HL Paper 3
Lutetium-177 is used in radiotherapy. It emits beta radiation when it decays.
State a nuclear equation to show the decay of lutetium-177.
The half-life of lutetium-177 is 6.73 days. Determine the percentage of a sample of lutetium-177 remaining after 14.0 days.
Explain the low environmental impact of most medical nuclear waste.
Markscheme
\({}_{71}^{177}{\text{Lu}} \to {}_{71}^{177}{\text{Hf}} + {}_{ - 1}^0{\text{e}}\) «+ \(\nu \)»
Hf
correct A and Z AND beta product
Accept “β/ β–/e/e–” for “\({}_{-1}^{~0}{\text{e}}\)”.
Accept “177Lu → 177Hf + e– «+ \(\nu \)»”.
number of half-lives = \(\frac{t}{{{t_{^{\frac{1}{2}}}}}}\) = 2.08
OR
\(\frac{{N\left( t \right)}}{{{N_0}}} = {0.5^{\frac{{14.0}}{{6.73}}}}\)
OR
\(\lambda = \) «\(\frac{{{\text{ln}}2}}{{{t_{^{\frac{1}{2}}}}}} = \frac{{{\text{ln}}2}}{{6.73}} = \)» 0.103 «day–1»
OR
\(\frac{{N\left( t \right)}}{{{N_0}}} = {e^{ - 0.103\, \times 14.0}}\)
23.6 «%»
Award [2] for correct final answer.
Any two of:
emits weak ionising radiation
OR
low activity/radioactivity
can be stored until material becomes inactive AND then disposed with normal waste
«isotopes» have short lives
OR
exist for a short period of time
Award [1 max] for “low-level waste/LLW”.
[Max 2 Marks]
Examiners report
Targeted Alpha Therapy (TAT) is a technique that involves using alpha-radiation to treat leukemia and other dispersed cancers.
Yttrium-90 and lutetium-177 are used in radiotherapy.
Explain why alpha-radiation is particularly suitable for this treatment.
Outline how the alpha-radiation in TAT is directed to cancer cells.
Identify the type of radiation emitted by these two radioisotopes.
State an equation for the one-step decay of yttrium-90.
The half-life of lutetium-177 is 6.75 days. Calculate the percentage remaining after 27 days.
Markscheme
more damaging than other radiation types
OR
very damaging to «cancer» cells
OR
high ionizing density «of alpha particles»
absorbed within a very short range of emission
OR
causes little damage to surrounding tissues
Accept “high ionizing power «of alpha particles»” for M1.
Accept “low penetrating power «of alpha particles»” for M2.
[2 marks]
«radioactive isotope/radionuclide/alpha-emitter» administered using carrier drug/protein/antibodies
[1 mark]
beta/β «radiation»
[1 mark]
\({}_{39}^{90}Y \to {}_{40}^{90}Zr + \beta \)
Accept "\(_{ - 1}^{\;\,0}e/e/{e^ - }\)" OR "\(_{ - 1}^{\;\,0}\beta /{\beta ^ - }\)"
Accept ECF from (b) (i) if incorrect radiation identified, eg, \(_{39}^{90}Y \to _{37}^{86}Rb + _2^4He\)
[1 mark]
ALTERNATIVE 1:
«4 half-lives»
6.25 «%»
ALTERNATIVE 2:
«Nt = N0\({\left( {0.5} \right)^{\frac{t}{{{t_{1/2}}}}}} = 100{\left( {0.5} \right)^{\frac{{27}}{{6.75}}}} = \)» 6.25 «%»
[1 mark]
Examiners report
A number of drugs have been developed to treat excess acidity in the stomach.
Outline how ranitidine (Zantac) functions to reduce stomach acidity.
Markscheme
Blocks/binds H2-histamine receptors «in cells of stomach lining»
OR
prevents histamine molecules binding to H2-histamine receptors «and triggering acid secretion»
Accept “H2 receptor antagonist”
[1 mark]
Examiners report
Technetium-99m is the most widely used medical radioisotope. It is usually made on-site in medical facilities from isotopes of molybdenum.
Deduce equations for the following nuclear reactions:
(i) Molybdenum-98 absorbs a neutron.
(ii) The isotope produced in (a) (i) decays into technetium-99m.
Molybdenum-99 has a half-life of 66 hours, while technetium-99m has a half-life of 6 hours. Outline why technetium-99m is made on-site.
Outline two reasons, other than its half-life, why technetium-99m is so useful in medical diagnosis.
Outline the nature of the radioactive waste that is generated by the use of technetium-99m in medical diagnosis.
Markscheme
i
\({}_{{\rm{42}}}^{98}{\rm{Mo}}\) + \({}_{{\rm{0}}}^{1}{\rm{n}}\) → \({}_{{\rm{42}}}^{99}{\rm{Mo}}\)
Accept 98Mo + 1n/n → 99Mo.
ii
\({}_{42}^{99}{\text{Mo}} \to {}_{43}^{99\,{\text{m}}}{\text{Tc}} + {}_{ - 1}^0\beta \)
Accept “ \({}_{ - 1}^0e\)” for “ \({}_{ - 1}^0\beta \)”.
Accept “ \({}^{99}Mo \to {}_{}^{99\,{\text{m}}}Tc + \beta \)”.
Accept “ \({}_{ - 1}^0e/{e^ - }/e\)” for “\(\beta \)”.
Do not penalize “ \({}_{}^{99}Tc\)” for “ \({}_{}^{99\,{\text{m}}}Tc\)”.
molybdenum-99 can be easily transported «before it decays»/more stable
OR
«most of» technetium-99m will decay during transportation
Do not accept just “short half-life of Tc-99m”
emits gamma rays
OR
emissions escape from body
OR
emissions detected by gamma camera
OR
radiation dose is low
chemically reactive/versatile/transition metal bonds to a range of «biologically active» substances
Do not accept “short half-life of Tc-99m”.
Accept “energy of photons produced is «relatively» low” and “no high energy beta emission” for M1.
Accept “…has ability to form tracers” for “…bonds to a range of «biologically active» substances".
low-level «radioactive» waste/LLW
OR
small amounts of ionizing radiation for short time
Examiners report
Taxol is produced using a chiral auxiliary. Describe how the chiral auxiliary functions to produce the desired product.
Markscheme
chiral molecule/auxiliary/optically active species added/connected/attached «to non-chiral starting molecule to force reaction to follow a certain path»
one enantiomer produced
OR
chiral auxiliary creates stereochemical condition «necessary to follow a certain pathway»
OR
stereochemical induction
OR
existing chiral centre affects configuration of new chiral centres
«after new chiral centre created» chiral auxiliary removed «to obtain desired product»
[3 marks]
Examiners report
Aspirin, paracetamol (acetaminophen), morphine and diamorphine (heroin) are all pain killers. Their structures are given in Table 20 of the Data Booklet.
Suggest a reagent that could be used to convert morphine into diamorphine and state the name of the type of reaction taking place.
Markscheme
ethanoic acid / ethanoic anhydride / ethanoyl chloride;
Accept formula instead of name.
diesterification / esterification / condensation;
Examiners report
Most could name the type of the reaction, and many did not name the reagent, with “carboxylic acid” being a common answer.
Radioactive isotopes are used in a variety of medical procedures including medical imaging and radiotherapy.
Lead-212 is a radioisotope that is used in the treatment of cancer. It is produced from another radioisotope by alpha decay. Formulate the equation for its production.
Identify one advantage of using Targeted Alpha Therapy (TAT) and one form of cancer commonly treated by this method.
Advantage:
Cancer treatment:
Technetium-99m, used for radioimaging scans, has a half-life of 6.01 hours. Calculate the mass of a 5.80×10−9 g dose remaining after 24.04 hours.
Outline an ethical implication of using nuclear treatments in medicine.
Markscheme
\({}_{84}^{216}{\rm{Po}} \to {}_2^4{\rm{He + }}{}_{82}^{212}{\rm{Pb}}\)
correct reactant
correct alpha particle
Atomic numbers not required for mark.
Accept “α”/“\({}_2^4\alpha \)” for “\({}_2^4{\rm{He}}\)”.
Advantage:
selectively kills cancer cells/targets cancer cells only
OR
does not damage healthy cells
Do not accept “targets cancer”. Reference must be made to “cells”.
Cancer treatment:
melanoma
OR
leukemia
OR
rectal
OR
breast
OR
ovarian
OR
prostate
OR
pancreatic
OR
cancers that spread around the body/produce metastasis/dispersed cancers
Accept “skin cancer”.
ALTERNATIVE 1:
\(\lambda \ll = \frac{{\ln 2}}{{6.01}} \gg \approx 0.115 \ll {{\rm{h}}^{ - 1}} \gg \)
«remaining mass = 5.80×10-9×e-0.115 × 24.04=»3.63×10-10 «g»
ALTERNATIVE 2:
\( \ll \frac{{24.04}}{{6.01}} = \gg 4 \ll {\rm{half lives}} \gg \)
\( \ll \frac{{5.80 \times {{10}^{ - 9}}}}{{{2^4}}} = \gg 3.63 \times {10^{ - 10}} \ll {\rm{g}} \gg \)
Award [2] for correct final answer.
risk vs benefit «patient and environment»
OR
providing adequate information to patients about risks
OR
security concerns if nuclear radioactive material ended up with terrorists
OR
cultural resistance/superstition/lack of education
OR
«potential» exposure of health workers «to radioactivity»
OR
proper training «in radioactive hazards» not always given to workers
OR
proper disposal of radioactive materials
Accept other valid ethical implications (note that risk of cancer to the patient is not an ethical issue, while risk of cancer to the health worker is).
Do not accept “security concerns” alone – there must be some reference to an ethical implication.
Examiners report
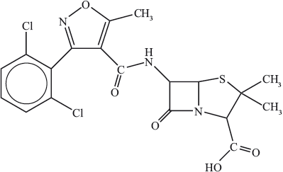
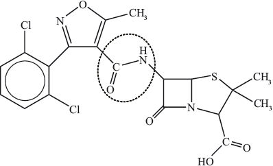
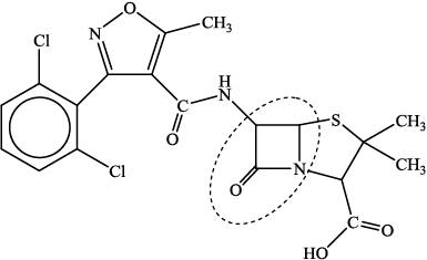
The discovery of penicillin by Alexander Fleming in 1928 is often given as an example of serendipity in science.
The structure of a particular type of penicillin called dicloxacillin is shown below.

Describe what happens to bacteria when they come into contact with penicillin.
(i) Identify the \(\beta \)-lactam ring by drawing a circle around it.
(ii) Explain why the \(\beta \)-lactam ring is so important in the mechanism of the action
of penicillin.
(iii) State the name of the functional group in dicloxacillin, circled below.

Comment on the fact that many bacteria are now resistant to penicillins.
