[}}{{\text{H}}_3}{{\text{O}}^ + }{\text{]}}/{\text{[}}{{\text{H}}^ + }{\text{]}} = (1.8 \times {10^{ - 5}} \times 6.66 \times {10^{ - 1}})/4.88 \times {10^{ - 1}} = 2.46 \times {10^{ - 5}}/0.0000246{\text{ mol}}\,{\text{d}}{{\text{m}}^{ - 3}}\);
\({\text{pH}} = \left( { - {\text{log[}}{{\text{H}}_3}{{\text{O}}^ + }{\text{]}} = - {\text{log(2.46}} \times {\text{1}}{{\text{0}}^{ - 5}}{\text{)}} = } \right){\text{ 4.61 (2dp)}}\);
Award [5] for correct final answer of pH = 4.61 with some working shown.
Award [2 max] for pH = 4.61 without any working at all shown.
Two decimal places are required for M5.
OR
\({M_{\text{r}}}{\text{(C}}{{\text{H}}_{\text{3}}}{\text{COOH)}} = 60.06\) and \({M_{\text{r}}}{\text{ C}}{{\text{H}}_3}{\text{COONa}} = 82.04\);
\({\text{[C}}{{\text{H}}_3}{\text{COOH]}} = 6.66 \times {10^{ - 1}}/0.666{\text{ mol}}\,{\text{d}}{{\text{m}}^{ - 3}}\)
\({\text{[C}}{{\text{H}}_3}{\text{CO}}{{\text{O}}^ - }{\text{]}} = 4.88 \times {10^{ - 1}}/{\text{ }}0.488{\text{ mol}}\,{\text{d}}{{\text{m}}^{ - 3}}\);
\({\text{pH}} = - {\text{log(1.8}} \times {\text{1}}{{\text{0}}^{ - 5}}{\text{)}} + {\text{log}}\frac{{{\text{[salt]}}}}{{{\text{[acid]}}}}\);
\( = \left( {4.74 + \log \frac{{0.488}}{{0.666}} = 4.74 - 0.135 = } \right){\text{ }}4.61{\text{ (2dp)}}\);
M4 can be scored even if not explicitly stated if M5 is correct based on previous values.
Award [5] for correct final answer of pH = 4.61 with some working shown.
Award [2 max] for pH = 4.61 without any working at all shown.
Two decimal places are required for M5.
Examiners report
This question was based on buffer solutions and was found to be quite challenging for candidates. In part (a), some candidates again failed to read the question, which asked for a description of an acidic buffer solution. Many did not state explicitly that a weak acid is involved (acid alone was not sufficient).
In part (b), only the best candidates scored all five marks. In addition to conceptual errors, there were also a number of transcription errors (molar mass and arithmetic errors). Candidates also were required to express their answer to two decimal places. A number of candidates used the Henderson-Hasselbalch equation, but often an incorrect equation was given.
Titanium and vanadium are consecutive elements in the first transition metal series.
\({\text{TiC}}{{\text{l}}_{\text{4}}}\) reacts with water and the resulting titanium(IV) oxide can be used as a smoke screen.
Describe the bonding in metals.
Titanium exists as several isotopes. The mass spectrum of a sample of titanium gave the following data:

Calculate the relative atomic mass of titanium to two decimal places.
State the number of protons, neutrons and electrons in the \(_{{\text{22}}}^{{\text{48}}}{\text{Ti}}\) atom.

State the full electron configuration of the \(_{{\text{22}}}^{{\text{48}}}{\text{T}}{{\text{i}}^{2 + }}\) ion.
Suggest why the melting point of vanadium is higher than that of titanium.
Sketch a graph of the first six successive ionization energies of vanadium on the axes provided.

Explain why an aluminium-titanium alloy is harder than pure aluminium.
Describe, in terms of the electrons involved, how the bond between a ligand and a central metal ion is formed.
Outline why transition metals form coloured compounds.
State the type of bonding in potassium chloride which melts at 1043 K.
A chloride of titanium, \({\text{TiC}}{{\text{l}}_{\text{4}}}\), melts at 248 K. Suggest why the melting point is so much lower than that of KCl.
Formulate an equation for this reaction.
Suggest one disadvantage of using this smoke in an enclosed space.
Markscheme
electrostatic attraction
between «a lattice of» metal/positive ions/cations AND «a sea of» delocalized electrons
Accept “mobile electrons”.
Do not accept “metal atoms/nuclei”.
[2 marks]
\(\frac{{(46 \times 7.98){\text{ + }}(47 \times 7.32){\text{ + }}(48 \times 73.99){\text{ + }}(49 \times 5.46){\text{ + }}(50 \times 5.25)}}{{100}} = 47.93\)
Answer must have two decimal places with a value from 47.90 to 48.00.
Award [2] for correct final answer.
Award [0] for 47.87 (data booklet value).
[2 marks]
Protons: 22 AND Neutrons: 26 AND Electrons: 22
[1 mark]
\({\text{1}}{{\text{s}}^{\text{2}}}{\text{2}}{{\text{s}}^{\text{2}}}{\text{2}}{{\text{p}}^{\text{6}}}{\text{3}}{{\text{s}}^{\text{2}}}{\text{3}}{{\text{p}}^{\text{6}}}{\text{3}}{{\text{d}}^{\text{2}}}\)
[1 mark]
vanadium has smaller ionic radius «leading to stronger metallic bonding»
Accept vanadium has «one» more valence electron«s» «leading to stronger metallic bonding».
Accept “atomic” for “ionic”.
[1 mark]
regular increase for first five AND sharp increase to the 6th
A log graph is acceptable.
Accept log plot on given axes (without amendment of y-axis).
Award mark if gradient of 5 to 6 is greater than “best fit line” of 1 to 5.
[1 mark]
titanium atoms/ions distort the regular arrangement of atoms/ions
OR
titanium atoms/ions are a different size to aluminium «atoms/ions»
prevent layers sliding over each other
Accept diagram showing different sizes of atoms/ions.
[2 marks]
pair of electrons provided by the ligand
Do not accept “dative” or “coordinate bonding” alone.
[1 mark]
partially filled d-orbitals
«ligands cause» d-orbitals «to» split
light is absorbed as electrons transit to a higher energy level «in d–d transitions»
OR
light is absorbed as electrons are promoted
energy gap corresponds to light in the visible region of the spectrum
colour observed is the complementary colour
[4 marks]
ionic
OR
«electrostatic» attraction between oppositely charged ions
[1 mark]
«simple» molecular structure
OR
weak«er» intermolecular bonds
OR
weak«er» bonds between molecules
Accept specific examples of weak bonds such as London/dispersion and van der Waals.
Do not accept “covalent”.
[1 mark]
\({\text{TiC}}{{\text{l}}_{\text{4}}}{\text{(l)}} + {\text{2}}{{\text{H}}_{\text{2}}}{\text{O(l)}} \to {\text{Ti}}{{\text{O}}_{\text{2}}}{\text{(s)}} + {\text{4HCl(aq)}}\) correct products
correct balancing
Accept ionic equation.
Award M2 if products are HCl and a compound of Ti and O.
[2 marks]
HCl causes breathing/respiratory problems
OR
HCl is an irritant
OR
HCl is toxic
OR
HCl has acidic vapour
OR
HCl is corrosive
Accept TiO2 causes breathing
problems/is an irritant.
Accept “harmful” for both HCl and TiO2.
Accept “smoke is asphyxiant”.
[1 mark]
Examiners report
Soluble acids and bases ionize in water.
A solution containing 0.510 g of an unknown monoprotic acid, HA, was titrated with 0.100 mol dm–3 NaOH(aq). 25.0 cm3 was required to reach the equivalence point.
The following curve was obtained using a pH probe.
State, giving a reason, the strength of the acid.
State a technique other than a pH titration that can be used to detect the equivalence point.
Deduce the pKa for this acid.
The pKa of an anthocyanin is 4.35. Determine the pH of a 1.60 × 10–3 mol dm–3 solution to two decimal places.
Markscheme
weak AND pH at equivalence greater than 7
OR
weak acid AND forms a buffer region
[1 mark]
calorimetry
OR
measurement of heat/temperature
OR
conductivity measurement
Accept “indicator” but not “universal indicator”.
