SL Paper 3
New drugs undergo thorough clinical trials before they are approved.
Outline the difference between the therapeutic index in animal studies and the therapeutic index in humans.
State the method of drug administration that gives the maximum bioavailability.
Antiviral drugs are designed to take different approaches to fighting viruses.
Outline how oseltamivir (Tamiflu®) works.
Oseltamivir was commercially produced from shikimic acid, a precursor which is a metabolite in micro-organisms and plants.
Outline how green chemistry was used to develop the precursor for oseltamivir in order to overcome a shortage of the drug during the flu season.
Suggest why the administration of antibiotics to humans and animals can affect the environment.
Excess stomach acid leads to medical conditions that affect many people worldwide. These conditions can be treated with several types of medical drugs.
Ranitidine (Zantac) is a drug that inhibits stomach acid production. Outline why the development of this drug was based on a detailed knowledge of the structure of histamine, shown below.
Two other drugs, omeprazole (Prilosec) and esomeprazole (Nexium), directly prevent the release of acid into the stomach. Identify the site of action in the body.
A different approach to treating excess stomach acid is to neutralize it with antacids. Formulate an equation that shows the action of an antacid that can neutralize three moles of hydrogen ions, H+, per mole of antacid.
Magnesium hydroxide is the active ingredient in a common antacid.
Formulate the equation for the neutralization of stomach acid with magnesium hydroxide.
Determine the mass of HCl, in g, that can be neutralized by the standard adult dose of 1.00g magnesium hydroxide.
Compare and contrast the use of omeprazole (Prilosec) and magnesium hydroxide.
Aspirin, paracetamol (acetaminophen), morphine and diamorphine (heroin) are all pain killers. Their structures are given in Table 20 of the Data Booklet.
Aspirin is thought to interfere with the production of prostaglandins. Explain how this produces an analgesic effect.
Explain how morphine can prevent pain.
Paracetamol (acetaminophen) is generally considered to be safe to use as an analgesic in small doses. Other than the possibility of death, outline the problems associated with taking larger doses of paracetamol.
State one important use for aspirin other than the relief of pain and fever.
Explain what is meant by the term tolerance and suggest why this is a particular problem for heroin users.
Radioisotopes are used to diagnose and treat various diseases. Explain the low environmental impact of most medical nuclear waste.
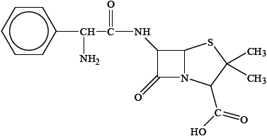
Molecules of antibiotics often contain a beta-lactam ring. Explain the importance of the betalactam ring in the action of penicillin, using section 37 of the data booklet.
Aspirin and paracetamol (acetaminophen) are mild analgesics.
Morphine is a strong analgesic which is administered parenterally.
Explain why it is dangerous to take aspirin when ethanol has also been consumed.
State the meaning of the term parenteral.
Explain how a strong analgesic such as morphine prevents pain.
The structures of morphine and diamorphine (heroin) are shown in Table 20 of the Data Booklet. State the name of a functional group present in diamorphine (heroin) but not in morphine.
Some analgesics are derived from compounds found in plants.
Aspirin is a mild analgesic derived from salicylic acid found in willow bark.
Describe how mild analgesics function.
The strong analgesics morphine and codeine are opiates. Outline how codeine can be synthesized from morphine. The structures of morphine and codeine are in section 37 of the data booklet.
Explain why opiates are addictive.
The production of many pharmaceutical drugs involves the use of solvents.
Suggest one problem associated with chlorinated organic solvents as chemical waste.
Suggest how the principles of green chemistry can be used to solve the environmental problems caused by organic solvents.
Excess acid in the stomach can cause discomfort and more serious health issues.
Explain how ranitidine (Zantac) reduces stomach acid production.
The pH is maintained in different fluids in the body by the use of buffers.
Calculate the pH of a buffer solution of 0.0200 mol dm–3 carbonic acid, H2CO3, and 0.400 mol dm–3 sodium hydrogen carbonate, NaHCO3. The pKa of carbonic acid is 6.35.
Many diseases are the result of infection of the body by either bacteria or viruses.
