HL Paper 3
The sun is the main source of energy used on earth.
Calculate the energy released, in MeV, in this reaction, using section 36 of the data booklet.
Markscheme
ΔBE = BE(4He) − (BE(2H) + BE(3H))
OR
ΔBE = 4 x 7.1 − (2 x 1.1 + 3 x 2.8)
= 17.8 «MeV»
Accept answers in range 17.3 to 18.1 «MeV».
Award [1 max] for final answers in range of 3.0 to 3.4 «MeV».
Award [2] for correct final answer.
[2 marks]
Examiners report
Photovoltaic cells are much less hazardous than nuclear fission.
Early photovoltaic cells were based on silicon containing traces of other elements. State the type of semiconductor produced by doping silicon with indium, In, giving a reason that refers to its electronic structure.
Dye-sensitized solar cells, DSSCs, use a dye to absorb the sunlight. State two advantages that DSSCs have over traditional silicon based photovoltaic cells.
The structure of two dyes used in DSSCs are shown.

Predict, giving a reason, which dye will absorb light of longer wavelength.
Markscheme
p-type AND has 3 «valence» electrons
OR
p-type AND fewer electrons «than silicon»
Do not accept “it is in group 3/13” as reason.
[1 mark]
Any two of:
cheaper
OR
ease of fabrication
use light of lower energy/lower frequency/longer wavelength
absorb wider range of wavelengths
dye converts most/all absorbed photons into electrons
plentiful /renewable resources «to construct DSSC cells»
operate at lower «internal» temperatures/better at radiating heat away «since constructed with thin front layer of conductive plastic compared to glass box in photovoltaic cell»
use of nanoparticles provides large surface area exposure to sunlight/sun/light
can absorb better under cloudy/low light conditions
better conductivity
more flexible
[2 marks]
B AND has greater/more «extensive» conjugation
Accept “more alternating single and double bonds”.
[1 mark]
Examiners report
There are many sources of energy available.
Methanol fuel cells provide a portable energy source. The process can be represented by the overall equation CH3OH(aq) + \(\frac{3}{2}\)O2(g) → CO2(g) + 2H2O(g).
Deduce the half-cell equations occurring at each electrode during discharge.
Outline the function of the proton-exchange membrane (PEM) in the fuel cell.
Explain how the flow of ions allows for the operation of the fuel cell.
Markscheme
Anode (negative electrode):
CH3OH(aq) + H2O(l) → 6H+(aq) + 6e− + CO2(g)
Cathode (positive electrode):
\(\frac{3}{2}\)O2(g) + 6H+(aq) + 6e− → 3H2O(l)
Award [1 max] for correct equations at wrong electrode.
Accept “e” for “e–”.
Accept “O2(g) + 4H+(aq) + 4e− → 2H2O(l)”.
[2 marks]
allows H+/ions pass through/diffuse/move «from anode to cathode but not electrons or small molecules»
Accept “acts as a salt bridge”.
[1 mark]
H+/ions pass through/diffuse/move from anode/negative electrode «through membrane» to cathode/positive electrode
H+/ions used to reduce oxygen at cathode/positive electrode
Oxygen must be mentioned for M2.
[2 marks]
Examiners report
One suggestion for the reduction of carbon footprints is the use of biofuels, such as vegetable oils, as a substitute for petroleum based fuels.
Outline the major technical problem affecting the direct use of vegetable oils as fuels in internal combustion engines and the chemical conversion that has overcome this.
State the formula of a fuel that might be produced from the vegetable oil whose formula is shown.

Markscheme
viscosity «of vegetable oils is too high»
transesterification
OR
«conversion into» alkyl/methyl/ethyl esters
[2 marks]
R–CO–O–CH3 / RCOOMe
OR
R–CO–O–C2H5 / RCOOEt
[1 mark]
Examiners report
Vegetable oils can be used as a source of energy.
The natural absorption of light by chlorophyll has been copied by those developing dye-sensitized solar cells (DSSCs). Outline how a DSSC works.
Markscheme
Any three of:
dye has conjugated system
dye absorbs a photon «and injects an electron into TiO2»
electrons transferred to semiconductor «and dye ionized»
dye oxidizes/takes electron from electrolyte
electron flows through external circuit «to reduce electrolyte»
M4 may also be scored from more detailed answers involving iodide species (eg “iodide/I– oxidized to I3–/triiodide” OR “I–/iodide reduces dye” OR “I–/iodide releases electron to dye” OR “I3–/triiodide reduced to I–/iodide”).
[Max 3 Marks]
Examiners report
Carbon is produced by fusion reactions in stars.
The main fusion reaction responsible for the production of carbon is:
X + \(_2^4{\text{He}} \to _{\;6}^{12}{\text{C}}\)
The mass of X is 8.005305 amu and that of \(_2^4{\text{He}}\) is 4.002603 amu. Determine the energy produced, in J, when one atom of \(_{\;6}^{12}{\text{C}}\) is formed in this reaction. Use section 2 of the data booklet.
Markscheme
loss in mass = «8.005305 amu + 4.002603 amu – 12.000000 amu =» 0.007908 «amu»
= «0.007908 amu x 1.66 x 10–27 kg amu–1 =» 1.313 x 10–29 «kg»
E = «mc2 = 1.313 x 10–29 kg x (3.00 x 108 m\(\,\)s–1)2 =» 1.18 x 10–12 «J»
Award [3] for correct final answer.
[3 marks]
Examiners report
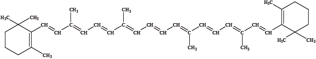
\(\beta \)-carotene is involved in the formation of vitamin A. Its sources include carrots, broccoli and dark, leafy vegetables. Its structure is shown below.

Explain whether\(\beta \)-carotene absorbs ultraviolet or visible radiation.