Markscheme
interferes with enzymes/chemicals that bacteria need to make cell walls / interferes with cell wall formation;
osmosis/osmotic pressure causes cell wall to break/burst / water enters cell causing it to burst / OWTTE;
(i)
;
(ii) ring strain / bond angles are approx 90° / should be 109° or 120° / OWTTE;
ring breaks / produces reactive amide group / OWTTE;
(so) penicillin can become bonded to enzyme/penicillinase;
(iii) amide;
caused by overprescription/overuse/overdose / not completing course of penicillin / use of antibiotics in animal feed / OWTTE;
penicillins with modified side chains must be developed/cocktail of drugs must be taken to overcome resistant bacteria / OWTTE;
Examiners report
Most answers scored at least one mark in (c), or came close to it – most that did not were not specific enough or failed to mention cell walls.
In (d), the \(\beta \)-lactam ring was usually correctly identified, as was the circled amide group. In part (d)(ii), few answers scored full marks, although most identified the relevance of the bond angles in causing ring strain.
In (e), many more scored the overprescription mark than the one for modifying the side chain.
Nuclear radiation is dangerous because of its ability to damage cells but it can also be used in nuclear medicine.
Iodine-131 is released in nuclear explosions but is used in scanners for thyroid cancer. The half-life of iodine-131 is 8.02 days.
Yttrium-90 is used in treating certain cancers.
Formulate a nuclear equation for the beta decay of yttrium-90.
Lutetium-177 is a common isotope used for internal radiation therapy.
Suggest why lutetium-177 is an ideal isotope for the treatment of certain cancers based on the type of radiation emitted.
Calculate the rate constant, \(\lambda \), in day−1, for the decay of iodine-131 using section 1 of the data booklet.
Calculate the time, in days, for 90% of the sample to decay.
A breathalyser measures the blood alcohol content from a breath sample. Formulate half-equations for the reactions at the anode (negative electrode) and the cathode (positive electrode) in a fuel cell breathalyser.
Markscheme
90Y → 90Zr + β–
Accept β, e or e–.
Accept 90Y → 90Zr + β– + v
[1 mark]
beta-radiation/emission AND targets tumour/cancer cells
OR
beta-radiation/emission AND limited damage to healthy cells/tissues
OR
beta-radiation/emission AND produces «small amount of» gamma-rays «for visualizing tumours/monitoring treatment»
[1 mark]
\(\lambda \left( { = \frac{{\ln 2}}{{{t_{\frac{1}{2}}}}} = \frac{{0.693}}{{8.02{\text{ }}day}}} \right) = 8.64 \times {10^{ - 2}}/0.0864\) «day−1»
[1 mark]
ALTERNATIVE 1:
«N0 = initial amount = 100%»
N «= 100 – 90» = 10% at time t
«\(\ln \left( {\frac{{100}}{{10}}} \right) = 2.303 = 0.0864t\)»
«\(t = \frac{{2.303}}{{0.0864{\text{ da}}{{\text{y}}^{ - 1}}}} = \)» 26.7 «days»
Accept 26.6 or 27 «days»
Award [2] for correct final answer.
ALTERNATIVE 2:
«Nt = N0(0.5)n where n = number of half-lives»
10 = 100(0.5)n
«\(\log \left( {\frac{1}{{10}}} \right) = n \times \log \,0.5\)»
«\( - 1 = n\left( { - 0.301} \right)/n = \frac{1}{{0.301}}\)»
«t \( = \frac{1}{{0.301}} \times 8.02 = \)» 26.6 «days»
Accept 26.7 or 27 «days»
Award [2] for correct final answer.
[2 marks]
Anode (negative electrode): C2H5OH + H2O → CH3COOH + 4H+ + 4e–
Cathode (positive electrode): O2 + 4H+ + 4e– → 2H2O
[2 marks]
Examiners report
Ethanol slows down the reaction time of a driver leading to traffic accidents. Explain how the concentration of ethanol in a sample of breath can be determined using a fuel cell breathalyser.
Markscheme
ethanol is oxidized «to ethanoic acid»
OR
electrons are released
current/potential proportional to concentration «of ethanol»
OR
current compared to a reference «to determine concentration»
Accept “ethanol reacts with oxygen” for M1.
Accept “voltage” for “potential”.
Examiners report
Some drugs can be converted into ionic salts in order to increase their solubility in water.
State the equation for the formation of the ionic salt of aspirin, \({\text{C}}{{\text{H}}_{\text{3}}}{\text{COO(}}{{\text{C}}_{\text{6}}}{{\text{H}}_{\text{4}}}{\text{)COOH}}\).
Chiral auxiliaries are used in drug design. Describe how a chiral auxiliary works.
Markscheme
\({\text{C}}{{\text{H}}_3}{\text{COO(}}{{\text{C}}_6}{{\text{H}}_4}{\text{)COOH}} + {\text{NaOH}} \to {\text{C}}{{\text{H}}_3}{\text{COO(}}{{\text{C}}_6}{{\text{H}}_4}{\text{)COONa}} + {{\text{H}}_2}{\text{O}}\);
Accept Na2CO3 or NaHCO3.
Accept ions for strong base and salt or net ionic equation.
chiral auxiliaries are enantiomers/optically active;
auxiliary creates stereochemical condition necessary to follow a certain pathway / is used to manufacture one enantiomer (so avoids need to separate a racemic mixture);
attaches/connects itself to non-chiral molecule / makes it optically active;
only desired/one enantiomer/molecule formed (and chiral auxiliary removed);
Examiners report
The equations for the formation of the ionic salt of aspirin and the ionic salt of fluoxetine were poorly done with \({{\text{H}}_{\text{2}}}{\text{O}}\), NaCl, HCl and Na used in the first case instead of NaOH and \({{\text{H}}_{\text{2}}}{\text{O}}\) and NaOH used in the second case instead of HCl.
Description of how a chiral auxiliary works was not well understood and chiral axillaries function in synthesis was also sometimes confused.
A polarimeter can be used to determine the optical rotation of an optically active substance.
Describe what happens to plane-polarized light when it passes through a solution of an optically active compound.
A mixture of enantiomers shows optical rotation.
Suggest a conclusion you can draw from this data.
Markscheme
plane of polarization is rotated
Award zero if answer refers to plane-polarized light being bent.
[1 mark]
not a racemic mixture
OR
two enantiomers not equimolar
OR
mixture contains optically active impurity
OR
relative proportions of enantiomers in mixture can be determined
[1 mark]
Examiners report
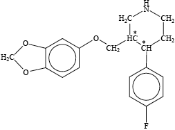
Amphetamine and methamphetamine are widely abused drugs.
Amphetamine exists as optical isomers. Describe how chiral auxiliaries can be used to synthesize only the desired enantiomeric form of a drug from a non-chiral starting compound.
The structures of morphine and heroin are shown in Table 20 of the Data Booklet. Explain the increased potency of heroin compared to morphine.
Markscheme
a chiral auxiliary is itself an enantiomer/optically active;
it is bonded to the reacting molecule so that reaction forms one product;
(remove chiral auxillary) to give one enantiomer;
polar hydroxyl groups in morphine are replaced by less/non-polar ester groups;
Accept morphine more polar/heroin less polar without mentioning hydroxyl and ester groups for M1.
allows transport into the non-polar central nervous system / more soluble in nonpolar lipids / penetrates/crosses blood-brain barrier / OWTTE;
Reference to difference in polarity needed for first mark.
Examiners report
Candidates found it more difficult to explain the use of chiral auxiliaries.
Discussion of polarity with regard to morphine and heroin was often omitted in (e), again suggesting poor chemical understanding by many candidates.
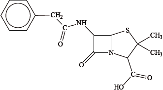
The first penicillin to be used was benzylpenicillin (Penicillin G), its structure is shown below.

The active part of penicillins is the beta-lactam ring. Determine the functional group present in the beta-lactam ring and explain why the ring is important in the functioning of penicillin as an antibacterial.
Markscheme
amide group / –CONH– / peptide;
ring is strained / OWTTE;
ring breaks easily so (the two fragments similar to cysteine and valine) then bond(s) covalently to the enzyme that synthesizes the bacterium cell wall (so blocking its action);
Examiners report
Surprisingly few candidates identified the amide in (c). The idea of the strained ring was well known, but very few stated that the opened molecule binds to the enzyme that synthesizes the cell wall, some stated that it binds to the cell wall itself.
Some drugs are extracted from natural sources and others are synthetic.
Explain the role of the chiral auxiliary in the synthesis of Taxol.
Markscheme
Any three of:
chiral auxiliary is optically active
is attached to non-optically active/non-chiral substrate
creates stereochemical condition necessary to follow a certain pathway
allows only the required enantiomer to form «so avoids need to separate a racemic mixture»
[Max 3 Marks]
Examiners report
Analgesics are used to relieve pain in the body. Aspirin and paracetamol (acetaminophen) are both mild analgesics.
The structures of the strong analgesics morphine and heroin (diamorphine) can be found in Table 20 of the Data Booklet.
Explain the increased potency of heroin (diamorphine) compared to morphine.
Markscheme
polar hydroxyl groups in morphine are replaced by less polar/non-polar ester groups;
so facilitate transport into the non-polar environment of the central nervous system / increases the solubility in lipids / OWTTE;
Examiners report
Very few were able to fully explain the increased potency of heroin – some referred to polarity but did not identify the groups, and some the other way round, a few correctly stated that heroin was more lipid soluble so could cross the blood brain barrier more easily.
Paroxetine, whose structure is shown below, is a drug prescribed to people suffering from mental depression.

Identify the two chiral carbon atoms in the structure above with an asterisk (*).
Explain, with an example, the importance of chirality in drug action.
Describe the use of chiral auxiliaries to synthesize the desired enantiomer of a drug.
Markscheme

Award [1] for each correctly placed asterisk.
different enantiomers can cause different (physiological) effects in the body;
thalidomide – one isomer prevented morning sickness, the other caused fetal abnormalities / ibuprofen – one isomer is more effective than the other / DOPA – one isomer helps manage Parkinson¨disease, the other has no physiological effects;
Accept other correct examples.
chiral auxiliaries are themselves chiral;
attach to the non-chiral molecule (to enable the desired enantiomer to be formed);
after the desired enantiomer is formed the chiral auxiliary is removed/recycled;
Examiners report
The better candidates could identify the chiral carbon atoms.
Many candidates could explain the importance of chirality in drug action with an example.
The use of chiral auxiliaries was less known, many candidates failed to recognize that they are chiral themselves and many confusing answers were given.
Diseases may be caused by bacteria or viruses.
The beta-lactam ring is highly reactive and enables penicillins to be effective antibacterials. The general structure of penicillin is given in table 20 of the data booklet. Explain, in terms of hybridization and bond angles, why the beta-lactam ring is strained.
Cytovaricin is an antibiotic that is produced using a chiral auxiliary. Suggest why it may be necessary to use a chiral auxiliary during its production.
Describe how a chiral auxiliary is involved in the synthesis of a drug.
