HL Paper 3
Heavy metal ions are an important environmental concern.
State the name of one method, other than precipitation, of removing heavy metal ions from solution in water.
The solubility product, Ksp , of cadmium sulfide, CdS, is 8.0 × 10–27. Determine the concentration of cadmium ions in 1.0 dm3 of a saturated solution of cadmium sulfide to which 0.10 mol of solid sodium sulfide has been added, stating any assumption you make.
Markscheme
adsorption
OR
chelation
OR
ion exchange
Accept other valid methods such as “phytoremediation” OR “Fenton reaction” OR “electrolysis”.
Calculation:
Ksp = [Cd2+] x [S2–] ✔
[Cd2+] = 8.0 x 10–26 «mol dm–3» ✔
Assumption:
volume of solution remains 1.0 dm3
OR
concentration of sulfide ions in original solution is negligible
OR
hydrolysis of sulfide ions is negligible
Award [2] for correct numerical answer of [Cd2+] for M1 and M2.
Accept “0.10 + x ∼ 0.10 «mol dm–3»”.
Examiners report
Metal ions may cause unwanted environmental effects.
The presence of iron(III) ions can catalyse the formation of hydroxyl radicals from O2− and H2O2 in the Haber–Weiss reaction. State the equations for this process.
Zinc ions, toxic to aquatic life, may be removed by adding a solution containing hydroxide ions. Determine the concentration of zinc ions in a saturated solution of zinc hydroxide at 298K using information from section 32 of the data booklet.
Markscheme
Fe3+ +•O2- →Fe2+ +O2
Fe2+ +H2O2 →Fe3+ +•OH+OH-
Award [1] for the net equation H2O2 + • O2– → HO•+OH– +O2.
Accept the hydroxyl and superoxide radicals represented without the radical symbols as long as there is consistent use of the radical symbol.
Ksp=[Zn2+][OH-]2
OR
[OH-] = 2[Zn2+]
\(\ll {\rm{[Z}}{{\rm{n}}^{\rm{2}}}{\rm{] = }}\sqrt[3]{{7.5 \times {{10}^{ - 18}}}}{\rm{ = }}\gg {\rm{2.0}} \times {\rm{1}}{{\rm{0}}^{ - {\rm{6}}}}\ll {\rm{mold}}{{\rm{m}}^{ - {\rm{3}}}}\gg \)
Award [2] for correct final answer.
Award [1 max] for 5.5×10–9 OR 6.0×10–9«moldm–3».
Examiners report
Aluminium is produced by the electrolysis of a molten electrolyte containing bauxite.
The graph of the resistance of aluminium with temperature is shown below.

The diagram illustrates the crystal structure of aluminium metal with the unit cell indicated. Outline the significance of the unit cell.

When X-rays of wavelength 0.154 nm are directed at a crystal of aluminium, the first order diffraction pattern is observed at 18°. Determine the separation of layers of aluminium atoms in the crystal, in m, using section 1 of the data booklet.
Deduce what the shape of the graph indicates about aluminium.
Outline why the resistance of aluminium increases above 1.2 K.
The concentration of aluminium in drinking water can be reduced by precipitating aluminium hydroxide. Calculate the maximum concentration of aluminium ions in water of pH 7 at 298 K. Solubility product of aluminium hydroxide = 3.3 × 10−34 at 298 K.
Markscheme
the smallest repeating unit «from which the crystal structure can be derived»
Accept “building block that the structure is made from”.
[1 mark]
«nλ = 2d sin θ»
1 × 1.54 × 10–10 = 2 × d × sin 18
d «\(\frac{{1.54 \times {{10}^{ - 10}}{\text{ m}}}}{{2 \times 0.309}}\)» = 2.49 × 10–10 «m»
Award [2] for correct final answer.
[2 marks]
type 1
superconductor
[2 marks]
collisions between electrons and «lattice of metal» ions become more frequent
OR
thermal oscillations/vibrations disrupt the Cooper electron pairs
[1 mark]
Ksp = [Al3+][OH–]3 «= 3.3 × 10–34»
[Al3] = «\(\frac{{3.3 \times {{10}^{ - 34}}}}{{{{(1 \times {{10}^{ - 7}})}^3}}} = \)» 3.3 × 10–13 «mol dm–3»
Award [2] for correct final answer.
[2 marks]
Examiners report
Rhodium and palladium are often used together in catalytic converters. Rhodium is a good reduction catalyst whereas palladium is a good oxidation catalyst.
Nickel(II) ions are least soluble at pH 10.5. Calculate the molar solubility of nickel(II) hydroxide at this pH. KspNi(OH)2 = 5.48 × 10–16.