[1 mark]
«pKa = pH at half-equivalence =» 5.0
[1 mark]
Ka = \({10^{ - 4.35}}/4.46683 \times {10^{ - 5}}\)
[H3O+] = \(\sqrt {4.46683 \times {{10}^{ - 5}} \times 1.60 \times {{10}^{ - 3}}} \,\,\,/\,\,\sqrt {7.1469 \times {{10}^{ - 8}}} \,\,/\,\,2.6734 \times {10^{ - 4}}\) «mol dm–3»
pH = «\( - \log \sqrt {7.1469 \times {{10}^{ - 8}}} = \)» 3.57
Award [3] for correct final answer to two decimal places.
If quadratic equation used, then: [H3O+] = 2.459 × 10–4 «mol dm–3» and pH = 3.61
[3 marks]
Examiners report
This question is about the weak acid methanoic acid, HCOOH.
Calculate the pH of 0.0100 mol dm–3 methanoic acid stating any assumption you make. Ka = 1.6 × 10–4.
(i) Sketch a graph of pH against volume of a strong base added to a weak acid showing how you would determine pKa for the weak acid.
(ii) Explain, using an equation, why the pH increases very little in the buffer region when a small amount of alkali is added.
Markscheme
Calculation:
ALTERNATIVE 1:
[H+] = (Ka × [HA])1/2 / (1.6 × 10–4 × 0.0100)1/2 / 1.3 × 10–3 «mol dm–3»
pH = «–log10[H+] ≈» 2.9
ALTERNATIVE 2:
pH = 0.5(pKa - log10[HA])
pH = 2.9
Award [2] for correct final answer
Assumption:
ionisation is << 0.0100 so 0.0100 - [A–] ≈ 0.0100
OR
[HA]eqm = [HA]initial
OR
all H+ ions in the solution come from the acid «and not from the self-ionisation of water»
OR
[H+] = [HCOO–]
Do not accept partial dissociation
i
correct shape of graph
pH at half neutralization/equivalence
M1: must show buffer region at pH < 7 and equivalence at pH > 7.
Accept graph starting from where two axes meet as pH scale is not specified.
ii
ALTERNATIVE 1:
HCOOH HCOO– + H+
H+ ions consumed in reaction with OH– are produced again as equilibrium moves to the right «so [H+] remains almost unchanged»
ALTERNATIVE 2:
HCOOH + OH– HCOO– + H2O
added OH- are neutralized by HCOOH
OR
strong base replaced by weak base
Accept HA or any other weak acid in equations.
Equilibrium sign must be included in equation for M1
Examiners report
Chromium is a transition metal with many uses.
A voltaic cell is constructed as follows. One half-cell contains a chromium electrode immersed in a solution containing \({\text{C}}{{\text{r}}^{3 + }}{\text{(aq)}}\) ions. The other half-cell contains a copper electrode immersed in a solution containing \({\text{C}}{{\text{u}}^{2 + }}{\text{(aq)}}\) ions. The two electrodes are connected to a voltmeter and the two solutions by a salt bridge.

Draw an orbital diagram (using the arrow-in-box notation) showing the electrons in the 4s and 3d sub-levels in chromium metal.
Outline the nature of the metallic bonding present in chromium.
Explain why chromium metal is malleable.
State the name of \({\text{C}}{{\text{r}}_{\text{2}}}{{\text{O}}_{\text{3}}}\).
Describe the ionic bonding present in \({\text{C}}{{\text{r}}_{\text{2}}}{{\text{O}}_{\text{3}}}\) and how the ions are formed.
Suggest why solid \({\text{C}}{{\text{r}}_{\text{2}}}{{\text{O}}_{\text{3}}}\) does not conduct electricity.
Chromium forms the complex ion \({[{\text{Cr}}{({\text{N}}{{\text{H}}_{\text{3}}})_{\text{4}}}{\text{C}}{{\text{l}}_2}]^ + }\).
Deduce the oxidation number of chromium in this complex.
Chromium forms the complex ion \({[{\text{Cr}}{({\text{N}}{{\text{H}}_{\text{3}}})_{\text{4}}}{\text{C}}{{\text{l}}_2}]^ + }\).
Describe the nature of the ligand-chromium ion bonds in terms of acid-base theory.
Chromium forms the complex ion \({[{\text{Cr}}{({\text{N}}{{\text{H}}_{\text{3}}})_{\text{4}}}{\text{C}}{{\text{l}}_2}]^ + }\).
Explain why \({[{\text{Cr}}{({\text{N}}{{\text{H}}_{\text{3}}})_{\text{4}}}{\text{C}}{{\text{l}}_{\text{2}}}{\text{]}}^ + }\) is coloured.
Chromium forms the complex ion \({[{\text{Cr}}{({\text{N}}{{\text{H}}_{\text{3}}})_{\text{4}}}{\text{C}}{{\text{l}}_2}]^ + }\).
Draw the structures of two possible isomers of this complex ion.
The dichromate ion, \({\text{C}}{{\text{r}}_{\text{2}}}{\text{O}}_{\text{7}}^{2 - }{\text{(aq)}}\), and the iodide ion, \({{\text{I}}^ - }{\text{(aq)}}\), react together in the presence of an acid to form \({\text{C}}{{\text{r}}^{3 + }}{\text{(aq)}}\) and \({\text{IO}}_3^ - {\text{(aq)}}\) ions. Deduce the half-equation for the reaction of \({{\text{I}}^ - }\) to \({\text{IO}}_3^ - \) and the overall equation for this reaction.
Half-equation:
Overall equation:
Explain in terms of oxidation numbers whether iodine is oxidized or reduced in part (d) (i).
Define the term standard electrode potential.
Calculate the cell potential, in V, under standard conditions, for this voltaic cell, using table 14 of the data booklet and \({\text{E}}_{{\text{C}}{{\text{r}}^{3 + }}/{\text{Cr}}}^\Theta = -0.74{\text{ V}}\).
Predict the balanced equation for the spontaneous reaction which will produce a current in this voltaic cell.
Identify the negative and the positive electrodes in this cell.
Predict the direction of movement of electrons in the external circuit.
State the directions in which the negative ions (anions) and the positive ions (cations) flow in the salt bridge.
Markscheme

Accept full-arrows.
Accept boxes in reverse order or at different energy levels.
Do not award the mark if sub-levels are incorrectly labelled or if no boxes are drawn.
(electrostatic) attraction between (lattice of) cations/positive/\({\text{C}}{{\text{r}}^{3 + }}\) ions and delocalized electrons;
(delocalized electrons allows) the layers/rows of cations/positive/\({\text{C}}{{\text{r}}^{3 + }}\) ions to slide past each other (without disrupting the metallic bonding);
Accept atoms instead of ions.
chromium(III) oxide;
Do not award the mark for chromium oxide.
(electrostatic) attraction between positive and negative ions/oppositely charged ions/\({\text{C}}{{\text{r}}^{3 + }}\) and \({{\text{O}}^{2 - }}\);
formed as a result of electron transfer from chromium atoms to oxygen atoms / OWTTE;
Ignore reference to number of electrons transferred or charges of ion for M2.
ions are not free to move (when solid) / ions in rigid lattice / OWTTE;
III / +3;
Do not accept incorrect notation such as 3+/3.
ligand has lone/non-bonding electron pair /
dative (covalent)/coordinate/coordination bond forms;
ligand is Lewis base / ion is Lewis acid;
partially filled/incomplete d sub levels/orbitals;
d orbitals split into two levels;
energy difference is in visible part of spectrum / electrons absorb visible light/one colour/frequency/wavelength;
electron transitions occur from lower to higher energy level (within d sub-level);
complementary colour/colour not absorbed is seen;
Do not accept complementary colour "emitted".
;
Accept any other octahedral arrangement of ligands.
Ignore missing square brackets and charge.
Half equation:
\({{\text{I}}^ - }{\text{(aq)}} + {\text{3}}{{\text{H}}_2}{\text{O(l)}} \to {\text{IO}}_3^ - {\text{(aq)}} + {\text{6}}{{\text{H}}^ + }{\text{(aq)}} + {\text{6}}{{\text{e}}^ - }\);
Accept e instead of \({e^ - }\).
Accept reversible arrows.
