HL Paper 2
Urea, (H2N)2CO, is excreted by mammals and can be used as a fertilizer.
Urea can also be made by the direct combination of ammonia and carbon dioxide gases.
2NH3(g) + CO2(g) \( \rightleftharpoons \) (H2N)2CO(g) + H2O(g) ΔH < 0
Calculate the percentage by mass of nitrogen in urea to two decimal places using section 6 of the data booklet.
Suggest how the percentage of nitrogen affects the cost of transport of fertilizers giving a reason.
The structural formula of urea is shown.

Predict the electron domain and molecular geometries at the nitrogen and carbon atoms, applying the VSEPR theory.

Urea can be made by reacting potassium cyanate, KNCO, with ammonium chloride, NH4Cl.
KNCO(aq) + NH4Cl(aq) → (H2N)2CO(aq) + KCl(aq)
Determine the maximum mass of urea that could be formed from 50.0 cm3 of 0.100 mol dm−3 potassium cyanate solution.
State the equilibrium constant expression, Kc.
Predict, with a reason, the effect on the equilibrium constant, Kc, when the temperature is increased.
Determine an approximate order of magnitude for Kc, using sections 1 and 2 of the data booklet. Assume ΔGΘ for the forward reaction is approximately +50 kJ at 298 K.
Suggest one reason why urea is a solid and ammonia a gas at room temperature.
Sketch two different hydrogen bonding interactions between ammonia and water.
The combustion of urea produces water, carbon dioxide and nitrogen.
Formulate a balanced equation for the reaction.
Calculate the maximum volume of CO2, in cm3, produced at STP by the combustion of 0.600 g of urea, using sections 2 and 6 of the data booklet.
Describe the bond formation when urea acts as a ligand in a transition metal complex ion.
The C–N bonds in urea are shorter than might be expected for a single C–N bond. Suggest, in terms of electrons, how this could occur.
The mass spectrum of urea is shown below.

Identify the species responsible for the peaks at m/z = 60 and 44.
The IR spectrum of urea is shown below.

Identify the bonds causing the absorptions at 3450 cm−1 and 1700 cm−1 using section 26 of the data booklet.
Predict the number of signals in the 1H NMR spectrum of urea.
Predict the splitting pattern of the 1H NMR spectrum of urea.
Outline why TMS (tetramethylsilane) may be added to the sample to carry out 1H NMR spectroscopy and why it is particularly suited to this role.
Markscheme
molar mass of urea «4 \( \times \) 1.01 + 2 \( \times \) 14.01 + 12.01 + 16.00» = 60.07 «g mol-1»
«% nitrogen = \(\frac{{{\text{2}} \times {\text{14.01}}}}{{{\text{60.07}}}}\) \( \times \) 100 =» 46.65 «%»
Award [2] for correct final answer.
Award [1 max] for final answer not to two decimal places.
[2 marks]
«cost» increases AND lower N% «means higher cost of transportation per unit of nitrogen»
OR
«cost» increases AND inefficient/too much/about half mass not nitrogen
Accept other reasonable explanations.
Do not accept answers referring to safety/explosions.
[1 mark]

Note: Urea’s structure is more complex than that predicted from VSEPR theory.
[3 marks]
n(KNCO) «= 0.0500 dm3 \( \times \) 0.100 mol dm–3» = 5.00 \( \times \) 10–3 «mol»
«mass of urea = 5.00 \( \times \) 10–3 mol \( \times \) 60.07 g mol–1» = 0.300 «g»
Award [2] for correct final answer.
[2 marks]
\({K_{\text{c}}} = \frac{{[{{({{\text{H}}_2}{\text{N}})}_2}{\text{CO}}] \times [{{\text{H}}_2}{\text{O}}]}}{{{{[{\text{N}}{{\text{H}}_3}]}^2} \times [{\text{C}}{{\text{O}}_2}]}}\)
[1 mark]
«Kc» decreases AND reaction is exothermic
OR
«Kc» decreases AND ΔH is negative
OR
«Kc» decreases AND reverse/endothermic reaction is favoured
[1 mark]
ln K « = \(\frac{{ - \Delta {G^\Theta }}}{{RT}} = \frac{{ - 50 \times {{10}^3}{\text{ J}}}}{{8.31{\text{ J }}{{\text{K}}^{ - 1}}{\text{ mo}}{{\text{l}}^{ - 1}} \times 298{\text{ K}}}}\) » = –20
«Kc =» 2 \( \times \) 10–9
OR
1.69 \( \times \) 10–9
OR
10–9
Accept range of 20-20.2 for M1.
Award [2] for correct final answer.
[2 marks]
Any one of:
urea has greater molar mass
urea has greater electron density/greater London/dispersion
urea has more hydrogen bonding
urea is more polar/has greater dipole moment
Accept “urea has larger size/greater van der Waals forces”.
Do not accept “urea has greater intermolecular forces/IMF”.
[1 mark]

Award [1] for each correct interaction.
If lone pairs are shown on N or O, then the lone pair on N or one of the lone pairs on O MUST be involved in the H-bond.
Penalize solid line to represent H-bonding only once.
[2 marks]
2(H2N)2CO(s) + 3O2(g) → 4H2O(l) + 2CO2(g) + 2N2(g)
correct coefficients on LHS
correct coefficients on RHS
Accept (H2N)2CO(s) + \(\frac{3}{2}\)O2(g) → 2H2O(l) + CO2(g) + N2(g).
Accept any correct ratio.
[2 marks]
«V = \(\frac{{{\text{0.600 g}}}}{{{\text{60.07 g mo}}{{\text{l}}^{ - 1}}}}\) \( \times \) 22700 cm3 mol–1 =» 227 «cm3»
[1 mark]
lone/non-bonding electron pairs «on nitrogen/oxygen/ligand» given to/shared with metal ion
co-ordinate/dative/covalent bonds
[2 marks]
lone pairs on nitrogen atoms can be donated to/shared with C–N bond
OR
C–N bond partial double bond character
OR
delocalization «of electrons occurs across molecule»
OR
slight positive charge on C due to C=O polarity reduces C–N bond length
[1 mark]
60: CON2H4+
44: CONH2+
Accept “molecular ion”.
[2 marks]
3450 cm–1: N–H
1700 cm–1: C=O
Do not accept “O–H” for 3450 cm–1.
[2 marks]
1
[2 marks]
singlet
Accept “no splitting”.
[1 mark]
acts as internal standard
OR
acts as reference point
one strong signal
OR
12 H atoms in same environment
OR
signal is well away from other absorptions
Accept “inert” or “readily removed” or “non-toxic” for M1.
[2 marks]
Examiners report
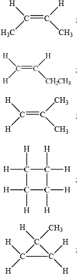
But-2-ene belongs to the homologous series of the alkenes.
The time taken to produce a certain amount of product using different initial concentrations of \({{\text{C}}_{\text{4}}}{{\text{H}}_{\text{9}}}{\text{Br}}\) and NaOH is measured. The results are shown in the following table.

Outline three features of a homologous series.
Describe a test to distinguish but-2-ene from butane, including what is observed in each case.
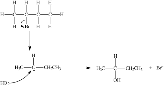
2-bromobutane can be produced from but-2-ene. State the equation of this reaction using structural formulas.
State what is meant by the term stereoisomers.
Explain the existence of geometrical isomerism in but-2-ene.
Deduce the order of reaction with respect to \({{\text{C}}_{\text{4}}}{{\text{H}}_{\text{9}}}{\text{Br}}\) and NaOH, using the data above.
\({{\text{C}}_{\text{4}}}{{\text{H}}_{\text{9}}}{\text{Br}}\)
NaOH:
Deduce the rate expression.
Based on the rate expression obtained in (c) (ii) state the units of the rate constant, \(k\).
Halogenalkanes can react with NaOH via \({{\text{S}}_{\text{N}}}{\text{1}}\) and \({{\text{S}}_{\text{N}}}{\text{2}}\) type mechanisms. Explain why \({{\text{C}}_{\text{4}}}{{\text{H}}_{\text{9}}}{\text{Br}}\) reacts via the mechanism described in (d) (i).
Identify the rate-determining step of this mechanism.
Markscheme
same functional group / same general formula;
difference between successive members is \({\text{C}}{{\text{H}}_{\text{2}}}\);
similar chemical properties;
Do not accept “same” chemical properties.
gradually changing physical properties;
adding bromine (water);
but-2-ene: brown/orange to colourless / decolourizes bromine water and
butane: does not change colour;
OR
adding acidified potassium permanganate solution/KMnO4(aq);
but-2-ene: purple to colourless/brown and
butane: does not change colour;
OR
adding Baeyer’s reagent;
but-2-ene: purple/pink to brown and
butane: does not change colour;
Do not accept “clear” or “transparent” for “colourless”.

Accept condensed structural formula.
Penalise missing H atoms or incorrect bonds (such as C–HO, C–H2C) once only in the whole paper.
compounds with the same structural formula but different arrangement of atoms (in space);
(but-2-ene exists as) cis-but-2-ene and trans-but-2-ene /
;
restricted rotation of C=C/double bond;
C4H9Br:
[C4H9Br] doubles and time halves/rate doubles/rate proportional to [C4H9Br];
Do not accept rate increases when [C4H9Br] increases.
NaOH:
[NaOH] doubles and time/rate does not change/rate independent of [NaOH];
C4H9Br: first order and NaOH: zero order;
rate \( = k[{{\text{C}}_4}{{\text{H}}_9}{\text{Br}}]\);
Accept ECF.
\({{\text{s}}^{ - 1}}\);
Accept ECF.
greater stability of tertiary carbocation;
steric hindrance for \({{\text{S}}_{\text{N}}}{\text{2}}\) mechanism;
positive inductive effect (of alkyl groups);
Do not allow ECF.
the first step / \({\text{B}}{{\text{r}}^ - }\) leaving / formation of carbocation;
Do not allow ECF.
Examiners report
Features of an homologous series need to be learnt; this was answered relatively poorly.
The most common reagent was bromine (some indeed used liquid bromine!) and the common errors were using HBr and describing “colourless” as “clear”.
In (iii), some gave the equation backwards, a consequence, perhaps, of misreading the question.
In (iv) many referred to “same molecular formula” rather than “same structural formula”.
The lack of rotation about the double bond in (v) was not well described.
In (c) (i) the explanations were a little vague, some candidates perhaps being fooled by the data of time rather than rate. Many expected to be given marks for a series of numbers and calculations without explanations.
Answers to (ii) were usually consistent with (i).
Answers to (iii) were usually consistent with (i).
(ii) was rarely answered correctly while the answer to (iii) was patchy.
(ii) was rarely answered correctly while the answer to (iii) was patchy.
The percentage of iron(II) ions, \({\text{F}}{{\text{e}}^{2 + }}\), in a vitamin tablet can be estimated by dissolving the tablet in dilute sulfuric acid and titrating with standard potassium manganate(VII) solution, \({\text{KMn}}{{\text{O}}_{\text{4}}}{\text{(aq)}}\). During the process iron(II) is oxidized to iron(III) and the manganate(VII) ion is reduced to the manganese(II) ion, \({\text{M}}{{\text{n}}^{2 + }}{\text{(aq)}}\). It was found that one tablet with a mass of 1.43 g required \({\text{11.6 c}}{{\text{m}}^{\text{3}}}\) of \(2.00 \times {10^{ - 2}}{\text{ mol}}\,{\text{d}}{{\text{m}}^{ - 3}}\) \({\text{KMn}}{{\text{O}}_{\text{4}}}{\text{(aq)}}\) to reach the end-point.
State the half-equation for the oxidation of the iron(II) ions.
State the half-equation for the reduction of the \({\text{MnO}}_4^ - \) ions in acidic solution.
Deduce the overall redox equation for the reaction.
Calculate the amount, in moles, of \({\text{MnO}}_4^ - \) ions present in \({\text{11.6 c}}{{\text{m}}^{\text{3}}}\) of \(2.00 \times {10^{ - 2}}{\text{ mol}}\,{\text{d}}{{\text{m}}^{ - 3}}\) \({\text{KMn}}{{\text{O}}_{\text{4}}}{\text{(aq)}}\).
Calculate the amount, in moles, of \({\text{F}}{{\text{e}}^{2 + }}\) ions present in the vitamin tablet.
Determine the percentage by mass of \({\text{F}}{{\text{e}}^{2 + }}\) ions present in the vitamin tablet.
Markscheme
\({\text{F}}{{\text{e}}^{2 + }} \to {\text{F}}{{\text{e}}^{3 + }} + {{\text{e}}^ - }\);
\({\text{MnO}}_4^ - + {\text{8}}{{\text{H}}^ + } + {\text{5}}{{\text{e}}^ - } \to {\text{M}}{{\text{n}}^{2 + }} + {\text{4}}{{\text{H}}_2}{\text{O}}\);
\({\text{MnO}}_4^ - + {\text{5F}}{{\text{e}}^{2 + }} + {\text{8}}{{\text{H}}^ + } \to {\text{M}}{{\text{n}}^{2 + }} + {\text{5F}}{{\text{e}}^{3 + }} + {\text{4}}{{\text{H}}_2}{\text{O}}\);
Accept e instead of e–.
\({\text{amount of MnO}}_4^ - = \frac{{11.6}}{{1000}} \times 0.0200 = 2.32 \times {10^{ - 4}}{\text{ mol}}\);
\({\text{amount of F}}{{\text{e}}^{2 + }} = 5 \times 2.32 \times {10^{ - 4}} = 1.16 \times {10^{ - 3}}{\text{ mol}}\);
\({\text{mass of F}}{{\text{e}}^{2 + }} = 55.85 \times 1.16 \times {10^{ - 3}} = 6.48 \times {10^{ - 2}}{\text{ g}}\);
\({\text{percentage of F}}{{\text{e}}^{2 + }}{\text{ in tablet}} = \frac{{6.48 \times {{10}^{ - 2}}}}{{1.43}} = 100 = 4.53\% \);
Examiners report
This question was generally well answered. A common mistake with writing half-equations was the failure to realise that only single arrows should be used if oxidation and reduction are specifically asked for. Candidates were only penalized once for this error.
Given that the half-equation involving \({\text{MnO}}_4^ - \) ions is provided in the Data Booklet, it was surprising that several candidates could not correctly write the equation for their reduction in acidic solution.
A voltaic cell was set up, using the standard hydrogen electrode as a reference electrode and a standard \({\text{C}}{{\text{u}}^{2 + }}{\text{(aq)/Cu(s)}}\) electrode.
Another voltaic cell was set up, using a \({\text{S}}{{\text{n}}^{2 + }}{\text{(aq)/Sn(s)}}\) half-cell and a \({\text{C}}{{\text{u}}^{2 + }}{\text{(aq)/Cu(s)}}\) half-cell under standard conditions.
Water in a beaker at a pressure of \(1.01 \times {10^5}{\text{ Pa}}\) and a temperature of 298 K will not spontaneously decompose. However, decomposition of water can be induced by means of electrolysis.
Define oxidation in terms of oxidation number.
Deduce the balanced chemical equation for the redox reaction of copper, Cu(s), with nitrate ions, \({\text{N}}{{\text{O}}^{3 - }}{\text{(aq)}}\), in acid, to produce copper(II) ions, \({\text{C}}{{\text{u}}^{2 + }}{\text{(aq)}}\), and nitrogen(IV) oxide, \({\text{N}}{{\text{O}}_{\text{2}}}{\text{(g)}}\).
Deduce the oxidizing and reducing agents in this reaction.
Oxidizing agent:
Reducing agent:
Describe the standard hydrogen electrode including a fully labelled diagram.
Define the term standard electrode potential, \({E^\Theta }\).
Deduce a balanced chemical equation, including state symbols, for the overall reaction which will occur spontaneously when the two half-cells are connected.
Draw a fully labelled diagram of the voltaic cell, showing the positive electrode (cathode), the negative electrode (anode) and the direction of electron movement through the external circuit.
Using Table 14 of the Data Booklet, calculate the cell potential, \(E_{{\text{cell}}}^\Theta \), in V, when the two half-cells are connected.
Deduce the sign of the standard free energy change, \(\Delta {G^\Theta }\), for any non-spontaneous reaction.
State why dilute sulfuric acid needs to be added in order for the current to flow in the electrolytic cell.
State why copper electrodes cannot be used in the electrolysis of water. Suggest instead suitable metallic electrodes for this electrolysis process.
Deduce the half-equations for the reactions occurring at the positive electrode (anode) and the negative electrode (cathode).
Positive electrode (anode):
Negative electrode (cathode):
Deduce the overall cell reaction, including state symbols.
Draw a fully labelled diagram of the electrolytic cell, showing the positive electrode (anode) and the negative electrode (cathode).
Comment on what is observed at both electrodes.
Two electrolytic cells are connected in series (the same current passes through each cell). One cell for the electrolysis of water produces 100 cm\(^3\) of oxygen, measured at 273 K and \(1.01 \times {10^5}{\text{ Pa}}\). The second cell contains molten lead(II) bromide, \({\text{PbB}}{{\text{r}}_{\text{2}}}\). Determine the mass, in g, of lead produced.
Markscheme
increase (in oxidation number);
\({\text{Cu(s)}} + {\text{2NO}}_3^ - {\text{(aq)}} + {\text{4}}{{\text{H}}^ + }{\text{(aq)}} \to {\text{C}}{{\text{u}}^{2 + }}{\text{(aq)}} + {\text{2N}}{{\text{O}}_2}{\text{(g)}} + {\text{2}}{{\text{H}}_2}{\text{O(l) /}}\)
\({\text{Cu(s)}} + {\text{2HN}}{{\text{O}}_3}{\text{(aq)}} + {\text{2}}{{\text{H}}^ + }{\text{(aq)}} \to {\text{C}}{{\text{u}}^{2 + }} + {\text{2N}}{{\text{O}}_2}{\text{(g)}} + {\text{2HO(l)}}\);
correct reactants and products;
fully balanced chemical equation;
Ignore state symbols.
M1 can be scored if there are unbalanced electrons in equation.
M2 can only be scored if M1 is correct.
M2 can be scored if there are balanced electrons on both sides of equation.
Oxidizing agent: \({\text{NO}}_{\text{3}}^ - \)/nitrate/\({\text{HN}}{{\text{O}}_{\text{3}}}\)/nitric acid and Reducing agent: Cu/copper;
Diagram showing gas, solution and solid electrode;
For example,
\({\text{1 mol}}\,{\text{d}}{{\text{m}}^{ - 3}}{\text{ }}{{\text{H}}^ + }\) (aq) and Pt;
Allow 1 mol L–1 or 1 M.
Allow 1 mol dm–3 HCl (aq) or other source of 1mol dm−3 H+(aq) ions.
100 kPa/10\(^5\) Pa/1 bar (H\(_2\) (g) pressure) and 298K / 25 °C;
Ignore state symbols throughout.
Allow 1.01×10\(^5\) Pa/1 atm.
potential of reduction half-reaction under standard conditions measured relative to standard hydrogen electrode/SHE / potential under standard conditions relative to standard hydrogen electrode/SHE;
Instead of standard conditions allow either solute concentration of 1 mol\(\,\)dm–3 or 100 kPa/105 Pa/1 bar (pressure) for gases (allow 1 atm).
Allow voltage/EMF instead of potential.
\({\text{C}}{{\text{u}}^{2 + }}{\text{(aq)}} + {{\text{H}}_2}{\text{(g)}} \to {\text{Cu(s)}} + {\text{2}}{{\text{H}}^ + }{\text{(aq)}}\)
reactants and products;
fully balanced chemical equation, including state symbols;
M2 cannot be scored if M1 is incorrect.
Voltaic cell showing:
Labelled positive electrode (cathode): Cu2+ /Cu and negative electrode (anode): Sn2+ /Sn;
Do not penalize if state symbols are not included (since given in question).
voltmeter and salt bridge;
Voltmeter can be labelled or drawn as a circle with a V.
Allow ammeter/A.
Salt bridge can be labelled, represented with drawing connecting the two half-cells, labelled as potassium nitrate or using its chemical formula (for example, KNO3) etc.
correct direction of electron movement from Sn to Cu in external circuit;
\(( + )0.48{\text{ (V)}}\);
positive;
provides ions (to carry current) / water poor conductor (of electricity);
Do not accept electrons instead of ions.
copper reacts so (nonreactive metal such as) Pt used;
Accept Ag, Au or any named metal less reactive than copper as electrode.
Do not accept Cu reacts with water or graphite as electrode.
Positive electrode (anode):
\({\text{2}}{{\text{H}}_2}{\text{O(l)}} \to {{\text{O}}_2}{\text{(g)}} + {\text{4}}{{\text{H}}^ + }{\text{(aq)}} + {\text{4}}{{\text{e}}^ - }{\text{ / 4O}}{{\text{H}}^ - }{\text{(aq)}} \to {{\text{O}}_2}{\text{(g)}} + {\text{2}}{{\text{H}}_2}{\text{O(l)}} + {\text{4}}{{\text{e}}^ - }\);
Negative electrode (cathode):
\({{\text{H}}^ + }{\text{(aq)}} + {{\text{e}}^ - } \to \frac{1}{2}{{\text{H}}_2}{\text{(g) / 4}}{{\text{H}}^ + }{\text{(aq)}} + {\text{4}}{{\text{e}}^ - } \to {\text{2}}{{\text{H}}_2}{\text{(g) / 2}}{{\text{H}}^ + }{\text{(aq)}} + {\text{2}}{{\text{e}}^ - } \to {{\text{H}}_2}{\text{ /}}\)
\({\text{2}}{{\text{H}}_2}{\text{O(l)}} + {\text{2}}{{\text{e}}^ - } \to {{\text{H}}_2}{\text{(g)}} + {\text{2O}}{{\text{H}}^ - }{\text{(aq) / }}{{\text{H}}_2}{\text{O(l)}} + {{\text{e}}^ - } \to \frac{1}{2}{{\text{H}}_2}{\text{(g)}} + {\text{O}}{{\text{H}}^ - }\);
Award [1 max] if M1 and M2 reversed.
Ignore state symbols.
Allow e instead of e–.
Do not penalize use of equilibrium sign instead of \( \to \).
Accept a multiple of the equations.
\({\text{2}}{{\text{H}}_2}{\text{O(l)}} \to {\text{2}}{{\text{H}}_2}{\text{(g)}} + {{\text{O}}_2}{\text{(g) / }}{{\text{H}}_2}{\text{O(l)}} \to {{\text{H}}_2}{\text{(g)}} + \frac{1}{2}{{\text{O}}_2}{\text{(g)}}\);
State symbols required as asked for in question.
Do not penalize use of equilibrium sign instead of \( \to \).
Do not accept any multiple of 2H+(aq) + 2OH–(aq) \( \to \) 2H2(g) + O2(g).