Markscheme
C=O carbon is \({\text{s}}{{\text{p}}^{\text{2}}}\) hybridized and others are \({\text{s}}{{\text{p}}^{\text{3}}}\);
(normal) bond angles (120° and 109.5°) cannot be achieved in ring;
Accept bond angles in the ring are 90.
only one enantiomer is active/has required effect / one enantiomer may have adverse effects;
Accept stereo/optical isomer, but not just isomer.
chiral auxiliary attaches to non-chiral compound;
creates desired stereochemical conditions for reaction / ensures only one isomer is produced / OWTTE;
auxiliary removed/recycled after reaction (to leave desired product);
Award [1 max] for making the compound chiral/optically active / OWTTE.
Examiners report
Many students could correctly explain the mode of action of penicillins, but often explanation of the strain in the bond angle failed to go into the required depth concerning the hybridization of the atoms in the four-membered ring. An encouragingly large number of candidates could explain how chiral auxiliaries are used in drug synthesis, but sometimes their response to the first part of this question failed to identify why it is sometimes necessary to use such an elaborate procedure. Many students could give the mode of action of antiviral drugs, though sometimes these responses lacked the required precision.
Many students could correctly explain the mode of action of penicillins, but often explanation of the strain in the bond angle failed to go into the required depth concerning the hybridization of the atoms in the four-membered ring. An encouragingly large number of candidates could explain how chiral auxiliaries are used in drug synthesis, but sometimes their response to the first part of this question failed to identify why it is sometimes necessary to use such an elaborate procedure. Many students could give the mode of action of antiviral drugs, though sometimes these responses lacked the required precision.
Many students could correctly explain the mode of action of penicillins, but often explanation of the strain in the bond angle failed to go into the required depth concerning the hybridization of the atoms in the four-membered ring. An encouragingly large number of candidates could explain how chiral auxiliaries are used in drug synthesis, but sometimes their response to the first part of this question failed to identify why it is sometimes necessary to use such an elaborate procedure. Many students could give the mode of action of antiviral drugs, though sometimes these responses lacked the required precision.
Morphine and its derivatives work by temporarily bonding to receptor sites in the brain, preventing the transmission of pain impulses.
Explain why the change in functional groups makes diamorphine (heroin) more potent than morphine.
Markscheme
ester group/diamorphine less polar / hydroxyl group/morphine more polar / diamorphine more soluble in non-aqueous systems/lipids/fats/fatty tissue / morphine less soluble in non-aqueous systems/lipids/fats/fatty tissue;
(ester group means) diamorphine crosses blood-brain barrier/into central nervous system/CNS/brain faster/more easily;
Award [1 max] for answers that correctly describe diamorphine/morphine but do not compare the two.
Examiners report
Many candidates described morphine (strong analgesic) rather than discussing an advantage of the drug. Most could also identify disadvantages, but sometimes referred to issues applicable to any substance, such as the problems of overdosing. The structural difference between morphine and diamorphine, and why this makes the latter more potent, were well known.
State two ways in which viruses are different from bacteria.
Describe two ways in which antiviral drugs work.
Discuss three of the difficulties associated with solving the AIDS problem.
Markscheme
bacteria are a single cell / viruses are not cellular;
bacteria have cell walls/nuclei / viruses have no nucleus/cell wall;
bacteria larger than viruses / viruses smaller than bacteria;
viruses need host cell to reproduce / viruses take over another cell;
bacteria are organisms/living / bacteria metabolise/can grow/feed/excrete / viruses are not living / viruses do not metabolise/grow/feed/excrete ;
Allow “bacteria have both DNA and RNA / viruses have either RNA or DNA only (but not both)”.
alter cell’s genetic material;
block enzyme activity within host cell;
(changes cell membrane so that it) inhibits virus entry/bonding to cell;
prevents virus from leaving cell (after reproduction);
becomes part of DNA of virus / alters virus / blocks enzyme (polymerase) which builds DNA;
prevents virus from using cell to multiply/reproduce/replicate / prevents virus from using cell’s metabolism;
HIV retrovirus attacks immune system / binds to white blood cells/T-cells;
virus has ability to mutate;
virus makes people vulnerable to other infections;
metabolism of virus is linked closely to metabolism of the (host) cell / OWTTE;
antiretroviral agents are expensive / availability dependent on wealth of community/nation / lack of education/knowledge;
(social) “stigma” of diagnosis leads to not getting treatment / OWTTE;
Examiners report
The ways in which viruses differ from bacteria were well answered but, in (b), how antiviral drugs work was less well described. The AIDS problem had clearly been discussed but some of the answers lacked focus.
The ways in which viruses differ from bacteria were well answered but, in (b), how antiviral drugs work was less well described. The AIDS problem had clearly been discussed but some of the answers lacked focus.
The ways in which viruses differ from bacteria were well answered but, in (b), how antiviral drugs work was less well described. The AIDS problem had clearly been discussed but some of the answers lacked focus.
The development of new and improved medications for the reduction and management of pain is an important part of 21st-century medicine.
Discuss two advantages and two disadvantages of the medical use of morphine and its derivatives.
Advantages:
Disadvantages:
Explain the increased potency of diamorphine (heroin) compared to morphine.
Markscheme
Advantages:
Award [1 max] for any two of:
strong pain relief/strong analgesic
sedation / OWTTE
treatment of diarrhoea
relieve coughing
Disadvantages:
Award [1 max] for any two of:
addiction
tolerance
dependence
constipation
depresses respiratory drive
Accept “criminals/drug addicts might get access to strong analgesics intended for medical use” / OWTTE.
Award [1 max] if one advantage and one disadvantage are given.
molecule of diamorphine is less polar / polar hydroxyl/OH (groups) in morphine are replaced with less polar/non-polar groups in heroin / diamorphine contains two ester groups;
diamorphine is more fat/lipid soluble / OWTTE;
diamorphine more rapidly absorbed into the brain / (less polar molecules such as) diamorphine crosses the blood-brain barrier faster/more easily / diamorphine is more soluble in non-polar environment of the CNS/central nervous system than morphine / OWTTE;
Examiners report
Candidates needed to recognize that the question asks about the medical use of morphine and its derivatives. Although many candidates struggled to give two advantages most scored the mark for disadvantages. Part (b) was usually answered well except by the candidates who got it the wrong way round.
Candidates needed to recognize that the question asks about the medical use of morphine and its derivatives. Although many candidates struggled to give two advantages most scored the mark for disadvantages. Part (b) was usually answered well except by the candidates who got it the wrong way round.
There is some concern that increased use of the recreational drug khat is causing social problems.
The structures of two substances found in khat are shown below.

Cathine and cathinone are both classed as sympathomimetic drugs.
Phenylpropanolamine (PPA) is an optical isomer of cathine used in cough medicines.
Outline how PPA and not cathine could be synthesized from the same non-chiral starting materials. Details of reagents and conditions are not required.
Explain why this is the generally preferred method for the synthesis of optically active drugs.
Suggest how the aqueous solubility of cathine or PPA could be increased to facilitate its distribution around the body.
Markscheme
chiral auxiliary/optically active species is used;
that can be connected to a molecule / to make it optically active;
auxiliary creates stereochemical condition necessary to follow a certain pathway / forms (only) one enantiomer / OWTTE;
chiral auxiliary removed to obtain (desired) product;
other methods produce racemic mixture;
enantiomers difficult to separate because they have same physical properties (except rotation of the plane of plane polarised light);
optical isomers might have different physiological activities/(usually) only one is useful/half product is not used;
add acid/\({{\text{H}}^ + }{\text{(aq)}}\) (to form ionic compound) / converted to its salt;
Examiners report
Option D was a popular option. The identification of the wavenumber range used in the determination of ethanol lead to many correct answers. However, why the absorption range 3200-3600 \({\text{c}}{{\text{m}}^{ - 1}}\) is not used still eludes a substantial number of candidates. How the transmission of IR radiation changes with increased levels of ethanol was not answered well, showing a poor understanding of transmittance. The question on the mild analgesic was not very well except for being able to identify the amide group in the molecules in question. The physiological effect of the drug as well as the reason for some drugs being less effective when taken orally was both very well answered. The ‘mix and split’ approach to combinatorial chemistry was generally not done well with answers that were weak showing shallow understanding.
The two structural features found in the sympathomimetic drugs were mostly correctly identified. Although many students were able to identify two chiral centers in the two structures given, not as many could identify the three needed for the mark. In the preferred method for the synthesis of optically active drugs, where many scored full marks but the difficulty of separating enantiomers due to their similar physical properties was the least popular explanation given. Surprisingly, the suggestion for increasing the aqueous solubility of an alkaline drug by adding an acid or converting it to its salt was done poorly showing a lack of understanding of acid-base chemistry and bonding.
In one argument for and one against the legalization of cannabis, while many candidates scored at least one mark out of two, some journalistic answers were seen. Description of the bonding changes that occur when the anti-cancer drug cisplatin attaches to the DNA chain was typically not well answered questions with many candidates being able to provide only one of the two ideas, usually the missing one was that \({\text{C}}{{\text{l}}^ - }\) leave \({\text{Pt/P}}{{\text{t}}^{2 + }}\). Why the trans-cisplatin is ineffective in the treatment of cancer elicited fewer correct answers than expected. Question 18 was not on AIDS per se but rather on why viral infections are more difficult to treat than bacterial infections. A significant number of students scored part marks thus illustrating shallow understanding and deserves further attention in class. Very often marks were lost due to incomplete arguments.
Option D was a popular option. The identification of the wavenumber range used in the determination of ethanol lead to many correct answers. However, why the absorption range 3200-3600 \({\text{c}}{{\text{m}}^{ - 1}}\) is not used still eludes a substantial number of candidates. How the transmission of IR radiation changes with increased levels of ethanol was not answered well, showing a poor understanding of transmittance. The question on the mild analgesic was not very well except for being able to identify the amide group in the molecules in question. The physiological effect of the drug as well as the reason for some drugs being less effective when taken orally was both very well answered. The ‘mix and split’ approach to combinatorial chemistry was generally not done well with answers that were weak showing shallow understanding.
The two structural features found in the sympathomimetic drugs were mostly correctly identified. Although many students were able to identify two chiral centers in the two structures given, not as many could identify the three needed for the mark. In the preferred method for the synthesis of optically active drugs, where many scored full marks but the difficulty of separating enantiomers due to their similar physical properties was the least popular explanation given. Surprisingly, the suggestion for increasing the aqueous solubility of an alkaline drug by adding an acid or converting it to its salt was done poorly showing a lack of understanding of acid-base chemistry and bonding.
In one argument for and one against the legalization of cannabis, while many candidates scored at least one mark out of two, some journalistic answers were seen. Description of the bonding changes that occur when the anti-cancer drug cisplatin attaches to the DNA chain was typically not well answered questions with many candidates being able to provide only one of the two ideas, usually the missing one was that \({\text{C}}{{\text{l}}^ - }\) leave \({\text{Pt/P}}{{\text{t}}^{2 + }}\). Why the trans-cisplatin is ineffective in the treatment of cancer elicited fewer correct answers than expected. Question 18 was not on AIDS per se but rather on why viral infections are more difficult to treat than bacterial infections. A significant number of students scored part marks thus illustrating shallow understanding and deserves further attention in class. Very often marks were lost due to incomplete arguments.
