HL Paper 2
An acidic sample of a waste solution containing Sn2+(aq) reacted completely with K2Cr2O7 solution to form Sn4+(aq).
Identify one organic functional group that can react with acidified K2Cr2O7(aq).
Corrosion of iron is similar to the processes that occur in a voltaic cell. The initial steps involve the following half-equations:
Fe2+(aq) + 2e– \( \rightleftharpoons \) Fe(s)
\(\frac{1}{2}\)O2(g) + H2O(l) + 2e– \( \rightleftharpoons \) 2OH–(aq)
Calculate E θ, in V, for the spontaneous reaction using section 24 of the data booklet.
Calculate the Gibbs free energy, ΔG θ, in kJ, which is released by the corrosion of 1 mole of iron. Use section 1 of the data booklet.
Explain why iron forms many different coloured complex ions.
Zinc is used to galvanize iron pipes, forming a protective coating. Outline how this process prevents corrosion of the iron pipes.
Markscheme
hydroxyl/OH
OR
aldehyde/CHO
Accept “hydroxy/alcohol” for “hydroxyl”.
Accept amino/amine/NH2.
[1 mark]
«E θ =» +0.85 «V»
Accept 0.85 V.
[1 mark]
ΔG θ «= –nFE θ» = –2 «mol e–» x 96500 «C mol–1» x 0.85 «V»
«ΔG θ =» –164 «kJ»
Accept “«+»164 «kJ»” as question states energy released.
Award [1 max] for “+” or “–” 82 «kJ».
Do not accept answer in J.
[2 marks]
incompletely filled d-orbitals
colour depends upon the energy difference between the split d-orbitals
variable/multiple/different oxidation states
different «nature/identity of» ligands
different number of ligands
[3 marks]
Zn/zinc is a stronger reducing agent than Fe/iron
OR
Zn/zinc is oxidized instead of Fe/iron
OR
Zn/zinc is the sacrificial anode
Accept “Zn is more reactive than Fe”.
Accept “Zn oxide layer limits further corrosion”.
Do not accept “Zn layer limits further corrosion”.
[1 mark]
Examiners report
There are only two isotopes, \(_{{\text{29}}}^{{\text{63}}}{\text{Cu}}\) and \(_{{\text{29}}}^{{\text{65}}}{\text{Cu}}\), in naturally occurring copper.
A chemist considered preparing a copper(I) salt by reacting copper metal with the corresponding copper(II) salt according to the equation below.
\[{\text{C}}{{\text{u}}^{2 + }}{\text{(aq)}} + {\text{Cu (s)}} \to {\text{2C}}{{\text{u}}^ + }{\text{(aq)}}\]
The relative atomic mass of copper is 63.55. Calculate the percentage of \(_{{\text{29}}}^{{\text{63}}}{\text{Cu}}\) in the naturally occurring element.
State the full electronic configuration of a copper atom.
Explain why most copper(II) compounds are coloured, whereas most copper(I) compounds are not.
(i) Using data from Table 14 of the Data Booklet, calculate the cell potential for this reaction.
(ii) Use this result to predict, with a reason, whether this reaction will be spontaneous.
Markscheme
\(63x + 65(100 - x) = 63.55 \times 100\);
\((x = ){\text{ }}72.50(\% )\);
Award [2] for correct final answer.
\({\text{1}}{{\text{s}}^{\text{2}}}{\text{2}}{{\text{s}}^{\text{2}}}{\text{2}}{{\text{p}}^{\text{6}}}{\text{3}}{{\text{s}}^{\text{2}}}{\text{3}}{{\text{p}}^{\text{6}}}{\text{3}}{{\text{d}}^{{\text{10}}}}{\text{4}}{{\text{s}}^{\text{1}}}/{\text{1}}{{\text{s}}^{\text{2}}}{\text{2}}{{\text{s}}^{\text{2}}}{\text{2}}{{\text{p}}^{\text{6}}}{\text{3}}{{\text{s}}^{\text{2}}}{\text{3}}{{\text{p}}^{\text{6}}}{\text{4}}{{\text{s}}^{\text{1}}}{\text{3}}{{\text{d}}^{{\text{10}}}}\);
Do not accept upper case letters or numbers as subscripts.
colour is due to movement of electrons (between d orbitals) / OWTTE;
copper(I) has a full d sub-shell(, hence electrons cannot move) / copper(II) has an incomplete d sub-shell(, hence electrons can move) / OWTTE;
(i) \(\left( {E_{{\text{cell}}}^\Theta = 0.15 - 0.52 = } \right) - 0.37{\text{ (V)}}\)
choosing correct \({E_{{\text{cell}}}^\Theta }\) values;
combining in correct way;
Award [2] for correct final answer.
Award [1] for –0.18 (0.34 instead of 0.15) and –0.19 (0.34 instead of 0.52).
(ii) not spontaneous because \({E^\Theta }\) negative / OWTTE;
Examiners report
This question in general was well answered, with an encouraging number of students being able to both calculate the proportions of the two isotopes of copper and state its atypical electron configuration. Responses to part (c) often centred around the splitting of d-orbitals rather than their completeness and a disturbing number of answers implied, or stated, that transition metals emit, rather than absorb light. In the final part, as might have been predicted, a significant number of students used the electrode potential for \({\text{C}}{{\text{u}}^{2 + }}{\text{/Cu (}} + {\text{0.34 V)}}\), rather than those required, but a number of them managed to gain some credit by combining this with the other potential in a valid manner and correctly predicting the spontaneity that it would imply.
This question in general was well answered, with an encouraging number of students being able to both calculate the proportions of the two isotopes of copper and state its atypical electron configuration. Responses to part (c) often centred around the splitting of d-orbitals rather than their completeness and a disturbing number of answers implied, or stated, that transition metals emit, rather than absorb light. In the final part, as might have been predicted, a significant number of students used the electrode potential for \({\text{C}}{{\text{u}}^{2 + }}{\text{/Cu (}} + {\text{0.34 V)}}\), rather than those required, but a number of them managed to gain some credit by combining this with the other potential in a valid manner and correctly predicting the spontaneity that it would imply.
This question in general was well answered, with an encouraging number of students being able to both calculate the proportions of the two isotopes of copper and state its atypical electron configuration. Responses to part (c) often centred around the splitting of d-orbitals rather than their completeness and a disturbing number of answers implied, or stated, that transition metals emit, rather than absorb light. In the final part, as might have been predicted, a significant number of students used the electrode potential for \({\text{C}}{{\text{u}}^{2 + }}{\text{/Cu (}} + {\text{0.34 V)}}\), rather than those required, but a number of them managed to gain some credit by combining this with the other potential in a valid manner and correctly predicting the spontaneity that it would imply.
This question in general was well answered, with an encouraging number of students being able to both calculate the proportions of the two isotopes of copper and state its atypical electron configuration. Responses to part (c) often centred around the splitting of d-orbitals rather than their completeness and a disturbing number of answers implied, or stated, that transition metals emit, rather than absorb light. In the final part, as might have been predicted, a significant number of students used the electrode potential for \({\text{C}}{{\text{u}}^{2 + }}{\text{/Cu (}} + {\text{0.34 V)}}\), rather than those required, but a number of them managed to gain some credit by combining this with the other potential in a valid manner and correctly predicting the spontaneity that it would imply.
The concentration of a solution of a weak acid, such as ethanedioic acid, can be determined
by titration with a standard solution of sodium hydroxide, NaOH (aq).
5.00 g of an impure sample of hydrated ethanedioic acid, (COOH)2•2H2O, was dissolved in water to make 1.00 dm3 of solution. 25.0 cm3 samples of this solution were titrated against a 0.100 mol dm-3 solution of sodium hydroxide using a suitable indicator.
(COOH)2 (aq) + 2NaOH (aq) → (COONa)2 (aq) + 2H2O (l)
The mean value of the titre was 14.0 cm3.
(i) Suggest a suitable indicator for this titration. Use section 22 of the data booklet.
(ii) Calculate the amount, in mol, of NaOH in 14.0 cm3 of 0.100 mol dm-3 solution.
(iii) Calculate the amount, in mol, of ethanedioic acid in each 25.0 cm3 sample.
(iv) Determine the percentage purity of the hydrated ethanedioic acid sample.
Draw the Lewis (electron dot) structure of the ethanedioate ion, –OOCCOO–.
Outline why all the C–O bond lengths in the ethanedioate ion are the same length and suggest a value for them. Use section 10 of the data booklet.
Explain how ethanedioate ions act as ligands.
Markscheme
i
phenolphthalein
OR
phenol red
ii
«n(NaOH) = \(\left( {\frac{{14.0}}{{1000}}} \right)\) dm3 × 0.100 mol dm-3 =» 1.40 × 10-3 «mol»
iii
«\(\frac{1}{2}\) × 1.40 × 10-3 =» 7.00 × 10-4 «mol»
iv
ALTERNATIVE 1:
«mass of pure hydrated ethanedioic acid in each titration = 7.00 × 10-4 mol × 126.08 g mol-1 =» 0.0883 / 8.83 × 10-2 «g»
mass of sample in each titration = «\(\frac{{25}}{{1000}}\) × 5.00 g =» 0.125 «g»
«% purity = \(\frac{{0.0883{\rm{g}}}}{{0.125{\rm{g}}}}\) × 100 =» 70.6 «%»
ALTERNATIVE 2:
«mol of pure hydrated ethanedioic acid in 1 dm3 solution = 7.00 × 10-4 × \(\frac{{1000}}{{25}}\)=» 2.80 × 10-2 «mol»
«mass of pure hydrated ethanedioic acid in sample = 2.80 × 10-2 mol × 126.08 g mol-1 =» 3.53 «g»
«% purity = \(\frac{{3.53{\rm{g}}}}{{5.00{\rm{g}}}}\) × 100 =» 70.6 «%»
ALTERNATIVE 3:
mol of hydrated ethanedioic acid (assuming sample to be pure) = \(\frac{{5.00{\rm{g}}}}{{126.08{\rm{gmo}}{{\rm{l}}^{{\rm{ - 1}}}}}}\) = 0.03966 «mol»
actual amount of hydrated ethanedioic acid = «7.00 × 10-4 × \(\frac{{1000}}{{25}}\) =» 2.80 × 10-2 «mol»
«% purity = \(\frac{{2.80 \times {{10}^{ - 2}}}}{{0.03966}}\) × 100 =» 70.6 «%»
Award suitable part marks for alternative methods.
Award [3] for correct final answer.
Award [2 max] for 50.4 % if anhydrous ethanedioic acid assumed.
Accept single negative charges on two O atoms singly bonded to C.
Do not accept resonance structures.
Allow any combination of dots/crosses or lines to represent electron pairs.
electrons delocalized «across the O–C–O system»
OR
resonance occurs
Accept delocalized π-bond(s).
No ECF from (d).
122 «pm» < C–O < 143 «pm»
Accept any answer in range 123 «pm» to 142 «pm».
Accept “bond intermediate between single and double bond” or “bond order 1.5”.
coordinate/dative/covalent bond from O to «transition» metal «ion»
OR
acts as a Lewis base/nucleophile
can occupy two positions
OR
provide two electron pairs from different «O» atoms
OR
form two «coordinate/dative/covalent» bonds «with the metal ion»
OR
chelate «metal/ion»
Examiners report
Chromium is a transition metal with many uses.
A voltaic cell is constructed as follows. One half-cell contains a chromium electrode immersed in a solution containing \({\text{C}}{{\text{r}}^{3 + }}{\text{(aq)}}\) ions. The other half-cell contains a copper electrode immersed in a solution containing \({\text{C}}{{\text{u}}^{2 + }}{\text{(aq)}}\) ions. The two electrodes are connected to a voltmeter and the two solutions by a salt bridge.

Draw an orbital diagram (using the arrow-in-box notation) showing the electrons in the 4s and 3d sub-levels in chromium metal.
Outline the nature of the metallic bonding present in chromium.
Explain why chromium metal is malleable.
State the name of \({\text{C}}{{\text{r}}_{\text{2}}}{{\text{O}}_{\text{3}}}\).
Describe the ionic bonding present in \({\text{C}}{{\text{r}}_{\text{2}}}{{\text{O}}_{\text{3}}}\) and how the ions are formed.
Suggest why solid \({\text{C}}{{\text{r}}_{\text{2}}}{{\text{O}}_{\text{3}}}\) does not conduct electricity.
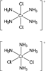
Chromium forms the complex ion \({[{\text{Cr}}{({\text{N}}{{\text{H}}_{\text{3}}})_{\text{4}}}{\text{C}}{{\text{l}}_2}]^ + }\).
Deduce the oxidation number of chromium in this complex.
Chromium forms the complex ion \({[{\text{Cr}}{({\text{N}}{{\text{H}}_{\text{3}}})_{\text{4}}}{\text{C}}{{\text{l}}_2}]^ + }\).
Describe the nature of the ligand-chromium ion bonds in terms of acid-base theory.
Chromium forms the complex ion \({[{\text{Cr}}{({\text{N}}{{\text{H}}_{\text{3}}})_{\text{4}}}{\text{C}}{{\text{l}}_2}]^ + }\).
Explain why \({[{\text{Cr}}{({\text{N}}{{\text{H}}_{\text{3}}})_{\text{4}}}{\text{C}}{{\text{l}}_{\text{2}}}{\text{]}}^ + }\) is coloured.
Chromium forms the complex ion \({[{\text{Cr}}{({\text{N}}{{\text{H}}_{\text{3}}})_{\text{4}}}{\text{C}}{{\text{l}}_2}]^ + }\).
Draw the structures of two possible isomers of this complex ion.
The dichromate ion, \({\text{C}}{{\text{r}}_{\text{2}}}{\text{O}}_{\text{7}}^{2 - }{\text{(aq)}}\), and the iodide ion, \({{\text{I}}^ - }{\text{(aq)}}\), react together in the presence of an acid to form \({\text{C}}{{\text{r}}^{3 + }}{\text{(aq)}}\) and \({\text{IO}}_3^ - {\text{(aq)}}\) ions. Deduce the half-equation for the reaction of \({{\text{I}}^ - }\) to \({\text{IO}}_3^ - \) and the overall equation for this reaction.
Half-equation:
Overall equation:
Explain in terms of oxidation numbers whether iodine is oxidized or reduced in part (d) (i).
Define the term standard electrode potential.
Calculate the cell potential, in V, under standard conditions, for this voltaic cell, using table 14 of the data booklet and \({\text{E}}_{{\text{C}}{{\text{r}}^{3 + }}/{\text{Cr}}}^\Theta = -0.74{\text{ V}}\).
Predict the balanced equation for the spontaneous reaction which will produce a current in this voltaic cell.
Identify the negative and the positive electrodes in this cell.
Predict the direction of movement of electrons in the external circuit.
State the directions in which the negative ions (anions) and the positive ions (cations) flow in the salt bridge.
Markscheme