electrolytic cell showing solid electrodes immersed in solution;
positive electrode (anode) connected to positive terminal of battery and
negative electrode (cathode) to negative terminal;
Allow graphite or metal given in e(iii) as electrodes.
bubbles /gas produced;
Do not accept hydrogen is formed at cathode and oxygen formed at anode.
\(n({{\text{O}}_2}){\text{ }}\left( { = \left( {\frac{{100}}{{22.4 \times 1000}}} \right)} \right) = 4.46 \times {10^{ - 3}}{\text{ (mol)}}\);
\(m{\text{ }}\left( { = (4.46 \times {{10}^{ - 3}} \times 2 \times 207.19)} \right) = 1.85{\text{ (g)}}\);
OR
\(n({{\text{O}}_2}){\text{ }}\left( { = \frac{{{\text{PV}}}}{{{\text{RT}}}}} \right) = 4.45 \times {10^{ - 3}}{\text{ (mol)}}\);
\(m{\text{ }}( = 4.45 \times {10^{ - 3}} \times 2 \times 207.19) = 1.84{\text{ (g)}}\);
Examiners report
Many made mistakes in writing a balanced equation for the reaction between Cu and HNO3, in drawing a diagram for a hydrogen electrode, in writing a definition of ‘standard electrode potential’. Most could draw a labeled diagram for an electrochemical cell. Many mistakes were made in writing balanced equations for reactions at the electrodes and overall equation for the electrolysis of water.
Many made mistakes in writing a balanced equation for the reaction between Cu and HNO3, in drawing a diagram for a hydrogen electrode, in writing a definition of ‘standard electrode potential’. Most could draw a labeled diagram for an electrochemical cell. Many mistakes were made in writing balanced equations for reactions at the electrodes and overall equation for the electrolysis of water.
Many made mistakes in writing a balanced equation for the reaction between Cu and HNO3, in drawing a diagram for a hydrogen electrode, in writing a definition of ‘standard electrode potential’. Most could draw a labeled diagram for an electrochemical cell. Many mistakes were made in writing balanced equations for reactions at the electrodes and overall equation for the electrolysis of water.
Many made mistakes in writing a balanced equation for the reaction between Cu and HNO3, in drawing a diagram for a hydrogen electrode, in writing a definition of ‘standard electrode potential’. Most could draw a labeled diagram for an electrochemical cell. Many mistakes were made in writing balanced equations for reactions at the electrodes and overall equation for the electrolysis of water.
Many made mistakes in writing a balanced equation for the reaction between Cu and HNO3, in drawing a diagram for a hydrogen electrode, in writing a definition of ‘standard electrode potential’. Most could draw a labeled diagram for an electrochemical cell. Many mistakes were made in writing balanced equations for reactions at the electrodes and overall equation for the electrolysis of water.
Many made mistakes in writing a balanced equation for the reaction between Cu and HNO3, in drawing a diagram for a hydrogen electrode, in writing a definition of ‘standard electrode potential’. Most could draw a labeled diagram for an electrochemical cell. Many mistakes were made in writing balanced equations for reactions at the electrodes and overall equation for the electrolysis of water.
Many made mistakes in writing a balanced equation for the reaction between Cu and HNO3, in drawing a diagram for a hydrogen electrode, in writing a definition of ‘standard electrode potential’. Most could draw a labeled diagram for an electrochemical cell. Many mistakes were made in writing balanced equations for reactions at the electrodes and overall equation for the electrolysis of water.
Many made mistakes in writing a balanced equation for the reaction between Cu and HNO3, in drawing a diagram for a hydrogen electrode, in writing a definition of ‘standard electrode potential’. Most could draw a labeled diagram for an electrochemical cell. Many mistakes were made in writing balanced equations for reactions at the electrodes and overall equation for the electrolysis of water.
Many made mistakes in writing a balanced equation for the reaction between Cu and HNO3, in drawing a diagram for a hydrogen electrode, in writing a definition of ‘standard electrode potential’. Most could draw a labeled diagram for an electrochemical cell. Many mistakes were made in writing balanced equations for reactions at the electrodes and overall equation for the electrolysis of water.
Many made mistakes in writing a balanced equation for the reaction between Cu and HNO3, in drawing a diagram for a hydrogen electrode, in writing a definition of ‘standard electrode potential’. Most could draw a labeled diagram for an electrochemical cell. Many mistakes were made in writing balanced equations for reactions at the electrodes and overall equation for the electrolysis of water.
Many made mistakes in writing a balanced equation for the reaction between Cu and HNO3, in drawing a diagram for a hydrogen electrode, in writing a definition of ‘standard electrode potential’. Most could draw a labeled diagram for an electrochemical cell. Many mistakes were made in writing balanced equations for reactions at the electrodes and overall equation for the electrolysis of water.
Many made mistakes in writing a balanced equation for the reaction between Cu and HNO3, in drawing a diagram for a hydrogen electrode, in writing a definition of ‘standard electrode potential’. Most could draw a labeled diagram for an electrochemical cell. Many mistakes were made in writing balanced equations for reactions at the electrodes and overall equation for the electrolysis of water.
Many made mistakes in writing a balanced equation for the reaction between Cu and HNO3, in drawing a diagram for a hydrogen electrode, in writing a definition of ‘standard electrode potential’. Most could draw a labeled diagram for an electrochemical cell. Many mistakes were made in writing balanced equations for reactions at the electrodes and overall equation for the electrolysis of water.
Many made mistakes in writing a balanced equation for the reaction between Cu and HNO3, in drawing a diagram for a hydrogen electrode, in writing a definition of ‘standard electrode potential’. Most could draw a labeled diagram for an electrochemical cell. Many mistakes were made in writing balanced equations for reactions at the electrodes and overall equation for the electrolysis of water.
Many made mistakes in writing a balanced equation for the reaction between Cu and HNO3, in drawing a diagram for a hydrogen electrode, in writing a definition of ‘standard electrode potential’. Most could draw a labeled diagram for an electrochemical cell. Many mistakes were made in writing balanced equations for reactions at the electrodes and overall equation for the electrolysis of water.
Many made mistakes in writing a balanced equation for the reaction between Cu and HNO3, in drawing a diagram for a hydrogen electrode, in writing a definition of ‘standard electrode potential’. Most could draw a labeled diagram for an electrochemical cell. Many mistakes were made in writing balanced equations for reactions at the electrodes and overall equation for the electrolysis of water.
In December 2010, researchers in Sweden announced the synthesis of N,N–dinitronitramide, \({\text{N(N}}{{\text{O}}_{\text{2}}}{{\text{)}}_{\text{3}}}\). They speculated that this compound, more commonly called trinitramide, may have significant potential as an environmentally friendly rocket fuel oxidant.
Methanol reacts with trinitramide to form nitrogen, carbon dioxide and water. Deduce the coefficients required to balance the equation for this reaction.
___ \({\text{N(N}}{{\text{O}}_2}{{\text{)}}_3}{\text{(g)}} + \) ___ \({\text{C}}{{\text{H}}_3}{\text{OH(l)}} \to \) ___ \({{\text{N}}_2}{\text{(g)}} + \) ___ \({\text{C}}{{\text{O}}_2}{\text{(g)}} + \) ___ \({{\text{H}}_2}{\text{O(l)}}\)
Calculate the enthalpy change, in \({\text{kJ}}\,{\text{mo}}{{\text{l}}^{ - 1}}\), when one mole of trinitramide decomposes to its elements, using bond enthalpy data from Table 10 of the Data Booklet. Assume that all the N–O bonds in this molecule have a bond enthalpy of \({\text{305 kJ}}\,{\text{mo}}{{\text{l}}^{ - 1}}\).
The entropy change, \(\Delta S\), for the decomposition of trinitramide has been estimated as \( + 700{\text{ J}}\,{{\text{K}}^{ - 1}}{\text{mo}}{{\text{l}}^{ - 1}}\). Comment on the sign of \(\Delta S\).
Using \( + 700{\text{ J}}\,{{\text{K}}^{ - 1}}{\text{mo}}{{\text{l}}^{ - 1}}\) as the value for the entropy change, along with your answer to part (c), calculate \(\Delta G\), in \({\text{kJ}}\,{\text{mo}}{{\text{l}}^{ - 1}}\), for this reaction at 300 K. (If you did not obtain an answer for part (c), then use the value \( - 1000{\text{ kJ}}\,{\text{mo}}{{\text{l}}^{ - 1}}\), but this is not the correct value.)
Explain how changing the temperature will affect whether or not the decomposition of trinitramide is spontaneous.
Outline how the length of the N–N bond in trinitramide compares with the N–N bond in nitrogen gas, \({{\text{N}}_{\text{2}}}\).
Deduce the N–N–N bond angle in trinitramide and explain your reasoning.
Predict, with an explanation, the polarity of the trinitramide molecule.
Markscheme
\(\underline {{\text{ (1) }}} {\text{N(N}}{{\text{O}}_2}{{\text{)}}_3}{\text{(g)}} + \underline {{\text{ 2 }}} {\text{C}}{{\text{H}}_3}{\text{OH(l)}} \to \underline {{\text{ 2 }}} {{\text{N}}_2}{\text{(g)}} + \underline {{\text{ 2 }}} {\text{C}}{{\text{O}}_2}{\text{(g)}} + \underline {{\text{ 4 }}} {{\text{H}}_2}{\text{O(l)}}\);
bonds broken: \((6 \times 305) + (3 \times 158) = 1830 + 474 = 2304{\text{ (kJ}}\,{\text{mo}}{{\text{l}}^{ - 1}})\);
bonds made: \((2 \times 945) + (3 \times 498) = 1890 + 1494 = 3384{\text{ }}({\text{kJ}}\,{\text{mo}}{{\text{l}}^{ - 1}})\);
enthalpy change: \(2304 - 3384 = - 1080{\text{ }}({\text{kJ}}\,{\text{mo}}{{\text{l}}^{ - 1}})\);
Award [3] for correct final answer.
Award [2 max] for +1080 (kJ mol–1).
Accept –234 kJ mol–1 which arise from students assuming that 305 kJ mol–1 refers to the strength of a single N–O bond. Students may then take N=O from the data book value (587 kJ mol–1).
bonds broken: (3 \( \times \) 305) + (3 \( \times \) 587) + (3 \( \times \) 158) = 915 + 1761 + 474 = 3150 (kJ mol–1)
bonds made: (2 \( \times \) 945) + (3 \( \times \) 498) = 1890 + 1494 = 3384(kJ mol–1)
enthalpy change: 3150 – 3384 = –234(kJ mol–1).
Award [2 max] for correct calculation of the enthalpy change of reaction for the equation in part (a), which gives –2160 (kJ mol–1).
Award [1] if the final answer is not –2160 but the candidate has correctly calculated the bonds broken in trinitramide as 2304 (kJ mol–1).
increase in the number of moles of gas;
gases have a greater entropy/degree of randomness (than liquids or solids);
Award [1 max] for answers stating that positive value indicates an increase in disorder/randomness.
\(\Delta G = \Delta H - T \times \Delta S\);
\( = - 1080 - 300 \times \frac{{700}}{{1000}}\);
\( - 1290{\text{ }}({\text{kJ}}\,{\text{mo}}{{\text{l}}^{ - 1}})\);
Award [3] for correct final answer.
Award [2 max] for incorrect conversions of units.
If no answer to part (c), using \(\Delta H\) = –1000 kJ mol–1, gives –1020 (kJ mol–1).
no change in spontaneity / temp has no effect on spontaneity / spontaneous at all temperatures;
\(\Delta G\) negative at all temperatures / exothermic/\(\Delta H\) negative and involves an increase in entropy/\(\Delta S\) positive;
(N–N bond in) trinitramide is longer/nitrogen (gas) is shorter / 0.145 nm in trinitramide versus 0.110 nm in nitrogen;
trinitramide has single (N–N) bond and nitrogen (gas) has triple bond;
106° – 108°;
Accept < 109°.
Any two for [2 max].
4 (negative) charge centres/electron pairs/electron domains around central nitrogen;
central nitrogen has a lone/non-bonding pair;
lone/non-bonding pairs repel more than bonding pairs;
molecule will be (trigonal/triangular) pyramidal;
(negative) charge centres/electron pairs/electron domains will be tetrahedrally arranged/orientated/ have tetrahedral geometry;
Do not apply ECF.
polar;
net dipole moment present in molecule / unsymmetrical distribution of charge / polar bonds do not cancel out / centre of negatively charged oxygen atoms does not coincide with positively charged nitrogen atom;
Marks may also be awarded for a suitably presented diagram showing net dipole moment.
Do not accept “unsymmetrical molecule”.
Apply ECF from part (h).
Examiners report
Most students could insert the coefficients to balance the equation provided and many recognized the benign nature of the products formed. Though the structure of trinitramide was not given this did not seem to hinder students in calculating the required enthalpy change. A worryingly high number of students however used bond enthalpies to calculate the enthalpy change in the part (a) equation rather than the much simpler decomposition asked for, so to allow them to gain some credit, the mark scheme was adjusted. The sections relating to entropy and free energy changes were generally well tackled, as was the comparative lengths of the N-N bonds. Predicting the shape and polarity of the trinitramide molecule often proved more difficult, especially explaining the polarity of the molecule. Explanations of the effect of external pressure on boiling point, in terms of vapour pressure, and of the effect of temperature, in terms of kinetic theory, often lacked clarity.
Most students could insert the coefficients to balance the equation provided and many recognized the benign nature of the products formed. Though the structure of trinitramide was not given this did not seem to hinder students in calculating the required enthalpy change. A worryingly high number of students however used bond enthalpies to calculate the enthalpy change in the part (a) equation rather than the much simpler decomposition asked for, so to allow them to gain some credit, the mark scheme was adjusted. The sections relating to entropy and free energy changes were generally well tackled, as was the comparative lengths of the N-N bonds. Predicting the shape and polarity of the trinitramide molecule often proved more difficult, especially explaining the polarity of the molecule. Explanations of the effect of external pressure on boiling point, in terms of vapour pressure, and of the effect of temperature, in terms of kinetic theory, often lacked clarity.
Most students could insert the coefficients to balance the equation provided and many recognized the benign nature of the products formed. Though the structure of trinitramide was not given this did not seem to hinder students in calculating the required enthalpy change. A worryingly high number of students however used bond enthalpies to calculate the enthalpy change in the part (a) equation rather than the much simpler decomposition asked for, so to allow them to gain some credit, the mark scheme was adjusted. The sections relating to entropy and free energy changes were generally well tackled, as was the comparative lengths of the N-N bonds. Predicting the shape and polarity of the trinitramide molecule often proved more difficult, especially explaining the polarity of the molecule. Explanations of the effect of external pressure on boiling point, in terms of vapour pressure, and of the effect of temperature, in terms of kinetic theory, often lacked clarity.
Most students could insert the coefficients to balance the equation provided and many recognized the benign nature of the products formed. Though the structure of trinitramide was not given this did not seem to hinder students in calculating the required enthalpy change. A worryingly high number of students however used bond enthalpies to calculate the enthalpy change in the part (a) equation rather than the much simpler decomposition asked for, so to allow them to gain some credit, the mark scheme was adjusted. The sections relating to entropy and free energy changes were generally well tackled, as was the comparative lengths of the N-N bonds. Predicting the shape and polarity of the trinitramide molecule often proved more difficult, especially explaining the polarity of the molecule. Explanations of the effect of external pressure on boiling point, in terms of vapour pressure, and of the effect of temperature, in terms of kinetic theory, often lacked clarity.
Most students could insert the coefficients to balance the equation provided and many recognized the benign nature of the products formed. Though the structure of trinitramide was not given this did not seem to hinder students in calculating the required enthalpy change. A worryingly high number of students however used bond enthalpies to calculate the enthalpy change in the part (a) equation rather than the much simpler decomposition asked for, so to allow them to gain some credit, the mark scheme was adjusted. The sections relating to entropy and free energy changes were generally well tackled, as was the comparative lengths of the N-N bonds. Predicting the shape and polarity of the trinitramide molecule often proved more difficult, especially explaining the polarity of the molecule. Explanations of the effect of external pressure on boiling point, in terms of vapour pressure, and of the effect of temperature, in terms of kinetic theory, often lacked clarity.
Most students could insert the coefficients to balance the equation provided and many recognized the benign nature of the products formed. Though the structure of trinitramide was not given this did not seem to hinder students in calculating the required enthalpy change. A worryingly high number of students however used bond enthalpies to calculate the enthalpy change in the part (a) equation rather than the much simpler decomposition asked for, so to allow them to gain some credit, the mark scheme was adjusted. The sections relating to entropy and free energy changes were generally well tackled, as was the comparative lengths of the N-N bonds. Predicting the shape and polarity of the trinitramide molecule often proved more difficult, especially explaining the polarity of the molecule. Explanations of the effect of external pressure on boiling point, in terms of vapour pressure, and of the effect of temperature, in terms of kinetic theory, often lacked clarity.
Most students could insert the coefficients to balance the equation provided and many recognized the benign nature of the products formed. Though the structure of trinitramide was not given this did not seem to hinder students in calculating the required enthalpy change. A worryingly high number of students however used bond enthalpies to calculate the enthalpy change in the part (a) equation rather than the much simpler decomposition asked for, so to allow them to gain some credit, the mark scheme was adjusted. The sections relating to entropy and free energy changes were generally well tackled, as was the comparative lengths of the N-N bonds. Predicting the shape and polarity of the trinitramide molecule often proved more difficult, especially explaining the polarity of the molecule. Explanations of the effect of external pressure on boiling point, in terms of vapour pressure, and of the effect of temperature, in terms of kinetic theory, often lacked clarity.
Most students could insert the coefficients to balance the equation provided and many recognized the benign nature of the products formed. Though the structure of trinitramide was not given this did not seem to hinder students in calculating the required enthalpy change. A worryingly high number of students however used bond enthalpies to calculate the enthalpy change in the part (a) equation rather than the much simpler decomposition asked for, so to allow them to gain some credit, the mark scheme was adjusted. The sections relating to entropy and free energy changes were generally well tackled, as was the comparative lengths of the N-N bonds. Predicting the shape and polarity of the trinitramide molecule often proved more difficult, especially explaining the polarity of the molecule. Explanations of the effect of external pressure on boiling point, in terms of vapour pressure, and of the effect of temperature, in terms of kinetic theory, often lacked clarity.
A sample of magnesium contains three isotopes: magnesium-24, magnesium-25 and magnesium-26, with abundances of 77.44%, 10.00% and 12.56% respectively.
A graph of the successive ionization energies of magnesium is shown below.

The graph below shows pressure and volume data collected for a sample of carbon dioxide gas at 330 K.

(i) Calculate the relative atomic mass of this sample of magnesium correct to two decimal places.
(ii) Predict the relative atomic radii of the three magnesium isotopes, giving your reasons.
(i) Explain the increase in ionization energy values from the 3rd to the 8th electrons.
(ii) Explain the sharp increase in ionization energy values between the 10th and 11th electrons.
(i) Magnesium reacts with oxygen to form an ionic compound, magnesium oxide. Describe how the ions are formed, and the structure and bonding in magnesium oxide.
(ii) Carbon reacts with oxygen to form a covalent compound, carbon dioxide. Describe what is meant by a covalent bond.
(iii) State why magnesium and oxygen form an ionic compound while carbon and oxygen form a covalent compound.
(i) Predict the type of hybridization of the carbon and oxygen atoms in \({\text{C}}{{\text{O}}_{\text{2}}}\).
(ii) Sketch the orbitals of an oxygen atom in \({\text{C}}{{\text{O}}_{\text{2}}}\) on the energy level diagram provided, including the electrons that occupy each orbital.

(iii) Define the term electronegativity.
(iv) Explain why oxygen has a larger electronegativity than carbon.
(i) Draw a best-fit curve for the data on the graph.
(ii) Use the data point labelled X to determine the amount, in mol, of carbon dioxide gas in the sample.
(i) Most indicators are weak acids. Describe qualitatively how indicators work.
(ii) Identify a suitable indicator for a titration between a weak acid and a strong base, using Table 16 of the Data Booklet.
Markscheme
(i) \(\left( {\frac{{(77.44 \times 24) + (10.00 \times 25) + (12.56 \times 26)}}{{100}}} \right)\);
24.35;
Award [2] for correct final answer.
Two decimal places are required for M2.
Do not award any marks for 24.31 without showing method (as the value can be copied from the Data Booklet).
(ii) same atomic radii / 160 pm;
isotopes only differ by number of neutrons/size of nucleus / radius determined by electron shells and number of protons / OWTTE;
Accept neutrons do not affect distance of electrons / OWTTE.
(i) decreasing repulsion between electrons / radius decreases as electrons are removed;
Accept increasing positive charge on ion attracts electrons more strongly.
(ii) 10th electron is in second energy level/shell while 11th electron is in first energy level/shell / 10th is removing electron from electronic arrangement 2,1 while 11th ionization energy is removing electron from electronic arrangement 2;
11th electron removed is much closer to the nucleus / 11th electron removed from a (much) lower energy level/shell;
Accept opposite statement for 10th electron.
(i) magnesium (atom) gives two electrons to oxygen (atom) / oxygen (atom) takes two electrons from magnesium (atom) / magnesium (atom) loses two electrons and oxygen (atom) gains two electrons;
3-dimensional/3-D arrangement of ions / lattice of ions;
(electrostatic) attraction between oppositely charged ions/\({\text{M}}{{\text{g}}^{2 + }}\) and \({{\text{O}}^{2 - }}\);
(ii) electrostatic attraction between a pair of electrons and (positively charged) nuclei;
Accept a/two pairs of shared electrons.
(iii) difference in electronegativity is larger between Mg and O/smaller between C and O;
Accept reference to a numerical value of difference in electronegativity such as above and below 1.80.
(i) C: sp hybridization;
O: \({\text{s}}{{\text{p}}^{\text{2}}}\) hybridization;
Award [1] if the answer is sp without specifying C or O atoms.
(ii) 
three \({\text{s}}{{\text{p}}^{\text{2}}}\) orbitals and one p-orbital at higher energy;
\({\text{s}}{{\text{p}}^{\text{2}}}\) orbitals contain: two, two and one electron and p-orbital contains one electron;
Do not allow ECF from (d)(i).
(iii) ability of atom/nucleus to attract bonding/shared pair of electrons / attraction of nucleus for bonding/shared pair of electrons / OWTTE;
(iv) (same number of shells but) increase in nuclear charge/atomic number/number of protons increases electronegativity / O has more protons than C;
Accept oxygen has a higher effective nuclear charge.
decrease in radius along the period increases electronegativity / O has smaller radius than C;
(i) smooth curve through the data;
Do not accept a curve that passes through all of the points or an answer that joins the points using lines.
(ii) \(p = 21 \times {10^5}/2.1 \times {10^6}{\text{ (Pa)}}/2.1 \times {10^3}{\text{ (kPa)}}\) and
\(V = 50 \times {10^{ - 6}}/5.0 \times {10^{ - 5}}{\text{ }}({{\text{m}}^3})/5.0 \times {10^{ - 2}}{\text{ }}({\text{d}}{{\text{m}}^3})\);
\(\left( {n = \frac{{pV}}{{RT}}} \right)\frac{{2.1 \times {{10}^6} \times 5.0 \times {{10}^{ - 5}}}}{{8.31 \times 330}}\);
\(n = 0.038{\text{ (mol)}}\);
Award [3] for correct final answer.
For M3 apply ECF for correct computation of the equation the student has written, unless more than one mistake is made prior this point.
(i) equilibrium between HIn and \({\text{I}}{{\text{n}}^ - }/{\text{HIn}} \rightleftharpoons {\text{I}}{{\text{n}}^ - } + {{\text{H}}^ + }\);
the colours of HIn and \({\text{I}}{{\text{n}}^ - }\) are different;
if added to acid, the equilibrium shifts to the left and the colour of HIn is seen / OWTTE;
if added to base/alkali, the equilibrium shifts to the right and the colour of \({\text{I}}{{\text{n}}^ - }\) is seen / OWTTE;
(ii) phenolphthalein;
Accept phenol red.
Examiners report
(i) Most candidates were able to calculate the relative atomic mass to the correct number of decimal places.
(ii) Only strong candidates were able to predict the same radius for the isotopes and gave correct reasoning. However, the majority of candidates predicted that a larger number of neutrons resulted is a smaller radius, reflecting a poor understanding of atomic structure.
(i) Very few candidates were able to explain the increase in successive ionization energies for electrons removed from the same sub-shell. Many candidates gave incorrect reasoning.
(ii) The increase between the 10th and 11th ionization energies of magnesium was explained correctly by about half of the candidates. Few candidates scored the first mark by identifying the correct shells or sub-shells the electrons are removed from.
(i) Well answered by many candidates. A few candidates were confusing ionic with covalent bonding, and some referred to a linear MgO molecule in an ionic lattice.
(ii) Few candidates were able to describe the covalent bond precisely. Those who didn’t score usually didn’t make any reference to pairs of electrons.
(iii) Many candidates obtained this mark with satisfactory arguments. It was disappointing to see the abundance of answers based on “is a metal with a non-metal” or “both are non-metals”.
(i) A few candidates identified sp hybridization based on a linear structure. Only the strongest candidates were able to give the correct hybridization for oxygen as well.
(ii) This was the most challenging question on the paper. It was rare to see a correct answer. It seems candidates did not have a good understanding of hybridization.
(iii) Less than half the candidates were able to define electronegativity precisely. Many candidates did not relate it to the pair of electrons in a covalent bond, and simply talked about attracting electrons, which was not sufficient for the mark.
(iv) Many candidates gained the first mark by stating that oxygen has more protons than carbon. But very few candidates identified the second factor, which is the smaller radius of oxygen.
(i) More than half of the candidates drew a smooth curve that was central to the data points. Errors included straight lines, curves joining all data points, or a curve that was not central to the points.
(ii) A very well answered question. Some candidates converted the units of p and V incorrectly and others did not read the scales of the graph correctly.
(i) Many candidates could explain the behaviour of indicators, but there were also some poor answers that did not acknowledge the importance of equilibrium in the action of an indicator.
(ii) Most candidates suggested a suitable indicator.
The electron configuration of chromium can be expressed as \({\text{[Ar]4}}{{\text{s}}^{\text{x}}}{\text{3}}{{\text{d}}^{\text{y}}}\).
Hydrogen and nitrogen(II) oxide react according to the following equation.
\[2{{\text{H}}_2}{\text{(g)}} + {\text{2NO(g)}} \rightleftharpoons {{\text{N}}_2}{\text{(g)}} + {\text{2}}{{\text{H}}_2}{\text{O(g)}}\]
At time = \(t\) seconds, the rate of the reaction is
\[{\text{rate}} = k{\text{[}}{{\text{H}}_2}{\text{(g)][NO(g)}}{{\text{]}}^2}\]
When concentrated hydrochloric acid is added to a solution containing hydrated copper(II) ions, the colour of the solution changes from light blue to green. The equation for the reaction is:
\[{{\text{[Cu(}}{{\text{H}}_2}{\text{O}}{{\text{)}}_6}{\text{]}}^{2 + }}{\text{(aq)}} + {\text{4C}}{{\text{l}}^ - }{\text{(aq)}} \to {{\text{[CuC}}{{\text{l}}_4}{\text{]}}^{2 - }}{\text{(aq)}} + {\text{6}}{{\text{H}}_2}{\text{O(l)}}\]
Explain what the square brackets around argon, [Ar], represent.
State the values of \(x\) and \(y\).
Annotate the diagram below showing the 4s and 3d orbitals for a chromium atom using an arrow,
and
, to represent a spinning electron.

Explain precisely what the square brackets around nitrogen(II) oxide, [NO(g)], represent in this context.
Deduce the units for the rate constant \(k\).
Explain what the square brackets around the copper containing species represent.
Explain why the \({{\text{[Cu(}}{{\text{H}}_{\text{2}}}{\text{O}}{{\text{)}}_{\text{6}}}{\text{]}}^{2 + }}\) ion is coloured and why the \({{\text{[CuC}}{{\text{l}}_{\text{4}}}{\text{]}}^{2 - }}\) ion has a different colour.
Some words used in chemistry can have a specific meaning which is different to their meaning in everyday English.
State what the term spontaneous means when used in a chemistry context.
Markscheme
the electron configuration (of argon) / \({\text{1}}{{\text{s}}^{\text{2}}}{\text{2}}{{\text{s}}^{\text{2}}}{\text{2}}{{\text{p}}^{\text{6}}}{\text{3}}{{\text{s}}^{\text{2}}}{\text{3}}{{\text{p}}^{\text{6}}}\);
\(x = 1\) and \(y = 5\);

Accept all six arrows pointing down rather than up.
the concentration (of nitrogen(II) oxide);
Award [0] if reference made to equilibrium.
\({\text{mo}}{{\text{l}}^{ - 2}}{\text{d}}{{\text{m}}^{\text{6}}}{{\text{s}}^{ - 1}}/{\text{d}}{{\text{m}}^{\text{6}}}{\text{mo}}{{\text{l}}^{ - 2}}{{\text{s}}^{ - 1}}\);
Accept (mol–1 dm3)2s–1.
complex (ion) / the charge is delocalized over all that is contained in the brackets;
colour is due to energy being absorbed when electrons are promoted within the split d orbitals;
the colour observed is the complementary colour to the energy absorbed / OWTTE;
Accept either answer for first mark.
changing the ligand / coordination number / geometry changes the amount the d orbitals are split/energy difference between the d orbitals / OWTTE;
the reaction gives out (Gibbs Free) energy that can do work;
\(\Delta G\) for the reaction has a negative value;
a reaction that occurs without adding energy (beyond that required to overcome energy barrier);
Examiners report
Most candidates were familiar with the use of square brackets to represent noble gas electron configurations and concentrations in rate expressions and it was encouraging to see candidates give a correct orbital diagram with the d electrons unpaired.
A significant number of students were unaware of the exceptional nature of the electron configuration for chromium.
A significant number of students were unaware of the exceptional nature of the electron configuration for chromium, but were able to gain the mark in (a) (iii) with ecf.
The understanding of the use of square bracket to represent complex ions was limited.
Many candidates omitted the \({{\text{s}}^{ - 1}}\) in the units for the rate constant.
(c) (ii) proved to be more challenging with many candidates mixing up sub-shells with orbitals and absorption with emission spectra.
Many candidates were familiar with the use of the term spontaneous when used in a chemical context.
Geometrical isomerism and optical isomerism are two sub-groups of stereoisomerism in organic chemistry.
Compound P has the following three-dimensional structure. P also has geometrical isomers.

Menthol can be used in cough medicines. The compound contains C, H and O only.
Describe what is meant by the term stereoisomers.
Geometrical isomers have different physical properties and many drugs, such as doxepin (which has antidepressant properties), have geometrical isomers.

For each of the carbon atoms labelled 1 and 2 in doxepin, deduce the type of hybridization involved (sp, sp2 or sp3).
1:
2:
Clomifene, a fertility drug, whose three-dimensional structure is represented below, also has geometrical isomers.

Identify the name of one functional group present in clomifene.
Draw any two other isomers of P.
Apply IUPAC rules to state the names of all the straight-chain isomers of compounds of molecular formula C4H8 (including P).
State the structural formula of the organic products, Q, R, S and T, formed in the following reactions.

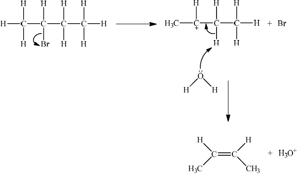
Suggest one suitable mechanism for the reaction of Q with aqueous sodium hydroxide to form T, using curly arrows to represent the movement of electron pairs.
State the structural formula of the organic product formed, U, when R is heated under reflux with acidified potassium dichromate(VI).
Apply IUPAC rules to state the name of this product, U.
When a \(6.234 \times {10^{ - 2}}{\text{ g}}\) of the compound was combusted, \(1.755 \times {10^{ - 1}}{\text{ g}}\) of carbon dioxide and \(7.187 \times {10^{ - 2}}{\text{ g}}\) of water were produced. Determine the molecular formula of the compound showing your working, given that its molar mass is \(M = 156.30{\text{ g}}\,{\text{mo}}{{\text{l}}^{ - 1}}\).
Menthol occurs naturally and has several isomers. State the structural feature of menthol which is responsible for it having enantiomers.
State the instrument used to distinguish between each of the two enantiomers, and how they could be distinguished using this instrument.
Compare the physical and chemical properties of enantiomers.
Physical properties:
Chemical properties:
Markscheme
compounds with same structural formula but different arrangements of atoms in space;
Award [1] if correct description of geometric and optical isomers given.
1: sp2 and 2: sp3;
amine;
benzene ring;
Allow phenyl (group).
Do not allow just benzene.
alkene / chloroalkene;
chloro;
ether / phenyl ether;
Ethers not required as per guide but allow if given.

trans-but-2-ene and cis-but-2-ene;
Allow trans 2-butene and cis 2-butene.
Do not accept just 2-butene or 2-butene.
but-1-ene;
Allow 1-butene.
Q: \({\text{C}}{{\text{H}}_3}{\text{CHBrC}}{{\text{H}}_2}{\text{C}}{{\text{H}}_3}\);
R: \({\text{C}}{{\text{H}}_3}{\text{CH(OH)C}}{{\text{H}}_2}{\text{C}}{{\text{H}}_3}\);
S: \({\text{C}}{{\text{H}}_3}{\text{CHBrCHBrC}}{{\text{H}}_3}\);
T: \({\text{C}}{{\text{H}}_3}{\text{CH(OH)C}}{{\text{H}}_2}{\text{C}}{{\text{H}}_3}\);
Condensed or full structural formulas may be given.
Since secondary bromoalkane could be either SN1 and SN2 so allow SN1 or SN2 for M1 –M4.
SN1:

curly arrow showing Br leaving;
Do not allow arrow originating from C to C–Br bond.
representation of secondary carbocation;
curly arrow going from lone pair/negative charge on O in \({\text{H}}{{\text{O}}^ - }\) to \({{\text{C}}^ + }\);
Do not allow arrow originating on H in OH–.
formation of \({\text{C}}{{\text{H}}_3}{\text{CH(OH)C}}{{\text{H}}_2}{\text{C}}{{\text{H}}_3}\) and \({\text{B}}{{\text{r}}^ - }\);
Allow formation of NaBr instead of Br–.
OR
SN2:
curly arrow going from lone pair/negative charge on O in \({\text{H}}{{\text{O}}^ - }\) to C;
Do not allow curly arrow originating on H in OH–.
curly arrow showing Br leaving;
Accept curly arrow either going from bond between C and Br to Br in 2-bromobutane or in the transition state.
Do not allow arrow originating from C to C–Br bond.
representation of transition state showing negative charge, square brackets and partial bonds;
Do not penalize if HO and Br are not at 180° to each other.
Do not award M3 if OH—C bond is represented.
formation of \({\text{C}}{{\text{H}}_3}{\text{CH(OH)C}}{{\text{H}}_2}{\text{C}}{{\text{H}}_3}\) and \({\text{B}}{{\text{r}}^ - }\);
Allow formation of NaBr instead of Br–.
\({{\text{H}}_3}{\text{CCOC}}{{\text{H}}_2}{\text{C}}{{\text{H}}_3}\);
Condensed or full structural formula may be given.
butan-2-one;
Allow 2-butanone or butanone.
Accept butan-2-one if (v) is incorrect but also apply ECF.
\({m_{\text{C}}}:(1.755 \times {10^{ - 1}} \times 12.01)/(44.01) = 4.790 \times {10^{ - 2}}{\text{ g}}\) and
\({m_{\text{H}}}:(7.187 \times {10^{ - 2}} \times 2 \times 1.01)/(18.02) = 8.056 \times {10^{ - 3}}{\text{ g}}\);
\({m_{\text{O}}}:(6.234 \times {10^{ - 2}} - 8.056 \times {10^{ - 3}} - 4.790 \times {10^{ - 2}}) = 6.384 \times {10^{ - 3}}{\text{ g}}\);
\(({n_{\text{C}}} = 3.988 \times {10^{ - 3}}\) and \({n_{\text{H}}} = 2 \times 3.988 \times {10^{ - 3}}\) and \({n_{\text{O}}} = 3.988 \times {10^{ - 3}}\) hence empirical formula \( = {\text{) }}{{\text{C}}_{10}}{{\text{H}}_{20}}{\text{O}}\);
\(\left( {M{\text{(}}{{\text{C}}_{10}}{{\text{H}}_{20}}{\text{O)}} = 156.30{\text{ (g}}\,{\text{mo}}{{\text{l}}^{ - 1}}{\text{), therefore molecular formula}} = } \right){\text{ }}{{\text{C}}_{10}}{{\text{H}}_{20}}{\text{O}}\);
OR
\({n_{{\text{C}}{{\text{O}}_2}}} = \left( {\frac{{1.755 \times {{10}^{ - 1}}}}{{44.01}}} \right) = 3.988 \times {10^{ - 3}}\) and \({n_{{{\text{H}}_2}{\text{O}}}} = \left( {\frac{{7.187 \times {{10}^{ - 1}}}}{{18.02}}} \right) = 3.988 \times {10^{ - 3}}\);
\({m_{\text{O}}}:(6.234 \times {10^{ - 2}} - 8.056 \times {10^{ - 3}} - 4.790 \times {10^{ - 2}}) = 6.384 \times {10^{ - 3}}{\text{ g}}\);
\(({n_{\text{C}}} = 3.988 \times {10^{ - 3}}\) and \({n_{\text{H}}} = 2 \times 3.988 \times {10^{ - 3}}\) and \({n_{\text{O}}} = 3.988 \times {10^{ - 3}}\) hence empirical formula \( = {\text{) }}{{\text{C}}_{{\text{10}}}}{{\text{H}}_{20}}{\text{O}}\);
\(\left( {M{\text{(}}{{\text{C}}_{10}}{{\text{H}}_{20}}{\text{O)}} = 156.30{\text{ (g}}\,{\text{mo}}{{\text{l}}^{ - 1}}{\text{), therefore molecular formula }} = } \right){\text{ }}{{\text{C}}_{10}}{{\text{H}}_{20}}{\text{O}}\);
Allow alternative working to be used.
Award [3 max] for C10H20O if no working shown.
chiral (carbon/centre/atom) / (tetrahedral) carbon surrounded by four
different groups;
Accept chiral compound or chiral molecule.
polarimeter and (enantiomers) rotate plane of polarized light in (equal and) opposite directions;
Physical properties:
identical except for rotation of plane polarized light;
Accept “identical” as different optical properties assessed in (iii).
Do not accept similar.
Chemical properties:
identical unless they interact with other optically active/chiral compounds/reagents/solvents / identical with achiral compounds/reagents/solvents / OWTTE;
Allow different physiological effects/taste.
Examiners report
A reasonably popular question and often well done. In (a), some weaker candidates did not understand the idea of a stereoisomer.
(b) and (c) were well done.
(b) and (c) were well done.
In (d), most scored full marks though some gave cis.
In (d), most scored full marks though some gave cis. In (ii), many did not gain marks for but-2-ene.
In (d), most scored full marks though some gave cis.
In (d), most scored full marks though some gave cis.
In (d), most scored full marks though some gave cis.
In (d), most scored full marks though some gave cis.
(e) (i) also was very well answered compared to some recent sessions.
Perhaps too much was expected in (iii) for one mark and students either omitted polarimeter or did not refer to plane polarised light.
In (iv), few scored both marks.
The Haber process enables the large-scale production of ammonia needed to make fertilizers.
The equation for the Haber process is given below.
\[{{\text{N}}_2}({\text{g)}} + 3{{\text{H}}_2}({\text{g)}} \rightleftharpoons {\text{2N}}{{\text{H}}_3}({\text{g)}}\]
The percentage of ammonia in the equilibrium mixture varies with temperature.

