HL Paper 3
Insulin was the first protein to be sequenced. It was determined that the end of one chain had the primary structure Phe–Val–Asn–Gln.
Describe how DNA determines the primary structure of a protein such as insulin.
Markscheme
triplet/genetic code
OR
sequence of three bases/nucleotides
instruction for «particular» amino acid
[2 marks]
Examiners report
DNA is a biopolymer made up of nucleotides. List two components of a nucleotide.
Markscheme
Any two of:
pentose «sugar»
OR
deoxyribose
phosphate «group»
«organic» nitrogenous base
OR
nucleobase
OR
nucleic base
OR
purine
OR
pyrimidine
Accept names or formulas.
Accept “ribose” for M1.
Do not accept “phosphoric acid”.
Accept the four bases together: “adenine, cytosine, thymine, guanine”.
[2 marks]
Examiners report
DNA is a complex molecule.
Outline how its structure allows it to be negatively charged in the body.
Deduce the nucleotide sequence of a complementary strand of a fragment of DNA with the nucleotide sequence –GACGGATCA–.
Markscheme
phosphate groups «in nucleotides fragments are almost completely» ionized
Do not accept just “phosphate «groups»”.
[1 mark]
–CTGCCTAGT–
[1 mark]
Examiners report
A hemoglobin-oxygen saturation curve does not follow the same model as enzyme-substrate reactions.

Explain the shape of the curve from 0 to X kPa.
Explain why carbon monoxide is toxic to humans.
Markscheme
oxygen binds to first active site «of deoxygenated heme» AND alters shape of other active sites
OR
cooperative binding
affinity of partially oxygenated hemoglobin for oxygen increases
[2 marks]
CO is a competitive inhibitor «of oxygen binding to hemoglobin»
OR
CO has greater affinity for hemoglobin «than oxygen»
less oxygen is transported
OR
uptake of oxygen decreases
OR
causes hypoxia
Do not penalize “CO binds irreversibly” if included in answer.
[2 marks]
Examiners report
The heme groups in cytochromes contain iron ions that are involved in the reduction of molecular oxygen.
State the half-equation for the reduction of molecular oxygen to water in acidic conditions.
Outline the change in oxidation state of the iron ions in heme groups that occurs when molecular oxygen is converted to water.
Markscheme
O2 + 4H+ (aq) + 4e– → 2H2O (l)
Accept any balanced equation with any integer or fractional coefficients.
+2 to +3
OR
+1
OR
increases «by 1»
Examiners report
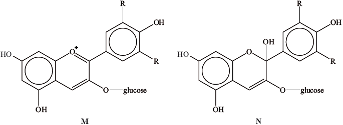
Anthocyanins are naturally occurring plant pigments. Depending on the solution pH, they can exist as quinoidal bases or flavylium cations as shown in section 35 of the data booklet.
Outline why anthocyanins are coloured.
Explain why the blue colour of a quinoidal base changes to the red colour of a flavylium cation as pH decreases.
Markscheme
highly conjugated systems
OR
alternating single and double bonds
OR
many delocalized electrons
electron transitions occur when visible light is absorbed
[2 marks]
gaining protons
decreases electron density/extent of conjugation «in aromatic backbone»
increases energy of electron transitions
[3 marks]
Examiners report
The following graph shows the effect of substrate concentration on the rate of an enzyme-catalysed reaction.

Explain the relationship between enzyme activity and concentration of the substrate.
Determine the Michaelis constant \({K_{\text{m}}}\) from the graph.
Describe why competitive inhibition may take place.
Explain the effect of competitive inhibition on \({V_{{\text{max}}}}\) and \({K_{\text{m}}}\).
On the graph of effect of concentration on rate of reaction on page 10, sketch the expected curve for non-competitive inhibition.
Markscheme
As [S] increases, more enzyme molecules can link with substrate molecules (and rate increases);
once all enzyme molecules are occupied/enzyme sites used up, rate cannot increase anymore/has no effect;
\({\text{0.7 (mmol}}\,{\text{d}}{{\text{m}}^{ - 3}}{\text{)}}\);
Allow 0.6–0.8. If wrong units, then no mark.
inhibitor molecules are very similar to the substrate and the enzymes cannot distinguish them / are able to bind to/occupy the active sites / OWTTE;
same \({V_{{\text{max}}}}\);
at high [S], impact of inhibitor reduced / possible to reach same maximum rate;
the curve is less steep (than without inhibition) / the enzyme is less effective / OWTTE;
so \({K_{\text{m}}}\) higher (than without inhibition);
curve on graph levelling off below original line;

Km should be approximately the same, Vmax should be smaller.
Examiners report
Instead of explaining the relationship between enzyme activity and concentration of the substrate, many candidates just described the relationship indicated by the graph.
Many candidates were correctly able to describe why competitive inhibition may take place. On the other hand, others misinterpreted the question and wrote about the need for the inhibition.
Where they had to explain, in several cases it was not well answered.
When drawing the graph several candidates did not take into account that \({K_m}\) should be the same.
DNA is the genetic material that individuals inherit from their parents. Genetic information is stored in chromosomes which are very long strands of DNA.
Describe the structure of a nucleotide of DNA.
Outline how nucleotides are linked together to form polynucleotides.
Markscheme
phosphate group and pentose/deoxyribose (sugar) and organic/nitrogenous base;
Accept suitable diagram.
No mark for just sugar or just base.
condensation reaction / covalent bond between phosphate on one nucleotide and pentose sugar on next;
Accept suitable diagram.
Penalize just sugar only once.
Examiners report
Many scored the mark for the structure of a nucleotide of DNA - usually the ones who did not score the mark failed to mention the base being organic or nitrogenous or the sugar being pentose or deoxyribose.
About half the candidates incorrectly stated hydrogen bonding in relation to how nucleotides are linked together.
Outline the process of hydrogenating fats and name one catalyst for the process.
Markscheme
addition of \({{\text{H}}_2}\) (to C=C bonds);
finely divided Zn/Cu/Ni;
Examiners report
Anthocyanins and carotenes are both coloured substances found in many foods.
Explain, in terms of their molecular structure, why these compounds are coloured.
Identify one other coloured compound commonly found in uncooked foods.
Markscheme
both have extended regions of delocalized bonding/conjugated double bonds;
chlorophyll / hemoglobin / heme / myoglobin;
Examiners report
In part (a), very few candidates linked colour to extended regions of delocalised electrons or conjugated double bonds. There was much general discussion of absorption of visible light. Some were confused with colour in transition metal compounds.
Many correct answers appeared in (c).
Stereochemistry is the study of the spatial arrangement of atoms in molecules. A molecule containing a chiral carbon atom exists as two enantiomers. Three different conventions can be used for naming purposes.
Use the CORN rule to determine whether the structure of 2-aminopropanoic acid (alanine) represents the D or L form. Justify your answer.

State the (d) or the (l) convention.
Markscheme
L isomer;
molecule is viewed with C–H bond pointing away from observer/viewer and COOH, \({\text{R/C}}{{\text{H}}_3}\) and \({\text{N}}{{\text{H}}_2}\) (groups) are arranged anti-clockwise (around the asymmetric carbon atom);
Accept converse description.
Award M2 if there is reference to groups being arranged anti-clockwise without identifying the groups.
d rotates plane of polarized light clockwise/dextrorotatory/+ / l rotates plane of polarized light anti-clockwise/laevorotatory/–;
Examiners report
The vast majority chose the correct “L” isomer for the structure given, but only about half of them could give a convincing explanation or justify their answer.
About half were correctly able to state the (d) or the (l) convention.
A food product is often judged simply by its colour. Natural pigments that give rise to food colour include anthocyanins, carotenes, chlorophyll and heme. The structures of these pigments are shown in Table 22 of the Data Booklet.
Explain why these natural pigments are coloured.
Deduce from their structures whether anthocyanins and carotenes are water-soluble or fat-soluble.
Anthocyanins:
Carotenes:
Markscheme
contain alternate (carbon to carbon) single and double bonds / extensive delocalization/conjugation/\(\pi \) bonding;
absorb in the visible region and transmit complementary colour;
Anthocyanins:
water soluble;
Carotenes:
fat soluble;
Examiners report
Candidates could not relate the length of conjugation with absorption in the UV/Visible spectrum.
Many were able to deduce the water or fat-solubity of the two natural pigments given.
State and explain how the rate of an enzyme-catalysed reaction is related to the substrate concentration.
When an inhibitor is added it decreases the rate of an enzyme-catalysed reaction. State the effect that competitive and non-competitive inhibitors have on the value of \({V_{\max }}\). Explain this in terms of where the inhibitor binds to the enzyme.
Competitive inhibitor:
Non-competitive inhibitor:
(i) Sketch a graph to show the effect that a change in pH will have on the rate of an enzyme-catalysed reaction.
(ii) Explain why changing the pH affects the catalytic ability of enzymes.
Markscheme
at low substrate concentrations/at first rate is (directly) proportional to (substrate) concentration / OWTTE;
Do not accept only qualitative statement such as “rate increases as concentration increases”.
at high substrate concentrations/eventually rate reaches maximum/levels off/becomes constant / OWTTE;
active sites become blocked/saturated / OWTTE;
Competitive inhibitor:
\({V_{\max }}\) same;
inhibitor occupies active site;
Non-competitive inhibitor:
\({V_{\max }}\) lower;
inhibitor binds elsewhere causing distortion in shape of active site / OWTTE;
In each part, explanation mark cannot be awarded without correct reference to Vmax.
(i) sketch graph with rate and pH labels and bell-shaped curve (showing rate has maximum);
(ii) (at higher or lower pH value of) charges on enzyme/amino acid (residues) changes;
so (shape of) active site changes / tertiary structure lost / OWTTE;
Examiners report
Although most had some idea of what sort of answer part (a) required, it was rare to find full marks being awarded – the most common reasons were a qualitative answer for the first mark, and the absence of a reference to active sites for the third mark.
In (b), the distinction between competitive and non-competitive inhibitors was well known, although a surprising number of answers contained explanations without stating the effect on \({V_{\max }}\).
Most sketch graphs in (c) were sufficiently well drawn to score the mark, although many would have benefited from a scale that indicated a narrow pH range; the explanation was generally well known.
Hemoglobin contains a heme group with an iron(II) ion.
Outline how the oxygen saturation of hemoglobin is affected by changes in the blood plasma.
Explain why foetal hemoglobin has a greater affinity for oxygen.
Markscheme
low CO2 level causes more oxygen to be bound to the heme
high pH causes more oxygen to be bound to the heme
low temperature causes more oxygen to be bound to the heme
organic phosphates/2,3-BPG/DPG can decrease affinity for oxygen
CO decreases saturation/binds to active site/acts as a competitive inhibitor
Accept reverse statements for mark.
Award [2] if the effects of CO2 AND pH are discussed in combination.
contains two gamma units «instead of the two beta units found in adults»
OR
differs in amino acid sequence «from the two beta units found in adults»
less sensitive to inhibitors/2,3-BPG/DPG
receives O2 from «partly deoxygenated» blood so can work at low pO2
Accept reverse statements for mark.
Examiners report
An inhibitor reduces the rate, V, of an enzyme-catalysed reaction.
Explain with reference to the binding site on the enzyme how a non-competitive inhibitor lowers the value of Vmax.
Outline the significance of the value of the Michaelis constant, Km.
Markscheme
binds at allosteric site
OR
binds away from active site
changes shape of active site
OR
renders active sites ineffective
[2 marks]
Km is inverse measure of affinity of enzyme for a substrate
OR
Km is inversely proportional to enzyme activity
OR
high value of Km indicates higher substrate concentration needed for enzyme saturation
OR
low value of Km means reaction is fast at low substrate concentration
Idea of inverse relationship must be conveyed.
Accept “high value of Km indicates low affinity of enzyme for substrate/less stable ES complex/lower enzyme activity”.
Accept “low value of Km indicates high affinity of enzyme for substrate/stable ES complex/greater enzyme activity”.
[1 mark]
Examiners report
Polymers of glucose include starch and cellulose.
Outline why cellulose fibres are strong.
Markscheme
Any two of:
long straight/unbranched chains
multiple hydrogen bonds «between chains»
microfibrils
OR
rigid/cable structure
[2 marks]
Examiners report
DNA and RNA both contain a pentose sugar.
State the names of the sugars in each nucleic acid and outline how their chemical structures differ.
State one other structural difference between DNA and RNA.
Markscheme
ribose (in RNA) and deoxyribose (in DNA);
deoxyribose lacks an oxygen atom (on C2) / ribose has an OH group on second carbon in ring while deoxyribose has only H;
DNA contains thymine and RNA contains uracil / DNA is a double-strand
nucleic acid and RNA is a single-strand nucleic acid / OWTTE;
Examiners report
Knowledge of RNA and DNA was generally good. DNA profiling was something most students were familiar with, though some had troubles indicating the stages of the process and few candidates recognized that DNA fragments are negatively charged. The use of DNA profiling presented no problem.
Knowledge of RNA and DNA was generally good. DNA profiling was something most students were familiar with, though some had troubles indicating the stages of the process and few candidates recognized that DNA fragments are negatively charged. The use of DNA profiling presented no problem.
The kinetics of an enzyme-catalysed reaction are studied in the absence and presence of an inhibitor. The graph represents the initial rate as a function of substrate concentration.

