SL Paper 3
Glucose, C6H12O6, is a monosaccharide that our body can use as a source of energy.
Deduce the equation for the cellular respiration of glucose.
Calculate the energy, in kJ, produced from 15.0g of glucose if its enthalpy of combustion is −2803kJmol−1.
Glucose is the basic building block of starch which can be used to make bioplastics. Outline two advantages and two disadvantages of biodegradable plastics.
Two advantages:
Two disadvantages:
Bioplastics are broken down by enzyme catalysed reactions. Sketch a graph illustrating how the rate of this reaction varies with pH.
Explain the solubility of vitamins A and C using section 35 of the data booklet.
Vitamins are micronutrients essential for good health.
Compare the solubilities of vitamins A and C in water by referring to the structures provided in Table 21 of the Data Booklet.
Describe the effect of deficiency of one of these vitamins and suggest two possible solutions.
A potato chip (crisp) was ignited and the flame was used to heat a test tube containing water.

(i) Calculate the heat required, in kJ, to raise the temperature of the water, using data in the table above and from Table 2 of the Data Booklet.
(ii) Determine the enthalpy of combustion of the potato chip, in \({\text{kJ}}\,{{\text{g}}^{ - 1}}\).
This energy comes mainly from the combustion of triglycerides. State the name of one other type of lipid found in the body and one role, other than energy storage, of this type of lipid.
Name:
Role:
Explain why lipids have a higher energy content than carbohydrates.
Lipids provide energy and are an important part of a balanced diet.
Identify the type of chemical reaction that occurs between fatty acids and glycerol to form lipids and the by-product of the reaction.
Arachidonic acid is a polyunsaturated omega-6 fatty acid found in peanut oil.
Determine the number of carbon–carbon double bonds present if the iodine number for the compound is 334. (Arachidonic acid Mr = 304.5)
Deduce the structure of the lipid formed by the reaction between lauric acid and glycerol (propane-1,2,3-triol) using section 34 of the data booklet.
Outline one impact food labelling has had on the consumption of foods containing different types of lipids.
Determine, to the correct number of significant figures, the energy produced by the respiration of 29.9 g of C5H10O5.
ΔHc (C5H10O5) = 205.9 kJ mol−1
Explain why lipids provide more energy than carbohydrates and proteins.
Polymers of α-glucose include the disaccharide maltose and the polysaccharide amylose, a type of starch. The cyclic structure of α-glucose is shown in section 34 of the data booklet.
State the specific type of linkage formed between α-glucose fragments in both maltose and amylose.
A person with diabetes suffering very low blood sugar (hypoglycaemia) may be advised to consume glucose immediately and then eat a small amount of starchy food such as a sandwich. Explain this advice in terms of the properties of glucose and starch.
Anthocyanins are naturally occurring pigments responsible for the colour of blueberries and cranberries. The structures of two forms of anthocyanins are shown in Table 22 of the Data Booklet.
Using the abbreviations QB for quinoidal base and \({\text{F}}{{\text{C}}^ + }\) for flavylium cation, state an equation to describe how pH affects the colour of anthocyanins.
Suggest why blueberries should not be stored in aluminium cans.
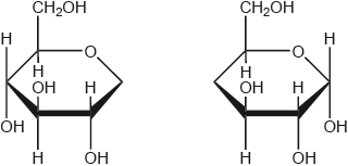
The straight chain form of glucose is represented below.

Fructose is an isomer of glucose, but they differ with regard to one functional group and hence in their redox properties.
Glucose is mainly present in one of two cyclic forms: \(\alpha \)-glucose and \(\beta \)-glucose. Distinguish between the two cyclic forms by completing the diagrams below.
(i) Identify the functional group present in glucose, but not fructose.
(ii) Identify the functional group present in fructose, but not glucose.
(iii) Identify the sugar that acts as a reducing agent.
Outline how the structure of cellulose is related to that of glucose.
A mixture of the amino acids serine (Ser), glutamic acid (Glu) and lysine (Lys) was separated using electrophoresis and a buffer of pH 5.7. A drop containing the mixture was placed in the centre of the paper and a potential difference was applied. The amino acids were developed and the following results were obtained.

Describe how the amino acid spots may have been developed.
Predict which amino acid is present at spot C. Explain your answer.
The amino acid at spot B is at its isoelectric point. Describe one characteristic of an amino acid at its isoelectric point.
Explain, using equations, how the amino acid glycine (Gly) can act as a buffer
Artificial food colourants have recently been linked to increased hyperactivity in children. Many foods are colourful because of the natural pigments they contain.
Explain why naturally-occurring pigments are coloured.
State the class of pigments that give carrots and tomatoes their colour.
Outline why this class of pigment is susceptible to oxidation, and the effect of oxidation on this pigment.
Rancidity is the perception of flavours in lipids that our senses perceive as off because of a disagreeable smell, taste, texture or appearance. The processes that create the off-flavours may be hydrolytic rancidity or oxidative rancidity in lipids.
Predict the products of hydrolytic rancidity of fats.
The hydrolysis of milk products is used in the making of cheese. State two conditions which increase the rate of hydrolysis of fats in milk.
Many lipids are found in the human body. One type of lipid is a triglyceride.
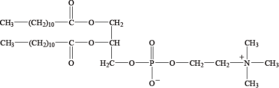
Steroids and phospholipids are both classes of lipid found in the body. Cholesterol is a steroid. A structure of lecithin, a phospholipid, is shown below.