Overall equation:
\({\text{C}}{{\text{r}}_2}{\text{O}}_7^{2 - }{\text{(aq)}} + {{\text{I}}^ - }{\text{(aq)}} + {\text{8}}{{\text{H}}^ + }{\text{(aq)}} \to {\text{2C}}{{\text{r}}^{3 + }}{\text{(aq)}} + {\text{IO}}_3^ - {\text{(aq)}} + {\text{4}}{{\text{H}}_2}{\text{O(l)}}\);
Ignore state symbols.
oxidized and increase (in oxidation number) of 6/from –1/–I to +5/+V;
potential (of reduction half-reaction) under standard conditions measured relative to standard hydrogen electrode/SHE / OWTTE;
Accept “solute concentration of 1 \(mol\,d{m^{ - 3}}\)” or “1 bar/1 atm (pressure) for gases” instead of “standard conditions”.
Accept voltage/emf for potential.
\(( + )1.08{\text{ (V)}}\);
\({\text{2Cr(s)}} + {\text{3C}}{{\text{u}}^{2 + }}{\text{(aq)}} \to {\text{2C}}{{\text{r}}^{3 + }}{\text{(aq)}} + {\text{3Cu(s)}}\);
Ignore state symbols.
Do not accept reversible arrows.
Negative electrode: chromium/Cr and Positive electrode: copper/Cu;
Accept “Cr is the anode and Cu the cathode”.
from chromium/Cr to copper/Cu;
Accept “from negative electrode/anode to positive electrode/cathode” if electrodes correctly identified in (iv).
negative ions/anions towards the chromium(III) solution and positive ions/cations towards the copper(II) solution / OWTTE;
Examiners report
Most candidates were able to draw an arrow in the box diagram for the electron configuration of chromium, but few gave a complete description of the nature of metallic bonding and did not refer to the attraction between the \({\text{C}}{{\text{r}}^{3 + }}\) cations and the delocalized electrons. Candidates were more successful in explaining malleability in terms of \({\text{C}}{{\text{r}}^{3 + }}\) cations sliding over one another. Most candidates were able to use oxidation numbers in naming \({\text{C}}{{\text{r}}_{\text{2}}}{{\text{O}}_{\text{3}}}\) but the explanation of ionic bonding was incomplete with only limited reference to the electrostatic attraction between the oppositely charged ions. Students continue to struggle to understand that conductivity of molten ionic compounds is due to mobile ions not electrons. Most candidates were able to deduce the oxidation number in the complex ion and give the answer using the correct notation. The nature of the ligand-chromium bond was well known and the explanation of the colour of transition metal complexes was stronger than in previous sessions with only a minority referring to the emission of light. Some teachers have commented that trans/cis-isomers of the complex ions is not specifically stated in the guide but many students were able draw two possible isomers. The representation of 3D structures could have been clearer although this was not explicitly penalized. Redox half-reactions continue to challenge many with only the stronger students being able to gain both marks and deduce the correct overall equation. Some teachers commented that the question was too demanding as students had to construct two half-equations in order to get to the overall redox equation, but the \({\text{C}}{{\text{r}}_{\text{2}}}{\text{O}}_{\text{7}}^{{\text{2}} - }{\text{/C}}{{\text{r}}^{3 + }}\) half-reaction is given in table 14 of the current data booklet. The majority of candidates identified the conversion of \({{\text{I}}^ - }\) to \({\text{I}}{{\text{O}}^{3 - }}\) as oxidation and many able to identify the increase in oxidation number. The workings of a voltaic cell was generally well understood but the definition of the term standard electrode potential was often incomplete with the reference to standard conditions of the hydrogen electrode often missing.
Most candidates were able to draw an arrow in the box diagram for the electron configuration of chromium, but few gave a complete description of the nature of metallic bonding and did not refer to the attraction between the \({\text{C}}{{\text{r}}^{3 + }}\) cations and the delocalized electrons. Candidates were more successful in explaining malleability in terms of \({\text{C}}{{\text{r}}^{3 + }}\) cations sliding over one another. Most candidates were able to use oxidation numbers in naming \({\text{C}}{{\text{r}}_{\text{2}}}{{\text{O}}_{\text{3}}}\) but the explanation of ionic bonding was incomplete with only limited reference to the electrostatic attraction between the oppositely charged ions. Students continue to struggle to understand that conductivity of molten ionic compounds is due to mobile ions not electrons. Most candidates were able to deduce the oxidation number in the complex ion and give the answer using the correct notation. The nature of the ligand-chromium bond was well known and the explanation of the colour of transition metal complexes was stronger than in previous sessions with only a minority referring to the emission of light. Some teachers have commented that trans/cis-isomers of the complex ions is not specifically stated in the guide but many students were able draw two possible isomers. The representation of 3D structures could have been clearer although this was not explicitly penalized. Redox half-reactions continue to challenge many with only the stronger students being able to gain both marks and deduce the correct overall equation. Some teachers commented that the question was too demanding as students had to construct two half-equations in order to get to the overall redox equation, but the \({\text{C}}{{\text{r}}_{\text{2}}}{\text{O}}_{\text{7}}^{{\text{2}} - }{\text{/C}}{{\text{r}}^{3 + }}\) half-reaction is given in table 14 of the current data booklet. The majority of candidates identified the conversion of \({{\text{I}}^ - }\) to \({\text{I}}{{\text{O}}^{3 - }}\) as oxidation and many able to identify the increase in oxidation number. The workings of a voltaic cell was generally well understood but the definition of the term standard electrode potential was often incomplete with the reference to standard conditions of the hydrogen electrode often missing.
Most candidates were able to draw an arrow in the box diagram for the electron configuration of chromium, but few gave a complete description of the nature of metallic bonding and did not refer to the attraction between the \({\text{C}}{{\text{r}}^{3 + }}\) cations and the delocalized electrons. Candidates were more successful in explaining malleability in terms of \({\text{C}}{{\text{r}}^{3 + }}\) cations sliding over one another. Most candidates were able to use oxidation numbers in naming \({\text{C}}{{\text{r}}_{\text{2}}}{{\text{O}}_{\text{3}}}\) but the explanation of ionic bonding was incomplete with only limited reference to the electrostatic attraction between the oppositely charged ions. Students continue to struggle to understand that conductivity of molten ionic compounds is due to mobile ions not electrons. Most candidates were able to deduce the oxidation number in the complex ion and give the answer using the correct notation. The nature of the ligand-chromium bond was well known and the explanation of the colour of transition metal complexes was stronger than in previous sessions with only a minority referring to the emission of light. Some teachers have commented that trans/cis-isomers of the complex ions is not specifically stated in the guide but many students were able draw two possible isomers. The representation of 3D structures could have been clearer although this was not explicitly penalized. Redox half-reactions continue to challenge many with only the stronger students being able to gain both marks and deduce the correct overall equation. Some teachers commented that the question was too demanding as students had to construct two half-equations in order to get to the overall redox equation, but the \({\text{C}}{{\text{r}}_{\text{2}}}{\text{O}}_{\text{7}}^{{\text{2}} - }{\text{/C}}{{\text{r}}^{3 + }}\) half-reaction is given in table 14 of the current data booklet. The majority of candidates identified the conversion of \({{\text{I}}^ - }\) to \({\text{I}}{{\text{O}}^{3 - }}\) as oxidation and many able to identify the increase in oxidation number. The workings of a voltaic cell was generally well understood but the definition of the term standard electrode potential was often incomplete with the reference to standard conditions of the hydrogen electrode often missing.
Most candidates were able to draw an arrow in the box diagram for the electron configuration of chromium, but few gave a complete description of the nature of metallic bonding and did not refer to the attraction between the \({\text{C}}{{\text{r}}^{3 + }}\) cations and the delocalized electrons. Candidates were more successful in explaining malleability in terms of \({\text{C}}{{\text{r}}^{3 + }}\) cations sliding over one another. Most candidates were able to use oxidation numbers in naming \({\text{C}}{{\text{r}}_{\text{2}}}{{\text{O}}_{\text{3}}}\) but the explanation of ionic bonding was incomplete with only limited reference to the electrostatic attraction between the oppositely charged ions. Students continue to struggle to understand that conductivity of molten ionic compounds is due to mobile ions not electrons. Most candidates were able to deduce the oxidation number in the complex ion and give the answer using the correct notation. The nature of the ligand-chromium bond was well known and the explanation of the colour of transition metal complexes was stronger than in previous sessions with only a minority referring to the emission of light. Some teachers have commented that trans/cis-isomers of the complex ions is not specifically stated in the guide but many students were able draw two possible isomers. The representation of 3D structures could have been clearer although this was not explicitly penalized. Redox half-reactions continue to challenge many with only the stronger students being able to gain both marks and deduce the correct overall equation. Some teachers commented that the question was too demanding as students had to construct two half-equations in order to get to the overall redox equation, but the \({\text{C}}{{\text{r}}_{\text{2}}}{\text{O}}_{\text{7}}^{{\text{2}} - }{\text{/C}}{{\text{r}}^{3 + }}\) half-reaction is given in table 14 of the current data booklet. The majority of candidates identified the conversion of \({{\text{I}}^ - }\) to \({\text{I}}{{\text{O}}^{3 - }}\) as oxidation and many able to identify the increase in oxidation number. The workings of a voltaic cell was generally well understood but the definition of the term standard electrode potential was often incomplete with the reference to standard conditions of the hydrogen electrode often missing.