Identify the type of inhibition shown in the graph.
Determine \({V_{\max }}\) and \({K_{\text{m}}}\) in the absence of the inhibitor and in the presence of the inhibitor.
Absence of inhibitor:
Presence of inhibitor:
Outline the relationship between \({K_{\text{m}}}\) and enzyme activity.
Markscheme
non-competitive (inhibition);
Absence of inhibitor:
\({V_{\max }}{\text{ }}4.4\)
\({K_{\text{m}}}{\text{ }}1.7\)
Accept 1.6–1.8.
Presence of inhibitor:
\({V_{\max }}{\text{ }}3.0\)
\({K_{\text{m}}}{\text{ }}1.7\)
Accept 1.6–1.8.
4 values correct, award [3]
3 values correct, award [2]
2 values correct, award [1]
1 value correct, award [0]
Ignore units.
higher the value of ({K_{\text{m}}}\), lower the activity of enzyme / lower the value of \({K_{\text{m}}}\), higher the activity of enzyme / OWTTE;
Examiners report
This part was generally well answered with full marks awarded to more than half of the candidates. Those who did not score full marks usually failed to give a correct answer in (a) and (c).
This part was generally well answered with full marks awarded to more than half of the candidates. Those who did not score full marks usually failed to give a correct answer in (a) and (c).
This part was generally well answered with full marks awarded to more than half of the candidates. Those who did not score full marks usually failed to give a correct answer in (a) and (c).
A large proportion of the food we eat provides energy through the process of respiration. Carbohydrates and triglycerides are the food groups mainly responsible for providing this energy.
Compare the behaviour of enzymes and inorganic catalysts, including reference to the mechanism of enzyme action and the ways in which this can be inhibited.
Markscheme
Any three for first three marks:
both increase rate of chemical reactions;
both reduce activation energy;
both provide alternative pathways for reaction;
enzymes more specific;
enzymes have active site that substrate bonds to / “lock and key” mechanism;
enzymes much more readily denatured by changing conditions;
Both required for final two marks:
competitive inhibitors and non-competitive inhibitors;
competitive inhibitors bond to active site and non-competitive inhibitors denature/alter shape of enzyme;
Examiners report
The final section comparing enzymes and catalysts was generally well answered, though quite a few neglected to discuss the similarities of the two.
The structure of DNA (deoxyribonucleic acid) has been studied in many different ways.
State the name of the component of DNA responsible for the migration of its fragments to the positive electrode in gel electrophoresis.
In 2010, scientists claimed that they had discovered a species of bacteria capable of incorporating arsenic in place of phosphorus into the bacterial DNA. This claim has since proved controversial. Suggest one technique or evidence that might help support the claim.
Markscheme
phosphato/phosphate «group»
Do not accept “phosphoric acid”, “phosphorus” or any formula.
mass spectrometry / X ray diffraction/crystallography / nuclear magnetic resonance «spectroscopy»
OR
bacteria able to grow in absence of phosphorus
OR
reproducible data
Accept abbreviations (eg, MS, NMR).
Accept “elemental analysis” or “atomic absorption spectroscopy/AA(S)”.
Examiners report
The stereochemistry of molecules affects the way they interact with taste and smell receptors in the body.
The stereochemistry of carbohydrates and amino acids is usually indicated by the D/L convention.
Alanine has the formula \({\text{[}}{{\text{H}}_{\text{2}}}{\text{N}}–{\text{CH(C}}{{\text{H}}_{\text{3}}}{\text{)}}–{\text{COOH]}}\). Deduce the structure of D-alanine and complete its structure below.
State which convention is usually employed to indicate the stereochemistry of molecules other than carbohydrates and amino acids.
Based on the structure given in part (b) (i) comment on the statement “D-alanine is a +(d) compound”.
Markscheme

the R– S– convention;
not possible to tell;
Examiners report
This was a low scoring question, particularly parts (b) (ii) and (b) (iii).
This was a low scoring question, particularly parts (b) (ii) and (b) (iii).
This was a low scoring question, particularly parts (b) (ii) and (b) (iii).
Amino acids are the building blocks of proteins.
Draw the structures of the main form of glycine in buffer solutions of pH 1.0 and 6.0.
The pKa of glycine is 2.34.
Calculate the pH of a buffer system with a concentration of 1.25 × 10−3 mol dm−3 carbonic acid and 2.50 × 10−2 mol dm−3 sodium hydrogen carbonate. Use section 1 of the data booklet.
pKa (carbonic acid) = 6.36
Sketch the wedge and dash (3-D) representations of alanine enantiomers.
UV-Vis spectroscopy can be used to determine the unknown concentration of a substance in a solution.
Calculate the concentration of an unknown sample of pepsin with an absorbance of 0.725 using section 1 of the data booklet.
Cell length = 1.00 cm
Molar absorptivity (extinction coefficient) of the sample = 49650 dm3 cm−1 mol−1
A different series of pepsin samples is used to develop a calibration curve.
Estimate the concentration of an unknown sample of pepsin with an absorbance of 0.30 from the graph.
Markscheme

Penalize charge on incorrect atom once only.
Penalize missing hydrogens or incorrect bond connectivities once only in Option B.
Accept condensed structural formulas.
Accept skeletal structures.
[2 marks]
ALTERNATIVE 1
«pH = 6.36 + log \(\left( {\frac{{2.50 \times {{10}^{ - 2}}}}{{1.25 \times {{10}^{ - 3}}}}} \right)\) =»
7.66
ALTERNATIVE 2
«Ka = 4.4 × 10–7 = [H+] \(\left( {\frac{{2.50 \times {{10}^{ - 2}}}}{{1.25 \times {{10}^{ - 3}}}}} \right)\), [H+] = 2.2 × 10–8 mol dm–3»
«pH =» 7.66
Do not accept “«pH =» 8”.
[1 mark]
Penalize missing hydrogens or incorrect bond connectivities once only in Option B.
Wedges AND dashes must be used.
[1 mark]
«\(\frac{{0.725}}{{49650{\text{ d}}{{\text{m}}^3}\;{\text{c}}{{\text{m}}^{ - 1}}\;{\text{mo}}{{\text{l}}^{ - 1}} \times 1.00\,{\text{cm}}}} = \)» 1.46 × 10−5 «mol dm−3»
[1 mark]
0.65 «μg cm–3»
Accept any value in the range 0.60–0.70 «μg cm–3»
[1 mark]
Examiners report
Lycopene, whose structure is shown below, is a carotenoid and is responsible for the red colour in tomatoes. When bromine is slowly added to some tomato juice, the colour of the juice gradually changes from red to yellow. Explain this colour change in terms of changes in bonding in lycopene.

Markscheme
\({\text{B}}{{\text{r}}_{\text{2}}}\) reacts with the double bonds / amount of double bonds in the conjugated system decreases;
absorbed energy shifts to violet/higher energy in the visible region is absorbed;
resulting in complementary yellow colour;
Examiners report
Most candidates were unable to relate the addition of bromine to bond saturation, the shift of energy absorbance to violet/higher energy in the visible region and the transmittance of the complementary yellow light.
Enzymes are protein molecules that catalyse specific biochemical reactions. The phosphorylation of glucose is the first step of glycolysis (the oxidation of glucose) and is catalysed by the enzyme hexokinase.
Explain how enzymes, such as hexokinase, are able to catalyse reactions.
State and explain the effect of increasing the temperature from 20 °C to 60 °C on an enzyme-catalysed reaction.
Markscheme
enzymes have an active site (where the substrate can bind) / explanation of lock and key or induced fit model;
lowers activation energy (by providing an alternative pathway);
increasing temperature initially increases rate of reaction;
because more molecules possess energies equal or greater than the activation energy;
at a temperature around 37 °C, the highest rate is reached;
at a temperature around 40 °C the enzyme is denatured / shape of the active site changes/tertiary structure of the enzyme changes;
so rate decreases/reaction stops;
Examiners report
In the explanation of how enzymes are able to catalyse reactions, many referred to active sites but fewer made reference to the lowering of activation energy.
Though candidates seemed to understand enzyme activity at different temperatures, they often omitted details on the exact temperature ranges. Some were nicely able to illustrate their answer with a properly labelled graph.
Explain how the structure of vitamin A is important to vision using section 35 of the data booklet.
Markscheme
vitamin A oxidized to «11-cis-»retinal
extended conjugation
OR
extensive delocalization
cis-retinal converts to trans-retinal through absorption of light
Accept “vitamin A/hydroxyl/hydroxy/alcohol/CH2OH group oxidized to aldehyde/CHO «group in retinal»”.
[3 marks]
Examiners report
Vitamins can be water-soluble or fat-soluble.
Retinal is the key molecule involved in vision. Explain the roles of cis and trans-retinal in vision and how the isomers are formed in the visual cycle.
Markscheme
Any three of:
cis-retinal binds to «the protein» opsin
OR
cis-retinal «binds to opsin and» forms rhodopsin
rhodopsin extends conjugation in retinal
OR
rhodopsin allows absorption of visible/blue/green light
when visible light is absorbed cis-retinal changes to trans-retinal
change «to trans-retinal» triggers an electrical/nerve signal
trans-retinal detaches from opsin AND is converted back to cis-retinal
OR
trans-retinal is converted back to cis-retinal through enzyme activity
Do not accept “cis-retinal to trans-retinal” alone without reference to absorption of visible light.
[Max 3 Marks]
Examiners report
The nucleic acids, RNA and DNA, are polymers which are formed from nucleotides. Distinguish between the structures of RNA and DNA.
Markscheme
DNA is double-strand nucleic acid / RNA is single-strand nucleic acid;
DNA (base) is thymine / RNA (base) is uracil;
DNA has deoxyribose as pentose sugar / RNA has ribose;
Accept suitable diagrams.
Examiners report
Most candidates were capable of describing all three differences between RNA and DNA. Candidates must be aware that they should use the names of bases not just what they think is an acceptable symbol such as U or T but rather uracil or thymine.
In aerobic respiration, the metabolism of glucose takes place using the processes of oxidation and reduction.
Identify the molecule that undergoes oxidation and state the half-equation for the process.
Identify the molecule that undergoes reduction and state the half-equation for the process.
Markscheme
glucose/\({{\text{C}}_{\text{6}}}{{\text{H}}_{{\text{12}}}}{{\text{O}}_{\text{6}}}\);
\({{\text{C}}_6}{{\text{H}}_{12}}{{\text{O}}_6} + {\text{6}}{{\text{H}}_2}{\text{O}} \to {\text{6C}}{{\text{O}}_2} + {\text{24}}{{\text{H}}^ + } + {\text{24}}{{\text{e}}^ - }\);
oxygen/\({{\text{O}}_{\text{2}}}\);
\({\text{6}}{{\text{O}}_2} + {\text{24}}{{\text{H}}^ + } + {\text{24}}{{\text{e}}^ - } \to {\text{12}}{{\text{H}}_2}{\text{O}}\);
Accept equation divided by 6.
Award [2 max] if (a) and (b) are reversed and all 4 marking points are correct.
Examiners report
Majority of candidates identified that glucose was oxidised and oxygen was reduced.
It was very rare to see correct half-equations.
Enzymes are biological catalysts. Catalases are highly efficient enzymes found in cells. Each catalase molecule can decompose millions of hydrogen peroxide molecules per second.
Metal-based inorganic catalysts are also common. In 2009, at Cardiff University in Wales, a new catalyst was developed by Hutchings and co-workers using gold–palladium nanoparticles in the direct synthesis of hydrogen peroxide.
Enzymes are affected by inhibitors which can be either competitive or non-competitive.
Describe the characteristics of an enzyme (such as catalase).
State how inhibitors affect the initial rate of reaction of an enzyme with its substrate.
Explain the action of competitive and non-competitive inhibitors on enzymes in terms of where the inhibitor binds to the enzyme.
Competitive inhibitors:
Non-competitive inhibitors:
State how inhibitors affect the values of \({V_{{\text{max}}}}\) and the Michaelis constant, \({K_{\text{m}}}\), by completing the table below.

Markscheme
proteins;
enzyme activity depends on tertiary and quaternary structure/nature of active site;
lock and key / induced fit (hypothesis/theory);
Allow enzymes are specific (for a particular reaction).
initial rates reduced;
Competitive inhibitors:
(similar shape to substrate so) fits inside active site instead of substrate / OWTTE;
Non-competitive inhibitors:
binds to enzyme not at active site and changes shape of active site so substrate no longer fits / OWTTE;
Allow at allosteric site instead of not at active site.

Award [1 max] for both Vmax correct.
Award [1 max] for both Km correct.
Examiners report
In part (a), many candidates managed to score both marks, and most stated that enzymes are proteins, which scored at least one mark.
In (b), (i) and (ii) were well answered though for the non-competitive inhibitors some did not state explicitly that they change the shape of the active site so the substrate no longer fits, in addition to stating that they bind to the enzyme but not at the active site.
In (b), (i) and (ii) were well answered though for the non-competitive inhibitors some did not state explicitly that they change the shape of the active site so the substrate no longer fits, in addition to stating that they bind to the enzyme but not at the active site.
In (iii), the better candidates scored full marks, though many scored at least one mark, usually for getting the two \({V_{{\text{max}}}}\) correct.
Amino acids are usually identified by their common names. Use section 33 of the data booklet.
Amino acids act as buffers in solution. In aspartic acid, the side chain (R group) carboxyl has pKa = 4.0. Determine the percentage of the side chain carboxyl that will be ionized (–COO–) in a solution of aspartic acid with pH = 3.0. Use section 1 of the data booklet.
Markscheme
«–COOH \( \rightleftharpoons \) –COO– + H+ (–COOH = HA ; –COO– = A–)»
pH = pKa + log \(\frac{{\left[ {{{\rm{A}}^ - }} \right]}}{{\left[ {{\rm{HA}}} \right]}}\) / 3.0 = 4.0 + log \(\frac{{\left[ { - {\rm{CO}}{{\rm{O}}^ - }} \right]}}{{\left[ { - {\rm{COOH}}} \right]}}\) / –1.0 = log \(\frac{{\left[ { - {\rm{CO}}{{\rm{O}}^ - }} \right]}}{{\left[ { - {\rm{COOH}}} \right]}}\)
10–1=\(\frac{{\left[ { - {\rm{CO}}{{\rm{O}}^ - }} \right]}}{{\left[ { - {\rm{COOH}}} \right]}}\)
«percentage ionized/–COO– = \(\frac{1}{{1 + 10}}\) × 100 =» 9.1 «%»
Award [3] for correct final answer.
Examiners report
The enzyme hexokinase catalyses one of the initial reactions between glucose and adenosine triphosphate (ATP) during the process of glycolysis.
The graph below shows how the rate of this enzyme-catalysed reaction changes as the glucose concentration is increased.