(i) State the name of one disease caused by each.
Bacteria:
Viruses:
(ii) Discuss the differences between bacteria and viruses.
Describe two misuses of antibiotics that have led to some bacteria becoming resistant.
It is much more difficult to produce effective antiviral drugs than drugs that kill bacteria. Describe two ways in which antiviral drugs work.
Oseltamivir (Tamiflu) and zanamivir (Relenza) are antiviral drugs used to prevent flu.
State the names of two functional groups that both compounds contain, using section 37 of the data booklet.
Explain how oseltamivir and zanamivir can stop the spread of the flu virus in the body.
Medicines and drugs are natural or synthetic substances used for their effects on the body.
List two general effects of medicines and drugs on the functioning of the body.
Alexander Fleming, Howard Florey and Ernst Chain shared the Nobel Prize for “the discovery of penicillin and its curative effect in various infectious diseases”.
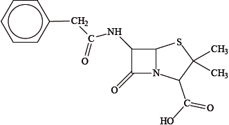
Ampicillin is a semi-synthetic penicillin used to treat lung infections. The structure of the antibiotic is shown below.

Describe the mode of action of penicillins in treating infectious diseases.
Identify two functional groups present in the side chain (R) of ampicillin by comparing its structure to that of penicillin in Table 20 in the Data Booklet.
Explain why it is important to continue to develop semi-synthetic penicillins.
Medicines and drugs alter the physiological state of the body including consciousness and coordination.
Explain the meaning of the following terms:
State one other effect of medicines and drugs on the body.
therapeutic window.
tolerance.
Outline the major stages in the development of a new drug.
A well-known brand of antacids contains 0.160 g of aluminium hydroxide and 0.105 g of magnesium carbonate in each tablet.
State the separate equations for the reactions of aluminium hydroxide and magnesium carbonate with hydrochloric acid.
Determine which of the two components of the tablet will neutralize the most acid.
On the leaflet which comes with the tablets it states that one of the side effects of the tablets is belching. Explain why this might occur.
Two substances commonly used in antacid tablets are magnesium hydroxide and aluminium hydroxide.
State an equation to represent a neutralization reaction with one of the above antacids.
State and explain whether 0.1 mol of magnesium hydroxide is more effective or less effective than 0.1 mol of aluminium hydroxide.
Suggest why compounds such as sodium hydroxide or potassium hydroxide cannot be used as an antacid.
Analgesics are used to relieve pain in the body. Aspirin and paracetamol (acetaminophen) are both mild analgesics.
The structures of the strong analgesics morphine and heroin (diamorphine) can be found in Table 20 of the Data Book
Compare how mild and strong analgesics relieve pain in the body.
Identify the amine functional group in the morphine molecule below by drawing a ring around it.

State the name of the functional group found in heroin but not in morphine.
State one advantage and one disadvantage of using morphine as a strong analgesic.
Penicillin was one of the first antibiotics to be isolated and identified for its ability to treat bacterial infections.
Explain the importance of the beta-lactam ring in the antibiotic activity of penicillin.
Identify two dangers of the overuse of antibiotics.
State two ways in which viruses are different from bacteria.
Describe two ways in which antiviral drugs work.
Two different antibacterials are sodium piperacillin and doxycycline. Sodium piperacillin is a type of penicillin and doxycycline belongs to a class of drugs known as the tetracyclines.

Explain how penicillins are able to cure certain diseases caused by bacteria.
Sodium piperacillin has a different side chain to the original penicillin developed by Florey and Chain. State one advantage of changing the side chain.
Explain why it may be necessary to give a mixture of several different types of antibacterials (such as penicillins and tetracyclines) to patients suffering from diseases such as tuberculosis (TB) or MRSA (a disease caused by the presence of the staphylococcus aureus bacterium).
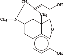
The structures of morphine, diamorphine and codeine are given in section 37 of the data booklet.
Explain why diamorphine passes more readily than morphine through the blood-brain barrier.
Suggest a reagent used to prepare diamorphine from morphine.