The formulas of some fatty acids are shown in Table 22 of the Data Booklet. State the equation for the reaction between glycerol and stearic acid to form a triglyceride.
Compare the structures of the two fatty acids: linoleic and linolenic acids.
State why these two fatty acids are so important in the human diet.
Distinguish between HDL and LDL cholesterol.
Compare the composition of cholesterol with a phospholipid such as lecithin.
Determine whether cholesterol or lecithin is more soluble in water.
Saturated lipids found in butter and unsaturated lipids found in fish oil readily become rancid.
Identify the type of rancidity occurring in saturated lipids and the structural feature that causes it.
State one factor that increases the rate at which saturated lipids become rancid.
Butter contains varying proportions of oleic, myristic, palmitic and stearic acids. Explain in terms of their structures why stearic acid has a higher melting point than oleic acid, using section 34 of the data booklet.
Fish oil is an excellent dietary source of omega-3 fatty acids. Outline one impact on health of consuming omega-3 fatty acids.
Predict the solubility of retinol (vitamin A) in body fat, giving a reason. Use section 35 of the data booklet.
Explain why sharks and swordfish sometimes contain high concentrations of mercury and polychlorinated biphenyls (PCBs).
Plastics are another source of marine pollution. Outline one way in which plastics can be made more biodegradable.
Vitamins can be water-soluble or fat-soluble.
Explain, at the molecular level, why vitamin D is soluble in fats. Use section 35 of the data booklet.
State one function of vitamin D in the body.
Consider the following lipid and carbohydrate.
In order to determine the number of carbon-carbon double bonds in a molecule of linoleic acid, 1.24 g of the lipid were dissolved in 10.0 cm3 of non-polar solvent.
The solution was titrated with a 0.300 mol dm–3 solution of iodine, I2.
Determine the empirical formula of linoleic acid.
The empirical formula of fructose is CH2O. Suggest why linoleic acid releases more energy per gram than fructose.
State the type of reaction occurring during the titration.
Calculate the volume of iodine solution used to reach the end-point.
Outline the importance of linoleic acid for human health.
Green Chemistry reduces the production of hazardous materials and chemical waste.
Outline two specific examples or technological processes of how Green Chemistry has accomplished this environmental impact.
Food shelf life is the time it takes for a particular foodstuff to become unsuitable for eating because it no longer meets customer or regulatory expectations. As a result, in many parts of the world, packaged foods have a date before which they should be consumed.
Rancidity in lipids occurs by hydrolytic and oxidative processes.
State the meaning of the term rancidity as it applies to fats.
Compare the two rancidity processes.
Hydrolytic process:
Oxidative process:
Amino acids are the building blocks of proteins.
Draw the dipeptide represented by the formula Ala-Gly using section 33 of the data booklet.
Deduce the number of 1H NMR signals produced by the zwitterion form of alanine.
Outline why amino acids have high melting points.
(a) Define the term genetically modified (GM) food.
(b) Discuss the benefits and concerns of using GM foods.
Insulin was the first protein to be sequenced. It was determined that the end of one chain had the primary structure Phe–Val–Asn–Gln.
Paper chromatography can be used to identify the amino acids in insulin.
Draw the structural formula of a dipeptide containing the residues of valine, Val, and asparagine, Asn, using section 33 of the data booklet.
Deduce the strongest intermolecular forces that would occur between the following amino acid residues in a protein chain.
State the name of the process used to break down the insulin protein into its constituent amino acids.
Outline how the amino acids may be identified from a paper chromatogram.
Enzyme activity depends on many factors. Explain how pH change causes loss of activity of an enzyme.
Individual 2-amino acids have different structures depending on the pH of the solution they are dissolved in. The structures of serine and cysteine are given in Table 19 of the Data Booklet.
Deduce the structure of serine in
(i) a solution with a pH of 2.
(ii) a solution with a pH of 12.
Deduce the structure of serine at the isoelectric point.
Deduce the structures of the two different dipeptides that can be formed when one molecule of serine reacts with one molecule of cysteine.
Proteins are natural polymers.
(a) List four major functions of proteins in the human body.
(b) Deduce the structures of two different tripeptides that can be formed when all three amino acids given below react together.

(c) Deduce the number of tripeptides that could be formed by using all three of the above amino acids to form a tripeptide.
(d) State the type of bonding that is responsible for the primary and secondary structures of proteins.
Primary:
Secondary:
(e) Describe and explain the tertiary structure of proteins. Include in your answer all the bonds and interactions responsible for the tertiary structure.
Linoleic acid is an essential fatty acid whose formula is given in Table 22 of the Data Booklet. Determine the mass of iodine, I2, which reacts with 100 g of linoleic acid.
Fats, such as butter, are solid triglycerides. Explain why fats have a higher energy value than carbohydrates.
The formula of stearic acid is also given in Table 22 of the Data Booklet. Explain why linoleic acid has a lower melting point compared to stearic acid.
Proteins are vital components of living systems.
State the general formula of 2-amino acids.
State two characteristic properties of 2-amino acids.
Using Table 19 of the Data Booklet, deduce the structural formula of two dipeptides that could be formed by the reaction of alanine with serine and state the other product of the reaction.
Other product of the reaction:
Explain the difference between the primary and secondary structure of proteins.
State the predominant interaction responsible for the secondary structure.
Explain how a sample of a protein can be analysed by electrophoresis.
Proteins are macromolecules formed from 2-amino acids. Once a protein has been hydrolysed, chromatography and electrophoresis can be used to identify the amino acids present.
State the name of the linkage that is broken during the hydrolysis of a protein and draw its structure.
Explain how electrophoresis is used to analyse a protein.
Low-density lipoproteins (LDL) can cause cholesterol to line the walls of the arteries and lead to cardiovascular disease. High-density lipoproteins (HDL) are smaller than low-density lipoproteins.
The formulas of linoleic acid and linolenic acid are given in Table 22 of the Data Booklet. Many vegetable oils are advertised as being a good source of omega-6 fatty acids whereas green leaves are a good source of omega-3 fatty acids.
(i) Identify the major source of low-density lipoproteins.
(ii) State the importance of high-density lipoproteins.
Compare the chemical structures of linoleic acid, an omega-6 fatty acid, and linolenic acid, an omega-3 fatty acid.
Explain why raw meat changes colour from purplish-red to brown on standing.
Many food items contain genetically modified ingredients.
Explain what is meant by the term genetically modified food.
Describe two advantages and one concern about the use of genetically modified food.
Determine the number of double bonds in linoleic acid, \({{\text{C}}_{{\text{18}}}}{{\text{H}}_{{\text{32}}}}{{\text{O}}_{\text{2}}}\), and linolenic acid, \({{\text{C}}_{{\text{18}}}}{{\text{H}}_{{\text{30}}}}{{\text{O}}_{\text{2}}}\), and suggest which fatty acid will have a higher iodine number.
Explain why it is important to include the fatty acids linoleic and linolenic acid in a balanced diet.
The partial equation for the enzyme-catalysed hydrolysis of a triglyceride is shown below. Draw the structural formulas of the products A and B.