Ammonia can be converted into nitric acid, \({\text{HN}}{{\text{O}}_{\text{3}}}{\text{(aq)}}\), and hydrocyanic acid, HCN(aq). The \({\text{p}}{K_{\text{a}}}\) of hydrocyanic acid is 9.21.
A student decided to investigate the reactions of the two acids with separate samples of \({\text{0.20 mol}}\,{\text{d}}{{\text{m}}^{ - 3}}\) sodium hydroxide solution.
(i) Use the graph to deduce whether the forward reaction is exothermic or endothermic and explain your choice.
(ii) State and explain the effect of increasing the pressure on the yield of ammonia.
(iii) Deduce the equilibrium constant expression, \({K_{\text{c}}}\), for the reaction.
(iv) A mixture of 1.00 mol \({{\text{N}}_{\text{2}}}\) and 3.00 mol \({{\text{H}}_{\text{2}}}\) was placed in a \({\text{1.0 d}}{{\text{m}}^{\text{3}}}\) flask at 400 °C. When the system was allowed to reach equilibrium, the concentration of was found to be \({\text{0.062 mol}}\,{\text{d}}{{\text{m}}^{ - 3}}\). Determine the equilibrium constant, \({K_{\text{c}}}\), of the reaction at this temperature.
(v) Iron is used as a catalyst in the Haber process. State the effect of a catalyst on the value of \({K_{\text{c}}}\).
(i) Distinguish between the terms strong and weak acid and state the equations used to show the dissociation of each acid in aqueous solution.
(ii) Deduce the expression for the ionization constant, \({K_{\text{a}}}\), of hydrocyanic acid and calculate its value from the \({\text{p}}{K_{\text{a}}}\) value given.
(iii) Use your answer from part (b) (ii) to calculate the \({\text{[}}{{\text{H}}^ + }{\text{]}}\) and the pH of an aqueous solution of hydrocyanic acid of concentration \({\text{0.108 mol}}\,{\text{d}}{{\text{m}}^{ - 3}}\). State one assumption made in arriving at your answer.
A small piece of magnesium ribbon is added to solutions of nitric and hydrocyanic acid of the same concentration at the same temperature. Describe two observations that would allow you to distinguish between the two acids.
(i) Calculate the volume of the sodium hydroxide solution required to react exactly with a \({\text{15.0 c}}{{\text{m}}^{\text{3}}}\) solution of \({\text{0.10 mol}}\,{\text{d}}{{\text{m}}^{ - 3}}\) nitric acid.
(ii) The following hypothesis was suggested by the student: “Since hydrocyanic acid is a weak acid it will react with a smaller volume of the \({\text{0.20 mol}}\,{\text{d}}{{\text{m}}^{ - 3}}\) sodium hydroxide solution.” Comment on whether or not this is a valid hypothesis.
(iii) Use Table 16 of the Data Booklet to identify a suitable indicator for the titration of sodium hydroxide and hydrocyanic acid.
Markscheme
(i) exothermic;
Accept either of the following for the second mark.
increasing temperature favours endothermic/reverse reaction;
as yield decreases with increasing temperature;
(ii) yield increases / equilibrium moves to the right / more ammonia;
increase in pressure favours the reaction which has fewer moles of gaseous products;
(iii) \({K_{\text{c}}} = \frac{{{{{\text{[N}}{{\text{H}}_3}{\text{]}}}^2}}}{{{\text{[}}{{\text{N}}_2}{\text{][}}{{\text{H}}_2}{{\text{]}}^3}}}\);
(iv) \({\text{[}}{{\text{N}}_2}{\text{]}}\): (at equilibrium \( = 1.00 - 0.031 = \)) \({\text{0.969 (mol}}\,{\text{d}}{{\text{m}}^{ - 3}}{\text{)}}\);
\({\text{[}}{{\text{H}}_2}{\text{]}}\): (at equilibrium \( = 3.00 - 3(0.031) = \)) \({\text{2.91 (mol}}\,{\text{d}}{{\text{m}}^{ - 3}}{\text{)}}\);
\({K_{\text{c}}}{\text{ }}\left( { = \frac{{{{{\text{(0.062)}}}^2}}}{{{\text{(0.969) (2.91}}{{\text{)}}^3}}}} \right) = {\text{1.6(1)}} \times {\text{1}}{{\text{0}}^{ - 4}}\);
Ignore units.
Award [1] for Kc = 1.4 \( \times \) 10–4
(v) no effect;
(i) strong acid completely dissociated/ionized and weak acid partially dissociated/ionized;
\({\text{HN}}{{\text{O}}_3}{\text{(aq)}} \to {{\text{H}}^ + }{\text{(aq)}} + {\text{NO}}_3^ - {\text{(aq)}}\);
\({\text{HCN(aq)}} \rightleftharpoons {{\text{H}}^ + }{\text{(aq)}} + {\text{C}}{{\text{N}}^ - }{\text{(aq)}}\);
Insist on both arrows as shown.
State symbols not needed.
Accept H2O and H3O+.
(ii) \({K_{\text{a}}} = \frac{{{\text{[}}{{\text{H}}^ + }{\text{][C}}{{\text{N}}^ - }{\text{]}}}}{{{\text{[HCN]}}}}\);
Allow H3O+ instead of H+.
\({K_{\text{a}}} = {10^{ - 9.21}} = 6.17 \times {10^{ - 10}}\);
(iii) \({[{{\text{H}}^ + }] = \sqrt {{K_{\text{a}}}[{\text{HCN}}]} /\sqrt {(6.17 \times {{10}^{ - 10}} \times 0.108)} }\);
\({ = 8.16 \times {{10}^{ - 6}}}\);
Allow in the range 8.13 \( \times \) 10–6 to 8.16 \( \times \) 10–6.
\({\text{pH}} = 5.09\);
OR
\({{\text{pH}} = \frac{1}{2}{\text{(p}}{K_{\text{a}}} - {\text{log}}[{\text{HCN}}])/\frac{1}{2}(9.21 - \log \,0.108)}\);
\({ = 5.09}\);
\({\text{[}}{{\text{H}}^ + }{\text{]}} = {10^{ - 5.09}} = 8.16 \times {10^{ - 6}}\);
Allow in the range 8.13 \( \times \) 10–6 to 8.16 \( \times \) 10–6.
If expression for [H+] missing but both answers correct, award [3], if one answer
correct, award [2].
assume \({\text{[}}{{\text{H}}^ + }{\text{]}} \ll 0.108\) / negligible dissociation;
With HNO3:
faster rate of bubble/hydrogen/gas production;
faster rate of magnesium dissolving;
higher temperature change;
Accept opposite argument for HCN.
Reference to specific observations needed.
Award [1] if 2 observations given but acid is not identified.
(i) (nitric acid) 7.5 cm3;
(ii) not valid as hydrocyanic acid reacts with same volume/ 7.5 cm3;
(iii) bromothymol blue / phenol red / phenolphthalein;
Examiners report
Equilibrium is a topic that has shown substantial improvement in recent sessions with some very well produced arguments. The reaction was correctly described as exothermic with a reason correctly given in most cases. Most candidates knew that yield would increase with increased pressure, but some failed to identify the change in the number of “gaseous” molecules as the reason. More candidates had difficulty with the equilibrium constant calculation often using the initial not equilibrium concentrations.
In (b) most correctly defined strong and weak acids and many also wrote correct equations. A few, however, missed the equilibrium sign for hydrocyanic acid. HA, CH3COOH and HCl were commonly given instead of HCN and HNO3, suggesting that students sometimes have difficulty applying general concepts to specific cases. It was encouraging to see many candidates determine the pH from the pKa value including the assumption that there is negligible dissociation, as this has challenged students in previous sessions. A significant number of weaker candidates reported however that the acid solution would have pH values above 7.
Part (c) presented problems with many candidates unable to describe specific observations related to rate which would distinguish between a strong and weak acid and simply stated that the reaction would be faster.
The moles calculation was answered well in (d) with most candidates able to identify phenolphthalein as a suitable indicator.
The concentration of a solution of a weak acid, such as ethanedioic acid, can be determined
by titration with a standard solution of sodium hydroxide, NaOH (aq).
5.00 g of an impure sample of hydrated ethanedioic acid, (COOH)2•2H2O, was dissolved in water to make 1.00 dm3 of solution. 25.0 cm3 samples of this solution were titrated against a 0.100 mol dm-3 solution of sodium hydroxide using a suitable indicator.
(COOH)2 (aq) + 2NaOH (aq) → (COONa)2 (aq) + 2H2O (l)
The mean value of the titre was 14.0 cm3.
(i) Suggest a suitable indicator for this titration. Use section 22 of the data booklet.
(ii) Calculate the amount, in mol, of NaOH in 14.0 cm3 of 0.100 mol dm-3 solution.
(iii) Calculate the amount, in mol, of ethanedioic acid in each 25.0 cm3 sample.
(iv) Determine the percentage purity of the hydrated ethanedioic acid sample.
Draw the Lewis (electron dot) structure of the ethanedioate ion, –OOCCOO–.
Outline why all the C–O bond lengths in the ethanedioate ion are the same length and suggest a value for them. Use section 10 of the data booklet.
Explain how ethanedioate ions act as ligands.
Markscheme
i
phenolphthalein
OR
phenol red
ii
«n(NaOH) = \(\left( {\frac{{14.0}}{{1000}}} \right)\) dm3 × 0.100 mol dm-3 =» 1.40 × 10-3 «mol»
iii
«\(\frac{1}{2}\) × 1.40 × 10-3 =» 7.00 × 10-4 «mol»
iv
ALTERNATIVE 1:
«mass of pure hydrated ethanedioic acid in each titration = 7.00 × 10-4 mol × 126.08 g mol-1 =» 0.0883 / 8.83 × 10-2 «g»
mass of sample in each titration = «\(\frac{{25}}{{1000}}\) × 5.00 g =» 0.125 «g»
«% purity = \(\frac{{0.0883{\rm{g}}}}{{0.125{\rm{g}}}}\) × 100 =» 70.6 «%»
ALTERNATIVE 2:
«mol of pure hydrated ethanedioic acid in 1 dm3 solution = 7.00 × 10-4 × \(\frac{{1000}}{{25}}\)=» 2.80 × 10-2 «mol»
«mass of pure hydrated ethanedioic acid in sample = 2.80 × 10-2 mol × 126.08 g mol-1 =» 3.53 «g»
«% purity = \(\frac{{3.53{\rm{g}}}}{{5.00{\rm{g}}}}\) × 100 =» 70.6 «%»
ALTERNATIVE 3:
mol of hydrated ethanedioic acid (assuming sample to be pure) = \(\frac{{5.00{\rm{g}}}}{{126.08{\rm{gmo}}{{\rm{l}}^{{\rm{ - 1}}}}}}\) = 0.03966 «mol»
actual amount of hydrated ethanedioic acid = «7.00 × 10-4 × \(\frac{{1000}}{{25}}\) =» 2.80 × 10-2 «mol»
«% purity = \(\frac{{2.80 \times {{10}^{ - 2}}}}{{0.03966}}\) × 100 =» 70.6 «%»
Award suitable part marks for alternative methods.
Award [3] for correct final answer.
Award [2 max] for 50.4 % if anhydrous ethanedioic acid assumed.
Accept single negative charges on two O atoms singly bonded to C.
Do not accept resonance structures.
Allow any combination of dots/crosses or lines to represent electron pairs.
electrons delocalized «across the O–C–O system»
OR
resonance occurs
Accept delocalized π-bond(s).
No ECF from (d).
122 «pm» < C–O < 143 «pm»
Accept any answer in range 123 «pm» to 142 «pm».
Accept “bond intermediate between single and double bond” or “bond order 1.5”.
coordinate/dative/covalent bond from O to «transition» metal «ion»
OR
acts as a Lewis base/nucleophile
can occupy two positions
OR
provide two electron pairs from different «O» atoms
OR
form two «coordinate/dative/covalent» bonds «with the metal ion»
OR
chelate «metal/ion»
Examiners report
Alkenes, alcohols and esters are three families of organic compounds with many commercial uses.
An ester which gives apples their characteristic smell contains C, H and O. When \(3.00 \times {10^{ - 3}}{\text{ g}}\) of this ester were completely combusted, \(6.93 \times {10^{ - 3}}{\text{ g}}\) of \({\text{C}}{{\text{O}}_{\text{2}}}\) and \(2.83 \times {10^{ - 3}}{\text{ g}}\) of \({{\text{H}}_{\text{2}}}{\text{O}}\) were produced.
State what is meant by the term stereoisomers.
Determine the empirical formula of the ester, showing your working.
The molar mass of the ester is \({\text{116.18 g}}\,{\text{mo}}{{\text{l}}^{ - 1}}\). Determine its molecular formula.
2-bromobutane is optically active. Draw the two enantiomers of 2-bromobutane and compare their physical and chemical properties.
Markscheme
compounds with same structural/displayed formula but different arrangements of atoms (in space);
Do not accept different 3D structures.
Do not allow similar instead of same.
Mass of C: \(\frac{{6.93 \times {{10}^{ - 3}}12.01}}{{44.01}} = 1.89 \times {10^{ - 3}}/0.00189{\text{ (g)}}\) and
Mass of H: \(\frac{{2 \times 1.01 \times 2.83 \times {{10}^{ - 3}}}}{{18.02}} = 3.17 \times {10^{ - 4}}/0.000317{\text{ (g)}}\);
Mass of O: \(3.00 \times {10^{ - 3}} - 1.89 \times {10^{ - 3}} - 3.17 \times {10^{ - 4}} = 7.93 \times {10^{ - 4}}/0.000793{\text{ (g)}}\);
\({n_C}:{\text{ }}\frac{{1.89 \times {{10}^{ - 3}}}}{{12.01}} = 1.57 \times {10^{ - 4}}/0.000157{\text{ (mol)}}\) and
\({n_H}:{\text{ }}\frac{{3.17 \times {{10}^{ - 4}}}}{{1.01}} = 3.14 \times {10^{ - 4}}/0.000314{\text{ (mol)}}\) and
\({n_O}:{\text{ }}\frac{{7.93 \times {{10}^{ - 4}}}}{{16.00}} = 4.96 \times {10^{ - 5}}/0.0000496{\text{ (mol)}}\);
Empirical formula \( = {{\text{C}}_3}{{\text{H}}_6}{\text{O}}\);
Allow C19H38O6.
Award [4] for correct final answer if alternative working is used.
Award [1 max] for C3H6O/C19H38O6 without working.
\({{\text{C}}_6}{{\text{H}}_{12}}{{\text{O}}_2}\);
Accept either one of the following two E2 mechanisms:

OR

curly arrow going from lone pair/negative charge on O in \({\text{H}}{{\text{O}}^ - }\) to H on \(\beta \)–C;
Do not allow curly arrow originating on H in HO–.
curly arrow going from CH bond to form C=C bond;
curly arrow showing Br leaving;
formation of organic product \({{\text{H}}_2}{\text{C}}\)=\({\text{CH(C}}{{\text{H}}_2}{\text{C}}{{\text{H}}_3}{\text{)}}/{\text{H(C}}{{\text{H}}_3}{\text{)C}}\)=\({\text{CH(C}}{{\text{H}}_3}{\text{)}}\) and
\({\text{B}}{{\text{r}}^ - }\) and \({{\text{H}}_2}{\text{O}}\);
For this reaction since a strong negatively charged base, HO– is used, resultant mechanism will be E2. However, accept the corresponding E1 mechanism.
If E1, allow the following mechanism:

OR

curly arrow showing Br leaving;
representation of secondary carbocation;
curly arrow going from lone pair on O in \({{\text{H}}_2}{\text{O}}\) to H on C adjacent to \({{\text{C}}^ + }\) and curly arrow going from CH bond to form C=C bond;
formation of organic product \({\text{(}}{{\text{H}}_3}{\text{C)CH}}\)=\({\text{CH(C}}{{\text{H}}_3}{\text{)}}\) / \({{\text{H}}_2}{\text{C}}\)=\({\text{CH(C}}{{\text{H}}_2}{\text{C}}{{\text{H}}_3}{\text{)}}\) and \({\text{B}}{{\text{r}}^ - }\) and \({{\text{H}}_3}{{\text{O}}^ + }\);
For E1 HO– is an alternative to H2O, but if used, H2O forms instead of H3O+.
Examiners report
This was the least popular question in Section B. In part (a) (i), some candidates gave a definition of structural isomers instead of stereoisomers.
Part (b) (i) proved to be very challenging for candidates. A large majority of candidates in fact did not know how to even commence the problem. There were a number of G2 comments all of who stated that it would have been better if the ratios of the amounts of C, H and O were in fact closer to whole number ratios.
In part (ii) of the question the molar mass of the ester was given as \({\text{116.18 g}}\,{\text{mo}}{{\text{l}}^{ - 1}}\), which meant that taking the experimental data given in (b) (i), the empirical formula is in fact \({{\text{C}}_{\text{3}}}{{\text{H}}_{\text{6}}}{\text{O}}\), with the associated molecular formula of \({{\text{C}}_{\text{6}}}{{\text{H}}_{{\text{12}}}}{{\text{O}}_{\text{2}}}\). The better students realised this and typically gave an answer of \({{\text{C}}_{\text{3}}}{{\text{H}}_{\text{6}}}{\text{O}}\). However, a very small minority did in fact use a scaling factor to suggest an empirical formula of \({{\text{C}}_{{\text{19}}}}{{\text{H}}_{{\text{38}}}}{{\text{O}}_{\text{6}}}\), which was also accepted. In general however for this question, candidates tended to score either scored full marks for parts (i) and (ii), or zero.
In part (iii), some candidates did not show the 3D nature of the two enantiomers which was necessary for M1 and only gave 2D representations. It was encouraging to see a greater percentage of candidates however using tapered (wedge/dash) representations. For M2, many did not mention the fact that the two optical isomers rotate the plane of polarized light in opposite directions. Some did not state plane.
Reaction kinetics can be investigated using the iodine clock reaction. The equations for two reactions that occur are given below.
Reaction A: \({{\text{H}}_2}{{\text{O}}_2}{\text{(aq)}} + {\text{2}}{{\text{I}}^ - }{\text{(aq)}} + {\text{2}}{{\text{H}}^ + }{\text{(aq)}} \to {{\text{I}}_2}{\text{(aq)}} + {\text{2}}{{\text{H}}_2}{\text{O(l)}}\)
Reaction B: \({\text{ }}{{\text{I}}_2}{\text{(aq)}} + {\text{2}}{{\text{S}}_2}{\text{O}}_3^{2 - }{\text{(aq)}} \to {\text{2}}{{\text{I}}^ - }{\text{(aq)}} + {{\text{S}}_4}{\text{O}}_6^{2 - }{\text{(aq)}}\)
Reaction B is much faster than reaction A, so the iodine, \({\text{I}_2}\), formed in reaction A immediately reacts with thiosulfate ions, \({{\text{S}}_{\text{2}}}{\text{O}}_3^{2 - }\), in reaction B, before it can react with starch to form the familiar blue-black, starch-iodine complex.
In one experiment the reaction mixture contained:
5.0 ± 0.1 \({\text{c}}{{\text{m}}^{\text{3}}}\) of 2.00 \({\text{mol}}\,{\text{d}}{{\text{m}}^{ - 3}}\) hydrogen peroxide (\({{\text{H}}_{\text{2}}}{{\text{O}}_{\text{2}}}\))
5.0 ± 0.1 \({\text{c}}{{\text{m}}^{\text{3}}}\) of 1% aqueous starch
20.0 ± 0.1 \({\text{c}}{{\text{m}}^{\text{3}}}\) of 1.00 \({\text{mol}}\,{\text{d}}{{\text{m}}^{ - 3}}\) sulfuric acid (\({{\text{H}}_{\text{2}}}{\text{S}}{{\text{O}}_{\text{4}}}\))
20.0 ± 0.1 \({\text{c}}{{\text{m}}^{\text{3}}}\) of 0.0100 \({\text{mol}}\,{\text{d}}{{\text{m}}^{ - 3}}\) sodium thiosulfate (\({\text{N}}{{\text{a}}_{\text{2}}}{{\text{S}}_{\text{2}}}{{\text{O}}_{\text{3}}}\))
50.0 ± 0.1 \({\text{c}}{{\text{m}}^{\text{3}}}\) of water with 0.0200 ± 0.0001 g of potassium iodide (KI) dissolved in it.
After 45 seconds this mixture suddenly changed from colourless to blue-black.
The activation energy can be determined using the Arrhenius equation, which is given in Table 1 of the Data Booklet. The experiment was carried out at five different temperatures. An incomplete graph to determine the activation energy of the reaction, based on these results, is shown below.

