HL Paper 1
What is the hybridization of the carbon atom, and the number of \(\sigma \) and \(\pi \) bonds in the methanal molecule?


Which species has bond angles of 90°?
A. AlCl4-
B. \({\text{I}}\)Cl4-
C. NH4+
D. SiCl4
Which molecule has an expanded octet?
A. CO
B. CO2
C. SF2
D. SF4
Which species contain delocalized electrons?

A. I and II only
B. I and III only
C. II and III only
D. I, II and III
Which statement is correct?
A. Sigma bonds are formed only by the combination of s atomic orbitals.
B. Pi bonds can be formed in the absence of sigma bonds.
C. Pi bonds are formed parallel to the axis between atoms.
D. Pi bonds are formed only by the combination of hybrid orbitals.
Which of the following best describes the formation of \(\pi \) bonds?
A. They are formed by the sideways overlap of parallel orbitals.
B. They are formed by the axial overlap of orbitals.
C. They are formed by the sideways overlap of an s and p orbital.
D. They are formed by the axial overlap of either s or p orbitals.
Which molecules have at least one sp2 hybridized atom?
I. CH3COOH
II. CH3COCH3
III. CH2CHCH2OH
A. I and II only
B. I and III only
C. II and III only
D. I, II and III
Which species have delocalized \(\pi \) electrons?
I. \({\text{C}}{{\text{H}}_{\text{3}}}{\text{COC}}{{\text{H}}_{\text{3}}}\)
II. \({\text{NO}}_{\text{2}}^ - \)
III. \({\text{CO}}_{\text{3}}^{2 - }\)
A. I and II only
B. I and III only
C. II and III only
D. I, II and III
How many \(\sigma \) and \(\pi \) bonds are present in a molecule of propyne, \({\text{C}}{{\text{H}}_{\text{3}}}{\text{CCH}}\)?

How many sigma \((\sigma )\) and pi \((\pi )\) bonds are there in \({\text{C}}{{\text{H}}_{\text{3}}}{\text{C}}{{\text{H}}_{\text{2}}}{\text{CCC}}{{\text{H}}_{\text{2}}}{\text{COOH}}\)?
A. 13\(\sigma \) and 5\(\pi \)
B. 15\(\sigma \) and 2\(\pi \)
C. 15\(\sigma \) and 3\(\pi \)
D. 15\(\sigma \) only
How many bonding pairs and lone pairs of electrons surround the sulfur atom in the \({\text{S}}{{\text{F}}_{\text{4}}}\) molecule?

The Lewis structure of \({\text{S}}{{\text{O}}_{\text{2}}}\) is given below.

What is the shape of the \({\text{S}}{{\text{O}}_{\text{2}}}\) molecule?
A. Bent (V-shaped)
B. Linear
C. T-shaped
D. Triangular planar
Which species have resonance structures?
I. Ozone, O3
II. Carbon dioxide, CO2
III. Benzene, C6H6
A. I and II only
B. I and III only
C. II and III only
D. I, II and III
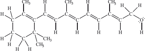
Retinol (vitamin A) contains a total of 5 double bonds and 46 single bonds.

Which statements are correct?
I. There are 51 \(\sigma \) and 5 \(\pi \) bonds.
II. The oxygen atom is \({\text{s}}{{\text{p}}^{\text{3}}}\) hybridized.
III. Retinol is a primary alcohol.
A. I and II only
B. I and III only
C. II and III only
D. I, II and III
Which statements about hybridization are correct?
I. The hybridization of carbon in diamond is \({\text{s}}{{\text{p}}^{\text{3}}}\).
II. The hybridization of carbon in graphite is \({\text{s}}{{\text{p}}^{\text{2}}}\).
III. The hybridization of carbon in \({{\text{C}}_{{\text{60}}}}\) fullerene is \({\text{s}}{{\text{p}}^{\text{3}}}\).
A. I and II only
B. I and III only
C. II and III only
D. I, II and III
In which compound are all the carbon atoms \({\text{s}}{{\text{p}}^{\text{2}}}\)hybridized?
A. 
B. 
C. \({\text{C}}{{\text{H}}_{\text{2}}}{\text{CHC}}{{\text{H}}_{\text{3}}}\)
D. \({\text{C}}{{\text{H}}_{\text{3}}}{\text{C}}{{\text{H}}_{\text{2}}}{\text{CHCHC}}{{\text{H}}_{\text{2}}}{\text{C}}{{\text{H}}_{\text{3}}}\)
Which species does not have delocalized electrons?
A. \({\text{NO}}_3^ - \)
B. \({\text{NO}}_2^ - \)
C. \({{\text{O}}_{\text{3}}}\)
D. \({{\text{C}}_{\text{3}}}{{\text{H}}_{\text{6}}}\)
What is the hybridization of the numbered atoms in ethanoic acid?
Which does not show resonance?
A. PO43–
B. C6H6
C. C6H12
D. O3
In which group do both compounds contain delocalized electrons?
B. Na2CO3, NaOH
C. NaHCO3, C6H6
D. NaHCO3, C6H12
Which combination best describes the type of bonding present and the melting point of silicon and silicon dioxide?