From the graph, determine \({V_{{\text{max}}}}\) and the Michaelis constant, \({K_{\text{m}}}\).
\({V_{{\text{max}}}}\):
\({K_{\text{m}}}\):
Explain why a low value of \({K_{\text{m}}}\) is significant.
State and explain the effect of a competitive inhibitor on the value of \){K_{\text{m}}}\).
Markscheme
\({\text{(}}{V_{{\text{max}}}}{\text{:) 7.75}}\)–\({\text{7.85 (mmol}}\,{\text{d}}{{\text{m}}^{ - 3}}{{\text{s}}^{ - 1}}{\text{)}}\);
\({\text{(}}{K_{\text{m}}}{\text{:) 0.12}}\)–\({\text{0.14 (mmol}}\,{\text{d}}{{\text{m}}^{ - 3}}{\text{)}}\);
Accept 7.8 for Vmax.
hexokinase/enzyme (with a low \({K_{\text{m}}}\)) has a high affinity for glucose/substrate / hexokinase/enzyme is saturated with substrate / hexokinase/ enzyme reacts quickly to form an ES complex which breaks down rapidly;
Do not accept strong binding/bonding between enzyme and substrate.
hence needs a lower concentration of glucose/substrate to achieve \({V_{{\text{max}}}}\) / a fast reaction occurs even when substrate concentration is low;
Accept “enzyme is efficient even at low substrate concentration”.
First mark:
\({K_{\text{m}}}\) increases;
Any two for final two marks:
inhibitor has similar structure to that of substrate;
hence inhibitor occupies/fits same active sites;
inhibitor does not affect \({V_{{\text{max}}}}\);
substrate must wait until the inhibitor leaves the active site;
reaction slows down/rate decreases;
Examiners report
The determination of Vmax and Km from the graph was done very well overall.
Answers were often poorly presented but many candidates scored the second mark. The high affinity of the enzyme for the substrate was rarely mentioned for the first marking point.
Many candidates obtained the first mark for \({K_{\text{m}}}\) increasing and a good number of candidates managed to achieve the last two marking points.
Calculate the number of carbon-carbon double bonds in linolenic acid, \({{\text{C}}_{{\text{18}}}}{{\text{H}}_{{\text{30}}}}{{\text{O}}_{\text{2}}}\), given that 7.7 g of iodine, \({{\text{I}}_{\text{2}}}\), react with 2.8 g of linolenic acid.
Markscheme

3 C=C double bonds;
3 C=C double bonds scores [2].
No ECF.
Examiners report
Many candidates were able to solve this straight forward calculation question. The major errors candidates made included comparing the ratio of the masses provided rather than working out the ratio of the number of moles of linolenic acid to iodine. In this instance candidates were not awarded any marks because they clearly did not understand the concepts involved. Candidates could also calculate the number of carbon-carbon bonds from the formula of linolenic acid.
Vitamins are organic micronutrients essential for good health. The structures of vitamins A, C and D are given in Table 21 of the Data Booklet.
Vitamin D is the only vitamin that can be synthesized in the body, by the action of sunlight on the skin.
Identify by name two functional groups that are common to all three of these vitamins.
Only one of these three vitamins is soluble in water.
Identify this vitamin.
Explain why this vitamin is soluble in water.
State one effect of vitamin D deficiency.
Suggest why vitamin D deficiency diseases are becoming increasingly common in young people.
Markscheme
alcohol/hydroxyl group and alkene;
Accept carbon-carbon double bond.
Do not accept just double bond.
Do not accept hydroxide.
vitamin C / ascorbic acid;
several OH groups / polar molecule;
able to form hydrogen bonds with water;
softening/malfunctioning of bones / causes low/deficiency in calcium;
Accept rickets.
less time outdoors / skin not exposed due to clothing/sunscreen / OWTTE;
Accept answers that show link with outdoors/sunlight.
Examiners report
Option B was a very popular, and question 6 was well answered with the exception of not listing alkenyl when identifying two functional groups common to three vitamins (A, C and D). Some students did not read the question on formula of zwitterion carefully and instead have the formula of the amino acid itself without any charges. In the separation of alanine and cysteine, the first mark was well scored by many while the second mark proved to be more demanding and often candidates lost this mark as no reference was made to charges or charges inversely stated. Although the disulfide bridge was correctly identified by even weaker candidates a much few were able to identify this as a covalent bond. Structure of the triglyceride was better answered than in past sessions but drawing the ester linkage correctly was still challenging for many candidates. Although the identification of the other reactant (water) was identified by many, the one essential condition (enzyme/lipase) was done poorly. Identification of the polyunsaturated fatty acid was done well by most but the second mark on its ability to lower LDL cholesterol was missed by most. The question on enzymes and inorganic catalysts was done poorly since comparison was often missing. While some candidates were able to suggest a pair of ions in cytochrome oxidase, only stronger candidates provided both pairs. Competitive and non-competitive inhibition was generally well done; however, the reason why it is more likely that NO, rather than the cyanide ion, acts competitively was not done as well. The redox reaction of the reducing agent \({\text{X}}{{\text{H}}_{\text{2}}}\) with \({{\text{O}}_{\text{2}}}\) produced a range of possible equations but rarely did candidates scored full marks.
Option B was a very popular, and question 6 was well answered with the exception of not listing alkenyl when identifying two functional groups common to three vitamins (A, C and D). Some students did not read the question on formula of zwitterion carefully and instead have the formula of the amino acid itself without any charges. In the separation of alanine and cysteine, the first mark was well scored by many while the second mark proved to be more demanding and often candidates lost this mark as no reference was made to charges or charges inversely stated. Although the disulfide bridge was correctly identified by even weaker candidates a much few were able to identify this as a covalent bond. Structure of the triglyceride was better answered than in past sessions but drawing the ester linkage correctly was still challenging for many candidates. Although the identification of the other reactant (water) was identified by many, the one essential condition (enzyme/lipase) was done poorly. Identification of the polyunsaturated fatty acid was done well by most but the second mark on its ability to lower LDL cholesterol was missed by most. The question on enzymes and inorganic catalysts was done poorly since comparison was often missing. While some candidates were able to suggest a pair of ions in cytochrome oxidase, only stronger candidates provided both pairs. Competitive and non-competitive inhibition was generally well done; however, the reason why it is more likely that NO, rather than the cyanide ion, acts competitively was not done as well. The redox reaction of the reducing agent \({\text{X}}{{\text{H}}_{\text{2}}}\) with \({{\text{O}}_{\text{2}}}\) produced a range of possible equations but rarely did candidates scored full marks.
Option B was a very popular, and question 6 was well answered with the exception of not listing alkenyl when identifying two functional groups common to three vitamins (A, C and D). Some students did not read the question on formula of zwitterion carefully and instead have the formula of the amino acid itself without any charges. In the separation of alanine and cysteine, the first mark was well scored by many while the second mark proved to be more demanding and often candidates lost this mark as no reference was made to charges or charges inversely stated. Although the disulfide bridge was correctly identified by even weaker candidates a much few were able to identify this as a covalent bond. Structure of the triglyceride was better answered than in past sessions but drawing the ester linkage correctly was still challenging for many candidates. Although the identification of the other reactant (water) was identified by many, the one essential condition (enzyme/lipase) was done poorly. Identification of the polyunsaturated fatty acid was done well by most but the second mark on its ability to lower LDL cholesterol was missed by most. The question on enzymes and inorganic catalysts was done poorly since comparison was often missing. While some candidates were able to suggest a pair of ions in cytochrome oxidase, only stronger candidates provided both pairs. Competitive and non-competitive inhibition was generally well done; however, the reason why it is more likely that NO, rather than the cyanide ion, acts competitively was not done as well. The redox reaction of the reducing agent \({\text{X}}{{\text{H}}_{\text{2}}}\) with \({{\text{O}}_{\text{2}}}\) produced a range of possible equations but rarely did candidates scored full marks.
Option B was a very popular, and question 6 was well answered with the exception of not listing alkenyl when identifying two functional groups common to three vitamins (A, C and D). Some students did not read the question on formula of zwitterion carefully and instead have the formula of the amino acid itself without any charges. In the separation of alanine and cysteine, the first mark was well scored by many while the second mark proved to be more demanding and often candidates lost this mark as no reference was made to charges or charges inversely stated. Although the disulfide bridge was correctly identified by even weaker candidates a much few were able to identify this as a covalent bond. Structure of the triglyceride was better answered than in past sessions but drawing the ester linkage correctly was still challenging for many candidates. Although the identification of the other reactant (water) was identified by many, the one essential condition (enzyme/lipase) was done poorly. Identification of the polyunsaturated fatty acid was done well by most but the second mark on its ability to lower LDL cholesterol was missed by most. The question on enzymes and inorganic catalysts was done poorly since comparison was often missing. While some candidates were able to suggest a pair of ions in cytochrome oxidase, only stronger candidates provided both pairs. Competitive and non-competitive inhibition was generally well done; however, the reason why it is more likely that NO, rather than the cyanide ion, acts competitively was not done as well. The redox reaction of the reducing agent \({\text{X}}{{\text{H}}_{\text{2}}}\) with \({{\text{O}}_{\text{2}}}\) produced a range of possible equations but rarely did candidates scored full marks.
Option B was a very popular, and question 6 was well answered with the exception of not listing alkenyl when identifying two functional groups common to three vitamins (A, C and D). Some students did not read the question on formula of zwitterion carefully and instead have the formula of the amino acid itself without any charges. In the separation of alanine and cysteine, the first mark was well scored by many while the second mark proved to be more demanding and often candidates lost this mark as no reference was made to charges or charges inversely stated. Although the disulfide bridge was correctly identified by even weaker candidates a much few were able to identify this as a covalent bond. Structure of the triglyceride was better answered than in past sessions but drawing the ester linkage correctly was still challenging for many candidates. Although the identification of the other reactant (water) was identified by many, the one essential condition (enzyme/lipase) was done poorly. Identification of the polyunsaturated fatty acid was done well by most but the second mark on its ability to lower LDL cholesterol was missed by most. The question on enzymes and inorganic catalysts was done poorly since comparison was often missing. While some candidates were able to suggest a pair of ions in cytochrome oxidase, only stronger candidates provided both pairs. Competitive and non-competitive inhibition was generally well done; however, the reason why it is more likely that NO, rather than the cyanide ion, acts competitively was not done as well. The redox reaction of the reducing agent \({\text{X}}{{\text{H}}_{\text{2}}}\) with \({{\text{O}}_{\text{2}}}\) produced a range of possible equations but rarely did candidates scored full marks.
Hemoglobin is often described as a carrier of diatomic oxygen.
Describe the structure of hemoglobin.
Outline the role of hemoglobin in transporting diatomic oxygen.
Markscheme
(hemoglobin large protein molecule with) iron(II) held by four (nitrogen) ligands/coordinate/dative bonds (to form heme);
porphyrin/heme encapsulated in protein/polypeptide unit;
hemoglobin comprises four/several/more than one of these (protein/polypeptide) units;
(during respiration) oxygen bonds (temporarily) to iron (while hemoglobin travels through bloodstream releasing oxygen molecule when and where needed);
decreasing pH causes change in polypeptide releasing the oxygen;
each hemoglobin bonds to four oxygens;
iron stays in \( + 2\) oxidation state;
Examiners report
The structure of hemoglobin in Q9 was not well understood and its role in the transport of oxygen was superficial with very little mention of the change in pH. The question was based on B.9.2.
The structure of hemoglobin in Q9 was not well understood and its role in the transport of oxygen was superficial with very little mention of the change in pH. The question was based on B.9.2.
The following products result from the hydrolysis of a triglyceride.
\({{\text{C}}_{{\text{19}}}}{{\text{H}}_{{\text{31}}}}{\text{COOH}}\) \({{\text{C}}_{{\text{13}}}}{{\text{H}}_{{\text{27}}}}{\text{COOH}}\) \({{\text{C}}_{{\text{15}}}}{{\text{H}}_{{\text{29}}}}{\text{COOH}}\)
Draw a possible structure for the triglyceride.
State the other reactant and one essential condition that would favour this hydrolysis reaction in the body.
Identify which product is polyunsaturated, and outline why foods containing this type of fatty acid are important for health.
Markscheme
;
Accept alternative orders for the hydrocarbon tails.
water/\({{\text{H}}_{\text{2}}}{\text{O}}\) and enzyme/biological catalyst/lipase;
Accept acidic/alkaline/basic condition instead of water.
Do not award mark for lipase alone without water/ H2O.
\({{\text{C}}_{{\text{19}}}}{{\text{H}}_{{\text{31}}}}{\text{COOH}}\);
they lower level of LDL cholesterol/low-density lipoproteins / reduce (the risk of) heart disease;
Allow comparison with saturated fats with explanation.
Examiners report
Option B was a very popular, and question 6 was well answered with the exception of not listing alkenyl when identifying two functional groups common to three vitamins (A, C and D). Some students did not read the question on formula of zwitterion carefully and instead have the formula of the amino acid itself without any charges. In the separation of alanine and cysteine, the first mark was well scored by many while the second mark proved to be more demanding and often candidates lost this mark as no reference was made to charges or charges inversely stated. Although the disulfide bridge was correctly identified by even weaker candidates a much few were able to identify this as a covalent bond. Structure of the triglyceride was better answered than in past sessions but drawing the ester linkage correctly was still challenging for many candidates. Although the identification of the other reactant (water) was identified by many, the one essential condition (enzyme/lipase) was done poorly. Identification of the polyunsaturated fatty acid was done well by most but the second mark on its ability to lower LDL cholesterol was missed by most. The question on enzymes and inorganic catalysts was done poorly since comparison was often missing. While some candidates were able to suggest a pair of ions in cytochrome oxidase, only stronger candidates provided both pairs. Competitive and non-competitive inhibition was generally well done; however, the reason why it is more likely that NO, rather than the cyanide ion, acts competitively was not done as well. The redox reaction of the reducing agent \({\text{X}}{{\text{H}}_{\text{2}}}\) with \({{\text{O}}_{\text{2}}}\) produced a range of possible equations but rarely did candidates scored full marks.
Option B was a very popular, and question 6 was well answered with the exception of not listing alkenyl when identifying two functional groups common to three vitamins (A, C and D). Some students did not read the question on formula of zwitterion carefully and instead have the formula of the amino acid itself without any charges. In the separation of alanine and cysteine, the first mark was well scored by many while the second mark proved to be more demanding and often candidates lost this mark as no reference was made to charges or charges inversely stated. Although the disulfide bridge was correctly identified by even weaker candidates a much few were able to identify this as a covalent bond. Structure of the triglyceride was better answered than in past sessions but drawing the ester linkage correctly was still challenging for many candidates. Although the identification of the other reactant (water) was identified by many, the one essential condition (enzyme/lipase) was done poorly. Identification of the polyunsaturated fatty acid was done well by most but the second mark on its ability to lower LDL cholesterol was missed by most. The question on enzymes and inorganic catalysts was done poorly since comparison was often missing. While some candidates were able to suggest a pair of ions in cytochrome oxidase, only stronger candidates provided both pairs. Competitive and non-competitive inhibition was generally well done; however, the reason why it is more likely that NO, rather than the cyanide ion, acts competitively was not done as well. The redox reaction of the reducing agent \({\text{X}}{{\text{H}}_{\text{2}}}\) with \({{\text{O}}_{\text{2}}}\) produced a range of possible equations but rarely did candidates scored full marks.
Option B was a very popular, and question 6 was well answered with the exception of not listing alkenyl when identifying two functional groups common to three vitamins (A, C and D). Some students did not read the question on formula of zwitterion carefully and instead have the formula of the amino acid itself without any charges. In the separation of alanine and cysteine, the first mark was well scored by many while the second mark proved to be more demanding and often candidates lost this mark as no reference was made to charges or charges inversely stated. Although the disulfide bridge was correctly identified by even weaker candidates a much few were able to identify this as a covalent bond. Structure of the triglyceride was better answered than in past sessions but drawing the ester linkage correctly was still challenging for many candidates. Although the identification of the other reactant (water) was identified by many, the one essential condition (enzyme/lipase) was done poorly. Identification of the polyunsaturated fatty acid was done well by most but the second mark on its ability to lower LDL cholesterol was missed by most. The question on enzymes and inorganic catalysts was done poorly since comparison was often missing. While some candidates were able to suggest a pair of ions in cytochrome oxidase, only stronger candidates provided both pairs. Competitive and non-competitive inhibition was generally well done; however, the reason why it is more likely that NO, rather than the cyanide ion, acts competitively was not done as well. The redox reaction of the reducing agent \({\text{X}}{{\text{H}}_{\text{2}}}\) with \({{\text{O}}_{\text{2}}}\) produced a range of possible equations but rarely did candidates scored full marks.
Enzymes are catalysts that increase the rate of all biochemical reactions, including those involved in respiration.
Cytochrome oxidase is a complex enzyme that catalyses the reduction of oxygen in the final stage of aerobic respiration. This enzyme is inhibited both by nitrogen(II) oxide, NO, and separately by cyanide ions, \({\text{C}}{{\text{N}}^ - }\). It has been suggested that NO acts competitively while \({\text{C}}{{\text{N}}^ - }\) acts non-competitively in inhibiting the enzyme. Experiments were carried out to test this hypothesis.
The graph below shows the effect of substrate concentration on the rate of the reaction in the absence of an inhibitor. Draw and label the results of the two experiments showing how the rate of the reaction changes in the presence of NO and in the presence of \({\text{C}}{{\text{N}}^ - }\), if the hypothesis is correct.