The concentration of iodide ions, \({{\text{I}}^ - }\), is assumed to be constant. Outline why this is a valid assumption.
For this mixture the concentration of hydrogen peroxide, \({{\text{H}}_{\text{2}}}{{\text{O}}_{\text{2}}}\), can also be assumed to be constant. Explain why this is a valid assumption.
Explain why the solution suddenly changes colour.
Calculate the total uncertainty, in \({\text{c}}{{\text{m}}^{\text{3}}}\), of the volume of the reaction mixture.
Calculate the percentage uncertainty of the concentration of potassium iodide solution added to the overall reaction mixture.
Determine the percentage uncertainty in the concentration of potassium iodide in the final reaction solution.
The colour change occurs when \(1.00 \times {10^{ - 4}}{\text{ mol}}\) of iodine has been formed. Use the total volume of the solution and the time taken, to calculate the rate of the reaction, including appropriate units.
State the labels for each axis.
x-axis:
y-axis:
Use the graph to determine the activation energy of the reaction, in \({\text{kJ}}\,{\text{mo}}{{\text{l}}^{ - 1}}\), correct to three significant figures.
In another experiment, 0.100 g of a black powder was also added while all other concentrations and volumes remained unchanged. The time taken for the solution to change colour was now 20 seconds. Outline why you think the colour change occurred more rapidly and how you could confirm your hypothesis.
Markscheme
KI/\({{\text{I}}^ - }\)/potassium iodide/iodide (ion) (rapidly) reformed (in second stage of reaction);
amount (in mol) of \({{\text{H}}_{\text{2}}}{{\text{O}}_{\text{2}}}\)/hydrogen peroxide \( \gg \) amount (in mol) \({\text{N}}{{\text{a}}_{\text{2}}}{{\text{S}}_{\text{2}}}{{\text{O}}_{\text{3}}}{\text{/}}{{\text{S}}_{\text{2}}}{\text{O}}_3^{2 - }\)/sodium thiosulfate/ thiosulfate (ion);
Accept amount (in mol) of H2O2/hydrogen peroxide \( \gg \) amount (in mol) KI/I–/potassium iodide/iodide (ion).
Accept “H2O2/hydrogen peroxide is in (large) excess/high concentration”.
(at end of reaction) \({\text{[}}{{\text{H}}_{\text{2}}}{{\text{O}}_{\text{2}}}{\text{]}}\) is only slightly decreased/virtually unchanged;
all \({\text{N}}{{\text{a}}_{\text{2}}}{{\text{S}}_{\text{2}}}{{\text{O}}_{\text{3}}}\)/sodium thiosulfate/\({{\text{S}}_{\text{2}}}{\text{O}}_3^{2 - }\)/thiosulfate consumed/used up;
Accept “iodine no longer converted to iodide”.
(free) iodine is formed / iodine reacts with starch / forms iodine-starch complex;
\((5 \times 0.1) = ( \pm )0.5{\text{ }}({\text{c}}{{\text{m}}^{\text{3}}})\);
\(( \pm )0.7(\% )\);
Comprises both mass of KI = ± 0.5% and volume of KI = ± 0.2%.
\(0.5 + 0.7 = ( \pm )1.2\% \);
Sum of (i) and (ii) (percentage uncertainty of total volume = absolute uncertainty as 100 cm3).
total volume \(0.100{\text{ }}({\text{d}}{{\text{m}}^3})/100{\text{ }}({\text{c}}{{\text{m}}^3})\);
\(\left( {{\text{change in concentration }} = \frac{{{\text{1.00}} \times {\text{1}}{{\text{0}}^{ - 4}}}}{{{\text{0.100}}}} = } \right){\text{ 1.00}} \times {\text{1}}{{\text{0}}^{ - 3}}{\text{ (mol}}\,{\text{d}}{{\text{m}}^{\text{3}}}{\text{)}}\);
\(\left( {{\text{rate}} = \frac{{1.00 \times {{10}^{ - 3}}}}{{45}} = } \right){\text{ }}2.2 \times {10^{ - 5}}\);
Award [3] for the correct final answer.
\({\text{mol}}\,{\text{d}}{{\text{m}}^{ - 3}}{{\text{s}}^{ - 1}}\);
x-axis: \(\frac{1}{{{\text{Temperature}}}}/\frac{1}{T}/{{\text{T}}^{ - 1}}\);
Ignore units.
y-axis: ln rate/\({\log _{\text{e}}}\) rate / ln rate constant/\({\log _{\text{e}}}\) rate constant / ln k/\({\log _{\text{e}}}k\);
gradient \( = \frac{{ - {E_{\text{a}}}}}{R}\);
gradient \( = \frac{{ - 4.00}}{{(3.31 \times {{10}^{ - 3}} - 2.83 \times {{10}^{ - 3}})}} = - 8333/ = \frac{{ - 4.80}}{{(3.41 \times {{10}^{ - 3}} - 2.83 \times {{10}^{ - 3}})}} = - 8276\);
\({E_{\text{a}}} = \left( {\frac{{8.31 \times 8333}}{{1000}}} \right) = 69.3{\text{ }}({\text{kJ}}\,{\text{mo}}{{\text{l}}^{ - 1}})/ = \left( {\frac{{8.31 \times 8276}}{{1000}}} \right) = 68.8{\text{ }}({\text{kJ}}\,{\text{mo}}{{\text{l}}^{ - 1}})\);
Award [3] for correct final answer.
Accept values from 65.0 to 73.0 kJ mol–1.
Deduct [1] for final answer in J mol–1.
Deduct [1] for final answer not to 3 significant figures.
acting as a catalyst / black powder reacts with thiosulfate ions / solid dissolves to give blue-black solution;
Accept any other valid suggestion which will make colour change more rapid.
For catalyst: amount/mass of black powder remains constant / no new/different products formed / activation energy decreased;
For other suggestions: any appropriate way to test the hypothesis;
Award [1] for valid hypothesis, [1] for appropriate method of testing the stated hypothesis.
Examiners report
This question explored basic chemical concepts in the context of a practical situation. Whilst this is one frequently carried out during practical courses, none of the questions depended on prior knowledge. Students varied significantly in their ability to interpret the information given to answer parts (a) to (c), but very few could correctly carry out the propagation of uncertainties required in part (d). An encouraging number were able to carry out the rate calculation required in part (e). It was surprising how many students, though unable to identify the axes of the Arrhenius graph given in part (f), were still able to interpret it to correctly calculate the activation energy. Part (g) was deliberately open ended and elicited a number of interesting responses, though frequently the tests proposed would not in fact confirm the suggested hypothesis.
This question explored basic chemical concepts in the context of a practical situation. Whilst this is one frequently carried out during practical courses, none of the questions depended on prior knowledge. Students varied significantly in their ability to interpret the information given to answer parts (a) to (c), but very few could correctly carry out the propagation of uncertainties required in part (d). An encouraging number were able to carry out the rate calculation required in part (e). It was surprising how many students, though unable to identify the axes of the Arrhenius graph given in part (f), were still able to interpret it to correctly calculate the activation energy. Part (g) was deliberately open ended and elicited a number of interesting responses, though frequently the tests proposed would not in fact confirm the suggested hypothesis.
This question explored basic chemical concepts in the context of a practical situation. Whilst this is one frequently carried out during practical courses, none of the questions depended on prior knowledge. Students varied significantly in their ability to interpret the information given to answer parts (a) to (c), but very few could correctly carry out the propagation of uncertainties required in part (d). An encouraging number were able to carry out the rate calculation required in part (e). It was surprising how many students, though unable to identify the axes of the Arrhenius graph given in part (f), were still able to interpret it to correctly calculate the activation energy. Part (g) was deliberately open ended and elicited a number of interesting responses, though frequently the tests proposed would not in fact confirm the suggested hypothesis.
This question explored basic chemical concepts in the context of a practical situation. Whilst this is one frequently carried out during practical courses, none of the questions depended on prior knowledge. Students varied significantly in their ability to interpret the information given to answer parts (a) to (c), but very few could correctly carry out the propagation of uncertainties required in part (d). An encouraging number were able to carry out the rate calculation required in part (e). It was surprising how many students, though unable to identify the axes of the Arrhenius graph given in part (f), were still able to interpret it to correctly calculate the activation energy. Part (g) was deliberately open ended and elicited a number of interesting responses, though frequently the tests proposed would not in fact confirm the suggested hypothesis.
This question explored basic chemical concepts in the context of a practical situation. Whilst this is one frequently carried out during practical courses, none of the questions depended on prior knowledge. Students varied significantly in their ability to interpret the information given to answer parts (a) to (c), but very few could correctly carry out the propagation of uncertainties required in part (d). An encouraging number were able to carry out the rate calculation required in part (e). It was surprising how many students, though unable to identify the axes of the Arrhenius graph given in part (f), were still able to interpret it to correctly calculate the activation energy. Part (g) was deliberately open ended and elicited a number of interesting responses, though frequently the tests proposed would not in fact confirm the suggested hypothesis.
This question explored basic chemical concepts in the context of a practical situation. Whilst this is one frequently carried out during practical courses, none of the questions depended on prior knowledge. Students varied significantly in their ability to interpret the information given to answer parts (a) to (c), but very few could correctly carry out the propagation of uncertainties required in part (d). An encouraging number were able to carry out the rate calculation required in part (e). It was surprising how many students, though unable to identify the axes of the Arrhenius graph given in part (f), were still able to interpret it to correctly calculate the activation energy. Part (g) was deliberately open ended and elicited a number of interesting responses, though frequently the tests proposed would not in fact confirm the suggested hypothesis.
This question explored basic chemical concepts in the context of a practical situation. Whilst this is one frequently carried out during practical courses, none of the questions depended on prior knowledge. Students varied significantly in their ability to interpret the information given to answer parts (a) to (c), but very few could correctly carry out the propagation of uncertainties required in part (d). An encouraging number were able to carry out the rate calculation required in part (e). It was surprising how many students, though unable to identify the axes of the Arrhenius graph given in part (f), were still able to interpret it to correctly calculate the activation energy. Part (g) was deliberately open ended and elicited a number of interesting responses, though frequently the tests proposed would not in fact confirm the suggested hypothesis.
This question explored basic chemical concepts in the context of a practical situation. Whilst this is one frequently carried out during practical courses, none of the questions depended on prior knowledge. Students varied significantly in their ability to interpret the information given to answer parts (a) to (c), but very few could correctly carry out the propagation of uncertainties required in part (d). An encouraging number were able to carry out the rate calculation required in part (e). It was surprising how many students, though unable to identify the axes of the Arrhenius graph given in part (f), were still able to interpret it to correctly calculate the activation energy. Part (g) was deliberately open ended and elicited a number of interesting responses, though frequently the tests proposed would not in fact confirm the suggested hypothesis.
This question explored basic chemical concepts in the context of a practical situation. Whilst this is one frequently carried out during practical courses, none of the questions depended on prior knowledge. Students varied significantly in their ability to interpret the information given to answer parts (a) to (c), but very few could correctly carry out the propagation of uncertainties required in part (d). An encouraging number were able to carry out the rate calculation required in part (e). It was surprising how many students, though unable to identify the axes of the Arrhenius graph given in part (f), were still able to interpret it to correctly calculate the activation energy. Part (g) was deliberately open ended and elicited a number of interesting responses, though frequently the tests proposed would not in fact confirm the suggested hypothesis.
This question explored basic chemical concepts in the context of a practical situation. Whilst this is one frequently carried out during practical courses, none of the questions depended on prior knowledge. Students varied significantly in their ability to interpret the information given to answer parts (a) to (c), but very few could correctly carry out the propagation of uncertainties required in part (d). An encouraging number were able to carry out the rate calculation required in part (e). It was surprising how many students, though unable to identify the axes of the Arrhenius graph given in part (f), were still able to interpret it to correctly calculate the activation energy. Part (g) was deliberately open ended and elicited a number of interesting responses, though frequently the tests proposed would not in fact confirm the suggested hypothesis.
The conditions used in an electrolytic cell can determine the products formed.
A voltaic cell is constructed from two half-cells as illustrated below.

Nitrogen monoxide may be removed from industrial emissions via a reaction with ammonia as shown by the equation below.
\[{\text{4N}}{{\text{H}}_3}{\text{(g)}} + {\text{6NO(g)}} \to {\text{5}}{{\text{N}}_2}{\text{(g)}} + {\text{6}}{{\text{H}}_{\text{2}}}{\text{O(l)}}\]
Draw an electrolytic cell illustrating the electrolysis of molten nickel(II) bromide, \({\text{NiB}}{{\text{r}}_{\text{2}}}\). Include in the diagram the direction of the electron flow, the polarity of electrodes and state the half-equations for the product formed at each electrode.
Deduce the equations for the formation of the major product at the positive electrode (anode) when the following aqueous solutions are electrolysed.
• dilute sodium chloride
• concentrated sodium chloride
Use Table 14 of the Data Booklet to deduce the equation for the spontaneous reaction occurring in this cell.
Calculate the standard potential for this cell.
State the conditions necessary for the potential of the cell to equal that calculated in part (b) (ii) using the data from Table 14.
Using the data below and data from Table 14 of the Data Booklet, predict and explain which metal, cadmium or chromium, may be obtained by electrolysis of separate aqueous solutions of \({\text{C}}{{\text{d}}^{2 + }}{\text{(aq)}}\) ions and \({\text{C}}{{\text{r}}^{2 + }}{\text{(aq)}}\) ions.
Electrolysis is used in the electroplating of metals. The same amount of current is passed through separate aqueous solutions of \({\text{NiS}}{{\text{O}}_{\text{4}}}\), \({\text{Sn(S}}{{\text{O}}_{\text{4}}}{{\text{)}}_{\text{2}}}\) and \({\text{C}}{{\text{r}}_{\text{2}}}{{\text{(S}}{{\text{O}}_{\text{4}}}{\text{)}}_{\text{3}}}\) in separate electrolytic cells for the same amount of time. State and explain which cell would deposit the greatest amount (in mol) of metal. Identify the electrode at which the metal is deposited.
For the \({\text{Sn(S}}{{\text{O}}_{\text{4}}}{{\text{)}}_{\text{2}}}\) cell, suggest two factors, other than time and current, that would affect the amount of metal deposited during electroplating.
Deduce the oxidation number of the nitrogen in the reactants and product.
Deduce the oxidation and reduction half-equations and identify the oxidizing agent for the reaction.
\({\text{30.0 d}}{{\text{m}}^{\text{3}}}\) of ammonia reacts with \({\text{30.0 d}}{{\text{m}}^{\text{3}}}\) of nitrogen monoxide at 100 °C. Identify which gas is in excess and by how much and calculate the volume of nitrogen produced.
Markscheme

labelled polarities of positive and negative electrodes;
Electrodes can be labelled positive or negative or + and – signs can be used.
direction of electron flow;
\({e^ - }\) does not have to be labelled but arrow essential.
power source and molten electrolyte/\({\text{N}}{{\text{i}}^{2 + }}{\text{(l)}}\) and \({\text{B}}{{\text{r}}^ - }{\text{(l)/NiB}}{{\text{r}}_{\text{2}}}{\text{(l)}}\);
State symbol necessary for M3 unless molten electrolyte stated.
Power source does not need to be labelled if correct symbol used (i.e. short line and long line).
Cathode/negative electrode equation:
\({\text{N}}{{\text{i}}^{2 + }} + {\text{2}}{{\text{e}}^ - } \to {\text{Ni}}\);
Anode/positive electrode equation:
\({\text{2B}}{{\text{r}}^ - } \to {\text{B}}{{\text{r}}_2} + {\text{2}}{{\text{e}}^ - }\);
Accept balanced half-equation with one \({e^ - }\).
Award [1 max] for M4 and M5 if electrodes are not identified or if equations are given wrong way round or incorrectly labelled.
Penalize \( \rightleftharpoons \) once only in Q.9.
Allow e instead of \({e^ - }\).
Ignore state symbols for M4 and M5.
Dilute sodium chloride:
\({\text{2}}{{\text{H}}_2}{\text{O}} \to {{\text{O}}_2} + {\text{4}}{{\text{H}}^ + } + {\text{4}}{{\text{e}}^ - }/{\text{4O}}{{\text{H}}^ - } \to {{\text{O}}_2} + {\text{2}}{{\text{H}}_2}{\text{O}} + {\text{4}}{{\text{e}}^ - }\);
Concentrated sodium chloride:
\({\text{2C}}{{\text{l}}^ - } \to {\text{C}}{{\text{l}}_2} + {\text{2}}{{\text{e}}^ - }\);
Accept alternative balanced half-equations with correct number of electrons.
Award [1 max] if equations are given the wrong way round.
Award [2] if correct equations are written in order with dilute sodium chloride first and concentrated sodium chloride second but processes not stated explicitly.
Penalize \( \rightleftharpoons \) once only in Q.9.
Allow e instead of \({e^ - }\).
Ignore state symbols.
\({\text{Sn}} + {\text{C}}{{\text{u}}^{2 + }} \to {\text{S}}{{\text{n}}^{2 + }} + {\text{Cu}}\);
Ignore state symbols.
Penalize \( \rightleftharpoons \) once only in Q.9.
\((0.34 - - 0.14) = ( + )0.48{\text{ V}}\);
\({\text{1.0 mol}}\,{\text{d}}{{\text{m}}^{ - 3}}\) solutions and 25 °C/298 K;
\({\text{C}}{{\text{d}}^{2 + }}\) is a stronger oxidizing agent than \({{\text{H}}_{\text{2}}}{\text{O}}\) and will be displaced to produce Cd / OWTTE;
\({\text{C}}{{\text{r}}^{2 + }}\) is a weaker oxidizing agent than \({{\text{H}}_{\text{2}}}{\text{O}}\) and H2 will displace in preference to Cr / OWTTE;
Award [1 max] for stating Cd2+ stronger oxidizing agent than H2O and Cr2+ weaker oxidizing agent than H2O / OWTTE.
Ni;
only requires 2 mol of \({{\text{e}}^ - }\) for each mol of Ni / Sn requires 4 mol of \({{\text{e}}^ - }\) / Cr requires 3 mol of \({{\text{e}}^ - }\) / \({\text{N}}{{\text{i}}^{2 + }}\) needs least number of e– to produce 1 mol of Ni metal;
Allow e instead of \({e^ - }\).
cathode / negative electrode;
Do not award M3 for “metal deposited at cathode where oxidation occurs”.
temperature of solution;
\({\text{[S}}{{\text{n}}^{4 + }}{\text{]}}\);
surface area/size of electrode;
material of electrodes;
Do not allow nature of electrodes.
\({\text{N}}{{\text{H}}_{\text{3}}}\): \( - 3\);
NO: \( + 2\);
\({{\text{N}}_{\text{2}}}\): 0;
Penalize incorrect notation such as 3–, III, 2+, 2, II once only.
Oxidation:
\({\text{2N}}{{\text{H}}_{\text{3}}} \to {{\text{N}}_{\text{2}}} + {\text{6}}{{\text{H}}^ + } + {\text{6}}{{\text{e}}^ - }\);
Reduction:
\({\text{2NO}} + {\text{4}}{{\text{H}}^ + } + {\text{4}}{{\text{e}}^ - } \to {{\text{N}}_2} + {\text{2}}{{\text{H}}_2}{\text{O}}\);
Award [1 max] for M1 and M2 if redox processes are not identified or if equations are given wrong way round.
Penalize \( \rightleftharpoons \) once only in Q.9.
Allow e instead of \({e^ - }\).
Ignore state symbols.
Oxidizing agent: NO;
Allow either formula or name.
\({\text{N}}{{\text{H}}_{\text{3}}}\)/ammonia (in excess by) and 10 (\({\text{d}}{{\text{m}}^{\text{3}}}\));
25.0 (\({\text{d}}{{\text{m}}^{\text{3}}}\));
Examiners report
This was also a popular question but candidates often struggled to do well. In (a) (i), a number of candidates confused this question with one on voltaic cells and drew two half-cells connected rather than that of an electrolytic cell for the electrolysis of nickel bromide. The half-equations on the whole were poor and most were unlabelled. Use of equilibrium signs was widespread and many candidates did not realise that reduction takes place at the cathode leading to the formation of Ni etc.
Few correctly answered correctly the equation for dilute solutions in (ii).
In (b) (i) most candidates got the correct equation though \({\text{C}}{{\text{u}}^ + }\) was often given.
In (ii) some candidates forgot to include V as the unit.
Few scored one mark in (iii).
Most candidates did not have any clue about part (c). Few spotted that they needed to compare the oxidizing/reducing power to that of water. Most simply made a comparison between the two electrode potentials given. Most candidates scored zero on this question.
(d) (i) was often well answered though many did not state that 2 mol of electrons are required for each mol of Ni.
(ii) proved difficult and there were a number of G2 comments stating that this went somewhat beyond the syllabus. These points were valid and this was taken into account during Grade Award.
In (e), although most candidates scored full marks, incorrect notations such as 3-, III were sometimes seen.
In contrast to (e) (i) both (ii) and (iii) were very well answered.
In contrast to (e) (i) both (ii) and (iii) were very well answered.
Chemical kinetics involves an understanding of how the molecular world changes with time.
A catalyst provides an alternative pathway for a reaction, lowering the activation energy, \({E_{\text{a}}}\).
Sketch graphical representations of the following reactions, for X \( \to \) products.
For the reaction below, consider the following experimental data.
\[{\text{2Cl}}{{\text{O}}_2}{\text{(aq)}} + {\text{2O}}{{\text{H}}^ - }{\text{(aq)}} \to {\text{ClO}}_3^ - {\text{(aq)}} + {\text{ClO}}_2^ - {\text{(aq)}} + {{\text{H}}_2}{\text{O(l)}}\]

Another reaction involving \({\rm{O}}{{\rm{H}}^ - }\) (aq) is the base hydrolysis reaction of an ester.
\[{\text{C}}{{\text{H}}_3}{\text{COOC}}{{\text{H}}_2}{\text{CH(aq)}} + {\text{O}}{{\text{H}}^ - }{\text{(aq)}} \to {\text{C}}{{\text{H}}_3}{\text{CO}}{{\text{O}}^ - }{\text{(aq)}} + {\text{C}}{{\text{H}}_3}{\text{C}}{{\text{H}}_2}{\text{OH(aq)}}\]
A two-step mechanism has been proposed for the following reaction.
\[\begin{array}{*{20}{l}} {{\text{Step 1:}}}&{{\text{Cl}}{{\text{O}}^ - }{\text{(aq)}} + {\text{Cl}}{{\text{O}}^ - }{\text{(aq)}} \to {\text{ClO}}_2^ - {\text{(aq)}} + {\text{C}}{{\text{l}}^ - }{\text{(aq)}}} \\ {{\text{Step 2:}}}&{{\text{ClO}}_2^ - {\text{(aq)}} + {\text{Cl}}{{\text{O}}^ - }{\text{(aq)}} \to {\text{ClO}}_3^ - {\text{(aq)}} + {\text{C}}{{\text{l}}^ - }{\text{(aq)}}} \end{array}\]
(i) Define the term rate of reaction.
(ii) Temperature and the addition of a catalyst are two factors that can affect the rate of a reaction. State two other factors.
(iii) In the reaction represented below, state one method that can be used to measure the rate of the reaction.
\[{\text{ClO}}_3^ - {\text{(aq)}} + {\text{5C}}{{\text{l}}^ - }{\text{(aq)}} + {\text{6}}{{\text{H}}^ + }{\text{(aq)}} \to {\text{3C}}{{\text{l}}_2}{\text{(aq)}} + {\text{3}}{{\text{H}}_2}{\text{O(l)}}\]
(i) Define the term activation energy, \({E_{\text{a}}}\).
(ii) Sketch the two Maxwell–Boltzmann energy distribution curves for a fixed amount of gas at two different temperatures, \({T_1}\) and \({T_2}{\text{ }}({T_2} > {T_1})\). Label both axes.

(i) Concentration of reactant X against time for a zero-order reaction.

(ii) Rate of reaction against concentration of reactant X for a zero-order reaction.

(iii) Rate of reaction against concentration of reactant X for a first-order reaction.

(i) Deduce the rate expression.
(ii) Determine the rate constant, \(k\), and state its units, using the data from Experiment 2.
(iii) Calculate the rate, in \({\text{mol}}\,{\text{d}}{{\text{m}}^{ - 3}}{{\text{s}}^{ - 1}}\), when \({\text{[Cl}}{{\text{O}}_2}{\text{(aq)]}} = 1.50 \times {10^{ - 2}}{\text{ mol}}\,{\text{d}}{{\text{m}}^{ - 3}}\) and \({\text{[O}}{{\text{H}}^ - }{\text{(aq)]}} = 2.35 \times {10^{ - 2}}{\text{ mol}}\,{\text{d}}{{\text{m}}^{ - 3}}\).
Apply IUPAC rules to name the ester, CH3COOCH2CH3(aq).
Describe qualitatively the relationship between the rate constant, k, and temperature, T.
The rate of this reaction was measured at different temperatures and the following data were recorded.

Using data from the graph, determine the activation energy, \({E_{\text{a}}}\), correct to three significant figures and state its units.
Deduce the overall equation for the reaction.
Deduce the rate expression for each step.
Step 1:
Step 2:
Markscheme
(i) change in concentration of reactant/product with time / rate of change of concentration;
Increase can be used instead of change for product or decrease can be used instead of change for reactant.
Allow mass/amount/volume instead of concentration.
Do not accept substance.
(ii) concentration;
particle size / surface area;
light;
pressure;
Allow pH.
(iii) (measuring electrical) conductivity / (measuring) pH;
Accept other suitable method.
(i) minimum/least/smallest energy needed (by reactants/colliding particles) to react/start/initiate a reaction;
Allow energy difference between reactants and transition state.
Minimum/least/smallest required for the mark.
(ii) x-axis label: (kinetic) energy/(K)E and y-axis label: probability/fraction of molecules/particles / probability density;
Allow number of molecules/particles for y-axis.
correct shape of a typical Maxwell–Boltzmann energy distribution curve;
Do not award mark if curve is symmetric, does not start at zero or if it crosses x-axis.
two curves represented with second curve for \({T_2} > {T_1}\) to right of first curve, peak maximum lower than first curve and after the curves cross going to the right, \({T_2}\) curve needs to be above \({T_1}\) curve as illustrated;
M2 and M3 can be scored independently.

(i)
;
(ii)
;
(iii)
;
(i) second order in \({\text{Cl}}{{\text{O}}_2}\) and first order in \({\text{O}}{{\text{H}}^ - }\);
rate \( = k{{\text{[Cl}}{{\text{O}}_{\text{2}}}{\text{]}}^2}{\text{[O}}{{\text{H}}^ - }{\text{]}}\);
Award [2] for correct final answer.
(ii) \(k = 2.30 \times {10^2}/230\);
\({\text{mo}}{{\text{l}}^{ - 2}}{\text{d}}{{\text{m}}^6}{{\text{s}}^{ - 1}}\);
(iii) \(1.22 \times {10^{ - 3}}/0.00122{\text{ (mol}}\,{\text{d}}{{\text{m}}^{ - 3}}{{\text{s}}^{ - 1}}{\text{)}}\);
ethyl ethanoate;
Do not allow ethyl acetate.
as temperature/T increases, (value of) rate constant/k increases (exponentially);
Do not allow answers involving ln k from the Arrhenius equation.
Do not allow T directly proportional to k.
slope \( = - 5.6 \times {10^3}/ - 5600{\text{ (K)}}\);
\({E_{\text{a}}} = - {\text{slope}} \times {\text{R}}/{\text{slope}} = - {E_{\text{a}}}/R\);
\({E_{\text{a}}}{\text{(}} = 5.60 \times {10^3}{\text{ }}K \times 8.31{\text{ J}}\,{{\text{K}}^{ - 1}}{\text{mo}}{{\text{l}}^{ - 1}}{\text{)}} = 4.65 \times {10^4}{\text{ (J}}\,{\text{mo}}{{\text{l}}^{ - 1}}{\text{)}}/46.5{\text{ (kJ}}\,{\text{mo}}{{\text{l}}^{ - 1}}{\text{)}}\);
Accept answers in range 4.60 \( \times \) 104 J\(\,\)mol\(^{ - 1}\) to 4.67 \( \times \) \({10^4}\) (J mol \(^{ - 1}\)).
\({\text{J}}\,{\text{mo}}{{\text{l}}^{ - 1}}/{\text{kJ}}\,{\text{mo}}{{\text{l}}^{ - 1}}\);
Accept J or kJ.
Unit mark can be scored independently but correct \({E_a}\) values with incorrect units scores only [3 max] (for example 46.5 J mol \(^{ - 1}\)).
Award [4] for correct final answer.
\({\text{3Cl}}{{\text{O}}^ - }{\text{(aq)}} \to {\text{ClO}}_3^ - {\text{(aq)}} + {\text{2C}}{{\text{l}}^ - }{\text{(aq)}}\);
Ignore state symbols.
Step 1: rate \( = k{{\text{[Cl}}{{\text{O}}^ - }{\text{]}}^{\text{2}}}\);
Step 2: rate \( = k{\text{[ClO}}_2^ - {\text{][Cl}}{{\text{O}}^ - }{\text{]}}\);
Penalize missing k once only.
Examiners report
This was the most popular question in Section B of the paper. Part (a) was very well answered.
In (b) (i), some candidates failed to mention minimum/least/smallest energy in the definition of activation energy. In part (ii), again candidates often dropped easy marks here for poor representations of the Maxwell-Boltzmann energy distribution curves. In some cases the curves were drawn symmetrically, which was incorrect. In addition, incorrect labels were often given for the x- and y-axes. Some candidates mixed these curves up with enthalpy level diagrams. It was nice to see more candidates giving a more precise label for the y-axis as probability/fraction of molecules rather than just number of molecules. The latter was allowed but is less precise (although does tend to be used in many IB textbooks).
Part (c) however was very well answered.
In part (d), many candidates also scored highly though the units of k in (ii) did cause a problem for some candidates.
In (e) (i), the most common mistake was candidates stating ethyl methanoate instead of ethyl ethanoate.
In part (ii), a number of candidates stated incorrectly that T is directly proportional to k, which is incorrect. Proportionality is a concept embedded in AS 11.3.1 in Topic 11, and may be worth some further discussion in the light of the Arrhenius Equation.
The most difficult part of Q6 however involved (e) (iii). Very few candidates scored full marks here and simply did not know how to manipulate the equation to get the activation energy. Others even gave incorrect units.
One respondent stated that part (f) (ii) would be difficult for candidates. (f) certainly did prove challenging and the rate expression for step two was often given incorrectly. This question became a good discriminating question in Section B. However the better students did manage to score all three marks in part (f).
One respondent stated that part (f) (ii) would be difficult for candidates. (f) certainly did prove challenging and the rate expression for step two was often given incorrectly. This question became a good discriminating question in Section B. However the better students did manage to score all three marks in part (f).
Explain why the relative atomic mass of cobalt is greater than the relative atomic mass of nickel, even though the atomic number of nickel is greater than the atomic number of cobalt.
Deduce the numbers of protons and electrons in the ion \({\text{C}}{{\text{o}}^{2 + }}\).
Deduce the electron configuration for the ion \({\text{C}}{{\text{o}}^{2 + }}\).
Markscheme
cobalt has a greater proportion of heavier isotopes / OWTTE / cobalt has greater number of neutrons;
27 protons and 25 electrons;
\({\text{1}}{{\text{s}}^{\text{2}}}{\text{2}}{{\text{s}}^{\text{2}}}{\text{2}}{{\text{p}}^{\text{6}}}{\text{3}}{{\text{s}}^{\text{2}}}{\text{3}}{{\text{p}}^{\text{6}}}{\text{3}}{{\text{d}}^{\text{7}}}/{\text{[Ar] 3}}{{\text{d}}^{\text{7}}}\);
Examiners report
Candidates did reasonably well on this question. Many candidates got (a) correct.
Most candidates got the correct number of protons and electrons in the \({\text{C}}{{\text{o}}^{2 + }}\) ion in part (b).
In (c), a small minority of candidates tried to answer this question with a 2,8,15 type electron arrangement which showed weakness at HL and many candidates did not realise that electrons come out of the 4s level first before the 3d in part (c).
A student determined the percentage of the active ingredient magnesium hydroxide, Mg(OH)2, in a 1.24 g antacid tablet.
The antacid tablet was added to 50.00 cm3 of 0.100 mol dm−3 sulfuric acid, which was in excess.
Outline why repeating quantitative measurements is important.
Markscheme
to reduce random errors
OR
to increase precision
Accept “to ensure reliability”.
[1 mark]
Examiners report
A student decided to determine the molecular mass of a solid monoprotic acid, HA, by titrating a solution of a known mass of the acid.
The following recordings were made.

To investigate the effect of temperature on the effectiveness of a buffer solution, the student placed \({\text{20.0 c}}{{\text{m}}^{\text{3}}}\) of the buffer solution in a water bath at 24 °C. He added small portions of hydrochloric acid, stirring after each addition, until a total of \({\text{10 c}}{{\text{m}}^{\text{3}}}\) was added, and measured the pH continuously during the addition. The procedure was repeated at different temperatures and the results are shown in the following graph.

Determine the molecular formula of HA.
State what is meant by a buffer solution.
With reference to the graph on page 4, describe the effect of increasing temperature on the effectiveness of the buffer solution.
Markscheme
\(\left( {\frac{{\text{M}}}{{{\text{Mass of }}{{\text{C}}_4}{{\text{H}}_4}{\text{O}}}} = } \right){\text{ }}\frac{{139}}{{68.08}} = 2\);
\({{\text{C}}_8}{{\text{H}}_8}{{\text{O}}_2}\);
Award [2] for correct final answer.
solution which resists change in pH / changes pH slightly / keeps pH constant / OWTTE;
when small amounts of acid or base are added;
less effective at higher temperatures / more effective between 24 °C and 40 °C than > 40 °C;
pH changes more if the same volume of acid is added at high(er) temperature / OWTTE;
Examiners report
Errors were carried forward in the marking of (d).
The common error in defining a buffer solution in (f) (i) was to omit “small” in the addition of acid or alkali whilst in (ii) candidates needed to be more specific about the volume of acid added for full credit.
The common error in defining a buffer solution in (f) (i) was to omit “small” in the addition of acid or alkali whilst in (ii) candidates needed to be more specific about the volume of acid added for full credit.
Analytical chemistry uses instruments to separate, identify, and quantify matter.
Menthol is an organic compound containing carbon, hydrogen and oxygen.
Nitric oxide reacts with chlorine.
2NO (g) + Cl2 (g) → 2NOCl (g)
The following experimental data were obtained at 101.3 kPa and 263 K.
Outline how this spectrum is related to the energy levels in the hydrogen atom.
A sample of magnesium has the following isotopic composition.
Calculate the relative atomic mass of magnesium based on this data, giving your answer to two decimal places.
Complete combustion of 0.1595 g of menthol produces 0.4490 g of carbon dioxide and 0.1840 g of water. Determine the empirical formula of the compound showing your working.
0.150 g sample of menthol, when vaporized, had a volume of 0.0337 dm3 at 150 °C and 100.2 kPa. Calculate its molar mass showing your working.
Determine the molecular formula of menthol using your answers from parts (d)(i) and (ii).
Deduce the order of reaction with respect to Cl2 and NO.
State the rate expression for the reaction.
Calculate the value of the rate constant at 263 K.
Markscheme
electron transfer/transition between high«er» energy level to low«er» energy level
OR
electron transitions into first energy level causes UV series
OR
transition into second energy level causes visible series
OR
transition into third energy level causes infrared series
Accept any of the points shown on a diagram.
24 x 0.786 + 25 x 0.101 + 26 x 0.113
24.33
Award [2] for correct final answer.
Award [0] for 24.31 with no working (data booklet value).
carbon: «\(\frac{{0.4490\,{\text{g}}}}{{44.01\,{\text{g}}\,{\text{mo}}{{\text{l}}^{ - 1}}}}\) =» 0.01020 «mol» / 0.1225 «g»
OR
hydrogen: «\(\frac{{0.1840 \times 2}}{{18.02\,g\,mo{l^{ - 1}}}}\) =» 0.02042 «mol» / 0.0206 «g»
oxygen: «0.1595 – (0.1225 + 0.0206)» = 0.0164 «g» / 0.001025 «mol»
empirical formula: C10H20O
Award [3] for correct final answer.
Do not award M3 for a hydrocarbon.
«temperature =» 423 K
OR
M \( = \frac{{mRT}}{{pV}}\)
«M \( = \frac{{0.150\,{\text{g}} \times 8.31\,{\text{J}}{{\text{K}}^{ - 1}}\,{\text{mol}}{}^{ - 1} \times 423\,{\text{K}}}}{{100.2\,{\text{kPa}} \times 0.0337\,{\text{d}}{{\text{m}}^3}}} = \)» 156 «g mol–1»
Award [1] for correct answer with no working shown.
Accept “pV = nRT AND n = \(\frac{m}{M}\)” for M1.
C10H20O
[1 Mark]
Cl2: first
NO: second
rate = k [NO]2 [Cl2]
180 / 1.80 x 102 «dm6 mol–2 min–1»
Examiners report
Consider the following sequence of reactions.
\[{\text{RC}}{{\text{H}}_3}\xrightarrow{{reaction 1}}{\text{RC}}{{\text{H}}_2}{\text{Br}}\xrightarrow{{reaction 2}}{\text{RC}}{{\text{H}}_2}{\text{OH}}\]
\({\text{RC}}{{\text{H}}_{\text{3}}}\) is an unknown alkane in which R represents an alkyl group.
All the isomers can by hydrolysed with aqueous sodium hydroxide solution. When the reaction of one of these isomers, X, was investigated the following kinetic data were obtained.