A:
B:
Deduce whether the fatty acid obtained in part (c) will have a higher or lower melting point compared to oleic acid, \({\text{C}}{{\text{H}}_{\text{3}}}{{\text{(C}}{{\text{H}}_{\text{2}}}{\text{)}}_{\text{7}}}{\text{CH=CH(C}}{{\text{H}}_{\text{2}}}{{\text{)}}_{\text{7}}}{\text{COOH}}\). Outline your reason.
Cholesterol belongs to a class of substances named lipids.
Identify the characteristic structural feature of cholesterol.
Identify two other types of lipids found in the human body.
State what the terms HDL and LDL represent.
Compare the structures of linoleic acid and linolenic acid.
Fats and vegetable oils are triesters of glycerol with fatty acids. Many of these acids contain 18 carbon atoms. The table shows the relative percentages of various \({{\text{C}}_{{\text{18}}}}\) fatty acid chains in four common fats and oils.

Deduce which fat or oil from the table could best be described as:
saturated
mono-unsaturated
poly-unsaturated.
Hydrogenation can result in the formation of trans fatty acids. Outline the meaning of the term trans fatty acids and explain why their formation is undesirable.
Most foods are complex mixtures and many components of them are nutrients.
Identify the types of nutrients A, B and C.
A 
B 
C 
State the names of two types of nutrient other than those shown in part (b).
Petroleum (mineral oil) can be used either as a fuel or a chemical feedstock.
Name two fuels that are obtained from petroleum.
Describe one environmental problem that can result from the combustion of these fuels in the internal combustion engine and identify the specific combustion product responsible.
Plastic litter is an environmental problem that results from the use of petroleum as a chemical feedstock. Identify the property of plastics that is responsible for this.
One product that is made from crude oil is the chemical feedstock that can be used to synthesize commercial liquid-crystal displays. Discuss the properties that a substance must have to make it suitable for use as a liquid-crystal display.
Foods derived from genetically modified organisms were introduced in the early 1990s. State one benefit and one concern of consuming genetically modified foods.
Benefit:
Concern:
Starch and cellulose are polysaccharides found in many plants.
Compare the structures of starch and cellulose.
Proteins are formed during condensation reactions of 2-amino acids.
Using Table 19 of the Data Booklet, deduce the structural formulas of the two dipeptides formed by the reaction of leucine (Leu) with valine (Val).
Dipeptide 1:
Dipeptide 2:
State the other substance formed during this reaction.
Explain how amino acids can be analysed using electrophoresis.
List two functions of proteins in the body.
Naturally occurring pigments give many foods their distinctive colours.
Chlorophyll is a pigment found in green vegetables.
A student decided to investigate the effect of sodium hydrogencarbonate, \({\text{NaHC}}{{\text{O}}_{\text{3}}}\), and vinegar on the colour of cooked green peas. Her results are shown below:

List two factors which may affect the colour stability of a pigment.
State how the sodium hydrogencarbonate maintains the green colour of the peas.
The structure of chlorophyll is shown in Table 22 of the Data Booklet. Describe what happens to the structure of chlorophyll when the peas are heated in water containing vinegar.
Stearic acid, oleic acid and linolenic acid are all fatty acids that contain 18 carbon atoms. Their structures are given in Table 22 of the Data Booklet.
Partial hydrogenation of linolenic acid may lead to a product known as a trans fatty acid.
Explain which acid has the highest melting point.
Discuss two potential problems or health concerns associated with trans fatty acids.
Fats and oils have some similarities and some differences in their chemical structures.
State two major differences in their structures.
Describe how an oil can be converted into a fat.
Discuss two advantages and two disadvantages of converting oils into fats.
Suggest, in terms of its structure, why vitamin D is fat-soluble using section 35 of the data booklet.
Simple sugars are nutrients and are also described as monosaccharides.
State three characteristic features of all monosaccharide molecules.
The structures of retinol (vitamin A) and vitamin D are given in Table 21 of the Data Booklet. Deduce whether each vitamin is water-soluble or fat-soluble and explain your answer by referring to their structures.
Starch and cellulose are polysaccharides found in plants.
Compare the structural features of starch and cellulose.
Humans can digest starch but cannot digest cellulose. Explain why humans cannot digest cellulose.
Lactose is a disaccharide formed by the condensation reaction of the monosaccharides galactose and glucose.
Describe what is meant by a condensation reaction.
Draw the structure of galactose on the skeleton provided.
Explain how the inclusion of carbohydrates in plastics makes them biodegradable.
Triglycerides are one of three types of lipid found in the human body. The following equation represents the formation of a triglyceride.
X + 3RCOOH \( \rightleftharpoons \) triglyceride + 3Y
Identify the compounds X and Y.
X:
Y:
Draw the structural formula of a triglyceride formed from one molecule each of octanoic acid, lauric acid and stearic acid. The formulas of the acids are shown in Table 22 of the Data Booklet.
Explain whether the triglyceride in part (b) is a solid or a liquid at room temperature.
Identify the type of reaction that occurs during the formation of a triglyceride.
Explain why fats have a higher energy value per mole than carbohydrates.
Foods such as pasta are rich in carbohydrates.
Monosaccharides are a type of carbohydrate.
State why a professional cyclist would eat pasta before a race.
(i) Fructose, a monosaccharide, is found in honey. Draw the straight-chain structure of fructose.
(ii) Draw the five-membered ring structure of \(\beta \)-fructose.
Most foods contain nutrients.
Triglycerides are formed by the reaction of propane-1,2,3-triol (glycerol) with fatty acids.