Suggest one reason why codeine is available without prescription in some countries whilst morphine is administered under strict medical supervision.
The buffer formed by carbon dioxide, CO2(aq) and hydrogen carbonate ion, HCO3−(aq), plays an important role in maintaining the pH of blood.
Calculate the pH of the buffer from the following data and section 1 of the data booklet.
pKa(CO2) = 6.34
[HCO3−(aq)] = 1.40 × 10−2 mol\(\,\)dm−3
[CO2(aq)] = 1.25 × 10−3 mol\(\,\)dm−3
Explain the effect of a large amount of aspirin on the pH of blood.
Mild analgesics such as aspirin, and strong analgesics such as opiates, differ not only in their potency but also in the ways they act on the central nervous system.
(a) Describe how mild and strong analgesics provide pain relief.
Mild analgesics:
Strong analgesics:
(b) Discuss two advantages and two disadvantages of using morphine and other opiates for pain relief.
Advantages:
Disadvantages:
The first penicillin to be used was benzylpenicillin (Penicillin G), its structure is shown below.

Explain how penicillins are able to act as antibacterials.
Modern penicillins have a similar structure to Penicillin G but a different side-chain.
State two advantages of modifying the side-chain.
Explain the meaning of the terms:
The effectiveness of a drug depends on the method of administration.
side-effect
therapeutic window
One method of injecting drugs into the body results in the drug having a very rapid effect. State the method and explain its rapid action.
List the two other methods which can be used to inject drugs into the body.
Identify the method of administration used to treat respiratory diseases such as asthma.
Morphine and its derivatives work by temporarily bonding to receptor sites in the brain, preventing the transmission of pain impulses.
Discuss one advantage and two disadvantages of using morphine as an analgesic.
Advantage:
Disadvantages:
The structures of morphine and diamorphine (heroin) are shown in table 20 of the data booklet. Describe the difference in the two structures by naming the functional groups.
Aluminium hydroxide and calcium carbonate are both used as antacids.
State an equation for the reactions that occur in the stomach for both substances with hydrochloric acid.
Aluminium hydroxide:
Calcium carbonate:
A typical antacid tablet has a mass of about 1 g. Determine which of the two antacids will neutralize the greater amount of hydrochloric acid if tablets of each are added to separate samples of acid. A detailed calculation is not required.
Potassium hydroxide also neutralizes hydrochloric acid. Suggest why it is not used as an antacid.
State one difference between viruses and bacteria.
Discuss three methods in which the activities of humans has created an increase in the resistance to penicillin in bacteria populations.
Depressants can have different effects depending on their doses.
A breathalyser containing crystals of potassium dichromate(VI) can be used by the police to detect whether a driver has consumed alcohol.
State the chemical formula for potassium dichromate(VI).
Describe the colour change observed during its reaction with ethanol.
State the oxidation number of chromium in the product.
Deduce the full balanced chemical equation for the redox reaction of ethanol with acidified potassium dichromate(VI).
State the name of the organic product formed.
An intoximeter is used to determine an accurate value for the concentration of ethanol in the breath. Explain one technique used for the detection of ethanol in an intoximeter.
Ethanol is a depressant.
The presence of ethanol in the breath can be detected by blowing into a “bag” through a tube containing acidified potassium dichromate(VI). The half-equation for the dichromate reaction is:
\[{\text{C}}{{\text{r}}_2}{\text{O}}_7^{2 - }{\text{(aq)}} + {\text{14}}{{\text{H}}^ + }{\text{(aq)}} + {\text{6}}{{\text{e}}^ - } \to {\text{2C}}{{\text{r}}^{3 + }}{\text{(aq)}} + {\text{7}}{{\text{H}}_2}{\text{O(l)}}\]
Describe the colour change observed when the dichromate ion reacts with the ethanol.
State the name of the organic product formed during the reaction.
In order to quantify exactly how much ethanol is present in the blood, a person may be required to give a blood sample or may be asked to blow into an intoximeter. Explain the chemistry behind the techniques for determining the ethanol content in a blood sample and by using an intoximeter.