Suggest a reason why it is more likely that NO, rather than \({\text{C}}{{\text{N}}^ - }\), acts competitively.
The reducing agent in the cytochrome oxidase reaction is a species that can be denoted as \({\text{X}}{{\text{H}}_{\text{2}}}\) in the reduced form. Using this notation, deduce an equation for the reaction of \({\text{X}}{{\text{H}}_{\text{2}}}\) and \({{\text{O}}_{\text{2}}}\), and outline, using oxidation numbers, why it is a redox reaction.
Markscheme

line labelled NO/competitive reaching \({V_{\text{m}}}\) but with lower gradient;
line labelled \({\text{C}}{{\text{N}}^ - }\)/non-competitive not reaching \({V_{\text{m}}}\);
NO more likely to fit into active site / NO (structure) similar to \({{\text{O}}_2}\) / \({\text{C}}{{\text{N}}^ - }\) structure different to \({{\text{O}}_2}\) / OWTTE;
\({\text{2X}}{{\text{H}}_2} + {{\text{O}}_2} \to {\text{2X}} + {\text{2}}{{\text{H}}_2}{\text{O}}/{\text{X}}{{\text{H}}_2} + {{\text{O}}_2} \to {\text{X(OH}}{{\text{)}}_2}/{\text{X}}{{\text{H}}_{\text{2}}} + {{\text{O}}_{\text{2}}} \to {\text{XO}} + {{\text{H}}_{\text{2}}}{\text{O}}\);
oxygen changes from 0 to –2;
Allow X2 instead of 2X.
Do not allow 2– notation.
Accept “X changes from –2 to 0 in X or X2“ or “X changes from –2 to +2 in X(OH)2/XO”.
Examiners report
Option B was a very popular, and question 6 was well answered with the exception of not listing alkenyl when identifying two functional groups common to three vitamins (A, C and D). Some students did not read the question on formula of zwitterion carefully and instead have the formula of the amino acid itself without any charges. In the separation of alanine and cysteine, the first mark was well scored by many while the second mark proved to be more demanding and often candidates lost this mark as no reference was made to charges or charges inversely stated. Although the disulfide bridge was correctly identified by even weaker candidates a much few were able to identify this as a covalent bond. Structure of the triglyceride was better answered than in past sessions but drawing the ester linkage correctly was still challenging for many candidates. Although the identification of the other reactant (water) was identified by many, the one essential condition (enzyme/lipase) was done poorly. Identification of the polyunsaturated fatty acid was done well by most but the second mark on its ability to lower LDL cholesterol was missed by most. The question on enzymes and inorganic catalysts was done poorly since comparison was often missing. While some candidates were able to suggest a pair of ions in cytochrome oxidase, only stronger candidates provided both pairs. Competitive and non-competitive inhibition was generally well done; however, the reason why it is more likely that NO, rather than the cyanide ion, acts competitively was not done as well. The redox reaction of the reducing agent \({\text{X}}{{\text{H}}_{\text{2}}}\) with \({{\text{O}}_{\text{2}}}\) produced a range of possible equations but rarely did candidates scored full marks.
Option B was a very popular, and question 6 was well answered with the exception of not listing alkenyl when identifying two functional groups common to three vitamins (A, C and D). Some students did not read the question on formula of zwitterion carefully and instead have the formula of the amino acid itself without any charges. In the separation of alanine and cysteine, the first mark was well scored by many while the second mark proved to be more demanding and often candidates lost this mark as no reference was made to charges or charges inversely stated. Although the disulfide bridge was correctly identified by even weaker candidates a much few were able to identify this as a covalent bond. Structure of the triglyceride was better answered than in past sessions but drawing the ester linkage correctly was still challenging for many candidates. Although the identification of the other reactant (water) was identified by many, the one essential condition (enzyme/lipase) was done poorly. Identification of the polyunsaturated fatty acid was done well by most but the second mark on its ability to lower LDL cholesterol was missed by most. The question on enzymes and inorganic catalysts was done poorly since comparison was often missing. While some candidates were able to suggest a pair of ions in cytochrome oxidase, only stronger candidates provided both pairs. Competitive and non-competitive inhibition was generally well done; however, the reason why it is more likely that NO, rather than the cyanide ion, acts competitively was not done as well. The redox reaction of the reducing agent \({\text{X}}{{\text{H}}_{\text{2}}}\) with \({{\text{O}}_{\text{2}}}\) produced a range of possible equations but rarely did candidates scored full marks.
Option B was a very popular, and question 6 was well answered with the exception of not listing alkenyl when identifying two functional groups common to three vitamins (A, C and D). Some students did not read the question on formula of zwitterion carefully and instead have the formula of the amino acid itself without any charges. In the separation of alanine and cysteine, the first mark was well scored by many while the second mark proved to be more demanding and often candidates lost this mark as no reference was made to charges or charges inversely stated. Although the disulfide bridge was correctly identified by even weaker candidates a much few were able to identify this as a covalent bond. Structure of the triglyceride was better answered than in past sessions but drawing the ester linkage correctly was still challenging for many candidates. Although the identification of the other reactant (water) was identified by many, the one essential condition (enzyme/lipase) was done poorly. Identification of the polyunsaturated fatty acid was done well by most but the second mark on its ability to lower LDL cholesterol was missed by most. The question on enzymes and inorganic catalysts was done poorly since comparison was often missing. While some candidates were able to suggest a pair of ions in cytochrome oxidase, only stronger candidates provided both pairs. Competitive and non-competitive inhibition was generally well done; however, the reason why it is more likely that NO, rather than the cyanide ion, acts competitively was not done as well. The redox reaction of the reducing agent \({\text{X}}{{\text{H}}_{\text{2}}}\) with \({{\text{O}}_{\text{2}}}\) produced a range of possible equations but rarely did candidates scored full marks.
Cholesterol belongs to a class of substances named lipids.
Describe one negative effect of a high concentration of LDL cholesterol in blood.
Markscheme
LDL can be retained in the arteries / block arteries / start formation of plaque(s) / increases risk of atherosclerosis/arteriosclerosis/cardiovascular/heart diseases;
Examiners report
The most common answers were in terms of saturation and the sizes of the molecules.
Nucleic acids are natural polymers with exceptionally large relative molecular masses, made up of nucleotides. All cells in the human body, with the exception of red blood cells, contain deoxyribonucleic acid (DNA).
James Watson, Francis Crick and Maurice Wilkins were awarded the 1962 Nobel Prize in Physiology or Medicine “for their discoveries concerning the molecular structure of nucleic acids and its significance for information transfer in living material”.
(i) Explain how the two helices are linked in the structure of DNA.
(ii) Describe the role of DNA in the storage of genetic information. The details of protein synthesis are not required.
Markscheme
(i) bases;
held together by hydrogen bonds;
(ii) coded information lies in sequence of bases;
each sequence of three bases represents one amino acid/triplet code;
allows for up to 64 permutations/codons;
represents 20 naturally occurring amino acids;
human genome / complete sequence of bases in human DNA;
Examiners report
Usually candidates had no problem scoring both marks for (a) (i). In (ii) however, many answers were too broad in scope dealing with transcription and translation, rather than concentrating on how the genetic information is stored. Candidates clearly did not interpret what was being asked for explicitly in the question.
The colour of olive oil is due to pigments such as chlorophyll, pheophytin and carotenoids.
The absorption spectrum of one form of pheophytin is shown below.

State the structural feature of a pheophytin molecule which allows it to absorb visible light.