Accept full-arrows.
Accept boxes in reverse order or at different energy levels.
Do not award the mark if sub-levels are incorrectly labelled or if no boxes are drawn.
(electrostatic) attraction between (lattice of) cations/positive/\({\text{C}}{{\text{r}}^{3 + }}\) ions and delocalized electrons;
(delocalized electrons allows) the layers/rows of cations/positive/\({\text{C}}{{\text{r}}^{3 + }}\) ions to slide past each other (without disrupting the metallic bonding);
Accept atoms instead of ions.
chromium(III) oxide;
Do not award the mark for chromium oxide.
(electrostatic) attraction between positive and negative ions/oppositely charged ions/\({\text{C}}{{\text{r}}^{3 + }}\) and \({{\text{O}}^{2 - }}\);
formed as a result of electron transfer from chromium atoms to oxygen atoms / OWTTE;
Ignore reference to number of electrons transferred or charges of ion for M2.
ions are not free to move (when solid) / ions in rigid lattice / OWTTE;
III / +3;
Do not accept incorrect notation such as 3+/3.
ligand has lone/non-bonding electron pair /
dative (covalent)/coordinate/coordination bond forms;
ligand is Lewis base / ion is Lewis acid;
partially filled/incomplete d sub levels/orbitals;
d orbitals split into two levels;
energy difference is in visible part of spectrum / electrons absorb visible light/one colour/frequency/wavelength;
electron transitions occur from lower to higher energy level (within d sub-level);
complementary colour/colour not absorbed is seen;
Do not accept complementary colour "emitted".
;
Accept any other octahedral arrangement of ligands.
Ignore missing square brackets and charge.
Half equation:
\({{\text{I}}^ - }{\text{(aq)}} + {\text{3}}{{\text{H}}_2}{\text{O(l)}} \to {\text{IO}}_3^ - {\text{(aq)}} + {\text{6}}{{\text{H}}^ + }{\text{(aq)}} + {\text{6}}{{\text{e}}^ - }\);
Accept e instead of \({e^ - }\).
Accept reversible arrows.
Overall equation:
\({\text{C}}{{\text{r}}_2}{\text{O}}_7^{2 - }{\text{(aq)}} + {{\text{I}}^ - }{\text{(aq)}} + {\text{8}}{{\text{H}}^ + }{\text{(aq)}} \to {\text{2C}}{{\text{r}}^{3 + }}{\text{(aq)}} + {\text{IO}}_3^ - {\text{(aq)}} + {\text{4}}{{\text{H}}_2}{\text{O(l)}}\);
Ignore state symbols.
oxidized and increase (in oxidation number) of 6/from –1/–I to +5/+V;
potential (of reduction half-reaction) under standard conditions measured relative to standard hydrogen electrode/SHE / OWTTE;
Accept “solute concentration of 1 \(mol\,d{m^{ - 3}}\)” or “1 bar/1 atm (pressure) for gases” instead of “standard conditions”.
Accept voltage/emf for potential.
\(( + )1.08{\text{ (V)}}\);
\({\text{2Cr(s)}} + {\text{3C}}{{\text{u}}^{2 + }}{\text{(aq)}} \to {\text{2C}}{{\text{r}}^{3 + }}{\text{(aq)}} + {\text{3Cu(s)}}\);
Ignore state symbols.
Do not accept reversible arrows.
Negative electrode: chromium/Cr and Positive electrode: copper/Cu;
Accept “Cr is the anode and Cu the cathode”.
from chromium/Cr to copper/Cu;
Accept “from negative electrode/anode to positive electrode/cathode” if electrodes correctly identified in (iv).
negative ions/anions towards the chromium(III) solution and positive ions/cations towards the copper(II) solution / OWTTE;
Examiners report
Most candidates were able to draw an arrow in the box diagram for the electron configuration of chromium, but few gave a complete description of the nature of metallic bonding and did not refer to the attraction between the \({\text{C}}{{\text{r}}^{3 + }}\) cations and the delocalized electrons. Candidates were more successful in explaining malleability in terms of \({\text{C}}{{\text{r}}^{3 + }}\) cations sliding over one another. Most candidates were able to use oxidation numbers in naming \({\text{C}}{{\text{r}}_{\text{2}}}{{\text{O}}_{\text{3}}}\) but the explanation of ionic bonding was incomplete with only limited reference to the electrostatic attraction between the oppositely charged ions. Students continue to struggle to understand that conductivity of molten ionic compounds is due to mobile ions not electrons. Most candidates were able to deduce the oxidation number in the complex ion and give the answer using the correct notation. The nature of the ligand-chromium bond was well known and the explanation of the colour of transition metal complexes was stronger than in previous sessions with only a minority referring to the emission of light. Some teachers have commented that trans/cis-isomers of the complex ions is not specifically stated in the guide but many students were able draw two possible isomers. The representation of 3D structures could have been clearer although this was not explicitly penalized. Redox half-reactions continue to challenge many with only the stronger students being able to gain both marks and deduce the correct overall equation. Some teachers commented that the question was too demanding as students had to construct two half-equations in order to get to the overall redox equation, but the \({\text{C}}{{\text{r}}_{\text{2}}}{\text{O}}_{\text{7}}^{{\text{2}} - }{\text{/C}}{{\text{r}}^{3 + }}\) half-reaction is given in table 14 of the current data booklet. The majority of candidates identified the conversion of \({{\text{I}}^ - }\) to \({\text{I}}{{\text{O}}^{3 - }}\) as oxidation and many able to identify the increase in oxidation number. The workings of a voltaic cell was generally well understood but the definition of the term standard electrode potential was often incomplete with the reference to standard conditions of the hydrogen electrode often missing.
Most candidates were able to draw an arrow in the box diagram for the electron configuration of chromium, but few gave a complete description of the nature of metallic bonding and did not refer to the attraction between the \({\text{C}}{{\text{r}}^{3 + }}\) cations and the delocalized electrons. Candidates were more successful in explaining malleability in terms of \({\text{C}}{{\text{r}}^{3 + }}\) cations sliding over one another. Most candidates were able to use oxidation numbers in naming \({\text{C}}{{\text{r}}_{\text{2}}}{{\text{O}}_{\text{3}}}\) but the explanation of ionic bonding was incomplete with only limited reference to the electrostatic attraction between the oppositely charged ions. Students continue to struggle to understand that conductivity of molten ionic compounds is due to mobile ions not electrons. Most candidates were able to deduce the oxidation number in the complex ion and give the answer using the correct notation. The nature of the ligand-chromium bond was well known and the explanation of the colour of transition metal complexes was stronger than in previous sessions with only a minority referring to the emission of light. Some teachers have commented that trans/cis-isomers of the complex ions is not specifically stated in the guide but many students were able draw two possible isomers. The representation of 3D structures could have been clearer although this was not explicitly penalized. Redox half-reactions continue to challenge many with only the stronger students being able to gain both marks and deduce the correct overall equation. Some teachers commented that the question was too demanding as students had to construct two half-equations in order to get to the overall redox equation, but the \({\text{C}}{{\text{r}}_{\text{2}}}{\text{O}}_{\text{7}}^{{\text{2}} - }{\text{/C}}{{\text{r}}^{3 + }}\) half-reaction is given in table 14 of the current data booklet. The majority of candidates identified the conversion of \({{\text{I}}^ - }\) to \({\text{I}}{{\text{O}}^{3 - }}\) as oxidation and many able to identify the increase in oxidation number. The workings of a voltaic cell was generally well understood but the definition of the term standard electrode potential was often incomplete with the reference to standard conditions of the hydrogen electrode often missing.
Most candidates were able to draw an arrow in the box diagram for the electron configuration of chromium, but few gave a complete description of the nature of metallic bonding and did not refer to the attraction between the \({\text{C}}{{\text{r}}^{3 + }}\) cations and the delocalized electrons. Candidates were more successful in explaining malleability in terms of \({\text{C}}{{\text{r}}^{3 + }}\) cations sliding over one another. Most candidates were able to use oxidation numbers in naming \({\text{C}}{{\text{r}}_{\text{2}}}{{\text{O}}_{\text{3}}}\) but the explanation of ionic bonding was incomplete with only limited reference to the electrostatic attraction between the oppositely charged ions. Students continue to struggle to understand that conductivity of molten ionic compounds is due to mobile ions not electrons. Most candidates were able to deduce the oxidation number in the complex ion and give the answer using the correct notation. The nature of the ligand-chromium bond was well known and the explanation of the colour of transition metal complexes was stronger than in previous sessions with only a minority referring to the emission of light. Some teachers have commented that trans/cis-isomers of the complex ions is not specifically stated in the guide but many students were able draw two possible isomers. The representation of 3D structures could have been clearer although this was not explicitly penalized. Redox half-reactions continue to challenge many with only the stronger students being able to gain both marks and deduce the correct overall equation. Some teachers commented that the question was too demanding as students had to construct two half-equations in order to get to the overall redox equation, but the \({\text{C}}{{\text{r}}_{\text{2}}}{\text{O}}_{\text{7}}^{{\text{2}} - }{\text{/C}}{{\text{r}}^{3 + }}\) half-reaction is given in table 14 of the current data booklet. The majority of candidates identified the conversion of \({{\text{I}}^ - }\) to \({\text{I}}{{\text{O}}^{3 - }}\) as oxidation and many able to identify the increase in oxidation number. The workings of a voltaic cell was generally well understood but the definition of the term standard electrode potential was often incomplete with the reference to standard conditions of the hydrogen electrode often missing.
Most candidates were able to draw an arrow in the box diagram for the electron configuration of chromium, but few gave a complete description of the nature of metallic bonding and did not refer to the attraction between the \({\text{C}}{{\text{r}}^{3 + }}\) cations and the delocalized electrons. Candidates were more successful in explaining malleability in terms of \({\text{C}}{{\text{r}}^{3 + }}\) cations sliding over one another. Most candidates were able to use oxidation numbers in naming \({\text{C}}{{\text{r}}_{\text{2}}}{{\text{O}}_{\text{3}}}\) but the explanation of ionic bonding was incomplete with only limited reference to the electrostatic attraction between the oppositely charged ions. Students continue to struggle to understand that conductivity of molten ionic compounds is due to mobile ions not electrons. Most candidates were able to deduce the oxidation number in the complex ion and give the answer using the correct notation. The nature of the ligand-chromium bond was well known and the explanation of the colour of transition metal complexes was stronger than in previous sessions with only a minority referring to the emission of light. Some teachers have commented that trans/cis-isomers of the complex ions is not specifically stated in the guide but many students were able draw two possible isomers. The representation of 3D structures could have been clearer although this was not explicitly penalized. Redox half-reactions continue to challenge many with only the stronger students being able to gain both marks and deduce the correct overall equation. Some teachers commented that the question was too demanding as students had to construct two half-equations in order to get to the overall redox equation, but the \({\text{C}}{{\text{r}}_{\text{2}}}{\text{O}}_{\text{7}}^{{\text{2}} - }{\text{/C}}{{\text{r}}^{3 + }}\) half-reaction is given in table 14 of the current data booklet. The majority of candidates identified the conversion of \({{\text{I}}^ - }\) to \({\text{I}}{{\text{O}}^{3 - }}\) as oxidation and many able to identify the increase in oxidation number. The workings of a voltaic cell was generally well understood but the definition of the term standard electrode potential was often incomplete with the reference to standard conditions of the hydrogen electrode often missing.
Most candidates were able to draw an arrow in the box diagram for the electron configuration of chromium, but few gave a complete description of the nature of metallic bonding and did not refer to the attraction between the \({\text{C}}{{\text{r}}^{3 + }}\) cations and the delocalized electrons. Candidates were more successful in explaining malleability in terms of \({\text{C}}{{\text{r}}^{3 + }}\) cations sliding over one another. Most candidates were able to use oxidation numbers in naming \({\text{C}}{{\text{r}}_{\text{2}}}{{\text{O}}_{\text{3}}}\) but the explanation of ionic bonding was incomplete with only limited reference to the electrostatic attraction between the oppositely charged ions. Students continue to struggle to understand that conductivity of molten ionic compounds is due to mobile ions not electrons. Most candidates were able to deduce the oxidation number in the complex ion and give the answer using the correct notation. The nature of the ligand-chromium bond was well known and the explanation of the colour of transition metal complexes was stronger than in previous sessions with only a minority referring to the emission of light. Some teachers have commented that trans/cis-isomers of the complex ions is not specifically stated in the guide but many students were able draw two possible isomers. The representation of 3D structures could have been clearer although this was not explicitly penalized. Redox half-reactions continue to challenge many with only the stronger students being able to gain both marks and deduce the correct overall equation. Some teachers commented that the question was too demanding as students had to construct two half-equations in order to get to the overall redox equation, but the \({\text{C}}{{\text{r}}_{\text{2}}}{\text{O}}_{\text{7}}^{{\text{2}} - }{\text{/C}}{{\text{r}}^{3 + }}\) half-reaction is given in table 14 of the current data booklet. The majority of candidates identified the conversion of \({{\text{I}}^ - }\) to \({\text{I}}{{\text{O}}^{3 - }}\) as oxidation and many able to identify the increase in oxidation number. The workings of a voltaic cell was generally well understood but the definition of the term standard electrode potential was often incomplete with the reference to standard conditions of the hydrogen electrode often missing.
Most candidates were able to draw an arrow in the box diagram for the electron configuration of chromium, but few gave a complete description of the nature of metallic bonding and did not refer to the attraction between the \({\text{C}}{{\text{r}}^{3 + }}\) cations and the delocalized electrons. Candidates were more successful in explaining malleability in terms of \({\text{C}}{{\text{r}}^{3 + }}\) cations sliding over one another. Most candidates were able to use oxidation numbers in naming \({\text{C}}{{\text{r}}_{\text{2}}}{{\text{O}}_{\text{3}}}\) but the explanation of ionic bonding was incomplete with only limited reference to the electrostatic attraction between the oppositely charged ions. Students continue to struggle to understand that conductivity of molten ionic compounds is due to mobile ions not electrons. Most candidates were able to deduce the oxidation number in the complex ion and give the answer using the correct notation. The nature of the ligand-chromium bond was well known and the explanation of the colour of transition metal complexes was stronger than in previous sessions with only a minority referring to the emission of light. Some teachers have commented that trans/cis-isomers of the complex ions is not specifically stated in the guide but many students were able draw two possible isomers. The representation of 3D structures could have been clearer although this was not explicitly penalized. Redox half-reactions continue to challenge many with only the stronger students being able to gain both marks and deduce the correct overall equation. Some teachers commented that the question was too demanding as students had to construct two half-equations in order to get to the overall redox equation, but the \({\text{C}}{{\text{r}}_{\text{2}}}{\text{O}}_{\text{7}}^{{\text{2}} - }{\text{/C}}{{\text{r}}^{3 + }}\) half-reaction is given in table 14 of the current data booklet. The majority of candidates identified the conversion of \({{\text{I}}^ - }\) to \({\text{I}}{{\text{O}}^{3 - }}\) as oxidation and many able to identify the increase in oxidation number. The workings of a voltaic cell was generally well understood but the definition of the term standard electrode potential was often incomplete with the reference to standard conditions of the hydrogen electrode often missing.
Most candidates were able to draw an arrow in the box diagram for the electron configuration of chromium, but few gave a complete description of the nature of metallic bonding and did not refer to the attraction between the \({\text{C}}{{\text{r}}^{3 + }}\) cations and the delocalized electrons. Candidates were more successful in explaining malleability in terms of \({\text{C}}{{\text{r}}^{3 + }}\) cations sliding over one another. Most candidates were able to use oxidation numbers in naming \({\text{C}}{{\text{r}}_{\text{2}}}{{\text{O}}_{\text{3}}}\) but the explanation of ionic bonding was incomplete with only limited reference to the electrostatic attraction between the oppositely charged ions. Students continue to struggle to understand that conductivity of molten ionic compounds is due to mobile ions not electrons. Most candidates were able to deduce the oxidation number in the complex ion and give the answer using the correct notation. The nature of the ligand-chromium bond was well known and the explanation of the colour of transition metal complexes was stronger than in previous sessions with only a minority referring to the emission of light. Some teachers have commented that trans/cis-isomers of the complex ions is not specifically stated in the guide but many students were able draw two possible isomers. The representation of 3D structures could have been clearer although this was not explicitly penalized. Redox half-reactions continue to challenge many with only the stronger students being able to gain both marks and deduce the correct overall equation. Some teachers commented that the question was too demanding as students had to construct two half-equations in order to get to the overall redox equation, but the \({\text{C}}{{\text{r}}_{\text{2}}}{\text{O}}_{\text{7}}^{{\text{2}} - }{\text{/C}}{{\text{r}}^{3 + }}\) half-reaction is given in table 14 of the current data booklet. The majority of candidates identified the conversion of \({{\text{I}}^ - }\) to \({\text{I}}{{\text{O}}^{3 - }}\) as oxidation and many able to identify the increase in oxidation number. The workings of a voltaic cell was generally well understood but the definition of the term standard electrode potential was often incomplete with the reference to standard conditions of the hydrogen electrode often missing.
Most candidates were able to draw an arrow in the box diagram for the electron configuration of chromium, but few gave a complete description of the nature of metallic bonding and did not refer to the attraction between the \({\text{C}}{{\text{r}}^{3 + }}\) cations and the delocalized electrons. Candidates were more successful in explaining malleability in terms of \({\text{C}}{{\text{r}}^{3 + }}\) cations sliding over one another. Most candidates were able to use oxidation numbers in naming \({\text{C}}{{\text{r}}_{\text{2}}}{{\text{O}}_{\text{3}}}\) but the explanation of ionic bonding was incomplete with only limited reference to the electrostatic attraction between the oppositely charged ions. Students continue to struggle to understand that conductivity of molten ionic compounds is due to mobile ions not electrons. Most candidates were able to deduce the oxidation number in the complex ion and give the answer using the correct notation. The nature of the ligand-chromium bond was well known and the explanation of the colour of transition metal complexes was stronger than in previous sessions with only a minority referring to the emission of light. Some teachers have commented that trans/cis-isomers of the complex ions is not specifically stated in the guide but many students were able draw two possible isomers. The representation of 3D structures could have been clearer although this was not explicitly penalized. Redox half-reactions continue to challenge many with only the stronger students being able to gain both marks and deduce the correct overall equation. Some teachers commented that the question was too demanding as students had to construct two half-equations in order to get to the overall redox equation, but the \({\text{C}}{{\text{r}}_{\text{2}}}{\text{O}}_{\text{7}}^{{\text{2}} - }{\text{/C}}{{\text{r}}^{3 + }}\) half-reaction is given in table 14 of the current data booklet. The majority of candidates identified the conversion of \({{\text{I}}^ - }\) to \({\text{I}}{{\text{O}}^{3 - }}\) as oxidation and many able to identify the increase in oxidation number. The workings of a voltaic cell was generally well understood but the definition of the term standard electrode potential was often incomplete with the reference to standard conditions of the hydrogen electrode often missing.
Most candidates were able to draw an arrow in the box diagram for the electron configuration of chromium, but few gave a complete description of the nature of metallic bonding and did not refer to the attraction between the \({\text{C}}{{\text{r}}^{3 + }}\) cations and the delocalized electrons. Candidates were more successful in explaining malleability in terms of \({\text{C}}{{\text{r}}^{3 + }}\) cations sliding over one another. Most candidates were able to use oxidation numbers in naming \({\text{C}}{{\text{r}}_{\text{2}}}{{\text{O}}_{\text{3}}}\) but the explanation of ionic bonding was incomplete with only limited reference to the electrostatic attraction between the oppositely charged ions. Students continue to struggle to understand that conductivity of molten ionic compounds is due to mobile ions not electrons. Most candidates were able to deduce the oxidation number in the complex ion and give the answer using the correct notation. The nature of the ligand-chromium bond was well known and the explanation of the colour of transition metal complexes was stronger than in previous sessions with only a minority referring to the emission of light. Some teachers have commented that trans/cis-isomers of the complex ions is not specifically stated in the guide but many students were able draw two possible isomers. The representation of 3D structures could have been clearer although this was not explicitly penalized. Redox half-reactions continue to challenge many with only the stronger students being able to gain both marks and deduce the correct overall equation. Some teachers commented that the question was too demanding as students had to construct two half-equations in order to get to the overall redox equation, but the \({\text{C}}{{\text{r}}_{\text{2}}}{\text{O}}_{\text{7}}^{{\text{2}} - }{\text{/C}}{{\text{r}}^{3 + }}\) half-reaction is given in table 14 of the current data booklet. The majority of candidates identified the conversion of \({{\text{I}}^ - }\) to \({\text{I}}{{\text{O}}^{3 - }}\) as oxidation and many able to identify the increase in oxidation number. The workings of a voltaic cell was generally well understood but the definition of the term standard electrode potential was often incomplete with the reference to standard conditions of the hydrogen electrode often missing.
Most candidates were able to draw an arrow in the box diagram for the electron configuration of chromium, but few gave a complete description of the nature of metallic bonding and did not refer to the attraction between the \({\text{C}}{{\text{r}}^{3 + }}\) cations and the delocalized electrons. Candidates were more successful in explaining malleability in terms of \({\text{C}}{{\text{r}}^{3 + }}\) cations sliding over one another. Most candidates were able to use oxidation numbers in naming \({\text{C}}{{\text{r}}_{\text{2}}}{{\text{O}}_{\text{3}}}\) but the explanation of ionic bonding was incomplete with only limited reference to the electrostatic attraction between the oppositely charged ions. Students continue to struggle to understand that conductivity of molten ionic compounds is due to mobile ions not electrons. Most candidates were able to deduce the oxidation number in the complex ion and give the answer using the correct notation. The nature of the ligand-chromium bond was well known and the explanation of the colour of transition metal complexes was stronger than in previous sessions with only a minority referring to the emission of light. Some teachers have commented that trans/cis-isomers of the complex ions is not specifically stated in the guide but many students were able draw two possible isomers. The representation of 3D structures could have been clearer although this was not explicitly penalized. Redox half-reactions continue to challenge many with only the stronger students being able to gain both marks and deduce the correct overall equation. Some teachers commented that the question was too demanding as students had to construct two half-equations in order to get to the overall redox equation, but the \({\text{C}}{{\text{r}}_{\text{2}}}{\text{O}}_{\text{7}}^{{\text{2}} - }{\text{/C}}{{\text{r}}^{3 + }}\) half-reaction is given in table 14 of the current data booklet. The majority of candidates identified the conversion of \({{\text{I}}^ - }\) to \({\text{I}}{{\text{O}}^{3 - }}\) as oxidation and many able to identify the increase in oxidation number. The workings of a voltaic cell was generally well understood but the definition of the term standard electrode potential was often incomplete with the reference to standard conditions of the hydrogen electrode often missing.
Most candidates were able to draw an arrow in the box diagram for the electron configuration of chromium, but few gave a complete description of the nature of metallic bonding and did not refer to the attraction between the \({\text{C}}{{\text{r}}^{3 + }}\) cations and the delocalized electrons. Candidates were more successful in explaining malleability in terms of \({\text{C}}{{\text{r}}^{3 + }}\) cations sliding over one another. Most candidates were able to use oxidation numbers in naming \({\text{C}}{{\text{r}}_{\text{2}}}{{\text{O}}_{\text{3}}}\) but the explanation of ionic bonding was incomplete with only limited reference to the electrostatic attraction between the oppositely charged ions. Students continue to struggle to understand that conductivity of molten ionic compounds is due to mobile ions not electrons. Most candidates were able to deduce the oxidation number in the complex ion and give the answer using the correct notation. The nature of the ligand-chromium bond was well known and the explanation of the colour of transition metal complexes was stronger than in previous sessions with only a minority referring to the emission of light. Some teachers have commented that trans/cis-isomers of the complex ions is not specifically stated in the guide but many students were able draw two possible isomers. The representation of 3D structures could have been clearer although this was not explicitly penalized. Redox half-reactions continue to challenge many with only the stronger students being able to gain both marks and deduce the correct overall equation. Some teachers commented that the question was too demanding as students had to construct two half-equations in order to get to the overall redox equation, but the \({\text{C}}{{\text{r}}_{\text{2}}}{\text{O}}_{\text{7}}^{{\text{2}} - }{\text{/C}}{{\text{r}}^{3 + }}\) half-reaction is given in table 14 of the current data booklet. The majority of candidates identified the conversion of \({{\text{I}}^ - }\) to \({\text{I}}{{\text{O}}^{3 - }}\) as oxidation and many able to identify the increase in oxidation number. The workings of a voltaic cell was generally well understood but the definition of the term standard electrode potential was often incomplete with the reference to standard conditions of the hydrogen electrode often missing.
Most candidates were able to draw an arrow in the box diagram for the electron configuration of chromium, but few gave a complete description of the nature of metallic bonding and did not refer to the attraction between the \({\text{C}}{{\text{r}}^{3 + }}\) cations and the delocalized electrons. Candidates were more successful in explaining malleability in terms of \({\text{C}}{{\text{r}}^{3 + }}\) cations sliding over one another. Most candidates were able to use oxidation numbers in naming \({\text{C}}{{\text{r}}_{\text{2}}}{{\text{O}}_{\text{3}}}\) but the explanation of ionic bonding was incomplete with only limited reference to the electrostatic attraction between the oppositely charged ions. Students continue to struggle to understand that conductivity of molten ionic compounds is due to mobile ions not electrons. Most candidates were able to deduce the oxidation number in the complex ion and give the answer using the correct notation. The nature of the ligand-chromium bond was well known and the explanation of the colour of transition metal complexes was stronger than in previous sessions with only a minority referring to the emission of light. Some teachers have commented that trans/cis-isomers of the complex ions is not specifically stated in the guide but many students were able draw two possible isomers. The representation of 3D structures could have been clearer although this was not explicitly penalized. Redox half-reactions continue to challenge many with only the stronger students being able to gain both marks and deduce the correct overall equation. Some teachers commented that the question was too demanding as students had to construct two half-equations in order to get to the overall redox equation, but the \({\text{C}}{{\text{r}}_{\text{2}}}{\text{O}}_{\text{7}}^{{\text{2}} - }{\text{/C}}{{\text{r}}^{3 + }}\) half-reaction is given in table 14 of the current data booklet. The majority of candidates identified the conversion of \({{\text{I}}^ - }\) to \({\text{I}}{{\text{O}}^{3 - }}\) as oxidation and many able to identify the increase in oxidation number. The workings of a voltaic cell was generally well understood but the definition of the term standard electrode potential was often incomplete with the reference to standard conditions of the hydrogen electrode often missing.
Most candidates were able to draw an arrow in the box diagram for the electron configuration of chromium, but few gave a complete description of the nature of metallic bonding and did not refer to the attraction between the \({\text{C}}{{\text{r}}^{3 + }}\) cations and the delocalized electrons. Candidates were more successful in explaining malleability in terms of \({\text{C}}{{\text{r}}^{3 + }}\) cations sliding over one another. Most candidates were able to use oxidation numbers in naming \({\text{C}}{{\text{r}}_{\text{2}}}{{\text{O}}_{\text{3}}}\) but the explanation of ionic bonding was incomplete with only limited reference to the electrostatic attraction between the oppositely charged ions. Students continue to struggle to understand that conductivity of molten ionic compounds is due to mobile ions not electrons. Most candidates were able to deduce the oxidation number in the complex ion and give the answer using the correct notation. The nature of the ligand-chromium bond was well known and the explanation of the colour of transition metal complexes was stronger than in previous sessions with only a minority referring to the emission of light. Some teachers have commented that trans/cis-isomers of the complex ions is not specifically stated in the guide but many students were able draw two possible isomers. The representation of 3D structures could have been clearer although this was not explicitly penalized. Redox half-reactions continue to challenge many with only the stronger students being able to gain both marks and deduce the correct overall equation. Some teachers commented that the question was too demanding as students had to construct two half-equations in order to get to the overall redox equation, but the \({\text{C}}{{\text{r}}_{\text{2}}}{\text{O}}_{\text{7}}^{{\text{2}} - }{\text{/C}}{{\text{r}}^{3 + }}\) half-reaction is given in table 14 of the current data booklet. The majority of candidates identified the conversion of \({{\text{I}}^ - }\) to \({\text{I}}{{\text{O}}^{3 - }}\) as oxidation and many able to identify the increase in oxidation number. The workings of a voltaic cell was generally well understood but the definition of the term standard electrode potential was often incomplete with the reference to standard conditions of the hydrogen electrode often missing.
Most candidates were able to draw an arrow in the box diagram for the electron configuration of chromium, but few gave a complete description of the nature of metallic bonding and did not refer to the attraction between the \({\text{C}}{{\text{r}}^{3 + }}\) cations and the delocalized electrons. Candidates were more successful in explaining malleability in terms of \({\text{C}}{{\text{r}}^{3 + }}\) cations sliding over one another. Most candidates were able to use oxidation numbers in naming \({\text{C}}{{\text{r}}_{\text{2}}}{{\text{O}}_{\text{3}}}\) but the explanation of ionic bonding was incomplete with only limited reference to the electrostatic attraction between the oppositely charged ions. Students continue to struggle to understand that conductivity of molten ionic compounds is due to mobile ions not electrons. Most candidates were able to deduce the oxidation number in the complex ion and give the answer using the correct notation. The nature of the ligand-chromium bond was well known and the explanation of the colour of transition metal complexes was stronger than in previous sessions with only a minority referring to the emission of light. Some teachers have commented that trans/cis-isomers of the complex ions is not specifically stated in the guide but many students were able draw two possible isomers. The representation of 3D structures could have been clearer although this was not explicitly penalized. Redox half-reactions continue to challenge many with only the stronger students being able to gain both marks and deduce the correct overall equation. Some teachers commented that the question was too demanding as students had to construct two half-equations in order to get to the overall redox equation, but the \({\text{C}}{{\text{r}}_{\text{2}}}{\text{O}}_{\text{7}}^{{\text{2}} - }{\text{/C}}{{\text{r}}^{3 + }}\) half-reaction is given in table 14 of the current data booklet. The majority of candidates identified the conversion of \({{\text{I}}^ - }\) to \({\text{I}}{{\text{O}}^{3 - }}\) as oxidation and many able to identify the increase in oxidation number. The workings of a voltaic cell was generally well understood but the definition of the term standard electrode potential was often incomplete with the reference to standard conditions of the hydrogen electrode often missing.
Most candidates were able to draw an arrow in the box diagram for the electron configuration of chromium, but few gave a complete description of the nature of metallic bonding and did not refer to the attraction between the \({\text{C}}{{\text{r}}^{3 + }}\) cations and the delocalized electrons. Candidates were more successful in explaining malleability in terms of \({\text{C}}{{\text{r}}^{3 + }}\) cations sliding over one another. Most candidates were able to use oxidation numbers in naming \({\text{C}}{{\text{r}}_{\text{2}}}{{\text{O}}_{\text{3}}}\) but the explanation of ionic bonding was incomplete with only limited reference to the electrostatic attraction between the oppositely charged ions. Students continue to struggle to understand that conductivity of molten ionic compounds is due to mobile ions not electrons. Most candidates were able to deduce the oxidation number in the complex ion and give the answer using the correct notation. The nature of the ligand-chromium bond was well known and the explanation of the colour of transition metal complexes was stronger than in previous sessions with only a minority referring to the emission of light. Some teachers have commented that trans/cis-isomers of the complex ions is not specifically stated in the guide but many students were able draw two possible isomers. The representation of 3D structures could have been clearer although this was not explicitly penalized. Redox half-reactions continue to challenge many with only the stronger students being able to gain both marks and deduce the correct overall equation. Some teachers commented that the question was too demanding as students had to construct two half-equations in order to get to the overall redox equation, but the \({\text{C}}{{\text{r}}_{\text{2}}}{\text{O}}_{\text{7}}^{{\text{2}} - }{\text{/C}}{{\text{r}}^{3 + }}\) half-reaction is given in table 14 of the current data booklet. The majority of candidates identified the conversion of \({{\text{I}}^ - }\) to \({\text{I}}{{\text{O}}^{3 - }}\) as oxidation and many able to identify the increase in oxidation number. The workings of a voltaic cell was generally well understood but the definition of the term standard electrode potential was often incomplete with the reference to standard conditions of the hydrogen electrode often missing.
Most candidates were able to draw an arrow in the box diagram for the electron configuration of chromium, but few gave a complete description of the nature of metallic bonding and did not refer to the attraction between the \({\text{C}}{{\text{r}}^{3 + }}\) cations and the delocalized electrons. Candidates were more successful in explaining malleability in terms of \({\text{C}}{{\text{r}}^{3 + }}\) cations sliding over one another. Most candidates were able to use oxidation numbers in naming \({\text{C}}{{\text{r}}_{\text{2}}}{{\text{O}}_{\text{3}}}\) but the explanation of ionic bonding was incomplete with only limited reference to the electrostatic attraction between the oppositely charged ions. Students continue to struggle to understand that conductivity of molten ionic compounds is due to mobile ions not electrons. Most candidates were able to deduce the oxidation number in the complex ion and give the answer using the correct notation. The nature of the ligand-chromium bond was well known and the explanation of the colour of transition metal complexes was stronger than in previous sessions with only a minority referring to the emission of light. Some teachers have commented that trans/cis-isomers of the complex ions is not specifically stated in the guide but many students were able draw two possible isomers. The representation of 3D structures could have been clearer although this was not explicitly penalized. Redox half-reactions continue to challenge many with only the stronger students being able to gain both marks and deduce the correct overall equation. Some teachers commented that the question was too demanding as students had to construct two half-equations in order to get to the overall redox equation, but the \({\text{C}}{{\text{r}}_{\text{2}}}{\text{O}}_{\text{7}}^{{\text{2}} - }{\text{/C}}{{\text{r}}^{3 + }}\) half-reaction is given in table 14 of the current data booklet. The majority of candidates identified the conversion of \({{\text{I}}^ - }\) to \({\text{I}}{{\text{O}}^{3 - }}\) as oxidation and many able to identify the increase in oxidation number. The workings of a voltaic cell was generally well understood but the definition of the term standard electrode potential was often incomplete with the reference to standard conditions of the hydrogen electrode often missing.
Most candidates were able to draw an arrow in the box diagram for the electron configuration of chromium, but few gave a complete description of the nature of metallic bonding and did not refer to the attraction between the \({\text{C}}{{\text{r}}^{3 + }}\) cations and the delocalized electrons. Candidates were more successful in explaining malleability in terms of \({\text{C}}{{\text{r}}^{3 + }}\) cations sliding over one another. Most candidates were able to use oxidation numbers in naming \({\text{C}}{{\text{r}}_{\text{2}}}{{\text{O}}_{\text{3}}}\) but the explanation of ionic bonding was incomplete with only limited reference to the electrostatic attraction between the oppositely charged ions. Students continue to struggle to understand that conductivity of molten ionic compounds is due to mobile ions not electrons. Most candidates were able to deduce the oxidation number in the complex ion and give the answer using the correct notation. The nature of the ligand-chromium bond was well known and the explanation of the colour of transition metal complexes was stronger than in previous sessions with only a minority referring to the emission of light. Some teachers have commented that trans/cis-isomers of the complex ions is not specifically stated in the guide but many students were able draw two possible isomers. The representation of 3D structures could have been clearer although this was not explicitly penalized. Redox half-reactions continue to challenge many with only the stronger students being able to gain both marks and deduce the correct overall equation. Some teachers commented that the question was too demanding as students had to construct two half-equations in order to get to the overall redox equation, but the \({\text{C}}{{\text{r}}_{\text{2}}}{\text{O}}_{\text{7}}^{{\text{2}} - }{\text{/C}}{{\text{r}}^{3 + }}\) half-reaction is given in table 14 of the current data booklet. The majority of candidates identified the conversion of \({{\text{I}}^ - }\) to \({\text{I}}{{\text{O}}^{3 - }}\) as oxidation and many able to identify the increase in oxidation number. The workings of a voltaic cell was generally well understood but the definition of the term standard electrode potential was often incomplete with the reference to standard conditions of the hydrogen electrode often missing.
Most candidates were able to draw an arrow in the box diagram for the electron configuration of chromium, but few gave a complete description of the nature of metallic bonding and did not refer to the attraction between the \({\text{C}}{{\text{r}}^{3 + }}\) cations and the delocalized electrons. Candidates were more successful in explaining malleability in terms of \({\text{C}}{{\text{r}}^{3 + }}\) cations sliding over one another. Most candidates were able to use oxidation numbers in naming \({\text{C}}{{\text{r}}_{\text{2}}}{{\text{O}}_{\text{3}}}\) but the explanation of ionic bonding was incomplete with only limited reference to the electrostatic attraction between the oppositely charged ions. Students continue to struggle to understand that conductivity of molten ionic compounds is due to mobile ions not electrons. Most candidates were able to deduce the oxidation number in the complex ion and give the answer using the correct notation. The nature of the ligand-chromium bond was well known and the explanation of the colour of transition metal complexes was stronger than in previous sessions with only a minority referring to the emission of light. Some teachers have commented that trans/cis-isomers of the complex ions is not specifically stated in the guide but many students were able draw two possible isomers. The representation of 3D structures could have been clearer although this was not explicitly penalized. Redox half-reactions continue to challenge many with only the stronger students being able to gain both marks and deduce the correct overall equation. Some teachers commented that the question was too demanding as students had to construct two half-equations in order to get to the overall redox equation, but the \({\text{C}}{{\text{r}}_{\text{2}}}{\text{O}}_{\text{7}}^{{\text{2}} - }{\text{/C}}{{\text{r}}^{3 + }}\) half-reaction is given in table 14 of the current data booklet. The majority of candidates identified the conversion of \({{\text{I}}^ - }\) to \({\text{I}}{{\text{O}}^{3 - }}\) as oxidation and many able to identify the increase in oxidation number. The workings of a voltaic cell was generally well understood but the definition of the term standard electrode potential was often incomplete with the reference to standard conditions of the hydrogen electrode often missing.
The graph of the first ionization energy plotted against atomic number for the first twenty elements shows periodicity.