Most candidates were able to draw an arrow in the box diagram for the electron configuration of chromium, but few gave a complete description of the nature of metallic bonding and did not refer to the attraction between the \({\text{C}}{{\text{r}}^{3 + }}\) cations and the delocalized electrons. Candidates were more successful in explaining malleability in terms of \({\text{C}}{{\text{r}}^{3 + }}\) cations sliding over one another. Most candidates were able to use oxidation numbers in naming \({\text{C}}{{\text{r}}_{\text{2}}}{{\text{O}}_{\text{3}}}\) but the explanation of ionic bonding was incomplete with only limited reference to the electrostatic attraction between the oppositely charged ions. Students continue to struggle to understand that conductivity of molten ionic compounds is due to mobile ions not electrons. Most candidates were able to deduce the oxidation number in the complex ion and give the answer using the correct notation. The nature of the ligand-chromium bond was well known and the explanation of the colour of transition metal complexes was stronger than in previous sessions with only a minority referring to the emission of light. Some teachers have commented that trans/cis-isomers of the complex ions is not specifically stated in the guide but many students were able draw two possible isomers. The representation of 3D structures could have been clearer although this was not explicitly penalized. Redox half-reactions continue to challenge many with only the stronger students being able to gain both marks and deduce the correct overall equation. Some teachers commented that the question was too demanding as students had to construct two half-equations in order to get to the overall redox equation, but the \({\text{C}}{{\text{r}}_{\text{2}}}{\text{O}}_{\text{7}}^{{\text{2}} - }{\text{/C}}{{\text{r}}^{3 + }}\) half-reaction is given in table 14 of the current data booklet. The majority of candidates identified the conversion of \({{\text{I}}^ - }\) to \({\text{I}}{{\text{O}}^{3 - }}\) as oxidation and many able to identify the increase in oxidation number. The workings of a voltaic cell was generally well understood but the definition of the term standard electrode potential was often incomplete with the reference to standard conditions of the hydrogen electrode often missing.
Most candidates were able to draw an arrow in the box diagram for the electron configuration of chromium, but few gave a complete description of the nature of metallic bonding and did not refer to the attraction between the \({\text{C}}{{\text{r}}^{3 + }}\) cations and the delocalized electrons. Candidates were more successful in explaining malleability in terms of \({\text{C}}{{\text{r}}^{3 + }}\) cations sliding over one another. Most candidates were able to use oxidation numbers in naming \({\text{C}}{{\text{r}}_{\text{2}}}{{\text{O}}_{\text{3}}}\) but the explanation of ionic bonding was incomplete with only limited reference to the electrostatic attraction between the oppositely charged ions. Students continue to struggle to understand that conductivity of molten ionic compounds is due to mobile ions not electrons. Most candidates were able to deduce the oxidation number in the complex ion and give the answer using the correct notation. The nature of the ligand-chromium bond was well known and the explanation of the colour of transition metal complexes was stronger than in previous sessions with only a minority referring to the emission of light. Some teachers have commented that trans/cis-isomers of the complex ions is not specifically stated in the guide but many students were able draw two possible isomers. The representation of 3D structures could have been clearer although this was not explicitly penalized. Redox half-reactions continue to challenge many with only the stronger students being able to gain both marks and deduce the correct overall equation. Some teachers commented that the question was too demanding as students had to construct two half-equations in order to get to the overall redox equation, but the \({\text{C}}{{\text{r}}_{\text{2}}}{\text{O}}_{\text{7}}^{{\text{2}} - }{\text{/C}}{{\text{r}}^{3 + }}\) half-reaction is given in table 14 of the current data booklet. The majority of candidates identified the conversion of \({{\text{I}}^ - }\) to \({\text{I}}{{\text{O}}^{3 - }}\) as oxidation and many able to identify the increase in oxidation number. The workings of a voltaic cell was generally well understood but the definition of the term standard electrode potential was often incomplete with the reference to standard conditions of the hydrogen electrode often missing.
Most candidates were able to draw an arrow in the box diagram for the electron configuration of chromium, but few gave a complete description of the nature of metallic bonding and did not refer to the attraction between the \({\text{C}}{{\text{r}}^{3 + }}\) cations and the delocalized electrons. Candidates were more successful in explaining malleability in terms of \({\text{C}}{{\text{r}}^{3 + }}\) cations sliding over one another. Most candidates were able to use oxidation numbers in naming \({\text{C}}{{\text{r}}_{\text{2}}}{{\text{O}}_{\text{3}}}\) but the explanation of ionic bonding was incomplete with only limited reference to the electrostatic attraction between the oppositely charged ions. Students continue to struggle to understand that conductivity of molten ionic compounds is due to mobile ions not electrons. Most candidates were able to deduce the oxidation number in the complex ion and give the answer using the correct notation. The nature of the ligand-chromium bond was well known and the explanation of the colour of transition metal complexes was stronger than in previous sessions with only a minority referring to the emission of light. Some teachers have commented that trans/cis-isomers of the complex ions is not specifically stated in the guide but many students were able draw two possible isomers. The representation of 3D structures could have been clearer although this was not explicitly penalized. Redox half-reactions continue to challenge many with only the stronger students being able to gain both marks and deduce the correct overall equation. Some teachers commented that the question was too demanding as students had to construct two half-equations in order to get to the overall redox equation, but the \({\text{C}}{{\text{r}}_{\text{2}}}{\text{O}}_{\text{7}}^{{\text{2}} - }{\text{/C}}{{\text{r}}^{3 + }}\) half-reaction is given in table 14 of the current data booklet. The majority of candidates identified the conversion of \({{\text{I}}^ - }\) to \({\text{I}}{{\text{O}}^{3 - }}\) as oxidation and many able to identify the increase in oxidation number. The workings of a voltaic cell was generally well understood but the definition of the term standard electrode potential was often incomplete with the reference to standard conditions of the hydrogen electrode often missing.
Most candidates were able to draw an arrow in the box diagram for the electron configuration of chromium, but few gave a complete description of the nature of metallic bonding and did not refer to the attraction between the \({\text{C}}{{\text{r}}^{3 + }}\) cations and the delocalized electrons. Candidates were more successful in explaining malleability in terms of \({\text{C}}{{\text{r}}^{3 + }}\) cations sliding over one another. Most candidates were able to use oxidation numbers in naming \({\text{C}}{{\text{r}}_{\text{2}}}{{\text{O}}_{\text{3}}}\) but the explanation of ionic bonding was incomplete with only limited reference to the electrostatic attraction between the oppositely charged ions. Students continue to struggle to understand that conductivity of molten ionic compounds is due to mobile ions not electrons. Most candidates were able to deduce the oxidation number in the complex ion and give the answer using the correct notation. The nature of the ligand-chromium bond was well known and the explanation of the colour of transition metal complexes was stronger than in previous sessions with only a minority referring to the emission of light. Some teachers have commented that trans/cis-isomers of the complex ions is not specifically stated in the guide but many students were able draw two possible isomers. The representation of 3D structures could have been clearer although this was not explicitly penalized. Redox half-reactions continue to challenge many with only the stronger students being able to gain both marks and deduce the correct overall equation. Some teachers commented that the question was too demanding as students had to construct two half-equations in order to get to the overall redox equation, but the \({\text{C}}{{\text{r}}_{\text{2}}}{\text{O}}_{\text{7}}^{{\text{2}} - }{\text{/C}}{{\text{r}}^{3 + }}\) half-reaction is given in table 14 of the current data booklet. The majority of candidates identified the conversion of \({{\text{I}}^ - }\) to \({\text{I}}{{\text{O}}^{3 - }}\) as oxidation and many able to identify the increase in oxidation number. The workings of a voltaic cell was generally well understood but the definition of the term standard electrode potential was often incomplete with the reference to standard conditions of the hydrogen electrode often missing.