Rhodium is paramagnetic with an electron configuration of [Kr] 5s14d8.
Explain, in terms of electron spin pairing, why paramagnetic substances are attracted to a magnetic field and diamagnetic substances are not.
Rhodium is a type 1 superconductor.
Sketch graphs of resistance against temperature for a conductor and superconductor.

Contrast type 1 and type 2 superconductors by referring to three differences between them.
Markscheme
Ksp= [Ni2+][OH−]2
OR
5.48 x 10−16 = [Ni2+][10−3.5]2
«[Ni2+] =» 5.48 x 10−9 «mol dm−3»
Award [2] for correct final answer.
[2 marks]
paramagnetic materials have unpaired electrons
OR
diamagnetic materials have all electrons «spin-»paired
unpaired electrons align with an external magnetic field
OR
paired electrons are not influenced by magnetic field
Accept “diamagnetic materials have no unpaired electrons" for M1.
[2 marks]

Conductor:
Accept any concave upwards curve or line showing resistance increasing with temperature. There should be a
y-axis intercept. Do not accept x-axis intercept for conductor.
Superconductor:
Sharp transition with vertical line to x-axis. Greater than Tc, accept any concave upwards curve or line showing resistance increasing with temperature.
[2 marks]
Any three of:
type 1 have lower critical temperature/Tc «than type 2»
OR
type 2 can superconduct at higher temperatures «than type 1»
type 1 are «elemental» metals AND type 2 can be alloys/composites/metal oxide ceramics/perovskites
type 1 have sharp transition to superconductivity AND type 2 have more gradual transition
type 1 have all «magnetic» flux expelled to normal state AND type 2 have partial penetration of flux in mixed state
type 1 typically work via Cooper pairs AND type 2 may not necessarily use this mechanism
magnetic fields can penetrate type 2 in the mixed state «in a type of Vortex» AND type 1 has no mixed state
type 1 have one critical magnetic field/Bc AND type 2 have two/Bc1 and Bc2
Award [1 max] if three correct pieces of information are given for one type only without contrasting with the other type.
Marks may also be awarded from suitable sketch(es).
Accept “H” for “B”.
[3 marks]
Examiners report
Both HDPE (high density polyethene) and LDPE (low density polyethene) are produced by the polymerization of ethene.
An alternative method of polymerizing molecules is condensation polymerization. One of the earliest condensation polymers was nylon-6. A short section of the polymer chain of nylon-6 is shown below.

Draw the structure of the monomer from which nylon-6 is produced by a condensation reaction.
Deduce, giving a reason, whether the atom economy of a condensation polymerization, such as this, would be greater or less than an addition polymerization, such as the formation of HDPE.
Markscheme

–NH2 AND –COOH
six C-atoms
Accept –COCl instead of –COOH.
[2 marks]
less AND a second molecule/product formed
Accept “not all the reactant molecules «in the equation» are converted «to product molecules»”.
[1 mark]
Examiners report
Vanadium forms a body centred cubic (BCC) crystal structure with an edge length of 303 pm, (303 × 10−12 m).
Deduce the number of atoms per unit cell in vanadium.
Calculate the expected first order diffraction pattern angle, in degrees, if x-rays of wavelength 150 pm are directed at a crystal of vanadium. Assume the edge length of the crystal to be the same as separation of layers of vanadium atoms found by x-ray diffraction. Use section 1 of the data booklet.
Calculate the average mass, in g, of a vanadium atom by using sections 2 and 6 of the data booklet.
Determine the volume, in cm3, of a vanadium unit cell.
Determine the density, in g cm−3, of vanadium by using your answers to (a)(i), (a)(iii) and (a)(iv).
Vanadium and other transition metals can interfere with cell metabolism.
State and explain one process, other than by creating free radicals, by which transition metals interfere with cell metabolism.
Vanadium(IV) ions can create free radicals by a Fenton reaction.
Deduce the equation for the reaction of V4+ with hydrogen peroxide.
Markscheme
2
[1 mark]
nλ = 2dsinθ
OR
\(\theta = {\sin ^{ - 1}}\left( {\frac{{n\lambda }}{{2d}}} \right)\)
θ = «\({\sin ^{ - 1}}\left( {\frac{{150}}{{2 \times 303}}} \right) = \)» 14.3 «°»
Award [2] for correct final answer.
[2 marks]
m = «\(\frac{{50.94}}{{6.02 \times {{10}^{23}}}} = \) » 8.46 × 10–23 «g»
[1 mark]
«303 pm = 303 × 10–10 cm»
V = «(303 × 10–10)3 =» 2.78 × 10–23 «cm3 »
[1 mark]
«8.46 × 10–23 g × 2 =» 1.69 × 10–22 «g»
d = «\(\frac{{1.69 \times {{10}^{ - 22}}{\text{ g}}}}{{2.78 \times {{10}^{ - 23}}{\text{ c}}{{\text{m}}^3}}} = \)» 6.08 «g cm–3»
Accept any value in the range 6.07–6.09 «g cm–3».