(i) State the name of the functional group circled in the triglyceride.
(ii) Identify the other product of the reaction.
(i) State the difference in structure between the fatty acids found in an oil and those in a fat.
(ii) Comment on the relative stability of oils and fats and state the names of two possible types of degradation reaction.
Fats are complex molecules derived from fatty acids and glycerol. They are an important part of our diet and have many functions in the body including energy storage.
Identify the main functional group present in
(i) all fats.
(ii) all fatty acids.
Food chemistry and nutritional science are two important scientific fields to which the general public relate.
State two named functional groups present in each of the following molecules found in two different food products (honey and sardines). Identify each molecule as a protein, a carbohydrate or a fatty acid.

Butter is an example of a saturated fat and olive oil is an example of an unsaturated fat. Describe the main structural difference between these two types of fat.
Linoleic acid, whose structure is given in Table 22 of the Data Booklet, is present in peanut oil. The oil can be converted to a semi-solid using hydrogen gas. Predict the structural formula of the compound formed from the partial hydrogenation reaction of linoleic acid, and state a suitable catalyst for this reaction.
Structural formula:
Catalyst:
Partial hydrogenation can sometimes produce trans fats. Suggest why trans fats are considered unhealthy.
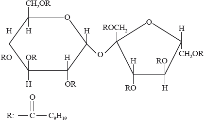
Olestra, with one of its structures shown below, has been used to prepare snacks such as crisps (potato chips). Deduce the type of compound that can undergo an esterification reaction involving carboxylic acid to produce olestra.

Olestra
Papain is a globular protein which is present in papaya fruit. Part of the sequence of its polypeptide chain is Gly–Cys–Val–Gly.
In the analysis of proteins, mixtures of amino acids with different isoelectric points can be separated using electrophoresis.
Proteins such as papain are formed by the condensation reactions of 2-amino acids.
By referring to Table 19 of the Data Booklet, draw the structural formulas of the two dipeptides formed by the reaction of glycine with cysteine.
Describe the essential features of electrophoresis.
Arginine, cysteine and glycine undergo electrophoresis at pH 6.0. Deduce which amino acid moves towards the positive electrode (anode).
Describe what is meant by the tertiary structure of proteins.
Identify two interactions which are responsible for this type of structure.
Define the term iodine number.
Diets that are high in omega-3 fatty acids are recommended as healthy for the heart. Eicosapentaenoic acid \(({M_{\text{r}}} = 302)\) is a common omega-3 fatty acid found in fish oils. Calculate the number of carbon-carbon double bonds in one molecule of this acid if 3.02 g of this acid reacts with 12.7 g of \({{\text{I}}_{\text{2}}}{\text{ }}({M_{\text{r}}} = 254)\).
Paper chromatography is a simple method used to separate and identify the components in a mixture. To aid identification, the retention factor, \({R_{\text{f}}}\), of an unknown component can be compared with the \({R_{\text{f}}}\) values of pure samples of the possible components.
State the meaning of the term retention factor.
Explain why the value of the retention factor for the same component can be very different if different solvents (eluents) are used for the mobile phase.
If the components of the mixture are coloured then they can be seen with the naked eye. Describe two different ways in which a chromatogram can be developed if the components are colourless.
The food industry uses food-grade dyes and pigments to increase the appeal of food products.
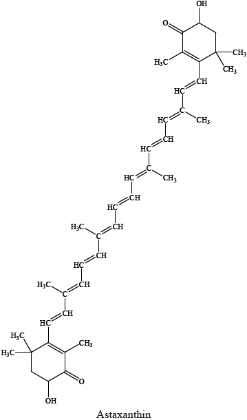
The pigment associated with the olive-green colour of the outer shell of the American lobster is astaxanthin, shown below. When cooked the lobster changes to a red colour.

Identify the class of pigment to which astaxanthin belongs.
Explain why the properties of pigments in the shell of a live lobster can lead to colour variation (for example, from olive-green to orange).
Explain how the colour of astaxanthin changes to red when cooked.
Vitamins are organic micronutrients essential for good health. The structures of vitamins A, C and D are given in Table 21 of the Data Booklet.
Only one of these three vitamins is soluble in water.
Vitamin D is the only vitamin that can be synthesized in the body, by the action of sunlight on the skin.
Identify by name two functional groups that are common to all three of these vitamins.
Identify this vitamin.
Explain why this vitamin is soluble in water.
State one effect of vitamin D deficiency.
Suggest why vitamin D deficiency diseases are becoming increasingly common in young people.
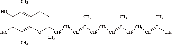
The structure of one form of vitamin E is shown below.