Carotenoids may lose their colour and develop off odours when they are oxidized.
Identify, using table 22 of the data booklet, the structural feature that makes carotenoids susceptible to oxidation.
List two factors which increase the rate of oxidation of carotenoids.
Deduce, giving a reason, whether carotenoids are water-soluble or fat-soluble.
Markscheme
extensive conjugation/delocalization / extended system of conjugated double bonds/delocalized electrons;
Accept “contains porphyrin/porphin ring”.
multiple/conjugated C=C/carbon to carbon double bonds;
light;
higher/increased temperatures;
metals / transition metal ions;
hydroperoxides / peroxides;
Accept acidity/low pH.
fat-soluble and many non-polar groups/long non-polar chain;
Accept fat-soluble and absence of hydroxyl/OH/polar/H-bonding groups.
Examiners report
Though appreciation of the issue of complementary colours was widespread, hardly any candidates identified both absorption bands in the visible region. In the next few parts of the question many students lost marks by failing to answer fully, not referring to the extensive conjugation or the large number of carbon-carbon double bonds, as well as referring to temperature, rather than increased temperature, as a factor in the rate of oxidation. Lack of polarity was widely given as a reason for the fat solubility of carotenoids, though lack of groups able to form hydrogen bonds might have been more accurate (many quite polar molecules, such as \({\text{CHC}}{{\text{l}}_{\text{3}}}\), are insoluble in water). The features that lead to phospholipids acting as emulsifiers were often known, but again students tended to lose marks because their answers did not contain enough detail of their interaction between the phases present.
Though appreciation of the issue of complementary colours was widespread, hardly any candidates identified both absorption bands in the visible region. In the next few parts of the question many students lost marks by failing to answer fully, not referring to the extensive conjugation or the large number of carbon-carbon double bonds, as well as referring to temperature, rather than increased temperature, as a factor in the rate of oxidation. Lack of polarity was widely given as a reason for the fat solubility of carotenoids, though lack of groups able to form hydrogen bonds might have been more accurate (many quite polar molecules, such as \({\text{CHC}}{{\text{l}}_{\text{3}}}\), are insoluble in water). The features that lead to phospholipids acting as emulsifiers were often known, but again students tended to lose marks because their answers did not contain enough detail of their interaction between the phases present.
Though appreciation of the issue of complementary colours was widespread, hardly any candidates identified both absorption bands in the visible region. In the next few parts of the question many students lost marks by failing to answer fully, not referring to the extensive conjugation or the large number of carbon-carbon double bonds, as well as referring to temperature, rather than increased temperature, as a factor in the rate of oxidation. Lack of polarity was widely given as a reason for the fat solubility of carotenoids, though lack of groups able to form hydrogen bonds might have been more accurate (many quite polar molecules, such as \({\text{CHC}}{{\text{l}}_{\text{3}}}\), are insoluble in water). The features that lead to phospholipids acting as emulsifiers were often known, but again students tended to lose marks because their answers did not contain enough detail of their interaction between the phases present.
Though appreciation of the issue of complementary colours was widespread, hardly any candidates identified both absorption bands in the visible region. In the next few parts of the question many students lost marks by failing to answer fully, not referring to the extensive conjugation or the large number of carbon-carbon double bonds, as well as referring to temperature, rather than increased temperature, as a factor in the rate of oxidation. Lack of polarity was widely given as a reason for the fat solubility of carotenoids, though lack of groups able to form hydrogen bonds might have been more accurate (many quite polar molecules, such as \({\text{CHC}}{{\text{l}}_{\text{3}}}\), are insoluble in water). The features that lead to phospholipids acting as emulsifiers were often known, but again students tended to lose marks because their answers did not contain enough detail of their interaction between the phases present.
Deoxyribonucleic acid (DNA) is the genetic material that an individual inherits from both parents. DNA consists of nucleotides bonded together.
Outline the essential features of the structure of a section of one strand of DNA.
Markscheme
(backbone of) sugar-phosphate;
nitrogenous bases attached to sugar;
four (different) nitrogenous bases / C, T, A and G;
sugar is a pentose;
Examiners report
Many students discussed the structure of DNA as a whole rather than that of a single strand, as requested in the question. Nevertheless in the course of this many gave enough detail to gain some credit. The role of restriction enzymes and the polymerase chain reaction seemed well known, though the order of these was less clear. Details of the separation and detection of the fragments were however often less accurate. A significant minority of students attempting this question displayed some confusion with proteins and the electrophoresis of their component amino acids.
Olive oil is a complex mixture of triglycerides, some of which are derived from oleic acid.
Explain why oleic acid, cis-9-octadecenoic acid, has a lower melting point than its trans isomer, elaidic acid.
Discuss two effects on health of consuming trans fatty acids such as elaidic acid.
Markscheme
kink/shape of cis-isomer prevents molecules packing closely together / reduces area of close contact / OWTTE;
so weaker intermolecular attractions/dispersion/London/van der Waals’ forces;
Accept converse argument based on trans-isomer.
hard to metabolize / accumulates in fatty tissue / difficult to excrete;
increases levels of LDL cholesterol / increases risk of heart disease;
Do not accept “increases level of bad cholesterol”.
Examiners report
Most students correctly identified the compound that combines with fatty acids in triglycerides, but explanations of the lower melting points of cis-isomers usually lacked precision. The relationship between trans-fats and HDL/LDL levels and disorders arising from an unhealthy ratio of these seemed well known, but the difficulty in metabolizing these was rarely mentioned. Candidates either knew, or did not know, the mechanism for free-radical oxidation of fats with very few gaining partial marks; most however could identify a factor relevant to reducing its rate.
Most students correctly identified the compound that combines with fatty acids in triglycerides, but explanations of the lower melting points of cis-isomers usually lacked precision. The relationship between trans-fats and HDL/LDL levels and disorders arising from an unhealthy ratio of these seemed well known, but the difficulty in metabolizing these was rarely mentioned. Candidates either knew, or did not know, the mechanism for free-radical oxidation of fats with very few gaining partial marks; most however could identify a factor relevant to reducing its rate.
Enzymes are proteins which play an important role in the biochemical processes occurring in the body.
The graph below shows how the rate of an enzyme-catalysed reaction changes as the substrate concentration is increased.
State the major function of enzymes in the human body.
Describe the mechanism of enzyme action in terms of structure.
Use the graph to determine \({V_{\max }}\) and the Michaelis constant, \({K_{\text{m}}}\).

\({V_{\max }}\):
\({K_{\text{m}}}\):
Draw a line on the graph to represent the effect of adding a competitive inhibitor.
State and explain the effects of heavy-metal ions and temperature increases on enzyme activity.
Markscheme
catalyse/speed up chemical reactions (in the body) / catalyst;
binding on the active site / lock and key / formation of substrate enzyme complex;
Do not allow bind to enzyme.
\({V_{\max }} = 0.5{\text{ (}} \times {\text{1}}{{\text{0}}^{ - 6}}{\text{ mol}}\,{\text{mi}}{{\text{n}}^{ - 1}}{\text{)}}\);
\({K_{\text{m}}} = \left( {{\text{[S] when }}v = \frac{1}{2}{V_{\max }} = } \right){\text{ 1.5 (}} \times {\text{1}}{{\text{0}}^{ - 3}}{\text{ mol}}\,{\text{d}}{{\text{m}}^{ - 3}}{\text{)}}\);
Accept any value between 1.2 and 1.5.
line on graph showing reduced gradient but same final \({{V_{\max }}}\);

Heavy-metal ions:
react (irreversibly) with –SH group / replaces hydrogen atom with heavy-metal atom/ion;
Accept heavy metal binding to active site.
Accept poisons enzymes.
decrease activity/rate;
Temperature changes:
increase in temperature increases (initial) activity/rate;
more reactants possess (minimum) activation energy;
at high temperature enzymes become less effective / above 40 °C activity/rate decreases / denatured / OWTTE;
for both (heavy-metal ions and temperature changes) (tertiary) structure disrupted / change of shape means active site stop working / OWTTE;
Examiners report
The major function of enzymes in the human body was very well answered.
Most candidates were able to describe the mechanism of enzyme action in terms of structure.
In addition, the idea of a competitive inhibitor, \({V_{\text{m}}}\) and \({K_{\text{m}}}\) were all clearly understood and many candidates scored full marks in (c) (i) and (ii).
In addition, the idea of a competitive inhibitor, \({V_{\text{m}}}\) and \({K_{\text{m}}}\) were all clearly understood and many candidates scored full marks in (c) (i) and (ii).
In (d) the answers tended to vary and many candidates did not distinguish between the temperature effect below and above 40 °C.
Many lipids are found in the human body. One type of lipid is a triglyceride
To measure the degree of unsaturation of a lipid the iodine number can be calculated.
Calculate the iodine number of linoleic acid.
\[\begin{array}{*{20}{l}} {{\text{C}}{{\text{H}}_{\text{3}}}{{{\text{(C}}{{\text{H}}_{\text{2}}}{\text{)}}}_{\text{4}}}{{{\text{(CH=CHC}}{{\text{H}}_{\text{2}}}{\text{)}}}_{\text{2}}}{{{\text{(C}}{{\text{H}}_{\text{2}}}{\text{)}}}_{\text{6}}}{\text{COOH}}}&{{M_{\text{r}}} = 280.4} \end{array}\]
Markscheme
(amount of linoleic acid in 100 g =) \(\frac{{100}}{{280.4}} = 0.357{\text{ mol}}\);
2 double bonds in molecule so 1 mole of lipid reacts with 2 moles of \({{\text{I}}_{\text{2}}}\);
Can be implied in working.
mass of iodine that reacts \(( = 253.8 \times 0.357 \times 2) = 181{\text{ g}}\);
Award [3] for correct final answer.
Award [2] for 90.5 g.
Examiners report
In (b) many candidates could not define iodine number, with many referring to moles instead of grams. This then meant that few were able to calculate the iodine number successfully.
Proteins are polymers of 2-amino acids. The structures of the common amino acids are given in Table 19 of the Data Booklet. This question refers to the two amino acids alanine and cysteine.
State the structural formula of cysteine as a zwitterion.
With reference to the isoelectric points of alanine and cysteine, describe with a reason what pH value would be suitable to use in an electrophoresis experiment designed to separate these two amino acids in solution.
Cysteine is responsible for a specific type of intra-molecular bonding within a protein molecule. State the name of this type of interaction and outline how it is different from other interactions responsible for the tertiary structure.
Markscheme
;
Accept full or condensed structural formulas as long as correct charges on N/NH3 and O are represented.
Accept NH3+ for H3N+ in the diagram.
any value or range from 5.1– 6.0 ;
alanine positive and cysteine negative;
Accept biggest charge difference/opposite charges between isoelectric points so move in opposite directions.
Need reference to charges to score M2.
disulfide bridge;
Accept S–S.
covalent / strongest bond;
Examiners report
Option B was a very popular, and question 6 was well answered with the exception of not listing alkenyl when identifying two functional groups common to three vitamins (A, C and D). Some students did not read the question on formula of zwitterion carefully and instead have the formula of the amino acid itself without any charges. In the separation of alanine and cysteine, the first mark was well scored by many while the second mark proved to be more demanding and often candidates lost this mark as no reference was made to charges or charges inversely stated. Although the disulfide bridge was correctly identified by even weaker candidates a much few were able to identify this as a covalent bond. Structure of the triglyceride was better answered than in past sessions but drawing the ester linkage correctly was still challenging for many candidates. Although the identification of the other reactant (water) was identified by many, the one essential condition (enzyme/lipase) was done poorly. Identification of the polyunsaturated fatty acid was done well by most but the second mark on its ability to lower LDL cholesterol was missed by most. The question on enzymes and inorganic catalysts was done poorly since comparison was often missing. While some candidates were able to suggest a pair of ions in cytochrome oxidase, only stronger candidates provided both pairs. Competitive and non-competitive inhibition was generally well done; however, the reason why it is more likely that NO, rather than the cyanide ion, acts competitively was not done as well. The redox reaction of the reducing agent \({\text{X}}{{\text{H}}_{\text{2}}}\) with \({{\text{O}}_{\text{2}}}\) produced a range of possible equations but rarely did candidates scored full marks.
Option B was a very popular, and question 6 was well answered with the exception of not listing alkenyl when identifying two functional groups common to three vitamins (A, C and D). Some students did not read the question on formula of zwitterion carefully and instead have the formula of the amino acid itself without any charges. In the separation of alanine and cysteine, the first mark was well scored by many while the second mark proved to be more demanding and often candidates lost this mark as no reference was made to charges or charges inversely stated. Although the disulfide bridge was correctly identified by even weaker candidates a much few were able to identify this as a covalent bond. Structure of the triglyceride was better answered than in past sessions but drawing the ester linkage correctly was still challenging for many candidates. Although the identification of the other reactant (water) was identified by many, the one essential condition (enzyme/lipase) was done poorly. Identification of the polyunsaturated fatty acid was done well by most but the second mark on its ability to lower LDL cholesterol was missed by most. The question on enzymes and inorganic catalysts was done poorly since comparison was often missing. While some candidates were able to suggest a pair of ions in cytochrome oxidase, only stronger candidates provided both pairs. Competitive and non-competitive inhibition was generally well done; however, the reason why it is more likely that NO, rather than the cyanide ion, acts competitively was not done as well. The redox reaction of the reducing agent \({\text{X}}{{\text{H}}_{\text{2}}}\) with \({{\text{O}}_{\text{2}}}\) produced a range of possible equations but rarely did candidates scored full marks.
Option B was a very popular, and question 6 was well answered with the exception of not listing alkenyl when identifying two functional groups common to three vitamins (A, C and D). Some students did not read the question on formula of zwitterion carefully and instead have the formula of the amino acid itself without any charges. In the separation of alanine and cysteine, the first mark was well scored by many while the second mark proved to be more demanding and often candidates lost this mark as no reference was made to charges or charges inversely stated. Although the disulfide bridge was correctly identified by even weaker candidates a much few were able to identify this as a covalent bond. Structure of the triglyceride was better answered than in past sessions but drawing the ester linkage correctly was still challenging for many candidates. Although the identification of the other reactant (water) was identified by many, the one essential condition (enzyme/lipase) was done poorly. Identification of the polyunsaturated fatty acid was done well by most but the second mark on its ability to lower LDL cholesterol was missed by most. The question on enzymes and inorganic catalysts was done poorly since comparison was often missing. While some candidates were able to suggest a pair of ions in cytochrome oxidase, only stronger candidates provided both pairs. Competitive and non-competitive inhibition was generally well done; however, the reason why it is more likely that NO, rather than the cyanide ion, acts competitively was not done as well. The redox reaction of the reducing agent \({\text{X}}{{\text{H}}_{\text{2}}}\) with \({{\text{O}}_{\text{2}}}\) produced a range of possible equations but rarely did candidates scored full marks.
Compare the structures of the natural pigments, chlorophyll and heme B using Table 22 of the Data Booklet.
Markscheme
both contain planar heterocyclic unit/porphyrin;
conjugated double bonds (in cyclic system) / alkene (groups);
Chlorophyll:
only chlorophyll has magnesium/ester (groups)/R-group on C3/long hydrocarbon chain;
Examiners report
Most candidates could compare successfully the structures of chlorophyll and heme B.
Retinal, one of the many forms of vitamin A, reacts with opsin to produce rhodopsin. Refer to section 35 of the data booklet for one structure of vitamin A.
Identify the structural feature which enables rhodopsin to absorb visible light.
Outline the change that occurs in the retinal residue during the absorption of visible light.
Markscheme
«extensive system of» conjugation/alternating single and double «carbon to carbon» bonds
OR
delocalized electrons «over much of the molecule»
Accept “delocalization”.
[1 mark]
cis«-retinal» converts to trans«-retinal»
OR
one of the C=C «fragments in retinal» changes «its configuration» from cis to trans
[1 mark]
Examiners report
Nucleic acids, which are polynucleotides present in cells, transmit essential genetic information.
Explain the double helical structure of DNA, including the importance of hydrogen bonding.
Markscheme
DNA made up of two polynucleotides that join to form a spiral/double helix;
two strands of nucleic acid interaction through hydrogen bonding network between
bases / polynucleotides linked by hydrogen bonds between bases;
alternating phosphate and sugar groups form the backbones with bases on the sugar;
thymine/T bonds to adenine/A and cytosine/C bonds to guanine/G;
double helix stabilized by dipole-dipole and vdW interactions between base pairs;
Examiners report
In Q8 the best understanding was that of the complementary base pairs and the hydrogen bonding between them; the rest was not well explained and very few understood the importance of the hydrogen bonding. Candidates were either well prepared for DNA profiling – or showed very little understanding. The order of steps seemed to be incertain. It is accepted that “describe” followed by “explain the importance” would have been a more effective wording of the question.
Limonene is a chiral molecule. The enantiomer found in oranges is shown below.