Option D was a popular option. The identification of the wavenumber range used in the determination of ethanol lead to many correct answers. However, why the absorption range 3200-3600 \({\text{c}}{{\text{m}}^{ - 1}}\) is not used still eludes a substantial number of candidates. How the transmission of IR radiation changes with increased levels of ethanol was not answered well, showing a poor understanding of transmittance. The question on the mild analgesic was not very well except for being able to identify the amide group in the molecules in question. The physiological effect of the drug as well as the reason for some drugs being less effective when taken orally was both very well answered. The ‘mix and split’ approach to combinatorial chemistry was generally not done well with answers that were weak showing shallow understanding.
The two structural features found in the sympathomimetic drugs were mostly correctly identified. Although many students were able to identify two chiral centers in the two structures given, not as many could identify the three needed for the mark. In the preferred method for the synthesis of optically active drugs, where many scored full marks but the difficulty of separating enantiomers due to their similar physical properties was the least popular explanation given. Surprisingly, the suggestion for increasing the aqueous solubility of an alkaline drug by adding an acid or converting it to its salt was done poorly showing a lack of understanding of acid-base chemistry and bonding.
In one argument for and one against the legalization of cannabis, while many candidates scored at least one mark out of two, some journalistic answers were seen. Description of the bonding changes that occur when the anti-cancer drug cisplatin attaches to the DNA chain was typically not well answered questions with many candidates being able to provide only one of the two ideas, usually the missing one was that \({\text{C}}{{\text{l}}^ - }\) leave \({\text{Pt/P}}{{\text{t}}^{2 + }}\). Why the trans-cisplatin is ineffective in the treatment of cancer elicited fewer correct answers than expected. Question 18 was not on AIDS per se but rather on why viral infections are more difficult to treat than bacterial infections. A significant number of students scored part marks thus illustrating shallow understanding and deserves further attention in class. Very often marks were lost due to incomplete arguments.
Alcohol abuse is a major problem in many countries, especially when associated with driving. Many police forces now use instruments that detect the presence of ethanol on a person’s breath by its absorption of electromagnetic radiation.
Identify the region of the electromagnetic spectrum used to detect the presence of ethanol.
Markscheme
infrared/IR;
Examiners report
This was well answered. Most students knew that the IR absorption is used for ethanol detection.
Radiotherapy is one type of treatment for cancer.
Describe how ionizing radiation destroys cancer cells.
Outline how Targeted Alpha Therapy (TAT) is used for treating cancers that have spread throughout the body.
Markscheme
Any two of:
radiation causes breaks in DNA chains
OR
radiation causes errors in DNA sequences
«damage accumulates and» cells cannot multiply
rapidly dividing/cancer cells more susceptible
Accept “alters DNA”.
[2 marks]
Any two of:
radiation source delivered directly to «targeted» cancer cells
by a carrier drug/protein/antibody
several sites in body can be targeted «at same time»
[2 marks]
Examiners report
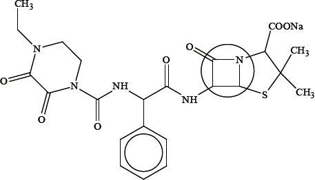
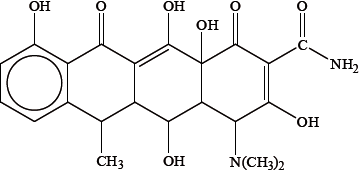
The structure of a drug is shown below:

Another drug that can have a similar effect to the one shown in (a) is doxycycline, shown below.

Identify the class of drugs to which this particular drug belongs.
Explain the high reactivity of the part of the drug that is enclosed in the circle.
Suggest why the drug is administered as its sodium salt.
Because it contains several –OH groups and an amine group, doxycycline is slightly polar. Identify the amine group by drawing a circle around it on the structure above and state whether it is a primary, secondary or tertiary amine.
Suggest one way in which the polarity of doxycycline could be substantially increased.
Deduce the number of chiral carbon atoms in doxycycline and explain why chirality is important when considering its action in the body.
Markscheme
penicillin(s)/antibacterial(s)/antibiotic;
(\(\beta \)-lactam) ring is strained;
Accept stressed.
sp3 and sp2 hybridization;
bond angles are 90° / less than 120° and 109.5° / OWTTE;
(the sodium salt) makes the penicillin ionic/more polar;
this increases its solubility in water/more concentrated in bloodstream / makes it more able to be absorbed by the body / OWTTE;
;
Circle must go around the N atom (joined to the two CH3 groups) and not include more than the two CH3 groups and the carbon atom in the ring directly bonded to it.
Accept a circle around the –N(CH3)2 without including the carbon atom of the ring.
tertiary;
M2 can only be awarded if M1 is correct.
react with hydrochloric acid/any other named strong acid / convert the amine group into a salt/ammonium ion/its hydrochloride/any other named product;
Accept amino for amine group.
react with sodium hydroxide/\({\text{O}}{{\text{H}}^ - }\) / convert a phenolic/OH group on the benzene ring/ into a phenoxide ion/sodium salt;
six/6;
The different enantiomers/isomers may have different physiological/pharmacological effects on the body / one enantiomer benefits the body, the other might not / OWTTE;
Accept a specific example such as thalidomide.
Accept one enantiomer could have a toxic effect.
Do not allow just “has different effects”.
Examiners report
Part a) (i) was very well answered overall.
In a) (ii) while many candidates showed familiarity with the \(\beta \)-lactam ring, not as many were able to convey arguments that allowed them to score.
Good candidates achieved at least one mark in a) iii) for the increase in polarity although often answers for this question were vague and just referenced an increase in solubility’ without specifying ‘in water’. The reason for converting the drug into a sodium salt was often incorrectly linked to digestion as opposed to making the molecule more polar.
A fair number of candidates incorrectly circled the NH2 group of the amide group and classified this as a primary amine.
Many had difficulty explaining how to make the drug more polar in b) ii).
Most candidates obtained second mark in this question and very few identified the correct number of chiral carbons.
A modern method for accurately determining ethanol concentrations in the breath is based on the infrared (IR) spectrum of the molecule.

Use Table 17 of the Data Booklet to identify the wavenumber range used in the determination.
State why the absorption in the range 3200 to 3600 \({\text{c}}{{\text{m}}^{ - 1}}\) is not used.
The concentration of ethanol is determined by passing IR radiation through a breath sample. Outline how the transmittance of IR radiation changes when increased levels of ethanol are present.
Markscheme
2850 – 3100 \({\text{(c}}{{\text{m}}^{ - 1}}{\text{)}}\);
(OH absorption present) in water/air/water vapour;
transmittance decreases / absorbance increasing (with increasing concentration);
No mark for: transmittance/absorbance changes.
Examiners report
Option D was a popular option. The identification of the wavenumber range used in the determination of ethanol lead to many correct answers. However, why the absorption range 3200-3600 \({\text{c}}{{\text{m}}^{ - 1}}\) is not used still eludes a substantial number of candidates. How the transmission of IR radiation changes with increased levels of ethanol was not answered well, showing a poor understanding of transmittance. The question on the mild analgesic was not very well except for being able to identify the amide group in the molecules in question. The physiological effect of the drug as well as the reason for some drugs being less effective when taken orally was both very well answered. The ‘mix and split’ approach to combinatorial chemistry was generally not done well with answers that were weak showing shallow understanding.
The two structural features found in the sympathomimetic drugs were mostly correctly identified. Although many students were able to identify two chiral centers in the two structures given, not as many could identify the three needed for the mark. In the preferred method for the synthesis of optically active drugs, where many scored full marks but the difficulty of separating enantiomers due to their similar physical properties was the least popular explanation given. Surprisingly, the suggestion for increasing the aqueous solubility of an alkaline drug by adding an acid or converting it to its salt was done poorly showing a lack of understanding of acid-base chemistry and bonding.
In one argument for and one against the legalization of cannabis, while many candidates scored at least one mark out of two, some journalistic answers were seen. Description of the bonding changes that occur when the anti-cancer drug cisplatin attaches to the DNA chain was typically not well answered questions with many candidates being able to provide only one of the two ideas, usually the missing one was that \({\text{C}}{{\text{l}}^ - }\) leave \({\text{Pt/P}}{{\text{t}}^{2 + }}\). Why the trans-cisplatin is ineffective in the treatment of cancer elicited fewer correct answers than expected. Question 18 was not on AIDS per se but rather on why viral infections are more difficult to treat than bacterial infections. A significant number of students scored part marks thus illustrating shallow understanding and deserves further attention in class. Very often marks were lost due to incomplete arguments.
Option D was a popular option. The identification of the wavenumber range used in the determination of ethanol lead to many correct answers. However, why the absorption range 3200-3600 \({\text{c}}{{\text{m}}^{ - 1}}\) is not used still eludes a substantial number of candidates. How the transmission of IR radiation changes with increased levels of ethanol was not answered well, showing a poor understanding of transmittance. The question on the mild analgesic was not very well except for being able to identify the amide group in the molecules in question. The physiological effect of the drug as well as the reason for some drugs being less effective when taken orally was both very well answered. The ‘mix and split’ approach to combinatorial chemistry was generally not done well with answers that were weak showing shallow understanding.
The two structural features found in the sympathomimetic drugs were mostly correctly identified. Although many students were able to identify two chiral centers in the two structures given, not as many could identify the three needed for the mark. In the preferred method for the synthesis of optically active drugs, where many scored full marks but the difficulty of separating enantiomers due to their similar physical properties was the least popular explanation given. Surprisingly, the suggestion for increasing the aqueous solubility of an alkaline drug by adding an acid or converting it to its salt was done poorly showing a lack of understanding of acid-base chemistry and bonding.
In one argument for and one against the legalization of cannabis, while many candidates scored at least one mark out of two, some journalistic answers were seen. Description of the bonding changes that occur when the anti-cancer drug cisplatin attaches to the DNA chain was typically not well answered questions with many candidates being able to provide only one of the two ideas, usually the missing one was that \({\text{C}}{{\text{l}}^ - }\) leave \({\text{Pt/P}}{{\text{t}}^{2 + }}\). Why the trans-cisplatin is ineffective in the treatment of cancer elicited fewer correct answers than expected. Question 18 was not on AIDS per se but rather on why viral infections are more difficult to treat than bacterial infections. A significant number of students scored part marks thus illustrating shallow understanding and deserves further attention in class. Very often marks were lost due to incomplete arguments.
Option D was a popular option. The identification of the wavenumber range used in the determination of ethanol lead to many correct answers. However, why the absorption range 3200-3600 \({\text{c}}{{\text{m}}^{ - 1}}\) is not used still eludes a substantial number of candidates. How the transmission of IR radiation changes with increased levels of ethanol was not answered well, showing a poor understanding of transmittance. The question on the mild analgesic was not very well except for being able to identify the amide group in the molecules in question. The physiological effect of the drug as well as the reason for some drugs being less effective when taken orally was both very well answered. The ‘mix and split’ approach to combinatorial chemistry was generally not done well with answers that were weak showing shallow understanding.