Most candidates were able to draw an arrow in the box diagram for the electron configuration of chromium, but few gave a complete description of the nature of metallic bonding and did not refer to the attraction between the \({\text{C}}{{\text{r}}^{3 + }}\) cations and the delocalized electrons. Candidates were more successful in explaining malleability in terms of \({\text{C}}{{\text{r}}^{3 + }}\) cations sliding over one another. Most candidates were able to use oxidation numbers in naming \({\text{C}}{{\text{r}}_{\text{2}}}{{\text{O}}_{\text{3}}}\) but the explanation of ionic bonding was incomplete with only limited reference to the electrostatic attraction between the oppositely charged ions. Students continue to struggle to understand that conductivity of molten ionic compounds is due to mobile ions not electrons. Most candidates were able to deduce the oxidation number in the complex ion and give the answer using the correct notation. The nature of the ligand-chromium bond was well known and the explanation of the colour of transition metal complexes was stronger than in previous sessions with only a minority referring to the emission of light. Some teachers have commented that trans/cis-isomers of the complex ions is not specifically stated in the guide but many students were able draw two possible isomers. The representation of 3D structures could have been clearer although this was not explicitly penalized. Redox half-reactions continue to challenge many with only the stronger students being able to gain both marks and deduce the correct overall equation. Some teachers commented that the question was too demanding as students had to construct two half-equations in order to get to the overall redox equation, but the \({\text{C}}{{\text{r}}_{\text{2}}}{\text{O}}_{\text{7}}^{{\text{2}} - }{\text{/C}}{{\text{r}}^{3 + }}\) half-reaction is given in table 14 of the current data booklet. The majority of candidates identified the conversion of \({{\text{I}}^ - }\) to \({\text{I}}{{\text{O}}^{3 - }}\) as oxidation and many able to identify the increase in oxidation number. The workings of a voltaic cell was generally well understood but the definition of the term standard electrode potential was often incomplete with the reference to standard conditions of the hydrogen electrode often missing.
Most candidates were able to draw an arrow in the box diagram for the electron configuration of chromium, but few gave a complete description of the nature of metallic bonding and did not refer to the attraction between the \({\text{C}}{{\text{r}}^{3 + }}\) cations and the delocalized electrons. Candidates were more successful in explaining malleability in terms of \({\text{C}}{{\text{r}}^{3 + }}\) cations sliding over one another. Most candidates were able to use oxidation numbers in naming \({\text{C}}{{\text{r}}_{\text{2}}}{{\text{O}}_{\text{3}}}\) but the explanation of ionic bonding was incomplete with only limited reference to the electrostatic attraction between the oppositely charged ions. Students continue to struggle to understand that conductivity of molten ionic compounds is due to mobile ions not electrons. Most candidates were able to deduce the oxidation number in the complex ion and give the answer using the correct notation. The nature of the ligand-chromium bond was well known and the explanation of the colour of transition metal complexes was stronger than in previous sessions with only a minority referring to the emission of light. Some teachers have commented that trans/cis-isomers of the complex ions is not specifically stated in the guide but many students were able draw two possible isomers. The representation of 3D structures could have been clearer although this was not explicitly penalized. Redox half-reactions continue to challenge many with only the stronger students being able to gain both marks and deduce the correct overall equation. Some teachers commented that the question was too demanding as students had to construct two half-equations in order to get to the overall redox equation, but the \({\text{C}}{{\text{r}}_{\text{2}}}{\text{O}}_{\text{7}}^{{\text{2}} - }{\text{/C}}{{\text{r}}^{3 + }}\) half-reaction is given in table 14 of the current data booklet. The majority of candidates identified the conversion of \({{\text{I}}^ - }\) to \({\text{I}}{{\text{O}}^{3 - }}\) as oxidation and many able to identify the increase in oxidation number. The workings of a voltaic cell was generally well understood but the definition of the term standard electrode potential was often incomplete with the reference to standard conditions of the hydrogen electrode often missing.
Most candidates were able to draw an arrow in the box diagram for the electron configuration of chromium, but few gave a complete description of the nature of metallic bonding and did not refer to the attraction between the \({\text{C}}{{\text{r}}^{3 + }}\) cations and the delocalized electrons. Candidates were more successful in explaining malleability in terms of \({\text{C}}{{\text{r}}^{3 + }}\) cations sliding over one another. Most candidates were able to use oxidation numbers in naming \({\text{C}}{{\text{r}}_{\text{2}}}{{\text{O}}_{\text{3}}}\) but the explanation of ionic bonding was incomplete with only limited reference to the electrostatic attraction between the oppositely charged ions. Students continue to struggle to understand that conductivity of molten ionic compounds is due to mobile ions not electrons. Most candidates were able to deduce the oxidation number in the complex ion and give the answer using the correct notation. The nature of the ligand-chromium bond was well known and the explanation of the colour of transition metal complexes was stronger than in previous sessions with only a minority referring to the emission of light. Some teachers have commented that trans/cis-isomers of the complex ions is not specifically stated in the guide but many students were able draw two possible isomers. The representation of 3D structures could have been clearer although this was not explicitly penalized. Redox half-reactions continue to challenge many with only the stronger students being able to gain both marks and deduce the correct overall equation. Some teachers commented that the question was too demanding as students had to construct two half-equations in order to get to the overall redox equation, but the \({\text{C}}{{\text{r}}_{\text{2}}}{\text{O}}_{\text{7}}^{{\text{2}} - }{\text{/C}}{{\text{r}}^{3 + }}\) half-reaction is given in table 14 of the current data booklet. The majority of candidates identified the conversion of \({{\text{I}}^ - }\) to \({\text{I}}{{\text{O}}^{3 - }}\) as oxidation and many able to identify the increase in oxidation number. The workings of a voltaic cell was generally well understood but the definition of the term standard electrode potential was often incomplete with the reference to standard conditions of the hydrogen electrode often missing.
Most candidates were able to draw an arrow in the box diagram for the electron configuration of chromium, but few gave a complete description of the nature of metallic bonding and did not refer to the attraction between the \({\text{C}}{{\text{r}}^{3 + }}\) cations and the delocalized electrons. Candidates were more successful in explaining malleability in terms of \({\text{C}}{{\text{r}}^{3 + }}\) cations sliding over one another. Most candidates were able to use oxidation numbers in naming \({\text{C}}{{\text{r}}_{\text{2}}}{{\text{O}}_{\text{3}}}\) but the explanation of ionic bonding was incomplete with only limited reference to the electrostatic attraction between the oppositely charged ions. Students continue to struggle to understand that conductivity of molten ionic compounds is due to mobile ions not electrons. Most candidates were able to deduce the oxidation number in the complex ion and give the answer using the correct notation. The nature of the ligand-chromium bond was well known and the explanation of the colour of transition metal complexes was stronger than in previous sessions with only a minority referring to the emission of light. Some teachers have commented that trans/cis-isomers of the complex ions is not specifically stated in the guide but many students were able draw two possible isomers. The representation of 3D structures could have been clearer although this was not explicitly penalized. Redox half-reactions continue to challenge many with only the stronger students being able to gain both marks and deduce the correct overall equation. Some teachers commented that the question was too demanding as students had to construct two half-equations in order to get to the overall redox equation, but the \({\text{C}}{{\text{r}}_{\text{2}}}{\text{O}}_{\text{7}}^{{\text{2}} - }{\text{/C}}{{\text{r}}^{3 + }}\) half-reaction is given in table 14 of the current data booklet. The majority of candidates identified the conversion of \({{\text{I}}^ - }\) to \({\text{I}}{{\text{O}}^{3 - }}\) as oxidation and many able to identify the increase in oxidation number. The workings of a voltaic cell was generally well understood but the definition of the term standard electrode potential was often incomplete with the reference to standard conditions of the hydrogen electrode often missing.