Award [2] for correct final answer.
[2 marks]
Any one of these alternatives:
ALTERNATIVE 1
disrupt enzyme binding sites
which can inhibit/over-stimulate enzymes
ALTERNATIVE 2
disrupt endocrine system
because they compete for active sites of enzymes/cellular receptors
ALTERNATIVE 3
form complexes/coordination compounds
which can bind to enzymes
ALTERNATIVE 4
act as oxidizing/reducing agents
OR
act as catalysts
which can initiate unwanted reactions
Accept “can undergo oxidation–reduction reactions” for M1 in Alternative 4.
[2 marks]
V4+(aq) + H2O2(aq) → V5+(aq) + OH–(aq) + •OH(aq)
Do not accept • on H.
Accept answer without •
[1 mark]
Examiners report
Low density polyethene (LDPE) and high density polyethene (HDPE) are both addition polymers.
Describe how the monomers of addition polymers and of condensation polymers differ.
Identify the type of intermolecular bonding that is responsible for Kevlar®’s strength.
Markscheme
addition: C=C
AND
condensation: two functional groups needed on each monomer
Accept "alkene/alkenyl" OR "double bond" OR "multiple bond".
hydrogen bonds
Accept “\(\pi - \pi \) stacking/interactions”.
Examiners report
Lanthanum has a hexagonal close packed (hcp) crystal structure. State the coordination number of each lanthanum atom.
Lanthanum becomes superconducting below 5 K. Explain, in terms of Bardeen–Cooper–Schrieffer (BCS) theory, how superconductivity occurs.
Outline why superconductivity only occurs at low temperatures.
Markscheme
twelve/12
[1 mark]
«moving» electron attracts «nearby» positive charges/ions/cations
creates «local» regions of increased positive charge
positive charge/field attracts second electron «with opposite spin»
two electrons form a Cooper pair
«all» Cooper pairs «in sample» interact/form «electron» condensate
«electron» condensate/Cooper pairs move/flow «through sample» freely/without resistance
[3 marks]
reduces the band gap to zero
OR
«at high temperatures» thermal motion disrupts the formation of Cooper pairs
[1 mark]
Examiners report
The development of materials with unique properties is critical to advances in industry.
Explain why Type 2 superconductors are generally more useful than Type 1.
Markscheme
Any two of:
have higher critical temperatures/Tc «than Type 1»
OR
can act at higher temperatures
have higher critical magnetic fields/Bc «than Type 1»
less time needed to cool to operating temperature
less energy required to cool down/maintain low temperature
Do not accept “Type 2 has a gradual transition to a superconducting state but in Type 1 it is a sharp transition”.
[Max 2 Marks]
Examiners report
Kevlar behaves as a lyotropic liquid crystal when dissolved in suitable solvents. Its structure is shown below.

State the properties that a molecule, such as Kevlar, must have in order to enable it to behave as a liquid crystal.
Discuss the additional properties that a substance must have to make it suitable for commercial liquid-crystal displays.
Explain what is meant by the term lyotropic.
Markscheme
long rigid/rod-shaped molecules;
polar molecules / align with same orientation;
chemically stable;
liquid crystal phase over a suitable range of temperatures;
rapid switching speed;
(solution that only displays a liquid crystal state) over a range of/at certain concentrations;
Examiners report
A few students could identify some properties that liquid crystals must have.
Very few students were aware of the additional properties required for commercial application.
The meaning of lyotropic was reasonably well known.
Waste water can contain metal ions such as chromium. Chromium ions can cause damage to the liver and kidneys. Chromium ions can be removed from water by chemical precipitation using hydroxide ions.
Assuming chromium is present as \({\text{C}}{{\text{r}}^{3 + }}\), state an equation for its reaction with hydroxide ions, include state symbols.
State an expression for the solubility product constant, \({K_{{\text{sp}}}}\), for chromium(III) hydroxide.
The solubility product of chromium(III) hydroxide is \(1.00 \times {10^{ - 33}}{\text{ mo}}{{\text{l}}^{\text{4}}}{\text{d}}{{\text{m}}^{ - 12}}\) at 298 K. Calculate the concentration, in \({\text{mol}}\,{\text{d}}{{\text{m}}^{ - 3}}\), of \({\text{C}}{{\text{r}}^{3 + }}\) in the solution, when chromium(III) hydroxide is precipitated.