State and explain whether vitamin E is fat soluble or water soluble.
State the causes of the three deficiency diseases, beriberi, goitre and pellagra.
Beriberi:
Goitre:
Pellagra:
Glucose is a monomer of starch.
Explain why two cyclic isomers are formed from the straight-chain glucose and name both isomers.
State the name of the two polymeric forms of starch.
Lipids are an important part of the human diet.
Fatty acids react with glycerol to form fats and oils. State the name of the chemical link formed in this reaction and the name of the other product.
The table below shows average figures for the percentage fatty acid composition of some common fats and oils.
(i) Deduce, with a reason, which fat or oil from the table above has the lowest iodine number.
(ii) Deduce, with a reason, which fat or oil from the table above is most likely to become rancid when exposed to the air.
(iii) The P/S index of a fat or oil is the ratio of polyunsaturated fat to saturated fat present. It is sometimes used to compare the relative health benefits of different lipids in the diet. Calculate the P/S index of beef fat and soybean oil.
(iv) Suggest why a P/S index of greater than 1 is considered beneficial to health.
(v) Cotton seed oil and corn oil have similar iodine numbers but the melting point of cotton seed oil is higher than that of corn oil. Suggest an explanation in terms of the structure and bonding in these two oils.
A healthy diet consists of a range of food groups in the right proportions that provide the energy for the body to function, grow and repair itself.
Examples of straight-chain fatty acids include \({{\text{C}}_{{\text{19}}}}{{\text{H}}_{{\text{39}}}}{\text{COOH}}\), \({{\text{C}}_{{\text{19}}}}{{\text{H}}_{{\text{31}}}}{\text{COOH}}\) and \({{\text{C}}_{{\text{19}}}}{{\text{H}}_{{\text{29}}}}{\text{COOH}}\).
State the empirical formula and structural features of monosaccharides.
Deduce the structural formula of a triester formed from three long-chain carboxylic acid molecules, RCOOH, and one propane-1,2,3-triol molecule, \({\text{HO–C}}{{\text{H}}_{\text{2}}}{\text{CH(OH)–C}}{{\text{H}}_{\text{2}}}{\text{OH}}\). Identify one of the ester linkages in the structure by drawing a rectangle around it.
Deduce the number of C=C bonds present in one molecule of each fatty acid.
\({{\text{C}}_{{\text{19}}}}{{\text{H}}_{{\text{39}}}}{\text{COOH}}\):
\({{\text{C}}_{{\text{19}}}}{{\text{H}}_{{\text{31}}}}{\text{COOH}}\):
\({{\text{C}}_{{\text{19}}}}{{\text{H}}_{{\text{29}}}}{\text{COOH}}\):
The building blocks of human proteins are the 2-amino acids with the general formula H2N–CHR–COOH, where R represents a side-chain specific to each amino acid. A list of these amino acids and their isoelectric points is given in table 19 of the data booklet.
State why they are called 2-amino acids.
Identify the amino acid with the empirical formula C3H7ON2
Deduce the structure of valine in a solution with a pH of 4.0.
Deduce the primary structures of the tripeptides formed by reacting together one molecule of each of the amino acids aspartic acid (Asp), glutamine (Gln) and histidine (His), using three-letter abbreviations to represent the amino acids.
Proteins carry out a number of important functions in the body. State the function of collagen.
Cholesterol is in our diet and is produced in the body. It is used to produce steroid hormones and is important in membrane structures.
Aldosterone is one of the steroid hormones produced in the body from cholesterol.

The structure of cholesterol is shown in table 21 of the data booklet. Compare the structures of cholesterol and aldosterone by naming two functional groups present in both and two functional groups present only in aldosterone.
Foods such as rice, bread and potatoes are rich in carbohydrates. There are three main types of carbohydrate – monosaccharides, disaccharides and polysaccharides.
Glucose, \({{\text{C}}_{\text{6}}}{{\text{H}}_{{\text{12}}}}{{\text{O}}_{\text{6}}}\), is a monosaccharide. When 0.85 g of glucose was completely combusted in a calorimeter, the temperature of 200.10 g of water increased from 20.20 °C to 27.55 °C. Calculate the energy value of glucose in \({\text{J}}\,{{\text{g}}^{ - 1}}\).
(i) Draw the straight chain structure of glucose.
(ii) Draw the structural formula of \(\alpha \)-glucose.
(iii) Distinguish between the structures of \(\alpha \)- and \(\beta \)-glucose.
(iv) Two \(\alpha \)-glucose molecules condense to form the disaccharide maltose. Deduce the structure of maltose.
One of the major functions of carbohydrates in the human body is as an energy source. State one other function of a carbohydrate.
Rancidity limits the shelf life of foods containing oils and fats.
Rancidity can occur as a result of two separate processes. State these processes and explain the difference between them.
The following products result from the hydrolysis of a triglyceride.
\({{\text{C}}_{{\text{19}}}}{{\text{H}}_{{\text{31}}}}{\text{COOH}}\) \({{\text{C}}_{{\text{13}}}}{{\text{H}}_{{\text{27}}}}{\text{COOH}}\) \({{\text{C}}_{{\text{15}}}}{{\text{H}}_{{\text{29}}}}{\text{COOH}}\)
Draw a possible structure for the triglyceride.
State the other reactant and one essential condition that would favour this hydrolysis reaction in the body.
Identify which product is polyunsaturated, and outline why foods containing this type of fatty acid are important for health.
People who live in very cold regions need a diet with a higher ratio of fat to carbohydrate than people who live in warmer climates. Suggest why this is the case.
Myoglobin is a globular protein found in the muscle tissue and is formed from 2-amino acids.
Describe the characteristic properties of 2-amino acids.
State the name of the bond or interaction that is responsible for linking the amino acids together in the primary structure.
State the name of the bond or interaction that is responsible for the secondary structure.
State two of the bonds or interactions responsible for the 3D shape of myoglobin.
Malnutrition can be caused by starvation, dieting or a person eating an excess of highly processed food.
Describe the structural composition of the following nutrients:
fats and oils
monosaccharides.
Liver is a source of arachidonic acid, \({\text{C}}{{\text{H}}_{\text{3}}}{{\text{(C}}{{\text{H}}_{\text{2}}}{\text{)}}_{\text{4}}}{{\text{(CH=CHC}}{{\text{H}}_{\text{2}}}{\text{)}}_{\text{4}}}{{\text{(C}}{{\text{H}}_{\text{2}}}{\text{)}}_{\text{2}}}{\text{COOH}}\), and fish oils are a source of linolenic acid. With reference to the structure of linolenic acid in Table 22 of the Data Booklet, explain why arachidonic acid has a much lower melting point compared to linolenic acid, even though it contains two more carbon atoms.
Give the general structural formula for a fat or oil and describe the difference in structure between a saturated and an unsaturated fatty acid.
Explain why unsaturated fats have a lower melting point than saturated fats.
Oils can be hydrogenated. One possible problem is that partial hydrogenation may occur which produces an oil containing trans fatty acids. Explain the structural difference between a cis fatty acid and a trans fatty acid and state one disadvantage of ingesting oils containing trans fatty acids.
Difference:
Disadvantage:
Unsaturated fats contain C=C double bonds. The amount of unsaturation in a fat or oil can be determined by titrating with iodine solution.
(a) Define the term iodine number.
(b) Linoleic acid (\({M_{\text{r}}} = 281\)) has the following formula.
\({\text{C}}{{\text{H}}_{\text{3}}}{{\text{(C}}{{\text{H}}_{\text{2}}}{\text{)}}_{\text{4}}}{\text{CH=CHC}}{{\text{H}}_{\text{2}}}{\text{CH=CH(C}}{{\text{H}}_{\text{2}}}{{\text{)}}_{\text{7}}}{\text{COOH}}\)
Calculate the volume of \({\text{1.00 mol}}\,{\text{d}}{{\text{m}}^{ - 3}}\) iodine solution required to react exactly with 1.00 g of linoleic acid.
Sugars exist in both straight chain and ring forms.
Biodegradable plastics produced from starch present one solution to the environmental problem created by the use of large quantities of plastics.
Deduce the straight chain structure of ribose from its ring structure drawn in section 34 of the data booklet.
Using the partial structure given, complete the structural formula of the molecule formed from the condensation of two cyclic \(\alpha \)-glucose molecules.