The two structural features found in the sympathomimetic drugs were mostly correctly identified. Although many students were able to identify two chiral centers in the two structures given, not as many could identify the three needed for the mark. In the preferred method for the synthesis of optically active drugs, where many scored full marks but the difficulty of separating enantiomers due to their similar physical properties was the least popular explanation given. Surprisingly, the suggestion for increasing the aqueous solubility of an alkaline drug by adding an acid or converting it to its salt was done poorly showing a lack of understanding of acid-base chemistry and bonding.
In one argument for and one against the legalization of cannabis, while many candidates scored at least one mark out of two, some journalistic answers were seen. Description of the bonding changes that occur when the anti-cancer drug cisplatin attaches to the DNA chain was typically not well answered questions with many candidates being able to provide only one of the two ideas, usually the missing one was that \({\text{C}}{{\text{l}}^ - }\) leave \({\text{Pt/P}}{{\text{t}}^{2 + }}\). Why the trans-cisplatin is ineffective in the treatment of cancer elicited fewer correct answers than expected. Question 18 was not on AIDS per se but rather on why viral infections are more difficult to treat than bacterial infections. A significant number of students scored part marks thus illustrating shallow understanding and deserves further attention in class. Very often marks were lost due to incomplete arguments.
Analgesics can be prescribed for treating various types of pain.
The structure of aspirin is shown in table 20 of the data booklet. Suggest a suitable reagent for the conversion of aspirin to its sodium salt.
Explain the advantage of converting aspirin into its sodium salt.
Suggest a reagent that could be used to convert morphine into diamorphine.
Explain why diamorphine is a more potent drug than morphine.
Markscheme
\({\text{NaOH/N}}{{\text{a}}_{\text{2}}}{\text{C}}{{\text{O}}_{\text{3}}}{\text{/NaHC}}{{\text{O}}_{\text{3}}}\);
Do not accept alkali, base or \(O{H^ - }\).
Accept either a correct chemical formula or name.
increases aqueous/water solubility;
facilitates distribution (in the body) by the bloodstream / OWTTE;
ethanoic acid/\({\text{C}}{{\text{H}}_{\text{3}}}{\text{COOH}}\) / ethanoyl chloride/\({\text{C}}{{\text{H}}_{\text{3}}}{\text{COCl}}\) / ethanoic anhydride/\({{\text{(C}}{{\text{H}}_{\text{3}}}{\text{CO)}}_{\text{2}}}{\text{O}}\);
Accept “acetic acid”, “acetyl chloride”, “acetic anhydride” or “ethanoyl-ethanoate”.
Do not accept “carboxylic acid”.
diamorphine is less polar/non-polar / morphine is more polar / polar groups in morphine are replaced with less polar/non-polar groups in diamorphine;
(less polar molecules) cross blood-brain barrier faster/more easily / (diamorphine) more soluble in non-polar environment of CNS/central nervous system / (diamorphine) more soluble in lipids;
Examiners report
Many candidates were able to give a correct reagent for the conversion of aspirin to its sodium salt. Incorrect answers included NaCl, Na and incorrect chemical formulas for sodium carbonate. In (a) (ii), the increase in aqueous solubility was necessary and increase in solubility alone did not suffice. This threw a number of candidates. The markscheme for (b) (i) was quite broad and most candidates scored one for the two similarities, though some did not understand that benzene is different to benzene ring and that -\({{\text{C}}_{\text{6}}}{{\text{H}}_{\text{2}}}\) is not the phenyl group, which is actually -\({{\text{C}}_{\text{6}}}{{\text{H}}_{\text{5}}}\). As regards the difference, as previously hydroxide was not accepted for hydroxyl. Some candidates mixed up ethers with esters. In (c), many scored both marks though a few did not mention the non-polar nature of diamorphine.
Many candidates were able to give a correct reagent for the conversion of aspirin to its sodium salt. Incorrect answers included NaCl, Na and incorrect chemical formulas for sodium carbonate. In (a) (ii), the increase in aqueous solubility was necessary and increase in solubility alone did not suffice. This threw a number of candidates. The markscheme for (b) (i) was quite broad and most candidates scored one for the two similarities, though some did not understand that benzene is different to benzene ring and that -\({{\text{C}}_{\text{6}}}{{\text{H}}_{\text{2}}}\) is not the phenyl group, which is actually -\({{\text{C}}_{\text{6}}}{{\text{H}}_{\text{5}}}\). As regards the difference, as previously hydroxide was not accepted for hydroxyl. Some candidates mixed up ethers with esters. In (c), many scored both marks though a few did not mention the non-polar nature of diamorphine.
Many candidates were able to give a correct reagent for the conversion of aspirin to its sodium salt. Incorrect answers included NaCl, Na and incorrect chemical formulas for sodium carbonate. In (a) (ii), the increase in aqueous solubility was necessary and increase in solubility alone did not suffice. This threw a number of candidates. The markscheme for (b) (i) was quite broad and most candidates scored one for the two similarities, though some did not understand that benzene is different to benzene ring and that -\({{\text{C}}_{\text{6}}}{{\text{H}}_{\text{2}}}\) is not the phenyl group, which is actually -\({{\text{C}}_{\text{6}}}{{\text{H}}_{\text{5}}}\). As regards the difference, as previously hydroxide was not accepted for hydroxyl. Some candidates mixed up ethers with esters. In (c), many scored both marks though a few did not mention the non-polar nature of diamorphine.
Many candidates were able to give a correct reagent for the conversion of aspirin to its sodium salt. Incorrect answers included NaCl, Na and incorrect chemical formulas for sodium carbonate. In (a) (ii), the increase in aqueous solubility was necessary and increase in solubility alone did not suffice. This threw a number of candidates. The markscheme for (b) (i) was quite broad and most candidates scored one for the two similarities, though some did not understand that benzene is different to benzene ring and that -\({{\text{C}}_{\text{6}}}{{\text{H}}_{\text{2}}}\) is not the phenyl group, which is actually -\({{\text{C}}_{\text{6}}}{{\text{H}}_{\text{5}}}\). As regards the difference, as previously hydroxide was not accepted for hydroxyl. Some candidates mixed up ethers with esters. In (c), many scored both marks though a few did not mention the non-polar nature of diamorphine.
A variety of techniques can be used to determine the ethanol concentration of the breath, blood or urine.
The breathalyser, one of the earliest tests, uses the reaction between ethanol and acidified potassium dichromate(VI). Ethanol is first oxidized to ethanal.
Deduce the half-equation for the reaction of ethanol to ethanal.
Outline why the colour changes from orange to green.
Explain how the ethanol concentration in the breath can be measured by an intoximeter using infrared absorption.
Markscheme
\({\text{C}}{{\text{H}}_3}{\text{C}}{{\text{H}}_2}{\text{OH(aq)}} \to {\text{C}}{{\text{H}}_3}{\text{CHO(aq)}} + {\text{2}}{{\text{H}}^ + }{\text{(aq)}} + {\text{2}}{{\text{e}}^ - }\);
Accept equilibrium sign, e for e– and different representations of organic compounds (such as \({C_2}{H_6}O\) and \({C_2}{H_4}O\)).
Ignore state symbols.
Do not accept \(C{H_3}C{H_2}OH + [O] \to C{H_3}CHO + {H_2}O\) (since half-equation requested).
(orange) dichromate(VI) \({\text{ion/C}}{{\text{r}}_{\text{2}}}{\text{O}}_{\text{7}}^{2 - }{\text{/Cr(VI)/C}}{{\text{r}}^{6 + }}\) is reduced/converted to (green) chromium(III) \({\text{ion/Cr(III)/C}}{{\text{r}}^{3 + }}\);
absorption (of IR at \({\text{2950 c}}{{\text{m}}^{ - 1}}\)) by C–H bond;
(IR) absorption increases with/proportional to concentration / (IR) intensity compared to an empty/control cell;
Accept area under peak/size of peak (on IR spectrum) can be used to measure ethanol concentration.
Examiners report
The ability to construct a redox half-equation connecting a given starting material and product was disappointingly rare. The colour change was better explained though many students failed to specifically identify the species involved or their oxidation states. An encouraging number of students were aware of the role of the C-H bond absorption in IR based intoximeters, though frequently mention of the importance of the absorption intensity was omitted.
The ability to construct a redox half-equation connecting a given starting material and product was disappointingly rare. The colour change was better explained though many students failed to specifically identify the species involved or their oxidation states. An encouraging number of students were aware of the role of the C-H bond absorption in IR based intoximeters, though frequently mention of the importance of the absorption intensity was omitted.
The ability to construct a redox half-equation connecting a given starting material and product was disappointingly rare. The colour change was better explained though many students failed to specifically identify the species involved or their oxidation states. An encouraging number of students were aware of the role of the C-H bond absorption in IR based intoximeters, though frequently mention of the importance of the absorption intensity was omitted.
The efficiency of a drug depends on the polarity of its molecule. Explain how the polarity of a drug can be modified in order to increase its solubility in water and how it affects the distribution of the drug around the body.
Markscheme
(non-charged) carboxylic acids/groups can be converted into more polar salts/carboxylates;
(non-charged) amines/amino groups can be converted into more polar amines/ammonium groups;
more polar/charged/ionic substances are more soluble in water/concentrate in the bloodstream;
Examiners report
Most candidates stated that polar drugs are more soluble in blood, and some suggested turning the drugs into a salt but didn‟t describe how. Most also had a pretty clear understanding of THC and its effects.
Mild analgesics such as aspirin, and strong analgesics such as opiates, differ not only in their potency but also in the ways they act on the central nervous system.
Explain why heroin is a more potent drug than morphine.
Markscheme
molecule of heroin is less polar / molecule of morphine is more polar / polar OH groups in morphine are replaced with less polar/non-polar groups in heroin;
(less polar molecules) cross the blood-brain barrier faster/more easily / (heroin) is more soluble in non-polar environment of the CNS/central nervous system than morphine / OWTTE;
Examiners report
Candidates struggled to explain why heroin is a more potent drug than morphine. An explanation based on differences of the polarity of the molecules was expected.
Ethanol can be detected by a variety of instruments.
Fuel cells use an electrochemical process to determine the concentration of ethanol.
Formulate the overall equation for this process.
Predict the chemical shifts and integration for each signal in the 1H NMR spectrum for ethanol using section 27 of the data booklet.
Markscheme
C2H5OH(g) + O2(g) → CH3COOH(aq) + H2O(l)
Accept any correct formula for reactants and products.
[1 mark]
R–OH:
1.0–6.0 «ppm» AND 1 H
R–O–CH2–:
3.3–3.7 «ppm» AND 2 H
–CH3:
0.9–1.0 «ppm» AND 3 H
Award [1] for the ratio of 1:2:3 (in any order).
Award [2] for three correct chemical shifts without integration.
Award [1] for two correct chemical shifts without integration.
For each chemical shift accept a specific value within the range.
Assignment of proton to fragment (eg, R–OH) is not required in each case.
[3 marks]
Examiners report
Radioisotopes can be used to treat a wide variety of diseases.
Phosphorous-32 undergoes beta decay. Formulate a balanced nuclear equation for this process.
The half-life of phosphorus-32 is 14.3 days. Calculate the mass, in g, of 32P remaining after 57.2 days if the initial sample contains 2.63 × 10−8 mol. Use table 1 of the data booklet and Mr = 31.97 g mol−1.