Explain how information from this graph provides evidence for the existence of main energy levels and sub-levels within atoms.
State what is meant by the term second ionization energy.
Sketch and explain the shape of the graph obtained for the successive ionization energies of potassium using a logarithmic scale for ionization energy on the y-axis against number of electrons removed on the x-axis.

State the full electronic configurations of copper, Cu, and the copper(I) ion, \({\text{C}}{{\text{u}}^ + }\).
Explain why copper(II) compounds in aqueous solution are coloured whereas scandium(III) compounds in aqueous solution are colourless.
Markscheme
(evidence for main levels)
highest values for noble gases / lowest values for alkali metals / OWTTE;
general increase across a period;
(evidence for sub-levels)
drop in I.E. from Be to B/Mg to Al/Group 2 to Group 3;
drop in I.E. from N to O/P to S/Group 5 to Group 6;
\({{\text{M}}^ + }{\text{(g)}} \to {{\text{M}}^{2 + }}{\text{(g)}} + {{\text{e}}^ - }\) / OWTTE ;
Accept e instead of e–.
Rough sketch to show:
Graph of successive ionization energies for potassium

correct use of axes and one electron relatively easy to remove;
a jump in value then eight, another jump to another eight and finally another jump for the remaining two electrons ;
electronic configuration of \({\text{K}} = {\text{1}}{{\text{s}}^{\text{2}}}{\text{2}}{{\text{s}}^{\text{2}}}{\text{2}}{{\text{p}}^{\text{6}}}{\text{3}}{{\text{s}}^{\text{2}}}{\text{3}}{{\text{p}}^{\text{6}}}{\text{4}}{{\text{s}}^{\text{1}}}\) / first electron due to removal of \({\text{4}}{{\text{s}}^{\text{1}}}\), next eight due to third level/\({\text{3}}{{\text{s}}^{\text{2}}}{\text{3}}{{\text{p}}^{\text{6}}}\), next eight due to second level/\({\text{2}}{{\text{s}}^{\text{2}}}{\text{2}}{{\text{p}}^{\text{6}}}\) and last two due to removal of first level/\({\text{1}}{{\text{s}}^{\text{2}}}\);
the more electrons removed the more the positive nucleus attracts the remaining electrons and each main energy level is closer to the nucleus / OWTTE;
\({\text{(Cu) 1}}{{\text{s}}^{\text{2}}}{\text{2}}{{\text{s}}^{\text{2}}}{\text{2}}{{\text{p}}^{\text{6}}}{\text{3}}{{\text{s}}^{\text{2}}}{\text{3}}{{\text{p}}^{\text{6}}}{\text{4}}{{\text{s}}^{\text{1}}}{\text{3}}{{\text{d}}^{{\text{10}}}}/{\text{1}}{{\text{s}}^{\text{2}}}{\text{2}}{{\text{s}}^{\text{2}}}{\text{2}}{{\text{p}}^{\text{6}}}{\text{3}}{{\text{s}}^{\text{2}}}{\text{3}}{{\text{p}}^{\text{6}}}{\text{3}}{{\text{d}}^{{\text{10}}}}{\text{4}}{{\text{s}}^{\text{1}}}\);
Do not accept [Ar]4s13d10.
\({\text{(C}}{{\text{u}}^ + }{\text{) 1}}{{\text{s}}^{\text{2}}}{\text{2}}{{\text{s}}^{\text{2}}}{\text{2}}{{\text{p}}^{\text{6}}}{\text{3}}{{\text{s}}^{\text{2}}}{\text{3}}{{\text{p}}^{\text{6}}}{\text{3}}{{\text{d}}^{{\text{10}}}}\);
Do not accept [Ar]3d10.
\({\text{C}}{{\text{u}}^{2 + }}\) has an incomplete d sub-level and \({\text{S}}{{\text{c}}^{3 + }}\) has no d electrons;
the d sub-level is split so the d electrons (in copper) can be excited by visible light / OWTTE;
Examiners report
Many candidates had difficulty correlating the graph of first ionization energy to main energy levels and sub-levels.
Commonly the graph looked very similar to the graph provided of first ionization energy against atomic number. Even the few candidates who seemed to understand the ideas involved with successive ionization energies drew only partial graphs and did not continue for the removal of all 19 electrons. Some teachers commented on the G2 forms that sketching the graph is beyond the scope of the course but it is clearly covered by AS 12.1.2.
In part (c), few candidates could correctly write the electron configurations of Cu and \({\text{C}}{{\text{u}}^ + }\), with many giving a full 4s orbital and only 9 electrons in the 3d orbitals. Candidates who managed to correctly write the electron configuration of Cu often removed a 3d electron when creating \({\text{C}}{{\text{u}}^ + }\).
Many candidates could explain why aqueous solutions of copper(II) compounds are coloured but those of scandium(III) compounds are not, but some candidates responded very weakly.
Millerite, a nickel sulfide mineral, is an important source of nickel. The first step in extracting nickel is to roast the ore in air.
The reaction for the formation of liquid tetracarbonylnickel is shown below:
\[{\text{Ni(s)}} + 4{\text{CO(g)}} \to {\text{Ni(CO}}{{\text{)}}_4}{\text{(l)}}\]
Formulate an equation for the oxidation of nickel(II) sulfide to nickel(II) oxide.
The nickel obtained from another ore, nickeliferous limonite, is contaminated with iron. Both nickel and iron react with carbon monoxide gas to form gaseous complexes, tetracarbonylnickel, \({\text{Ni(CO}}{{\text{)}}_{\text{4}}}{\text{(g)}}\), and pentacarbonyliron, \({\text{Fe(CO}}{{\text{)}}_{\text{5}}}{\text{(g)}}\). Suggest why the nickel can be separated from the iron successfully using carbon monoxide.
Calculate the standard entropy change, \(\Delta {S^\theta }\), of the reaction, in \({\text{J}}\,{{\text{K}}^{ - 1}}\), using the values given.
Calculate a value for \(\Delta {H^\theta }\) in kJ.
Use your answers to (c)(i) and (c)(ii), to determine the temperature, in °C, at which the decomposition of liquid tetracarbonylnickel to nickel and carbon monoxide becomes favourable.
(If you did not get answers to (c)(i) and (c)(ii), use \( - 500{\text{ J}}\,{{\text{K}}^{ - 1}}\) and \( - 200{\text{ kJ}}\) respectively but these are not the correct answers.)
Suggest why experiments involving tetracarbonylnickel are very hazardous.
Markscheme
\({\text{2NiS(s)}} + {\text{3}}{{\text{O}}_{\text{2}}}{\text{(g)}} \to {\text{2NiO(s)}} + {\text{2S}}{{\text{O}}_{\text{2}}}{\text{(g)}}\)
[1 mark]
formation of «gaseous» pentacarbonyliron is slower
OR
«gaseous» complexes form at different rates
OR
gases have different rates of diffusion «due to difference in masses»
OR
difference in thermal stability of «gaseous» complexes
OR
difference in boiling points of «gaseous» complexes
OR
difference in solubility of «gaseous» complexes
OR
difference in surface affinity «onto solid absorbent»
OR
difference in chemical properties of «gaseous» complexes
Accept any other valid answer.
[1 mark]
\(\sum {S_{{\text{RHS}}}^\theta = 313.4{\text{ }}\ll {\text{J}}\,{{\text{K}}^{ - 1}}\gg } \)
AND
\(\sum {S_{{\text{LHS}}}^\theta = \ll (4 \times 197.6) + 29.9{\text{ J}}\,{{\text{K}}^{ - 1}} = \gg {\text{ }}820.3{\text{ }}\ll {\text{J}}\,{{\text{K}}^{ - 1}}\gg } \)
\(\Delta {S^\theta }\ll = \sum {S_{{\text{RHS}}}^\theta - \sum {S_{{\text{LHS}}}^\theta = } {\text{ }}313.4 - 820.3\gg = - 506.9{\text{ }}\ll {\text{J}}\,{{\text{K}}^{ - 1}}\gg } \)
Award [2] for correct final answer.
[2 marks]
\(\Delta {H^\theta }\ll = - 633.0 - 4 \times ( - 110.5)\gg = - 191{\text{ }}\ll kJ\gg \)
[1 mark]
«when» \(\Delta G = 0\) «forward and backward reactions are equally favourable»
«when \(\Delta G = 0\), \({\text{T}} = \frac{{\Delta H}}{{\Delta S}}\)», \({\text{T}} = \ll \frac{{191{\text{ kJ}}}}{{0.5069{\text{ kJ}}\,{{\text{K}}^{ - 1}}}} = \gg {\text{ }}377{\text{ }}\ll {\text{K}}\gg \)
«temperature =» 104 «°C»
Award [3] for correct final answer. Use of –500 J K–1 and –200 kJ gives 127 °C.
Award [2 max] for T < 104 «°C».
Accept ΔG < 0 and T > 104 «°C».
[3 marks]
CO is toxic/poisonous
OR
Ni(CO)4 decomposition deposits nickel in the lungs
OR
tetracarbonylnickel is toxic/poisonous
OR
tetracarbonylnickel is highly flammable «auto-ignition temperature of 60 °C»
[1 mark]
Examiners report
Hydrogen peroxide decomposes according to the equation below.
\({\text{2}}{{\text{H}}_{\text{2}}}{{\text{O}}_{\text{2}}}{\text{(aq)}} \to {\text{2}}{{\text{H}}_{\text{2}}}{\text{O(l)}} + {{\text{O}}_{\text{2}}}{\text{(g)}}\)
The rate of the decomposition can be monitored by measuring the volume of oxygen gas released. The graph shows the results obtained when a solution of hydrogen peroxide decomposed in the presence of a CuO catalyst.

Outline how the initial rate of reaction can be found from the graph.
Explain how and why the rate of reaction changes with time.
A Maxwell-Boltzmann energy distribution curve is drawn below. Label both axes and explain, by annotating the graph, how catalysts increase the rate of reaction.

(i) In some reactions, increasing the concentration of a reactant does not increase the rate of reaction. Describe how this may occur.
(ii) Consider the reaction
\[{\text{2A}} + {\text{B}} \to {\text{C}} + {\text{D}}\]
The reaction is first order with respect to A, and zero order with respect to B. Deduce the rate expression for this reaction.
Sketch a graph of rate constant \((k)\) versus temperature.

Hydrochloric acid neutralizes sodium hydroxide, forming sodium chloride and water.
\({\text{NaOH(aq)}} + {\text{HCl(aq)}} \to {\text{NaCl(aq)}} + {{\text{H}}_{\text{2}}}{\text{O(l)}}\) \(\Delta {H^\Theta } = - 57.9{\text{ kJ}}\,{\text{mo}}{{\text{l}}^{ - 1}}\)
(i) Define standard enthalpy change of reaction, \(\Delta {H^\Theta }\).
(ii) Determine the amount of energy released, in kJ, when \({\text{50.0 c}}{{\text{m}}^{\text{3}}}\) of \({\text{1.00 mol}}\,{\text{d}}{{\text{m}}^{ - 3}}\) sodium hydroxide solution reacts with \({\text{50.0 c}}{{\text{m}}^{\text{3}}}\) of \({\text{1.00 mol}}\,{\text{d}}{{\text{m}}^{ - 3}}\) hydrochloric acid solution.
(iii) In an experiment, 2.50 g of solid sodium hydroxide was dissolved in \({\text{50.0 c}}{{\text{m}}^{\text{3}}}\) of water. The temperature rose by 13.3 °C. Calculate the standard enthalpy change, in \({\text{kJ}}\,{\text{mo}}{{\text{l}}^{ - 1}}\), for dissolving one mole of solid sodium hydroxide in water.
\[{\text{NaOH(s)}} \to {\text{NaOH(aq)}}\]
(iv) Using relevant data from previous question parts, determine \(\Delta {H^\Theta }\), in \({\text{kJ}}\,{\text{mo}}{{\text{l}}^{ - 1}}\), for the reaction of solid sodium hydroxide with hydrochloric acid.
\[{\text{NaOH(s)}} + {\text{HCl(aq)}} \to {\text{NaCl(aq)}} + {{\text{H}}_{\text{2}}}{\text{O(l)}}\]
(i) Zinc is found in the d-block of the periodic table. Explain why it is not considered a transition metal.
(ii) Explain why \({\text{F}}{{\text{e}}^{3 + }}\) is a more stable ion than \({\text{F}}{{\text{e}}^{2 + }}\) by reference to their electron configurations.
Markscheme
(draw a) tangent to the curve at origin/time = 0/start of reaction;
(calculate) the gradient/slope (of the tangent);
rate decreases (with time);
concentration/number of (reactant) molecules per unit volume decreases (with time);
Do not accept “number of molecules decreases” or “amount of reactant decreases”.
collisions (between reactant molecules/reactant and catalyst) become less frequent;
Do not accept “fewer collisions” without reference to frequency (eg, no. collisions per second).
y-axis: probability / fraction of molecules/particles / probability density
Allow “number of particles/molecules” on y-axis.
and
x-axis: (kinetic) energy;
Accept “speed/velocity” on x-axis.

correct relative position of \({E_{\text{a}}}\) catalysed and \({E_{\text{a}}}\) uncatalysed;
more/greater proportion of molecules/collisions have the lower/required/catalysed \({E_{\text{a}}}\) (and can react upon collision);
M3 can be scored by stating or shading and annotating the graph.
Accept “a greater number/proportion of successful collisions as catalyst reduces \({E_a}\)”.
(i) reactant not involved in (or before) the slowest/rate-determining step/RDS;
reactant is in (large) excess;
(ii) \({\text{(rate}} = {\text{) }}k{\text{[A]}}\);
Accept rate = k[A]1[B]0.
curve with a positive slope curving upwards;
Do not penalize if curve passes through the origin.