Identify the chiral carbon atom in the structure above with an asterisk, *.
Markscheme

Examiners report
Option F was one of the less popular options. Identification of the two functional groups in the three antioxidants and why they contain tert- in the prefix to their name was generally done well. Strong candidates were able to provide the correct formula of BHT but many weaker candidates were not and this is a source of concern as it involves skills that should be basic in chemistry. Explanation of how natural and synthetic antioxidants act chemically in the process of auto-oxidation was generally done well. However, the mode of action of \({\text{S}}{{\text{O}}_{\text{2}}}\) as an antioxidant was not as successful as expected. The question on beta-carotene was done well.
Identification of the fatty acid with the highest melting point and the reason why was correctly answered by many but then many also failed to make use of intermolecular forces and therefore did not fully score. Another disappointing result was the equation for the complete hydrogenation of linolenic acid and once again related to difficulties in writing and balancing chemical equations. Many candidates were able to score the second mark by providing two correct conditions. The meaning of the term trans and the associated structure was answered very well.
Many correct answers were given for the meaning of a dispersed system but also many did not make use of subject specific vocabulary or repeated the word dispersed in the answer. The idea of an emulsion and foam was well understood as was the part on the structural features of an emulsifier.
Many candidates identified the chiral carbon atom correctly in the structure given and two different ways in which enantiomers might affect the properties of foods. However, the reason for the difference in optical activity when carvone is synthesized using limonene from natural or chemical source was poorly answered with many not scoring at all.
Stearic acid, oleic acid and linolenic acid are all fatty acids that contain 18 carbon atoms. Their structures are given in Table 22 of the Data Booklet.
Partial hydrogenation of linolenic acid may lead to a product known as a trans fatty acid.
Explain which acid has the highest melting point.
State the equation for the complete hydrogenation of linolenic acid. Describe the conditions used for this reaction.
Explain the meaning of the term trans.
Draw the structure of a possible trans fatty acid product.
Markscheme
stearic acid;
saturated molecule / more closely packed / greater surface area (of contact) / not “kinked”;
more/stronger van der Waals’ forces;
Accept intermolecular/London/dispersion forces instead of van der Waals’ forces.
\({{\text{C}}_{17}}{{\text{H}}_{29}}{\text{COOH(l)}} + {\text{3}}{{\text{H}}_2}{\text{(g)}} \to {{\text{C}}_{17}}{{\text{H}}_{35}}{\text{COOH(l)}}\);
Ignore state symbols.
Accept either condensed structural formulas or molecular formulas.
Any two correct conditions for second mark:
high temperature/heat;
Accept any temperature value/range greater than 100 °C.
(high) pressure;
(finely divided catalyst) Zn / Cu / Ni / Pt / Pd;
Accept room temperature only if Pt or Pd is given as catalyst.
trans fats have functional/bulky groups/hydrogen atoms on opposite sides of the carbon-carbon double bond;
;
Award mark for structures showing one or two double bonds with trans arrangement correctly shown.
Accept R as long as the trans arrangement is clear.
Ignore errors in hydrocarbon chain/position of double bonds so long as trans arrangement is clear.
Examiners report
Option F was one of the less popular options. Identification of the two functional groups in the three antioxidants and why they contain tert- in the prefix to their name was generally done well. Strong candidates were able to provide the correct formula of BHT but many weaker candidates were not and this is a source of concern as it involves skills that should be basic in chemistry. Explanation of how natural and synthetic antioxidants act chemically in the process of auto-oxidation was generally done well. However, the mode of action of \({\text{S}}{{\text{O}}_{\text{2}}}\) as an antioxidant was not as successful as expected. The question on beta-carotene was done well.
Identification of the fatty acid with the highest melting point and the reason why was correctly answered by many but then many also failed to make use of intermolecular forces and therefore did not fully score. Another disappointing result was the equation for the complete hydrogenation of linolenic acid and once again related to difficulties in writing and balancing chemical equations. Many candidates were able to score the second mark by providing two correct conditions. The meaning of the term trans and the associated structure was answered very well.
Many correct answers were given for the meaning of a dispersed system but also many did not make use of subject specific vocabulary or repeated the word dispersed in the answer. The idea of an emulsion and foam was well understood as was the part on the structural features of an emulsifier.
Many candidates identified the chiral carbon atom correctly in the structure given and two different ways in which enantiomers might affect the properties of foods. However, the reason for the difference in optical activity when carvone is synthesized using limonene from natural or chemical source was poorly answered with many not scoring at all.
Option F was one of the less popular options. Identification of the two functional groups in the three antioxidants and why they contain tert- in the prefix to their name was generally done well. Strong candidates were able to provide the correct formula of BHT but many weaker candidates were not and this is a source of concern as it involves skills that should be basic in chemistry. Explanation of how natural and synthetic antioxidants act chemically in the process of auto-oxidation was generally done well. However, the mode of action of \({\text{S}}{{\text{O}}_{\text{2}}}\) as an antioxidant was not as successful as expected. The question on beta-carotene was done well.
Identification of the fatty acid with the highest melting point and the reason why was correctly answered by many but then many also failed to make use of intermolecular forces and therefore did not fully score. Another disappointing result was the equation for the complete hydrogenation of linolenic acid and once again related to difficulties in writing and balancing chemical equations. Many candidates were able to score the second mark by providing two correct conditions. The meaning of the term trans and the associated structure was answered very well.
Many correct answers were given for the meaning of a dispersed system but also many did not make use of subject specific vocabulary or repeated the word dispersed in the answer. The idea of an emulsion and foam was well understood as was the part on the structural features of an emulsifier.
Many candidates identified the chiral carbon atom correctly in the structure given and two different ways in which enantiomers might affect the properties of foods. However, the reason for the difference in optical activity when carvone is synthesized using limonene from natural or chemical source was poorly answered with many not scoring at all.
Option F was one of the less popular options. Identification of the two functional groups in the three antioxidants and why they contain tert- in the prefix to their name was generally done well. Strong candidates were able to provide the correct formula of BHT but many weaker candidates were not and this is a source of concern as it involves skills that should be basic in chemistry. Explanation of how natural and synthetic antioxidants act chemically in the process of auto-oxidation was generally done well. However, the mode of action of \({\text{S}}{{\text{O}}_{\text{2}}}\) as an antioxidant was not as successful as expected. The question on beta-carotene was done well.
Identification of the fatty acid with the highest melting point and the reason why was correctly answered by many but then many also failed to make use of intermolecular forces and therefore did not fully score. Another disappointing result was the equation for the complete hydrogenation of linolenic acid and once again related to difficulties in writing and balancing chemical equations. Many candidates were able to score the second mark by providing two correct conditions. The meaning of the term trans and the associated structure was answered very well.
Many correct answers were given for the meaning of a dispersed system but also many did not make use of subject specific vocabulary or repeated the word dispersed in the answer. The idea of an emulsion and foam was well understood as was the part on the structural features of an emulsifier.
Many candidates identified the chiral carbon atom correctly in the structure given and two different ways in which enantiomers might affect the properties of foods. However, the reason for the difference in optical activity when carvone is synthesized using limonene from natural or chemical source was poorly answered with many not scoring at all.
Option F was one of the less popular options. Identification of the two functional groups in the three antioxidants and why they contain tert- in the prefix to their name was generally done well. Strong candidates were able to provide the correct formula of BHT but many weaker candidates were not and this is a source of concern as it involves skills that should be basic in chemistry. Explanation of how natural and synthetic antioxidants act chemically in the process of auto-oxidation was generally done well. However, the mode of action of \({\text{S}}{{\text{O}}_{\text{2}}}\) as an antioxidant was not as successful as expected. The question on beta-carotene was done well.
Identification of the fatty acid with the highest melting point and the reason why was correctly answered by many but then many also failed to make use of intermolecular forces and therefore did not fully score. Another disappointing result was the equation for the complete hydrogenation of linolenic acid and once again related to difficulties in writing and balancing chemical equations. Many candidates were able to score the second mark by providing two correct conditions. The meaning of the term trans and the associated structure was answered very well.
Many correct answers were given for the meaning of a dispersed system but also many did not make use of subject specific vocabulary or repeated the word dispersed in the answer. The idea of an emulsion and foam was well understood as was the part on the structural features of an emulsifier.
Many candidates identified the chiral carbon atom correctly in the structure given and two different ways in which enantiomers might affect the properties of foods. However, the reason for the difference in optical activity when carvone is synthesized using limonene from natural or chemical source was poorly answered with many not scoring at all.
The structures of the amino acids cysteine, glutamine and lysine are given in section 33 of the data booklet.
An aqueous buffer solution contains both the zwitterion and the anionic forms of alanine. Draw the zwitterion of alanine.
Calculate the pH of a buffer solution which contains 0.700 mol dm–3 of the zwitterion and 0.500 mol dm–3 of the anionic form of alanine.
Alanine pKa = 9.87.
Markscheme
Penalize incorrect bond linkages or missing hydrogens once only in 8 (a) and 8 (c) (i).
[1 mark]
«pH = 9.87 + log\(\left( {\frac{{0.500}}{{0.700}}} \right)\)»
«= 9.87 – 0.146»
= 9.72
pH can be deduced by an alternative method.
[1 mark]
Examiners report
Strawberries have a bright red colour and a distinctive smell.
Ripe strawberries contain the flavylium cation, an anthocyanin. By referring to table 22 of the data booklet, explain why ripe strawberries are red.
Outline the difference in solubility in water between anthocyanins and carotenes, by referring to their structures in table 22 of the data booklet.
Outline another convention used for specifying a molecule’s spatial configuration and its relationship with the (\( + \)) and (\( - \)) notation (previously referred to as \(d\) and \(l\)).
Markscheme
red light/radiation transmitted;
Accept “red light/radiation reflected”.
green light/radiation absorbed / green is complementary colour / complementary colour absorbed;
“Light/radiation” only needs to be mentioned once in either M1 or M2.
Award [1 max] for “red transmitted and green absorbed”.
(as) electrons promoted into higher energy levels;
(in visible region due to extensive) conjugation / alternate single and double (carbon–carbon) bonds / involves delocalization (of \(\pi \) electrons);
anthocyanins are (water) soluble but carotenes are insoluble;
anthocyanins have hydroxyl/OH/polar groups (so are water soluble) / anthocyanins can form hydrogen bonds with water / carotenes have no hydroxyl/OH/polar groups/are non-polar (so not water soluble) / carotenes do not form hydrogen bonds with water / carotenes have long hydrophobic parts / OWTTE;
Accept “alcohol or hydroxy” for hydroxyl but not hydroxide.
D/L used for carbohydrates and amino acids / D/L uses glyceraldehyde as a reference;
Accept Fischer-Rosanoff/Rosanoff (convention) for carbohydrates and amino acids.
Do not accept just “CORN rule used for amino acids”.
no relationship / OWTTE;
Examiners report
The same general comments apply here in part (a) as in Q4 in Option A. In (b), some excellent answers were seen and differences in polarity and solubility were correctly outlined. Many students seemed to have an outline understanding of the CIP convention, though many lacked the language skills to communicate their knowledge succinctly. The ordering of groups by atomic mass rather than atomic number seemed a common misapprehension and many referred incorrectly to molecular mass. In (d), few managed to score both marks. D/L and d/l were often mixed up and few realized that there is actually no relationship between the (\( + \)) and (\( - \)) and D/L conventions.
The same general comments apply here in part (a) as in Q4 in Option A. In (b), some excellent answers were seen and differences in polarity and solubility were correctly outlined. Many students seemed to have an outline understanding of the CIP convention, though many lacked the language skills to communicate their knowledge succinctly. The ordering of groups by atomic mass rather than atomic number seemed a common misapprehension and many referred incorrectly to molecular mass. In (d), few managed to score both marks. D/L and d/l were often mixed up and few realized that there is actually no relationship between the (\( + \)) and (\( - \)) and D/L conventions.
The same general comments apply here in part (a) as in Q4 in Option A. In (b), some excellent answers were seen and differences in polarity and solubility were correctly outlined. Many students seemed to have an outline understanding of the CIP convention, though many lacked the language skills to communicate their knowledge succinctly. The ordering of groups by atomic mass rather than atomic number seemed a common misapprehension and many referred incorrectly to molecular mass. In (d), few managed to score both marks. D/L and d/l were often mixed up and few realized that there is actually no relationship between the (\( + \)) and (\( - \)) and D/L conventions.
The most important components of nucleotides are the nitrogeneous bases, which consist of pyrimidines and purines.
Thymine (T), whose structure is given in Table 21 of the Data Booklet, is a pyrimidine.
Describe how thymine forms part of a nucleotide in deoxyribonucleic acid (DNA).
Adenine, A, whose structure is also given in Table 21 of the Data Booklet, is a purine found in DNA.
Draw the structure of the organic product formed from the condensation reaction of adenine with the sugar D-ribose (whose structure is given below) and identify the other product.