Explain the targeted alpha therapy (TAT) technique and why it is useful.
Markscheme
32P → 32S + \(_{-1}^0\)β
Accept “e–/e/β” instead of “\(_{-1}^0\)β”.
[1 mark]
ALTERNATIVE 1
«λ = \(\frac{{\ln 2}}{{14.3}}\) =» 0.04847 «day–1»
«m(32P) = 2.63 × 10–8 mol × 31.97 g mol–1 × e–0.04847 × 57.2 =» 5.26 × 10–8 «g»
ALTERNATIVE 2
«\(\frac{{57.2}}{{14.3}}\) =» 4 «half-lives passed»
OR
«n(32P) = \(\frac{{2.63 \times {{10}^{ - 8}}{\text{ mol}}}}{{{2^4}}}\) =» 1.64 × 10–9 «mol»
«m(32P) = 1.64 × 10–9 mol × 31.97 g mol–1 =» 5.26 × 10–8 «g»
Award [2] for correct final answer.
Accept any value in the range “5.24–5.26 × 10–8 «g»”.
[2 marks]
alpha-emitting isotopes/212Pb/225Ac attached to drugs/antibodies/chelating ligands/carriers
Award [2 max] for any two of:
absorbed by «cancer/growing» cells
OR
bind to «cancer/growing» cell receptors
alpha particles have high ionizing density/power
short-range of emission «of alpha-particles»
OR
healthy tissues less affected «as slower cell growth»
OR
local effect «on dispersed/spread/metastasised cancers»
Accept “radionuclide” for “isotope”.
Accept “alpha particles are highly ionizing”.
Accept “alpha particles have low penetrating power”.
Accept “used to treat dispersed/spread/metastasised cancers” OR “can be used to map the distribution of cancer cells in the body”.
[3 marks]
Examiners report
Many diseases are the result of infection of the body by either bacteria or viruses.
Identify the particular structural feature of penicillins that is responsible for their action and explain how this prevents bacteria multiplying.
Markscheme
4-membered ring/\(\beta \)-lactam ring;
easily broken / very reactive / highly strained ring;
binds to proteins/deactivates proteins that form cell wall / interferes with cell wall formation / prevent formation of crosslinks within cell wall;
makes cell wall porous / allows water to pass;
causes cell to burst;
Examiners report
Most candidates knew that AIDS was a viral disease, but knowledge of a bacterial disease (rather than the name of a bacterium) was more sketchy. The differences between bacteria and viruses and reasons for drug resistance in bacteria were generally well known. Many candidates also gave good answers about the mode of action of penicillin, but the action of antiviral drugs could only be explained by the best candidates.
Three factors which can influence the mechanism of the action of a drug include geometrical isomerism, polarity and ring strain.
For each of the following drugs, identify which one of these factors is involved.
Increased potency of diamorphine compared to morphine:
Penicillin:
Explain the action of penicillin with reference to your answer in part (a).
Markscheme
Increased potency of diamorphine compared to morphine:
polarity / polar hydroxyl groups in morphine replaced by non-polar ester groups in diamorphine;
Penicillin:
ring strain;
ring opens (to allow penicillin to bond to enzyme);
which synthesizes bacterial cell walls and so blocks action / prevent cell wall/membrane formation;
Examiners report
Most candidates had no problem with (a).
in (b), although most candidates knew that penicillin interferes with cell wall synthesis, most did not know the actual mechanism i.e. the fact that the ring opens to allow the penicillin to bond to the enzyme.
Chemists can change structures of substances in order to produce chemicals with desired properties.
Aspirin is virtually insoluble in water. Use Table 20 in the Data Booklet to explain how aspirin can be made more water-soluble. Write an equation for the reaction.
Markscheme
react aspirin with sodium hydroxide/\({\text{O}}{{\text{H}}^ - }\) to produce the (ionic) salt;
No M1 for reaction with CaCO3 (as calcium salicylate is not water soluble).
\({{\text{C}}_{\text{6}}}{{\text{H}}_{\text{4}}}{\text{(OCOC}}{{\text{H}}_{\text{3}}}{\text{)COOH}} + {\text{NaOH}} \to {{\text{C}}_{\text{6}}}{{\text{H}}_{\text{4}}}{\text{(OCOC}}{{\text{H}}_{\text{3}}}{\text{)COONa}} + {{\text{H}}_{\text{2}}}{\text{O}}\);
Accept ionic equation.
ECF for M2
Examiners report
Few candidates knew how to make aspirin more water-soluble – most answers showed a lack of understanding of the chemistry involved, namely reaction with NaOH to produce the ionic salt of aspirin.
Many drugs, including aspirin, penicillin, codeine and taxol, have been modified from compounds that occur naturally.
Many drugs are chiral. Explain how a polarimeter can be used to determine the relative proportion of two enantiomers.
Markscheme
«pure» enantiomers rotate the plane «of plane-»polarized light «by equal angles» in opposite directions
Any two of:
find angle of rotation of pure enantiomers
measure angle of rotation of mixture
mixture has angle between that of two enantiomers
ratio of angles gives purity
[3 marks]
Examiners report
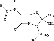
The discovery of penicillin was one of the most significant scientific discoveries of the last century.
State the type of hybridization of each of the carbon atoms (I, II, and III) in the \(\beta \)-lactam ring of ampicillin by completing the table below, and explain why the amide group is highly reactive.

Markscheme
;
strain in four-membered ring / as angles less than 109°;
Examiners report
In (c), many students could not relate the hybridization of the carbon atoms in the beta-lactam ring to ring strain and a significant number appear to have difficulty linking some key chemical concepts in this option.
Taxol was originally obtained from the bark of the Pacific yew tree.
Outline how Green Chemistry has improved the process of obtaining Taxol.
Markscheme
Any two of:
stripping the bark kills Pacific yew tree
plant cell fermentation «and extraction»/PCF technology/use of plant cell cultures/Taxol «precursors» produced by biosynthesis/fungi/yeast/e-coli/use of natural enzymes «more sustainable process»
OR
Taxol produced semi-synthetically/Taxol from 10-DAB/10-deacetylbaccatin
uses renewable resources
OR
use «needles/leaves/twigs of» European/common yew/yew from Himalayas
«sustainable» process has eliminated «high proportion of» hazardous chemicals/waste
OR
«sustainable» process has eliminated several solvents/«sustainable» process uses greener solvents/«sustainable» process recycles/reuses solvents
OR
«sustainable» process has eliminated several «drying» steps/«sustainable» process has eliminated lots of the work-up after the synthesis
OR
«sustainable» process has increased energy efficiency
OR
«sustainable» process has no intermediates
OR
«sustainable» process uses more efficient catalysts
Accept “Pacific yew rare/slowgrowing/takes 100/200 years to mature” for M1.
Accept “synthesis of Taxol using chiral auxiliaries increases efficiency of process as single enantiomer formed” for M4.
[2 marks]
Examiners report
Excess stomach acid leads to medical conditions that affect many people worldwide. These conditions can be treated with several types of medical drugs.
Omeprazole exists as a racemic mixture whereas esomeprazole is a single enantiomer. Outline how, starting from a non-chiral molecule, esomeprazole but not omeprazole, could be synthesized. Details of chemicals and conditions are not required.
Markscheme
Any two of:
chiral molecule/auxiliary/optically active species is used/added/connected «to the starting molecule to force reaction to follow a certain path»
chiral intermediate forms «only» one enantiomer
OR
auxiliary creates stereochemical condition «necessary to follow a certain pathway» / stereochemical induction
OR
existing chiral centre affects configuration of new chiral centres
«after new chiral centre created» chiral auxiliary removed «to obtain desired product»
Examiners report
Solubility plays an important role in the bioavailability of drugs in the body.
Some mild analgesics contain a solid mixture of acidic aspirin and a non-acidic organic chemical of similar polarity to asprin.
Discuss how acid-base properties and the process of solvent extraction can be used to separate aspirin from the mixture.
Markscheme
dissolve compounds in an organic solvent
add NaOH(aq)/OH–(aq) «to the mixture» to convert aspirin to its water soluble salt
separate the two «immiscible» layers
convert salt «in aqueous layer» back to aspirin by reacting with acid/H+
«evaporate solvents and dry»
Accept organic solvents immiscible with water such as hexane, ethyl ethanoate, butyl acetate.
Accept any other base.
Need explanation for mark.
[3 marks]
Examiners report
Thalidomide is currently used to treat several different diseases including certain types of cancer. Research to compare its effectiveness with other cancer drugs, such as doxorubicin, is ongoing.
(i) Doxorubicin contains six different chiral carbon atoms. Three of them are identifi ed with an asterisk, *. Identify the locations of the other three by placing circles around the relevant carbon atoms.

(ii) Only one of the possible enantiomers is really effective as an anti-cancer drug.
Describe the general principles behind the use of chiral auxiliaries to form the desired enantiomer when several different enantiomers of a drug exist.
(iii) From its structure it can be seen that doxorubicin contains several polar hydroxyl groups. However, when it is given intravenously it needs to be in an ionic form to make it even more soluble in an aqueous medium. Describe how doxorubicin can be converted into a salt.
Markscheme
(i)
;
Award [1] for each correct circle.
(ii) a chiral auxiliary (which is itself optically active/chiral) attaches to nonchiral molecule (to force reaction to follow a certain path);
chiral auxiliary is removed (once stereospecific intermediate has been formed to leave desired enantiomer) / OWTTE;
(iii) EITHER
doxorubicin contains an amino group (which is basic);
Allow (primary) amine.
can react with acid/hydrochloric acid (to form acid salt);
OR
doxorubicin contains OH/hydroxyl groups some of which are acidic;
can react with sodium hydroxide/NaOH/hydroxide ions/OH– (to form sodium/alkaline salt);
Accept other suitable base such as potassium hydroxide/KOH.
Allow “can react with alkali”.
Award [2] for a correct equation.
Examiners report
In (a), enantiomers typically were not referred to and few stated that since drugs can pass from mother to foetus all drugs must be tested for their effect on pregnant women. In (b) (i) most candidates got one chiral centre but surprisingly at HL only the better students got all three. In (b) (ii) although M2 was generally scored, few scored M1 i.e. the fact that a chiral auxiliary attaches to a non-chiral molecule. In (iii) few candidates scored both marks. Many stated that doxorubicin can react with an acid but did not mention the fact that it contains an amino group etc.
Morphine is a strong analgesic which is administered parenterally.
Diamorphine (heroin) is a more effective painkiller than morphine. The structures of morphine and diamorphine are shown in Table 20 of the Data Booklet. Explain at the molecular level why diamorphine is absorbed into fatty tissue more rapidly than morphine.
Markscheme
diamorphine has (2) ester/acetyl/\({\text{COOC}}{{\text{H}}_3}\) groups instead of hydroxyl/OH groups;
diamorphine is less polar/non-polar;
Examiners report
Most candidates answered the question satisfactory, though some did not name the difference in polarity in (b).
Many factors can be involved in the action of a particular drug.