Markscheme
\({\text{C}}{{\text{r}}^{3 + }}{\text{(aq)}} + {\text{3O}}{{\text{H}}^ - }{\text{(aq)}} \rightleftharpoons {\text{Cr(OH}}{{\text{)}}_3}{\text{(s)}}\)
correct equation;
correct state symbols;
Equilibrium or normal arrows can be used.
\({K_{{\text{sp}}}} = {\text{[C}}{{\text{r}}^{3 + }}{\text{][O}}{{\text{H}}^ - }{{\text{]}}^3}\);
\[1.00 \times {10^{ - 33}} = {\text{[C}}{{\text{r}}^{3 + }}{\text{][O}}{{\text{H}}^ - }{{\text{]}}^{\text{3}}}\] and \({\text{[C}}{{\text{r}}^{3 + }}{\text{]}} = 3 \times {\text{[O}}{{\text{H}}^ - }{\text{]}}\);
\(1.00 \times {10^{ - 33}} = {\text{[C}}{{\text{r}}^{3 + }}{\text{](3[C}}{{\text{r}}^{3 + }}{\text{]}}{{\text{)}}^{\text{3}}} = {\text{ }}27 \times {{\text{[C}}{{\text{r}}^{3 + }}{\text{]}}^{\text{4}}}\)
\({\text{[C}}{{\text{r}}^{3 + }}{\text{]}} = 2.47 \times {10^{ - 9}}{\text{ (mol}}\,{\text{d}}{{\text{m}}^{ - 3}}{\text{)}}\);
Award [2] for correct final answer.
Award [1] for 5.62 \( \times \) 10–9.
Examiners report
Part (a) was generally done well and the majority of candidates scored 1 or 2 marks here. State symbols were sometimes omitted or incorrect, for example \({\text{C}}{{\text{r}}^{3 + }}{\text{(s)}}\) and \({\text{Cr(OH}}{{\text{)}}_{\text{3}}}{\text{(aq)}}\). Some did not know the formula \({\text{Cr(OH}}{{\text{)}}_{\text{3}}}\) and the coefficient of \({\text{O}}{{\text{H}}^ - }\) (3) was sometimes omitted.
In (b) about half the candidates gave the correct expression for \({K_{{\text{sp}}}}\). Some included the solid in the \({K_{{\text{sp}}}}\) expression and quite a few gave the inverted solubility constant expression; there was a lot of confusion with the \({K_{\text{c}}}\) expression.
In (c) only the best candidates did not have major difficulties calculating the solubility product. Most candidates failed to recognize the \({\text{[O}}{{\text{H}}^ - }{\text{]}}\) is three times that of \({\text{C}}{{\text{r}}^{3 + }}\) when calculating the \({\text{C}}{{\text{r}}^{3 + }}\) concentration.
One method of removing heavy metal ions from a solution is by precipitation.
State an ionic equation, including state symbols, for the reaction taking place when an aqueous solution containing chloride ions is added to an aqueous solution containing lead(II) ions.
The solubility product, \({K_{{\text{sp}}}}\), of lead(II) chloride is \(1.7 \times {10^{ - 5}}\) at 298 K. Determine the concentration of lead(II) ions, in \({\text{mol}}\,{\text{d}}{{\text{m}}^{ - 3}}\), when equal volumes of \({\text{1.0 mol}}\,{\text{d}}{{\text{m}}^{ - 3}}\) aqueous potassium chloride and a solution of \({\text{0.50 mol}}\,{\text{d}}{{\text{m}}^{ - 3}}\) lead(II) ions are mixed.
State any assumption used.
Markscheme
\({\text{P}}{{\text{b}}^{2 + }}{\text{(aq)}} + {\text{2C}}{{\text{l}}^ - }{\text{(aq)}} \rightleftharpoons {\text{PbC}}{{\text{l}}_2}{\text{(s)}}\)
correct reactant ions and product;
correct state symbols;
Do not penalize if equilibrium sign is not given.
\({K_{{\text{sp}}}} = {\text{[P}}{{\text{b}}^{2 + }}{\text{(aq)][C}}{{\text{l}}^ - }{\text{(aq)}}{{\text{]}}^2} = {\text{1.7}} \times {\text{1}}{{\text{0}}^{ - 5}}\);
Assumption: \({\text{[PbC}}{{\text{l}}_2}{\text{(s)]}} = {\text{1}}\) / concentration of a solid is a constant (incorporated into \({K_{{\text{sp}}}}\));
\({\text{[C}}{{\text{l}}^ - }{\text{]}} = {\text{2[P}}{{\text{b}}^{2 + }}{\text{]}}/{\text{1.7}} \times {\text{1}}{{\text{0}}^{ - 5}} = {\text{[P}}{{\text{b}}^{2 + }}{\text{][C}}{{\text{l}}^ - }{{\text{]}}^{\text{2}}} = 4{x^3}\);
\({\text{[P}}{{\text{b}}^{2 + }}{\text{(aq)]}} = 1.6 \times {10^{ - 2}}/0.016{\text{ (mol}}\,{\text{d}}{{\text{m}}^{ - 3}}{\text{)}}\);
Ignore state symbols.