(i) heat transferred/absorbed/released/enthalpy/potential energy change when 1 mol/molar amounts of reactant(s) react (to form products) / OWTTE;
under standard conditions / at a pressure 100 kPa/101.3 kPa/1 atm and temperature 298 K/25 °C;
Award [2] for difference between standard enthalpies of products and standard enthalpies of reactants / \({H^\Theta }\) (products) – \({H^\Theta }\) (reactants).
Award [2] for difference between standard enthalpies of formation of products and standard enthalpies of formation of reactants / \(\Sigma \Delta H_f^\Theta \) (products) – \(\Sigma \Delta H_f^\Theta \) (reactants).
(ii) \((1.00 \times 0.0500 = ){\text{ }}0.0500{\text{ (mol)}}\);
\((0.0500 \times 57.9 = ){\text{ }}2.90{\text{ (kJ)}}\);
Ignore any negative sign.
Award [2] for correct final answer.
Award [1 max] for 2900 J.
(iii) \(\left( {\frac{{2.50}}{{40.00}} = } \right){\text{ }}0.0625{\text{ (mol NaOH)}}\);
\(0.0500 \times 4.18 \times 13.3 = 2.78{\text{ (kJ)}}/50.0 \times 4.18 \times 13.3 = 2780{\text{ (J)}}\);
\(\left( {\frac{{2.78}}{{0.0625}}} \right) = - 44.5{\text{ (kJ}}\,{\text{mo}}{{\text{l}}^{ - 1}})\);
Award [3] for correct final answer.
Negative sign is necessary for M3.
Award M2 and M3 if is used to obtain an enthalpy change of –46.7 (kJ mol–1).
(iv) \( - 44.5 - 57.9\) / correct Hess’s Law cycle (as below) / correct manipulation of equations;

\( - 102.4{\text{ kJ}}\);
Award [2] for correct final answer.
(i) zinc (only) forms the ion \({\text{Z}}{{\text{n}}^{2 + }}\) / has the oxidation state \( + 2\);
Allow forms only one ion / has only one oxidation state.
has full d-subshell/orbitals / does not have a partially filled d-subshell/orbitals (needed to exhibit transition metal properties);
(ii) \({\text{F}}{{\text{e}}^{2 + }}{\text{: 1}}{{\text{s}}^{\text{2}}}{\text{2}}{{\text{s}}^{\text{2}}}{\text{2}}{{\text{p}}^{\text{6}}}{\text{3}}{{\text{s}}^{\text{2}}}{\text{3}}{{\text{p}}^{\text{6}}}{\text{3}}{{\text{d}}^{\text{6}}}/{\text{[Ar] 3}}{{\text{d}}^{\text{6}}}\) and \({\text{F}}{{\text{e}}^{3 + }}{\text{: 1}}{{\text{s}}^{\text{2}}}{\text{2}}{{\text{s}}^{\text{2}}}{\text{2}}{{\text{p}}^{\text{6}}}{\text{3}}{{\text{s}}^{\text{2}}}{\text{3}}{{\text{p}}^{\text{6}}}{\text{3}}{{\text{d}}^{\text{5}}}/{\text{[Ar] 3}}{{\text{d}}^{\text{5}}}\);
half-full sub-level/3d5 has extra stability;
less repulsion between electrons / electrons singly occupy orbitals / electrons do not have to pair with other electrons;
Accept converse points for Fe2+.
Examiners report
Most candidates related the rate of reaction to the gradient of the curve, but only a few suggested drawing a tangent at \(t = 0\).
Answers were often disappointing and only a few candidates gained full marks.
Candidates often talked about the number of reactant molecules decreasing but neglected to relate this to a lower concentration. Also some candidates still fail to highlight frequency rather than the number of collisions.
Well answered by more than half of the candidates. The labelling of the axes was a challenge for some candidates. The annotation of the diagram with the energy of activation with and without a catalyst was mostly correct, though some weaker students confused it with the effect of temperature and constructed a second curve. Some candidates could not offer an explanation for the third mark.
(i) Only a few candidates scored this mark. Many candidates stated that a reactant concentration having no effect indicated that the reaction that was zero order in that species, rather than describing the underlying mechanistic reason for the zero order dependence.
(ii) More than half of the candidates could construct a correct rate expression from information about the order of the reactants.
A number of candidates gave a linear relationship, rather than an exponential one, between reaction rate and temperature.
(i) Defining the standard enthalpy change of reaction was not well answered.
(ii) More than half of the candidates calculated the amount of energy released correctly.
(iii) Half of the candidates were able to gain the three marks. Many candidates lost the third mark for not quoting the negative sign for the enthalpy change. Quite a few candidates used a wrong value for the mass of water.
(iv) Many good answers. A Hess’s Law cycle wasn’t often seen. Quite a few candidates scored through ECF from (iii).
(i) Most candidates knew that zinc has a full 3d sub-shell but almost all missed out on the second mark about only having one possible oxidation state in its compounds.
(ii) This was a challenging question for many candidates. A large number of candidates did not give the correct electron configurations for the ions, and only few mentioned the stability of the half-full d-sub-shell. Very few scored the third mark.
Titanium and vanadium are consecutive elements in the first transition metal series.
\({\text{TiC}}{{\text{l}}_{\text{4}}}\) reacts with water and the resulting titanium(IV) oxide can be used as a smoke screen.
Describe the bonding in metals.
Titanium exists as several isotopes. The mass spectrum of a sample of titanium gave the following data:

Calculate the relative atomic mass of titanium to two decimal places.
State the number of protons, neutrons and electrons in the \(_{{\text{22}}}^{{\text{48}}}{\text{Ti}}\) atom.

State the full electron configuration of the \(_{{\text{22}}}^{{\text{48}}}{\text{T}}{{\text{i}}^{2 + }}\) ion.
Suggest why the melting point of vanadium is higher than that of titanium.
Sketch a graph of the first six successive ionization energies of vanadium on the axes provided.

Explain why an aluminium-titanium alloy is harder than pure aluminium.
Describe, in terms of the electrons involved, how the bond between a ligand and a central metal ion is formed.
Outline why transition metals form coloured compounds.
State the type of bonding in potassium chloride which melts at 1043 K.
A chloride of titanium, \({\text{TiC}}{{\text{l}}_{\text{4}}}\), melts at 248 K. Suggest why the melting point is so much lower than that of KCl.
Formulate an equation for this reaction.
Suggest one disadvantage of using this smoke in an enclosed space.
Markscheme
electrostatic attraction
between «a lattice of» metal/positive ions/cations AND «a sea of» delocalized electrons
Accept “mobile electrons”.
Do not accept “metal atoms/nuclei”.
[2 marks]
\(\frac{{(46 \times 7.98){\text{ + }}(47 \times 7.32){\text{ + }}(48 \times 73.99){\text{ + }}(49 \times 5.46){\text{ + }}(50 \times 5.25)}}{{100}} = 47.93\)
Answer must have two decimal places with a value from 47.90 to 48.00.
Award [2] for correct final answer.
Award [0] for 47.87 (data booklet value).
[2 marks]
Protons: 22 AND Neutrons: 26 AND Electrons: 22
[1 mark]
\({\text{1}}{{\text{s}}^{\text{2}}}{\text{2}}{{\text{s}}^{\text{2}}}{\text{2}}{{\text{p}}^{\text{6}}}{\text{3}}{{\text{s}}^{\text{2}}}{\text{3}}{{\text{p}}^{\text{6}}}{\text{3}}{{\text{d}}^{\text{2}}}\)
[1 mark]
vanadium has smaller ionic radius «leading to stronger metallic bonding»
Accept vanadium has «one» more valence electron«s» «leading to stronger metallic bonding».
Accept “atomic” for “ionic”.
[1 mark]
regular increase for first five AND sharp increase to the 6th
A log graph is acceptable.
Accept log plot on given axes (without amendment of y-axis).
Award mark if gradient of 5 to 6 is greater than “best fit line” of 1 to 5.
[1 mark]
titanium atoms/ions distort the regular arrangement of atoms/ions
OR
titanium atoms/ions are a different size to aluminium «atoms/ions»
prevent layers sliding over each other
Accept diagram showing different sizes of atoms/ions.
[2 marks]
pair of electrons provided by the ligand
Do not accept “dative” or “coordinate bonding” alone.
[1 mark]
partially filled d-orbitals
«ligands cause» d-orbitals «to» split
light is absorbed as electrons transit to a higher energy level «in d–d transitions»
OR
light is absorbed as electrons are promoted
energy gap corresponds to light in the visible region of the spectrum
colour observed is the complementary colour
[4 marks]
ionic
OR
«electrostatic» attraction between oppositely charged ions
[1 mark]
«simple» molecular structure
OR
weak«er» intermolecular bonds
OR
weak«er» bonds between molecules
Accept specific examples of weak bonds such as London/dispersion and van der Waals.
Do not accept “covalent”.
[1 mark]
\({\text{TiC}}{{\text{l}}_{\text{4}}}{\text{(l)}} + {\text{2}}{{\text{H}}_{\text{2}}}{\text{O(l)}} \to {\text{Ti}}{{\text{O}}_{\text{2}}}{\text{(s)}} + {\text{4HCl(aq)}}\) correct products
correct balancing
Accept ionic equation.
Award M2 if products are HCl and a compound of Ti and O.
[2 marks]
HCl causes breathing/respiratory problems
OR
HCl is an irritant
OR
HCl is toxic
OR
HCl has acidic vapour
OR
HCl is corrosive
Accept TiO2 causes breathing
problems/is an irritant.
Accept “harmful” for both HCl and TiO2.
Accept “smoke is asphyxiant”.
[1 mark]
Examiners report
Chromium is a typical transition metal with many uses.
A voltaic cell is constructed as follows. One half-cell contains a platinum electrode in a solution containing \({{\text{K}}_{\text{2}}}{\text{C}}{{\text{r}}_{\text{2}}}{{\text{O}}_{\text{7}}}\) and \({{\text{H}}_{\text{2}}}{\text{S}}{{\text{O}}_{\text{4}}}\). The other half-cell contains an iron electrode in a solution containing \({\text{F}}{{\text{e}}^{2 + }}\) ions. The two electrodes are connected to a voltmeter and the two solutions by a salt bridge.
Distinguish between the terms oxidation and reduction in terms of oxidation numbers.
State the names of \({\text{C}}{{\text{r}}_{\text{2}}}{{\text{O}}_{\text{3}}}\) and \({\text{Cr}}{{\text{O}}_{\text{3}}}\).
\({\text{C}}{{\text{r}}_{\text{2}}}{{\text{O}}_{\text{3}}}\):
\({\text{Cr}}{{\text{O}}_{\text{3}}}\):
Define the term oxidizing agent.
\({\text{C}}{{\text{r}}_{\text{2}}}{\text{O}}_7^{2 - }{\text{(aq)}}\) and \({{\text{I}}^ - }{\text{(aq)}}\) ions react together in the presence of acid to form \({\text{C}}{{\text{r}}^{3 + }}{\text{(aq)}}\) and \({\text{IO}}_3^ - {\text{(aq)}}\) ions. Deduce the balanced chemical equation for this redox reaction and identify the species that acts as the oxidizing agent.
Draw a diagram of the voltaic cell, labelling the positive and negative electrodes (cathode and anode) and showing the direction of movement of the electrons and ions. Deduce an equation for the reaction occurring in each of the half-cells, and the equation for the overall cell reaction.
Define the term standard electrode potential.
Calculate the cell potential, in V, under standard conditions, using information from Table 14 of the Data Booklet.
State two characteristic properties of transition elements.
State the type of bond formed by a ligand and identify the feature that enables it to form this bond.
Explain why the complex \({{\text{[Cr(}}{{\text{H}}_{\text{2}}}{\text{O}}{{\text{)}}_{\text{6}}}{\text{]}}^{{\text{3 + }}}}\) is coloured.
Draw an orbital box diagram (arrow-in-box notation) showing the electrons in the 4s and 3d sub-levels in chromium metal.
Chromium is often used in electroplating. State what is used as the positive electrode (anode), the negative electrode (cathode) and the electrolyte in the chromium electroplating process.
Markscheme
Oxidation: increase in oxidation number and Reduction: decrease in oxidation number / OWTTE;
Cr2O3:
chromium(III) oxide;
Do not award mark for chromium oxide.
CrO3:
chromium(VI) oxide;
Do not award mark for chromium oxide.
Do not award any marks if chromium oxide without Roman numerals is given for both.
substance reduced / causes other substance to be oxidized / increase oxidation number of another species / gains electrons / OWTTE;
Oxidizing agent:
\({\text{C}}{{\text{r}}_2}{\text{O}}_7^{2 - }\) / dichromate (ion);
\({\text{C}}{{\text{r}}_2}{\text{O}}_7^{2 - }{\text{(aq)}} + {{\text{I}}^ - }{\text{(aq)}} + {\text{8}}{{\text{H}}^ + }{\text{(aq)}} \to {\text{2C}}{{\text{r}}^{3 + }}{\text{(aq)}} + {\text{IO}}_3^ - {\text{(aq)}} + {\text{4}}{{\text{H}}_2}{\text{O(l)}}\)
Award [1] for coefficients: Cr2O72–(aq), I–(aq), 2Cr3+(aq), IO3–(aq).
Award [1] for coefficients: 8H+(aq), 4H2O(l).
Award [1 max] if coefficients of reactants only correct i.e. Cr2O72–, I– and 8H+.
Award [1 max] if coefficients of products only correct i.e. 2Cr3+, IO3– and 4H2O.
Award [1 max] for correct reactants and products.
Ignore state symbols.

Voltaic cell showing:
labelled positive electrode (cathode) and negative electrode (anode);
direction of electrons in external circuit and direction of ions in salt bridge;
Award mark if correct direction of electrons is indicated but e– not labelled in external circuit.
Allow e instead of e–.
Cations/positive ions and anions/negative ions must be identified in salt bridge. Allow correct movement of ions in electrolyte instead of movement of ions in salt bridge (e.g. Fe2+ from Fe at negative electrode/anode etc.).
If both movement of ions in salt bridge and movement of ions in electrolyte is given but one is incorrect do not award mark.
Positive electrode (cathode):
\({\text{C}}{{\text{r}}_2}{\text{O}}_7^{2 - }{\text{(aq)}} + {\text{14}}{{\text{H}}^ + }{\text{(aq)}} + {\text{6}}{{\text{e}}^ - } \to {\text{2C}}{{\text{r}}^{3 + }}{\text{(aq)}} + {\text{7}}{{\text{H}}_2}{\text{O(l)}}\);
Negative electrode (anode):
\({\text{Fe(s)}} \to {\text{F}}{{\text{e}}^{2 + }}{\text{(aq)}} + {\text{2}}{{\text{e}}^ - }\);
Penalize once only.
Penalize once only if electrodes or equations reversed.
For both electrodes allow e instead of e–.
Overall cell reaction:
\({\text{C}}{{\text{r}}_2}{\text{O}}_7^{2 - }{\text{(aq)}} + {\text{3Fe(s)}} + {\text{14}}{{\text{H}}^ + }{\text{(aq)}} \to {\text{2C}}{{\text{r}}^{3 + }}{\text{(aq)}} + {\text{3F}}{{\text{e}}^{2 + }}{\text{(aq)}} + {\text{7}}{{\text{H}}_2}{\text{O(l)}}\);
Ignore state symbols throughout (d) (i).
potential under standard conditions relative to standard hydrogen electrode/SHE;
Reference must be made to standard conditions.
Instead of standard conditions allow either solute concentration of 1 mol\(\,\)dm–3/1 M/1 mol\(\,\)L–1 or 100 kPa/105 Pa for gases.
Allow 1 bar for 100 kPa/105 Pa.
Allow 1 atm/1.01 \( \times \) 105 Pa.
Allow voltage instead of potential.
\(( + )1.78{\text{ (V)}}\);
catalysts;
variable oxidation state/numbers;
Allow variable valency.
magnetic (properties);
(form) coloured ions/compounds;
Allow just coloured.
(form) complexes/complex ions;
Allow other metallic physical properties such as high densities/high melting points etc.
Allow partially filled/incomplete d subshell/sub-level.
dative (covalent)/coordinate;
Lewis base / (species/ion/molecule with) lone/non-bonding pair;
partially filled/incomplete d subshell/sub-level/orbitals;
d orbitals split (into two sets of different energies);
colour due to electron transition between (split) d orbitals / frequencies of visible light absorbed by electrons moving from lower to higher d levels;
colour due to remaining frequencies / complementary colour seen;
Allow wavelength as well as frequency.

Accept half-arrows or full arrows and boxes in reverse order.
Do not penalize if additional sub-levels are shown, if sub-levels are not labelled or if no boxes are drawn (providing system of arrows correct).
Do not award mark if sub-levels are incorrectly labelled.
Orbital diagram may also be represented with sub-levels shown at different relative energy positions.
Positive electrode (anode): chromium;
Allow lead/titanium/platinum/graphite.
Negative electrode (cathode): object to be plated;
Allow specific example here e.g. spoon.
Electrolyte: \({\text{C}}{{\text{r}}^{3 + }}{\text{(aq)}}\);
Allow (mixture of) \({\text{C}}{{\text{r}}^{3 + }}{\text{(aq)}}\) and CrO42–(aq)/chromate/chromic acid/H2CrO4.
Ignore state symbols.
Allow any soluble salt of Cr3+.
Examiners report
Candidates generally knew that oxidation involves an increase in oxidation number and reduction a decrease.
Some forgot to include the Roman Numerals here and a large majority simply got the Roman Numeral incorrect. One G2 comment suggested that it would have been better if systematic was included in the question which is a fair point, though typically candidates simply put chromium oxide for both compounds which showed misunderstanding of what was really required.
The definition of an oxidizing agent was well answered.
Most candidates knew that the dichromate ion acted as the oxidizing agent but many made lots of errors in deducing the balanced chemical equation.
Only the best candidates scored all five marks, though most candidates scored at least two marks. Some candidates mixed up the cathode and anode. Equilibrium signs were often written and very few gave the correct direction of the movement of ions. Some G2 comments stated that is was not clear what ion movement was required – flow of ions through the salt bridge or just movement of ions towards the electrodes in the electrolyte. In fact most candidates could not write either and the markscheme in fact allowed credit for either of these to be fair to candidates.
Standard conditions often was omitted.
(iii) was well answered.
Most candidates scored full marks here.
Most candidates scored full marks here.
Many candidates scored two out of three marks.
Many candidates put two electrons in the 4s level and four electrons in the 3d level which was incorrect in the orbital diagram.
Candidates often scored two out of three marks here with the most common error relating to the electrolyte.
Lithium and boron are elements in period 2 of the periodic table. Lithium occurs in group 1 (the alkali metals) and boron occurs in group 3. Isotopes exist for both elements.
The electron configuration of boron is \({\text{1}}{{\text{s}}^{\text{2}}}{\text{2}}{{\text{s}}^{\text{2}}}{\text{2}}{{\text{p}}^{\text{1}}}\). Draw the shape of an s orbital and a \({{\text{p}}_x}\) orbital on the axes below.

(ii) Cobalt is a transition metal. One common ion of cobalt is \({\text{C}}{{\text{o}}^{3 + }}\). Draw the orbital diagram (using the arrow-in-box notation) for the \({\text{C}}{{\text{o}}^{3 + }}\) ion.