Markscheme
extensive conjugation of (C=C) double bonds / alternate single and double (carbon–carbon) bonds / involving delocalization of \(\pi \) electrons;
less energy is required (to excite the electrons);
absorption occurs in the visible region;
Examiners report
Candidates recognised that \(\beta \)-carotene consisted of conjugated C=C double bonds but often answered, that because of this it absorbed ultraviolet radiation. Few candidates could explain that less energy was required to excite the electrons due to the conjugation.
Nuclear power is another source of energy.
235U atoms can be used in nuclear reactors whereas 238U cannot. A centrifuge is used to separate isotopes.
Calculate the relative rate of effusion of 235UF6(g) to 238UF6(g) using sections 1 and 6 of the data booklet.
Explain, based on molecular structure and bonding, why diffusion or centrifuging can be used for enrichment of UF6 but not UO2.
Markscheme
Mr(235UF6) = 235 + (19.00 × 6)/349
OR
Mr(238UF6) = 238 + (19.00 × 6)/352
«\(\frac{{{\text{rate of effusion of}}{{\text{ }}^{235}}{\text{U}}}}{{{\text{rate of effusion of}}{{\text{ }}^{238}}{\text{U}}}} = \sqrt {\frac{{352}}{{349}}} = \)» 1.004
Award [2] for correct final answer.
Do not accept “1.00” OR “0.996”.
[2 marks]
UF6: Structure: octahedral «solid»/square bipyramidal «solid»/«simple» molecular solid/simple molecule AND Bonding: covalent
UO2: Structure: crystal/lattice/network «solid»/«resembles» fluorite AND Bonding: «partly» covalent
UF6 sublimes/evaporates/boils at low temperature
Accept “UF6: Structure: octahedral «solid»/square bipyramidal «solid»/«simple» molecular solid/simple molecule AND weak intermolecular/London/dispersion/van der Waals’/vdW forces”.
Accept “non-polar molecule” for “«simple» molecular solid”.
Accept “giant molecular” OR “macromolecular” for “network”.
Accept “ionic/electrostatic attractions «between ions»” for bonding in UO2.
Award M2 for “UO2: network covalent/covalent network/giant covalent” OR “UO2: network ionic/giant ionic”.
For M1 and M2 award [1 max] for two correct structures OR two bonding types.
Accept any specified low temperature in the range 56–65 °C.
Examiners report
Traditional photovoltaic cells are made from n-type and p-type semiconductors.
State how n-type and p-type doping of silicon is achieved and the nature of electric charge carriers in each case.
n-type:
p-type:
In dye-sensitized solar cells (DSSCs), nanoparticles coated with a black dye are trapped between electrodes in a liquid electrolyte. Explain the high efficiency of the DSSC structure.
Markscheme
n-type:
«small amount of» As/Sb/P/group 15 element added AND «extra» electrons
p-type:
«small amount of» Ga/In/B/group 13 element added AND «extra electron» holes
Award [1 max] if only doping elements or only charge carriers are given.
Accept “group 5/group 5A/group V” for “group 15”.
Accept “group 3/group 3A/group III” for “group 13”.
large surface area «increases chance photon will be absorbed»
«dye allows» absorption of a wide range of wavelengths
OR
dye converts most/all absorbed photons into electrons
Examiners report
Lead–acid batteries are heavy. Much lighter rechargeable cells are nickel–cadmium batteries used in electronic equipment.
Other than their chemical composition, discuss two major differences between fuel cells and nickel–cadmium cells.
Markscheme
fuel cells produce only water / Cd and Ni are toxic (heavy metals);
fuel cells are more expensive;
fuel cells can operate continuously/do not need recharging;
fuel cells are more unwieldy/less portable/less self-contained/need supply of \({{\text{O}}_{\text{2}}}\) and \({{\text{H}}_{\text{2}}}\);
Accept opposite statements for NiCd cells.
Examiners report
Part (c) was better answered, with most able to gain at least one of the four possible scoring points.
Climate change is a current global topic of debate.
Describe on a molecular level how the greenhouse effect occurs.
Suggest two factors that influence the relative greenhouse effect of a gas.
Markscheme
allows (higher frequency) radiation from sun/incoming radiation to pass unhindered;
long wavelength/infrared/IR radiation radiated/emitted by Earth;
Do not accept reflected.
(some IR radiation is) absorbed by greenhouse gases;
Do not accept "trapped / blocked" or statements that refer to absorption of incoming IR radiation.
causes (increased) vibration in bonds;
Accept “causes (increased) bond stretching/bending/deformations”.
emits/re-radiates IR radiation (some of which returns to Earth);
Do not accept “heat/IR radiation reflects/bounces”.
Any two for [1] of:
abundance/concentration (in atmosphere)
strength/intensity/power of IR absorbance / ability to absorb heat radiation
lifetime/duration / rate of depletion/decomposition in atmosphere;
Examiners report
Many students could identify another greenhouse gas and a source, usually CFCs, but it was surprising how many did not read the “other”! It was disappointing how few students could accurately explain the greenhouse effect – the term “reflect” was used too often and, in addition, many continue to confuse it with ozone depletion and acid rain. Only a handful of students could identify the factors that affect how much various gases contribute to the overall effect. In the final part of the question a major weakness was a failure to link an effect with a consequence.
Many students could identify another greenhouse gas and a source, usually CFCs, but it was surprising how many did not read the “other”! It was disappointing how few students could accurately explain the greenhouse effect – the term “reflect” was used too often and, in addition, many continue to confuse it with ozone depletion and acid rain. Only a handful of students could identify the factors that affect how much various gases contribute to the overall effect. In the final part of the question a major weakness was a failure to link an effect with a consequence.
A fuel cell is an energy conversion device that generates electricity from a spontaneous redox reaction.
The Geobacter species of bacteria can be used in microbial fuel cells to oxidise aqueous ethanoate ions,
CH3COO−(aq), to carbon dioxide gas.