Most candidates were able to draw an arrow in the box diagram for the electron configuration of chromium, but few gave a complete description of the nature of metallic bonding and did not refer to the attraction between the \({\text{C}}{{\text{r}}^{3 + }}\) cations and the delocalized electrons. Candidates were more successful in explaining malleability in terms of \({\text{C}}{{\text{r}}^{3 + }}\) cations sliding over one another. Most candidates were able to use oxidation numbers in naming \({\text{C}}{{\text{r}}_{\text{2}}}{{\text{O}}_{\text{3}}}\) but the explanation of ionic bonding was incomplete with only limited reference to the electrostatic attraction between the oppositely charged ions. Students continue to struggle to understand that conductivity of molten ionic compounds is due to mobile ions not electrons. Most candidates were able to deduce the oxidation number in the complex ion and give the answer using the correct notation. The nature of the ligand-chromium bond was well known and the explanation of the colour of transition metal complexes was stronger than in previous sessions with only a minority referring to the emission of light. Some teachers have commented that trans/cis-isomers of the complex ions is not specifically stated in the guide but many students were able draw two possible isomers. The representation of 3D structures could have been clearer although this was not explicitly penalized. Redox half-reactions continue to challenge many with only the stronger students being able to gain both marks and deduce the correct overall equation. Some teachers commented that the question was too demanding as students had to construct two half-equations in order to get to the overall redox equation, but the \({\text{C}}{{\text{r}}_{\text{2}}}{\text{O}}_{\text{7}}^{{\text{2}} - }{\text{/C}}{{\text{r}}^{3 + }}\) half-reaction is given in table 14 of the current data booklet. The majority of candidates identified the conversion of \({{\text{I}}^ - }\) to \({\text{I}}{{\text{O}}^{3 - }}\) as oxidation and many able to identify the increase in oxidation number. The workings of a voltaic cell was generally well understood but the definition of the term standard electrode potential was often incomplete with the reference to standard conditions of the hydrogen electrode often missing.
Most candidates were able to draw an arrow in the box diagram for the electron configuration of chromium, but few gave a complete description of the nature of metallic bonding and did not refer to the attraction between the \({\text{C}}{{\text{r}}^{3 + }}\) cations and the delocalized electrons. Candidates were more successful in explaining malleability in terms of \({\text{C}}{{\text{r}}^{3 + }}\) cations sliding over one another. Most candidates were able to use oxidation numbers in naming \({\text{C}}{{\text{r}}_{\text{2}}}{{\text{O}}_{\text{3}}}\) but the explanation of ionic bonding was incomplete with only limited reference to the electrostatic attraction between the oppositely charged ions. Students continue to struggle to understand that conductivity of molten ionic compounds is due to mobile ions not electrons. Most candidates were able to deduce the oxidation number in the complex ion and give the answer using the correct notation. The nature of the ligand-chromium bond was well known and the explanation of the colour of transition metal complexes was stronger than in previous sessions with only a minority referring to the emission of light. Some teachers have commented that trans/cis-isomers of the complex ions is not specifically stated in the guide but many students were able draw two possible isomers. The representation of 3D structures could have been clearer although this was not explicitly penalized. Redox half-reactions continue to challenge many with only the stronger students being able to gain both marks and deduce the correct overall equation. Some teachers commented that the question was too demanding as students had to construct two half-equations in order to get to the overall redox equation, but the \({\text{C}}{{\text{r}}_{\text{2}}}{\text{O}}_{\text{7}}^{{\text{2}} - }{\text{/C}}{{\text{r}}^{3 + }}\) half-reaction is given in table 14 of the current data booklet. The majority of candidates identified the conversion of \({{\text{I}}^ - }\) to \({\text{I}}{{\text{O}}^{3 - }}\) as oxidation and many able to identify the increase in oxidation number. The workings of a voltaic cell was generally well understood but the definition of the term standard electrode potential was often incomplete with the reference to standard conditions of the hydrogen electrode often missing.
Most candidates were able to draw an arrow in the box diagram for the electron configuration of chromium, but few gave a complete description of the nature of metallic bonding and did not refer to the attraction between the \({\text{C}}{{\text{r}}^{3 + }}\) cations and the delocalized electrons. Candidates were more successful in explaining malleability in terms of \({\text{C}}{{\text{r}}^{3 + }}\) cations sliding over one another. Most candidates were able to use oxidation numbers in naming \({\text{C}}{{\text{r}}_{\text{2}}}{{\text{O}}_{\text{3}}}\) but the explanation of ionic bonding was incomplete with only limited reference to the electrostatic attraction between the oppositely charged ions. Students continue to struggle to understand that conductivity of molten ionic compounds is due to mobile ions not electrons. Most candidates were able to deduce the oxidation number in the complex ion and give the answer using the correct notation. The nature of the ligand-chromium bond was well known and the explanation of the colour of transition metal complexes was stronger than in previous sessions with only a minority referring to the emission of light. Some teachers have commented that trans/cis-isomers of the complex ions is not specifically stated in the guide but many students were able draw two possible isomers. The representation of 3D structures could have been clearer although this was not explicitly penalized. Redox half-reactions continue to challenge many with only the stronger students being able to gain both marks and deduce the correct overall equation. Some teachers commented that the question was too demanding as students had to construct two half-equations in order to get to the overall redox equation, but the \({\text{C}}{{\text{r}}_{\text{2}}}{\text{O}}_{\text{7}}^{{\text{2}} - }{\text{/C}}{{\text{r}}^{3 + }}\) half-reaction is given in table 14 of the current data booklet. The majority of candidates identified the conversion of \({{\text{I}}^ - }\) to \({\text{I}}{{\text{O}}^{3 - }}\) as oxidation and many able to identify the increase in oxidation number. The workings of a voltaic cell was generally well understood but the definition of the term standard electrode potential was often incomplete with the reference to standard conditions of the hydrogen electrode often missing.
Most candidates were able to draw an arrow in the box diagram for the electron configuration of chromium, but few gave a complete description of the nature of metallic bonding and did not refer to the attraction between the \({\text{C}}{{\text{r}}^{3 + }}\) cations and the delocalized electrons. Candidates were more successful in explaining malleability in terms of \({\text{C}}{{\text{r}}^{3 + }}\) cations sliding over one another. Most candidates were able to use oxidation numbers in naming \({\text{C}}{{\text{r}}_{\text{2}}}{{\text{O}}_{\text{3}}}\) but the explanation of ionic bonding was incomplete with only limited reference to the electrostatic attraction between the oppositely charged ions. Students continue to struggle to understand that conductivity of molten ionic compounds is due to mobile ions not electrons. Most candidates were able to deduce the oxidation number in the complex ion and give the answer using the correct notation. The nature of the ligand-chromium bond was well known and the explanation of the colour of transition metal complexes was stronger than in previous sessions with only a minority referring to the emission of light. Some teachers have commented that trans/cis-isomers of the complex ions is not specifically stated in the guide but many students were able draw two possible isomers. The representation of 3D structures could have been clearer although this was not explicitly penalized. Redox half-reactions continue to challenge many with only the stronger students being able to gain both marks and deduce the correct overall equation. Some teachers commented that the question was too demanding as students had to construct two half-equations in order to get to the overall redox equation, but the \({\text{C}}{{\text{r}}_{\text{2}}}{\text{O}}_{\text{7}}^{{\text{2}} - }{\text{/C}}{{\text{r}}^{3 + }}\) half-reaction is given in table 14 of the current data booklet. The majority of candidates identified the conversion of \({{\text{I}}^ - }\) to \({\text{I}}{{\text{O}}^{3 - }}\) as oxidation and many able to identify the increase in oxidation number. The workings of a voltaic cell was generally well understood but the definition of the term standard electrode potential was often incomplete with the reference to standard conditions of the hydrogen electrode often missing.
Most candidates were able to draw an arrow in the box diagram for the electron configuration of chromium, but few gave a complete description of the nature of metallic bonding and did not refer to the attraction between the \({\text{C}}{{\text{r}}^{3 + }}\) cations and the delocalized electrons. Candidates were more successful in explaining malleability in terms of \({\text{C}}{{\text{r}}^{3 + }}\) cations sliding over one another. Most candidates were able to use oxidation numbers in naming \({\text{C}}{{\text{r}}_{\text{2}}}{{\text{O}}_{\text{3}}}\) but the explanation of ionic bonding was incomplete with only limited reference to the electrostatic attraction between the oppositely charged ions. Students continue to struggle to understand that conductivity of molten ionic compounds is due to mobile ions not electrons. Most candidates were able to deduce the oxidation number in the complex ion and give the answer using the correct notation. The nature of the ligand-chromium bond was well known and the explanation of the colour of transition metal complexes was stronger than in previous sessions with only a minority referring to the emission of light. Some teachers have commented that trans/cis-isomers of the complex ions is not specifically stated in the guide but many students were able draw two possible isomers. The representation of 3D structures could have been clearer although this was not explicitly penalized. Redox half-reactions continue to challenge many with only the stronger students being able to gain both marks and deduce the correct overall equation. Some teachers commented that the question was too demanding as students had to construct two half-equations in order to get to the overall redox equation, but the \({\text{C}}{{\text{r}}_{\text{2}}}{\text{O}}_{\text{7}}^{{\text{2}} - }{\text{/C}}{{\text{r}}^{3 + }}\) half-reaction is given in table 14 of the current data booklet. The majority of candidates identified the conversion of \({{\text{I}}^ - }\) to \({\text{I}}{{\text{O}}^{3 - }}\) as oxidation and many able to identify the increase in oxidation number. The workings of a voltaic cell was generally well understood but the definition of the term standard electrode potential was often incomplete with the reference to standard conditions of the hydrogen electrode often missing.