(iii) State the other most common ion of cobalt.
(iv) Explain why the complex \({\text{[Co(N}}{{\text{H}}_{\text{3}}}{{\text{)}}_{\text{6}}}{\text{]C}}{{\text{l}}_{\text{3}}}\) is coloured.
Markscheme
symmetrical shape of s orbital and dumbbell-shaped p orbital with electron density along x-axis;

(ii) 
Allow full arrows instead of half-arrows for example \( \uparrow \downarrow \).
Do not allow arrows with the same spin for example \( \uparrow \uparrow \) or \( \downarrow \downarrow \) in the same orbital.
Do not allow an orbital diagram with a \(4{s^1}3{d^5}\) configuration.
(iii) \({\text{C}}{{\text{o}}^{2 + }}\);
Accept +2, 2+, cobalt(II), II.
(iv) partially filled/incomplete d subshell/sub-level/orbitals;
d orbitals split (into two sets of different energies);
(colour due to) electron transition between (split) d orbitals / d to d transitions / frequencies of visible light absorbed by electrons moving from lower to higher d levels ;
colour due to remaining frequencies / complementary colour seen;
Allow wavelength as well as frequency.
Examiners report
In part (iii), a common mistake involved candidates drawing the lobe of electron density around the y or z axes for the \({{\text{p}}_x}\) orbital. Some candidates drew three dumbells for the s-orbital. Other candidates incorrectly drew hybrid orbitals.
The orbital diagram in (ii) also proved to be quite a good discriminating question. Many candidates failed to realise that the electrons are removed from the 4s level before the 3d for a first-row transition metal ion. In addition, a significant number of candidates showed poor understanding of Hund‟s Rule of Maximum Multiplicity which states that when degenerate orbitals are available, electrons fill the orbitals singly before filling them in pairs. Hence, in many cases incorrect representations were seen for the 3d which involved three pairs of electrons of opposite spin being inserted in three 3d orbitals. Most candidates stated the \({\text{C}}{{\text{o}}^{2 + }}\) ion, though a common incorrect answer was \({\text{C}}{{\text{o}}^{4 + }}\). Part (iv) involved candidates having to explain why the complex \({\text{[Co(N}}{{\text{H}}_{\text{3}}}{{\text{)}}_{\text{6}}}{\text{]C}}{{\text{l}}_{\text{3}}}\) is coloured. This question was asked a number of times in previous examinations and previously was typically really very poorly answered. In N12, the explanations certainly were better though some candidates mixed up the principles of the line emission spectrum of hydrogen with the d to d transitions involved in the explanation of colour pertaining to a transition metal complex.
EUK-134, the structure of which is shown below, is a complex ion of manganese(III) that is used in expensive sun-protection products because of its powerful antioxidant properties.

State the electron configuration of the manganese ion in EUK-134.
State the name given to species that bond to a central metal ion, and identify the type of bond present.
Name given:
Type of bond:
Transition metals have certain characteristic properties. State two properties that are involved in EUK-134 rapidly decreasing the concentration of oxidizing agents.
Substances like EUK-134 are often coloured. Explain why compounds of transition metals absorb visible radiation.
Markscheme
\({\text{1}}{{\text{s}}^{\text{2}}}{\text{2}}{{\text{s}}^{\text{2}}}{\text{2}}{{\text{p}}^{\text{6}}}{\text{3}}{{\text{s}}^{\text{2}}}{\text{3}}{{\text{p}}^{\text{6}}}{\text{3}}{{\text{d}}^{\text{4}}}\) / \({\text{[Ar]3}}{{\text{d}}^{\text{4}}}\);
ligand;
dative/coordinate (covalent);
Do not accept “covalent”.
variable oxidation state/number;
catalytic properties;
d sublevel/orbitals split (into two levels by ligands);
electrons absorb light/photons and move to the higher energy orbital;
frequency of light/photons absorbed in the visible region;
Examiners report
Very few candidates could interpret the electron structure of manganese from its oxidation state, though the term “ligand” and the nature of its bond to metal ions were almost universally known. The general properties of transition metals seemed to have been well memorized, even though they were not always correctly applied. The splitting of the d sub-shell was generally known, though a worrying number of students believe that transition metal ions emit coloured light.
Very few candidates could interpret the electron structure of manganese from its oxidation state, though the term “ligand” and the nature of its bond to metal ions were almost universally known. The general properties of transition metals seemed to have been well memorized, even though they were not always correctly applied. The splitting of the d sub-shell was generally known, though a worrying number of students believe that transition metal ions emit coloured light.
Very few candidates could interpret the electron structure of manganese from its oxidation state, though the term “ligand” and the nature of its bond to metal ions were almost universally known. The general properties of transition metals seemed to have been well memorized, even though they were not always correctly applied. The splitting of the d sub-shell was generally known, though a worrying number of students believe that transition metal ions emit coloured light.
Very few candidates could interpret the electron structure of manganese from its oxidation state, though the term “ligand” and the nature of its bond to metal ions were almost universally known. The general properties of transition metals seemed to have been well memorized, even though they were not always correctly applied. The splitting of the d sub-shell was generally known, though a worrying number of students believe that transition metal ions emit coloured light.
An electrochemical cell is made from an iron half-cell connected to a cobalt half-cell:

The standard electrode potential for \({\text{F}}{{\text{e}}^{2 + }}{\text{(aq)}} + {\text{2}}{{\text{e}}^ - } \rightleftharpoons {\text{Fe(s)}}\) is –0.45 V. The total cell potential obtained when the cell is operating under standard conditions is 0.17 V. Cobalt is produced during the spontaneous reaction.
An electrolytic cell is made using a very dilute solution of sodium chloride.
Predict the products by giving the relevant half-equation for the reaction occurring at each electrode if the electrolyte of the cell described in part (c) was changed to:
Define the term standard electrode potential and state the meaning of the minus sign in the value of –0.45 V.
Calculate the value for the standard electrode potential for the cobalt half-cell.
Deduce which species acts as the oxidizing agent when the cell is operating.
Deduce the equation for the spontaneous reaction taking place when the iron half-cell is connected instead to an aluminium half-cell.
Explain the function of the salt bridge in an electrochemical cell.
\({{\text{[Co(}}{{\text{H}}_{\text{2}}}{\text{O}}{{\text{)}}_{\text{6}}}{\text{]}}^{2 + }}\)
\({\text{C}}{{\text{o}}_{\text{2}}}{{\text{(S}}{{\text{O}}_{\text{4}}}{\text{)}}_{\text{3}}}\)
\({{\text{[CoC}}{{\text{l}}_{\text{4}}}{\text{]}}^{2 - }}\)
Draw a labelled diagram of the cell. Use an arrow to show the direction of the electron flow and identify the positive and negative electrodes.
Give the formulas of all the ions present in the solution.
Predict the products obtained at each electrode and state the half-equation for the formation of each product.
Deduce the molar ratios of the products obtained at the two electrodes.
concentrated sodium chloride
molten sodium bromide
Markscheme
the voltage obtained when the half-cell is connected to the standard hydrogen electrode;
under standard conditions of 298 K and \({\text{1 mol}}\,{\text{d}}{{\text{m}}^{ - 3}}\) solutions;
electrons flow (in the external circuit) from the half-cell to the hydrogen electrode / the metal in the half-cell is above hydrogen in the ECS / Fe is a better reducing agent than \({{\text{H}}_2}\) / Fe is oxidised more readily than \({{\text{H}}_2}\);
–0.28 V;
\({\text{C}}{{\text{o}}^{2 + }}\)/cobalt(II) ion;
\({\text{2Al}} + {\text{3F}}{{\text{e}}^{2 + }} \to {\text{3Fe}} + {\text{2A}}{{\text{l}}^{3 + }}\);
Award [1] for correct reactants and products and [1] for correctly balanced, ignore states.
Do not accept \( \rightleftharpoons \)
to complete the electrical circuit / OWTTE;
by allowing the movement of ions;
+2;
+3;
+2;
Only penalize once if roman numerals are used or if written as 2+ or 3+.
diagram to show:

battery/source of electricity connected to two electrodes in the solution with positive and negative electrodes correctly labelled;
electrons/current flowing from the cell to the negative electrode;
labelled solution of sodium chloride;
If the connecting wires to electrodes are immersed in the solution [1 max].
\({\text{N}}{{\text{a}}^ + }\), \({{\text{H}}^ + }{\text{/}}{{\text{H}}_{\text{3}}}{{\text{O}}^ + }\), \({\text{C}}{{\text{l}}^ - }\), \({\text{O}}{{\text{H}}^ - }\)
All four correct [2], any three correct [1].
hydrogen at (–)/cathode and oxygen at (+)/anode;
\({\text{2}}{{\text{H}}^ + } + {\text{2}}{{\text{e}}^ - } \to {{\text{H}}_2}{\text{ / 2}}{{\text{H}}_2}{\text{O}} + {\text{2}}{{\text{e}}^ - } \to {{\text{H}}_{\text{2}}} + 2{\text{O}}{{\text{H}}^ - }\);
\({\text{4O}}{{\text{H}}^ - } \to {{\text{O}}_{\text{2}}} + 2{{\text{H}}_2}{\text{O}} + {\text{4}}{{\text{e}}^ - }{\text{ / 2}}{{\text{H}}_2}{\text{O}} \to {{\text{O}}_2} + {\text{4}}{{\text{H}}^ + } + {\text{4}}{{\text{e}}^ - }\);
Accept e instead of e–
If electrodes omitted or wrong way round [2 max].
Ratio of \({{\text{H}}_{\text{2}}}:{{\text{O}}_{\text{2}}}\) is \(2:1\);
\({\text{(}} - {\text{)/(cathode) 2}}{{\text{H}}^ + } + {\text{2}}{{\text{e}}^ - } \to {{\text{H}}_2}/{\text{2}}{{\text{H}}_2}{\text{O}} + {\text{2}}{{\text{e}}^ - } \to {{\text{H}}_2} + {\text{2O}}{{\text{H}}^ - }\);
\({\text{( + )/(anode) 2C}}{{\text{l}}^ - } \to {\text{C}}{{\text{l}}_2} + {\text{2}}{{\text{e}}^ - }\);
Accept e instead of e–.
If electrodes omitted or wrong way round [1 max]
\({\text{(}} - {\text{)/(cathode) N}}{{\text{a}}^ + } + {{\text{e}}^ - } \to {\text{Na}}\);
\({\text{( + )/(anode) 2B}}{{\text{r}}^ - } \to {\text{B}}{{\text{r}}_2} + {\text{2}}{{\text{e}}^ - }\);
Accept e instead of e–.
If electrodes omitted or wrong way round [1 max].
Examiners report
This question was poorly answered. In part (a), the definition of standard electrode potential was poorly stated, with the standard hydrogen electrode rarely mentioned.
Many candidates had difficulty determining the value of the standard electrode potential for the cobalt half-cell.
Few gave \({\text{C}}{{\text{o}}^{2 + }}\) as the oxidizing agent.
If a penalty had already been incurred in Question 4, no further penalty was applied; otherwise the use of the equilibrium arrow in this question was penalized once only.
In part (b), most candidates correctly determined the oxidation states, although they were frequently written incorrectly as 2+ or 3+.
In part (b), most candidates correctly determined the oxidation states, although they were frequently written incorrectly as 2+ or 3+.
In part (b), most candidates correctly determined the oxidation states, although they were frequently written incorrectly as 2+ or 3+.
In part (c) many candidates drew a voltaic cell instead of an electrolytic cell.
Half-equations were frequently the wrong way round, and electrodes were not identified. Candidates who included states of matter in their equations frequently wrote the wrong state and were penalized.
Half-equations were frequently the wrong way round, and electrodes were not identified. Candidates who included states of matter in their equations frequently wrote the wrong state and were penalized.
The oxides and chlorides of period 3 elements exhibit periodicity.
Chlorine gas, \({\text{C}}{{\text{l}}_{\text{2}}}{\text{(g)}}\), is bubbled through separate solutions of aqueous bromine, \({\text{B}}{{\text{r}}_{\text{2}}}{\text{(aq)}}\), and potassium bromide, \({\text{KBr(aq)}}\).
The hydrogen halides do not show perfect periodicity. A bar chart of boiling points shows that the boiling point of hydrogen fluoride, HF, is much higher than periodic trends would indicate.

Transition metals form complex ions which are usually coloured.
(i) State the changes in the acid-base nature of the oxides across period 3 (from \({\text{N}}{{\text{a}}_2}{\text{O}}\) to \({\text{C}}{{\text{l}}_{\text{2}}}{{\text{O}}_{\text{7}}}\)), including equations for the reactions of \({\text{N}}{{\text{a}}_2}{\text{O}}\) and \({\text{S}}{{\text{O}}_{\text{3}}}\) with water.
(ii) State whether or not molten aluminium chloride, \({\text{A}}{{\text{l}}_{\text{2}}}{\text{C}}{{\text{l}}_{\text{6}}}\), and molten aluminium oxide, \({\text{A}}{{\text{l}}_{\text{2}}}{{\text{O}}_{\text{3}}}\), conduct electricity. Explain this behaviour in terms of the structure and bonding of the two compounds.
(iii) State the equation for the reaction of \({\text{C}}{{\text{l}}_{\text{2}}}\) with water.
(i) Predict any changes that may be observed in each case.
\({\text{B}}{{\text{r}}_{\text{2}}}{\text{(aq)}}\):
\({\text{KBr(aq)}}\):
(ii) State the half-equations for the reactions that occur.
(i) Explain why the boiling point of HF is much higher than the boiling points of the other hydrogen halides.
(ii) Explain the trend in the boiling points of HCl, HBr and HI.
State the full electron configurations of Cr and \({\text{C}}{{\text{r}}^{3 + }}\).
Cr:
\({\text{C}}{{\text{r}}^{3 + }}\):
\({\text{C}}{{\text{r}}^{3 + }}\) ions and water molecules bond together to form the complex ion \({{\text{[Cr(}}{{\text{H}}_{\text{2}}}{\text{O}}{{\text{)}}_{\text{6}}}{\text{]}}^{3 + }}\).
Describe how the water acts and how it forms the bond, identifying the acid-base character of the reaction.
Explain why the \({{\text{[Cr(}}{{\text{H}}_{\text{2}}}{\text{O}}{{\text{)}}_{\text{6}}}{\text{]}}^{3 + }}\) ion is coloured.
Outline, including a relevant equation, whether the \({{\text{[Cr(}}{{\text{H}}_{\text{2}}}{\text{O}}{{\text{)}}_{\text{6}}}{\text{]}}^{3 + }}\) ion is acidic, basic or neutral.
Explain how the number of electrons in the outer main energy level of phosphorus, P, can be determined using the data of successive ionization energies.
Markscheme
(i) basic to acidic;
\({\text{N}}{{\text{a}}_{\text{2}}}{\text{O(s)}} + {{\text{H}}_{\text{2}}}{\text{O(l)}} \to {\text{2NaOH(aq)}}\);
\({\text{S}}{{\text{O}}_3}{\text{(g)}} + {{\text{H}}_2}{\text{O(l)}} \to {{\text{H}}_2}{\text{S}}{{\text{O}}_4}{\text{(aq)}}\);
Ignore state symbols.
(ii) molten \({\text{A}}{{\text{l}}_2}{\text{C}}{{\text{l}}_6}\) does not conduct electricity and molten \({\text{A}}{{\text{l}}_{\text{2}}}{{\text{O}}_{\text{3}}}\) does;
\({\text{A}}{{\text{l}}_2}{\text{C}}{{\text{l}}_6}\) is a covalent molecule and has no free charged particles to conduct electricity;
\({\text{A}}{{\text{l}}_2}{{\text{O}}_3}\) is ionic/has ions which are free to move when molten;
(iii) \({\text{C}}{{\text{l}}_2}{\text{(g)}} + {{\text{H}}_2}{\text{O(l)}} \rightleftharpoons {\text{HCl(aq)}} + {\text{HClO(aq)}}\);
Ignore state symbols.
Allow \( \to \).
(i) \({\text{B}}{{\text{r}}_2}{\text{(aq)}}\): no change;
\({\text{KBr(aq)}}\): colour change / from colourless to red/yellow/orange/brown;
(ii) \({\text{2B}}{{\text{r}}^ - }{\text{(aq)}} \to {\text{B}}{{\text{r}}_2}{\text{(aq)}} + {\text{2}}{{\text{e}}^ - }\);
\({\text{C}}{{\text{l}}_2}{\text{(g)}} + {\text{2}}{{\text{e}}^ - } \to {\text{2C}}{{\text{l}}^ - }{\text{(aq)}}\);
Ignore state symbols.
Accept e instead of e–.
(i) HF has hydrogen bonds (between molecules);
(ii) strength of van der Waals’/London/dispersion forces increases;
as mass/size/number of electrons of halogen atom/molecule increases;
Cr: \({\text{1}}{{\text{s}}^{\text{2}}}{\text{2}}{{\text{s}}^{\text{2}}}{\text{2}}{{\text{p}}^{\text{6}}}{\text{3}}{{\text{s}}^{\text{2}}}{\text{3}}{{\text{p}}^{\text{6}}}{\text{4}}{{\text{s}}^{\text{1}}}{\text{3}}{{\text{d}}^{\text{5}}}/{\text{1}}{{\text{s}}^{\text{2}}}{\text{2}}{{\text{s}}^{\text{2}}}{\text{2}}{{\text{p}}^{\text{6}}}{\text{3}}{{\text{s}}^{\text{2}}}{\text{3}}{{\text{p}}^{\text{6}}}{\text{3}}{{\text{d}}^{\text{5}}}{\text{4}}{{\text{s}}^{\text{1}}}\);
Cr3+: \({\text{1}}{{\text{s}}^{\text{2}}}{\text{2}}{{\text{s}}^{\text{2}}}{\text{2}}{{\text{p}}^{\text{6}}}{\text{3}}{{\text{s}}^{\text{2}}}{\text{3}}{{\text{p}}^{\text{6}}}{\text{3}}{{\text{d}}^{\text{3}}}\);
\({{\text{H}}_2}{\text{O}}\) is a ligand / has lone (electron) pair;
forms dative (covalent)/coordinate bond / donates a lone (electron) pair ;
ligand is Lewis base / \({\text{C}}{{\text{r}}^{3 + }}\) is Lewis acid;
\({\text{C}}{{\text{r}}^{3 + }}\) has partially filled d orbitals;
d orbitals split into two levels / three lower energy and two higher energy levels;
energy difference is in visible part of spectrum;
electrons absorb visible light / one colour/frequency/wavelength;
electron transitions occur from lower to higher energy level within d sub-level;
complementary colour/colour not absorbed is seen;
acidic because \({{\text{[Cr(}}{{\text{H}}_2}{\text{O}}{{\text{)}}_6}{\text{]}}^{3 + }}{\text{(aq)}} \to {{\text{[Cr(}}{{\text{H}}_2}{\text{O}}{{\text{)}}_5}{\text{(OH)]}}^{2 + }}{\text{(aq)}} + {{\text{H}}^ + }{\text{(aq)}}\);
Allow answers with further equations.
Accept any other valid equations.
Ignore state symbols.
successive ionization energy values increase with removal of each electron;
large increase in ionization energy when sixth electron is removed;
as electron is one energy level/shell closer to the nucleus;
Accept a suitably annotated diagram.
Examiners report
There appeared to be some significant gaps in knowledge within this question, the various parts either scored very well or not at all.
In a(ii) there was a poor understanding of the nature of bonding in aluminium chloride and aluminium oxide. Candidates are still confusing electrical conductivity in compounds with that in metals, and often refer to the inability to conduct being down to a lack of mobile electrons in compounds.
Balancing equations, both full, as in parts a(i) and a(iii), and half equations as in b(ii), showed poor knowledge both of the reactants and products and in the ability to balance them in both atoms and charge. It should be expected that higher level candidates would be comfortable with these processes. The ability to deduce and predict what they would see during a reaction is a skill required of all chemists, it was missing in the attempts to answer b(ii). Parts c and d(i), (ii) and (iii) showed good knowledge, but in part d(iv) the understanding of the acid nature of some d block complex ions was lacking. Part e was rarely given credit, as many appeared to misread the question, and discussed the changes in first ionisation energies across Period 3.
There appeared to be some significant gaps in knowledge within this question, the various parts either scored very well or not at all.
In a(ii) there was a poor understanding of the nature of bonding in aluminium chloride and aluminium oxide. Candidates are still confusing electrical conductivity in compounds with that in metals, and often refer to the inability to conduct being down to a lack of mobile electrons in compounds.
Balancing equation,s both full, as in parts a(i) and a(iii), and half equations as in b(ii), showed poor knowledge both of the reactants and products and in the ability to balance them in both atoms and charge. It should be expected that higher level candidates would be comfortable with these processes. The ability to deduce and predict what they would see during a reaction is a skill required of all chemists, it was missing in the attempts to answer b(ii). Parts c and d(i), ii) and iii) showed good knowledge, but in part d(iv) the understanding of the acid nature of some d block complex ions was lacking. Part e was rarely given credit, as many appeared to misread the question, and discussed the changes in first ionisation energies across Period 3.
There appeared to be some significant gaps in knowledge within this question, the various parts either scored very well or not at all.
In a(ii) there was a poor understanding of the nature of bonding in aluminium chloride and aluminium oxide. Candidates are still confusing electrical conductivity in compounds with that in metals, and often refer to the inability to conduct being down to a lack of mobile electrons in compounds.
Balancing equations, both full, as in parts a(i) and a(iii), and half equations as in b(ii), showed poor knowledge both of the reactants and products and in the ability to balance them in both atoms and charge. It should be expected that higher level candidates would be comfortable with these processes. The ability to deduce and predict what they would see during a reaction is a skill required of all chemists, it was missing in the attempts to answer b(ii). Parts c and d(i), ii) and iii) showed good knowledge, but in part d(iv) the understanding of the acid nature of some d block complex ions was lacking. Part e was rarely given credit, as many appeared to misread the question, and discussed the changes in first ionisation energies across Period 3.
There appeared to be some significant gaps in knowledge within this question, the various parts either scored very well or not at all.
In a(ii) there was a poor understanding of the nature of bonding in aluminium chloride and aluminium oxide. Candidates are still confusing electrical conductivity in compounds with that in metals, and often refer to the inability to conduct being down to a lack of mobile electrons in compounds.
Balancing equations, both full, as in parts a(i) and a(iii), and half equations as in b(ii), showed poor knowledge both of the reactants and products and in the ability to balance them in both atoms and charge. It should be expected that higher level candidates would be comfortable with these processes. The ability to deduce and predict what they would see during a reaction is a skill required of all chemists, it was missing in the attempts to answer b(ii). Parts c and d(i), ii) and iii) showed good knowledge, but in part d(iv) the understanding of the acid nature of some d block complex ions was lacking. Part e was rarely given credit, as many appeared to misread the question, and discussed the changes in first ionisation energies across Period 3.
There appeared to be some significant gaps in knowledge within this question, the various parts either scored very well or not at all.
In a(ii) there was a poor understanding of the nature of bonding in aluminium chloride and aluminium oxide. Candidates are still confusing electrical conductivity in compounds with that in metals, and often refer to the inability to conduct being down to a lack of mobile electrons in compounds.
Balancing equations, both full, as in parts a(i) and a(iii), and half equations as in b(ii), showed poor knowledge both of the reactants and products and in the ability to balance them in both atoms and charge. It should be expected that higher level candidates would be comfortable with these processes. The ability to deduce and predict what they would see during a reaction is a skill required of all chemists, it was missing in the attempts to answer b(ii). Parts c and d(i), ii) and iii) showed good knowledge, but in part d(iv) the understanding of the acid nature of some d block complex ions was lacking. Part e was rarely given credit, as many appeared to misread the question, and discussed the changes in first ionisation energies across Period 3.
There appeared to be some significant gaps in knowledge within this question, the various parts either scored very well or not at all.
In a(ii) there was a poor understanding of the nature of bonding in aluminium chloride and aluminium oxide. Candidates are still confusing electrical conductivity in compounds with that in metals, and often refer to the inability to conduct being down to a lack of mobile electrons in compounds.
Balancing equations, both full, as in parts a(i) and a(iii), and half equations as in b(ii), showed poor knowledge both of the reactants and products and in the ability to balance them in both atoms and charge. It should be expected that higher level candidates would be comfortable with these processes. The ability to deduce and predict what they would see during a reaction is a skill required of all chemists, it was missing in the attempts to answer b(ii). Parts c and d(i), ii) and iii) showed good knowledge, but in part d(iv) the understanding of the acid nature of some d block complex ions was lacking. Part e was rarely given credit, as many appeared to misread the question, and discussed the changes in first ionisation energies across Period 3.
There appeared to be some significant gaps in knowledge within this question, the various parts either scored very well or not at all.
In a(ii) there was a poor understanding of the nature of bonding in aluminium chloride and aluminium oxide. Candidates are still confusing electrical conductivity in compounds with that in metals, and often refer to the inability to conduct being down to a lack of mobile electrons in compounds.
Balancing equations, both full, as in parts a(i) and a(iii), and half equations as in b(ii), showed poor knowledge both of the reactants and products and in the ability to balance them in both atoms and charge. It should be expected that higher level candidates would be comfortable with these processes. The ability to deduce and predict what they would see during a reaction is a skill required of all chemists, it was missing in the attempts to answer b(ii). Parts c and d(i), ii) and iii) showed good knowledge, but in part d(iv) the understanding of the acid nature of some d block complex ions was lacking. Part e was rarely given credit, as many appeared to misread the question, and discussed the changes in first ionisation energies across Period 3.
There appeared to be some significant gaps in knowledge within this question, the various parts either scored very well or not at all.
In a(ii) there was a poor understanding of the nature of bonding in aluminium chloride and aluminium oxide. Candidates are still confusing electrical conductivity in compounds with that in metals, and often refer to the inability to conduct being down to a lack of mobile electrons in compounds.
Balancing equations, both full, as in parts a(i) and a(iii), and half equations as in b(ii) showed poor knowledge both of the reactants and products and in the ability to balance them in both atoms and charge. It should be expected that higher level candidates would be comfortable with these processes. The ability to deduce and predict what they would see during a reaction is a skill required of all chemists, it was missing in the attempts to answer b(ii). Parts c and d(i), ii) and iii) showed good knowledge, but in part d(iv) the understanding of the acid nature of some d block complex ions was lacking. Part e was rarely given credit, as many appeared to misread the question, and discussed the changes in first ionisation energies across Period 3.
Draw the shape of the \({{\text{p}}_{\text{z}}}\) orbital using the coordinates shown.