The structures of morphine and diamorphine (heroin) are given in Table 20 of the Data Booklet. With reference to the structures, explain why diamorphine (heroin) is more potent than morphine.
Markscheme
two (polar) hydroxyl groups/OHs in morphine replaced by ester groups in diamorphine;
Do not allow hydroxide for hydroxyl.
Accept two alcohols instead of hydroxyl.
diamorphine less polar / morphine more polar;
diamorphine capable of rapid penetration of (lipid-based) blood-brain barrier / diamorphine more quickly absorbed into non-polar environment of central nervous system/CNS / OWTTE;
Allow diamorphine more soluble/easily dissolved in lipids/fatty tissue.
Examiners report
In contrast (b) was very well answered by nearly all students and several got all three marks.
The drug Antifebrin was first used as a medicine in 1886.

The structures of some medicines and drugs are given in Table 20 of the Data Booklet.
Identify the molecule which is most similar to Antifebrin in terms of size and structure.
State the names of the two functional groups that both molecules have in common.
Outline why some drugs can be less effective when taken orally rather than through other methods of administration.
Markscheme
paracetamol/acetaminophen;
phenyl and (secondary) amide;
Accept benzene ring for phenyl.
Do not allow just benzene or arene instead of phenyl.
drugs broken down by acids/enzymes/digestive system before they are absorbed / drugs reach target more slowly / OWTTE;
Examiners report
Option D was a popular option. The identification of the wavenumber range used in the determination of ethanol lead to many correct answers. However, why the absorption range 3200-3600 \({\text{c}}{{\text{m}}^{ - 1}}\) is not used still eludes a substantial number of candidates. How the transmission of IR radiation changes with increased levels of ethanol was not answered well, showing a poor understanding of transmittance. The question on the mild analgesic was not very well except for being able to identify the amide group in the molecules in question. The physiological effect of the drug as well as the reason for some drugs being less effective when taken orally was both very well answered. The ‘mix and split’ approach to combinatorial chemistry was generally not done well with answers that were weak showing shallow understanding.
The two structural features found in the sympathomimetic drugs were mostly correctly identified. Although many students were able to identify two chiral centers in the two structures given, not as many could identify the three needed for the mark. In the preferred method for the synthesis of optically active drugs, where many scored full marks but the difficulty of separating enantiomers due to their similar physical properties was the least popular explanation given. Surprisingly, the suggestion for increasing the aqueous solubility of an alkaline drug by adding an acid or converting it to its salt was done poorly showing a lack of understanding of acid-base chemistry and bonding.
In one argument for and one against the legalization of cannabis, while many candidates scored at least one mark out of two, some journalistic answers were seen. Description of the bonding changes that occur when the anti-cancer drug cisplatin attaches to the DNA chain was typically not well answered questions with many candidates being able to provide only one of the two ideas, usually the missing one was that \({\text{C}}{{\text{l}}^ - }\) leave \({\text{Pt/P}}{{\text{t}}^{2 + }}\). Why the trans-cisplatin is ineffective in the treatment of cancer elicited fewer correct answers than expected. Question 18 was not on AIDS per se but rather on why viral infections are more difficult to treat than bacterial infections. A significant number of students scored part marks thus illustrating shallow understanding and deserves further attention in class. Very often marks were lost due to incomplete arguments.
Option D was a popular option. The identification of the wavenumber range used in the determination of ethanol lead to many correct answers. However, why the absorption range 3200-3600 \({\text{c}}{{\text{m}}^{ - 1}}\) is not used still eludes a substantial number of candidates. How the transmission of IR radiation changes with increased levels of ethanol was not answered well, showing a poor understanding of transmittance. The question on the mild analgesic was not very well except for being able to identify the amide group in the molecules in question. The physiological effect of the drug as well as the reason for some drugs being less effective when taken orally was both very well answered. The ‘mix and split’ approach to combinatorial chemistry was generally not done well with answers that were weak showing shallow understanding.
The two structural features found in the sympathomimetic drugs were mostly correctly identified. Although many students were able to identify two chiral centers in the two structures given, not as many could identify the three needed for the mark. In the preferred method for the synthesis of optically active drugs, where many scored full marks but the difficulty of separating enantiomers due to their similar physical properties was the least popular explanation given. Surprisingly, the suggestion for increasing the aqueous solubility of an alkaline drug by adding an acid or converting it to its salt was done poorly showing a lack of understanding of acid-base chemistry and bonding.
In one argument for and one against the legalization of cannabis, while many candidates scored at least one mark out of two, some journalistic answers were seen. Description of the bonding changes that occur when the anti-cancer drug cisplatin attaches to the DNA chain was typically not well answered questions with many candidates being able to provide only one of the two ideas, usually the missing one was that \({\text{C}}{{\text{l}}^ - }\) leave \({\text{Pt/P}}{{\text{t}}^{2 + }}\). Why the trans-cisplatin is ineffective in the treatment of cancer elicited fewer correct answers than expected. Question 18 was not on AIDS per se but rather on why viral infections are more difficult to treat than bacterial infections. A significant number of students scored part marks thus illustrating shallow understanding and deserves further attention in class. Very often marks were lost due to incomplete arguments.
Option D was a popular option. The identification of the wavenumber range used in the determination of ethanol lead to many correct answers. However, why the absorption range 3200-3600 \({\text{c}}{{\text{m}}^{ - 1}}\) is not used still eludes a substantial number of candidates. How the transmission of IR radiation changes with increased levels of ethanol was not answered well, showing a poor understanding of transmittance. The question on the mild analgesic was not very well except for being able to identify the amide group in the molecules in question. The physiological effect of the drug as well as the reason for some drugs being less effective when taken orally was both very well answered. The ‘mix and split’ approach to combinatorial chemistry was generally not done well with answers that were weak showing shallow understanding.
The two structural features found in the sympathomimetic drugs were mostly correctly identified. Although many students were able to identify two chiral centers in the two structures given, not as many could identify the three needed for the mark. In the preferred method for the synthesis of optically active drugs, where many scored full marks but the difficulty of separating enantiomers due to their similar physical properties was the least popular explanation given. Surprisingly, the suggestion for increasing the aqueous solubility of an alkaline drug by adding an acid or converting it to its salt was done poorly showing a lack of understanding of acid-base chemistry and bonding.
In one argument for and one against the legalization of cannabis, while many candidates scored at least one mark out of two, some journalistic answers were seen. Description of the bonding changes that occur when the anti-cancer drug cisplatin attaches to the DNA chain was typically not well answered questions with many candidates being able to provide only one of the two ideas, usually the missing one was that \({\text{C}}{{\text{l}}^ - }\) leave \({\text{Pt/P}}{{\text{t}}^{2 + }}\). Why the trans-cisplatin is ineffective in the treatment of cancer elicited fewer correct answers than expected. Question 18 was not on AIDS per se but rather on why viral infections are more difficult to treat than bacterial infections. A significant number of students scored part marks thus illustrating shallow understanding and deserves further attention in class. Very often marks were lost due to incomplete arguments.
Antibacterials are drugs that kill or inhibit the growth of microorganisms that cause infectious diseases. The general structure of penicillin, an antibacterial, is given below.

Describe the composition and structure of the beta-lactam ring in penicillin and explain its importance.
Markscheme
ring consists of one nitrogen atom and three carbon atoms (and three hydrogen atoms);
4 membered/square ring structure / bond angles of 90°;
ring under stress/strain / increased (chemical) reactivity / ring opens (due to angle of 90° instead of about 109°);
bonds to/blocks action of enzyme/transpeptidase;
reaction with the enzyme not reversible / prevents cross linking of peptides / inhibits synthesis and growth of bacterial cell walls / OWTTE;
Examiners report
Many candidates were unable to explain the importance of the beta-lactam ring in penicillin. The bonds in the opened structure blocks the action of the enzyme, transpeptidase, a non-reversible reaction that prevents cross linkage of peptides in the bacteria, which inhibits the synthesis and growth of bacterial cell walls.
The first commercially available antibiotic came from a class of compounds known as the penicillins.
Explain how penicillins work and why it is necessary to continually modify the side-chain.
Explain the importance of the beta-lactam ring in the action of penicillin.
Markscheme
penicillins interfere with (enzymes involved with) development of cell wall/(cross-link) structure of bacteria;
(due to damage) cells absorb water (by osmosis) and burst / OWTTE;
modifying side-chain overcomes resistance (by bacteria) / OWTTE;
beta lactam ring has strained structure/(four-membered ring with) 90° bond angles on the carbon and nitrogen atoms;
atoms should have larger bond angles based on VSEPR theory / OWTTE;
ring stress increases chemical reactivity and opens;
open ring reacts/bonds with enzyme/penicillinase to prevent formation of bacteria cell walls (prevents cross-linking of peptides);
Examiners report
The role of Florey and Chain did not seem to be too well known with many incorrectly listing large-scale production. In (b), the side-chain modification was better known than the working of penicillins. Whilst many had the correct general idea of the importance of the beta-lactam ring in (c), a precise explanation was needed.
The role of Florey and Chain did not seem to be too well known with many incorrectly listing large-scale production. In (b), the side-chain modification was better known than the working of penicillins. Whilst many had the correct general idea of the importance of the beta-lactam ring in (c), a precise explanation was needed.
A commonly used mild analgesic is aspirin, 2-acetoxybenzoic acid, whose structure is given in Table 20 of the Data Booklet.
One form of soluble aspirin is \({\text{Ca(}}{{\text{C}}_{\text{9}}}{{\text{H}}_{\text{7}}}{{\text{O}}_{\text{4}}}{{\text{)}}_{\text{2}}}\).
Morphine, codeine and diamorphine (heroin) are examples of strong analgesics.
Their structures are given in Table 20 of the Data Booklet.
Describe how mild analgesics function.
(i) Outline why this substance is more soluble than standard aspirin in water.
(ii) Deduce the balanced ionic equation for the reaction that occurs between soluble aspirin and the acid in the stomach.
(i) Deduce two named functional groups present in both aspirin and diamorphine.
(ii) Deduce one named functional group present in morphine but not in diamorphine.
(iii) State two short-term advantages and two long-term disadvantages of using codeine as a strong analgesic.
Short-term advantages:
Long-term disadvantages:
(iv) Explain the increased potency of diamorphine compared to morphine.
Markscheme
intercepts pain stimulus at source / inhibits release of substances/prostaglandins that cause pain/swelling/fever;
(i) ionic compound (which dissociates);
(ii) \({{\text{C}}_9}{{\text{H}}_7}{\text{O}}_4^ - {\text{(aq)}} + {{\text{H}}^ + }{\text{(aq)}} \to {{\text{C}}_9}{{\text{H}}_8}{{\text{O}}_4}{\text{(aq)}}\);
Ignore state symbols.
Ignore arrow.
(i) phenyl/benzene ring;
Do not allow just benzene or arene or the formula C6H6.
ester;
Do not allow –COO– or carbonyl/CO.
(ii) hydroxyl / phenol; [1]
Allow alcohol/hydroxy but not hydroxide.
Do not allow –OH.