Structure of organic product:
Other product:
(i) Adenine (A), guanine (G), cytosine (C) and thymine (T) result in the double helix structure of DNA. Using the structures of adenine and thymine, draw a diagram to explain how thymine is able to play a role in forming a double helix.
(ii) Compare the bonding between cytosine and guanine with the bonding between adenine and thymine.
Markscheme
thymine (covalently) bonded to deoxyribose/pentose sugar / thymine bonds via a condensation reaction with sugar / N from thymine bonds to C on sugar / thymine joins with pentose sugar;
;
\({{\text{H}}_{\text{2}}}{\text{O}}\)/water;
(i) 
drawing correctly showing two hydrogen bonds;
Do not penalize structural error in bases.
Do not penalize if lone pairs are omitted.
(ii) both have hydrogen bonding;
C and G have three interactions (and A and T have two) / OWTTE;
Do not apply ECF here.
Examiners report
Parts of this question proved very difficult for candidates, in particular part (b) (most got water however) and (c) (i). In Question 7, only a tiny number of candidates were able to draw a correct structure of the nucleoside. Many students knew how many hydrogen bonds were between adenine and thymine but couldn't draw these bonds and often had no idea what hydrogen bonds were. In (d), most candidates suggested forensic and paternity cases as to possible uses of DNA profiling.
Parts of this question proved very difficult for candidates, in particular part (b) (most got water however) and (c) (i). In Question 7, only a tiny number of candidates were able to draw a correct structure of the nucleoside. Many students knew how many hydrogen bonds were between adenine and thymine but couldn't draw these bonds and often had no idea what hydrogen bonds were. In (d), most candidates suggested forensic and paternity cases as to possible uses of DNA profiling.
Parts of this question proved very difficult for candidates, in particular part (b) (most got water however) and (c) (i). In Question 7, only a tiny number of candidates were able to draw a correct structure of the nucleoside. Many students knew how many hydrogen bonds were between adenine and thymine but couldn't draw these bonds and often had no idea what hydrogen bonds were. In (d), most candidates suggested forensic and paternity cases as to possible uses of DNA profiling.
The graph below shows the effect of substrate concentration on the rate of an enzyme-catalysed reaction.

Outline the relationship between enzyme activity and concentration of the substrate.
Explain how competitive inhibition in an enzyme-catalysed reaction takes place.
Sketch, on the graph on page 13, a curve which shows competitive inhibition occurring in this reaction.
Silver ions bond with sulfur atoms in an enzyme and change its tertiary structure and activity. Predict the effect of silver ions on the values of \({V_{{\text{max}}}}\) and \({K_{\text{m}}}\) of this enzyme.
\({V_{{\text{max}}}}\):
Km :
Markscheme
at low concentration, as [S] increases rate increases/is first order
OR
at low concentration more enzyme molecules can combine with substrate molecules as [S] increases;
at high concentration rate reaches a maximum/is zero order/is constant
OR
at high concentration (all) active sites used up/occupied;
Accept “at high concentration enzyme is saturated with substrate/saturation is reached”.
There must be a reference to low concentration to score M1 and to high concentration to score M2.
Award [1 max] for stating “as [S] increases rate increases” if no other mark scored.
Accept “(enzyme) activity” for “rate” throughout.
inhibitors have similar structure to the substrate;
they bind to/occupy/compete for the active sites;
fewer substrate molecules able to react / inhibitors blocks active site;

On the graph look for:
same maximum/\({V_{{\text{max}}}}\);
the curve is less steep (than without inhibition);
Award [1 max] if curve does not go through the origin.
\({V_{max}}\):
decreases;
\({K_m}\):
no change;
Examiners report
Overall this question was well answered. In (a) many did not refer to the areas of low and high concentration in the graph. (b) and (d) were very well answered. In (c), the most common mistake was candidates not drawing the second curve going to the same maximum.
Overall this question was well answered. In (a) many did not refer to the areas of low and high concentration in the graph. (b) and (d) were very well answered. In (c), the most common mistake was candidates not drawing the second curve going to the same maximum.
Overall this question was well answered. In (a) many did not refer to the areas of low and high concentration in the graph. (b) and (d) were very well answered. In (c), the most common mistake was candidates not drawing the second curve going to the same maximum.
Overall this question was well answered. In (a) many did not refer to the areas of low and high concentration in the graph. (b) and (d) were very well answered. In (c), the most common mistake was candidates not drawing the second curve going to the same maximum.
Describe how genetic information is encoded within the double helical structure of DNA.
State the name of the bond between complementary base pairs of DNA.
Explain the bonding between base pairs by drawing the complementary base next to thymine below and by showing the bonds that hold the pairs of bases together. Use the structures given in Table 21 of the Data Booklet.

Markscheme
coded information lies in sequence of bases / OWTTE;
each sequence of three (bases) represents one amino acid/triplet code;
allows for up to 64 permutations/codons;
represents 20 naturally occurring amino acids;
(sequence of 3-base codes) gives amino acid sequence/primary structure of protein;
hydrogen bond;

selecting correct base pair, A/adenine;
A–T with 2 H-bonds connections;
Allow even if the two bonds are in the wrong place.
correct placement of H–bonds;
Examiners report
In (a), encoding is determined by the base sequence and each sequence encodes for one amino acid. Unfortunately many candidates described base pairs and how nucleotides are connected rather than how information is encoded. The mark in (b) was invariably gained but whilst adenine was usually correctly identified in (c) and sometimes that there are two hydrogen bonds involved, the positioning and linking of the hydrogen bonds was less than perfect. This included hydrogen bonding to a carbon atom on the ring rather than to nitrogen. There were no “tricks” here; the structure could be copied directly from the Data Booklet in the correct orientation.
In (a), encoding is determined by the base sequence and each sequence encodes for one amino acid. Unfortunately many candidates described base pairs and how nucleotides are connected rather than how information is encoded. The mark in (b) was invariably gained but whilst adenine was usually correctly identified in (c) and sometimes that there are two hydrogen bonds involved, the positioning and linking of the hydrogen bonds was less than perfect. This included hydrogen bonding to a carbon atom on the ring rather than to nitrogen. There were no “tricks” here; the structure could be copied directly from the Data Booklet in the correct orientation.
In (a), encoding is determined by the base sequence and each sequence encodes for one amino acid. Unfortunately many candidates described base pairs and how nucleotides are connected rather than how information is encoded. The mark in (b) was invariably gained but whilst adenine was usually correctly identified in (c) and sometimes that there are two hydrogen bonds involved, the positioning and linking of the hydrogen bonds was less than perfect. This included hydrogen bonding to a carbon atom on the ring rather than to nitrogen. There were no “tricks” here; the structure could be copied directly from the Data Booklet in the correct orientation.
Describe three characteristics of enzymes.
Markscheme
Award [2] for three correct, [1] for two correct.
enzymes are proteins/polypeptides;
activity depends on 3D/tertiary and quaternary structure;
specificity of action / lock and key/induced fit hypothesis / OWTTE;
catalyses/speeds up rate of reaction/lowers activation energy (of reaction pathway) / are regenerated;
pH dependent;
temperature dependent;
has an active site;
can be inhibited;
Examiners report
This question was generally well done although some candidates need to note that three characteristics are required for the two marks.
Compare the structures and chemical formulas of the two essential fatty acids linoleic acid and linolenic acid.
Markscheme
Similarities:
Award [3 max] for any three similarities of:
both contain 18 carbons/same number of carbons;
both unsaturated/contain C=C/carbon-carbon double bonds;
Do not allow just double bond.
both contain carboxyl/COOH/\({\text{C}}{{\text{O}}_{\text{2}}}{\text{H}}\);
Allow “both carboxylic acids”.
both have first (carbon to carbon) double bond/C=C on C9;
both have cis-configuration of (all) C=C (fragments);
Differences:
Award [1 max] for any one difference of:
linoleic acid (omega-6) contains 2 C=C and linolenic acid (omega-3) contains 3 C=C / linolenic acid has one more C=C;
Allow linolenic acid more unsaturated.
closest C=C on linoleic acid is on sixth carbon from methyl end and closest C=C on linolenic acid is on third carbon from methyl end / OWTTE;
Accept linoleic acid is omega-6/\(\omega \)-6 and linolenic acid is omega-3/\(\omega \)-3.
Award similarity mark M2 automatically as long as either difference mark is scored.
Examiners report
Candidates must remember that they are describing carbon-carbon double bonds; just “double bonds” does not score. Few candidates scored all four marks because some obvious similarities, such as same number of carbons and both contain COOH group were omitted. Some candidates found it helpful to tabulate the answer.
Pepsin is an enzyme, found in the stomach, that speeds up the breakdown of proteins. Iron is used to speed up the production of ammonia in the Haber process.
Describe the characteristics of an enzyme such as pepsin, and compare its catalytic behaviour to an inorganic catalyst such as iron.
Enzymes are affected by inhibitors. Lead ions are a non-competitive inhibitor, they have been linked to impaired mental functioning. Ritonavir® is a drug used to treat HIV and acts as a competitive inhibitor. Compare the action of lead ions and Ritonavir® on enzymes, and how they affect the initial rate of reaction of the enzyme with its substrate and the values of \({K_{\text{m}}}\) and \({V_{{\text{max}}}}\).
Markscheme
characteristics [2 max]
enzymes are proteins;
enzyme activity depends on tertiary and quaternary structure/the nature of the active site;
lock and key/induced fit hypothesis;
comparison [2 max]
enzymes function within a narrow pH range;
enzymes are denatured by high temps/temp above 40 °C and inorganic catalysts can be used at high temps/are less affected by conditions;
enzymes are very specific and inorganic catalysts often catalyse several reactions/non specific;
initial rates reduced;
lead binds to enzyme away from active site and changes shape of active site so substrate no longer fits / OWTTE;
ritonavir is a similar shape to the substrate and so fits inside active site instead of substrate / OWTTE;
lead: \({K_{\text{m}}}\) unchanged and \({V_{{\text{max}}}}\) lower;
ritonavir: \({K_{\text{m}}}\) higher and \({V_{{\text{max}}}}\) the same;
Accept competitive inhibitor for ritonavir and non-competitive inhibitor for lead.
Examiners report
In (a) the answers of many candidates showed that they had not properly read the question, and the comparative descriptions were not done well, candidates seldom including both the enzyme of the iron catalyst in their answers. Very few scored full marks here; the most common omissions were to mention that enzymes were proteins and that they had a tertiary and quaternary structure. Several referred to the denaturing and specificity of enzymes without comparing these features with iron and so failed to score marks for these correct statements.
In (b) candidates showed a good understanding of competitive and non-competitive inhibition and how the inhibitors attach to the enzyme. However many neglected to say that initial rates were reduced by both, and many candidates were confused about how \({K_{\text{m}}}\) and \({V_{{\text{max}}}}\) were affected by the two types of inhibition.
Linolenic acid (omega-3 fatty acid) is an essential fatty acid.
Calculate the iodine number for linolenic acid, \({{\text{C}}_{{\text{17}}}}{{\text{H}}_{{\text{29}}}}{\text{COOH (}}{{\text{M}}_{\text{r}}} = 278.48{\text{)}}\). The condensed structural formula of linolenic acid is given in table 22 of the data booklet.
Markscheme
\({{\text{n}}_{{\text{iodine}}}} = {\text{3}}{{\text{n}}_{{\text{linolenic acid}}}}\);
\({\text{iodine number }}\left( { = \frac{{3 \times 100 \times 253.8}}{{278.48}}} \right) = 273{\text{(g)}}\);
Award [2] for final correct answer.
If alternative definition, in terms of moles/C=C bonds is given, award [1 max] for iodine number = 3.
Examiners report
Quite a few candidates were aware of the benefits of linolenic acid, though identifying the number of carbon-carbon double bonds present, and using this to calculate the iodine number, was rather more challenging.
The structures of some natural pigments and three preservatives are given in Table 22 of the Data Booklet.
When the flavylium cation is placed in alkaline solution the structure changes to the quinoidal base. Explain why the colour changes from red to blue.
Markscheme
increased conjugation/delocalization (due to removal of \({{\text{H}}^ + }\) from OH group on benzene ring) / light of lower frequency/longer wavelength absorbed;
Examiners report
Most candidates recognised that there was a change in the extent of conjugation but did not elaborate on whether conjugation had increased or decreased.
Proteins are made of long chains of amino acids.
(i) Pepsin is a protein which functions as an enzyme in human stomachs. Describe the mechanism of the catalytic activity of an enzyme.
(ii) Discuss two differences in the catalytic action of an enzyme such as pepsin and an inorganic catalyst such as nickel metal.
Markscheme
(i) E–S complex forms / substrate attracted to active site of enzyme / substrate held in active site by intermolecular forces;
induced fit / lock and key / OWTTE;
product released (from active site) after reaction;
Award [1 max] for answers giving at least two characteristics of catalysts in general.
(ii) enzyme specific and Ni non-specific/can catalyse many reactions;
enzyme works in narrow temperature range/37–42°C and Ni is effective at high temperatures/wide temperature range;
enzyme is homogeneous and Ni is heterogeneous;
enzyme produces intermediate with reactant and Ni adsorbs reactant molecules onto its surface / Ni weakens bonds in reactants;
enzyme denatured by high pH and Ni is not;
Award [1 max] for any two correct catalytic action characteristics for either the enzyme or nickel.
Do not accept a difference based on reaction rate, such as “enzymes increase reaction rates anywhere from 103 up to 1020, whereas inorganic catalysts increase rates much less”.
Examiners report
Many students misread the first part of the question and gave details of how chromatography is carried out. Those that did read the question often failed to gain full credit either through forgetting to mention that the protein needs heating with the acid, or though failing to mention which bonds were being hydrolyzed. Candidates generally scored quite well on the remaining parts of the question.
A natural pigment found in cranberries can exist in two forms.