State the half-equations for the reactions at both electrodes.
A concentration cell is an example of an electrochemical cell.
(i) State the difference between a concentration cell and a standard voltaic cell.
(ii) The overall redox equation and the standard cell potential for a voltaic cell are:
Zn (s) + Cu2+ (aq) → Zn2+ (aq) + Cu (s) Eθcell = +1.10 V
Determine the cell potential E at 298 K to three significant figures given the following concentrations in mol dm−3:
[Zn2+] = 1.00 × 10−4 [Cu2+] = 1.00 × 10−1
Use sections 1 and 2 of the data booklet.
(iii) Deduce, giving your reason, whether the reaction in (b) (ii) is more or less spontaneous than in the standard cell.
Dye-sensitized solar cells (DSSC) convert solar energy into electrical energy.
(i) Describe how a DSSC converts sunlight into electrical energy.
(ii) Explain the role of the electrolyte solution containing iodide ions, I−, and triiodide ions, I3−, in the DSSC.
Markscheme
Negative electrode (anode): CH3COO− (aq) + 2H2O (l) → 2CO2 (g) + 7H+ (aq) + 8e−
Positive electrode (cathode): O2 (g) + 4H+ (aq) + 4e− → 2H2O (l)
Accept equilibrium signs in equations.
Award [1 max] if correct equations are given at wrong electrodes.
i
concentration cell has different concentrations of electrolyte «solutions» «but same electrodes and electrolytes»
OR
standard voltaic cell has different electrodes/electrolytes «but same concentration of electrolytes»
Accept “both half-cells in concentration cell made from same materials”.
ii
«\(E = 1.10 - \left( {\frac{{RT}}{{nF}}} \right)\ln \frac{{\left[ {{\text{Z}}{{\text{n}}^{2 + }}} \right]}}{{\left[ {{\text{C}}{{\text{u}}^{2 + }}} \right]}} = 1.10 - \left( {\frac{{8.31 \times 298}}{{2 \times 96500}}} \right)\ln \frac{{{{10}^{ - 4}}}}{{{{10}^{ - 1}}}} = 1.10 + 0.0886 = \)»
(+) 1.19 «V»
3 significant figures needed for mark.
iii
more spontaneous because E > Eθcell
i
photon/«sun»light absorbed by the dye/photosensitizer/«transition» metal complex
OR
dye/photosensitizer/«transition» metal complex excited by photon/«sun»light
electron«s» move«s» to conduction band
OR
electron«s» transferred to semiconductor/TiO2
ii
I3− + 2e− → 3I− «at cathode»
OR
triiodide ions/I3− reduced into/produce iodide ions/I− «at cathode»
iodide ions/I− reduce dye/act as reducing agent AND oxidized into/produce triiodide ions/I3−
OR
dye+ + e− → dye AND 3I- → I3− + 2e−
Examiners report
Describe how silicon may be converted into a p-type semiconductor and explain why this leads to an increase in its electrical conductivit
Markscheme
doping with/adding small quantities of a Group 3 element (B, Al etc.);
atoms contain less electrons so give “positive holes”/“electron holes” (in the filled band);
these “holes” are able to move and hence allow the silicon to conduct / OWTTE;
Examiners report
Although many scored the mark for “adding a Group 3 element”, confused answers followed in about half of the responses.
Nickel-cadmium cells are used to power portable machinery or large tools.
State the equation, including state symbols, for the reaction that takes place when the cell is discharging.
State the physical property of the products that allows this process to be reversed and the cell recharged.
Pure silicon is a semiconductor but its conductivity can be increased when it is doped with small amounts of another element. Describe how the addition of small amounts of arsenic increases the conductivity of silicon.
Markscheme
\({\text{2NiO(OH)(s)}} + {\text{Cd(s)}} + {\text{2}}{{\text{H}}_2}{\text{O(l)}} \to {\text{2Ni(OH}}{{\text{)}}_2}{\text{(s)}} + {\text{Cd(OH}}{{\text{)}}_2}{\text{(s)}}\)
correct reactants and products with correct coefficients;
correct state symbols corresponding to correct reactants and products in M1;
insoluble;
Accept “solids”.
arsenic has one more outer electron than silicon / arsenic has five electrons and silicon has four;
spare/extra electron introduced / n-type silicon / extra electrons free to move;
Examiners report
Option C was not a popular option.
While many candidates scored the mark in 10 (a), those who did not often failed to provide the correct name for an ore. Although many identified slag, some were able to give the correct equation and others gave equations which were either incorrect or not from raw materials as asked. This question unfortunately shows that chemical equations seem not to be as well covered as expected. The answer to the question on alloys was rather disappointing and weaker than in previous sessions. The lack of subject specific vocabulary was often observed with many candidates providing answers that were clearly not addressing the question. Very few candidates were able to score even one mark on the mechanism by which the carbon chain increases in length during the manufacture of LDPE suggesting that this topic requires further attention. Many candidates were familiar with the catalyst used in the formation of HDPE although some lost the mark due to writing names that differed widely from correct one. Many were able to score at least one mark for the structure of the isotactic form of the polymer but very few drew 3D structures. Many candidates were able to score partial points when explaining why the isotactic form is more suitable for the manufacture of strong fibres but many missed the idea of chains not being able to move past each other easily (hence fibre is strong/rigid).
The part on liquid crystal displays was done with mixed results with many correct answers but still below expectations. Many candidates scored a mark for the explanation of how the addition of a LC to a cell changes what the observer sees usually from establishing the rotation of the plane of polarized light, but far too often replies were shallow with limited use of correct terminology. In the explanation of how the application of an electric filed between electrodes changes what the observer sees, many students were able to score one mark by stating that light is not transmitted but only stronger candidates included in their answers that molecules are aligned or not twisted. The question on the Ni-Cd battery was answered poorly with many candidates not even attempting it or getting the equation completely wrong and not being able to identify insolubility of the products that allows the reaction to be reversed and the cell charged. Description of the addition of small amounts of arsenic to increase the conductivity of silicon was surprising not done well and is a topic that needs closer attention.