State the electron configuration of \({\text{F}}{{\text{e}}^{3 + }}\).
Define the term ligand.
Explain why the complex \({{\text{[Fe(}}{{\text{H}}_{\text{2}}}{\text{O}}{{\text{)}}_{\text{6}}}{\text{]}}^{3 + }}\) is coloured.
The element selenium \({\text{(}}Z = 34{\text{)}}\) has electrons in the 4s, 3d and 4p orbitals. Draw an orbital box diagram (arrow-in-box notation) to represent these electrons.
Markscheme
dumbbell-shaped representation along the \(z\)-axis:
;
Sign of wave function not required.
\({\text{1}}{{\text{s}}^{\text{2}}}2{{\text{s}}^{\text{2}}}2{{\text{p}}^6}{\text{3}}{{\text{s}}^2}{\text{3}}{{\text{p}}^6}{\text{3}}{{\text{d}}^5}/{\text{1}}{{\text{s}}^2}{\text{2}}{{\text{s}}^2}{\text{2}}{{\text{p}}^6}{\text{3}}{{\text{s}}^2}{\text{3}}{{\text{p}}^6}{\text{4}}{{\text{s}}^0}{\text{3}}{{\text{d}}^5}/{\text{[Ar]4}}{{\text{s}}^0}{\text{3}}{{\text{d}}^5}/{\text{[Ar]3}}{{\text{d}}^5}\);
Do not allow 2, 8, 13.
Lewis base / (species/ion/molecule) with lone pair and dative covalent/coordinate bond (to metal) / bonds with metal (ion)/complex ion;
has partially filled d subshell/sublevel/orbitals;
d orbitals are split (into two sets of different energies);
colour due to electron transition between (split) d orbitals;
frequencies of visible light absorbed by electrons moving from lower to higher d levels, colour due to remaining frequencies;
Allow wavelength as well as frequency.
;
Accept half-arrows or full arrows.
Do not penalize if additional sublevels are shown, if sublevels are not labelled or if no boxes are drawn (providing system of arrows correct).
Do not award mark if sublevels are incorrectly labelled.
Orbital diagram may also be represented with sublevels shown at different relative energy positions.
Examiners report
Most candidates were able to draw the dumbbell shaped \({{\text{p}}_{\text{z}}}\) orbital, although some candidates drew all three p-orbitals, hence failing to read the question carefully.
For (ii) the electron configuration of \({\text{F}}{{\text{e}}^{3 + }}\) was well answered compared to recent sessions. The very weak candidates wrote incorrect answers such \({\text{[Ar]4}}{{\text{s}}^{\text{2}}}{\text{3}}{{\text{d}}^{\text{2}}}\) and some very weak candidates just gave the electron arrangement 2, 8, 13, which would be a typical SL type answer.
The definition of a ligand was poorly answered (iii) by even the strongest candidates. In general candidates showed some understanding but good definitions were rare. Very often candidates did not mention dative covalent bonding and some said that ligands are simply just lone pairs of electrons.
In part (iv) most candidates referred to the splitting of d orbitals and related colour to d to d transitions. A very high number of candidates scored at least two points. Often candidates did not mention partially filled d subshells or did not score the point: frequencies of visible light absorbed by electrons moving from lower to higher d levels, colour due to remaining frequencies.
The orbital diagram of selenium (v) was very well answered by most candidates. The only minor mistake for the weaker candidates involved lack of understanding of Hund’s Rule for \({\text{4}}{{\text{p}}^{\text{4}}}\).
The periodic table shows the relationship between electron configuration and the properties of elements and is a valuable tool for making predictions in chemistry.
The ten elements in the first-row d-block have characteristic properties and many uses.
Define the term electronegativity.
(i) Outline two reasons why a sodium ion has a smaller radius than a sodium atom.
(ii) Explain why the ionic radius of \({{\text{P}}^{3 - }}\) is greater than the ionic radius of \({\text{S}}{{\text{i}}^{4 + }}\).
The graph below represents the successive ionization energies of sodium. The vertical axis plots log (ionization energy) instead of ionization energy to allow the data to be represented without using an unreasonably long vertical axis.

State the full electron configuration of sodium and explain how the successive ionization energy data for sodium are related to its electron configuration.
(i) Explain why the first ionization energy of aluminium is lower than the first ionization energy of magnesium.
(ii) Explain why the first ionization energy of sulfur is lower than the first ionization energy of phosphorus.
State and explain the type of reaction that takes place between \({\text{F}}{{\text{e}}^{3 + }}\) and \({{\text{H}}_{\text{2}}}{\text{O}}\) to form \({{\text{[Fe(}}{{\text{H}}_{\text{2}}}{\text{O}}{{\text{)}}_{\text{6}}}{\text{]}}^{3 + }}\) in terms of acid-base theories.
Explain why \({{\text{[Fe(}}{{\text{H}}_{\text{2}}}{\text{O}}{{\text{)}}_{\text{6}}}{\text{]}}^{3 + }}\) is coloured.
Outline the economic significance of the use of a catalyst in the Haber process which is an exothermic reaction.
Markscheme
power/strength/ability of an atom to attract electrons/shared electron pair / OWTTE;
in a (covalent) bond;
Accept the word “element” in place of “atom”.
Do not accept electron (singular).
(i) Na: 11 p, 11/ 2.8.1 \({{\text{e}}^ - }\) and \({\text{N}}{{\text{a}}^ + }\): 11 p, 10 / 2.8 \({{\text{e}}^ - }\) / same number of protons, less electrons / \({\text{N}}{{\text{a}}^ + }\) has 2 shells/energy levels, Na has 3 / OWTTE;
Na+: has greater net positive charge/same number of protons pulling smaller number of electrons;
(ii) Si4+: 10 \({{\text{e}}^ - }\) in 2 (filled) energy levels / electron arrangement 2.8 / OWTTE;
P3−: 18 \({{\text{e}}^ - }\) in 3 (filled) energy levels / electron arrangement 2.8.8, thus larger / OWTTE;
OR
\({\text{S}}{{\text{i}}^{4 + }}\): has 2 energy levels where as \({{\text{P}}^{3 - }}\) has 3/ \({{\text{P}}^{3 - }}\) has one more (filled) energy
level;
\({\text{S}}{{\text{i}}^{4 + }}\): 10 \({{\text{e}}^ - }\) in 2 energy levels where as \({{\text{P}}^{3 - }}\) has 18 \({{\text{e}}^ - }\), thus larger;
\({\text{1}}{{\text{s}}^{\text{2}}}{\text{2}}{{\text{s}}^{\text{2}}}{\text{2}}{{\text{p}}^{\text{6}}}{\text{3}}{{\text{s}}^{\text{1}}}\);
Do not accept [Ne] 3s1.
first electron easy/easiest to remove / 1 electron in outermost/\({\text{n}} = 3\) energy level;
large increase between 1st and 2nd IE as electron now removed from \({\text{n}} = 2\) / next 8 electrons more difficult to remove / show (relatively) small increase as these electrons are in the same energy level/second energy level/\({\text{n}} = 2\);
large increase between 9th and 10th IE as electron now removed from n = 1 / 2
electrons very hard/most difficult to remove / innermost/lowest/closest to the nucleus/energy level/\({\text{n}} = 1\) / OWTTE;
electron 11 also comes from 1s, so shows a small increase;
(i) outer electron in Al is in 3p/p orbital/sub-shell/sub-level;
higher orbital/sub-shell / e– further from nucleus / shielded by 3s electrons;
(ii) in S, electron paired in 3p/p orbital/sub-shell/sub-level;
Accept extra stability associated with half filled p sub-shell (in P).
repulsion between paired electrons (and therefore easier to remove);
Lewis acid-base (reaction);
\({{\text{H}}_{\text{2}}}{\text{O}}\): e-pair donor, \({\text{F}}{{\text{e}}^{3 + }}\): \({{\text{e}}^ - }\) pair acceptor / \({{\text{H}}_{\text{2}}}{\text{O}}\) donates an electron pair to \({\text{F}}{{\text{e}}^{3 + }}\);
d sub-levels are split into two sets of orbitals (of different energies);
electron transitions between (d) orbitals of different energies / d-d transition(s);
transmitted (visible) light is complementary colour;
(exothermic reactions) low temperature/less energy increases ammonia yield;
(iron) catalyst used to increase rate of reaction / equilibrium reached faster / same yield but produced faster/in shorter/less time;
Examiners report
Generally, the definition of electronegativity was good, but some made the error of saying that it was the attraction of one electron only; others did not specify that it is the ability of an atom to attract a shared electron pair in a covalent bond.
Reasons why a sodium ion has a smaller radius than a sodium atom solicited incomplete answers. The answer requires the number of shells, electrons and protons of both the ion and the atom. Many candidates correctly said that \({\text{N}}{{\text{a}}^ + }\) had the same number of protons but one electron less so the pulling effect on the electrons was greater. Not many candidates gave the electronic structure or number of shells of the two ions, \({{\text{P}}^{3 - }}\) and \({\text{S}}{{\text{i}}^{4 + }}\), to explain their difference in ionic radius.
The graphical question on successive ionization energies of sodium was well answered by many. Typically, they explained how the successive ionization energies of sodium are related to its electron configuration from the data given. Most candidates realized that aluminium’s outer electron is in the 3p orbital so further from the nucleus and thus easier to ionize than magnesium. Similarly, sulfur has a paired electron in the 3p sub-shell and the repulsion between paired electrons is greater than in phosphorus which has a half filled p sub-shell.
Many candidates did not give sufficient answers to the part on transition elements. Some realised that it was a Lewis acid-base reaction where the electrons are donated by the water molecule to \({\text{F}}{{\text{e}}^{3 + }}\). Explanations given for the colour of complex ions continue to be muddled and the language used imprecise. Many wrote of “a split d orbital” rather than the d sub-level being split into two sets of orbitals (of different energies). The colour seen was often attributed to electrons emitting those wavelengths in transitions from higher energy to lower energy d orbitals rather than the transmitted visible light being the complementary colour of the one absorbed.
Few complete answers were given about economic significance of the use of a catalyst in the Haber process. A point that was missing often was that because the reaction is exothermic the forward reaction would be favoured (and the yield) if the temperature is lowered, but this would bring about a slower reaction so a catalyst is necessary to reach the equilibrium faster. However, there were misconceptions both in as far as catalysts and energetic is concerned. It was surprising to see the number of candidates who referred to activation energy but used the concept incorrectly. Few candidates established a connection with equilibrium.
Few complete answers were given about economic significance of the use of a catalyst in the Haber process. A point that was missing often was that because the reaction is exothermic the forward reaction would be favoured (and the yield) if the temperature is lowered, but this would bring about a slower reaction so a catalyst is necessary to reach the equilibrium faster. However, there were misconceptions both in as far as catalysts and energetic is concerned. It was surprising to see the number of candidates who referred to activation energy but used the concept incorrectly. Few candidates established a connection with equilibrium.
Few complete answers were given about economic significance of the use of a catalyst in the Haber process. A point that was missing often was that because the reaction is exothermic the forward reaction would be favoured (and the yield) if the temperature is lowered, but this would bring about a slower reaction so a catalyst is necessary to reach the equilibrium faster. However, there were misconceptions both in as far as catalysts and energetic is concerned. It was surprising to see the number of candidates who referred to activation energy but used the concept incorrectly. Few candidates established a connection with equilibrium.
Phosphoryl chloride, \({\text{POC}}{{\text{l}}_{\text{3}}}\), is a dehydrating agent.
\({\text{POC}}{{\text{l}}_{\text{3}}}\left( {\text{g}} \right)\) decomposes according to the following equation.
\[{\text{2POC}}{{\text{l}}_3}{\text{(g)}} \to {\text{2PC}}{{\text{l}}_3}{\text{(g)}} + {{\text{O}}_2}{\text{(g)}}\]
POCl3 can be prepared by the reaction of phosphorus pentachloride, PCl5 , with tetraphosphorus decaoxide, P4O10.
PCl3 and Cl– can act as ligands in transition metal complexes such as Ni(PCl3)4 and [Cr(H2O)3Cl3].
Predict and explain the sign of the entropy change, \(\Delta S\), for this reaction.
Calculate the standard entropy change for the reaction, \(\Delta {S^\Theta }\), in \({\text{J}}\,{{\text{K}}^{ - 1}}{\text{mo}}{{\text{l}}^{ - 1}}\), using the data below.

Define the term standard enthalpy change of formation, \(\Delta H_{\text{f}}^\Theta \).
Calculate the standard enthalpy change for the reaction, \(\Delta {H^\Theta }\), in \({\text{kJ}}\,{\text{mo}}{{\text{l}}^{ - 1}}\), using the data below.

Determine the standard free energy change for the reaction, \(\Delta {G^\Theta }\), in \({\text{kJ}}\,{\text{mo}}{{\text{l}}^{ - 1}}\), at 298 K.
Deduce the temperature, in K, at which the reaction becomes spontaneous.
Deduce the Lewis (electron dot) structure of POCl3 (with P as the central element) and PCl3 and predict the shape of each molecule, using the valence shell electron pair repulsion theory (VSEPR).
State and explain the Cl–P–Cl bond angle in PCl3.
Deduce the Lewis (electron dot) structure of PCl5.
Predict the shape of this molecule, using the valence shell electron pair repulsion theory (VSEPR).
Identify all the different bond angles in PCl5.
PCl3Br2 has the same molecular shape as PCl5. Draw the three isomers of PCl3Br2 and deduce whether each isomer is polar or non-polar.
Define the term ligand.
Explain why the complex [Cr(H2O)3Cl3] is coloured.
Markscheme
2 mol (g) going to 3 mol (g)/increase in number of particles, therefore entropy increases/\(\Delta S\) positive / OWTTE;
Accept if numbers of moles of gas are given below the equation.
\(\left( {\Delta {S^\Theta } = [(2)(311.7) + (205.0)] - (2)(325.0) = } \right)( + )178.4{\text{ }}({\text{J}}\,{{\text{K}}^{ - 1}}{\text{mo}}{{\text{l}}^{ - 1}})\);
heat/enthalpy change/required/absorbed when 1 mol of a compound is formed from its elements in their standard states/at 100 kPa/105 Pa/1 bar;
Allow 1.01 \( \times \) 105 Pa/101 kPa/1 atm.
Allow under standard conditions or standard temperature and pressure.
Temperatures not required in definition, allow if quoted (for example, 298 K/ 25 °C – most common) but pressure value must be correct if stated.
\(\left( {\Delta {H^\Theta } = [(2)( - 288.1)] - [(2)( - 542.2)]) = } \right)( + )508.2{\text{ }}({\text{kJ}}\,{\text{mo}}{{\text{l}}^{ - 1}})\);
\(\left( {\Delta {G^\Theta } = \Delta {H^\Theta } - T\Delta {S^\Theta } = (508.2) - (298)\left( {\frac{{178.4}}{{1000}}} \right) = } \right){\text{ ( + )}}455.0{\text{ }}({\text{kJ}}\,{\text{mo}}{{\text{l}}^{ - 1}})\);
\(T > \left( {\frac{{\Delta {H^\Theta }}}{{\Delta {S^\Theta }}} = \frac{{508.2}}{{\left( {\frac{{178.4}}{{1000}}} \right)}} = } \right){\text{ }}2849{\text{ (K)}}/2576\) (°C);
Allow temperatures in the range 2848–2855 K.
Accept T = 2849(K) .
No ECF for temperatures T in the range 0–100 K.

allow any bond angle in the range 100° to less than 109° (experimental value is100°);
due to four negative charge centres/four electron pairs/four electron domains (one of which is a lone pair)/tetrahedral arrangement of electron pairs/domains;
extra repulsion due to lone pair electrons / lone pairs occupy more space (than bonding pairs) so Cl–P–Cl bond angle decreases from 109.5° / OWTTE;
;
Allow any combination of dots/crosses or lines to represent electron pairs.
Do not penalise missing lone pairs on Cl if already penalised in (b)(i).
trigonal/triangular bipyramidal;
Do not allow ECF from Lewis structures with incorrect number of negative charge centres.
120° and 90°/180°;
Ignore other bond angles such as 240° and 360°.
Apply list principle if some correct and incorrect angles given.