Constructing models that allow visualizations of the stereochemistry of carbohydrates is essential to understand their structural roles in cells.
Describe how Haworth projections help focus on the position of attached groups.
State one advantage of starch based polymers besides being biodegradable.
Biodegradable boxes made from polylactic acid, PLA, disintegrate when exposed to water.
State the formula of the product formed when water reacts with PLA.
Sunflower oil contains stearic, oleic and linoleic fatty acids. The structural formulas of these acids are given in section 34 of the data booklet.
Explain which one of these fatty acids has the highest boiling point.
10.0 g of sunflower oil reacts completely with 123 cm3 of 0.500 mol\(\,\)dm–3 iodine solution. Calculate the iodine number of sunflower oil to the nearest whole number.
The wavelength of visible light lies between 400 and 750 nm. The absorption spectrum of a particular anthocyanin is shown below.

Explain why pigments such as anthocyanins are coloured.
(i) Explain what effect, if any, the absorption at 375 nm will have on the colour of the anthocyanin.
(ii) Explain what effect, if any, the absorption at 530 nm will have on the colour of the anthocyanin.
List two factors which could alter the precise colour of a particular anthocyanin.
Lipids play a significant role in human nutrition and have many important biological functions. The triglycerides are one type of lipid.
Table 22 of the Data Booklet shows the formulas of some fatty acids.
Olive oil contains a triglyceride (glyceryl trioleate) which, on hydrolysis, yields propane-1,2,3-triol (glycerol) and oleic acid.
Deduce the equation for this reaction. You may use the letter R to represent the hydrocarbon chains.
Calculate the iodine number for oleic acid (\({M_{\text{r}}}\) of oleic acid \( = 282.52\)).
Linoleic acid and stearic acid have similar molecular masses. Explain why linoleic acid has a much lower melting point than stearic acid.
Linoleic acid and linolenic acid are classed as essential fatty acids. State the importance of these fatty acids in the human diet.
Many factors affect the shelf life of food products.
Describe the rancidity of fats.
Genetically modified (GM) foods are now widely available, although in some countries environmental groups are campaigning against them. Define the term genetically modified food and discuss the benefits and concerns of using GM foods.
Macronutrients and micronutrients are essential components of a balanced diet.
State the difference between macronutrients and micronutrients.
A balanced diet is needed for good health.
By comparing the structures of vitamins A, C and D given in Table 21 of the Data Booklet, state and explain which of the three vitamins is most soluble in water.
In recent years, the use of soybean oil by the food industry has increased. A significant proportion of this oil is produced from genetically modified soybeans.
Discuss two benefits and two concerns of using genetically modified foods.
Benefits:
Concerns:
Proteins are polymers of 2-amino acids. The structures of the common amino acids are given in Table 19 of the Data Booklet. This question refers to the two amino acids alanine and cysteine.
With reference to the isoelectric points of alanine and cysteine:
State the structural formula of cysteine as a zwitterion.
identify a pH value where both amino acids would be positively charged.
describe with a reason what pH value would be suitable to use in an electrophoresis experiment designed to separate these two amino acids in solution.
Cysteine is responsible for a specific type of intra-molecular bonding within a protein molecule. State the name of this type of interaction and outline how it is different from other interactions responsible for the tertiary structure.
State three functions of proteins in the body and include a named example for each.

Hormones play an important role in the body.
(a) Outline the function and production of hormones in the body.
(b) In many communities there are people who use steroids appropriately, and others who abuse them. Outline one appropriate use and one abuse of steroids.
The following diagram represents a thin-layer chromatogram of an amino acid.

Calculate the \({R_{\text{f}}}\) of the amino acid.
Describe the chemical composition of a triglyceride.
The following two structures represent isomers of a fatty acid.

State and explain which isomer has the higher melting point.
Monosaccharides and disaccharides are classes of carbohydrates.
Describe the structural features of monosaccharides.
Draw the structures of \(\alpha \)-glucose and \(\beta \)-glucose.
\[\alpha {\text{ - glucose}}\quad \quad \quad \quad \quad \quad \quad \quad \quad \quad \quad \quad \quad \quad \quad \beta {\text{ - glucose}}\]
Two \(\alpha \)-glucose molecules condense to form the disaccharide maltose. Draw the structure of maltose.
The formula of linoleic acid is given in Table 22 of the Data Booklet.
Identify the structural formula of the triglyceride formed when three molecules of linoleic acid react with one molecule of glycerol (propane-1,2,3-triol), \({\text{C}}{{\text{H}}_{\text{2}}}{\text{OHCHOHC}}{{\text{H}}_{\text{2}}}{\text{OH}}\).
State the other product formed during this reaction.
Explain why the triglyceride formed from linoleic acid and glycerol is a liquid and not a solid at room temperature.
Describe how the triglyceride formed from linoleic acid and glycerol could be converted into a saturated fat and give any necessary conditions.
Other than the fact that it is a solid at room temperature, discuss two advantages and two disadvantages of a saturated fat compared to an unsaturated fat or oil.
Advantages:
Disadvantages:
Explain, giving their names, the two types of reaction by which foods may become rancid.
Reaction 1:
Reaction 2:
Lipids are a group of naturally occurring largely non-polar biomolecules. The term iodine number is often used to characterize particular lipids.
(i) Define the term iodine number.
(ii) A sample containing \(1.12 \times {10^{ - 2}}\) mol of fatty acid was found to react with 8.50 g of iodine, \({{\text{I}}_{\text{2}}}\). Calculate the number of carbon-carbon double bonds present in the fatty acid, showing your working.
(i) Draw the structure of glycerol (propane-1,2,3-triol).
(ii) Glycerol can react with three molecules of lauric acid to form a triglyceride.
The structure of lauric acid is given in Table 22 of the Data Booklet. State the name of the functional group of the triglyceride and identify the other product formed.
Name of functional group of triglyceride:
Other product formed:
The hydrolysis of tristearin, whose structure is shown below, can be catalysed by the enzyme lipase.