(iii) Award any [1] for any two short-term advantages from:
strong/powerful (pain reliever);
fast-acting / effective;
has a wide safety margin;
can quickly stop diarrhoea;
can be used in cough mixtures/medicines / antitussive properties;
works effectively with paracetamol/acetaminophen;
Award [1] for any two long-term disadvantages from:
(regular use) can lead to addiction/dependence/withdrawal symptoms;
tolerance can lead to toxic dosages;
can result in depression / apathy;
can cause mental health problems;
can result in constipation;
can result in sterility/sexually related problems;
memory loss;
serious health risk to babies who are breastfed;
Award [1 max] for one correct advantage and one correct disadvantage.
(iv) two (polar) hydroxyl groups in morphine replaced by less polar ester groups in diamorphine/heroin;
Do not allow hydroxide for hydroxyl.
Accept alcohols for hydroxyl groups.
diamorphine/heroin more soluble in non-polar lipids / diamorphine/heroin more soluble in non-polar environment of central nervous system/CNS;
Reference to solubility required.
diamorphine/heroin can penetrate blood-brain barrier more quickly / diamorphine/heroin can act more quickly in CNS (leading to increased potency);
Examiners report
In Q15, the function of mild analgesics was well understood but few stated that the calcium salt is ionic and fewer still managed the ionic equation. The named functional groups were usually correctly identified although “benzene” was one of the incorrect answers as was “esther”. For the short-term advantages there was a tendency to repeat the stem of the question but the long-term disadvantages were better understood. Many scored one mark by including one correct short-term and one correct long-term answer. One respondent suggested that asking candidates about codeine was unfair – but this was regarded as a reasonable extension of D.3.4. Answers about the increased potency of diamorphine over morphine were better than in the past but if a mark were to be lost it would be for not commenting on the greater solubility of diamorphine in lipids specifically.
In Q15, the function of mild analgesics was well understood but few stated that the calcium salt is ionic and fewer still managed the ionic equation. The named functional groups were usually correctly identified although “benzene” was one of the incorrect answers as was “esther”. For the short-term advantages there was a tendency to repeat the stem of the question but the long-term disadvantages were better understood. Many scored one mark by including one correct short-term and one correct long-term answer. One respondent suggested that asking candidates about codeine was unfair – but this was regarded as a reasonable extension of D.3.4. Answers about the increased potency of diamorphine over morphine were better than in the past but if a mark were to be lost it would be for not commenting on the greater solubility of diamorphine in lipids specifically.
In Q15, the function of mild analgesics was well understood but few stated that the calcium salt is ionic and fewer still managed the ionic equation. The named functional groups were usually correctly identified although “benzene” was one of the incorrect answers as was “esther”. For the short-term advantages there was a tendency to repeat the stem of the question but the long-term disadvantages were better understood. Many scored one mark by including one correct short-term and one correct long-term answer. One respondent suggested that asking candidates about codeine was unfair – but this was regarded as a reasonable extension of D.3.4. Answers about the increased potency of diamorphine over morphine were better than in the past but if a mark were to be lost it would be for not commenting on the greater solubility of diamorphine in lipids specifically.
Acquired immune deficiency syndrome (AIDS), a disease caused by the HIV virus, has resulted in millions of deaths worldwide since it was first identified in 1981.
Explain why viral infections, such as AIDS, are generally more difficult to treat than bacterial infections.
Markscheme
viruses mutate quickly so adapt to drugs/evade immune system response / OWTTE;
bacteria are more complex and thus can be targeted in more ways / viruses lack sub-units/functions targeted by antibacterials / OWTTE;
different types of bacteria employ similar metabolic processes and thus can be targeted by common antibacterials / each kind of virus usually requires special drugs/approaches / OWTTE;
bacteria can be killed by interfering with cell wall production without attacking host cell / difficult to attack the virus without attacking host cell;
Examiners report
Option D was a popular option. The identification of the wavenumber range used in the determination of ethanol lead to many correct answers. However, why the absorption range 3200-3600 \({\text{c}}{{\text{m}}^{ - 1}}\) is not used still eludes a substantial number of candidates. How the transmission of IR radiation changes with increased levels of ethanol was not answered well, showing a poor understanding of transmittance. The question on the mild analgesic was not very well except for being able to identify the amide group in the molecules in question. The physiological effect of the drug as well as the reason for some drugs being less effective when taken orally was both very well answered. The ‘mix and split’ approach to combinatorial chemistry was generally not done well with answers that were weak showing shallow understanding.
The two structural features found in the sympathomimetic drugs were mostly correctly identified. Although many students were able to identify two chiral centers in the two structures given, not as many could identify the three needed for the mark. In the preferred method for the synthesis of optically active drugs, where many scored full marks but the difficulty of separating enantiomers due to their similar physical properties was the least popular explanation given. Surprisingly, the suggestion for increasing the aqueous solubility of an alkaline drug by adding an acid or converting it to its salt was done poorly showing a lack of understanding of acid-base chemistry and bonding.
In one argument for and one against the legalization of cannabis, while many candidates scored at least one mark out of two, some journalistic answers were seen. Description of the bonding changes that occur when the anti-cancer drug cisplatin attaches to the DNA chain was typically not well answered questions with many candidates being able to provide only one of the two ideas, usually the missing one was that \({\text{C}}{{\text{l}}^ - }\) leave \({\text{Pt/P}}{{\text{t}}^{2 + }}\). Why the trans-cisplatin is ineffective in the treatment of cancer elicited fewer correct answers than expected. Question 18 was not on AIDS per se but rather on why viral infections are more difficult to treat than bacterial infections. A significant number of students scored part marks thus illustrating shallow understanding and deserves further attention in class. Very often marks were lost due to incomplete arguments.
Organic solvents are commonly used in the pharmaceutical industry.
Hexane and propanone have vapour pressures of 17 kPa and 24 kPa respectively at 20 °C.
Calculate the vapour pressure, in kPa, at 20 °C of a mixture containing 60% hexane and 40% propanone by mole fraction, using Raoult’s law and assuming the mixture is ideal.
Explain how hexane and propanone may be separated by fractional distillation.
Markscheme
«vapour pressure = 0.6 × 17 + 0.4 × 24 =»
19.8 «kPa»
[1 mark]
Any three of:
different molar masses
OR
different strength of intermolecular forces
different boiling points
temperature in «fractionating» column decreases upwards
«components» condense at different temperatures/heights
OR
«component with» lower boiling point leaves column first
[3 marks]
Examiners report
Aspirin is one of the most widely used drugs in the world.
Aspirin was synthesized from 2.65 g of salicylic acid (2-hydroxybenzoic acid) (Mr = 138.13) and 2.51 g of ethanoic anhydride (Mr = 102.10).
Suggest two absorbances, other than the absorbances due to the ring structure and C–H bonds, that would be present in the infrared (IR) spectrum of aspirin.
State two techniques, other than IR spectroscopy, which could be used to confirm the identity of aspirin.
Markscheme
Any two of:
2500–3000 «cm–1» / «absorbance» due to O–H in carboxyl
1700–1750 «cm–1» / «absorbance» due to C=O in carboxyl/ethanoate
1050–1410 «cm–1» / «absorbance» due to C–O bond in carboxyl/ethanoate
Accept “carboxylic acid” for “carboxyl”, “acetate/ester” for “ethanoate”.
Accept specific wavenumber once within indicated range.
Do not award mark if reference is made to an alcohol/ether.
[2 marks]
Any two of:
melting point
mass spectrometry/MS
high-performance liquid chromatography/HPLC
NMR/nuclear magnetic resonance
X-ray crystallography
elemental analysis
Accept “spectroscopy” instead of “spectrometry” where mentioned but not “spectrum”.
Accept “ultraviolet «-visible» spectroscopy/UV/UV-Vis”.
Do not accept “gas chromatography/GC”.
Accept “thin-layer chromatography/TLC” as an alternative to “HPLC”.
[2 marks]
Examiners report
The use of performance-enhancing drugs presents a challenge in the world of competitive sports. New regulations have lowered the acceptable concentrations of certain drugs in athletes’ bodies.
Suggest what may have led to these changes in acceptable concentrations.
One class of performance-enhancing drugs is the anabolic steroids. Detection of these drugs in urine samples uses a combination of gas chromatography and mass spectrometry (GC/MS).
(i) Describe how gas chromatography enables the components of urine to be analysed.
(ii) The structures of two steroids, testosterone and nandrolone, are given below.
With reference to the molar masses of the two steroids, determine, with a reason, which can be identified from the mass spectrum below.
Markscheme
improvements in technology/instrumentation/analytical techniques/precision of measurements
Accept “greater awareness/knowledge of the negative effects of the drugs”.
i
«components have» different affinities for/partition between 2 phases/mobile and stationary phase
move at different rates through instrument
OR
have different retention times
ii
nandrolone M = 274 «g mol–1»
OR
testosterone M = 288 «g mol–1»
nandrolone identified because «molecular ion peak of» m/z = 274
Accept non-integer molar masses, ie, 274.44 «g mol–1» and 288.47 «g mol–1».
Accept also “m/z = 275” for “m/z = 274” in M2.
Accept “absence of peak with m/z = 288”
Examiners report
Ibuprofen and paracetamol are mild analgesics. One of the IR spectra below belongs to ibuprofen and the other to paracetamol. The structures of both compounds are given in section 37 of the data booklet.
Both spectra show a peak at wavenumber 1700 cm–1. Identify the bond responsible for this peak.
Deduce which spectrum belongs to paracetamol, giving two reasons for your choice. Use section 26 of the data booklet.
Describe how mild analgesics function.
Markscheme
C=O
Accept “carbonyl”.
X (must be identified) AND
Any two of:
For X:
N–H «absorption» AND at 3300 – 3500 «cm–1» ✔
O–H «absorption» in phenol AND at 3200 – 3600 «cm–1» ✔
absence of OH «absorption» in carboxylic acid AND 2500 – 3000 «cm–1»
Accept any specific wavenumber in the range 3300–3380 «cm–1» for M1.
Accept any specific wavenumber in the range 3100–3200 «cm–1».
Award [1 max] if Y is incorrectly identified for paracetamol but if a correct reason/reasons is/are given for the bond absorption(s).
[Max 2 Marks]
prevents/interferes with the production of prostaglandins
OR
prevents/interferes with the production of substances responsible for inflammation/pain/fever at the site of injury/source of pain
Examiners report
Opiates have been used for thousands of years to alleviate pain. The structures of opiates are found in section 37 of the data booklet.
Using sections 26 and 37 of the data booklet, deduce, giving two reasons, which spectrum is that of morphine and which is diamorphine.
Markscheme
spectrum A is diamorphine because it has a «strong» peak at 1700–1750 «cm–1»
OR
spectrum A is diamorphine because it has a C=O/carbonyl (group)/ester
spectrum B is morphine because it has a «strong broad» peak at 3200– 3600 «cm–1»
OR
spectrum B is morphine because it has a –OH/hydroxyl (group)
Award [1 max] for “spectrum A is diamorphine AND spectrum B is morphine” OR correctly identified peaks associated with the correct compounds (eg. C=O for diamorphine etc.).
Accept “alcohol/hydroxy” for “hydroxyl” but not “hydroxide”.