Award [1] for correct structure and molecular polarity.
Award [1 max] for correct representations of all three isomers.
Lone pairs not required.
species with lone/non-bonding pair (of electrons);
which bonds to metal ion (in complex) / which forms dative (covalent)/coordinate bond to metal ion (in complex);
unpaired electrons in d orbitals / d sub-level partially occupied;
d orbitals split (into two sets of different energies);
frequencies of (visible) light absorbed by electrons moving from lower to higher d levels;
colour due to remaining frequencies / complementary colour transmitted;
Allow wavelength as well as frequency.
Do not accept colour emitted.
Examiners report
Most candidates were able to calculate the entropy, enthalpy and free energy changes but made mistakes with the correct definition of enthalpy of formation’. Many referred to the gaseous state which suggests some confusion with bond enthalpies. Many were comfortable with writing Lewis structures and shapes of molecules, or some give incomplete explanations, not referring to the number of electron domains for example. Not many students could write a balanced equation for the reaction between PCl3 and H2O (A.S. 13.1.2 of the guide). In part (d) even though many knew that a ligand has a lone pair of electrons, they missed the second mark for ‘bonding to metal ion’.
Most candidates were able to calculate the entropy, enthalpy and free energy changes but made mistakes with the correct definition of enthalpy of formation’. Many referred to the gaseous state which suggests some confusion with bond enthalpies. Many were comfortable with writing Lewis structures and shapes of molecules, or some give incomplete explanations, not referring to the number of electron domains for example. Not many students could write a balanced equation for the reaction between PCl3 and H2O (A.S. 13.1.2 of the guide). In part (d) even though many knew that a ligand has a lone pair of electrons, they missed the second mark for ‘bonding to metal ion’.
Most candidates were able to calculate the entropy, enthalpy and free energy changes but made mistakes with the correct definition of enthalpy of formation’. Many referred to the gaseous state which suggests some confusion with bond enthalpies. Many were comfortable with writing Lewis structures and shapes of molecules, or some give incomplete explanations, not referring to the number of electron domains for example. Not many students could write a balanced equation for the reaction between PCl3 and H2O (A.S. 13.1.2 of the guide). In part (d) even though many knew that a ligand has a lone pair of electrons, they missed the second mark for ‘bonding to metal ion’.
Most candidates were able to calculate the entropy, enthalpy and free energy changes but made mistakes with the correct definition of enthalpy of formation’. Many referred to the gaseous state which suggests some confusion with bond enthalpies. Many were comfortable with writing Lewis structures and shapes of molecules, or some give incomplete explanations, not referring to the number of electron domains for example. Not many students could write a balanced equation for the reaction between PCl3 and H2O (A.S. 13.1.2 of the guide). In part (d) even though many knew that a ligand has a lone pair of electrons, they missed the second mark for ‘bonding to metal ion’.
Most candidates were able to calculate the entropy, enthalpy and free energy changes but made mistakes with the correct definition of enthalpy of formation’. Many referred to the gaseous state which suggests some confusion with bond enthalpies. Many were comfortable with writing Lewis structures and shapes of molecules, or some give incomplete explanations, not referring to the number of electron domains for example. Not many students could write a balanced equation for the reaction between PCl3 and H2O (A.S. 13.1.2 of the guide). In part (d) even though many knew that a ligand has a lone pair of electrons, they missed the second mark for ‘bonding to metal ion’.
Most candidates were able to calculate the entropy, enthalpy and free energy changes but made mistakes with the correct definition of enthalpy of formation’. Many referred to the gaseous state which suggests some confusion with bond enthalpies. Many were comfortable with writing Lewis structures and shapes of molecules, or some give incomplete explanations, not referring to the number of electron domains for example. Not many students could write a balanced equation for the reaction between PCl3 and H2O (A.S. 13.1.2 of the guide). In part (d) even though many knew that a ligand has a lone pair of electrons, they missed the second mark for ‘bonding to metal ion’.
Most candidates were able to calculate the entropy, enthalpy and free energy changes but made mistakes with the correct definition of enthalpy of formation’. Many referred to the gaseous state which suggests some confusion with bond enthalpies. Many were comfortable with writing Lewis structures and shapes of molecules, or some give incomplete explanations, not referring to the number of electron domains for example. Not many students could write a balanced equation for the reaction between PCl3 and H2O (A.S. 13.1.2 of the guide). In part (d) even though many knew that a ligand has a lone pair of electrons, they missed the second mark for ‘bonding to metal ion’.
Most candidates were able to calculate the entropy, enthalpy and free energy changes but made mistakes with the correct definition of enthalpy of formation’. Many referred to the gaseous state which suggests some confusion with bond enthalpies. Many were comfortable with writing Lewis structures and shapes of molecules, or some give incomplete explanations, not referring to the number of electron domains for example. Not many students could write a balanced equation for the reaction between PCl3 and H2O (A.S. 13.1.2 of the guide). In part (d) even though many knew that a ligand has a lone pair of electrons, they missed the second mark for ‘bonding to metal ion’.
Most candidates were able to calculate the entropy, enthalpy and free energy changes but made mistakes with the correct definition of enthalpy of formation’. Many referred to the gaseous state which suggests some confusion with bond enthalpies. Many were comfortable with writing Lewis structures and shapes of molecules, or some give incomplete explanations, not referring to the number of electron domains for example. Not many students could write a balanced equation for the reaction between PCl3 and H2O (A.S. 13.1.2 of the guide). In part (d) even though many knew that a ligand has a lone pair of electrons, they missed the second mark for ‘bonding to metal ion’.
Most candidates were able to calculate the entropy, enthalpy and free energy changes but made mistakes with the correct definition of enthalpy of formation’. Many referred to the gaseous state which suggests some confusion with bond enthalpies. Many were comfortable with writing Lewis structures and shapes of molecules, or some give incomplete explanations, not referring to the number of electron domains for example. Not many students could write a balanced equation for the reaction between PCl3 and H2O (A.S. 13.1.2 of the guide). In part (d) even though many knew that a ligand has a lone pair of electrons, they missed the second mark for ‘bonding to metal ion’.
Most candidates were able to calculate the entropy, enthalpy and free energy changes but made mistakes with the correct definition of enthalpy of formation’. Many referred to the gaseous state which suggests some confusion with bond enthalpies. Many were comfortable with writing Lewis structures and shapes of molecules, or some give incomplete explanations, not referring to the number of electron domains for example. Not many students could write a balanced equation for the reaction between PCl3 and H2O (A.S. 13.1.2 of the guide). In part (d) even though many knew that a ligand has a lone pair of electrons, they missed the second mark for ‘bonding to metal ion’.
Most candidates were able to calculate the entropy, enthalpy and free energy changes but made mistakes with the correct definition of enthalpy of formation’. Many referred to the gaseous state which suggests some confusion with bond enthalpies. Many were comfortable with writing Lewis structures and shapes of molecules, or some give incomplete explanations, not referring to the number of electron domains for example. Not many students could write a balanced equation for the reaction between PCl3 and H2O (A.S. 13.1.2 of the guide). In part (d) even though many knew that a ligand has a lone pair of electrons, they missed the second mark for ‘bonding to metal ion’.
Most candidates were able to calculate the entropy, enthalpy and free energy changes but made mistakes with the correct definition of enthalpy of formation’. Many referred to the gaseous state which suggests some confusion with bond enthalpies. Many were comfortable with writing Lewis structures and shapes of molecules, or some give incomplete explanations, not referring to the number of electron domains for example. Not many students could write a balanced equation for the reaction between PCl3 and H2O (A.S. 13.1.2 of the guide). In part (d) even though many knew that a ligand has a lone pair of electrons, they missed the second mark for ‘bonding to metal ion’.
Most candidates were able to calculate the entropy, enthalpy and free energy changes but made mistakes with the correct definition of enthalpy of formation’. Many referred to the gaseous state which suggests some confusion with bond enthalpies. Many were comfortable with writing Lewis structures and shapes of molecules, or some give incomplete explanations, not referring to the number of electron domains for example. Not many students could write a balanced equation for the reaction between PCl3 and H2O (A.S. 13.1.2 of the guide). In part (d) even though many knew that a ligand has a lone pair of electrons, they missed the second mark for ‘bonding to metal ion’.
Iron has three main naturally occurring isotopes which can be investigated using a mass spectrometer.
State the full electronic configurations of a Cu atom and a \({\text{C}}{{\text{u}}^ + }\) ion.
Cu:
\({\text{C}}{{\text{u}}^ + }\):
Explain the origin of colour in transition metal complexes and use your explanation to suggest why copper(II) sulfate, CuSO4(aq), is blue, but zinc sulfate, ZnSO4(aq), is colourless.
\({\text{C}}{{\text{u}}^{2 + }}{\text{(aq)}}\) reacts with ammonia to form the complex ion \({{\text{[Cu(N}}{{\text{H}}_{\text{3}}}{{\text{)}}_{\text{4}}}{\text{]}}^{2 + }}\). Explain this reaction in terms of an acid-base theory, and outline how the bond is formed between \({\text{C}}{{\text{u}}^{2 + }}\) and \({\text{N}}{{\text{H}}_{\text{3}}}\).
Markscheme
Cu:
\({\text{1}}{{\text{s}}^{\text{2}}}{\text{2}}{{\text{s}}^{\text{2}}}{\text{2}}{{\text{p}}^{\text{6}}}{\text{3}}{{\text{s}}^{\text{2}}}{\text{3}}{{\text{p}}^{\text{6}}}{\text{3}}{{\text{d}}^{{\text{10}}}}{\text{4}}{{\text{s}}^{\text{1}}}\);
\({\text{C}}{{\text{u}}^ + }\):
\({\text{1}}{{\text{s}}^{\text{2}}}{\text{2}}{{\text{s}}^{\text{2}}}{\text{2}}{{\text{p}}^{\text{6}}}{\text{3}}{{\text{s}}^{\text{2}}}{\text{3}}{{\text{p}}^{\text{6}}}{\text{3}}{{\text{d}}^{{\text{10}}}}\);
Ignore relative order of 3d and 4s.
Penalize only once if noble gas core is given.
d orbitals are split (into two sets of different energies);
frequencies of (visible) light absorbed by electrons moving from lower to higher d levels;
colour due to remaining frequencies/complementary colour transmitted;
\({\text{C}}{{\text{u}}^{2 + }}\) has unpaired electrons/partially filled d sub-level;
\({\text{Z}}{{\text{n}}^{2 + }}\) has filled d sub-shell;
electronic transitions/d-d transitions possible for \({\text{C}}{{\text{u}}^{2 + }}\) / no electronic/d-d transitions possible for \({\text{Z}}{{\text{n}}^{2 + }}\);
Allow wavelength as well as frequency.
\({\text{N}}{{\text{H}}_{\text{3}}}\): Lewis base / \({\text{C}}{{\text{u}}^{2 + }}\): Lewis acid;
each \({\text{N}}{{\text{H}}_{\text{3}}}\)/ligand donates an electron pair (to \({\text{C}}{{\text{u}}^{2 + }}\));
\({\text{N}}{{\text{H}}_{\text{3}}}\) replace \({{\text{H}}_2}{\text{O}}\) ligands around \({\text{C}}{{\text{u}}^{2 + }}\) ion/around central ion;
forming coordinate (covalent)/dative covalent bond;
Examiners report
Many candidates identified the electronic configuration of Cu as an exception but the 3d electron was often removed in forming the ion instead of the 4s.
Precision of language proved to be an issue in (e) with some candidates referring to Cu and Zn and not their ions and some students explained the colour as a result of “reflection” or “emission”.
In (f), many candidates mentioned proton donors and proton acceptors and made no reference to Lewis theory.
Bromine is a member of group 7, the halogens.
Iron is a transition metal.
Freshly prepared iron(II) bromide can be electrolysed both in the liquid state and in aqueous solution.
Explain the trend in reactivity of the halogens.
Deduce, using equations where appropriate, if bromine reacts with sodium chloride solution and with sodium iodide solution.
Describe the bonding in metals and explain their malleability.
List three characteristic properties of transition elements.
Identify the type of bonding between iron and cyanide in \({{\text{[Fe(CN}}{{\text{)}}_{\text{6}}}{\text{]}}^{3 - }}\).
Deduce the oxidation number of iron in \({{\text{[Fe(CN}}{{\text{)}}_{\text{6}}}{\text{]}}^{3 - }}\).
Draw the abbreviated orbital diagram for an iron atom using the arrow-in-box notation to represent electrons.
Draw the abbreviated orbital diagram for the iron ion in [Fe(CN)6]3– using the arrow-in-box notation to represent electrons.
Describe, using a diagram, the essential components of an electrolytic cell.
Describe the two ways in which current is conducted in an electrolytic cell.
Predict and explain the products of electrolysis of a dilute iron(II) bromide solution.
Identify another product that is formed if the solution of iron(II) bromide is concentrated.
Explain why this other product is formed.
Markscheme
reactivity decreases down group;
as atomic radius increases / more electron shells;
attraction of nucleus on electrons decreases / electron affinity decreases;
Accept opposite argument for “up the group”.
no reaction with NaCl;
\({\text{B}}{{\text{r}}_2}{\text{(aq)}} + {\text{2NaI(aq)}} \to {\text{2NaBr(aq)}} + {{\text{I}}_2}{\text{(aq)}}\);
Accept ionic equation.
Ignore state symbols.
(electrostatic attraction between a) lattice of positive ions/cations and delocalized/sea of electrons;
Accept suitable diagram.
atoms/ions/layers (of positive ions) can slide over each other / OWTTE;
without change in the bonding forces / OWTTE;
variable oxidation numbers/valency
form complex (ions)
form coloured compounds/ions
catalytic (behaviour)
Award [2] for any three, [1] for any two.
dative (covalent)/coordinate;
III / \( + 3\);
Penalize incorrect format such as 3+ only if not penalized in 4 (b).

Penalise missing [Ar] only once in (v) and (vi).
Do not accept full orbital diagram; penalise only once in (v) and (vi).
Accept full or half-arrows in (v) and (vi).
Ignore absence of labels 4s and 3d.
;
Accept empty 4s box in (vi).
No ECF from (iv).

clear diagram containing all elements (power supply, connecting wires,
electrodes, container and electrolyte);
Accept power supply if shown as conventional long/short lines (as in diagram above) or clearly labelled DC power supply.
labelled positive electrode/anode and negative electrode/cathode;
Accept positive and negative by correct symbols near power supply.
labelled electrolyte/FeBr2(l)/FeBr2(aq);
State must be included for FeBr2.
Electrolyte: positive ions/cations move to negative electrode/cathode and negative ions/anions to positive electrode/anode;
Conductors: electrons flow from negative pole of battery to positive pole of battery / OWTTE;
Look at diagram in (i) for possible clarification of electron flow.
Award [1 max] for “electrons in wire/external circuit and ions in solution”.
Negative electrode/cathode:
\({{\text{H}}_{\text{2}}}\);
\({E^\Theta }{\text{(}}{{\text{H}}_{\text{2}}}{\text{)}}\) is less negative than \({E^\Theta }{\text{(Fe)}}\) / Fe is more reactive than \({{\text{H}}_{\text{2}}}\) / \({{\text{H}}_{\text{2}}}\) is lower in reactivity series / \({{\text{H}}^ + }\) more easily reduced than Fe2+ / OWTTE;
Positive electrode/anode:
\({{\text{O}}_{\text{2}}}\);
\({E^\Theta }{\text{(}}{{\text{O}}_{\text{2}}}{\text{)}}\) is less positive than \({E^\Theta }{\text{(B}}{{\text{r}}_{\text{2}}}{\text{)}}\) / in a dilute \({\text{B}}{{\text{r}}^ - }\) solution \({\text{O}}{{\text{H}}^ - }{\text{/}}{{\text{H}}_{\text{2}}}{\text{O}}\) is
preferably discharged / OWTTE;
Award [3 max] if electrodes reversed or omitted.
\({\text{B}}{{\text{r}}_{\text{2}}}\);
Accept Fe.
\({\text{2B}}{{\text{r}}^ - } \rightleftharpoons {\text{B}}{{\text{r}}_2} + {\text{2}}{{\text{e}}^ - }\) shifts to the right;
Accept similar reason for Fe.
Examiners report
This was the least popular of the Section B questions. In (a) (i) the trend was generally correctly identified but the reasons were not clear, many confusing electronegativity with electron affinity. Most knew about the reactions (or lack thereof) of bromine but the equations were sometimes unbalanced or included halogen atoms rather than molecules.
This was the least popular of the Section B questions. In (a) (i) the trend was generally correctly identified but the reasons were not clear, many confusing electronegativity with electron affinity. Most knew about the reactions (or lack thereof) of bromine but the equations were sometimes unbalanced or included halogen atoms rather than molecules.
There was a tendency to describe the bonding of metals in terms of nuclei rather than cations and malleability was not well understood.
The properties in (b) (ii) were surprisingly poor. Many suggested that the metals themselves are coloured rather than the compounds, for instance.
The bonding in (iii) was not well known but the oxidation number was generally answered correctly.
In (v), some candidates gave the full orbital diagram, some omitted [Ar] – and some just got it wrong!
The diagrams in (c) were poorly presented and often inaccurate (much confusion with a voltaic cell) and there was little understanding of how current was transmitted.
The diagrams in (c) were poorly presented and often inaccurate (much confusion with a voltaic cell) and there was little understanding of how current was transmitted.
In (iii), few candidates correctly predicted the products of electrolysis of dilute iron bromide, with many seeming to ignore the presence of hydrogen ions/hydroxide ions/water; correct explanations in terms of electrode potentials or preferential discharge were rare.
In (iii), few candidates correctly predicted the products of electrolysis of dilute iron bromide, with many seeming to ignore the presence of hydrogen ions/hydroxide ions/water; correct explanations in terms of electrode potentials or preferential discharge were rare. Despite this, bromine was often correctly identified in (iv).
In (v), few understood the impact of concentrating the electrolyte.
The emission spectrum of an element can be used to identify it.
Hydrogen spectral data give the frequency of 3.28 × 1015 s−1 for its convergence limit.
Calculate the ionization energy, in J, for a single atom of hydrogen using sections 1 and 2 of the data booklet.
Calculate the wavelength, in m, for the electron transition corresponding to the frequency in (a)(iii) using section 1 of the data booklet.
Deduce any change in the colour of the electrolyte during electrolysis.
Deduce the gas formed at the anode (positive electrode) when graphite is used in place of copper.
Explain why transition metals exhibit variable oxidation states in contrast to alkali metals.
Markscheme
IE «= ΔE = hν = 6.63 × 10–34 J s × 3.28 × 1015 s–1» = 2.17 × 10–18 «J»
[1 mark]
«\(\lambda = \frac{C}{{\text{v}}} = \frac{{3.00 \times {{10}^8}{\text{ m}}{{\text{s}}^{ - 1}}}}{{3.28 \times {{10}^{15}}{\text{ }}{{\text{s}}^{ - 1}}}} = \)» 9.15 × 10–8 «m»
[1 mark]
no change «in colour»
Do not accept “solution around cathode will become paler and solution around the anode will become darker”.
[1 mark]
oxygen/O2
Accept “carbon dioxide/CO2”.
[1 mark]
Transition metals:
«contain» d and s orbitals «which are close in energy»
OR
«successive» ionization energies increase gradually
Alkali metals:
second electron removed from «much» lower energy level
OR
removal of second electron requires large increase in ionization energy
[2 marks]
Examiners report
The reaction between carbon monoxide, CO(g), and nitrogen dioxide, \({\text{N}}{{\text{O}}_{\text{2}}}{\text{(g)}}\), was studied at different temperatures and a graph was plotted of \(\ln k\) against \(\frac{1}{T}\). The equation of the line of best fit was found to be:
\[\ln k = - 1.60 \times {10^4}\left( {\frac{1}{T}} \right) + 23.2\]