Award [3] for correct final numerical answer if assumption is not stated or is incorrect.
Examiners report
The ionic equation for the precipitation of lead(II) chloride in Q19 was well done but there were few correct calculations and the assumption was poorly understood. This question is based on E.12.1.
The ionic equation for the precipitation of lead(II) chloride in Q19 was well done but there were few correct calculations and the assumption was poorly understood. This question is based on E.12.1.
Heavy-metal ions such as \({\text{C}}{{\text{u}}^{2 + }}{\text{(aq)}}\) are often present in waste water sewage. The \({\text{C}}{{\text{u}}^{2 + }}{\text{(aq)}}\) ions can be removed from the sewage by means of chemical precipitation.
State an expression for the solubility product constant, \({K_{{\text{sp}}}}\), for copper(II) hydroxide.
The solubility product of copper(II) hydroxide is \(4.8 \times {10^{ - 20}}\) at a given temperature.
Determine the concentration, in \({\text{mol}}\,{\text{d}}{{\text{m}}^{ - 3}}\), of \({\text{C}}{{\text{u}}^{2 + }}{\text{(aq)}}\) in the solution when copper(II) hydroxide is precipitated.
Markscheme
\({\text{(}}{K_{sp}} = {\text{) [C}}{{\text{u}}^{2 + }}{\text{(aq)][O}}{{\text{H}}^ - }{\text{(aq)}}{{\text{]}}^2}\);
Ignore state symbols.
\(4.8 \times {10^{ - 20}} = 4{x^3}\);
\((x = ){\text{ [C}}{{\text{u}}^{2 + }}{\text{(aq)]}} = 2.3 \times {10^{ - 7}}{\text{ (mol}}\,{\text{d}}{{\text{m}}^{ - 3}}{\text{)}}\);
Award [2] for final correct answer.
If (b) is attempted any solution should be accepted where the product of the concentrations of Cu2+(aq) and OH–(aq) matches the \({K_{sp}}\) value OR if stated that one value unknown, award [2], only if (a) has been answered.
Examiners report
There were two G2 comments on this question stating essentially based on the wording of the stem of the question a precise value of the concentration of copper(II) ions can only be deduced if the concentration of hydroxide ions is in addition known. The comments made are valid. This was discussed at length during standardization and grade award and several scripts were examined to see how candidates handled this question. Nearly every candidate who managed to get the \({K_{{\text{sp}}}}\) expression correct in (a) took this to read as a saturated solution and calculated \({\text{[C}}{{\text{u}}^{2 + }}{\text{(aq)]}} = 2.3 \times {10^{ - 7}}{\text{ mol}}\,{\text{d}}{{\text{m}}^{ - 3}}\), which was the original intention of the MS. However, the MS took into account a number of possibilities here – for example if (b) was attempted any solution was accepted where the product of the concentrations of \({\text{C}}{{\text{u}}^{2 + }}{\text{(aq)}}\) and \({\text{O}}{{\text{H}}^ - }{\text{(aq)}}\) matched the \({K_{{\text{sp}}}}\) value or if it was stated that one value was unknown, as long as candidate got an answer in (a). Hence candidates were not penalized in any way in the marking of this question as all candidates getting a \({K_{{\text{sp}}}}\) expression did actually score in (b) in a way or another. Overall the problem was typically more one of candidates not even getting started on the \({K_{{\text{sp}}}}\) expression in part (a) and all sorts of strange, totally incorrect \({K_{{\text{sp}}}}\) expressions were suggested (e.g. using water instead of hydroxide).