Successive hydrolysis of tristearin results in the formation of distearin and monostearin.
Deduce the structure of the diglyceride, distearin, and state the name of the other product formed from this reaction.
Structure of diglyceride, distearin:
Name of other product:
Explain why the metabolism of fats produces much more energy per gram than that of carbohydrates.
F and G are two synthetic hormones. The structures of some natural hormones are given in table 21 of the data booklet.

A number of famous athletes have been banned from competition for using hormone F.
Explain, with reference to its structure, why hormone F improves performance.
Olive oil is a complex mixture of triglycerides, some of which are derived from oleic acid.
State the name of the compound which combines with fatty acids to form triglycerides.
Discuss two effects on health of consuming trans fatty acids such as elaidic acid.
There are several types of lipids in the human body. One of these types, triglycerides, might be made of fatty acids with different degrees of saturation.
State one example of each of the following types of fatty acids (refer to Table 22 of the Data Booklet if necessary).
Saturated:
Mono-unsaturated:
Poly-unsaturated:
Describe, by completing the equation below, the condensation of glycerol and the three fatty acids named in (a) to make a triglyceride.

(i) State the names of two other types of lipids present in the human body.
(ii) Compare their composition with that of triglycerides.
The principles of chromatography can be demonstrated using paper chromatography to analyse the ink of a pen, using propanone as the mobile phase.
(a) State how you could tell whether the ink was a single substance or a mixture of components.
(b) Explain how paper chromatography separates the components.
(c) The \({R_{\text{f}}}\) value of the components of the ink could be measured. Define the term \({R_{\text{f}}}\).
(d) State one factor that would alter the \({R_{\text{f}}}\) value of a particular component.
(a) Describe the differences in the structure between the saturated fatty acid \({{\text{C}}_{{\text{16}}}}{{\text{H}}_{{\text{32}}}}{{\text{O}}_{\text{2}}}\) and the unsaturated fatty acid \({{\text{C}}_{{\text{16}}}}{{\text{H}}_{{\text{26}}}}{{\text{O}}_{\text{2}}}\).
(b) Describe how \({{\text{C}}_{{\text{16}}}}{{\text{H}}_{{\text{26}}}}{{\text{O}}_{\text{2}}}\) can be converted to \({{\text{C}}_{{\text{16}}}}{{\text{H}}_{{\text{32}}}}{{\text{O}}_{\text{2}}}\).
(c) Fatty acids are components of fats and oils.
(i) Describe one advantage of the products formed by hydrogenating fats and oils.
(ii) Describe one disadvantage of the products formed by hydrogenating fats and oils.
Paper chromatography may be used to separate a mixture of sugars.
(a) State the stationary phase and an example of a mobile phase used in paper chromatography.
Stationary phase:
Mobile phase:
(b) The identity of two sugars in a mixture can be determined by measuring their \({R_{\text{f}}}\) values, after staining.
(i) Describe how an \({R_{\text{f}}}\) value can be calculated.
(ii) Calculate the \({R_{\text{f}}}\) value for sugar 2 in the chromatogram below.

(c) Explain how the \({R_{\text{f}}}\) value of sugar 2 could be used to identify it.
Thin-layer chromatography (TLC) is an example of adsorption chromatography.
A mixture of two organic compounds was separated by TLC using a non-polar solvent.

(i) Calculate the \({R_{\text{f}}}\) values of A and B.

(ii) Outline why compound B has travelled the greater distance.
A sample is known to contain three different amino acids. After carrying out paper chromatography using a solvent made up of propan-1-ol, water and ammonia, the following chromatogram was obtained once the spots had been developed with ninhydrin.

Calculate the \({R_{\text{f}}}\) values for the two spots.
Spot 1:
Spot 2:
Suggest a reason why only two spots are present.
Suggest how the chromatography experiment with the same sample could be altered in order to obtain three spots.
The two diagrams below show the arrangement of molecules in two different types of polyethene, labelled A and B.

Predict which type of polyethene (A or B) has the strongest intermolecular forces, highest density and greatest flexibility.
(i) Strongest intermolecular forces:
(ii) Highest density:
(iii) Greatest flexibility:
The polymer polyvinyl chloride (PVC), also known as poly(chloroethene), is hard and brittle when pure. Explain, in terms of intermolecular forces, how adding a plasticizer to PVC modifies the properties of the polymer.
Amino acids are usually identified by their common names. Use section 33 of the data booklet.
State the IUPAC name for leucine.
A mixture of amino acids is separated by gel electrophoresis at pH 6.0. The amino acids are then stained with ninhydrin.
(i) On the diagram below draw the relative positions of the following amino acids at the end of the process: Val, Asp, Lys and Thr.
(ii) Suggest why glycine and isoleucine separate slightly at pH 6.5.
Determine the number of different tripeptides that can be made from twenty different amino acids.
The fibrous protein keratin has a secondary structure with a helical arrangement.
(i) State the type of interaction responsible for holding the protein in this arrangement.
(ii) Identify the functional groups responsible for these interactions.
Proteins are made of long chains of amino acids.
Explain how individual amino acids can be obtained from proteins for chromatographic separation.
A mixture of amino acids was spotted onto chromatography paper and eluted with a solvent mixture. The following spots were seen after the paper had been developed with ninhydrin.