Blood sample:
Intoximeter:
Ethanol may exert a synergistic effect when taken with other medicines. State the meaning of the term synergistic effect.
The structures of aspirin and diamorphine (heroin) are given in Table 20 of the Data Booklet.
Other than the benzene (aromatic) ring, state the name of the functional group that is common to both aspirin and diamorphine.
Describe the different ways in which aspirin and diamorphine function when they relieve or prevent pain.
Aspirin:
Diamorphine:
Other than the prevention of pain and/or the reduction of fever, state one reason why aspirin is often prescribed or recommended to some people for daily use.
Discuss one advantage and one disadvantage of taking diamorphine rather than morphine to relieve pain.
Advantage:
Disadvantage:
Describe and explain difficulties associated with solving the AIDS problem.
Oseltamivir (Tamiflu) and zanamivir (Relenza) are both used as antivirals to help prevent the spread of the flu virus, but are administered by different methods.
Zanamivir must be taken by inhalation, not orally. Deduce what this suggests about the bioavailability of zanamivir if taken orally.
Oseltamivir does not possess the carboxyl group needed for activity until it is chemically changed in the body. Deduce the name of the functional group in oseltamivir which changes into a carboxyl group in the body. Use section 37 of the data booklet.
The synthesis of oseltamivir is dependent on a supply of the precursor shikimic acid, which is available only in low yield from certain plants, notably Chinese star anise. State one alternative green chemistry source of shikimic acid.
Bacterial and viral infections require different types of medication.
(a) Outline two differences between bacteria and viruses.
(b) Antiviral drugs are used for the treatment of HIV and other viral infections. Describe two ways in which antiviral drugs work.
(c) Discuss why viral infections are generally harder to treat than bacterial infections.
During drug development, trials are conducted to determine the therapeutic window.
Explain the meaning of the term therapeutic window and discuss its importance in drug administration.
Drugs are most commonly taken orally.
Drugs are most commonly taken orally.
(a) State one advantage and one disadvantage of this.
Advantage:
Disadvantage:
List three methods, other than orally, that can be used for the administration of a drug.
Acquired immune deficiency syndrome (AIDS), a disease caused by the HIV virus, has resulted in millions of deaths worldwide since it was first identified in 1981.
Explain why viral infections, such as AIDS, are generally more difficult to treat than bacterial infections.
Excess stomach acid can be counteracted by a range of medications.
An antacid tablet contains 680 mg of calcium carbonate, CaCO3, and 80 mg of magnesium carbonate, MgCO3.
State the equation for the reaction of magnesium carbonate with hydrochloric acid.
Determine the amount, in mol, of hydrochloric acid neutralized by one antacid tablet.
Explain how omeprazole (Prilosec) reduces stomach acidity.
Excess acid in the stomach is often treated with calcium carbonate.
Formulate a chemical equation for the neutralization of stomach acid with calcium carbonate.
Calculate the amount, in mol, of stomach acid neutralized by an antacid tablet containing 0.750 g calcium carbonate.
Explain how omeprazole (Prilosec) regulates pH in the stomach.
The walls of the human stomach contain cells that produce gastric juices. Sodium hydrogencarbonate is an antacid often used to neutralize excess acid.
State an equation for the reaction of stomach acid with this antacid.
Calcium carbonate can also neutralize stomach acid. The same amounts (in moles) of sodium hydrogencarbonate and calcium carbonate are available. Deduce which antacid will neutralize the greater amount of acid present in the stomach and explain your reasoning.
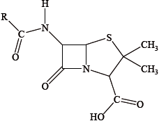
Antibacterials are drugs that kill or inhibit the growth of microorganisms that cause infectious diseases. The general structure of penicillin, an antibacterial, is given below.

With reference to the structure above, state what the letter R represents and discuss how penicillins can be made more resistant to the penicillinase enzyme.
Describe and explain one effect of overprescription of antibacterials.
Medicines have a variety of different effects on the body and act at the molecular level.
Morphine and codeine are strong analgesics. Their structures are given in section 37 of the data booklet.
Dose response curves are determined for each drug.