There were two G2 comments on this question stating essentially based on the wording of the stem of the question a precise value of the concentration of copper(II) ions can only be deduced if the concentration of hydroxide ions is in addition known. The comments made are valid. This was discussed at length during standardization and grade award and several scripts were examined to see how candidates handled this question. Nearly every candidate who managed to get the \({K_{{\text{sp}}}}\) expression correct in (a) took this to read as a saturated solution and calculated \({\text{[C}}{{\text{u}}^{2 + }}{\text{(aq)]}} = 2.3 \times {10^{ - 7}}{\text{ mol}}\,{\text{d}}{{\text{m}}^{ - 3}}\), which was the original intention of the MS. However, the MS took into account a number of possibilities here – for example if (b) was attempted any solution was accepted where the product of the concentrations of \({\text{C}}{{\text{u}}^{2 + }}{\text{(aq)}}\) and \({\text{O}}{{\text{H}}^ - }{\text{(aq)}}\) matched the \({K_{{\text{sp}}}}\) value or if it was stated that one value was unknown, as long as candidate got an answer in (a). Hence candidates were not penalized in any way in the marking of this question as all candidates getting a \({K_{{\text{sp}}}}\) expression did actually score in (b) in a way or another. Overall the problem was typically more one of candidates not even getting started on the \({K_{{\text{sp}}}}\) expression in part (a) and all sorts of strange, totally incorrect \({K_{{\text{sp}}}}\) expressions were suggested (e.g. using water instead of hydroxide).
Iron ore can be reduced in a blast furnace.

The properties of a metal can be altered by alloying or heat treatment. Explain why alloying can modify the structure and properties of a metal.
Markscheme
(alloying element(s)) atoms/ions have different size;
Allow suitable diagram.
disrupts regular/repeating (metal) lattice;
difficult for one layer to slide over another / added atoms/ions smaller than metal atoms/ions can fit into the (holes of) metal lattice disrupting bonding;
If “particles” is penalised in M1, allow “particles” in M3.
Do not award mark for different or unique properties of alloys.
Examiners report
Option C was not a popular option.
While many candidates scored the mark in 10 (a), those who did not often failed to provide the correct name for an ore. Although many identified slag, some were able to give the correct equation and others gave equations which were either incorrect or not from raw materials as asked. This question unfortunately shows that chemical equations seem not to be as well covered as expected. The answer to the question on alloys was rather disappointing and weaker than in previous sessions. The lack of subject specific vocabulary was often observed with many candidates providing answers that were clearly not addressing the question. Very few candidates were able to score even one mark on the mechanism by which the carbon chain increases in length during the manufacture of LDPE suggesting that this topic requires further attention. Many candidates were familiar with the catalyst used in the formation of HDPE although some lost the mark due to writing names that differed widely from correct one. Many were able to score at least one mark for the structure of the isotactic form of the polymer but very few drew 3D structures. Many candidates were able to score partial points when explaining why the isotactic form is more suitable for the manufacture of strong fibres but many missed the idea of chains not being able to move past each other easily (hence fibre is strong/rigid).
The part on liquid crystal displays was done with mixed results with many correct answers but still below expectations. Many candidates scored a mark for the explanation of how the addition of a LC to a cell changes what the observer sees usually from establishing the rotation of the plane of polarized light, but far too often replies were shallow with limited use of correct terminology. In the explanation of how the application of an electric filed between electrodes changes what the observer sees, many students were able to score one mark by stating that light is not transmitted but only stronger candidates included in their answers that molecules are aligned or not twisted. The question on the Ni-Cd battery was answered poorly with many candidates not even attempting it or getting the equation completely wrong and not being able to identify insolubility of the products that allows the reaction to be reversed and the cell charged. Description of the addition of small amounts of arsenic to increase the conductivity of silicon was surprising not done well and is a topic that needs closer attention.
Chemical vapour deposition (CVD) produces multi-walled carbon nanotubes (MWCNT) of a more appropriate size for use in liquid crystals than production by arc discharge.
MWCNT are very small in size and can greatly increase switching speeds in a liquid crystal allowing the liquid crystal to change orientation quickly.
Discuss two other properties a substance should have to be suitable for use in liquid crystal displays.
Markscheme
Any two from:
chemically stable AND does not «chemically» degrade over time
stable over range of temperatures AND to avoid «voltage/random shift» fluctuations
polar AND influenced by an electric field
strong intermolecular forces AND allow molecule to align in specific orientations
Award [1 max] for identifying two correct properties without any discussion given or incorrect interpretation of suitability.
Accept “voltage” for “electric field”.
[2 marks]
Examiners report
Distinguish between thermotropic liquid crystals and lyotropic liquid crystals.
Thermotropic:
Lyotropic:
Two substances that can be used in liquid crystals are commonly called PAA (4-azoxydianisole) and 5CB (4-pentyl-\({\text{4'}}\)-cyanobiphenyl).

Discuss on the molecular level three different factors that explain their liquid-crystal properties.
Explain the workings of liquid crystals made up of compounds such as 5CB in liquid-crystal displays.