Option C was not a popular option.
While many candidates scored the mark in 10 (a), those who did not often failed to provide the correct name for an ore. Although many identified slag, some were able to give the correct equation and others gave equations which were either incorrect or not from raw materials as asked. This question unfortunately shows that chemical equations seem not to be as well covered as expected. The answer to the question on alloys was rather disappointing and weaker than in previous sessions. The lack of subject specific vocabulary was often observed with many candidates providing answers that were clearly not addressing the question. Very few candidates were able to score even one mark on the mechanism by which the carbon chain increases in length during the manufacture of LDPE suggesting that this topic requires further attention. Many candidates were familiar with the catalyst used in the formation of HDPE although some lost the mark due to writing names that differed widely from correct one. Many were able to score at least one mark for the structure of the isotactic form of the polymer but very few drew 3D structures. Many candidates were able to score partial points when explaining why the isotactic form is more suitable for the manufacture of strong fibres but many missed the idea of chains not being able to move past each other easily (hence fibre is strong/rigid).
The part on liquid crystal displays was done with mixed results with many correct answers but still below expectations. Many candidates scored a mark for the explanation of how the addition of a LC to a cell changes what the observer sees usually from establishing the rotation of the plane of polarized light, but far too often replies were shallow with limited use of correct terminology. In the explanation of how the application of an electric filed between electrodes changes what the observer sees, many students were able to score one mark by stating that light is not transmitted but only stronger candidates included in their answers that molecules are aligned or not twisted. The question on the Ni-Cd battery was answered poorly with many candidates not even attempting it or getting the equation completely wrong and not being able to identify insolubility of the products that allows the reaction to be reversed and the cell charged. Description of the addition of small amounts of arsenic to increase the conductivity of silicon was surprising not done well and is a topic that needs closer attention.
Option C was not a popular option.
While many candidates scored the mark in 10 (a), those who did not often failed to provide the correct name for an ore. Although many identified slag, some were able to give the correct equation and others gave equations which were either incorrect or not from raw materials as asked. This question unfortunately shows that chemical equations seem not to be as well covered as expected. The answer to the question on alloys was rather disappointing and weaker than in previous sessions. The lack of subject specific vocabulary was often observed with many candidates providing answers that were clearly not addressing the question. Very few candidates were able to score even one mark on the mechanism by which the carbon chain increases in length during the manufacture of LDPE suggesting that this topic requires further attention. Many candidates were familiar with the catalyst used in the formation of HDPE although some lost the mark due to writing names that differed widely from correct one. Many were able to score at least one mark for the structure of the isotactic form of the polymer but very few drew 3D structures. Many candidates were able to score partial points when explaining why the isotactic form is more suitable for the manufacture of strong fibres but many missed the idea of chains not being able to move past each other easily (hence fibre is strong/rigid).
The part on liquid crystal displays was done with mixed results with many correct answers but still below expectations. Many candidates scored a mark for the explanation of how the addition of a LC to a cell changes what the observer sees usually from establishing the rotation of the plane of polarized light, but far too often replies were shallow with limited use of correct terminology. In the explanation of how the application of an electric filed between electrodes changes what the observer sees, many students were able to score one mark by stating that light is not transmitted but only stronger candidates included in their answers that molecules are aligned or not twisted. The question on the Ni-Cd battery was answered poorly with many candidates not even attempting it or getting the equation completely wrong and not being able to identify insolubility of the products that allows the reaction to be reversed and the cell charged. Description of the addition of small amounts of arsenic to increase the conductivity of silicon was surprising not done well and is a topic that needs closer attention.
The concentration of transition metal complexes in water can be determined by visible and ultraviolet (UV-Vis) spectroscopy.
Two octahedral chromium complexes are \({{\text{[Cr(}}{{\text{H}}_{\text{2}}}{\text{O}}{{\text{)}}_{\text{6}}}{\text{]}}^{2 + }}\) and \[{{\text{(Cr(N}}{{\text{H}}_{\text{3}}}{{\text{)}}_{\text{6}}}{\text{]}}^{3 + }}\). Describe how the increase in oxidation state from Cr(II) to Cr(III) and the change in ligand from water to ammonia will affect the splitting of the d orbitals and the frequency of the light these complexes absorb.
One of the following organic compounds is colourless while the other is orange.

Predict, with reference to conjugation of double bonds, which compound (anthracene or tetracene) will absorb visible light and, therefore, be coloured.
Markscheme
increase in oxidation state causes greater splitting;
change from \({{\text{H}}_2}{\text{O}}\) to \({\text{N}}{{\text{H}}_3}\) causes greater splitting;
the greater the splitting, the higher the frequency (of absorbed light);
(complexes of) Cr(III) absorb higher-frequency light than (complexes of) Cr(II) /
(complexes with) \({\text{N}}{{\text{H}}_3}\) absorb higher-frequency light than (complexes with) \({{\text{H}}_2}{\text{O}}\);
Allow converse statements and OWTTE throughout.
tetracene and greater number of conjugated (double) bonds/larger delocalized system / OWTTE;
Examiners report
Option A proved to be very popular. Some candidates had difficulty explaining the purpose of the monochromator and some muddled Qualitative and Quantitative, but a reasonable proportion explained the latter. Many students were able to describe the practical method of column chromatography but were not able to explain the process in terms of adsorption, partition and retention. While many candidates knew about ‘d’ orbital splitting some forgot to explain the change in magnitude of the splitting, and a significant few thought that fewer ‘d’ electrons in the \({\text{C}}{{\text{r}}^{3 + }}\) ion would cause less repulsion and so less splitting.