Outline the significance of range “a”.
Suggest the type of reaction used to convert morphine to codeine.
State and explain the action of opiates as painkillers.
Sodium hydrogencarbonate, NaHCO3, and magnesium hydroxide, Mg(OH)2, can both be used as antacids.
(i) Give the equations for the reactions of sodium hydrogencarbonate and magnesium hydroxide with hydrochloric acid.
(ii) Compare the effectiveness of 1.00 g of sodium hydrogencarbonate to 0.50 g of magnesium hydroxide in combating acidity in the stomach.
State two differences in structure between viruses and bacteria.
Describe two ways in which antiviral drugs work.
Discuss two difficulties associated with the development of drugs for the effective treatment of AIDS.
Ethanol, a depressant, is sufficiently volatile to pass into the lungs from the bloodstream. The roadside breathalyser test uses acidified potassium dichromate(VI) which reacts with any ethanol present in the breath and converts it to ethanoic acid.
State the oxidation and reduction half-equations that occur in the breathalyser when ethanol is present in the breath.
Oxidation:
Reduction:
Describe the colour change that occurs to the acidified dichromate(VI) if ethanol is present in the breath.
Police use the intoximeter, an infrared spectrophotometer to confirm a roadside breathalyser test. Explain how the amount of ethanol is determined from the infrared spectrum.
Antibiotics treat infections by stopping the growth of bacteria or destroying them.
Identify the side-chain by drawing a circle around the side-chain in the structure of benzyl penicillin given below (the structure of penicillin is given in Table 20 of the Data Booklet).
Discuss two problems associated with the overprescription of penicillin and explain how these are overcome.
Antiviral medications such as zanamivir (Relenza) are commonly available for consumer use.
Identify the names of two functional groups present in zanamivir using section 37 of the data booklet.
Distinguish between bacteria and viruses.
The discovery of penicillin by Alexander Fleming in 1928 is often given as an example of serendipity in science.
Explain how penicillin works and why it is necessary to continue to develop new forms of penicillin with modified side chains.
Dyspepsia, commonly known as indigestion, is due to excess acid in the stomach and can be treated using antacids.
State the name of the acid found in the gastric juices of the stomach.
Two examples of antacids are aluminium hydroxide and calcium carbonate. State the equations to show the action of each antacid.
Creating a new pharmaceutical product is a long and complex process. Outline the main stages of this process in the correct order.
There are various ways to administer drugs to a patient. One of the common methods, parenteral, is also known as injection. State and describe two other methods of administering drugs.
The efficiency of certain drugs is strongly dependent on the frequency and regularity of their administration. Explain the importance of patient compliance when the patient is treated with antibacterials.
Antiviral drugs are a major research focus.
Oseltamivir (Tamiflu) and zanamivir (Relenza) are used against flu viruses. Explain how these drugs function.
Shikimic acid, the precursor for oseltamivir (Tamiflu), was originally extracted from star anise, and is now produced using genetically modified E. coli bacteria.
Suggest one difficulty associated with synthesizing oseltamivir (Tamiflu) from star anise.
AIDS (acquired immune deficiency syndrome) has resulted in millions of deaths worldwide since it was first recorded in 1981. The control and treatment of HIV is made worse by the high price of anti-retroviral agents and sociocultural issues. Discuss one sociocultural difficulty facing society today associated with solving this global problem.
Many common illnesses are caused by viral infections.
Acyclovir is an antiviral drug used to treat herpes infections. Outline two ways in which antiviral drugs work.
Discuss two difficulties associated with the development of drugs for the effective treatment of AIDS.
The therapeutic window is used as a measure of the safety of a drug. Define the term therapeutic window.
Penicillins and aspirin are important medicines.
Describe how penicillin combats bacterial infections.
State how penicillins may be modified to increase their effectiveness.
State the type of reaction used to synthesize aspirin from salicylic acid.
Explain why aspirin is not stored in a hot, humid location.
Drug synthesis often involves solvents.
Identify a common hazardous solvent and a Green solvent that could replace it.