Most candidates were able to draw an arrow in the box diagram for the electron configuration of chromium, but few gave a complete description of the nature of metallic bonding and did not refer to the attraction between the \({\text{C}}{{\text{r}}^{3 + }}\) cations and the delocalized electrons. Candidates were more successful in explaining malleability in terms of \({\text{C}}{{\text{r}}^{3 + }}\) cations sliding over one another. Most candidates were able to use oxidation numbers in naming \({\text{C}}{{\text{r}}_{\text{2}}}{{\text{O}}_{\text{3}}}\) but the explanation of ionic bonding was incomplete with only limited reference to the electrostatic attraction between the oppositely charged ions. Students continue to struggle to understand that conductivity of molten ionic compounds is due to mobile ions not electrons. Most candidates were able to deduce the oxidation number in the complex ion and give the answer using the correct notation. The nature of the ligand-chromium bond was well known and the explanation of the colour of transition metal complexes was stronger than in previous sessions with only a minority referring to the emission of light. Some teachers have commented that trans/cis-isomers of the complex ions is not specifically stated in the guide but many students were able draw two possible isomers. The representation of 3D structures could have been clearer although this was not explicitly penalized. Redox half-reactions continue to challenge many with only the stronger students being able to gain both marks and deduce the correct overall equation. Some teachers commented that the question was too demanding as students had to construct two half-equations in order to get to the overall redox equation, but the \({\text{C}}{{\text{r}}_{\text{2}}}{\text{O}}_{\text{7}}^{{\text{2}} - }{\text{/C}}{{\text{r}}^{3 + }}\) half-reaction is given in table 14 of the current data booklet. The majority of candidates identified the conversion of \({{\text{I}}^ - }\) to \({\text{I}}{{\text{O}}^{3 - }}\) as oxidation and many able to identify the increase in oxidation number. The workings of a voltaic cell was generally well understood but the definition of the term standard electrode potential was often incomplete with the reference to standard conditions of the hydrogen electrode often missing.
Phosphine (IUPAC name phosphane) is a hydride of phosphorus, with the formula PH3.
(i) Draw a Lewis (electron dot) structure of phosphine.
(ii) State the hybridization of the phosphorus atom in phosphine.
(iii) Deduce, giving your reason, whether phosphine would act as a Lewis acid, a Lewis base, or neither.
(iv) Outline whether you expect the bonds in phosphine to be polar or non-polar, giving a brief reason.
(v) Phosphine has a much greater molar mass than ammonia. Explain why phosphine has a significantly lower boiling point than ammonia.
(vi) Ammonia acts as a weak Brønsted–Lowry base when dissolved in water.
Outline what is meant by the terms “weak” and “Brønsted–Lowry base”.
Weak:
Brønsted–Lowry base:
Phosphine is usually prepared by heating white phosphorus, one of the allotropes of phosphorus, with concentrated aqueous sodium hydroxide. The equation for the reaction is:
(i) The first reagent is written as P4, not 4P. Describe the difference between P4 and 4P.
(ii) The ion H2PO2− is amphiprotic. Outline what is meant by amphiprotic, giving the formulas of both species it is converted to when it behaves in this manner.
(iii) State the oxidation state of phosphorus in P4 and H2PO2−.
P4:
H2PO2−:
(iv) Oxidation is now defined in terms of change of oxidation number. Explore how earlier definitions of oxidation and reduction may have led to conflicting answers for the conversion of P4 to H2PO2− and the way in which the use of oxidation numbers has resolved this.
2.478 g of white phosphorus was used to make phosphine according to the equation:
(i) Calculate the amount, in mol, of white phosphorus used.
(ii) This phosphorus was reacted with 100.0 cm3 of 5.00 mol dm−3 aqueous sodium hydroxide. Deduce, showing your working, which was the limiting reagent.
(iii) Determine the excess amount, in mol, of the other reagent.
(iv) Determine the volume of phosphine, measured in cm3 at standard temperature and pressure, that was produced.
Impurities cause phosphine to ignite spontaneously in air to form an oxide of phosphorus and water.
(i) 200.0 g of air was heated by the energy from the complete combustion of 1.00 mol phosphine. Calculate the temperature rise using section 1 of the data booklet and the data below.
Standard enthalpy of combustion of phosphine,
Specific heat capacity of air = 1.00Jg−1K−1=1.00kJkg−1K−1
(ii) The oxide formed in the reaction with air contains 43.6% phosphorus by mass. Determine the empirical formula of the oxide, showing your method.
(iii) The molar mass of the oxide is approximately 285 g mol−1. Determine the molecular formula of the oxide.
(iv) State the equation for the reaction of this oxide of phosphorus with water.
(v) Suggest why oxides of phosphorus are not major contributors to acid deposition.
(vi) The levels of sulfur dioxide, a major contributor to acid deposition, can be minimized by either pre-combustion and post-combustion methods. Outline one technique of each method.
Pre-combustion:
Post-combustion:
Markscheme
(i)
Accept structures using dots and/or crosses to indicate bonds and/or lone pair.
(ii)
sp3
Do not allow ECF from a (i).
(iii)
Lewis base AND has a lone pair of electrons «to donate»
(iv)
non-polar AND P and H have the same electronegativity
Accept “similar electronegativities”.
Accept “polar” if there is a reference to a small difference in electronegativity and apply ECF in 1 a (v).
(v)
PH3 has London «dispersion» forces
NH3 forms H-bonds
H-bonds are stronger
OR
London forces are weaker
Accept van der Waals’ forces, dispersion forces and instantaneous dipole – induced dipole forces.
Accept “dipole-dipole forces” as molecule is polar.
H-bonds in NH3 (only) must be mentioned to score [2].
Do not award M2 or M3 if:
• implies covalent bond is the H-bond
• implies covalent bonds break.
Accept “dipole-dipole forces are weaker”.
(vi)
Weak: only partially dissociated/ionized «in dilute aqueous solution»
Brønsted–Lowry base: an acceptor of protons/H+/hydrogen ions
Accept reaction with water is reversible/an equilibrium.
Accept “water is partially dissociated «by the weak base»”.
(i)
P4 is a molecule «comprising 4P atoms» AND 4P is four/separate «P» atoms
OR
P4 represents «4P» atoms bonded together AND 4P represents «4» separate/non-bonded «P» atoms
(ii)
can act as both a «Brønsted–Lowry» acid and a «Brønsted–Lowry» base
OR
can accept and/or donate a hydrogen ion/proton/H+
HPO22– AND H3PO2
(iii)
P4: 0
H2PO2–: +1
Do not accept 1 or 1+ for H2PO2−.
(iv)
oxygen gained, so could be oxidation
hydrogen gained, so could be reduction
OR
negative charge «on product/H2PO2 »/gain of electrons, so could be reduction
oxidation number increases so must be oxidation
Award [1 max] for M1 and M2 if candidate displays knowledge of at least two of these definitions but does not apply them to the reaction.
Do not award M3 for “oxidation number changes”.
(i)
«\(\left\langle {\frac{{2.478}}{{4 \times 30.97}}} \right\rangle \)»= 0.02000 «mol»
(ii)
n(NaOH) = «0.1000 × 5.00 =» 0.500 «mol» AND P4/phosphorus is limiting reagent
Accept n(H2O) = \(\frac{{100}}{{18}}\) = 5.50 AND P4 is limiting reagent.
(iii)
amount in excess «= 0.500 - (3 × 0.02000)» = 0.440 «mol»
(iv)
«22.7 × 1000 × 0.02000» = 454 «cm3»
Accept methods employing pV = nRT, with p as either 100 (454 cm3) or 101.3 kPa (448 cm3). Do not accept answers in dm3.