Option A proved to be very popular. Some candidates had difficulty explaining the purpose of the monochromator and some muddled Qualitative and Quantitative, but a reasonable proportion explained the latter. Many students were able to describe the practical method of column chromatography but were not able to explain the process in terms of adsorption, partition and retention. While many candidates knew about ‘d’ orbital splitting some forgot to explain the change in magnitude of the splitting, and a significant few thought that fewer ‘d’ electrons in the \({\text{C}}{{\text{r}}^{3 + }}\) ion would cause less repulsion and so less splitting.
Fuel cells may be twice as efficient as the internal combustion engine. Although fuel cells are not yet in widespread use, NASA has used a basic hydrogen-oxygen fuel cell as the energy source for space vehicles.
State the half-equations occurring at each electrode in the hydrogen-oxygen fuel cell in an alkaline medium.
(+) Cathode:
(–) Anode:
Describe the composition of the electrodes and state the overall cell equation of the nickel-cadmium battery.
(+) Cathode:
(–) Anode:
Cell equation:
Compare a fuel cell and a lead-acid battery, with respect to possible concerns about pollution of the environment.
Markscheme
(+) Cathode:
\({\text{2}}{{\text{H}}_{\text{2}}}{\text{O}} + {{\text{O}}_{\text{2}}} + {\text{4e}} \to {\text{4O}}{{\text{H}}^ - }\);
(–) Anode:
\({\text{2}}{{\text{H}}_2} + {\text{4O}}{{\text{H}}^ - } \to {\text{4}}{{\text{H}}_2}{\text{O}} + {\text{4e}}\);
If both equations given but at wrong electrodes award [1].
(+) Cathode:
nickel hydroxide/\({\text{Ni(OH}}{{\text{)}}_{\text{2}}}\);
(–) Anode:
cadmium hydroxide/\({\text{Cd(OH}}{{\text{)}}_{\text{2}}}\);
Cell equation:
\({\text{Cd}} + {\text{2}}{{\text{H}}_2}{\text{O}} + {\text{2NiO(OH)}} \to {\text{Cd(OH}}{{\text{)}}_2} + {\text{2Ni(OH}}{{\text{)}}_2}\);
neither cause pollution when running;
lead/sulfuric acid are pollutants (making or disposing of battery);
production of hydrogen and oxygen for fuel cells causes pollution;
Examiners report
In (a) some candidates managed to give the correct half-equations but often the cathode and anode were reversed.
In (b) this was poorly answered although some candidates managed to write the cell equation without properly describing the cathode and anode.
In (c) most candidates could score 1 mark for stating that Pb and \({{\text{H}}_{\text{2}}}{\text{S}}{{\text{O}}_{\text{4}}}\) pollute.
Although fossil fuels are considered significant sources of energy, the energy conversion associated with the production of electricity is a very inefficient process, often in the region of only 40% of total possible energy conversion.
Fuel cells provide a much more efficient process, often with a 70% conversion factor.
State the energy change conversion involved in a fuel cell.
(i) Identify the two half-equations that take place at the positive electrode (cathode) and negative electrode (anode) in a hydrogen-oxygen fuel cell with an alkaline electrolyte.
Positive electrode (cathode) half-equation:
Negative electrode (anode) half-equation:
(ii) State the overall reaction, identifying the states of all species involved.
(iii) One commercial version of the hydrogen-oxygen fuel cell (with alkaline electrolyte) operates at a temperature of 353 K. The electrodes of the fuel cell are made of graphite but both are covered with a thin layer of platinum. State the function of the platinum.
(iv) Outline the function of the thin polymer membrane used in the corresponding hydrogen-oxygen fuel cell with an acidic electrolyte.
(v) Other than cost, state one disadvantage of a fuel cell.
Markscheme
chemical (energy) to electrical (energy);
(i) Positive electrode (cathode) half-equation:
\({{\text{O}}_2} + {\text{2}}{{\text{H}}_2}{\text{O}} + {\text{4}}{{\text{e}}^ - } \to {\text{4O}}{{\text{H}}^ - }/\frac{1}{2}{{\text{O}}_2} + {{\text{H}}_2}{\text{O}} + {\text{2}}{{\text{e}}^ - } \to {\text{2O}}{{\text{H}}^ - }\);
Negative electrode (anode) half-equation:
\({\text{2}}{{\text{H}}_2} + {\text{4O}}{{\text{H}}^ - } \to {\text{4}}{{\text{H}}_2}{\text{O}} + {\text{4}}{{\text{e}}^ - }/{{\text{H}}_2} + {\text{2O}}{{\text{H}}^ - } \to {\text{2}}{{\text{H}}_2}{\text{O}} + {\text{2}}{{\text{e}}^ - }/\frac{1}{2}{{\text{H}}_2} + {\text{O}}{{\text{H}}^ - } \to {{\text{H}}_2}{\text{O}} + {{\text{e}}^ - }\);
Award [1 max] if correct half-equations are given but incorrect electrodes.
Allow e instead of e–.
Penalise use of reversible arrow once only in 9 (b)(i) and 11 (a).
(ii) \({\text{2}}{{\text{H}}_2}{\text{(g)}} + {{\text{O}}_2}{\text{(g)}} \to {\text{2}}{{\text{H}}_2}{\text{O(l)}}/\frac{1}{2}{{\text{O}}_2}{\text{(g)}} + {{\text{H}}_2}{\text{(g)}} \to {{\text{H}}_2}{\text{O(l)}}\);
State symbols required.
Allow H2O(g).