A commonly used mild analgesic is aspirin, 2-acetoxybenzoic acid, whose structure is given in Table 20 of the Data Booklet.
One form of soluble aspirin is \({\text{Ca(}}{{\text{C}}_{\text{9}}}{{\text{H}}_{\text{7}}}{{\text{O}}_{\text{4}}}{{\text{)}}_{\text{2}}}\).
Morphine, codeine and diamorphine (heroin) are examples of strong analgesics. Their structures are given in Table 20 of the Data Booklet.
Describe how mild analgesics function.
(i) Outline why this substance is more soluble than standard aspirin in water.
(ii) Deduce the balanced ionic equation for the reaction that occurs between soluble aspirin and the acid in the stomach.
(i) Deduce two named functional groups present in both aspirin and diamorphine.
(ii) Deduce one named functional group present in morphine but not in diamorphine.
(iii) State two short-term advantages and two long-term disadvantages of using codeine as a strong analgesic.
Short-term advantages:
Long-term disadvantages:
The structures of oseltamivir (Tamiflu) and zanamivir (Relenza) are given in section 37 of the data booklet.
Compare and contrast the structures of oseltamivir and zanamivir, stating the names of functional groups.
Deduce the wavenumber of one absorbance seen in the IR spectrum of only one of the compounds, using section 26 of the data booklet.
Suggest one ethical consideration faced by medical researchers when developing medications.
Maalox® manufactures several different types of antacid. Maalox® Extra Strength is a suspension. One teaspoon (\({\text{5.00 c}}{{\text{m}}^{\text{3}}}\)) contains 400 mg of magnesium hydroxide, \({\text{Mg(OH}}{{\text{)}}_{\text{2}}}\), 306 mg of aluminium hydroxide, \({\text{Al(OH}}{{\text{)}}_{\text{3}}}\), and 40.0 mg of simethicone. Maalox® Extra Strength with Anti-gas comes in tablet form. Each tablet contains 1000 mg of calcium carbonate, \({\text{CaC}}{{\text{O}}_{\text{3}}}\), and 60.0 mg of simethicone.
Stomach acid approximates to \(1.00 \times {10^{ - 2}}{\text{ mol}}\,{\text{d}}{{\text{m}}^{ - 3}}\) hydrochloric acid. Assuming that simethicone does not react with acid, determine the volume, in \({\text{d}}{{\text{m}}^{\text{3}}}\), of stomach acid neutralized by:
State the equations for the reactions of magnesium hydroxide, aluminium hydroxide and calcium carbonate with hydrochloric acid.
Magnesium hydroxide:
Aluminium hydroxide:
Calcium carbonate:
(i) one teaspoon (\({\text{5.00 c}}{{\text{m}}^{\text{3}}}\)) of Maalox® Extra Strength.
(ii) one tablet of Maalox® Extra Strength with Anti-gas.
Adults can produce approximately \({\text{2 d}}{{\text{m}}^{\text{3}}}\) of gastric juice daily in the stomach.
The pH of gastric juice is 1.5. Identify the compound responsible for its acidity and state whether it is a strong or weak acid.
Compound:
Strong or weak acid:
Antacid tablets are often taken for an upset stomach. Identify the reaction involved in this treatment and state the general ionic equation for this reaction type.
Type of reaction:
Ionic equation:
One active ingredient in a commercial brand of antacid tablets is a complex of aluminium hydroxide and sodium carbonate, dihydroxyaluminium sodium carbonate, \({\text{Al(OH}}{{\text{)}}_{\text{2}}}{\text{NaC}}{{\text{O}}_{\text{3}}}{\text{(s)}}\).
Deduce the balanced equation, including state symbols, for the reaction of \({\text{Al(OH}}{{\text{)}}_{\text{2}}}{\text{NaC}}{{\text{O}}_{\text{3}}}{\text{(s)}}\) with the acid present in gastric juice.
The development of new and improved medications for the reduction and management of pain is an important part of 21st-century medicine.
Explain the way that mild and strong analgesics prevent pain.