The alkane contains 82.6% by mass of carbon. Determine its empirical formula, showing your working.
A 1.00 g gaseous sample of the alkane has a volume of 385 cm3 at standard temperature and pressure. Deduce its molecular formula.
State the reagent and conditions needed for reaction 1.
Reaction 1 involves a free-radical mechanism. Describe the stepwise mechanism, by giving equations to represent the initiation, propagation and termination steps.
The mechanism in reaction 2 is described as SN2. Explain the mechanism of this reaction using curly arrows to show the movement of electron pairs, and draw the structure of the transition state.
There are four structural isomers with the molecular formula \({{\text{C}}_{\text{4}}}{{\text{H}}_{\text{9}}}{\text{Br}}\). One of these structural isomers exists as two optical isomers. Draw diagrams to represent the three-dimensional structures of the two optical isomers.
(i) Deduce the rate expression for the reaction.
(ii) Determine the value of the rate constant for the reaction and state its units.
(iii) State the name of isomer X and explain your choice.
(iv) State equations for the steps that take place in the mechanism of this reaction and state which of the steps is slow and which is fast.
Markscheme
\({n_{\text{C}}} = \frac{{82.6}}{{12.01}} = 6.88\) and \({n_{\text{H}}} = \frac{{17.4}}{{1.01}} = 17.2\);
ratio is 1:2.5;
\({{\text{C}}_2}{{\text{H}}_5}\);
No penalty for using 12 and 1.
\(\left( {M = \frac{{22400}}{{385}}} \right) = 58.2/\left( {M = \frac{{mRT}}{{PV}}} \right) = 58.3\);
\({{\text{C}}_4}{{\text{H}}_{10}}\);
Br2/bromine ;
UV/ultraviolet light;
Accept hf/hv/sunlight.
initiation:
\({\text{B}}{{\text{r}}_2} \to {\text{2Br}} \bullet \);
propagation:
\({\text{Br}} \bullet + {\text{RC}}{{\text{H}}_3} \to {\text{HBr}} + {\text{RC}}{{\text{H}}_2} \bullet \);
\({\text{RC}}{{\text{H}}_2} \bullet + {\text{B}}{{\text{r}}_2} \to {\text{RC}}{{\text{H}}_2}{\text{Br}} + {\text{Br}} \bullet \);
termination: [1 max]
\({\text{Br}} \bullet + {\text{Br}} \bullet \to {\text{B}}{{\text{r}}_2}\);
\({\text{RC}}{{\text{H}}_2} \bullet + {\text{Br}} \bullet \to {\text{RC}}{{\text{H}}_2}{\text{Br}}\);
\({\text{RC}}{{\text{H}}_2} \bullet + {\text{RC}}{{\text{H}}_2} \bullet \to {\text{RC}}{{\text{H}}_2}{\text{C}}{{\text{H}}_2}{\text{R}}\);
Award [1] for any termination step.
Accept radical with or without throughout.
Do not penalise the use of an incorrect alkane in the mechanism.

curly arrow going from lone pair/negative charge on O in OH– to C;
Do not allow curly arrow originating on H in OH–.
curly arrow showing Br leaving;
Accept curly arrow either going from bond between C and Br to Br in bromoethane or in the transition state.
representation of transition state showing negative charge, square brackets and partial bonds;
Do not penalize if HO and Br are not at 180° to each other.
Do not award M3 if OH ---- C bond is represented unless already penalised in M1.
Do not penalise the use of an incorrect alkyl chain in the mechanism.
;
;
First and second structures should be mirror images. Tetrahedral arrangement around carbon must be shown.
(i) order with respect to \({\text{O}}{{\text{H}}^ - } = {\text{0}}\);
order with respect to \({\text{X}} = 1\);
rate \( = k{\text{[X]}}\);
Award [3] for final correct answer.
(ii) 0.2(0);
\({\text{mi}}{{\text{n}}^{ - 1}}\);
(iii) 2-bromo-2-methyl-propane;
Do not penalize missing hyphens or added spaces.
Accept 2-methyl-2-bromopropane.
tertiary structure;
(iv) \({{\text{C}}_4}{{\text{H}}_9}{\text{Br}} \to {{\text{C}}_4}{\text{H}}_9^ + + {\text{B}}{{\text{r}}^ - }\) / in equation with curly arrows and slow;
\({{\text{C}}_4}{\text{H}}_9^ + + {\text{O}}{{\text{H}}^ - } \to {{\text{C}}_4}{{\text{H}}_9}{\text{OH}}\) / in equation with curly arrows and fast;
No penalty if primary structure is shown.
No credit for SN2 mechanism, except by ECF.
Examiners report
Although this was the least popular question in Section B there was generally a good level of performance. In (a) most candidates scored at least 2 out of 3 marks for calculating the empirical formula.
Many managed to give a correct molecular formula based on their background knowledge once they had determined the molar mass from the density calculation.
The conditions of free radical substitution were well known.
The mechanism of free radical substitution was well known.
The conditions and mechanism of free radical substitution were well known but the SN2 mechanism in (e) caused more problems.
Again the use of curly arrows proved to be difficult. In some case they originated from the H not the lone pair on O of the nucelophile, or were missing from the C – Br bond. Another common mistake was the omission of a negative charge from the transition state. As the attack of the nucleophile is on the opposite side of the carbon atom to the halogen leaving, the partial bonds in the transition state should be drawn at 180 degrees. Candidates were not penalised however if they failed to do this.
Most candidates were able to draw accurate 3D diagrams for the stereoisomers of 2-bromobutane, to deduce the rate expression from the experimental data presented in (g), and correctly identify X as having a tertiary structure. It was also pleasing to see that most were able to describe the SN1 mechanism.
Phosphorus(V) oxide, \({{\text{P}}_{\text{4}}}{{\text{O}}_{{\text{10}}}}{\text{ }}({M_{\text{r}}} = 283.88)\), reacts vigorously with water \(({M_{\text{r}}} = 18.02)\), according to the equation below.
\[{{\text{P}}_{\text{4}}}{{\text{O}}_{{\text{10}}}}{\text{(s)}} + {\text{6}}{{\text{H}}_{\text{2}}}{\text{O(l)}} \to {\text{4}}{{\text{H}}_{\text{3}}}{\text{P}}{{\text{O}}_{\text{4}}}{\text{(aq)}}\]
A student added 5.00 g of \({{\text{P}}_{\text{4}}}{{\text{O}}_{{\text{10}}}}\) to 1.50 g of water. Determine the limiting reactant, showing your working.
Calculate the mass of phosphoric(V) acid, \({{\text{H}}_{\text{3}}}{\text{P}}{{\text{O}}_{\text{4}}}\), formed in the reaction.
Phosphoric(V) acid, \({{\text{H}}_{\text{3}}}{\text{P}}{{\text{O}}_{\text{4}}}\), has a \({\text{p}}{K_{\text{a}}}\) of 2.12 (\({\text{p}}{K_{{\text{a1}}}}\)) while phosphoric(III) acid, \({{\text{H}}_{\text{3}}}{\text{P}}{{\text{O}}_{\text{3}}}\), has a \({\text{p}}{K_{\text{a}}}\) of 1.23 (\({\text{p}}{K_{{\text{a1}}}}\)). Identify the weaker of the two acids, giving a reason for your choice.
Markscheme
\({{\text{P}}_4}{{\text{O}}_{10}}{\text{: }}\left( {\frac{{{\text{5.00}}}}{{{\text{283.88}}}} = } \right){\text{ 0.0176 (mol)}}\) and \({{\text{H}}_2}{\text{O: }}\left( {\frac{{{\text{1.50}}}}{{{\text{18.02}}}} = } \right){\text{ 0.0832 (mol)}}\);
\({{\text{H}}_2}{\text{O}}\) is the limiting reactant and reason related to stoichiometry;
\(\frac{{0.0832 \times 4}}{6}/0.0555{\text{ (mol)}}\);
\((0.0555 \times 98.00 = ){\text{ }}5.44{\text{ g}}\);
The unit is needed for M2.
Award [2] for correct final answer.
Do not penalize slight numerical variations due to premature rounding.
\({{\text{H}}_3}{\text{P}}{{\text{O}}_4}\) is the weaker acid and higher \({\text{p}}{K_{\text{a}}}\)/lower \({K_{\text{a}}}\);
Examiners report
The majority of candidates calculated the amounts of reactants correctly, and many of them applied the stoichiometric ratio correctly to determine the limiting reactant.
More than half of the candidates calculated the mass of product correctly. Even if the final result was incorrect quite frequently students gained some credit through the application of ECF.
Many candidates appreciated that a higher \({\text{p}}{K_{\text{a}}}\) means a weaker acid. Some candidates did not refer to the \({\text{p}}{K_{\text{a}}}\) or \({K_{\text{a}}}\) value in their reasoning, failing to score a mark.
The element antimony, Sb, is usually found in nature as its sulfide ore, stibnite, \({\text{S}}{{\text{b}}_{\text{2}}}{{\text{S}}_{\text{3}}}\). This ore was used two thousand years ago by ancient Egyptian women as a cosmetic to darken their eyes and eyelashes.
Antimony contains two stable isotopes, \(^{{\text{121}}}{\text{Sb}}\) and \(^{{\text{123}}}{\text{Sb}}\). The relative atomic mass of antimony is given in Table 5 of the Data Booklet.
Calculate the percentage by mass of antimony in a sample of pure stibnite. State your answer to four significant figures.
Calculate the percentage of each isotope in pure antimony. State your answers to three significant figures.
State the number of neutrons present in an atom of \(^{{\text{121}}}{\text{Sb}}\).
Markscheme
\({{\text{M}}_{\text{r}}}{\text{ for S}}{{\text{b}}_{\text{2}}}{{\text{S}}_{\text{3}}} = (2 \times 121.75) + (3 \times 32.06) = 339.68\);
% of Sb in \({\text{S}}{{\text{b}}_2}{{\text{S}}_3} = \frac{{(2 \times 121.75)}}{{339.68}} \times 100 = 71.69\% \);
Accept 71.68%.
Award [2] for correct final answer.
the (vaporized) ions are deflected by the (external) magnetic field;
the \(^{{\text{121}}}{\text{Sb}}\) /lighter ions are deflected more than the \(^{{\text{123}}}{\text{Sb}}\) /heavier ions / OWTTE;
Allow deflection depends on mass to charge ratio or momentum of ions.
the ions are detected by conversion into an electrical current / OWTTE;
the ratio of the intensity of the peaks in the spectrum is equal to the ratio of the ions in the sample / the ratio of the height of the peaks due to \(^{{\text{121}}}{\text{Sb}}\) and \(^{{\text{123}}}{\text{Sb}}\) will be 62.5:37.5 / OWTTE;
If atoms/elements used instead of ions, penalize only once.
Allow the use of sample or isotopes instead of ions.
70;
Examiners report
In (a) (i) most candidates calculated the molecular mass but many lost a mark as they forget to multiply by 2 when calculating the mass of antimony. A small number of candidates also lost the second mark as they failed to report the answer to four significant figures as directed by the question. Most candidates were able to deduce the oxidation state of antimony but many lost a mark as they used an incorrect format such as 3, or \(3 + \). It was expected that candidates would be able to deduce the other oxidation states from the position of the element in the periodic table but most candidates incorrectly gave \( + 2\) as an answer.
Most candidates were aware of some environmental concerns due to the production of pollutant gases but some incorrectly identified both carbon dioxide and sulfur dioxide as greenhouse gases. Most candidates were able to calculate the relative abundance of the two isotopes and the use of a magnetic field to deflect ions in a mass spectrometer was generally understood, although a significant number of responses were penalised as they referred to atoms rather than ions. Few students were able, however, to describe the deflection stage in sufficient detail.
Most candidates were able to deduce the number of neutrons in \(^{{\text{121}}}{\text{Sb}}\).
Two chemistry students wished to determine the enthalpy of hydration of anhydrous magnesium sulfate. They measured the initial and the highest temperature reached when anhydrous magnesium sulfate, \({\text{MgS}}{{\text{O}}_{\text{4}}}{\text{(s)}}\), was dissolved in water. They presented their results in the table below.

The students repeated the experiment using 6.16 g of solid hydrated magnesium sulfate, \({\text{MgS}}{{\text{O}}_{\text{4}}} \bullet {\text{7}}{{\text{H}}_{\text{2}}}{\text{O(s)}}\), and \({\text{50.0 c}}{{\text{m}}^{\text{3}}}\) of water. They found the enthalpy change, \(\Delta {H_2}\) , to be \( + {\text{18 kJ}}\,{\text{mo}}{{\text{l}}^{ - 1}}\).
The enthalpy of hydration of solid anhydrous magnesium sulfate is difficult to determine experimentally, but can be determined using the diagram below.

(i) Calculate the amount, in mol, of anhydrous magnesium sulfate.
(ii) Calculate the enthalpy change, \(\Delta {H_1}\), for anhydrous magnesium sulfate dissolving in water, in \({\text{kJ}}\,{\text{mo}}{{\text{l}}^{ - 1}}\). State your answer to the correct number of significant figures.
(i) Determine the enthalpy change, \(\Delta H\), in \({\text{kJ}}\,{\text{mo}}{{\text{l}}^{ - 1}}\), for the hydration of solid anhydrous magnesium sulfate, \({\text{MgS}}{{\text{O}}_{\text{4}}}\).
(ii) The literature value for the enthalpy of hydration of anhydrous magnesium sulfate is \( - 103{\text{ kJ}}\,{\text{mo}}{{\text{l}}^{ - 1}}\). Calculate the percentage difference between the literature value and the value determined from experimental results, giving your answer to one decimal place. (If you did not obtain an answer for the experimental value in (b)(i) then use the value of \( - 100{\text{ kJ}}\,{\text{mo}}{{\text{l}}^{ - 1}}\), but this is not the correct value.)
Another group of students experimentally determined an enthalpy of hydration of \( - 95{\text{ kJ}}\,{\text{mo}}{{\text{l}}^{ - 1}}\). Outline two reasons which may explain the variation between the experimental and literature values.
Magnesium sulfate is one of the products formed when acid rain reacts with dolomitic limestone. This limestone is a mixture of magnesium carbonate and calcium carbonate.
(i) State the equation for the reaction of sulfuric acid with magnesium carbonate.
(ii) Deduce the Lewis (electron dot) structure of the carbonate ion, giving the shape and the oxygen-carbon-oxygen bond angle.
Lewis (electron dot) structure:
Shape:
Bond angle:
(iii) There are three possible Lewis structures that can be drawn for the carbonate ion, which lead to a resonance structure. Explain, with reference to the electrons, why all carbon-oxygen bonds have the same length.
(iv) Deduce the hybridization of the carbon atom in the carbonate ion.
Markscheme
(i) \(n{\text{(MgS}}{{\text{O}}_4}{\text{)}} = \left( {\frac{{3.01}}{{120.37}} = } \right)0.0250{\text{ (mol)}}\);
(ii) energy released \( = 50.0 \times 4.18 \times 9.7 \times 2027{\text{ (J)}}/2.027{\text{ (kJ)}}\);
\(\Delta {H_1} = - 81{\text{ (kJ}}\,{\text{mo}}{{\text{l}}^{ - 1}}{\text{)}}\);
Award [2] for correct answer.
Award [2] if 53.01 is used giving an answer of –86 (kJ mol–1).
Award [1 max] for +81/81/+86/86 (kJ mol−1).
Award [1 max] for –81000/–86000 if units are stated as J mol−1.
Allow answers to 3 significant figures.
(i) \(\Delta H{\text{ (}} = \Delta {H_1} - \Delta {H_2}{\text{)}} = - 99{\text{ (kJ}}\,{\text{mo}}{{\text{l}}^{ - 1}}{\text{)}}\);
Award [1] if –86 is used giving an answer of –104 (kJ mol–1).
(ii) \(\frac{{(103 - 99)}}{{103}} \times 100 = 3.9\% \);
Accept answer of 2.9% if –100 used but only if a value for (b)(i) is not present.
Award [1] if –104 is used giving an answer of 1.0% .
Accept correct answers which are not to 1 decimal place.
\({\text{MgS}}{{\text{O}}_{\text{4}}}\) not completely anhydrous / OWTTE;
\({\text{MgS}}{{\text{O}}_{\text{4}}}\) is impure;
heat loss to the atmosphere/surroundings;
specific heat capacity of solution is taken as that of pure water;
experiment was done once only so it is not scientific;
density of solution is taken to be \({\text{1 g}}\,{\text{c}}{{\text{m}}^{ - 3}}\);
mass of \({\text{7}}{{\text{H}}_2}{\text{O}}\) ignored in calculation;
uncertainty of thermometer is high so temperature change is unreliable;
literature values determined under standard conditions, but this experiment is not;
all solid not dissolved;
(i) \({{\text{H}}_2}{\text{S}}{{\text{O}}_4}{\text{(aq)}} + {\text{MgC}}{{\text{O}}_3}{\text{(s)}} \to {\text{MgS}}{{\text{O}}_4}{\text{(aq)}} + {\text{C}}{{\text{O}}_2}{\text{(g)}} + {{\text{H}}_2}{\text{O(l)}}\);
Ignore state symbols.
Do not accept H2CO3.
(ii)
;
Accept crosses, lines or dots as electron pairs.
Accept any correct resonance structure.
Award [0] if structure is drawn without brackets and charge.
Award [0] if lone pairs not shown on O atoms.
shape: trigonal/triangular planar;
bond angle: 120° ;
Accept answers trigonal/triangular planar and 120° if M1 incorrect, but no other answers should be given credit.
(iii) (pi/\(\pi \)) electrons are delocalized/spread over more than two nuclei / charge spread (equally) over all three oxygens;
(iv) \({\text{s}}{{\text{p}}^{\text{2}}}\);
Examiners report
The use of 3.01 for the mass in the expression in \(Q = mc\Delta T\) was common, candidates were able to score in the subsequent parts and many did so, although there was often a confusion between the value Q and the required answer for \(\Delta H\). In part c) most candidates understood the error due to heat loss, but few scored the second mark, usually quoting an answer involving an error generally that was far too vague. The inability to construct a balanced equation was disappointing, many lost credit for giving \({{\text{H}}_{\text{2}}}{\text{C}}{{\text{O}}_{\text{3}}}\) as a product. The score for the structure of the carbonate ion was often lost due to the failure to show that a charge is present on the ion, however, the shape and bond angle were known well, as was delocalisation and hybridisation.
The use of 3.01 for the mass in the expression in \(Q = mc\Delta T\) was common, candidates were able to score in the subsequent parts and many did so, although there was often a confusion between the value Q and the required answer for \(\Delta H\). In part c) most candidates understood the error due to heat loss, but few scored the second mark, usually quoting an answer involving an error generally that was far too vague. The inability to construct a balanced equation was disappointing, many lost credit for giving \({{\text{H}}_{\text{2}}}{\text{C}}{{\text{O}}_{\text{3}}}\) as a product. The score for the structure of the carbonate ion was often lost due to the failure to show that a charge is present on the ion, however, the shape and bond angle were known well, as was delocalisation and hybridisation.
The use of 3.01 for the mass in the expression in \(Q = mc\Delta T\) was common, candidates were able to score in the subsequent parts and many did so, although there was often a confusion between the value Q and the required answer for \(\Delta H\). In part c) most candidates understood the error due to heat loss, but few scored the second mark, usually quoting an answer involving an error generally that was far too vague. The inability to construct a balanced equation was disappointing, many lost credit for giving \({{\text{H}}_{\text{2}}}{\text{C}}{{\text{O}}_{\text{3}}}\) as a product. The score for the structure of the carbonate ion was often lost due to the failure to show that a charge is present on the ion, however, the shape and bond angle were known well, as was delocalisation and hybridisation.
The use of 3.01 for the mass in the expression in \(Q = mc\Delta T\) was common, candidates were able to score in the subsequent parts and many did so, although there was often a confusion between the value Q and the required answer for \(\Delta H\). In part c) most candidates understood the error due to heat loss, but few scored the second mark, usually quoting an answer involving an error generally that was far too vague. The inability to construct a balanced equation was disappointing, many lost credit for giving \({{\text{H}}_{\text{2}}}{\text{C}}{{\text{O}}_{\text{3}}}\) as a product. The score for the structure of the carbonate ion was often lost due to the failure to show that a charge is present on the ion, however, the shape and bond angle were known well, as was delocalisation and hybridisation.
Magnesium has three stable isotopes, \(^{{\text{24}}}{\text{Mg}}\), \(^{{\text{25}}}{\text{Mg}}\) and \(^{{\text{26}}}{\text{Mg}}\). The relative abundance of each isotope is 78.99%, 10.00% and 11.01%, respectively, and can be determined using a mass spectrometer.

Calculate, showing your working, the relative atomic mass, \({A_{\text{r}}}\), of magnesium, giving your answer to two decimal places.
Markscheme
\(({A_{\text{r}}} = ){\text{ }}0.7899 \times 24 + 0.1000 \times 25 + 0.1101 \times 26\);
24.32;
Award [2] for correct final answer.
Award [1 max] for 24.31 with correct working.
Award [0] for 24.31 (Data Booklet value) if working is incorrect or no working is shown.
Final answer must be to 2 decimal places to score [2].
Examiners report
This question generally scored well. The processes involved in a mass spectrometer were well understood; except for the importance of forming a cation. The calculation of \({A_{\text{r}}}\) and the requirement to give an answer to two decimal places was performed very well.
Ethanedioic acid is a diprotic acid. A student determined the value of x in the formula of hydrated ethanedioic acid, \({\text{HOOC–COOH}} \bullet {\text{x}}{{\text{H}}_{\text{2}}}{\text{O}}\), by titrating a known mass of the acid with a 0.100 \({\text{mol}}\,{\text{d}}{{\text{m}}^{ - 3}}\) solution of NaOH(aq).
0.795 g of ethanedioic acid was dissolved in distilled water and made up to a total volume of 250 cm3 in a volumetric flask.
\({\text{25 c}}{{\text{m}}^{\text{3}}}\) of this ethanedioic acid solution was pipetted into a flask and titrated against aqueous sodium hydroxide using phenolphthalein as an indicator.
The titration was then repeated twice to obtain the results below.