What are the hybridizations of the atoms labelled 1, 2 and 3 in the molecule below?


Which allotropes of carbon show \(s{p^2}\) hybridization?
I. Diamond
II. Graphite
III. \({C_{60}}\) fullerene
A. I and II only
B. I and III only
C. II and III only
D. I, II and III
Which combination describes the bonding and structure in benzoic acid, C6H5COOH?
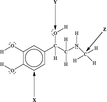
What is the hybridization of atoms X, Y and Z in epinephrine?


Which species have delocalized electrons?

A. I and II only
B. I and III only
C. II and III only
D. I, II and III
Which structure has delocalized \(\pi \) electrons?
A. \({{\text{O}}_{\text{3}}}\)
B. CO
C. HCN
D. \({\text{C}}{{\text{O}}_{\text{2}}}\)
What is correct for \({\text{PC}}{{\text{l}}_{\text{5}}}\)?

Which combination of shape and bond angle is correct for a molecule of xenon tetrafluoride, \({\text{Xe}}{{\text{F}}_{\text{4}}}\)?

Which overlap of atomic orbitals leads to the formation of only a sigma (σ) bond?
I. s − p
II. p − p
III. s − s
A. I and II only
B. I and III only
C. II and III only
D. I, II and III
How many sigma and pi bonds are there in propyne, \({\text{C}}{{\text{H}}_{\text{3}}}{\text{CCH}}\)?
A. 2 sigma and 2 pi
B. 7 sigma and 1 pi
C. 6 sigma and 2 pi
D. 5 sigma and 3 pi
Which can be represented with only one Lewis structure?
A. CH2O
B. C6H6
C. O3
D. NO3−
Which molecules have \({\text{s}}{{\text{p}}^{\text{2}}}\) hybridization?
I. \({{\text{C}}_{\text{2}}}{{\text{H}}_{\text{4}}}\)
II. \({{\text{C}}_{\text{4}}}{{\text{H}}_{{\text{10}}}}\)
III. \({{\text{C}}_{\text{6}}}{{\text{H}}_{\text{6}}}\)
A. I and II only
B. I and III only
C. II and III only
D. I, II and III
Which species does not contain delocalized electrons?
A. \({\text{C}}{{\text{H}}_{\text{3}}}{\text{C}}{{\text{H}}_{\text{2}}}{{\text{O}}^ - }\)
B. \({\text{C}}{{\text{H}}_{\text{3}}}{\text{CO}}_2^ - \)
C. \({{\text{O}}_{\text{3}}}\)
D. \({\text{NO}}_3^ - \)
How many sigma (\(\sigma \)) and pi (\(\pi \)) bonds are there in the following molecule?

B. BF4−
C. SCl4
D. NH4+
Identify the hybridization of carbon atoms in this molecule


What is the type of hybridization of the silicon and oxygen atoms in silicon dioxide?

Which combination correctly describes the types of hybridization shown by the two carbon atoms labelled \(\alpha \) and \(\beta \) and the oxygen atom labelled \(\gamma \) in the molecule of paracetamol shown below?


Which molecule is trigonal bipyramidal in shape?
A. \({\text{PC}}{{\text{l}}_{\text{3}}}\)
B. \({\text{SiC}}{{\text{l}}_{\text{4}}}\)
C. \({\text{PC}}{{\text{l}}_{\text{5}}}\)
D. \({\text{S}}{{\text{F}}_{\text{6}}}\)
The diagrams below show \(s\) and \(p\) orbitals in different positions. Which combinations can form a \(\sigma \)-bond?

A. I and II only
B. I and III only
C. II and III only
D. I, II and III
What is the correct number of sigma \({\text{(}}\sigma {\text{)}}\) and pi \({\text{(}}\pi {\text{)}}\) bonds in prop-2-enenitrile, \({\text{C}}{{\text{H}}_{\text{2}}}{\text{CHCN}}\)?

How many sigma (σ) and pi (π) bonds are present in this molecule?
What is the hybridization state and electron domain geometry around the circled C, N and O atoms?
Which combination describes the PH4+ ion?