Mild analgesics:
Strong analgesics:
The structure of morphine and diamorphine (heroin) are shown in Table 20 of the Data Booklet. State the name of the functional group present in diamorphine that is not present in morphine.
Discuss two advantages and two disadvantages of the medical use of morphine and its derivatives.
Advantages:
Disadvantages:
Each capsule of Solpadol®, a commercial analgesic, contains 500 mg of paracetamol (acetaminophen) and 30 mg of codeine (in the form of codeine phosphate hemihydrate).
Diamorphine (heroin) is an even stronger painkiller than codeine. The structures of codeine and diamorphine are given in Table 20 of the Data Booklet. Discuss, in terms of named functional groups, how the structure of diamorphine differs from the structure of codeine.
A normal aspirin tablet taken to relieve pain contains about 300 mg of aspirin. Certain adults who are not in pain are recommended by doctors to take a smaller 75 mg dose of aspirin each day. State one reason for this recommendation.
Analgesics can be either mild or strong.
Morphine, codeine and diamorphine (heroin) are all examples of strong analgesics. Their structures are found in Table 20 of the Data Booklet.
Explain how mild and strong analgesics prevent pain.
Mild analgesics:
Strong analgesics:
State a reason why it is dangerous to use aspirin while consuming alcohol.
Deduce from the structures the names of two functional groups present in all three analgesics.
Deduce the name of one functional group present in diamorphine (heroin) but not in morphine or codeine.
A number of drugs have been developed to treat excess acidity in the stomach.
Two drugs are ranitidine (Zantac) and omeprazole (Prilosec). Outline how they function to reduce stomach acidity.
0.500 g of solid anhydrous sodium carbonate, Na2CO3(s), is dissolved in 75.0 cm3 of 0.100 mol\(\,\)dm−3 sodium hydrogen carbonate solution, NaHCO3(aq). Assume the volume does not change when the salt dissolves.
HCO3−(aq) \( \rightleftharpoons \) CO32−(aq) + H+(aq) pKa = 10.35.
Calculate the pH of the buffer solution.
Drug research and development is a lengthy and expensive process. Testing is required to determine the therapeutic window, tolerance and side-effects of a drug before it can be approved for use.
State the meaning of the term therapeutic window.
Suggest why a narrow therapeutic window may be a problem.
State the meaning of the term side-effects.
State the differences between the structures of morphine and diamorphine (heroin). State the names of all functional groups in the molecule of morphine.
Differences:
Functional groups:
The first commercially available antibiotic came from a class of compounds known as the penicillins.
Explain how penicillins work and why it is necessary to continually modify the side-chain.
Diseases may be caused by bacteria or viruses.
Explain how penicillins work as antibacterials.
The R group in the general structure of penicillin shown below represents a side-chain which is regularly modified.

Explain why this modification is necessary.
Describe two ways in which antiviral drugs work.
Discuss the term therapeutic window. Your answer should include its meaning, a quantitative description and an explanation of wide and narrow therapeutic windows.
Drug testing is necessary to determine safe and effective doses.
Distinguish between the lethal dose (LD50) and the toxic dose (TD50).
Penicillin is an antibiotic which contains a beta-lactam ring. Its general structure is shown below.
(i) Outline what is meant by the term “ring strain”.
(ii) On the diagram above, label with asterisk/s (*) the carbon atom/s that experience ring strain.
(i) Some antibiotic-resistant bacteria produce a beta-lactamase enzyme which destroys penicillin activity. Suggest how adding clavulanic acid to penicillin enables the antibiotic to retain its activity.
(ii) Populations of antibiotic-resistant bacteria have increased significantly over the last 60 years. Outline why antibiotics such as penicillin should not be prescribed to people suffering from a viral infection.
Morphine and diamorphine (heroin) are both opioids.
Explain why diamorphine is more potent than morphine using section 37 of the data booklet.
The properties of four analgesics are summarized below.

Deduce which drugs could be morphine, aspirin and codeine.
Morphine:
Aspirin:
Codeine:
Compare the structures of diamorphine (heroin) and morphine. Their structures are given in table 20 of the data booklet.