(iii) catalyst/electrocatalyst / speeds up reaction but not consumed in reaction itself / provides surface for (initial) decomposition of molecules into atoms;
(iv) allows flow of ions/H+/protons (from anode/negative electrode to cathode/positive electrode) / prevents reactants mixing/moving from one compartment to another / salt bridge / prevents flow of electrons through membrane / OWTTE;
(v) storage/transport difficulties of gases / potentially explosive/hydrogen is flammable / needs constant supply of fuel / can contain heavy metal(s) / often operated at high temperature / low power to mass ratio / susceptible to poisoning due to impurities in fuel / OWTTE;
Allow a named gas (hydrogen or oxygen) for storage/transport difficulties.
Allow problems related to corrosion.
Accept answers based on ethanol and methanol fuel cells (but needs to be stated) such as difficult to use in cold weather/less clean product (CO2) formed.
Examiners report
(a) was well answered. In (b), many candidates missed the fact that the fuel cell was with an alkaline electrolyte, even though alkaline was marked clearly in bold on the examination paper. Parts (iii), (iv) and (v) were very well answered and many candidates scored all three marks.
(a) was well answered. In (b), many candidates missed the fact that the fuel cell was with an alkaline electrolyte, even though alkaline was marked clearly in bold on the examination paper. Parts (iii), (iv) and (v) were very well answered and many candidates scored all three marks.
The photovoltaic cell is a valuable source of energy. Describe its construction and how it responds to sunlight.
Markscheme
[3 max]
semiconductors / made of silicon;
(n-type) doped with Group 5 element/As/Sb/P (to provide extra electrons);
(p-type) doped with Group 3 element/B/Ga/Al/In (to create electron holes);
n-type in contact with p-type;
anti-reflective coating;
[2 max]
sunlight gives electrons energy to move from p-type to n-type;
flow through external circuit from n-type to p-type;
Examiners report
Answers, in general, needed to be more specific with an indication of how p-type and n-type are made from silicon. For a straightforward question, performance was not good. One respondent was concerned about the meaning of “construction”.
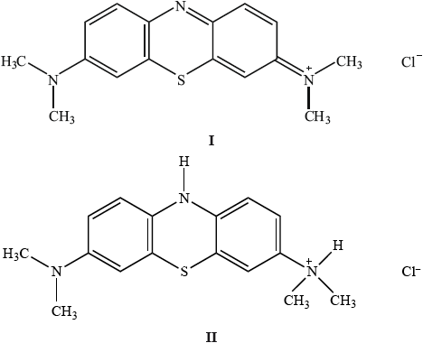
Methylene blue can be used as an indicator.

Explain which of the two structures would be coloured.
In terms of the wavelength of the visible light absorbed, suggest why the coloured form is blue.
Markscheme
I;
more conjugation/delocalization of electrons / more alternating C–C and C=C
and
the less energy required to excite electrons / absorbs in visible region/at longer wavelength/lower frequency;
absorbs red/orange/yellow/long wavelength visible light (hence appears as the complementary colour);
Examiners report
Candidates had little difficulty in choosing compound I, knew about conjugation but tended to omit the absorption of light in the visible region (or equivalent). Although it wasn’t penalized at this point, there are still candidates talking about reflected light. Students should have some knowledge of complementary colours without having specifically memorized the colour wheel.
Candidates had little difficulty in choosing compound I, knew about conjugation but tended to omit the absorption of light in the visible region (or equivalent). Although it wasn’t penalized at this point, there are still candidates talking about reflected light. Students should have some knowledge of complementary colours without having specifically memorized the colour wheel.
In the 20th Century, both fission and fusion were considered as sources of energy but fusion was economically and technically unattainable.
Calculate the loss in mass, in kg, and the energy released, in J, when 0.00100 mol of 228Ac decays, each atom losing an electron. Use section 2 of the data booklet and E = mc2.
228Ac → \({}_{ - 1}^0{\text{e}}\) + 228Th
Determine the energy released, in J, by 0.00100 mol of 228Ac over the course of 18 hours.
Outline how nuclear ionising radiation can damage DNA and enzymes in living cells.
Markscheme
Loss in mass:
«(3.78532 x 10–25 kg – 9.109383 x 10–31 kg – 3.78528 x 10–25 kg) x 0.00100 x 6.02 x 1023 =»1.86 x 10–9 «kg»
Energy released:
«E = mc2 = 1.86 x 10–9 kg x (3.00 x 108 m s–1)2 =» 1.67 x 108 «J»
«1.67 x 108 J x \(\frac{7}{8}\) =» 1.46 x 108 «J»
production of radicals/•O2–/•OH
OR
direct effect such as breaking bonds/atom migration
Ignore missing dots on radical species.
Accept named radical eg “superoxide radical” OR “hydroxyl radical”.
An example must be given for second alternative.
Examiners report
Transition metal complexes are coloured because electronic transitions occur within split d orbital energy levels. Identify two different factors that affect the colour of complexes of a specific transition metal.
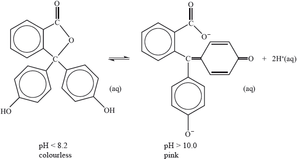
Phenolphthalein indicator is colourless in solutions with a pH less than 8.2 but pink in solutions with a pH greater than 10.0. The molecule dissociates according to the equation:

Explain, in terms of the structures, why the indicator is colourless at \({\text{pH}} < 8.2\) and is pink at \({\text{pH}} > 10.0\).
Markscheme
oxidation state of transition element/number of d electrons/charge on ion;
type/identity/charge density of ligands;
stereochemistry/shape of complex/number of ligands;
molecule colourless because energy absorbed in UV region/not absorbed in visible region;
anion pink because of greater conjugation/more alternating single and double (C=C) bonds;
anion/coloured form/more conjugated form absorbs in visible region/lower energy radiation/green light;
complementary colour seen;
Examiners report
Many scored both marks in (a), although some blanks were seen.
Part (b) was generally well answered, with most showing a good understanding of the material being tested, although a few referred to d-d electron transitions.