Determine the \({R_{\text{f}}}\) value of the amino acid marked as X.
One protein found in the human body is collagen. Identify its function.
Linolenic acid (omega-3 fatty acid) is an essential fatty acid.
List two benefits of linolenic acid to humans.
Calculate the iodine number for linolenic acid, C17H29COOH \(({M_{\text{r}}} = 278.48)\).
The condensed structural formula of linolenic acid is given in table 22 of the data booklet.
Lipids are a diverse group of compounds found in the body.
Cholesterol is one of the most important steroids. It plays an essential role in metabolism and is the starting point for the synthesis of many important chemicals in the body.
Compare the structures and polarities of fats and phospholipids, giving one similarity and one difference in structure and one difference in polarity.
Similarity in structure:
Difference in structure:
Difference in polarity:
Vitamin D is produced from cholesterol. The structures of both molecules are given in table 21 of the data booklet. Outline one structural difference between the molecules.
Distinguish between HDL and LDL cholesterol in terms of their composition and their effect on health.
Composition:
One effect on health:
Draw the structure of a 2-amino acid.
(i) Using Table 19 of the Data Booklet, draw the structure of the two dipeptides formed by the reaction of glycine with valine.
(ii) State the other product of the reaction in (i).
Explain how a given protein can be broken down into its constituent amino acids and how these can be identified by electrophoresis.
Although people may consume a large amount of food, they may still not consume sufficient nutrients.
Describe one similarity and one difference between the structure of a saturated and an unsaturated fat.
Similarity:
Difference:
A chemical reaction occurs when a phospholipid is heated with excess sodium hydroxide.
Glycerol is one product of the reaction. Identify the two other organic products.
Identify the type of reaction which occurs.
Lipids and carbohydrates contain the same elements but have different properties.
List the building blocks of triglycerides and carbohydrates.
The drain pipe of a kitchen sink can become clogged by fatty acids, such as linoleic acid, C18H32O2, but not by the trisaccharide, raffinose, C18H32O16, containing the same number of carbon atoms.
Explain why raffinose is far more water soluble than linoleic acid.
Solid fat triglycerides can also clog kitchen sink drains.
Explain how sodium hydroxide unblocks the drain.
The amount of proteins, fats and carbohydrates determine the energy content of foods.
Explain why linoleic acid, C18H32O2, is a more efficient energy storage molecule than raffinose, C18H32O16.
Peptidase enzyme in the digestive system hydrolyses peptide bonds.
A tripeptide Ala-Asp-Lys was hydrolysed and electrophoresis of the mixture of the amino acids was carried out at a pH of 6.0. Refer to section 33 of the data booklet.
Identify the type of metabolic process that occurs in the hydrolysis of the peptide during digestion.
Identify the name of the amino acid that does not move under the influence of the applied voltage.
Deduce, giving a reason, which amino acid will develop closest to the negative electrode.
The breakdown of a dipeptide in the presence of peptidase was investigated between 18 °C and 43 °C. The results are shown below.
Comment on the rate of reaction at temperature X in terms of the enzyme’s active site.
The solubility of a vitamin depends on its structure.
Identify the vitamin given in section 35 of the data booklet that is the most soluble in water.
Pollution from heavy metal ions has become a health concern.
Outline how the presence of heavy metal ions decreases the action of enzymes.
Outline how lead ions could be removed from an individual suffering from lead poisoning.
The structures of the amino acids cysteine, glutamine and lysine are given in section 33 of the data booklet.
Deduce the structural formula of the dipeptide Cys-Lys.
Identify the type of bond between two cysteine residues in the tertiary structure of a protein.
Deduce the structural formula of the predominant form of cysteine at pH 1.0.
A mixture of the three amino acids, cysteine, glutamine and lysine, was placed in the centre of a square plate covered in polyacrylamide gel. The gel was saturated with a buffer solution of pH 6.0. Electrodes were connected to opposite sides of the gel and a potential difference was applied.
Sketch lines on the diagram to show the relative positions of the three amino acids after electrophoresis.

Dehydroepiandrosterone (DHEA) is a substance banned under the World Anti-Doping Code.
Steroid abuse has certain health hazards, some general, some specific to males and some specific to females. Identify one health hazard in each category.
General Hazard:
Male Hazard:
Female Hazard:
(i) State the name of the functional group circled in the DHEA molecule shown below.
(ii) Identify the characteristic of this structure that classifies it as a steroid.
The production of banned steroids has ethical implications. Suggest a reason why steroid research might be supported.
Amino acids, shown in section 33 of the data booklet, can be combined to form polypeptides and proteins.
Deduce the structures of the most abundant form of glycine in three buffer solutions at pH 1.0, 6.0 and 11.0.
A tripeptide, X, containing leucine (Leu), lysine (Lys) and glutamic acid (Glu) is hydrolysed and separated by gel electrophoresis in a buffer solution with a pH of 6.0.
(i) Predict the result of the electrophoresis by labeling the three spots below with the names of the amino acids.
(ii) Deduce the number of tripeptides that could be formed by using the three amino acids of tripeptide X.
Carbohydrates are energy-rich molecules which can be synthesized in some plant cells from inorganic compounds.
State the raw materials and source of energy used in the process described above.
The structures of two molecules, X and Y, are shown below.
(i) Justify why both these molecules are carbohydrates.
(ii) Distinguish between these molecules in terms of their functional groups.
Amylose is an unbranched polysaccharide composed of repeating units of glucose.
(i) Draw the structure of the repeating unit of amylose. Use section 34 of the data booklet.
(ii) Amylose is a major component of starch. Corn starch can be used to make replacements for plastics derived from oil, especially for packaging. Discuss one potential advantage and one disadvantage of this use of starch.
Monosaccharides can combine to form disaccharides and polysaccharides.
Identify the functional groups which are present in only one structure of glucose.
Sucrose is a disaccharide formed from \(\alpha \)-glucose and β-fructose.
Deduce the structural formula of sucrose.
Starch is a constituent of many plastics. Suggest one reason for including starch in plastics.
Suggest one of the challenges scientists face when scaling up the synthesis of a new compound.