Two similarities:
One difference:
Aspirin is one of the most widely used drugs in the world.
Aspirin was synthesized from 2.65 g of salicylic acid (2-hydroxybenzoic acid) (Mr = 138.13) and 2.51 g of ethanoic anhydride (Mr = 102.10).
Calculate the amounts, in mol, of each reactant.
Calculate, in g, the theoretical yield of aspirin.
State two techniques which could be used to confirm the identity of aspirin.
State how aspirin can be converted to water-soluble aspirin.
Compare, giving a reason, the bioavailability of soluble aspirin with aspirin.
The mild analgesic aspirin can be prepared in the laboratory from salicylic acid.
(CH3CO)2O + HOC6H4COOH → CH3CO2C6H4COOH + CH3COOH
Salicylic acid Aspirin
After the reaction is complete, the product is isolated, recrystallized, tested for purity and the experimental yield is measured. A student’s results in a single trial are as follows.
Literature melting point data: aspirin = 138–140 °C
Determine the percentage experimental yield of the product after recrystallization. The molar masses are as follows: M(salicylic acid) = 138.13 g mol−1, M(aspirin) = 180.17 g mol−1. (You do not need to process the uncertainties in the calculation.)
Suggest why isolation of the crude product involved the addition of ice-cold water.
Justify the conclusion that recrystallization increased the purity of the product, by reference to two differences between the melting point data of the crude and recrystallized products.
State why aspirin is described as a mild analgesic with reference to its site of action.
Methadone, a synthetic opioid, binds to opioid receptors in the brain.
Compare and contrast the functional groups present in methadone and diamorphine (heroin), giving their names. Use section 37 of the data booklet.
Methadone is sometimes used to help reduce withdrawal symptoms in the treatment of heroin addiction. Outline one withdrawal symptom that an addict may experience.
Many drugs, including aspirin, penicillin, codeine and taxol, have been modified from compounds that occur naturally.
Aspirin is often taken to reduce pain, swelling or fever. State one other use of aspirin.
State what is meant by the bioavailability of a drug.
Outline how the bioavailability of aspirin may be increased.
Compare and contrast the IR spectrum of aspirin with that of salicylic acid, using section 26 of the data booklet.
Describe how penicillin combats bacterial infections.
Outline two consequences of prescribing antibiotics such as penicillin unnecessarily.
State how penicillins may be modified to increase their effectiveness.
Morphine and codeine are strong analgesics. Outline how strong analgesics function.
Suggest one reason why codeine is more widely used than morphine as an analgesic.
Opiates have been used for thousands of years to alleviate pain. The structures of opiates are found in section 37 of the data booklet.
Diamorphine (heroin) can be synthesized from morphine. Identify the reagent necessary for this reaction and the by-product of this reaction.
The reaction can be monitored by infrared spectroscopy. Using section 26 of the data booklet, identify two IR absorbance ranges that would help distinguishing the two compounds.
Present in morphine but not in diamorphine:
Present in diamorphine but not in morphine:
Discuss how the differences in structure between morphine and diamorphine affect their absorption in the body.
Solubility plays an important role in the bioavailability of drugs in the body.
Suggest why aspirin is slightly soluble in water. Refer to section 37 of the data booklet.
Formulate an equation for the conversion of aspirin to a more water soluble derivative.
A student prepares aspirin from salicylic acid in the laboratory, extracts it from the reaction mixture, ensures the sample is dry and determines its melting point.
Suggest why the melting point of the student’s sample is lower and not sharp compared to that of pure aspirin.
Organic molecules can be characterized using infrared (IR) spectroscopy.
Compare and contrast the infrared peaks above 1500 cm−1 in pure samples of aspirin and salicylic acid using section 26 of the data booklet.
The pharmaceutical industry is one of the largest producers of waste solvents.
State a green solution to the problem of organic solvent waste.
Radioactive isotopes are used in a variety of medical procedures including medical imaging and radiotherapy.
Identify examples of two types of medical radioactive waste and how each must be treated for proper disposal.
Outline an ethical implication of using nuclear treatments in medicine.