Kevlar® is a lyotropic liquid crystal. Explain the strength of Kevlar® and its solubility in concentrated sulfuric acid.
Describe the use of silicon in photovoltaic cells. Include the following in your description:
• why pure silicon is a better conductor than non-metals such as sulfur and phosphorus
• how a p-type semiconductor made from silicon is different from pure silicon
• how sunlight interacts with semiconductors.
Markscheme
strong intermolecular hydrogen bonds between the chains;
intermolecular bonds can be broken (by concentrated sulfuric acid) as O and N atoms
are protonated (breaking the hydrogen bonds) / hydrolysis of amide linkage;
Si has a lower ionization energy (than P or S);
so electrons can flow through the material more easily;
(p-type) has small amount of/is doped with a group 3 element/B/In/Ga;
which produces electron holes/positive holes;
sun/photons cause release of electrons;
electrons move from n-type to p-type material;
Examiners report
In (b) many candidates omitted the location of Hydrogen bonding in Kevlar and frequently vague responses were given for the effect of concentrated \({{\text{H}}_{\text{2}}}{\text{S}}{{\text{O}}_{\text{4}}}\).
In (c) candidates showed a poor understanding of the better conduction of Si compared to S and P, very few answered how a p-type semiconductor worked correctly, but most showed a reasonable understanding of the role of light. The movement of electrons from n to p was also poorly understood.
Dye-Sensitized Solar Cells (DSSCs) use organic dyes. Their interaction with light has some similarities to photosynthesis.
Identify two ways in which the structure of the dye shown resembles the chlorophyll molecule. Use section 35 of the data booklet.
Both photosynthesis and the Grätzel cell use energy from sunlight to bring about reduction. Deduce an equation for the reduction reaction in the electrolyte of a Grätzel cell.
Markscheme
delocalized bonding/conjugated bonds
contain metal atom/ion coordinated to «organic» ligand(s)
involve bonds from nitrogen to the central metal ion
[2 marks]
I3– + 2e– → 3I–
Accept I2 + 2e– → 2I–.
[1 mark]
Examiners report
Crude oil is a useful energy resource.
Fuel cells have a higher thermodynamic efficiency than octane. The following table gives some information on a direct methanol fuel cell.

Determine the thermodynamic efficiency of a methanol fuel cell operating at 0.576 V.
Use sections 1 and 2 of the data booklet.
Markscheme
n = 6
«ΔGΘ = –nFEΘ = 6 mol × 96 500 C mol–1 × 0.576 V =» –333 504 J/–334 kJ
«Efficiency = \(\frac{{\Delta G}}{{\Delta H}} = \frac{{ - 334}}{{ - 726}}\) =» 0.459/45.9%
Award [3] for correct final answer.
[3 marks]
Examiners report
The conductivity of a germanium semiconductor can be increased by doping.
A dye-sensitized solar cell uses a ruthenium(II)–polypyridine complex as the dye. Two ruthenium(II) complexes, A and B, absorb light of wavelengths 665 nm and 675 nm respectively.
Draw the Lewis (electron dot) structure for an appropriate doping element in the box in the centre identifying the type of semiconductor formed.

State the feature of the molecules responsible for the absorption of light.
Outline why complex B absorbs light of longer wavelength than complex A.
Markscheme
ALTERNATIVE 1
B/Ga in circle AND Type of semiconductor: p-type
showing 3 electron pairs AND one lone electron «and hole»
ALTERNATIVE 2
P/As in circle AND Type of semiconductor: n-type
showing 4 electron pairs AND one non-bonded electron
Accept any group 13 element labelled as p-type.
Accept showing 7 electrons.
Accept any group 15 element labelled as n-type.
Accept showing 9 electrons.
Accept dots or crosses for electrons.
[2 marks]
conjugated C=C/carbon–carbon double bonds
OR
«multiple» alternating C=C/carbon–carbon double bonds
OR
«extensive electron» conjugation/delocalization
OR
«many» fused/conjugated aromatic/benzene rings
[1 mark]
complex B has greater conjugation/delocalization
[1 mark]
Examiners report
The combustion of fossil fuels produces large amounts of CO2, a greenhouse gas.
The diagram below illustrates a range of wavelengths in the electromagnetic spectrum.
The structures of 11-cis-retinal and β-carotene are given in section 35 of the data booklet. Suggest a possible wavelength of light absorbed by each molecule using section 3 of the data booklet.
Markscheme
both between 400–700 «nm»
β-carotene at higher wavelength than retinal
Accept any wavelength within the 400-700 nm visible region range for M1 and any higher wavelength for β-carotene
within the same region for M2.
[2 marks]
Examiners report
A fuel cell converts chemical energy directly to electrical energy.
Deduce the half-equations and the overall equation for the reactions taking place in a direct methanol fuel cell (DMFC) under acidic conditions.
Outline one advantage and one disadvantage of the methanol cell (DMFC) compared with a hydrogen-oxygen fuel cell.
Markscheme
Negative electrode (anode):
CH3OH (aq) + H2O (l) → CO2 (g) + 6H+ (aq) + 6e–
Positive electrode (cathode):
O2 (g) + 4H+ (aq) + 4e– → 2H2O (l)
Overall equation:
2CH3OH (aq) + 3O2 (g) → 2CO2 (g) + 4H2O (l)
Accept any whole or fractional coefficients in balanced equations.
Award [1 max] for correct half-equations at wrong electrodes for M1 and M2.
Advantage:
Any one of:
liquid methanol is easier to transport/store than gaseous hydrogen
OR
hydrogen is explosive
longer membrane life «as it operates in aqueous environment»
methanol has greater energy density than hydrogen
Disadvantage:
Any one of:
lower voltage
lower power per unit mass «of the cell»
lower efficiency
toxic/can be mistaken for ethanol
lower specific energy
Ignore any cost references throughout.