Calculate the average volume of NaOH added, in \({\text{c}}{{\text{m}}^{\text{3}}}\), in titrations 2 and 3, and then calculate the amount, in mol, of NaOH added.
The equation for the reaction taking place in the titration is:
\({\text{HOOC–COOH(aq)}} + {\text{2NaOH(aq)}} \to {\text{NaOOC–COONa(aq)}} + {\text{2}}{{\text{H}}_{\text{2}}}{\text{O(l)}}\)
Determine the amount, in mol, of ethanedioic acid that reacts with the average
volume of NaOH(aq).
Determine the amount, in mol, of ethanedioic acid present in \({\text{250 c}}{{\text{m}}^{\text{3}}}\) of the original solution.
Determine the molar mass of hydrated ethanedioic acid.
Determine the value of x in the formula \({\text{HOOC–COOH}} \bullet {\text{x}}{{\text{H}}_{\text{2}}}{\text{O}}\).
Identify the strongest intermolecular force in solid ethanedioic acid.
Deduce the Lewis (electron dot) structure of ethanedioic acid, \({\text{HOOC–COOH}}\).
Predict and explain the difference in carbon-oxygen bond lengths in ethanedioic acid and its conjugate base, \(^ - {\text{OOC–CO}}{{\text{O}}^ - }\).
Markscheme
\(\left( {\frac{{(12.70 + 12.50}}{2} = } \right)12.60{\text{ (c}}{{\text{m}}^3}{\text{);}}\)
\((0.01260 \times 0.100 = )1.26 \times {10^{ - 3}}{\text{ (mol);}}\)
Award [2] for correct final answer.
\(\left( {\frac{{1.26 \times {{10}^{ - 3}}}}{2} = } \right)6.30 \times {10^{ - 4}}{\text{ (mol);}}\)
\((6.30 \times {10^{ - 4}} \times 10 = )6.30 \times {10^{ - 3}}{\text{ (mol);}}\)
\(\left( {\frac{{0.795}}{{6.30 \times {{10}^{ - 3}}}} = } \right)126{\text{ (gmo}}{{\text{l}}^{ - 1}}{\text{);}}\)
\({M_{\text{r}}}{\text{(}}{{\text{C}}_2}{{\text{H}}_2}{{\text{O}}_4}{\text{)}} = 90.04\) and \({M_{\text{r}}}{\text{(}}{{\text{H}}_2}{\text{O)}} = 18.02\);
Accept integer values for \({M_r}\)’s of 90 and 18 and any reasonable calculation.
Award [1 max] if no working shown.
hydrogen bonding;
1;
Mark cannot be scored if lone pairs are missing on oxygens.
Accept any combination of lines, dots or crosses to represent electron pairs.
Acid:
one double and one single bond / one shorter and one longer bond;
Accept “two double and two single”.
Conjugate base:
two 1.5 bonds / both bonds same length;
Accept “four / all”.
electrons delocalized / resonance forms;
Award marks for suitable diagrams.
Examiners report
It was suggested that, in the second paragraph, we should have explicitly stated that “0.795 g of hydrated ethanedioic acid was dissolved…” We agree that this would have clarified even more the question but we believe the sense is clear from the actual question for any student with practical experience. Another teacher suggested that the question was too easy. This was not apparent in the answers seen with very few candidates getting all the way to the end without mishap.
Most had little problem with (a) but some averaged all three readings. In (b) candidates found the calculation at the beginning of the paper difficult and many gave up too early in the sequence. “Error carried forward” marks were available even if an error was made early on. In (c), most were able to identify hydrogen bonding successfully. The diagrams of the Lewis structure of ethanedioic in (d) acid were, in general, poor; the most common error was to omit the lone pairs on the O of \({\text{–O–H}}\). Very few candidates were able to give a good explanation of electron delocalization and the differences in bond lengths in ethanedioic acid and the ethanedioate ion. As one respondent suggested, candidates would have benefitted from drawing out the Lewis structure of \({\text{–OOC–CO}}{{\text{O}}^ - }\). We did not ask for this but there was nothing preventing them from doing so.
It was suggested that, in the second paragraph, we should have explicitly stated that “0.795 g of hydrated ethanedioic acid was dissolved…” We agree that this would have clarified even more the question but we believe the sense is clear from the actual question for any student with practical experience. Another teacher suggested that the question was too easy. This was not apparent in the answers seen with very few candidates getting all the way to the end without mishap.
Most had little problem with (a) but some averaged all three readings. In (b) candidates found the calculation at the beginning of the paper difficult and many gave up too early in the sequence. “Error carried forward” marks were available even if an error was made early on. In (c), most were able to identify hydrogen bonding successfully. The diagrams of the Lewis structure of ethanedioic in (d) acid were, in general, poor; the most common error was to omit the lone pairs on the O of \({\text{–O–H}}\). Very few candidates were able to give a good explanation of electron delocalization and the differences in bond lengths in ethanedioic acid and the ethanedioate ion. As one respondent suggested, candidates would have benefitted from drawing out the Lewis structure of \({\text{–OOC–CO}}{{\text{O}}^ - }\). We did not ask for this but there was nothing preventing them from doing so.
It was suggested that, in the second paragraph, we should have explicitly stated that “0.795 g of hydrated ethanedioic acid was dissolved…” We agree that this would have clarified even more the question but we believe the sense is clear from the actual question for any student with practical experience. Another teacher suggested that the question was too easy. This was not apparent in the answers seen with very few candidates getting all the way to the end without mishap.
Most had little problem with (a) but some averaged all three readings. In (b) candidates found the calculation at the beginning of the paper difficult and many gave up too early in the sequence. “Error carried forward” marks were available even if an error was made early on. In (c), most were able to identify hydrogen bonding successfully. The diagrams of the Lewis structure of ethanedioic in (d) acid were, in general, poor; the most common error was to omit the lone pairs on the O of \({\text{–O–H}}\). Very few candidates were able to give a good explanation of electron delocalization and the differences in bond lengths in ethanedioic acid and the ethanedioate ion. As one respondent suggested, candidates would have benefitted from drawing out the Lewis structure of \({\text{–OOC–CO}}{{\text{O}}^ - }\). We did not ask for this but there was nothing preventing them from doing so.
It was suggested that, in the second paragraph, we should have explicitly stated that “0.795 g of hydrated ethanedioic acid was dissolved…” We agree that this would have clarified even more the question but we believe the sense is clear from the actual question for any student with practical experience. Another teacher suggested that the question was too easy. This was not apparent in the answers seen with very few candidates getting all the way to the end without mishap.
Most had little problem with (a) but some averaged all three readings. In (b) candidates found the calculation at the beginning of the paper difficult and many gave up too early in the sequence. “Error carried forward” marks were available even if an error was made early on. In (c), most were able to identify hydrogen bonding successfully. The diagrams of the Lewis structure of ethanedioic in (d) acid were, in general, poor; the most common error was to omit the lone pairs on the O of \({\text{–O–H}}\). Very few candidates were able to give a good explanation of electron delocalization and the differences in bond lengths in ethanedioic acid and the ethanedioate ion. As one respondent suggested, candidates would have benefitted from drawing out the Lewis structure of \({\text{–OOC–CO}}{{\text{O}}^ - }\). We did not ask for this but there was nothing preventing them from doing so.
It was suggested that, in the second paragraph, we should have explicitly stated that “0.795 g of hydrated ethanedioic acid was dissolved…” We agree that this would have clarified even more the question but we believe the sense is clear from the actual question for any student with practical experience. Another teacher suggested that the question was too easy. This was not apparent in the answers seen with very few candidates getting all the way to the end without mishap.
Most had little problem with (a) but some averaged all three readings. In (b) candidates found the calculation at the beginning of the paper difficult and many gave up too early in the sequence. “Error carried forward” marks were available even if an error was made early on. In (c), most were able to identify hydrogen bonding successfully. The diagrams of the Lewis structure of ethanedioic in (d) acid were, in general, poor; the most common error was to omit the lone pairs on the O of \({\text{–O–H}}\). Very few candidates were able to give a good explanation of electron delocalization and the differences in bond lengths in ethanedioic acid and the ethanedioate ion. As one respondent suggested, candidates would have benefitted from drawing out the Lewis structure of \({\text{–OOC–CO}}{{\text{O}}^ - }\). We did not ask for this but there was nothing preventing them from doing so.
It was suggested that, in the second paragraph, we should have explicitly stated that “0.795 g of hydrated ethanedioic acid was dissolved…” We agree that this would have clarified even more the question but we believe the sense is clear from the actual question for any student with practical experience. Another teacher suggested that the question was too easy. This was not apparent in the answers seen with very few candidates getting all the way to the end without mishap.
Most had little problem with (a) but some averaged all three readings. In (b) candidates found the calculation at the beginning of the paper difficult and many gave up too early in the sequence. “Error carried forward” marks were available even if an error was made early on. In (c), most were able to identify hydrogen bonding successfully. The diagrams of the Lewis structure of ethanedioic in (d) acid were, in general, poor; the most common error was to omit the lone pairs on the O of \({\text{–O–H}}\). Very few candidates were able to give a good explanation of electron delocalization and the differences in bond lengths in ethanedioic acid and the ethanedioate ion. As one respondent suggested, candidates would have benefitted from drawing out the Lewis structure of \({\text{–OOC–CO}}{{\text{O}}^ - }\). We did not ask for this but there was nothing preventing them from doing so.
It was suggested that, in the second paragraph, we should have explicitly stated that “0.795 g of hydrated ethanedioic acid was dissolved…” We agree that this would have clarified even more the question but we believe the sense is clear from the actual question for any student with practical experience. Another teacher suggested that the question was too easy. This was not apparent in the answers seen with very few candidates getting all the way to the end without mishap.
Most had little problem with (a) but some averaged all three readings. In (b) candidates found the calculation at the beginning of the paper difficult and many gave up too early in the sequence. “Error carried forward” marks were available even if an error was made early on. In (c), most were able to identify hydrogen bonding successfully. The diagrams of the Lewis structure of ethanedioic in (d) acid were, in general, poor; the most common error was to omit the lone pairs on the O of \({\text{–O–H}}\). Very few candidates were able to give a good explanation of electron delocalization and the differences in bond lengths in ethanedioic acid and the ethanedioate ion. As one respondent suggested, candidates would have benefitted from drawing out the Lewis structure of \({\text{–OOC–CO}}{{\text{O}}^ - }\). We did not ask for this but there was nothing preventing them from doing so.
It was suggested that, in the second paragraph, we should have explicitly stated that “0.795 g of hydrated ethanedioic acid was dissolved…” We agree that this would have clarified even more the question but we believe the sense is clear from the actual question for any student with practical experience. Another teacher suggested that the question was too easy. This was not apparent in the answers seen with very few candidates getting all the way to the end without mishap.
Most had little problem with (a) but some averaged all three readings. In (b) candidates found the calculation at the beginning of the paper difficult and many gave up too early in the sequence. “Error carried forward” marks were available even if an error was made early on. In (c), most were able to identify hydrogen bonding successfully. The diagrams of the Lewis structure of ethanedioic in (d) acid were, in general, poor; the most common error was to omit the lone pairs on the O of \({\text{–O–H}}\). Very few candidates were able to give a good explanation of electron delocalization and the differences in bond lengths in ethanedioic acid and the ethanedioate ion. As one respondent suggested, candidates would have benefitted from drawing out the Lewis structure of \({\text{–OOC–CO}}{{\text{O}}^ - }\). We did not ask for this but there was nothing preventing them from doing so.
An electrochemical cell is made from an iron half-cell connected to a cobalt half-cell:

The standard electrode potential for \({\text{F}}{{\text{e}}^{2 + }}{\text{(aq)}} + {\text{2}}{{\text{e}}^ - } \rightleftharpoons {\text{Fe(s)}}\) is –0.45 V. The total cell potential obtained when the cell is operating under standard conditions is 0.17 V. Cobalt is produced during the spontaneous reaction.
An electrolytic cell is made using a very dilute solution of sodium chloride.
Predict the products by giving the relevant half-equation for the reaction occurring at each electrode if the electrolyte of the cell described in part (c) was changed to:
Define the term standard electrode potential and state the meaning of the minus sign in the value of –0.45 V.
Calculate the value for the standard electrode potential for the cobalt half-cell.
Deduce which species acts as the oxidizing agent when the cell is operating.
Deduce the equation for the spontaneous reaction taking place when the iron half-cell is connected instead to an aluminium half-cell.
Explain the function of the salt bridge in an electrochemical cell.
\({{\text{[Co(}}{{\text{H}}_{\text{2}}}{\text{O}}{{\text{)}}_{\text{6}}}{\text{]}}^{2 + }}\)
\({\text{C}}{{\text{o}}_{\text{2}}}{{\text{(S}}{{\text{O}}_{\text{4}}}{\text{)}}_{\text{3}}}\)
\({{\text{[CoC}}{{\text{l}}_{\text{4}}}{\text{]}}^{2 - }}\)
Draw a labelled diagram of the cell. Use an arrow to show the direction of the electron flow and identify the positive and negative electrodes.
Give the formulas of all the ions present in the solution.
Predict the products obtained at each electrode and state the half-equation for the formation of each product.
Deduce the molar ratios of the products obtained at the two electrodes.
concentrated sodium chloride
molten sodium bromide
Markscheme
the voltage obtained when the half-cell is connected to the standard hydrogen electrode;
under standard conditions of 298 K and \({\text{1 mol}}\,{\text{d}}{{\text{m}}^{ - 3}}\) solutions;
electrons flow (in the external circuit) from the half-cell to the hydrogen electrode / the metal in the half-cell is above hydrogen in the ECS / Fe is a better reducing agent than \({{\text{H}}_2}\) / Fe is oxidised more readily than \({{\text{H}}_2}\);
–0.28 V;
\({\text{C}}{{\text{o}}^{2 + }}\)/cobalt(II) ion;
\({\text{2Al}} + {\text{3F}}{{\text{e}}^{2 + }} \to {\text{3Fe}} + {\text{2A}}{{\text{l}}^{3 + }}\);
Award [1] for correct reactants and products and [1] for correctly balanced, ignore states.
Do not accept \( \rightleftharpoons \)
to complete the electrical circuit / OWTTE;
by allowing the movement of ions;
+2;
+3;
+2;
Only penalize once if roman numerals are used or if written as 2+ or 3+.
diagram to show:

battery/source of electricity connected to two electrodes in the solution with positive and negative electrodes correctly labelled;
electrons/current flowing from the cell to the negative electrode;
labelled solution of sodium chloride;
If the connecting wires to electrodes are immersed in the solution [1 max].
\({\text{N}}{{\text{a}}^ + }\), \({{\text{H}}^ + }{\text{/}}{{\text{H}}_{\text{3}}}{{\text{O}}^ + }\), \({\text{C}}{{\text{l}}^ - }\), \({\text{O}}{{\text{H}}^ - }\)
All four correct [2], any three correct [1].
hydrogen at (–)/cathode and oxygen at (+)/anode;
\({\text{2}}{{\text{H}}^ + } + {\text{2}}{{\text{e}}^ - } \to {{\text{H}}_2}{\text{ / 2}}{{\text{H}}_2}{\text{O}} + {\text{2}}{{\text{e}}^ - } \to {{\text{H}}_{\text{2}}} + 2{\text{O}}{{\text{H}}^ - }\);
\({\text{4O}}{{\text{H}}^ - } \to {{\text{O}}_{\text{2}}} + 2{{\text{H}}_2}{\text{O}} + {\text{4}}{{\text{e}}^ - }{\text{ / 2}}{{\text{H}}_2}{\text{O}} \to {{\text{O}}_2} + {\text{4}}{{\text{H}}^ + } + {\text{4}}{{\text{e}}^ - }\);
Accept e instead of e–
If electrodes omitted or wrong way round [2 max].
Ratio of \({{\text{H}}_{\text{2}}}:{{\text{O}}_{\text{2}}}\) is \(2:1\);
\({\text{(}} - {\text{)/(cathode) 2}}{{\text{H}}^ + } + {\text{2}}{{\text{e}}^ - } \to {{\text{H}}_2}/{\text{2}}{{\text{H}}_2}{\text{O}} + {\text{2}}{{\text{e}}^ - } \to {{\text{H}}_2} + {\text{2O}}{{\text{H}}^ - }\);
\({\text{( + )/(anode) 2C}}{{\text{l}}^ - } \to {\text{C}}{{\text{l}}_2} + {\text{2}}{{\text{e}}^ - }\);
Accept e instead of e–.
If electrodes omitted or wrong way round [1 max]
\({\text{(}} - {\text{)/(cathode) N}}{{\text{a}}^ + } + {{\text{e}}^ - } \to {\text{Na}}\);
\({\text{( + )/(anode) 2B}}{{\text{r}}^ - } \to {\text{B}}{{\text{r}}_2} + {\text{2}}{{\text{e}}^ - }\);
Accept e instead of e–.
If electrodes omitted or wrong way round [1 max].
Examiners report
This question was poorly answered. In part (a), the definition of standard electrode potential was poorly stated, with the standard hydrogen electrode rarely mentioned.
Many candidates had difficulty determining the value of the standard electrode potential for the cobalt half-cell.
Few gave \({\text{C}}{{\text{o}}^{2 + }}\) as the oxidizing agent.
If a penalty had already been incurred in Question 4, no further penalty was applied; otherwise the use of the equilibrium arrow in this question was penalized once only.
In part (b), most candidates correctly determined the oxidation states, although they were frequently written incorrectly as 2+ or 3+.
In part (b), most candidates correctly determined the oxidation states, although they were frequently written incorrectly as 2+ or 3+.
In part (b), most candidates correctly determined the oxidation states, although they were frequently written incorrectly as 2+ or 3+.
In part (c) many candidates drew a voltaic cell instead of an electrolytic cell.
Half-equations were frequently the wrong way round, and electrodes were not identified. Candidates who included states of matter in their equations frequently wrote the wrong state and were penalized.
Half-equations were frequently the wrong way round, and electrodes were not identified. Candidates who included states of matter in their equations frequently wrote the wrong state and were penalized.
A class studied the equilibrium established when ethanoic acid and ethanol react together in the presence of a strong acid, using propanone as an inert solvent. The equation is given below.
\[{\text{C}}{{\text{H}}_{\text{3}}}{\text{COOH}} + {{\text{C}}_{\text{2}}}{{\text{H}}_{\text{5}}}{\text{OH}} \rightleftharpoons {\text{C}}{{\text{H}}_{\text{3}}}{\text{COO}}{{\text{C}}_{\text{2}}}{{\text{H}}_{\text{5}}} + {{\text{H}}_{\text{2}}}{\text{O}}\]
One group made the following initial mixture:

After one week, a \(5.00 \pm 0.05{\text{ c}}{{\text{m}}^{\text{3}}}\) sample of the final equilibrium mixture was pipetted out and titrated with \({\text{0.200 mol}}\,{\text{d}}{{\text{m}}^{ - 3}}\) aqueous sodium hydroxide to determine the amount of ethanoic acid remaining. The following titration results were obtained:

The density of ethanoic acid is \({\text{1.05 g}}\,{\text{c}}{{\text{m}}^{ - 3}}\). Determine the amount, in mol, of ethanoic acid present in the initial mixture.
The concentration of ethanoic acid can be calculated as \({\text{1.748 mol}}\,{\text{d}}{{\text{m}}^{ - 3}}\). Determine the percentage uncertainty of this value. (Neglect any uncertainty in the density and the molar mass.)
Calculate the absolute uncertainty of the titre for Titration 1 (\({\text{27.60 c}}{{\text{m}}^3}\)).
Suggest the average volume of alkali, required to neutralize the \({\text{5.00 c}}{{\text{m}}^{\text{3}}}\) sample, that the student should use.
\({\text{3.00 c}}{{\text{m}}^{\text{3}}}\) of the \({\text{0.200 mol}}\,{\text{d}}{{\text{m}}^{ - 3}}\) aqueous sodium hydroxide reacted with the hydrochloric acid present in the \({\text{5.00 c}}{{\text{m}}^{\text{3}}}\) sample. Determine the concentration of ethanoic acid in the final equilibrium mixture.
Deduce the equilibrium constant expression for the reaction.
The other concentrations in the equilibrium mixture were calculated as follows:

Use these data, along with your answer to part (iii), to determine the value of the equilibrium constant. (If you did not obtain an answer to part (iii), assume the concentrations of ethanol and ethanoic acid are equal, although this is not the case.)
Outline how you could establish that the system had reached equilibrium at the end of one week.
Outline why changing the temperature has only a very small effect on the value of the equilibrium constant for this equilibrium.
Outline how adding some ethyl ethanoate to the initial mixture would affect the amount of ethanoic acid converted to product.
Propanone is used as the solvent because one compound involved in the equilibrium is insoluble in water. Identify this compound and explain why it is insoluble in water.
Suggest one other reason why using water as a solvent would make the experiment less successful.
Markscheme
\({\text{M(C}}{{\text{H}}_{\text{3}}}{\text{COOH)}}\left( { = (4 \times 1.01) + (2 \times 12.01) + (2 \times 16.00)} \right) = 60.06{\text{ (g}}\,{\text{mo}}{{\text{l}}^{ - 1}})\);
Accept 60 (g mol–1).
\({\text{mass (C}}{{\text{H}}_3}{\text{COOH) }}( = 5.00 \times 1.05) = 5.25{\text{ (g)}}\);
\(\frac{{5.25}}{{60.06}} = 0.0874{\text{ (mol)}}\);
Award [3] for correct final answer.
Accept 0.0875 (comes from using Mr = 60 g mol–1).
percentage uncertainty in volume of ethanoic acid \( = 100 \times \frac{{0.05}}{{5.00}}{\text{ }} = 1\% \);
percentage uncertainty in total volume \( = 100 \times \frac{{0.62}}{{50}} = 1.24\% \);
total percentage uncertainty \( = 1 + 1.24 = 2.24\% \);
Accept rounding down to 2.2/2%.
\( \pm 0.1/0.10{\text{ }}({\text{c}}{{\text{m}}^3})\);
Do not accept without ±.
\({\text{26.00 (c}}{{\text{m}}^{\text{3}}}{\text{)}}\);
\(26.00 - 3.00 = 23.00{\text{ }}({\text{c}}{{\text{m}}^3})\);
If other methods used, award M1 for calculating amount of NaOH reacting with CH3COOH.
\(0.200 \times \frac{{23.00}}{{5.00}} = 0.920{\text{ }}({\text{mol}}\,{\text{d}}{{\text{m}}^{ - 3}})\);
Award [2] for correct final answer.
If (ii) given as mean titre (26.5 cm3) then ECF answer comes to 0.94 (mol dm–3).
\(({K_{\text{c}}} = )\frac{{{\text{[C}}{{\text{H}}_3}{\text{COO}}{{\text{C}}_2}{{\text{H}}_5}{\text{][}}{{\text{H}}_2}{\text{O]}}}}{{{\text{[}}{{\text{C}}_2}{{\text{H}}_5}{\text{OH][C}}{{\text{H}}_3}{\text{COOH]}}}}\);
Do not penalize minor errors in formulas.
Accept \(({K_{\text{c}}} = )\frac{{{\text{[}}esther{\text{][}}water{\text{]}}}}{{[ethanol/alcohol{\text{][(}}ethanoic{\text{) }}acid{\text{]}}}}\).
\(({K_c} = )\frac{{0.828 \times 1.80}}{{0.884 \times 0.920}} = 1.83\);
If assumed [CH3COOH] = 0.884 mol dm-3, answer is 1.91 – allow this even if an answer was obtained for (iii).
If (ii) given as mean titre (26.5 cm3) then ECF answer comes to 1.79.
repeat the titration a day/week later (and result should be the same) / OWTTE;
Accept “concentrations/physical properties/macroscopic properties of the system do not change”.
enthalpy change/\(\Delta H\) for the reaction is (very) small / OWTTE;
decreases (the amount of ethanoic acid converted);
Accept “increases amount of ethanoic acid present at equilibrium” / OWTTE.
(adding product) shifts position of equilibrium towards reactants/LHS / increases
the rate of the reverse reaction / OWTTE;
ethyl ethanoate/\({\text{C}}{{\text{H}}_{\text{3}}}{\text{COO}}{{\text{C}}_{\text{2}}}{{\text{H}}_{\text{5}}}\)/ester;
forms only weak hydrogen bonds (to water);
Allow “does not hydrogen bond to water” / “hydrocarbon sections too long” / OWTTE.
M2 can only be given only if M1 correct.
(large excess of) water will shift the position of equilibrium (far to the left) / OWTTE;
Accept any other chemically sound response, such as “dissociation of ethanoic acid would affect equilibrium”.
Examiners report
Generally candidates found this question quite challenging and some left quite a number of parts unanswered. The tradition is that the first question on the paper is a data response question, which often addresses many aspects of the syllabus, and unfortunately candidates, especially those of average or below average ability, seem to have difficulty in tackling questions of this nature. One other issue with data response questions is that, of necessity, the data appears at the beginning of the question whilst, mainly because of the space left for candidates to answer, the later parts of the question referring to these data may not appear until a number of pages into the paper.
Part (a) concerning density, volume and amount of substance was generally reasonably well answered, but the following parts, concerning uncertainties, were rarely answered correctly and a number confused precision (uncertainty, either absolute or as a percentage) and accuracy (percentage error in the value obtained). Many candidates also seemed to lack experimental common sense, simply taking an average that included an initial titre that was much larger than the concordant second and third titres, rather than excluding it. This lack of experimental “know how” was also evident in responses to (c) (iii) where it was unusual for the approach to the question to indicate the candidate had realised that the alkali was neutralising two different acids (HCl and \({\text{C}}{{\text{H}}_{\text{3}}}{\text{COOH}}\)) and again in part (d) where it was rare for the response to outline a practical solution to the problem, though quite a number of candidates suggested that the pH would become constant, presumably not realising that the pH would be dominated by the HCl catalyst. Most students could however carry out the more routine tasks of writing an equilibrium constant expression and determining its value from the data given. Many candidates were aware of Le Chatelier effects on the position of equilibrium, but a significant number failed to use this information to answer the question actually asked and the unusual approach to the effect of temperature disconcerted many. Whilst most students managed to identify the ester as the component of the mixture that was insoluble in water, the reasons given were usually couched in terms of the polarity of the molecule (many quite polar molecules, halogenoalkanes for example, are insoluble in water) rather than its inability to form strong hydrogen bonds to water, which is the critical factor. Quite a number of students came up with a valid reason why water would not be a suitable solvent, though some students appeared to have overlooked the fact the question stated “other reason”.
Generally candidates found this question quite challenging and some left quite a number of parts unanswered. The tradition is that the first question on the paper is a data response question, which often addresses many aspects of the syllabus, and unfortunately candidates, especially those of average or below average ability, seem to have difficulty in tackling questions of this nature. One other issue with data response questions is that, of necessity, the data appears at the beginning of the question whilst, mainly because of the space left for candidates to answer, the later parts of the question referring to these data may not appear until a number of pages into the paper.
Part (a) concerning density, volume and amount of substance was generally reasonably well answered, but the following parts, concerning uncertainties, were rarely answered correctly and a number confused precision (uncertainty, either absolute or as a percentage) and accuracy (percentage error in the value obtained). Many candidates also seemed to lack experimental common sense, simply taking an average that included an initial titre that was much larger than the concordant second and third titres, rather than excluding it. This lack of experimental “know how” was also evident in responses to (c) (iii) where it was unusual for the approach to the question to indicate the candidate had realised that the alkali was neutralising two different acids (HCl and \({\text{C}}{{\text{H}}_{\text{3}}}{\text{COOH}}\)) and again in part (d) where it was rare for the response to outline a practical solution to the problem, though quite a number of candidates suggested that the pH would become constant, presumably not realising that the pH would be dominated by the HCl catalyst. Most students could however carry out the more routine tasks of writing an equilibrium constant expression and determining its value from the data given. Many candidates were aware of Le Chatelier effects on the position of equilibrium, but a significant number failed to use this information to answer the question actually asked and the unusual approach to the effect of temperature disconcerted many. Whilst most students managed to identify the ester as the component of the mixture that was insoluble in water, the reasons given were usually couched in terms of the polarity of the molecule (many quite polar molecules, halogenoalkanes for example, are insoluble in water) rather than its inability to form strong hydrogen bonds to water, which is the critical factor. Quite a number of students came up with a valid reason why water would not be a suitable solvent, though some students appeared to have overlooked the fact the question stated “other reason”.
Generally candidates found this question quite challenging and some left quite a number of parts unanswered. The tradition is that the first question on the paper is a data response question, which often addresses many aspects of the syllabus, and unfortunately candidates, especially those of average or below average ability, seem to have difficulty in tackling questions of this nature. One other issue with data response questions is that, of necessity, the data appears at the beginning of the question whilst, mainly because of the space left for candidates to answer, the later parts of the question referring to these data may not appear until a number of pages into the paper.
Part (a) concerning density, volume and amount of substance was generally reasonably well answered, but the following parts, concerning uncertainties, were rarely answered correctly and a number confused precision (uncertainty, either absolute or as a percentage) and accuracy (percentage error in the value obtained). Many candidates also seemed to lack experimental common sense, simply taking an average that included an initial titre that was much larger than the concordant second and third titres, rather than excluding it. This lack of experimental “know how” was also evident in responses to (c) (iii) where it was unusual for the approach to the question to indicate the candidate had realised that the alkali was neutralising two different acids (HCl and \({\text{C}}{{\text{H}}_{\text{3}}}{\text{COOH}}\)) and again in part (d) where it was rare for the response to outline a practical solution to the problem, though quite a number of candidates suggested that the pH would become constant, presumably not realising that the pH would be dominated by the HCl catalyst. Most students could however carry out the more routine tasks of writing an equilibrium constant expression and determining its value from the data given. Many candidates were aware of Le Chatelier effects on the position of equilibrium, but a significant number failed to use this information to answer the question actually asked and the unusual approach to the effect of temperature disconcerted many. Whilst most students managed to identify the ester as the component of the mixture that was insoluble in water, the reasons given were usually couched in terms of the polarity of the molecule (many quite polar molecules, halogenoalkanes for example, are insoluble in water) rather than its inability to form strong hydrogen bonds to water, which is the critical factor. Quite a number of students came up with a valid reason why water would not be a suitable solvent, though some students appeared to have overlooked the fact the question stated “other reason”.
Generally candidates found this question quite challenging and some left quite a number of parts unanswered. The tradition is that the first question on the paper is a data response question, which often addresses many aspects of the syllabus, and unfortunately candidates, especially those of average or below average ability, seem to have difficulty in tackling questions of this nature. One other issue with data response questions is that, of necessity, the data appears at the beginning of the question whilst, mainly because of the space left for candidates to answer, the later parts of the question referring to these data may not appear until a number of pages into the paper.
Part (a) concerning density, volume and amount of substance was generally reasonably well answered, but the following parts, concerning uncertainties, were rarely answered correctly and a number confused precision (uncertainty, either absolute or as a percentage) and accuracy (percentage error in the value obtained). Many candidates also seemed to lack experimental common sense, simply taking an average that included an initial titre that was much larger than the concordant second and third titres, rather than excluding it. This lack of experimental “know how” was also evident in responses to (c) (iii) where it was unusual for the approach to the question to indicate the candidate had realised that the alkali was neutralising two different acids (HCl and \({\text{C}}{{\text{H}}_{\text{3}}}{\text{COOH}}\)) and again in part (d) where it was rare for the response to outline a practical solution to the problem, though quite a number of candidates suggested that the pH would become constant, presumably not realising that the pH would be dominated by the HCl catalyst. Most students could however carry out the more routine tasks of writing an equilibrium constant expression and determining its value from the data given. Many candidates were aware of Le Chatelier effects on the position of equilibrium, but a significant number failed to use this information to answer the question actually asked and the unusual approach to the effect of temperature disconcerted many. Whilst most students managed to identify the ester as the component of the mixture that was insoluble in water, the reasons given were usually couched in terms of the polarity of the molecule (many quite polar molecules, halogenoalkanes for example, are insoluble in water) rather than its inability to form strong hydrogen bonds to water, which is the critical factor. Quite a number of students came up with a valid reason why water would not be a suitable solvent, though some students appeared to have overlooked the fact the question stated “other reason”.
Generally candidates found this question quite challenging and some left quite a number of parts unanswered. The tradition is that the first question on the paper is a data response question, which often addresses many aspects of the syllabus, and unfortunately candidates, especially those of average or below average ability, seem to have difficulty in tackling questions of this nature. One other issue with data response questions is that, of necessity, the data appears at the beginning of the question whilst, mainly because of the space left for candidates to answer, the later parts of the question referring to these data may not appear until a number of pages into the paper.
Part (a) concerning density, volume and amount of substance was generally reasonably well answered, but the following parts, concerning uncertainties, were rarely answered correctly and a number confused precision (uncertainty, either absolute or as a percentage) and accuracy (percentage error in the value obtained). Many candidates also seemed to lack experimental common sense, simply taking an average that included an initial titre that was much larger than the concordant second and third titres, rather than excluding it. This lack of experimental “know how” was also evident in responses to (c) (iii) where it was unusual for the approach to the question to indicate the candidate had realised that the alkali was neutralising two different acids (HCl and \({\text{C}}{{\text{H}}_{\text{3}}}{\text{COOH}}\)) and again in part (d) where it was rare for the response to outline a practical solution to the problem, though quite a number of candidates suggested that the pH would become constant, presumably not realising that the pH would be dominated by the HCl catalyst. Most students could however carry out the more routine tasks of writing an equilibrium constant expression and determining its value from the data given. Many candidates were aware of Le Chatelier effects on the position of equilibrium, but a significant number failed to use this information to answer the question actually asked and the unusual approach to the effect of temperature disconcerted many. Whilst most students managed to identify the ester as the component of the mixture that was insoluble in water, the reasons given were usually couched in terms of the polarity of the molecule (many quite polar molecules, halogenoalkanes for example, are insoluble in water) rather than its inability to form strong hydrogen bonds to water, which is the critical factor. Quite a number of students came up with a valid reason why water would not be a suitable solvent, though some students appeared to have overlooked the fact the question stated “other reason”.
Generally candidates found this question quite challenging and some left quite a number of parts unanswered. The tradition is that the first question on the paper is a data response question, which often addresses many aspects of the syllabus, and unfortunately candidates, especially those of average or below average ability, seem to have difficulty in tackling questions of this nature. One other issue with data response questions is that, of necessity, the data appears at the beginning of the question whilst, mainly because of the space left for candidates to answer, the later parts of the question referring to these data may not appear until a number of pages into the paper.
Part (a) concerning density, volume and amount of substance was generally reasonably well answered, but the following parts, concerning uncertainties, were rarely answered correctly and a number confused precision (uncertainty, either absolute or as a percentage) and accuracy (percentage error in the value obtained). Many candidates also seemed to lack experimental common sense, simply taking an average that included an initial titre that was much larger than the concordant second and third titres, rather than excluding it. This lack of experimental “know how” was also evident in responses to (c) (iii) where it was unusual for the approach to the question to indicate the candidate had realised that the alkali was neutralising two different acids (HCl and \({\text{C}}{{\text{H}}_{\text{3}}}{\text{COOH}}\)) and again in part (d) where it was rare for the response to outline a practical solution to the problem, though quite a number of candidates suggested that the pH would become constant, presumably not realising that the pH would be dominated by the HCl catalyst. Most students could however carry out the more routine tasks of writing an equilibrium constant expression and determining its value from the data given. Many candidates were aware of Le Chatelier effects on the position of equilibrium, but a significant number failed to use this information to answer the question actually asked and the unusual approach to the effect of temperature disconcerted many. Whilst most students managed to identify the ester as the component of the mixture that was insoluble in water, the reasons given were usually couched in terms of the polarity of the molecule (many quite polar molecules, halogenoalkanes for example, are insoluble in water) rather than its inability to form strong hydrogen bonds to water, which is the critical factor. Quite a number of students came up with a valid reason why water would not be a suitable solvent, though some students appeared to have overlooked the fact the question stated “other reason”.
Generally candidates found this question quite challenging and some left quite a number of parts unanswered. The tradition is that the first question on the paper is a data response question, which often addresses many aspects of the syllabus, and unfortunately candidates, especially those of average or below average ability, seem to have difficulty in tackling questions of this nature. One other issue with data response questions is that, of necessity, the data appears at the beginning of the question whilst, mainly because of the space left for candidates to answer, the later parts of the question referring to these data may not appear until a number of pages into the paper.
Part (a) concerning density, volume and amount of substance was generally reasonably well answered, but the following parts, concerning uncertainties, were rarely answered correctly and a number confused precision (uncertainty, either absolute or as a percentage) and accuracy (percentage error in the value obtained). Many candidates also seemed to lack experimental common sense, simply taking an average that included an initial titre that was much larger than the concordant second and third titres, rather than excluding it. This lack of experimental “know how” was also evident in responses to (c) (iii) where it was unusual for the approach to the question to indicate the candidate had realised that the alkali was neutralising two different acids (HCl and \({\text{C}}{{\text{H}}_{\text{3}}}{\text{COOH}}\)) and again in part (d) where it was rare for the response to outline a practical solution to the problem, though quite a number of candidates suggested that the pH would become constant, presumably not realising that the pH would be dominated by the HCl catalyst. Most students could however carry out the more routine tasks of writing an equilibrium constant expression and determining its value from the data given. Many candidates were aware of Le Chatelier effects on the position of equilibrium, but a significant number failed to use this information to answer the question actually asked and the unusual approach to the effect of temperature disconcerted many. Whilst most students managed to identify the ester as the component of the mixture that was insoluble in water, the reasons given were usually couched in terms of the polarity of the molecule (many quite polar molecules, halogenoalkanes for example, are insoluble in water) rather than its inability to form strong hydrogen bonds to water, which is the critical factor. Quite a number of students came up with a valid reason why water would not be a suitable solvent, though some students appeared to have overlooked the fact the question stated “other reason”.
Generally candidates found this question quite challenging and some left quite a number of parts unanswered. The tradition is that the first question on the paper is a data response question, which often addresses many aspects of the syllabus, and unfortunately candidates, especially those of average or below average ability, seem to have difficulty in tackling questions of this nature. One other issue with data response questions is that, of necessity, the data appears at the beginning of the question whilst, mainly because of the space left for candidates to answer, the later parts of the question referring to these data may not appear until a number of pages into the paper.
Part (a) concerning density, volume and amount of substance was generally reasonably well answered, but the following parts, concerning uncertainties, were rarely answered correctly and a number confused precision (uncertainty, either absolute or as a percentage) and accuracy (percentage error in the value obtained). Many candidates also seemed to lack experimental common sense, simply taking an average that included an initial titre that was much larger than the concordant second and third titres, rather than excluding it. This lack of experimental “know how” was also evident in responses to (c) (iii) where it was unusual for the approach to the question to indicate the candidate had realised that the alkali was neutralising two different acids (HCl and \({\text{C}}{{\text{H}}_{\text{3}}}{\text{COOH}}\)) and again in part (d) where it was rare for the response to outline a practical solution to the problem, though quite a number of candidates suggested that the pH would become constant, presumably not realising that the pH would be dominated by the HCl catalyst. Most students could however carry out the more routine tasks of writing an equilibrium constant expression and determining its value from the data given. Many candidates were aware of Le Chatelier effects on the position of equilibrium, but a significant number failed to use this information to answer the question actually asked and the unusual approach to the effect of temperature disconcerted many. Whilst most students managed to identify the ester as the component of the mixture that was insoluble in water, the reasons given were usually couched in terms of the polarity of the molecule (many quite polar molecules, halogenoalkanes for example, are insoluble in water) rather than its inability to form strong hydrogen bonds to water, which is the critical factor. Quite a number of students came up with a valid reason why water would not be a suitable solvent, though some students appeared to have overlooked the fact the question stated “other reason”.
Generally candidates found this question quite challenging and some left quite a number of parts unanswered. The tradition is that the first question on the paper is a data response question, which often addresses many aspects of the syllabus, and unfortunately candidates, especially those of average or below average ability, seem to have difficulty in tackling questions of this nature. One other issue with data response questions is that, of necessity, the data appears at the beginning of the question whilst, mainly because of the space left for candidates to answer, the later parts of the question referring to these data may not appear until a number of pages into the paper.
Part (a) concerning density, volume and amount of substance was generally reasonably well answered, but the following parts, concerning uncertainties, were rarely answered correctly and a number confused precision (uncertainty, either absolute or as a percentage) and accuracy (percentage error in the value obtained). Many candidates also seemed to lack experimental common sense, simply taking an average that included an initial titre that was much larger than the concordant second and third titres, rather than excluding it. This lack of experimental “know how” was also evident in responses to (c) (iii) where it was unusual for the approach to the question to indicate the candidate had realised that the alkali was neutralising two different acids (HCl and \({\text{C}}{{\text{H}}_{\text{3}}}{\text{COOH}}\)) and again in part (d) where it was rare for the response to outline a practical solution to the problem, though quite a number of candidates suggested that the pH would become constant, presumably not realising that the pH would be dominated by the HCl catalyst. Most students could however carry out the more routine tasks of writing an equilibrium constant expression and determining its value from the data given. Many candidates were aware of Le Chatelier effects on the position of equilibrium, but a significant number failed to use this information to answer the question actually asked and the unusual approach to the effect of temperature disconcerted many. Whilst most students managed to identify the ester as the component of the mixture that was insoluble in water, the reasons given were usually couched in terms of the polarity of the molecule (many quite polar molecules, halogenoalkanes for example, are insoluble in water) rather than its inability to form strong hydrogen bonds to water, which is the critical factor. Quite a number of students came up with a valid reason why water would not be a suitable solvent, though some students appeared to have overlooked the fact the question stated “other reason”.
Generally candidates found this question quite challenging and some left quite a number of parts unanswered. The tradition is that the first question on the paper is a data response question, which often addresses many aspects of the syllabus, and unfortunately candidates, especially those of average or below average ability, seem to have difficulty in tackling questions of this nature. One other issue with data response questions is that, of necessity, the data appears at the beginning of the question whilst, mainly because of the space left for candidates to answer, the later parts of the question referring to these data may not appear until a number of pages into the paper.
Part (a) concerning density, volume and amount of substance was generally reasonably well answered, but the following parts, concerning uncertainties, were rarely answered correctly and a number confused precision (uncertainty, either absolute or as a percentage) and accuracy (percentage error in the value obtained). Many candidates also seemed to lack experimental common sense, simply taking an average that included an initial titre that was much larger than the concordant second and third titres, rather than excluding it. This lack of experimental “know how” was also evident in responses to (c) (iii) where it was unusual for the approach to the question to indicate the candidate had realised that the alkali was neutralising two different acids (HCl and \({\text{C}}{{\text{H}}_{\text{3}}}{\text{COOH}}\)) and again in part (d) where it was rare for the response to outline a practical solution to the problem, though quite a number of candidates suggested that the pH would become constant, presumably not realising that the pH would be dominated by the HCl catalyst. Most students could however carry out the more routine tasks of writing an equilibrium constant expression and determining its value from the data given. Many candidates were aware of Le Chatelier effects on the position of equilibrium, but a significant number failed to use this information to answer the question actually asked and the unusual approach to the effect of temperature disconcerted many. Whilst most students managed to identify the ester as the component of the mixture that was insoluble in water, the reasons given were usually couched in terms of the polarity of the molecule (many quite polar molecules, halogenoalkanes for example, are insoluble in water) rather than its inability to form strong hydrogen bonds to water, which is the critical factor. Quite a number of students came up with a valid reason why water would not be a suitable solvent, though some students appeared to have overlooked the fact the question stated “other reason”.
Generally candidates found this question quite challenging and some left quite a number of parts unanswered. The tradition is that the first question on the paper is a data response question, which often addresses many aspects of the syllabus, and unfortunately candidates, especially those of average or below average ability, seem to have difficulty in tackling questions of this nature. One other issue with data response questions is that, of necessity, the data appears at the beginning of the question whilst, mainly because of the space left for candidates to answer, the later parts of the question referring to these data may not appear until a number of pages into the paper.
Part (a) concerning density, volume and amount of substance was generally reasonably well answered, but the following parts, concerning uncertainties, were rarely answered correctly and a number confused precision (uncertainty, either absolute or as a percentage) and accuracy (percentage error in the value obtained). Many candidates also seemed to lack experimental common sense, simply taking an average that included an initial titre that was much larger than the concordant second and third titres, rather than excluding it. This lack of experimental “know how” was also evident in responses to (c) (iii) where it was unusual for the approach to the question to indicate the candidate had realised that the alkali was neutralising two different acids (HCl and \({\text{C}}{{\text{H}}_{\text{3}}}{\text{COOH}}\)) and again in part (d) where it was rare for the response to outline a practical solution to the problem, though quite a number of candidates suggested that the pH would become constant, presumably not realising that the pH would be dominated by the HCl catalyst. Most students could however carry out the more routine tasks of writing an equilibrium constant expression and determining its value from the data given. Many candidates were aware of Le Chatelier effects on the position of equilibrium, but a significant number failed to use this information to answer the question actually asked and the unusual approach to the effect of temperature disconcerted many. Whilst most students managed to identify the ester as the component of the mixture that was insoluble in water, the reasons given were usually couched in terms of the polarity of the molecule (many quite polar molecules, halogenoalkanes for example, are insoluble in water) rather than its inability to form strong hydrogen bonds to water, which is the critical factor. Quite a number of students came up with a valid reason why water would not be a suitable solvent, though some students appeared to have overlooked the fact the question stated “other reason”.
Generally candidates found this question quite challenging and some left quite a number of parts unanswered. The tradition is that the first question on the paper is a data response question, which often addresses many aspects of the syllabus, and unfortunately candidates, especially those of average or below average ability, seem to have difficulty in tackling questions of this nature. One other issue with data response questions is that, of necessity, the data appears at the beginning of the question whilst, mainly because of the space left for candidates to answer, the later parts of the question referring to these data may not appear until a number of pages into the paper.
Part (a) concerning density, volume and amount of substance was generally reasonably well answered, but the following parts, concerning uncertainties, were rarely answered correctly and a number confused precision (uncertainty, either absolute or as a percentage) and accuracy (percentage error in the value obtained). Many candidates also seemed to lack experimental common sense, simply taking an average that included an initial titre that was much larger than the concordant second and third titres, rather than excluding it. This lack of experimental “know how” was also evident in responses to (c) (iii) where it was unusual for the approach to the question to indicate the candidate had realised that the alkali was neutralising two different acids (HCl and \({\text{C}}{{\text{H}}_{\text{3}}}{\text{COOH}}\)) and again in part (d) where it was rare for the response to outline a practical solution to the problem, though quite a number of candidates suggested that the pH would become constant, presumably not realising that the pH would be dominated by the HCl catalyst. Most students could however carry out the more routine tasks of writing an equilibrium constant expression and determining its value from the data given. Many candidates were aware of Le Chatelier effects on the position of equilibrium, but a significant number failed to use this information to answer the question actually asked and the unusual approach to the effect of temperature disconcerted many. Whilst most students managed to identify the ester as the component of the mixture that was insoluble in water, the reasons given were usually couched in terms of the polarity of the molecule (many quite polar molecules, halogenoalkanes for example, are insoluble in water) rather than its inability to form strong hydrogen bonds to water, which is the critical factor. Quite a number of students came up with a valid reason why water would not be a suitable solvent, though some students appeared to have overlooked the fact the question stated “other reason”.
A group of students investigated the rate of the reaction between aqueous sodium thiosulfate and hydrochloric acid according to the equation below.
\[{\text{N}}{{\text{a}}_2}{{\text{S}}_2}{{\text{O}}_3}{\text{(aq)}} + {\text{2HCl(aq)}} \to {\text{2NaCl(aq)}} + {\text{S}}{{\text{O}}_2}{\text{(g)}} + {\text{S(s)}} + {{\text{H}}_2}{\text{O(l )}}\]
The two reagents were rapidly mixed together in a beaker and placed over a mark on a piece of paper. The time taken for the precipitate of sulfur to obscure the mark when viewed through the reaction mixture was recorded.