Explain, with reference to hybridization, which form is more likely to be coloured.
Markscheme
M as it has more delocalized pi electrons/extensive delocalized pi-bonding system/more conjugated;
M has many (linked) \({\text{s}}{{\text{p}}^{\text{2}}}\) carbon atoms / presence of \({\text{s}}{{\text{p}}^{\text{3}}}\) hybridized carbon in N limits delocalization/conjugation;
M absorbs light of longer wavelengths/shorter frequencies in the visible region;
Examiners report
Option A proved to be very popular. Most candidates were able to state spin as the property of protons that allows them to be detected by MRI but stated molecular spin. The advantage of MRI over X-ray of being able to detect soft tissue was well answered although some did not read the question carefully and stated the reduced health risk which was already mentioned in the question. Part 2 was generally well done by many candidates but with the following concerns: most arrived at the correct molecular mass, but then omitted positive sign on the molecular ion; a significant number drew the correct formula but with some fanciful formulae. Explaining the splitting pattern for the quartet caused the biggest challenge with very few scoring full marks; the H was incorrectly assigned to the OH (with results in no splitting due to rapid proton exchange) rather than the one attached to the C atom and the relative heights of the peaks (1:3:3:1) was not identified by almost all candidates.
Identification of infrared ranges was generally done correctly, but occasionally the wrong value was given in the similarities. The suggestion as to why HPLC is used for the detection of drug in urine sample was not done well with few scoring full marks; the understanding that the substance is non-volatile or decomposes at high temperatures was rarely identified. Also, identification of features that allow molecules to absorb UV radiation was not answered well. The question on atomic Absorption spectroscopy was answered with mixed results – some failed to specify that it must be an aluminium lamp and the idea of absorption of radiation (at Z) was missed by many. Most graphs were correctly drawn; however, some did not connect the line to the origin which was the first point in the data table; others blundered at reading off the graph. A significant number of candidates were able to use arguments related to delocalization and absorption in the visible range. However, hybridization was not often identified or used usually correctly.
Vision is dependent on retinol (vitamin A) present in retina cells. Retinol is oxidized to the photosensitive chemical 11-cis-retinal and isomerizes to 11-trans-retinal on absorption of light.
Outline how the formation of 11-trans-retinal results in the generation of nerve signals to the brain.
Markscheme
11-trans retinal no longer fits into the rhodopsin/protein
OR
11-trans retinal is ejected from the rhodopsin/protein
leads to conformational change in rhodopsin/protein «to opsin generating signals»
[2 marks]
Examiners report
State two differences in composition and one difference in structure between RNA and DNA.
Markscheme
ribose in RNA and deoxyribose in DNA;
uracil in RNA and thymine in DNA;
RNA single-stranded and DNA double-stranded/double helix;
Accept suitable drawings/diagrams.
Examiners report
Hemoglobin contains an iron ion that can bind to oxygen as part of the process of respiration.
Hemoglobin’s oxygen dissociation curve is shown at a given temperature. Sketch the curve on the graph at a higher temperature.

Outline two differences between normal hemoglobin and foetal hemoglobin.
Markscheme
curve below original curve «showing lower affinity for oxygen» beginning at 0
Award mark if end of student curve does not finish at same location as original curve.
[1 mark]
Any two of:
foetal hemoglobin has higher affinity for oxygen «than normal hemoglobin»
foetal hemoglobin is less sensitive to inhibitors/2,3-bisphosphoglycerate/2,3-BPG/DPG «than normal hemoglobin»
foetal hemoglobin contains two gamma units instead of the two beta units found in adult hemoglobin
[2 marks]
Examiners report
Amino acids, shown in section 33 of the data booklet, can be combined to form polypeptides and proteins.
(i) Serine is a chiral amino acid. Draw both enantiomers of serine.
(ii) State the enantiomeric form of serine found in proteins.
Markscheme
(i)
Accept un-ionized or zwitterionic forms.
Accept any other correct representation which clearly indicates 3-dimensional structure at chiral centre.
Accept Fischer projections with the chiral carbon atom represented by crossing lines or shown as C.
(ii)
L
Examiners report
Biological pigments include a variety of chemical structures with diverse functions.
The graph shows the conversion of hemoglobin to oxyhemoglobin.
Hb(aq) + 4O2(g) \( \rightleftharpoons \) Hb(O2)4(aq)
The partial pressure of oxygen gas, p(O2) is proportional to its concentration.

Explain the shape of the curve at low oxygen partial pressure up to about 5 kPa.
Sketch a graph on the axes above to show the effect of decreasing pH on the binding of oxygen to hemoglobin (the Bohr Effect).
Outline the effect of decreasing pH on the oxygen saturation of hemoglobin.
Markscheme
binding of O2 «to one active site» affects shape of Hb/other active sites
OR
binding of one O2 «molecule» affects binding of other O2 «molecules»
increasing affinity of Hb to O2
OR
enhanced binding of «further» O2 «molecules»
OR
cooperative binding
[2 marks]
sketching right shift of curve on graph
[1 mark]
decreases «oxygen saturation»
Accept “hemoglobin binds to O2 with less affinity".
[1 mark]
Examiners report
Anthocyanins are pigments that give colour to many flowers and fruits. The red colour of ripe strawberries is mainly due to the anthocyanin pigment whose structure is shown below.
Outline why this molecule absorbs visible light.
With reference to its chemical structure, outline whether this pigment is found in aqueous solution in the cells or in the lipid-based membranes.
A student investigated the ability of anthocyanins to act as pH indicators. He extracted juice from blackberries and used a UV-vis spectrophotometer to produce absorption spectra at different pH values. His results are shown below.
Deduce the colour of the juice at each pH, giving your reasoning. Use section 17 of the data booklet.
Markscheme
«extensive» conjugation «of double bonds»/delocalization «of electrons»
OR
«many» alternating single/C–C AND double/multiple/C=C bonds
in aqueous solution AND hydroxyl/OH/ionic/oxonium/O+ «groups»
Accept “polar/hydroxy” for “hydroxyl”.
Do not accept “OH- /hydroxide/ oxygen”.
pH 2: «absorption peak 520 nm» red AND pH 11: «absorption peak 620 nm» blue
complementary/opposite colour observed «to wavelength absorbed»
OR
pH 2: «absorption peak 520 nm» green absorbed AND pH 11: «absorption peak 620 nm» orange absorbed
Award [1 max] if colour absorbed and colour observed are correct for either at pH 2 or pH 11.
Examiners report
Glucokinase and hexokinase are both enzymes that catalyse the conversion of glucose to glucose-6-phosphate. The enzymes differ, however, in their affinity for the substrate, as shown in the graph below.
(i) Estimate the Km values of the two enzymes.
(ii) Suggest, with a reason, which enzyme will be more responsive to changes in the concentration of glucose in the blood.
(i) Outline what is meant by product inhibition as it applies to hexokinase.
(ii) Product inhibition of hexokinase does not affect its Km value. Using this information, deduce the type of binding site that the inhibitor attaches to.
Markscheme
i
Km hexokinase: approx. 1.7 «mmol dm–3»
AND
Km glucokinase: approx. 8.5 «mmol dm–3»
Accept answers in the range 1.0-2.0 for hexokinase and 7.0-9.0 for glucokinase.
ii
glucokinase as it is not saturated «with substrate at normal concentration of blood glucose»
OR
glucokinase as its saturation increases with increased glucose concentration in the blood
Accept “at the normal levels of blood glucose concentration, relative velocity of glucokinase still dependent on concentration of glucose”
i
glucose-6-phosphate lowers enzyme activity/acts as enzyme inhibitor
ii
«inhibitor binds at» allosteric site
Accept “outside/away from active site”.
Examiners report
Analysis of amino acid and protein concentration is a key area of biological research.
The titration curve of aqueous glycine zwitterions with aqueous sodium hydroxide is shown from pH 6.0 to 13.0. Refer to section 33 of the data booklet.
Deduce the pH range in which glycine is an effective buffer in basic solution.
Enzymes are biological catalysts.
The data shows the effect of substrate concentration, [S], on the rate, v, of an enzyme-catalysed reaction.
Determine the value of the Michaelis constant (Km) from the data. A graph is not required.
Outline the action of a non-competitive inhibitor on the enzyme-catalysed reaction.
The sequence of nitrogenous bases in DNA determines hereditary characteristics.
Calculate the mole percentages of cytosine, guanine and thymine in a double helical DNA structure if it contains 17% adenine by mole.
Markscheme
«pH range» 8.6–10.6
Accept any value between 8.2 and 11.0.
[1 mark]
«Km =» 0.67 «mmol dm–3»
Do not penalize if a graph is drawn to determine the value.
[1 mark]
does not compete for active site
OR
binds to allosteric site/away from «enzyme» active site
OR
alters shape of enzyme
reduces rate/Vmax
[2 marks]
«% cytosine + % guanine = 100% – 17% – 17% = 66%»
Cytosine: 33 «%» AND Guanine: 33 «%»
Thymine: 17 «%»
[2 marks]
Examiners report
The graph of the rate of an enzyme-catalyzed reaction is shown below.

Determine the value of the Michaelis constant, Km, including units, from the graph.
Sketch a second graph on the same axes to show how the reaction rate varies when a competitive inhibitor is present.
Outline the significance of the value of Km.
Markscheme
«Km = [substrate] at \(\frac{1}{2}\) Vmax»
4.2 x 10–3
mol dm–3
Accept answers in the range of 3.5 x 10–3 to 5.0 x 10–3 mol dm–3.
M2 can be scored independently.
[2 marks]
graph to right of curve AND finish at same Vmax
Do not penalize if curve does not finish exactly at same Vmax as long as it is close to it (since drawn curve does not
flatten out completely at Vmax = 0.50).
[1 mark]
Km is inverse measure of affinity of enzyme for a substrate / Km is inversely proportional to enzyme activity
OR
high value of Km indicates higher substrate concentration needed for enzyme saturation
OR
low value of Km means reaction is fast at low substrate concentration
Idea of inverse relationship must be conveyed.
Accept “high value of Km indicates low affinity of enzyme for substrate/less stable ES complex/lower enzyme activity”.
Accept “low value of Km indicates high affinity of enzyme for substrate/stable ES complex/greater enzyme activity”.
[1 mark]
Examiners report
Spinach is an excellent source of vitamins A and C.
Identify one structural characteristic in vitamins A and D which makes them more similar to each other than they are to vitamin C using section 35 of the data booklet.
The pigments from spinach were separated using chromatography. Identify Z by calculating its Rf value and using the data table.
Rf:
Z:
Markscheme
A and D have one/few polar/hydroxyl/OH groups «but C has many of those»
OR
A and D have hydrocarbon/six-membered «carbon» rings «but C has heterocyclic/five-membered ring»
OR
A and D have long hydrocarbon chains/consist of mainly non-polar components
Accept other valid similarities or differences.
Accept “hydroxy/alcohol” but not “hydroxide” for “hydroxyl”.
0.47 AND chlorophyll b
Accept any Rf value in the range 0.44–0.50.
Examiners report
The stability of DNA is due to interactions of its hydrophilic and hydrophobic components.
Outline the interactions of the phosphate groups in DNA with water and with surrounding proteins (histones).
Markscheme
Water:
hydrogen/H-bonds
OR
ion–dipole interactions
Proteins:
ionic bonds/interactions
OR
hydrogen/H-bonds
OR
ion–dipole interactions
Ignore “London/dispersion/vdW/dipole–dipole interactions” stated for water and/or proteins.
Examiners report
Enzymes play an important role in the functioning of our bodies.
The graph below shows a Michaelis–Menten plot for an enzyme. Sketch and label two curves on the graph below to show the effect of adding a competitive and non-competitive inhibitor.
Enzyme solutions are prepared in buffers. Determine the pH of a buffer solution containing 2.60×10−3moldm−3 ethanoic acid and 3.70×10−3moldm−3 sodium ethanoate. Refer to sections 1 and 21 of the data booklet.
Markscheme
graph showing competitive inhibitor eventually reaching Vmax
graph showing non competitive inhibitor not reaching Vmax
Curves must be labelled and should not cross given curve.
Penalize one mark if one or both sketched curve(s) cross the given curve.
Award [1 max] if curves are not labelled competitive or non-competitive OR are labelled the wrong way round.
\(\log \frac{{\left( {3.70 \times {{10}^{ - 3}}} \right)}}{{\left( {2.60 \times {{10}^{ - 3}}} \right)}} = 0.153\)
«pH=4.76+0.153=»4.91
Award [2] for correct final answer.
Accept other method of calculation.
Examiners report
An enzyme catalyses the conversion of succinate to fumarate ions in a cell, as part of the process of respiration.
The rate of the reaction was monitored and the following graph was plotted.
Determine the value of the Michaelis constant, Km, by annotating the graph.
The malonate ion acts as an inhibitor for the enzyme.
Suggest, on the molecular level, how the malonate ion is able to inhibit the enzyme.
Draw a curve on the graph above showing the effect of the presence of the malonate ion inhibitor on the rate of reaction.
Markscheme
Km labelled on x-axis as the [succinate ion] at ½Vmax
OR
horizontal line at ½Vmax AND vertical line down to x-axis
«Km =» 6.5 x 10–3 «mol dm–3»
Annotation of graph required for M1.
Accept any specific value in the range 6.0 x 10–3 to 7.5 x 10–3 «mol dm–3».
similar shape/size/structure «as succinate ion/substrate»
competes for the active site «with the succinate ion/substrate»
Accept “competitive inhibitor” for M2.
Award [1 max] if non-competitive inhibition is correctly described.
same Vmax reached at higher [substrate]