Accept “CO2/greenhouse gas produced” OR “requires a more highly efficient catalyst”.
Do not award marks for converse statements for the advantage and disadvantage.
Examiners report
Modern electric cars store their energy in lithium ion batteries.
The diagram represents a cell in such a battery delivering a current.
The carbon footprint of electric cars depends on how the electricity is produced. Nuclear fission of 235U is one source of electrical energy that has a minimal carbon footprint.
Complete the half-equations on the diagram and identify the species moving between the electrodes.

State the factor that limits the maximum current that can be drawn from this cell and how electrodes are designed to maximize the current.
Explain how the proportion of 235U in natural uranium is increased.
Markscheme
Accept any balanced equation which shows Li oxidized to Li+ for M3, such as
LiC6 → Li+ + C6 + e– or
LixC6 → xLi+ + 6C + xe–
[3 marks]
Limiting factor:
internal resistance «of the cell»
Electrodes design:
large surface area
Accept “time it takes ions to diffuse between electrodes”.
Accept specific ways of increasing surface area, such as “porous electrodes”.
Accept “close together/small separation”.
[2 marks]
uranium converted to uranium hexafluoride/UF6 gas
ALTERNATIVE 1:
gas «allowed to» diffuse
lower mass isotope/235U passes through more rapidly
ALTERNATIVE 2:
use of centrifuge
higher mass isotope/238U moves/closer to outside of centrifuge
OR
lower mass isotope/235U stays in/removed from middle of centrifuge
[3 marks]
Examiners report
Fuel cells and rechargeable batteries are useful sources of energy.
One type of fuel cell contains a proton exchange membrane between electrodes and uses aqueous methanol as the fuel.
State half-equations for the reactions which occur at the negative and positive electrodes.
Negative electrode (anode):
Positive electrode (cathode):
Suggest one advantage and one disadvantage of a fuel cell over a lead–acid battery as an energy source in a motor vehicle.
Advantage:
Disadvantage:
Markscheme
Negative electrode (anode):
CH3OH(aq) + H2O(l) → CO2 (g) + 6H+ (aq) + 6e-
Positive electrode (cathode):
O2 (g) + 4H+ (aq) + 4e- → 2H2O(l)
Award [1 max] if correct half-equations are given but at the wrong electrodes.
Accept e for e-.
Accept any correct half-equation with fractional coefficients.
Advantage:
produces continuous supply of electricity «on addition of more raw materials»
OR
does not need to be recharged
OR
less hazardous if broken/exposed to the environment
OR
weighs less for same energy output/has higher energy density/has higher specific energy than lead-acid battery
Do not accept “water is non-polluting”.
Do not accept “weighs less” without reference to energy output/power/capacity etc.
Disadvantage:
«more» expensive
OR
needs constant supply of fuel
OR
methanol/ethanol fuel cells difficult to use in cold weather
OR
methanol/ethanol fuel cells produce carbon dioxide
OR
storage/transport of gases/hydrogen a problem in hydrogen fuel cell
OR
does not produce high current
OR
potentially explosive/hydrogen is flammable
Do not accept “fuel cells are prone to poisoning by impurities in fuel”.
Examiners report
As well as being burnt, methanol can also be used to provide electricity through a fuel cell. A schematic diagram of such a fuel cell, that depends on the transfer of hydrogen ions between the electrodes, is shown below.
Even though fuel cells, primary cells and rechargeable cells have similar fundamental characteristics, there are important differences between them.
Deduce half-equations for the reactions at the two electrodes and hence the equation for the overall reaction.
Suggest a way in which they are similar.
Outline the difference between primary and rechargeable cells.
Identify one factor that affects the voltage of a cell and a different factor that affects the current it can deliver.
Markscheme
Anode: CH3OH(aq) + H2O(l) → CO2(aq) + 6H+(aq) + 6e–
Cathode: O2(aq) + 4H+(aq) + 4e– → 2H2O(l)
Overall: 2CH3OH(aq) + 3O2(g) → 2CO2(aq) + 4H2O(l)
Accept correctly balanced equations with multiples of the coefficients given here.
Accept reversible or non-reversible arrows for all.
[3 marks]
«portable» sources of electrical energy/electricity
OR
convert chemical «potential» energy to electrical energy/electricity
[1 mark]
primary cells involve irreversible reactions AND rechargeable cells involve reversible reactions
Accept “primary cells have a limited life before going ‘flat’ AND rechargeable cells can be recharged when ‘flat’”.
[1 mark]
Voltage:
chemical nature of electrodes
OR
electrode reactions
Current:
diffusion rate
OR
internal resistance/resistance of the cell
Accept temperature for either but not both.
Accept concentration for either but not both.
Accept pH for either but not both.
Accept the current depends on the area/separation of the electrodes.
[2 marks]
Examiners report
A Grätzel dye-sensitized solar cell (DSSC) and a silicon based photovoltaic cell both convert solar energy into electrical energy by producing a charge separation.
Contrast how absorption of photons and charge separation occur in each device.
Suggest one advantage a DSSC has over a silicon based photovoltaic cell.
Markscheme
Accept “existence of holes AND electrons at p-n junction” for M2.
[4 marks]
Any of:
cheaper
OR
ease of fabrication
OR
use light of lower energy/lower frequency/longer wavelength
OR
plentiful and renewable resources «to construct DSSC cells»
OR
operate at lower «internal» temperatures/better at radiating heat away «since constructed with thin front layer of conductive plastic compared to glass box in photovoltaic cell»
OR
use of nanoparticles provides large surface area exposure to sunlight/sun/light
OR
can absorb better under cloudy conditions
OR
better conductivity
OR
more flexible
Accept “lower mass/lighter «so greater flexibility to integrate into windows etc.»” OR “greater power-conversion efficiency «with latest DSSC models»”.
[1 mark]