Initially they measured out \({\text{10.0 c}}{{\text{m}}^{\text{3}}}\) of \({\text{0.500 mol}}\,{\text{d}}{{\text{m}}^{ - 3}}\) hydrochloric acid and then added \({\text{40.0 c}}{{\text{m}}^{\text{3}}}\) of \({\text{0.0200 mol}}\,{\text{d}}{{\text{m}}^{ - 3}}\) aqueous sodium thiosulfate. The mark on the paper was obscured 47 seconds after the solutions were mixed.
One proposed mechanism for this reaction is:
\({{\text{S}}_2}{\text{O}}_3^{2 - }{\text{(aq)}} + {{\text{H}}^ + }{\text{(aq)}} \rightleftharpoons {\text{H}}{{\text{S}}_2}{\text{O}}_3^ - {\text{(aq)}}\) Fast
\({\text{H}}{{\text{S}}_2}{\text{O}}_3^ - {\text{(aq)}} + {{\text{H}}^ + }{\text{(aq)}} \to {\text{S}}{{\text{O}}_2}{\text{(g)}} + {\text{S(s)}} + {{\text{H}}_2}{\text{O(l)}}\) Slow
The teacher asked the students to devise another technique to measure the rate of this reaction.
Another group suggested collecting the sulfur dioxide and drawing a graph of the volume of gas against time.
(i) State the volumes of the liquids that should be mixed.

(ii) State why it is important that the students use a similar beaker for both reactions.
(iii) If the reaction were first order with respect to the thiosulfate ion, predict the time it would take for the mark on the paper to be obscured when the concentration of sodium thiosulfate solution is halved.
(i) Deduce the rate expression of this mechanism.
(ii) The results of an experiment investigating the effect of the concentration of hydrochloric acid on the rate, while keeping the concentration of thiosulfate at the original value, are given in the table below.

On the axes provided, draw an appropriate graph to investigate the order of the reaction with respect to hydrochloric acid.

(iii) Identify two ways in which these data do not support the rate expression deduced in part (i).
(i) Sketch and label, indicating an approximate activation energy, the Maxwell–Boltzmann energy distribution curves for two temperatures, \({T_1}\) and \(T2{\text{ }}({T_2} > {T_1})\), at which the rate of reaction would be significantly different.

(ii) Explain why increasing the temperature of the reaction mixture would significantly increase the rate of the reaction.
(i) One group suggested recording how long it takes for the pH of the solution to change by one unit. Calculate the initial pH of the original reaction mixture.
(ii) Deduce the percentage of hydrochloric acid that would have to be used up for the pH to change by one unit.
Calculate the volume of sulfur dioxide, in \({\text{c}}{{\text{m}}^{\text{3}}}\), that the original reaction mixture would produce if it were collected at \(1.00 \times {10^5}{\text{ Pa}}\) and 300 K.
Sulfur dioxide, a major cause of acid rain, is quite soluble in water and the equilibrium shown below is established.
\({\text{S}}{{\text{O}}_2}{\text{(aq)}} + {{\text{H}}_2}{\text{O(l)}} \rightleftharpoons {\text{HSO}}_3^ - {\text{(aq)}} + {{\text{H}}^ + }{\text{(aq)}}\)
Given that the \({K_{\text{a}}}\) for this equilibrium is \(1.25 \times {10^{ - 2}}{\text{ mol}}\,{\text{d}}{{\text{m}}^{ - 3}}\), determine the pH of a \(2.00{\text{ mol}}\,{\text{d}}{{\text{m}}^{ - 3}}\) solution of sulfur dioxide.
Using Table 15 of the Data Booklet, identify an organic acid that is a stronger acid than sulfur dioxide.
Markscheme
(i)
;
Accept other volumes in a 1:2:2 ratio.
(ii) depth of liquid in the beaker must remain constant / OWTTE;
Accept “same thickness of glass” and any other valid point, such as answers framed around minimizing uncontrolled variables / making it a “fair test”.
(iii) 94 (s) / 1 min 34 s;
(i) \({\text{rate}} = k{\text{[}}{{\text{S}}_{\text{2}}}{\text{O}}_3^{2 - }{\text{][}}{{\text{H}}^ + }{{\text{]}}^2}/{\text{rate}} = k{\text{[N}}{{\text{a}}_2}{{\text{S}}_2}{{\text{O}}_3}{\text{][HCl}}{{\text{]}}^2}\);
(ii) 
correct scale and units on y-axis;
Accept other suitable scales (such as 1/t) and units (such as ms–1).
Axes do not have to show origin/start at zero.
correct calculation of rate in \({s^{ - 1}}\);

If graph correct, assume this has been done on calculator and not written down.
correct plotting of points that the student decides to use and a connecting line;
Award final mark if 3 or more points are correct, irrespective of what is plotted on y-axis.
If line goes through the correct values at given concentrations of HCl, assume that points are marked there.
(iii) linear dependence on [HCl] (so not second order in \({\text{[}}{{\text{H}}^ + }{\text{]}}\));
Accept that doubling of concentration does not result in quadrupling of rate / OWTTE.
does not go through origin;
Remember to allow ECF from (b) (i).
(i) 
labelled y-axis: number of particles / probability of particles (with that kinetic energy) and labelled x-axis: (kinetic) energy;
Allow fraction/proportion/amount of particles (with kinetic energy) for y-axis label.
Allow speed/velocity for x-axis label.
\({T_2}\) curve broader and with maximum lower and to right of \({T_1}\) curve;
Do not award this mark if both curves not asymmetric.
Curves must pass through the origin and be asymptotic to x axis.
Do not award this mark if curves not labelled.
\({E_{\text{a}}}\) marked on graph;
(ii) kinetic energy of molecules increases;
This may be answered implicitly in the final marking point.
frequency of collision/number of collisions per unit time increases;
Do not accept “number of collisions increases”.
greater proportion of molecules have energy greater than/equal to activation energy / rate related to temperature by the Arrhenius equation;
Award [1 max] for statements such as “there will be more successful collisions” if neither of last two marking points awarded.
(i) \({\text{[}}{{\text{H}}^ + }{\text{]}} = 0.5 \times \frac{{10}}{{50}} = 0.1{\text{ (mol}}\,{\text{d}}{{\text{m}}^{ - 3}}{\text{)}}\);
\({\text{pH (}} = - \log {\text{[H}}{{\text{r}}^ + }{\text{]}} = - \log (0.10)) = 1\);
(ii) 90%;
\({\text{mol N}}{{\text{a}}_{\text{2}}}{{\text{S}}_{\text{2}}}{{\text{O}}_{\text{3}}} = {\text{mol S}}{{\text{O}}_{\text{2}}} = 0.0400 \times 0.0200 = 0.000800\);
\(V = \frac{{n \times R \times T}}{p}/\frac{{0.000800 \times 8.31 \times 300}}{{{{10}^5}}}\);
\((1.99 \times {10^{ - 5}}{\text{ }}{{\text{m}}^3}) = 19.9{\text{ }}({\text{c}}{{\text{m}}^3})\);
Note that two errors involving a factor of 1000 can also produce the correct answer. If this is the case award [1] not [3].
Accept 20.0 cm3 if R =8.314 is used.
Award [2] for 17.9 cm3 or 19.2 cm3 (result from using molar volume at standard temperature and pressure or at room temperature and pressure).
OR
\({\text{mol N}}{{\text{a}}_2}{{\text{S}}_2}{{\text{O}}_3} = {\text{mol S}}{{\text{O}}_2} = 0.0400 \times 0.0200 = 0.000800\);
\(V = 0.00080 \times 2.24 \times {10^{ - 2}} \times \left[ {\frac{{1.00 \times {{10}^5}}}{{1.01 \times {{10}^5}}}} \right] \times \frac{{300}}{{273}}\);
\((1.95 \times {10^{ - 5}}{\text{ }}{{\text{m}}^3}) = 19.5{\text{ }}({\text{c}}{{\text{m}}^3})\);
Note that two errors involving a factor of 1000 can also produce the correct answer. If this is the case award [1] not [3].
Deduct [1] for answers based on amount of HCl, so correct calculation would score [2 max].
\({K_{\text{a}}} = \frac{{{\text{[}}{{\text{H}}^ + }{\text{][HSO}}_3^ - {\text{]}}}}{{{\text{[}}{{\text{H}}_2}{\text{S}}{{\text{O}}_3}{\text{]}}}} = \frac{{{x^2}}}{{2 - x}} \approx \frac{{{x^2}}}{2} \approx 1.25 \times {10^{ - 2}}{\text{ (mol}}\,{\text{d}}{{\text{m}}^{ - 3}}{\text{)}}\);
\({\text{[}}{{\text{H}}^ + }{\text{]}} = \sqrt {2.50 \times {{10}^{ - 2}}} = 0.158{\text{ }}({\text{mol}}\,{\text{d}}{{\text{m}}^{ - 3}})\);
\({\text{pH}} = - \log (0.158) = 0.80\);
Award [3] for correct final answer.
dichloroethanoic acid / trichloroethanoic acid / 2,4,6-trinitrophenol;
Examiners report
This was quite a popular question, though generally not well answered. In the first part students again appeared to display a lack of expertise in a practical context with very few able to devise a mixture that would halve the concentration of thiosulfate, whilst keeping other concentrations constant, and answers predicting that this would halve the reaction time were far more commonly encountered than those doubling it. Many candidates did however suggest valid reasons why the reaction vessel should remain unchanged and a significant number of students were able to correctly deduce the rate equation that the mechanism given would predict. Again a lack of ability to interpret experimental data was evident in the fact that it was very rare to find students who realised that a graph of (time)-1 against concentration was required to be able to deduce the reaction order, with almost all simply plotting time-concentration graphs and, as a result, very few could evaluate the mechanism in the light of the experimental data. Part (c) was a fairly standard question on the effect of temperature on reaction rate, hence it was a surprise that students did not score better on it, with many of the oft repeated mistakes (number of collisions rather than collision frequency) again coming to the surface. Again it was probably inability to interpret experimental data that led to only very few students being able to correctly state the initial pH of the mixture (I am certain almost all would have gained the mark if the pH of \({\text{ 0.1 mol}}\,{\text{d}}{{\text{m}}^{ - 3}}\) HCl had been asked for) and the percentage that would have to be consumed to increase the pH by one unit (which is independent of the previous answer) proved too much for almost all candidates. In part (e) most students could quote and substitute into the ideal gas equation, but converting from \({{\text{m}}^3}\) to \({\text{c}}{{\text{m}}^3}\) posed a problem for most candidates. Quite a number of candidates were however able to calculate the pH of the sulfur dioxide solution and identify a stronger acid.
This was quite a popular question, though generally not well answered. In the first part students again appeared to display a lack of expertise in a practical context with very few able to devise a mixture that would halve the concentration of thiosulfate, whilst keeping other concentrations constant, and answers predicting that this would halve the reaction time were far more commonly encountered than those doubling it. Many candidates did however suggest valid reasons why the reaction vessel should remain unchanged and a significant number of students were able to correctly deduce the rate equation that the mechanism given would predict. Again a lack of ability to interpret experimental data was evident in the fact that it was very rare to find students who realised that a graph of (time)-1 against concentration was required to be able to deduce the reaction order, with almost all simply plotting time-concentration graphs and, as a result, very few could evaluate the mechanism in the light of the experimental data. Part (c) was a fairly standard question on the effect of temperature on reaction rate, hence it was a surprise that students did not score better on it, with many of the oft repeated mistakes (number of collisions rather than collision frequency) again coming to the surface. Again it was probably inability to interpret experimental data that led to only very few students being able to correctly state the initial pH of the mixture (I am certain almost all would have gained the mark if the pH of \({\text{ 0.1 mol}}\,{\text{d}}{{\text{m}}^{ - 3}}\) HCl had been asked for) and the percentage that would have to be consumed to increase the pH by one unit (which is independent of the previous answer) proved too much for almost all candidates. In part (e) most students could quote and substitute into the ideal gas equation, but converting from \({{\text{m}}^3}\) to \({\text{c}}{{\text{m}}^3}\) posed a problem for most candidates. Quite a number of candidates were however able to calculate the pH of the sulfur dioxide solution and identify a stronger acid.
This was quite a popular question, though generally not well answered. In the first part students again appeared to display a lack of expertise in a practical context with very few able to devise a mixture that would halve the concentration of thiosulfate, whilst keeping other concentrations constant, and answers predicting that this would halve the reaction time were far more commonly encountered than those doubling it. Many candidates did however suggest valid reasons why the reaction vessel should remain unchanged and a significant number of students were able to correctly deduce the rate equation that the mechanism given would predict. Again a lack of ability to interpret experimental data was evident in the fact that it was very rare to find students who realised that a graph of (time)-1 against concentration was required to be able to deduce the reaction order, with almost all simply plotting time-concentration graphs and, as a result, very few could evaluate the mechanism in the light of the experimental data. Part (c) was a fairly standard question on the effect of temperature on reaction rate, hence it was a surprise that students did not score better on it, with many of the oft repeated mistakes (number of collisions rather than collision frequency) again coming to the surface. Again it was probably inability to interpret experimental data that led to only very few students being able to correctly state the initial pH of the mixture (I am certain almost all would have gained the mark if the pH of \({\text{ 0.1 mol}}\,{\text{d}}{{\text{m}}^{ - 3}}\) HCl had been asked for) and the percentage that would have to be consumed to increase the pH by one unit (which is independent of the previous answer) proved too much for almost all candidates. In part (e) most students could quote and substitute into the ideal gas equation, but converting from \({{\text{m}}^3}\) to \({\text{c}}{{\text{m}}^3}\) posed a problem for most candidates. Quite a number of candidates were however able to calculate the pH of the sulfur dioxide solution and identify a stronger acid.
This was quite a popular question, though generally not well answered. In the first part students again appeared to display a lack of expertise in a practical context with very few able to devise a mixture that would halve the concentration of thiosulfate, whilst keeping other concentrations constant, and answers predicting that this would halve the reaction time were far more commonly encountered than those doubling it. Many candidates did however suggest valid reasons why the reaction vessel should remain unchanged and a significant number of students were able to correctly deduce the rate equation that the mechanism given would predict. Again a lack of ability to interpret experimental data was evident in the fact that it was very rare to find students who realised that a graph of (time)-1 against concentration was required to be able to deduce the reaction order, with almost all simply plotting time-concentration graphs and, as a result, very few could evaluate the mechanism in the light of the experimental data. Part (c) was a fairly standard question on the effect of temperature on reaction rate, hence it was a surprise that students did not score better on it, with many of the oft repeated mistakes (number of collisions rather than collision frequency) again coming to the surface. Again it was probably inability to interpret experimental data that led to only very few students being able to correctly state the initial pH of the mixture (I am certain almost all would have gained the mark if the pH of \({\text{ 0.1 mol}}\,{\text{d}}{{\text{m}}^{ - 3}}\) HCl had been asked for) and the percentage that would have to be consumed to increase the pH by one unit (which is independent of the previous answer) proved too much for almost all candidates. In part (e) most students could quote and substitute into the ideal gas equation, but converting from \({{\text{m}}^3}\) to \({\text{c}}{{\text{m}}^3}\) posed a problem for most candidates. Quite a number of candidates were however able to calculate the pH of the sulfur dioxide solution and identify a stronger acid.
This was quite a popular question, though generally not well answered. In the first part students again appeared to display a lack of expertise in a practical context with very few able to devise a mixture that would halve the concentration of thiosulfate, whilst keeping other concentrations constant, and answers predicting that this would halve the reaction time were far more commonly encountered than those doubling it. Many candidates did however suggest valid reasons why the reaction vessel should remain unchanged and a significant number of students were able to correctly deduce the rate equation that the mechanism given would predict. Again a lack of ability to interpret experimental data was evident in the fact that it was very rare to find students who realised that a graph of (time)-1 against concentration was required to be able to deduce the reaction order, with almost all simply plotting time-concentration graphs and, as a result, very few could evaluate the mechanism in the light of the experimental data. Part (c) was a fairly standard question on the effect of temperature on reaction rate, hence it was a surprise that students did not score better on it, with many of the oft repeated mistakes (number of collisions rather than collision frequency) again coming to the surface. Again it was probably inability to interpret experimental data that led to only very few students being able to correctly state the initial pH of the mixture (I am certain almost all would have gained the mark if the pH of \({\text{ 0.1 mol}}\,{\text{d}}{{\text{m}}^{ - 3}}\) HCl had been asked for) and the percentage that would have to be consumed to increase the pH by one unit (which is independent of the previous answer) proved too much for almost all candidates. In part (e) most students could quote and substitute into the ideal gas equation, but converting from \({{\text{m}}^3}\) to \({\text{c}}{{\text{m}}^3}\) posed a problem for most candidates. Quite a number of candidates were however able to calculate the pH of the sulfur dioxide solution and identify a stronger acid.
This was quite a popular question, though generally not well answered. In the first part students again appeared to display a lack of expertise in a practical context with very few able to devise a mixture that would halve the concentration of thiosulfate, whilst keeping other concentrations constant, and answers predicting that this would halve the reaction time were far more commonly encountered than those doubling it. Many candidates did however suggest valid reasons why the reaction vessel should remain unchanged and a significant number of students were able to correctly deduce the rate equation that the mechanism given would predict. Again a lack of ability to interpret experimental data was evident in the fact that it was very rare to find students who realised that a graph of (time)-1 against concentration was required to be able to deduce the reaction order, with almost all simply plotting time-concentration graphs and, as a result, very few could evaluate the mechanism in the light of the experimental data. Part (c) was a fairly standard question on the effect of temperature on reaction rate, hence it was a surprise that students did not score better on it, with many of the oft repeated mistakes (number of collisions rather than collision frequency) again coming to the surface. Again it was probably inability to interpret experimental data that led to only very few students being able to correctly state the initial pH of the mixture (I am certain almost all would have gained the mark if the pH of \({\text{ 0.1 mol}}\,{\text{d}}{{\text{m}}^{ - 3}}\) HCl had been asked for) and the percentage that would have to be consumed to increase the pH by one unit (which is independent of the previous answer) proved too much for almost all candidates. In part (e) most students could quote and substitute into the ideal gas equation, but converting from \({{\text{m}}^3}\) to \({\text{c}}{{\text{m}}^3}\) posed a problem for most candidates. Quite a number of candidates were however able to calculate the pH of the sulfur dioxide solution and identify a stronger acid.
This was quite a popular question, though generally not well answered. In the first part students again appeared to display a lack of expertise in a practical context with very few able to devise a mixture that would halve the concentration of thiosulfate, whilst keeping other concentrations constant, and answers predicting that this would halve the reaction time were far more commonly encountered than those doubling it. Many candidates did however suggest valid reasons why the reaction vessel should remain unchanged and a significant number of students were able to correctly deduce the rate equation that the mechanism given would predict. Again a lack of ability to interpret experimental data was evident in the fact that it was very rare to find students who realised that a graph of (time)-1 against concentration was required to be able to deduce the reaction order, with almost all simply plotting time-concentration graphs and, as a result, very few could evaluate the mechanism in the light of the experimental data. Part (c) was a fairly standard question on the effect of temperature on reaction rate, hence it was a surprise that students did not score better on it, with many of the oft repeated mistakes (number of collisions rather than collision frequency) again coming to the surface. Again it was probably inability to interpret experimental data that led to only very few students being able to correctly state the initial pH of the mixture (I am certain almost all would have gained the mark if the pH of \({\text{ 0.1 mol}}\,{\text{d}}{{\text{m}}^{ - 3}}\) HCl had been asked for) and the percentage that would have to be consumed to increase the pH by one unit (which is independent of the previous answer) proved too much for almost all candidates. In part (e) most students could quote and substitute into the ideal gas equation, but converting from \({{\text{m}}^3}\) to \({\text{c}}{{\text{m}}^3}\) posed a problem for most candidates. Quite a number of candidates were however able to calculate the pH of the sulfur dioxide solution and identify a stronger acid.
Magnesium is a group 2 metal which exists as a number of isotopes and forms many compounds.
Magnesium ions produce no emission or absorption lines in the visible region of the electromagnetic spectrum. Suggest why most magnesium compounds tested in a school laboratory show traces of yellow in the flame.
(i) Explain the convergence of lines in a hydrogen emission spectrum.
(ii) State what can be determined from the frequency of the convergence limit.
Magnesium chloride can be electrolysed.
(i) Deduce the half-equations for the reactions at each electrode when molten magnesium chloride is electrolysed, showing the state symbols of the products. The melting points of magnesium and magnesium chloride are 922K and 987K respectively.
(ii) Identify the type of reaction occurring at the cathode (negative electrode).
(iii) State the products when a very dilute aqueous solution of magnesium chloride is electrolysed.
Standard electrode potentials are measured relative to the standard hydrogen electrode. Describe a standard hydrogen electrode.
A magnesium half-cell, Mg(s)/Mg2+(aq), can be connected to a copper half-cell, Cu(s)/Cu2+(aq).
(i) Formulate an equation for the spontaneous reaction that occurs when the circuit is completed.
(ii) Determine the standard cell potential, in V, for the cell. Refer to section 24 of the data booklet.
(iii) Predict, giving a reason, the change in cell potential when the concentration of copper ions increases.
Markscheme
contamination with sodium/other «compounds»
i
energy levels are closer together at high energy / high frequency / short wavelength
ii
ionisation energy
i)
Anode (positive electrode):
2Cl– → Cl2 (g) + 2e–
Cathode (negative electrode):
Mg2+ + 2e– → Mg (l)
Penalize missing/incorrect state symbols at Cl2 and Mg once only.
Award [1 max] if equations are at wrong electrodes.
Accept Mg (g).
ii)
reduction
iii)
Anode (positive electrode):
oxygen/O2
OR
hydogen ion/proton/H+ AND oxygen/O2
Cathode (negative electrode):
hydrogen/H2
OR
hydroxide «ion»/OH– AND hydrogen/H2
Award [1 max] if correct products given at wrong electrodes.
Any two of:
«inert» Pt electrode
OR
platinum black conductor
1 mol dm–3 H+ (aq)
H2 (g) at 100 kPa
Accept 1 atm H2 (g).
Accept 1 bar H2 (g)
Accept a labelled diagram.
Ignore temperature if it is specified.
i
Mg(s) + Cu2+ (aq) → Mg2+ (aq) + Cu(s)
ii
«+0.34V – (–2.37V) = +»2.71 «V»
iii
cell potential increases
reaction «in Q4(k)(i)» moves to the right
OR
potential of the copper half-cell increases/becomes more positive
Accept correct answers based on the Nernst equation
Examiners report
\({\text{25.0 c}}{{\text{m}}^{\text{3}}}\) of \({\text{0.200 mol}}\,{\text{d}}{{\text{m}}^{ - 3}}\) ethanoic acid was added to \({\text{30.0 c}}{{\text{m}}^{\text{3}}}\) of a \({\text{0.150 mol}}\,{\text{d}}{{\text{m}}^{ - 3}}\) sodium hydrogencarbonate solution, \({\text{NaHC}}{{\text{O}}_{\text{3}}}{\text{(aq)}}\).
The molar mass of a volatile organic liquid, X, can be determined experimentally by allowing it to vaporize completely at a controlled temperature and pressure. 0.348 g of X was injected into a gas syringe maintained at a temperature of 90 °C and a pressure of \(1.01 \times {10^5}{\text{ Pa}}\). Once it had reached equilibrium, the gas volume was measured as \({\text{95.0 c}}{{\text{m}}^{\text{3}}}\).
Bromoethane, \({\text{C}}{{\text{H}}_{\text{3}}}{\text{C}}{{\text{H}}_{\text{2}}}{\text{Br}}\), undergoes a substitution reaction to form ethylamine, \({\text{C}}{{\text{H}}_{\text{3}}}{\text{C}}{{\text{H}}_{\text{2}}}{\text{N}}{{\text{H}}_{\text{2}}}\).
Many organic compounds exist as stereoisomers.
Outline how electrical conductivity can be used to distinguish between a \({\text{0.200 mol}}\,{\text{d}}{{\text{m}}^{ - 3}}\) solution of ethanoic acid, \({\text{C}}{{\text{H}}_{\text{3}}}{\text{COOH}}\), and a \({\text{0.200 mol}}\,{\text{d}}{{\text{m}}^{ - 3}}\) solution of hydrochloric acid, HCl.
(i) State an equation for the reaction of ethanoic acid with a solution of sodium hydrogencarbonate.
(ii) Determine which is the limiting reagent. Show your working.
(iii) Calculate the mass, in g, of carbon dioxide gas produced.
(i) Determine the amount, in mol, of X in the gas syringe.
(ii) Calculate the molar mass of X.
Deduce the mechanism for the reaction using equations and curly arrows to represent the movement of electron pairs.
(i) Outline the meaning of the term stereoisomers.
(ii) Draw the structures of the two stereoisomers of dichloroethene, \({{\text{C}}_{\text{2}}}{{\text{H}}_{\text{2}}}{\text{C}}{{\text{l}}_{\text{2}}}\).
(iii) Explain why this type of stereoisomerism exists in \({{\text{C}}_{\text{2}}}{{\text{H}}_{\text{2}}}{\text{C}}{{\text{l}}_{\text{2}}}\).
(iv) Draw the structures of the two stereoisomers of 1-chloro-1-fluoroethane, \({{\text{C}}_{\text{2}}}{{\text{H}}_{\text{4}}}{\text{FCl}}\), showing the relationship between them.
(v) Outline how the two isomers of \({{\text{C}}_{\text{2}}}{{\text{H}}_{\text{4}}}{\text{FCl}}\) could be distinguished from each other.
Markscheme
HCl is a strong acid and \({\text{C}}{{\text{H}}_3}{\text{COOH}}\) is a weak acid so HCl has higher conductivity / HCl dissociates completely in water and \({\text{C}}{{\text{H}}_3}{\text{COOH}}\) does not, so HCl has higher conductivity / HCl is a stronger acid (than \({\text{C}}{{\text{H}}_{\text{3}}}{\text{COOH}}\)) so has higher \({\text{[}}{{\text{H}}^ + }{\text{]}}\) and higher conductivity;
(i) \({\text{C}}{{\text{H}}_3}{\text{COOH(aq)}} + {\text{HCO}}_3^ - {\text{(aq)}} \to {\text{C}}{{\text{H}}_3}{\text{CO}}{{\text{O}}^ - }{\text{(aq)}} + {{\text{H}}_2}{\text{O(l)}} + {\text{C}}{{\text{O}}_2}{\text{(g)}}\);
Accept NaHCO3(aq) and CH3COONa (aq) instead of ions.
Ignore state symbols.
(ii) \(n({\text{C}}{{\text{H}}_3}{\text{COOH}}) = 0.00500{\text{ (mol)}}\) and \(n{\text{(NaHC}}{{\text{O}}_3}{\text{)}} = 0.00450{\text{ (mol)}}\);
\({\text{NaHC}}{{\text{O}}_3}\) is limiting;
(iii) \(n{\text{(C}}{{\text{O}}_2}{\text{)}} = n{\text{(NaHC}}{{\text{O}}_{\text{3}}}{\text{)}} = 0.00450{\text{ (mol)}}\);
\(m{\text{(C}}{{\text{O}}_2}{\text{)}} = 0.00450 \times 44.01 = 0.198{\text{(g)}}\);
Award [2] for correct final answer.
(i) \(T = 363{\text{ K}}\) and \(V = 9.50 \times {10^{ - 5}}{\text{ }}{{\text{m}}^3}\);
Accept V = 9.5 \( \times \) 10–2 dm3 if P is used as 101 kPa in calculation.
\(n = \frac{{PV}}{{RT}} = \frac{{1.01 \times {{10}^5} \times 9.50 \times {{10}^{ - 5}}}}{{8.31 \times 363}}\);
\( = 3.18 \times {10^{ - 3}}{\text{ (mol)}}\);
Award [3] for correct final answer.
(ii) \(M - \left( {\frac{m}{n} = \frac{{0.348}}{{3.18 \times {{10}^{ - 3}}}} = } \right){\text{ }}109{\text{ (g}}\,{\text{mo}}{{\text{l}}^{ - {\text{1}}}}{\text{)}}\);