Markscheme
Thermotropic:
show liquid-crystal behaviour over a range of temperatures/at certain temperatures;
Lyotropic:
show liquid-crystal behaviour over a range of concentrations/at certain concentrations;
polar groups/N–O/C≡N help molecules to line up in a common direction / OWTTE;
biphenyl groups/benzene rings help to make the molecule rigid/rod-shaped/linear / OWTTE;
alkyl/hydrocarbon chains help prevent too close packing/help maintain liquid-crystal state / OWTTE;
each pixel contains a liquid-crystal film sandwiched between two glass plates;
glass plates have fine scratches and can polarize light;
liquid-crystal molecules line up to form a twisted arrangement / twisted nematic geometry;
liquid-crystal interacts with (plane-) polarized light which is rotated 90° as it passes through the film;
when two polarizers are aligned (with the scratches) light will pass through and pixel will appear bright;
when a potential difference is applied across the film molecules align with the film losing their twisted structure;
they no longer interact with polarized light and pixel appears dark;
Apply OWTTE throughout.
Examiners report
In (a), most understood the differences between thermotropic and lyotropic liquid crystals and scored both marks.
Answers to (b) rarely scored full marks. Some clearly knew very little about the relevant molecular features, and many of those who did, failed to link the features with the properties.
Part (c) was sometimes left blank, and few answers scored more than one or two marks. This part tested AS C.11.2, but most answers were vague and rambling and did not come close to matching the markscheme, which was very similar to the teacher’s notes for this assessment statement.
Antimony and its compounds are toxic, so it is important to check that the catalyst is removed from the final product. One technique to detect antimony is Inductively Coupled Plasma Mass Spectroscopy (ICP-MS).
Outline the nature of the plasma state and how it is produced in ICP-MS.
Hydrogen sulfide could be used to remove antimony(III) ions from a solution.
Determine the concentration of antimony(III) ions that would be required to precipitate antimony(III) sulfide in a solution saturated with hydrogen sulfide.
[S2−] in water saturated with hydrogen sulfide = 1.0 × 10−14 mol dm−3
Ksp (Sb2S3) = 1.6 × 10−93
Identify a ligand that could be used to chelate antimony(III) ions in solution.
Markscheme
electrons AND positive ions «in gaseous state»
high frequency/alternating current passed through argon
OR
«oscillating» electromagnetic/magnetic field
OR
high frequency radio waves
Accept “gas” instead of “argon”.
[2 marks]
Ksp = [Sb3+]2 \( \bullet \) [S2−]3
[Sb3+]2 \( \bullet \) (10−14)3 = 1.6 x 10−93
[Sb3+] «\( = \sqrt {1.6 \times {{10}^{ - 51}}} \)» = 4.0 x 10−26 «mol dm−3»
Award [3] for correct final answer.
[3 marks]
EDTA/ethylenediaminetetraacetic aci
OR
H2N–CH2–CH2–HN2/ethane-1,2-diamine
Accept “EDTA4–”.
Accept other chelating agents.
[1 mark]
Examiners report
Polymers can be classified as addition polymers or condensation polymers.
Outline the difference in the way in which polymerization occurs, stating a specific example of a polymer produced by each process.
Polymers can either soften when heated or remain rigid until they decompose or combust. Other than Kevlar, state the names of one polymer that softens and one that does not. Explain this difference on a molecular level.
Softening polymer:
Non-softening polymer:
Explanation:
Markscheme
Addition:
double bond converted to single bond forming new bonds to other monomers / OWTTE;
poly(e)thene / polyprop(yl)ene / PVC / polystyrene / Teflon/PTFE;
Accept suitable diagram.
Condensation:
monomer contains two functional groups;
small molecule/water produced when monomers join together / OWTTE;
polyester/Terylene/Dacron / nylon/polyamide/Kevlar;
Accept suitable diagram.
Softening polymer:
poly(e)thene / polypropylene / PVC / PET / polystyrene / Teflon/PTFE / polyester/Terylene/Dacron / nylon/polyamide;
Non-softening polymer:
phenol-urea/Bakelite / phenol-methanal/formaldehyde/Melamine;
Explanation:
rigid polymers have cross-links between polymer chains / polymers that soften do not have cross-links between polymer chains;
Examiners report
This was the best answered question in the option with many candidates being able to outline polymerization processes and examples of the products, though full marks were rare. The role of cross-linking and examples of polymers displaying this, was however very limited.
This was the best answered question in the option with many candidates being able to outline polymerization processes and examples of the products, though full marks were rare. The role of cross-linking and examples of polymers displaying this, was however very limited.
Raw sewage is the water-carried waste that flows away from a community. If it is discharged untreated into rivers and the sea it causes pollution. Therefore, waste water should be treated before it is discharged.
Phosphate ions are one of the pollutants removed from sewage water by chemical precipitation using calcium ions.