(i)
temperature rise «=\(\frac{{750 \times 1.00}}{{0.2000 \times 1.00}}\)»=3750«°C/K»
Do not accept −3750.
(ii)
n(P)«=\(\frac{{43.6}}{{30.97}}\)»=1.41 «mol»
n(O) «=\(\frac{{100 - 43.6}}{{16.00}}\)»=3.53 «mol»
«\(\frac{{n\left( {\rm{O}} \right)}}{{n\left( {\rm{P}} \right)}}\)=\(\frac{{3.53}}{{1.41}}\) = 2.50 so empirical formula is» P2O5
Accept other methods where the working is shown.
(iii)
«\(\frac{{285}}{{141.9}}\)=2.00, so molecular formula = 2×P2O5=»P4O10
(iv)
P4O10(s) + 6H2O (l) → 4H3PO4 (aq)
Accept P4O10(s) + 2H2O (l) → 4HPO3 (aq) (initial reaction)
Accept P2O5(s) + 3H2O(l) → 2H3PO4(aq)
Accept equations for P4O6/P2O3 if given in d (iii).
Accept any ionized form of the acids as the products.
(v)
phosphorus not commonly found in fuels
OR
no common pathways for phosphorus oxides to enter the air
OR
amount of phosphorus-containing organic matter undergoing anaerobic decomposition is small
Accept “phosphorus oxides are solids so are not easily distributed in the atmosphere”.
Accept “low levels of phosphorus oxide in the air”.
Do not accept “H3PO4 is a weak acid”.
(vi)
Pre-combustion:
remove sulfur/S/sulfur containing compounds
Post-combustion:
remove it/SO2 by neutralization/reaction with alkali/base
Accept “lime injection fluidised bed combustion” for either, but not both.
Examiners report
Phosgene, COCl2, is usually produced by the reaction between carbon monoxide and chlorine according to the equation:
(i) Deduce the equilibrium constant expression, Kc, for this reaction.
(ii) At exactly 600°C the value of the equilibrium constant is 0.200. Calculate the standard Gibbs free energy change, , for the reaction, in kJ, using sections 1 and 2 of the data booklet. State your answer to three significant figures.
(iii) The standard enthalpy change of formation of phosgene, \(\Delta H_f^\Theta \), is −220.1kJmol−1. Determine the standard enthalpy change, \(\Delta H_{}^\Theta \), for the forward reaction of the equilibrium, in kJ, using section 12 of the data booklet.
(iv) Calculate the standard entropy change, \(\Delta S_{}^\Theta \), in JK−1, for the forward reaction at 25°C, using your answers to (a) (ii) and (a) (iii). (If you did not obtain an answer to (a) (ii) and/or (a) (iii) use values of +20.0 kJ and −120.0 kJ respectively, although these are not the correct answers.)
One important industrial use of phosgene is the production of polyurethanes. Phosgene is reacted with diamine X, derived from phenylamine.
(i) Classify diamine X as a primary, secondary or tertiary amine.
(ii) Phenylamine, C6H5NH2, is produced by the reduction of nitrobenzene, C6H5NO2. Suggest how this conversion can be carried out.
(iii) Nitrobenzene can be obtained by nitrating benzene using a mixture of concentrated nitric and sulfuric acids. Formulate the equation for the equilibrium established when these two acids are mixed.
(iv) Deduce the mechanism for the nitration of benzene, using curly arrows to indicate the movement of electron pairs.
The other monomer used in the production of polyurethane is compound Z shown below.
(i) State the name, applying IUPAC rules, of compound Z and the class of compounds to which it belongs.
Name:
Class:
(ii) Deduce the number of signals you would expect to find in the 1H NMR spectrum of compound Z, giving your reasons.
The mass spectrum and infrared (IR) spectrum of compound Z are shown below:
Mass spectrum
IR spectrum
(iii) Identify the species causing the large peak at m/z=31 in the mass spectrum.
(iv) Identify the bond that produces the peak labelled Q on the IR spectrum, using section 26 of the data booklet.
Phenylamine can act as a weak base. Calculate the pH of a 0.0100 mol dm−3 solution of phenylamine at 298K using section 21 of the data booklet.
Markscheme
(i)
\( \ll {K_{\rm{C}}}{\rm{ = }} \gg \frac{{\left[ {{\rm{COC}}{{\rm{l}}_{\rm{2}}}} \right]}}{{\left[ {{\rm{CO}}} \right]\left[ {{\rm{C}}{{\rm{l}}_2}} \right]}}\)
(ii)
T«= 600 + 273» = 873K
ΔGΘ = −8.31 × 873 × ln (0.200)
OR
ΔGΘ = « + » 11676 «J»
ΔGΘ = « + » 11.7 «kJ»
Accept 11.5 to 12.0.
Award final mark only if correct sig fig.
Award [3] for correct final answer.
(iii)
ΔHΘ = −220.1 − (−110.5)
ΔHΘ = −109.6 «kJ»
Award [2] for correct final answer.
Award [1] for −330.6, or +109.6 «kJ».
(iv)
ΔGΘ= −109.6 − (298 × ΔSΘ) = +11.7 «kJ»
ΔSΘ«\(\frac{{\left( {11.7 + 109.6} \right) \times {{10}^3}}}{{298}}\)»= −407 «JK−1»
Award [2] for correct final answer.
Award [2] for −470 «JK−1» (result from given values).
Do not penalize wrong value for T if already done in (a)(ii).
Award [1 max] for −0.407 «kJ K−1».
Award [1 max] for −138.9 «J K−1».
(i)
primary
(ii)
ALTERNATIVE 1:
«heat with» tin/Sn AND hydrochloric acid/HCl
aqueous alkali/OH–(aq)
ALTERNATIVE 2:
hydrogen/H2
nickel/Ni «catalyst»
Accept specific equations having correct reactants.
Do not accept LiAlH4 or NaBH4.
Accept Pt or Pd catalyst.
Accept equations having correct reactants.
(iii)
HNO3 + 2H2SO4 NO2+ + 2HSO4− + H3O+
Accept: HNO3 + H2SO4 NO2+ +HSO4− + H2O Accept HNO3 + H2SO4
H2NO3+ + HSO4− .
Accept equivalent two step reactions in which sulfuric acid first behaves as a strong acid and protonates the nitric acid, before behaving as a dehydrating agent removing water from it.
(iv)
curly arrow going from benzene ring to N of +NO2/NO2+
carbocation with correct formula and positive charge on ring
curly arrow going from C–H bond to benzene ring of cation
formation of organic product nitrobenzene AND H+
Accept mechanism with corresponding Kekulé structures.
Do not accept a circle in M2 or M3. Accept first arrow starting either inside the circle or on the circle.
M2 may be awarded from correct diagram for M3.
M4: Accept C6H5NO2 + H2SO4 if HSO4− used in M3.
(i)
Name: ethane-1,2-diol
Class: alcohol«s»
Accept ethan-1,2-diol / 1,2-ethanediol.
Do not accept “diol” for Class.
(ii)
two AND two hydrogen environments in the molecule
OR
two AND both CH2 and OH present
(iii)
+CH2OH
Accept CH3O+.
Accept [•CH2OH]+ and [•CH3O]+.
Do not accept answers in which the charge is missing.
(iv)
oxygen-hydrogen «bond»/O–H «in hydroxyl»
\({K_{\rm{b}}} \approx \frac{{{{\left[ {{\rm{O}}{{\rm{H}}^ - }} \right]}^2}}}{{\left[ {{{\rm{C}}_{\rm{6}}}{{\rm{H}}_{\rm{5}}}{\rm{N}}{{\rm{H}}_{\rm{2}}}} \right]}} = {10^{ - 9.13}}/7.413 \times {10^{ - 10}}\)
\(\left[ {{\rm{O}}{{\rm{H}}^ - }} \right] = \sqrt {0.0100 \times {{10}^{ - 9.13}}} = 2.72 \times {10^{ - 6}}\)
\(\left[ {{{\rm{H}}^ + }} \right] = \frac{{1 \times {{10}^{ - 14}}}}{{2.72 \times {{10}^{ - 6}}}} = 3.67 \times {10^{ - 9}}\)
OR
pOH = 5.57
pH = −log [H+] = 8.44
Accept other approaches to the calculation.
Award [4] for correct final answer.
Accept any answer from 8.4 to 8.5.