curly arrow going from lone pair on N in \({\text{N}}{{\text{H}}_{\text{3}}}\) to C;
curly arrow showing Br leaving;
Accept curly arrow going from bond between C and Br to Br on 1-bromoethane or on the transition state.
representation of transition state showing square brackets, two partial bonds and curly arrow going from NH bond to NC partial bond/curly arrow going from NH bond to N;
Do not penalize if NH3 and Br are not at 180° to each other.
Do not award M3 if NH3—C bond is represented.
(i) compounds with same structural formula but different arrangements of atoms in space;
(ii)
The two structures must be clear 3D representations of mirror images.
Tapered (wedge/dash) notation not necessary.
(iii) restricted rotation around (C=C) double bond;
(iv)
(v) the two enantiomers rotate the plane of plane-polarized light by equal amounts, but in opposite directions;
using a polarimeter;
Examiners report
Poorly constructed symbolic equations on what should be relatively simple reactions once again impeded candidates from credit. The use of \(pV = nRT\) often scored for error carried forward even when they lost the first mark from incorrect use of units for pressure. The attempts at the \({{\text{S}}_{\text{N}}}{\text{2}}\) mechanisms were generally poor, with errors both in the attacking nucleophile, and the sloppy use of curly arrows which indicate that many students have a basic lack of understanding about what they represent. While candidates could score the first two marks, the third mark was almost never awarded. Conditions and reagents in d(ii) and d(iii) were rarely known, and definitions of stereoisomers and the representation of 3D structures was disappointing.
Poorly constructed symbolic equations on what should be relatively simple reactions once again impeded candidates from credit. The use of \(pV = nRT\) often scored for error carried forward even when they lost the first mark from incorrect use of units for pressure. The attempts at the \({{\text{S}}_{\text{N}}}{\text{2}}\) mechanisms were generally poor, with errors both in the attacking nucleophile, and the sloppy use of curly arrows which indicate that many students have a basic lack of understanding about what they represent. While candidates could score the first two marks, the third mark was almost never awarded. Conditions and reagents in d(ii) and d(iii) were rarely known, and definitions of stereoisomers and the representation of 3D structures was disappointing.
Poorly constructed symbolic equations on what should be relatively simple reactions once again impeded candidates from credit. The use of \(pV = nRT\) often scored for error carried forward even when they lost the first mark from incorrect use of units for pressure. The attempts at the \({{\text{S}}_{\text{N}}}{\text{2}}\) mechanisms were generally poor, with errors both in the attacking nucleophile, and the sloppy use of curly arrows which indicate that many students have a basic lack of understanding about what they represent. While candidates could score the first two marks, the third mark was almost never awarded. Conditions and reagents in d(ii) and d(iii) were rarely known, and definitions of stereoisomers and the representation of 3D structures was disappointing.
Poorly constructed symbolic equations on what should be relatively simple reactions once again impeded candidates from credit. The use of \(pV = nRT\) often scored for error carried forward even when they lost the first mark from incorrect use of units for pressure. The attempts at the \({{\text{S}}_{\text{N}}}{\text{2}}\) mechanisms were generally poor, with errors both in the attacking nucleophile, and the sloppy use of curly arrows which indicate that many students have a basic lack of understanding about what they represent. While candidates could score the first two marks, the third mark was almost never awarded. Conditions and reagents in d(ii) and d(iii) were rarely known, and definitions of stereoisomers and the representation of 3D structures was disappointing.
Poorly constructed symbolic equations on what should be relatively simple reactions once again impeded candidates from credit. The use of \(pV = nRT\) often scored for error carried forward even when they lost the first mark from incorrect use of units for pressure. The attempts at the \({{\text{S}}_{\text{N}}}{\text{2}}\) mechanisms were generally poor, with errors both in the attacking nucleophile, and the sloppy use of curly arrows which indicate that many students have a basic lack of understanding about what they represent. While candidates could score the first two marks, the third mark was almost never awarded. Conditions and reagents in d(ii) and d(iii) were rarely known, and definitions of stereoisomers and the representation of 3D structures was disappointing.
Phosphine (IUPAC name phosphane) is a hydride of phosphorus, with the formula PH3.
(i) Draw a Lewis (electron dot) structure of phosphine.
(ii) State the hybridization of the phosphorus atom in phosphine.
(iii) Deduce, giving your reason, whether phosphine would act as a Lewis acid, a Lewis base, or neither.
(iv) Outline whether you expect the bonds in phosphine to be polar or non-polar, giving a brief reason.
(v) Phosphine has a much greater molar mass than ammonia. Explain why phosphine has a significantly lower boiling point than ammonia.
(vi) Ammonia acts as a weak Brønsted–Lowry base when dissolved in water.
Outline what is meant by the terms “weak” and “Brønsted–Lowry base”.
Weak:
Brønsted–Lowry base:
Phosphine is usually prepared by heating white phosphorus, one of the allotropes of phosphorus, with concentrated aqueous sodium hydroxide. The equation for the reaction is:
(i) The first reagent is written as P4, not 4P. Describe the difference between P4 and 4P.
(ii) The ion H2PO2− is amphiprotic. Outline what is meant by amphiprotic, giving the formulas of both species it is converted to when it behaves in this manner.
(iii) State the oxidation state of phosphorus in P4 and H2PO2−.
P4:
H2PO2−:
(iv) Oxidation is now defined in terms of change of oxidation number. Explore how earlier definitions of oxidation and reduction may have led to conflicting answers for the conversion of P4 to H2PO2− and the way in which the use of oxidation numbers has resolved this.
2.478 g of white phosphorus was used to make phosphine according to the equation:
(i) Calculate the amount, in mol, of white phosphorus used.
(ii) This phosphorus was reacted with 100.0 cm3 of 5.00 mol dm−3 aqueous sodium hydroxide. Deduce, showing your working, which was the limiting reagent.
(iii) Determine the excess amount, in mol, of the other reagent.
(iv) Determine the volume of phosphine, measured in cm3 at standard temperature and pressure, that was produced.
Impurities cause phosphine to ignite spontaneously in air to form an oxide of phosphorus and water.
(i) 200.0 g of air was heated by the energy from the complete combustion of 1.00 mol phosphine. Calculate the temperature rise using section 1 of the data booklet and the data below.
Standard enthalpy of combustion of phosphine,
Specific heat capacity of air = 1.00Jg−1K−1=1.00kJkg−1K−1
(ii) The oxide formed in the reaction with air contains 43.6% phosphorus by mass. Determine the empirical formula of the oxide, showing your method.
(iii) The molar mass of the oxide is approximately 285 g mol−1. Determine the molecular formula of the oxide.
(iv) State the equation for the reaction of this oxide of phosphorus with water.
(v) Suggest why oxides of phosphorus are not major contributors to acid deposition.
(vi) The levels of sulfur dioxide, a major contributor to acid deposition, can be minimized by either pre-combustion and post-combustion methods. Outline one technique of each method.
Pre-combustion:
Post-combustion:
Markscheme
(i)
Accept structures using dots and/or crosses to indicate bonds and/or lone pair.
(ii)
sp3
Do not allow ECF from a (i).
(iii)
Lewis base AND has a lone pair of electrons «to donate»
(iv)
non-polar AND P and H have the same electronegativity
Accept “similar electronegativities”.
Accept “polar” if there is a reference to a small difference in electronegativity and apply ECF in 1 a (v).
(v)
PH3 has London «dispersion» forces
NH3 forms H-bonds
H-bonds are stronger
OR
London forces are weaker
Accept van der Waals’ forces, dispersion forces and instantaneous dipole – induced dipole forces.
Accept “dipole-dipole forces” as molecule is polar.
H-bonds in NH3 (only) must be mentioned to score [2].
Do not award M2 or M3 if:
• implies covalent bond is the H-bond
• implies covalent bonds break.
Accept “dipole-dipole forces are weaker”.
(vi)
Weak: only partially dissociated/ionized «in dilute aqueous solution»
Brønsted–Lowry base: an acceptor of protons/H+/hydrogen ions
Accept reaction with water is reversible/an equilibrium.
Accept “water is partially dissociated «by the weak base»”.
(i)
P4 is a molecule «comprising 4P atoms» AND 4P is four/separate «P» atoms
OR
P4 represents «4P» atoms bonded together AND 4P represents «4» separate/non-bonded «P» atoms
(ii)
can act as both a «Brønsted–Lowry» acid and a «Brønsted–Lowry» base
OR
can accept and/or donate a hydrogen ion/proton/H+
HPO22– AND H3PO2
(iii)
P4: 0
H2PO2–: +1
Do not accept 1 or 1+ for H2PO2−.
(iv)
oxygen gained, so could be oxidation
hydrogen gained, so could be reduction
OR
negative charge «on product/H2PO2 »/gain of electrons, so could be reduction
oxidation number increases so must be oxidation
Award [1 max] for M1 and M2 if candidate displays knowledge of at least two of these definitions but does not apply them to the reaction.
Do not award M3 for “oxidation number changes”.
(i)
«\(\left\langle {\frac{{2.478}}{{4 \times 30.97}}} \right\rangle \)»= 0.02000 «mol»
(ii)
n(NaOH) = «0.1000 × 5.00 =» 0.500 «mol» AND P4/phosphorus is limiting reagent
Accept n(H2O) = \(\frac{{100}}{{18}}\) = 5.50 AND P4 is limiting reagent.
(iii)
amount in excess «= 0.500 - (3 × 0.02000)» = 0.440 «mol»
(iv)
«22.7 × 1000 × 0.02000» = 454 «cm3»
Accept methods employing pV = nRT, with p as either 100 (454 cm3) or 101.3 kPa (448 cm3). Do not accept answers in dm3.
(i)
temperature rise «=\(\frac{{750 \times 1.00}}{{0.2000 \times 1.00}}\)»=3750«°C/K»
Do not accept −3750.
(ii)
n(P)«=\(\frac{{43.6}}{{30.97}}\)»=1.41 «mol»
n(O) «=\(\frac{{100 - 43.6}}{{16.00}}\)»=3.53 «mol»
«\(\frac{{n\left( {\rm{O}} \right)}}{{n\left( {\rm{P}} \right)}}\)=\(\frac{{3.53}}{{1.41}}\) = 2.50 so empirical formula is» P2O5
Accept other methods where the working is shown.
(iii)
«\(\frac{{285}}{{141.9}}\)=2.00, so molecular formula = 2×P2O5=»P4O10
(iv)
P4O10(s) + 6H2O (l) → 4H3PO4 (aq)
Accept P4O10(s) + 2H2O (l) → 4HPO3 (aq) (initial reaction)
Accept P2O5(s) + 3H2O(l) → 2H3PO4(aq)
Accept equations for P4O6/P2O3 if given in d (iii).
Accept any ionized form of the acids as the products.
(v)
phosphorus not commonly found in fuels
OR
no common pathways for phosphorus oxides to enter the air
OR
amount of phosphorus-containing organic matter undergoing anaerobic decomposition is small
Accept “phosphorus oxides are solids so are not easily distributed in the atmosphere”.
Accept “low levels of phosphorus oxide in the air”.
Do not accept “H3PO4 is a weak acid”.
(vi)
Pre-combustion:
remove sulfur/S/sulfur containing compounds
Post-combustion:
remove it/SO2 by neutralization/reaction with alkali/base
Accept “lime injection fluidised bed combustion” for either, but not both.
Examiners report
Vanadium has a number of different oxidation states.
Electrode potentials for the reactions of vanadium and other species are shown below.
Determine the oxidation state of vanadium in each of the following species.

Identify, from the table, a non-vanadium species that can reduce VO2+(aq) to V3+(aq) but no further.
Identify, from the table, a non-vanadium species that could convert \({\text{VO}}_2^ + {\text{(aq)}}\) to V2+(aq).
Formulate an equation for the reaction between VO2+(aq) and V2+(aq) in acidic solution to form V3+(aq).
Comment on the spontaneity of this reaction by calculating a value for \(\Delta {G^\theta }\) using the data given in (b) and in section 1 of the data booklet.
Markscheme
\({V_2}{O_5}:{\text{ }} + 5\)
\(V{O^{2 + }}:{\text{ }} + 4\)
Do not penalize incorrect notation twice.
[2 marks]
H2SO3(aq)
OR
Pb(s)
[1 mark]
Zn(s)
[1 mark]
\({\text{V}}{{\text{O}}^{2 + }}({\text{aq)}} + {{\text{V}}^{2 + }}({\text{aq)}} + {\text{2}}{{\text{H}}^ + }({\text{aq)}} \to {\text{2}}{{\text{V}}^{3 + }}({\text{aq)}} + {{\text{H}}_{\text{2}}}{\text{O(l)}}\)
Accept equilibrium sign.
[1 mark]
\({E^\theta }\ll = + 0.34{\text{ V}} - ( - 0.26{\text{ V}})\gg = + 0.60{\text{ }}\ll {\text{V}}\gg \)
\(\Delta {G^\theta } = \ll - nF{E^\theta } = - 9.65 \times {10^4}{\text{ C}}\,{\text{mo}}{{\text{l}}^{ - 1}} \times 0.60{\text{ J}}\,{{\text{C}}^{ - 1}} = \gg - 57\,900{\text{ }}\ll {\text{J}}\,{\text{mo}}{{\text{l}}^{ - 1}}\gg / - 57.9{\text{ }}\ll {\text{kJ}}\,{\text{mo}}{{\text{l}}^{ - 1}}\gg \)
spontaneous as \(\Delta {G^\theta }\) is negative
Do not award M3 as a stand-alone answer.
Accept “spontaneous” for M3 if answer given for M2 is negative.
Accept “spontaneous as \({E^\theta }\) is positive” for M3.
[3 marks]
Examiners report
This question is about carbon and chlorine compounds.
Ethane, \({{\text{C}}_{\text{2}}}{{\text{H}}_{\text{6}}}\), reacts with chlorine in sunlight. State the type of this reaction and the name of the mechanism by which it occurs.

Formulate equations for the two propagation steps and one termination step in the formation of chloroethane from ethane.

Deduce the splitting patterns in the 1H NMR spectrum of C2H5Cl.
Explain why tetramethylsilane (TMS) is often used as a reference standard in 1H NMR.
One possible product, X, of the reaction of ethane with chlorine has the following composition by mass:
carbon: 24.27%, hydrogen: 4.08%, chlorine: 71.65%
Determine the empirical formula of the product.
The mass and 1H NMR spectra of product X are shown below. Deduce, giving your reasons, its structural formula and hence the name of the compound.
When the product X is reacted with NaOH in a hot alcoholic solution, C2H3Cl is formed. State the role of the reactant NaOH other than as a nucleophile.
Chloroethene, \({{\text{C}}_{\text{2}}}{{\text{H}}_{\text{3}}}{\text{Cl}}\), can undergo polymerization. Draw a section of the polymer with three repeating units.
Markscheme
substitution AND «free-»radical
OR
substitution AND chain
Award [1] for “«free-»radical substitution” or “SR” written anywhere in the answer.
[1 mark]
Two propagation steps:
\({{\text{C}}_{\text{2}}}{{\text{H}}_{\text{6}}} + \bullet {\text{Cl}} \to {{\text{C}}_{\text{2}}}{{\text{H}}_{\text{5}}} \bullet + {\text{HCl}}\)
\({{\text{C}}_{\text{2}}}{{\text{H}}_{\text{5}}} \bullet + {\text{C}}{{\text{l}}_{\text{2}}} \to {{\text{C}}_{\text{2}}}{{\text{H}}_{\text{5}}}{\text{Cl}} + \bullet {\text{Cl}}\)
One termination step:
\({{\text{C}}_{\text{2}}}{{\text{H}}_{\text{5}}} \bullet + {{\text{C}}_{\text{2}}}{{\text{H}}_{\text{5}}} \bullet \to {{\text{C}}_{\text{4}}}{{\text{H}}_{{\text{10}}}}\)
OR
\({{\text{C}}_{\text{2}}}{{\text{H}}_{\text{5}}} \bullet + \bullet {\text{Cl}} \to {{\text{C}}_{\text{2}}}{{\text{H}}_{\text{5}}}{\text{Cl}}\)
OR
\( \bullet {\text{Cl}} + \bullet {\text{Cl}} \to {\text{C}}{{\text{l}}_{\text{2}}}\)
Accept radical without \( \bullet \) if consistent throughout.
Allow ECF for incorrect radicals produced in propagation step for M3.
[3 marks]
triplet AND quartet
[1 mark]
chemical shift/signal outside range of common chemical shift/signal
strong signal/12/all H atoms in same environment
OR
singlet/no splitting of the signal
volatile/easily separated/easily removed
OR
inert/stabl
contains three common NMR nuclei/1H and 13C and 29Si
Do not accept chemical shift = 0.
[2 marks]
\({\text{C}} = \frac{{24.27}}{{12.01}} = 2.021\) AND \({\text{H}} = \frac{{4.08}}{{1.01}} = 4.04\) AND \({\text{Cl}} = \frac{{71.65}}{{35.45}} = 2.021\)
«hence» CH2Cl
Accept \(\frac{{24.27}}{{12.01}}\) : \(\frac{{4.08}}{{1.01}}\) : \(\frac{{71.65}}{{35.45}}.\)
Do not accept C2H4Cl2.
Award [2] for correct final answer.
[2 marks]
molecular ion peak(s) «about» m/z 100 AND «so» C2H4Cl2 «isotopes of Cl»
two signals «in 1H NMR spectrum» AND «so» CH3CHCl2
OR
«signals in» 3:1 ratio «in 1H NMR spectrum» AND «so» CH3CHCl2
OR
one doublet and one quartet «in 1H NMR spectrum» AND «so» CH3CHCl2
1,1-dichloroethane
Accept “peaks” for “signals”.
Allow ECF for a correct name for M3 if an incorrect chlorohydrocarbon is identified.
[3 marks]
base
OR
proton acceptor
[1 mark]

Continuation bonds must be shown.
Ignore square brackets and “n”.
Accept
.
Accept other versions of the polymer, such as head to head and head to tail.
Accept condensed structure provided all C to C bonds are shown (as single).
[1 mark]