\[\frac{1}{T}/{\text{1}}{{\text{0}}^{ - 3}}{{\text{K}}^{ - 1}}\]
(i) State the full electron configuration of Fe.
(ii) State the abbreviated electron configuration of \({\text{F}}{{\text{e}}^{3 + }}\) ions.
(iii) Cyanide ions, \({\text{C}}{{\text{N}}^ - }\), can act as ligands. One complex ion that involves the cyanide ion is \({{\text{[Fe(CN}}{{\text{)}}_{\text{6}}}{\text{]}}^{3 - }}\). Identify the property of a cyanide ion which allows it to act as a ligand, and explain the bonding that occurs in the complex ion in terms of acid–base theory. Describe the structure of the complex ion, \({{\text{[Fe(CN}}{{\text{)}}_{\text{6}}}{\text{]}}^{3 - }}\).
(iv) Explain why complexes of \({\text{F}}{{\text{e}}^{3 + }}\) are coloured.
(i) The Arrhenius equation is shown in Table 1 of the Data Booklet. Identify the symbols \(k\) and A.
\(k\):
A:
(ii) Calculate the activation energy, \({E_{\text{a}}}\), for the reaction between CO(g) and \({\text{N}}{{\text{O}}_{\text{2}}}{\text{(g)}}\).
(iii) Calculate the numerical value of A.
Markscheme
(i) \({\text{1}}{{\text{s}}^2}{\text{2}}{{\text{s}}^2}{\text{2}}{{\text{p}}^6}{\text{3}}{{\text{s}}^2}{\text{3}}{{\text{p}}^6}{\text{3}}{{\text{d}}^6}{\text{4}}{{\text{s}}^2}/{\text{1}}{{\text{s}}^2}{\text{2}}{{\text{s}}^2}{\text{2}}{{\text{p}}^6}{\text{3}}{{\text{s}}^2}{\text{3}}{{\text{p}}^6}{\text{4}}{{\text{s}}^2}{\text{3}}{{\text{d}}^6}\);
(ii) \({\text{[Ar]3}}{{\text{d}}^{\text{5}}}\);
(iii) lone pair of electrons (on C);
\({\text{C}}{{\text{N}}^ - }\) acts as a Lewis base / \({\text{F}}{{\text{e}}^{3 + }}\) acts as a Lewis acid;
dative covalent/coordinate bond formed (between \({\text{C}}{{\text{N}}^ - }\) and \({\text{F}}{{\text{e}}^{3 + }}\));
ligands occupy an octahedral shape around central metal ion / coordination number of \({\text{F}}{{\text{e}}^{3 + }}\) is 6;
(iv) d sub-level splits (into two sets of orbitals of different energy) /
\(\Delta E\);
colour due to electron transitions between (split) d orbitals;
(i) \(k\):
rate constant;
\(A\):
Arrhenius constant / frequency/pre-exponential factor;
(ii) \({\text{gradient}} = \frac{{ - {E_{\text{a}}}}}{R}/{E_{\text{a}}} = - {\text{gradient}} \times R\);
\(\left( { = - ( - 16) \times 8.31} \right) = + 133{\text{ (kJ}}\,{\text{mo}}{{\text{l}}^{ - 1}}{\text{)}}/1.33 \times {10^5}{\text{ (J}}\,{\text{mo}}{{\text{l}}^{ - 1}}{\text{)}}\);
(iii) \(\ln {\text{A}} = {\text{(intercept on }}y{\text{ - axis}} ={\text{) 23.2}}\);
\({\text{A}} = 1.190 \times {10^{10}}\);
Examiners report
Most candidates had no difficulty with the full electron configuration of Fe in (a) but many could not write the abbreviated electron configuration of \({\text{F}}{{\text{e}}^{3 + }}\), losing 3d electrons ahead of 4s. Some G2 comments suggested that the word abbreviated caused problems, but this is stated in the teacher‘s notes and most candidates seemed to have no difficulty with the term. Descriptions of cyanide ions acting as ligands were particularly well expressed but some candidates had difficulty explaining why \({\text{F}}{{\text{e}}^{3 + }}\) ions are coloured, referring to excited orbitals emitting light.
In part (c) most candidates identified the symbols of the Arrhenius equation. Many calculated the activation energy, although several calculated the gradient from the graph rather than using the equation of the line of best fit. (This was accepted, but made the question much harder than intended.) Several candidates also calculated the numerical value of A correctly.
Brass is a copper containing alloy with many uses. An analysis is carried out to determine the percentage of copper present in three identical samples of brass. The reactions involved in this analysis are shown below.
\[\begin{array}{*{20}{l}} {{\text{Step 1: Cu(s)}} + {\text{2HN}}{{\text{O}}_3}{\text{(aq)}} + {\text{2}}{{\text{H}}^ + }{\text{(aq)}} \to {\text{C}}{{\text{u}}^{2 + }}{\text{(aq)}} + {\text{2N}}{{\text{O}}_2}{\text{(g)}} + {\text{2}}{{\text{H}}_2}{\text{O(l)}}} \\ {{\text{Step 2: 4}}{{\text{I}}^ - }{\text{(aq)}} + {\text{2C}}{{\text{u}}^{2 + }}{\text{(aq)}} \to {\text{2CuI(s)}} + {{\text{I}}_2}{\text{(aq)}}} \\ {{\text{Step 3: }}{{\text{I}}_2}{\text{(aq)}} + {\text{2}}{{\text{S}}_2}{\text{O}}_3^{2 - }{\text{(aq)}} \to {\text{2}}{{\text{I}}^ - }{\text{(aq)}} + {{\text{S}}_4}{\text{O}}_6^{2 - }{\text{(aq)}}} \end{array}\]
In step 1 the copper reacts to form a blue solution.
State the full electronic configuration of \({\text{C}}{{\text{u}}^{2 + }}\).
Explain why the copper solution is coloured.
Markscheme
\({\text{1}}{{\text{s}}^{\text{2}}}{\text{2}}{{\text{s}}^{\text{2}}}{\text{2}}{{\text{p}}^{\text{6}}}{\text{3}}{{\text{s}}^{\text{2}}}{\text{3}}{{\text{p}}^{\text{6}}}{\text{3}}{{\text{d}}^{\text{9}}}\);
Do not allow [Ar]3d9.
d orbitals are split;
(3d) electrons move between orbitals and absorb light/energy / complementary colour is transmitted when energy absorbed by d electrons moving / unpaired d electrons move between the different orbitals;
Accept levels instead of orbitals.
Examiners report
Several errors were seen in the electron configuration, the commonest of which was to give that of elemental copper.
Few attempts at the explanation of colour referred to the splitting of the d orbitals and electron transitions, and in several instances candidates referred to emission instead of absorption. This proved to be the most difficult part of question 1.
Explain why copper is considered a transition metal while scandium is not.
Markscheme
Sc has no d electrons as an ion / Cu has d electrons;
Cu compounds are coloured / Sc compounds are colourless;
Cu has more than one oxidation state / Sc has only one oxidation state;
Cu compounds can act as catalysts / Sc cannot act as catalysts;
Examiners report
Answers to (e) were disappointing - many candidates seem not to have considered the 3-mark allocation and often mentioned only the presence or absence of d electrons.
Trends in physical and chemical properties are useful to chemists.
Cobalt forms the transition metal complex [Co(NH3)4 (H2O)Cl]Br.
Explain why the melting points of the group 1 metals (Li → Cs) decrease down the group whereas the melting points of the group 17 elements (F → I) increase down the group.
State the shape of the complex ion.
Deduce the charge on the complex ion and the oxidation state of cobalt.
Describe, in terms of acid-base theories, the type of reaction that takes place between the cobalt ion and water to form the complex ion.
Markscheme
Any three of:
Group 1:
atomic/ionic radius increases
smaller charge density
OR
force of attraction between metal ions and delocalised electrons decreases
Do not accept discussion of attraction between valence electrons and nucleus for M2.
Accept “weaker metallic bonds” for M2.
Group 17:
number of electrons/surface area/molar mass increase
London/dispersion/van der Waals’/vdw forces increase
Accept “atomic mass” for “molar mass”.
[Max 3 Marks]
«distorted» octahedral
Accept “square bipyramid”.
Charge on complex ion: 1+/+
Oxidation state of cobalt: +2
Lewis «acid-base reaction»
H2O: electron/e– pair donor
OR
Co2+: electron/e– pair acceptor
Examiners report
The electron configuration of chromium can be expressed as \({\text{[Ar]4}}{{\text{s}}^{\text{x}}}{\text{3}}{{\text{d}}^{\text{y}}}\).
Hydrogen and nitrogen(II) oxide react according to the following equation.
\[2{{\text{H}}_2}{\text{(g)}} + {\text{2NO(g)}} \rightleftharpoons {{\text{N}}_2}{\text{(g)}} + {\text{2}}{{\text{H}}_2}{\text{O(g)}}\]
At time = \(t\) seconds, the rate of the reaction is
\[{\text{rate}} = k{\text{[}}{{\text{H}}_2}{\text{(g)][NO(g)}}{{\text{]}}^2}\]
When concentrated hydrochloric acid is added to a solution containing hydrated copper(II) ions, the colour of the solution changes from light blue to green. The equation for the reaction is:
\[{{\text{[Cu(}}{{\text{H}}_2}{\text{O}}{{\text{)}}_6}{\text{]}}^{2 + }}{\text{(aq)}} + {\text{4C}}{{\text{l}}^ - }{\text{(aq)}} \to {{\text{[CuC}}{{\text{l}}_4}{\text{]}}^{2 - }}{\text{(aq)}} + {\text{6}}{{\text{H}}_2}{\text{O(l)}}\]
Explain what the square brackets around argon, [Ar], represent.
State the values of \(x\) and \(y\).
Annotate the diagram below showing the 4s and 3d orbitals for a chromium atom using an arrow,
and
, to represent a spinning electron.

Explain precisely what the square brackets around nitrogen(II) oxide, [NO(g)], represent in this context.
Deduce the units for the rate constant \(k\).
Explain what the square brackets around the copper containing species represent.
Explain why the \({{\text{[Cu(}}{{\text{H}}_{\text{2}}}{\text{O}}{{\text{)}}_{\text{6}}}{\text{]}}^{2 + }}\) ion is coloured and why the \({{\text{[CuC}}{{\text{l}}_{\text{4}}}{\text{]}}^{2 - }}\) ion has a different colour.
Some words used in chemistry can have a specific meaning which is different to their meaning in everyday English.
State what the term spontaneous means when used in a chemistry context.
Markscheme
the electron configuration (of argon) / \({\text{1}}{{\text{s}}^{\text{2}}}{\text{2}}{{\text{s}}^{\text{2}}}{\text{2}}{{\text{p}}^{\text{6}}}{\text{3}}{{\text{s}}^{\text{2}}}{\text{3}}{{\text{p}}^{\text{6}}}\);
\(x = 1\) and \(y = 5\);

Accept all six arrows pointing down rather than up.
the concentration (of nitrogen(II) oxide);
Award [0] if reference made to equilibrium.
\({\text{mo}}{{\text{l}}^{ - 2}}{\text{d}}{{\text{m}}^{\text{6}}}{{\text{s}}^{ - 1}}/{\text{d}}{{\text{m}}^{\text{6}}}{\text{mo}}{{\text{l}}^{ - 2}}{{\text{s}}^{ - 1}}\);
Accept (mol–1 dm3)2s–1.
complex (ion) / the charge is delocalized over all that is contained in the brackets;
colour is due to energy being absorbed when electrons are promoted within the split d orbitals;
the colour observed is the complementary colour to the energy absorbed / OWTTE;
Accept either answer for first mark.
changing the ligand / coordination number / geometry changes the amount the d orbitals are split/energy difference between the d orbitals / OWTTE;
the reaction gives out (Gibbs Free) energy that can do work;
\(\Delta G\) for the reaction has a negative value;
a reaction that occurs without adding energy (beyond that required to overcome energy barrier);
Examiners report
Most candidates were familiar with the use of square brackets to represent noble gas electron configurations and concentrations in rate expressions and it was encouraging to see candidates give a correct orbital diagram with the d electrons unpaired.
A significant number of students were unaware of the exceptional nature of the electron configuration for chromium.
A significant number of students were unaware of the exceptional nature of the electron configuration for chromium, but were able to gain the mark in (a) (iii) with ecf.
The understanding of the use of square bracket to represent complex ions was limited.
Many candidates omitted the \({{\text{s}}^{ - 1}}\) in the units for the rate constant.
(c) (ii) proved to be more challenging with many candidates mixing up sub-shells with orbitals and absorption with emission spectra.
Many candidates were familiar with the use of the term spontaneous when used in a chemical context.
Describe the emission spectrum of hydrogen. Outline how this spectrum is related to the energy levels in the hydrogen atom.
Transition elements form complexes such as \({{\text{[Fe(CN}}{{\text{)}}_{\text{6}}}{\text{]}}^{4 - }}\) and \({{\text{[FeC}}{{\text{l}}_{\text{4}}}{\text{]}}^ - }\). Deduce the oxidation number of iron in each of these complex ions.
\({{\text{[Fe(CN}}{{\text{)}}_{\text{6}}}{\text{]}}^{4 - }}\)
\({{\text{[FeC}}{{\text{l}}_{\text{4}}}{\text{]}}^ - }\)
Markscheme
series of lines/lines;
electron transfer/transition between higher energy level to lower energy level / electron transitions into first energy level causes UV series / transition into second energy level causes visible series / transition into third energy level causes infrared series;
convergence at higher frequency/energy/short wavelength;
Allow any of the above points to be shown on a diagram.
\({{\text{[Fe(CN}}{{\text{)}}_6}{\text{]}}^{4 - }} = + 2\);
\({{\text{[FeC}}{{\text{l}}_4}{\text{]}}^ - } = + {\text{3}}\);
Award [1 max] if 2+ and 3+, 2 and 3 or II and III stated.
Examiners report
In the emission spectrum of hydrogen some candidates missed stating about convergence at high energy/frequency while some other candidates forgot to write that it is a line spectrum.
The majority of candidates deduced the oxidation number of iron in the complex ions correctly although some candidates still wrote 2+ and 3+ which deprived them of one mark.
Urea, (H2N)2CO, is excreted by mammals and can be used as a fertilizer.
Urea can also be made by the direct combination of ammonia and carbon dioxide gases.
2NH3(g) + CO2(g) \( \rightleftharpoons \) (H2N)2CO(g) + H2O(g) ΔH < 0
Calculate the percentage by mass of nitrogen in urea to two decimal places using section 6 of the data booklet.
Suggest how the percentage of nitrogen affects the cost of transport of fertilizers giving a reason.
The structural formula of urea is shown.

Predict the electron domain and molecular geometries at the nitrogen and carbon atoms, applying the VSEPR theory.

Urea can be made by reacting potassium cyanate, KNCO, with ammonium chloride, NH4Cl.
KNCO(aq) + NH4Cl(aq) → (H2N)2CO(aq) + KCl(aq)
Determine the maximum mass of urea that could be formed from 50.0 cm3 of 0.100 mol dm−3 potassium cyanate solution.
State the equilibrium constant expression, Kc.
Predict, with a reason, the effect on the equilibrium constant, Kc, when the temperature is increased.
Determine an approximate order of magnitude for Kc, using sections 1 and 2 of the data booklet. Assume ΔGΘ for the forward reaction is approximately +50 kJ at 298 K.
Suggest one reason why urea is a solid and ammonia a gas at room temperature.
Sketch two different hydrogen bonding interactions between ammonia and water.
The combustion of urea produces water, carbon dioxide and nitrogen.
Formulate a balanced equation for the reaction.
Calculate the maximum volume of CO2, in cm3, produced at STP by the combustion of 0.600 g of urea, using sections 2 and 6 of the data booklet.
Describe the bond formation when urea acts as a ligand in a transition metal complex ion.
The C–N bonds in urea are shorter than might be expected for a single C–N bond. Suggest, in terms of electrons, how this could occur.
The mass spectrum of urea is shown below.

Identify the species responsible for the peaks at m/z = 60 and 44.
The IR spectrum of urea is shown below.

Identify the bonds causing the absorptions at 3450 cm−1 and 1700 cm−1 using section 26 of the data booklet.
Predict the number of signals in the 1H NMR spectrum of urea.
Predict the splitting pattern of the 1H NMR spectrum of urea.
Outline why TMS (tetramethylsilane) may be added to the sample to carry out 1H NMR spectroscopy and why it is particularly suited to this role.
Markscheme
molar mass of urea «4 \( \times \) 1.01 + 2 \( \times \) 14.01 + 12.01 + 16.00» = 60.07 «g mol-1»
«% nitrogen = \(\frac{{{\text{2}} \times {\text{14.01}}}}{{{\text{60.07}}}}\) \( \times \) 100 =» 46.65 «%»
Award [2] for correct final answer.
Award [1 max] for final answer not to two decimal places.
[2 marks]
«cost» increases AND lower N% «means higher cost of transportation per unit of nitrogen»
OR
«cost» increases AND inefficient/too much/about half mass not nitrogen
Accept other reasonable explanations.
Do not accept answers referring to safety/explosions.
[1 mark]

Note: Urea’s structure is more complex than that predicted from VSEPR theory.
[3 marks]
n(KNCO) «= 0.0500 dm3 \( \times \) 0.100 mol dm–3» = 5.00 \( \times \) 10–3 «mol»
«mass of urea = 5.00 \( \times \) 10–3 mol \( \times \) 60.07 g mol–1» = 0.300 «g»
Award [2] for correct final answer.
[2 marks]
\({K_{\text{c}}} = \frac{{[{{({{\text{H}}_2}{\text{N}})}_2}{\text{CO}}] \times [{{\text{H}}_2}{\text{O}}]}}{{{{[{\text{N}}{{\text{H}}_3}]}^2} \times [{\text{C}}{{\text{O}}_2}]}}\)
[1 mark]
«Kc» decreases AND reaction is exothermic
OR
«Kc» decreases AND ΔH is negative
OR
«Kc» decreases AND reverse/endothermic reaction is favoured
[1 mark]
ln K « = \(\frac{{ - \Delta {G^\Theta }}}{{RT}} = \frac{{ - 50 \times {{10}^3}{\text{ J}}}}{{8.31{\text{ J }}{{\text{K}}^{ - 1}}{\text{ mo}}{{\text{l}}^{ - 1}} \times 298{\text{ K}}}}\) » = –20
«Kc =» 2 \( \times \) 10–9
OR
1.69 \( \times \) 10–9
OR
10–9
Accept range of 20-20.2 for M1.
Award [2] for correct final answer.
[2 marks]
Any one of:
urea has greater molar mass
urea has greater electron density/greater London/dispersion
urea has more hydrogen bonding
urea is more polar/has greater dipole moment
Accept “urea has larger size/greater van der Waals forces”.
Do not accept “urea has greater intermolecular forces/IMF”.
[1 mark]

Award [1] for each correct interaction.
If lone pairs are shown on N or O, then the lone pair on N or one of the lone pairs on O MUST be involved in the H-bond.
Penalize solid line to represent H-bonding only once.
[2 marks]
2(H2N)2CO(s) + 3O2(g) → 4H2O(l) + 2CO2(g) + 2N2(g)
correct coefficients on LHS
correct coefficients on RHS
Accept (H2N)2CO(s) + \(\frac{3}{2}\)O2(g) → 2H2O(l) + CO2(g) + N2(g).
Accept any correct ratio.
[2 marks]
«V = \(\frac{{{\text{0.600 g}}}}{{{\text{60.07 g mo}}{{\text{l}}^{ - 1}}}}\) \( \times \) 22700 cm3 mol–1 =» 227 «cm3»
[1 mark]
lone/non-bonding electron pairs «on nitrogen/oxygen/ligand» given to/shared with metal ion
co-ordinate/dative/covalent bonds
[2 marks]
lone pairs on nitrogen atoms can be donated to/shared with C–N bond
OR
C–N bond partial double bond character
OR
delocalization «of electrons occurs across molecule»
OR
slight positive charge on C due to C=O polarity reduces C–N bond length
[1 mark]
60: CON2H4+
44: CONH2+
Accept “molecular ion”.
[2 marks]
3450 cm–1: N–H
1700 cm–1: C=O
Do not accept “O–H” for 3450 cm–1.
[2 marks]
1
[2 marks]
singlet
Accept “no splitting”.
[1 mark]
acts as internal standard
OR
acts as reference point
one strong signal
OR
12 H atoms in same environment
OR
signal is well away from other absorptions
Accept “inert” or “readily removed” or “non-toxic” for M1.
[2 marks]
Examiners report
Tin(II) chloride is a white solid that is commonly used as a reducing agent.
(i) State why you would expect tin(II) chloride to have a similar lattice enthalpy to strontium chloride, using section 9 of the data booklet.
(ii) Calculate the molar enthalpy change when strontium chloride is dissolved in water, using sections 18 and 20 of the data booklet.
(iii) Tin(II) chloride reacts with water to precipitate the insoluble basic chloride, Sn(OH)Cl.
Suggest why tin(II) chloride is usually dissolved in dilute hydrochloric acid.
Tin can also exist in the +4 oxidation state.
Vanadium can be reduced from an oxidation state of +4 to +3 according to the equation:
(i) Calculate the cell potential, EΘ, and the standard free energy, ΔGΘ, change for the reaction between the VO2+ and Sn2+ ions, using sections 1 and 2 of the data booklet.
EΘ:
ΔGΘ:
(ii) Deduce, giving your reason, whether a reaction between Sn2+(aq) and VO2+(aq) would be spontaneous.
Outline, giving the full electron configuration of the vanadium atom, what is meant by the term transition metal.
In an aqueous solution of vanadium(III) chloride, the vanadium exists as [V (H2O)6]3+, [VCl (H2O)5]2+ or [VCl2(H2O)4]+ depending on the concentration of chloride ions in the solution.
(i) Describe how Cl− and H2O bond to the vanadium ion.
(ii) Outline what would happen to the wavelength at which the vanadium complex ions would absorb light as the water molecules are gradually replaced by chloride ions, using section 15 of the data booklet.
Eight successive ionisation energies of vanadium are shown in the graph below:
(i) State the sub-levels from which each of the first four electrons are lost.
First: Second: Third: Fourth:
(ii) Outline why there is an increase in ionization energy from electron 3 to electron 5.
(iii) Explain why there is a large increase in the ionization energy between electrons 5 and 6.
(iv) Vanadium is comprised almost entirely of 51V. State the number of neutrons an atom of 51V has in its nucleus.
Markscheme
(i)
same charge AND same/similar ionic radius
(ii)
enthalpy of hydration «= −1483 + 2 (−359)» = −2201 «kJmol−1»
enthalpy of solution «= 2170 − 2201» = −31 «kJmol−1»
Award [2] for correct final answer.
Award [1 max] for +31 «kJmol−1».
Award [1 max] for ±4371.
(iii)
hydrochloric acid shifts equilibrium to left
OR
hydrochloric acid prevents the basic chloride forming/precipitating
Accept “hydrochloric acid reacts with «basic» chloride” OR “hydrochloric acid suppresses salt hydrolysis”.
(i)
EΘ «= 0.34 − 0.15» = 0.19«V»
∆GOΘ«= − nFEΘ = −2 × 96500 × 0.19» = −36670 / −37000«J» / − 37«kJ»
Accept −18335 «J» or −18 «kJ» as equation not specified.
(ii)
yes AND ∆GΘ is negative
OR
yes AND EΘ for the cell is positive
OR
yes AND Sn2+ (aq) is a stronger reducing agent than V3+(aq)
OR
yes AND EΘ SN4+ (aq) is more negative that EΘ or VO2+ (aq)
OR
yes AND VO2+ (aq) is a stronger oxidizing agent than Sn4+ (aq)
OR
yes AND EΘ for VO2+ (aq) is more positive than EΘ for SN4+ (aq)
Do not accept reference to anti-clockwise rule.
1s22s22p63s23p63d34s2
OR
1s22s22p63s23p64s23d3
incomplete d «sub-» level/orbital/shell «in its compounds/ions»
(i)
give/donate a lone/non-bonding electron pair
Accept “through the formation of a dative/ coordinate bond”.
Accept “by acting as Lewis bases”.
Do not accept “act as ligands”.
(ii)
«more chlorido ligands» smaller energy gap between split d-orbitals
OR
Cl− is lower than H2O in spectrochemical series
OR
Cl− is a weaker ligand/has lower charge density
the absorption will move to longer wavelengths
OR
the absorption wavelength will increase
Do not accept answers in terms of change of frequency.
(i)
First: 4s AND Second: 4s AND Third: 3d AND Fourth: 3d
Do not apply ECF from (c).
(ii)
«in the same sub-shell and a» decrease in electron-electron repulsion
OR
«in the same sub-shell and» as more electrons removed, the pull of of the nucleus/positive ions holds the remaining electrons more tightly
Do not accept “greater nuclear charge/ effective nuclear charge”.
(iii)
electron 5 is lost from the 3d orbital
OR
electron 5 is lost from the valence shell
electron 6 is lost from a 3p orbital
OR
electron 6 is lost from a «complete» inner shell
3p orbital/complete inner shell experiences a much larger effective nuclear charge
OR
3p orbital/complete inner shell is less well shielded
OR
3p orbital/complete inner shell is nearer the nucleus
Award [1 max] (for M1/M2) (ECF) if candidate recognises electrons 5 and 6 are from different levels.
(iv)
28