The solubility product, \({K_{{\text{sp}}}}\), of calcium phosphate, \({\text{C}}{{\text{a}}_{\text{3}}}{{\text{(P}}{{\text{O}}_{\text{4}}}{\text{)}}_{\text{2}}}\), is \(1.20 \times {10^{ - 26}}\) at 298 K.
Determine the concentration of phosphate ions, in \({\text{mol}}\,{\text{d}}{{\text{m}}^{ - 3}}\), in a saturated solution of calcium phosphate.
Markscheme
\({K_{{\text{sp}}}} = {{\text{[C}}{{\text{a}}^{2 + }}{\text{]}}^3}{{\text{[PO}}_4^{3 - }{\text{]}}^2}\);
\({\text{[C}}{{\text{a}}^{2 + }}{\text{]}} = \frac{3}{2}{\text{[PO}}_4^{3 - }{\text{]}}\) and \(1.20 \times {10^{ - 26}}{\text{ (mo}}{{\text{l}}^5}\,{\text{d}}{{\text{m}}^{ - 15}}{\text{)}} = {\left[ {\frac{3}{2}{\text{[PO}}_4^{3 - }{\text{]}}} \right]^3}{{\text{[PO}}_4^{3 - }{\text{]}}^2}\);
\({\text{[PO}}_4^{3 - }{\text{]}} = 5.13 \times {10^{ - 6}}{\text{ (mol}}\,{\text{d}}{{\text{m}}^{ - 3}}{\text{)}}\);
OR

\({K_{{\text{sp}}}} = {{\text{[C}}{{\text{a}}^{2 + }}{\text{]}}^3}{{\text{[PO}}_4^{3 - }{\text{]}}^2}\);
\( = {(3x)^3}.{(2x)^2}\)
\( = 27{x^3}.4{x^2}\)
\( = 108{x^5}\)
\(\therefore x = \sqrt[5]{{\frac{{1.20 \times {{10}^{ - 26}}}}{{108}}}}\)
\( = \sqrt[5]{{1.1111 \times {{10}^{ - 28}}}}\)
\(x = 2.565 \times {10^{ - 6}}\);
\(\therefore {\text{[PO}}_4^{3 - }{\text{]}} = 2x\)
\( = 2 \times 2.565 \times {10^{ - 6}}\)
\( = 5.13 \times {10^{ - 6}}{\text{ mol}}\,{\text{d}}{{\text{m}}^{ - 3}}\);
Award [3] for correct final answer.
Examiners report
\({K_{{\text{sp}}}}\) problem proved very difficult and was solved fully by only a few candidates. The first challenge they had was stating the \({K_{{\text{sp}}}}\) equation correctly. Half scored 1 or 2 marks through ECF, but there were enough cases where the calculation was not attempted at all. It seems processes for obtaining fresh water from sea water was not covered or covered superficially by many schools.
Kevlar® is a lyotropic liquid crystal. Explain the strength of Kevlar® and its solubility in concentrated sulfuric acid.
Describe the use of silicon in photovoltaic cells. Include the following in your description:
• why pure silicon is a better conductor than non-metals such as sulfur and phosphorus
• how a p-type semiconductor made from silicon is different from pure silicon
• how sunlight interacts with semiconductors.
Markscheme
strong intermolecular hydrogen bonds between the chains;
intermolecular bonds can be broken (by concentrated sulfuric acid) as O and N atoms
are protonated (breaking the hydrogen bonds) / hydrolysis of amide linkage;
Si has a lower ionization energy (than P or S);
so electrons can flow through the material more easily;
(p-type) has small amount of/is doped with a group 3 element/B/In/Ga;
which produces electron holes/positive holes;
sun/photons cause release of electrons;
electrons move from n-type to p-type material;
Examiners report
In (b) many candidates omitted the location of Hydrogen bonding in Kevlar and frequently vague responses were given for the effect of concentrated \({{\text{H}}_{\text{2}}}{\text{S}}{{\text{O}}_{\text{4}}}\).
In (c) candidates showed a poor understanding of the better conduction of Si compared to S and P, very few answered how a p-type semiconductor worked correctly, but most showed a reasonable understanding of the role of light. The movement of electrons from n to p was also poorly understood.
Propene can polymerize to form polypropene.
Propene monomer: 
Distinguish between the manufacture of polyester and polyethene.
Markscheme
Any one of these alternatives:
ALTERNATIVE 1
Polyester: produced by condensation/esterification polymerization
Polyethene: produced by addition polymerization
ALTERNATIVE 2
Polyester: reaction between monomers/molecules containing two functional groups per molecule
Polyethene: reaction between monomers/molecules containing a carbon–carbon double bond/C=C
ALTERNATIVE 3
polyester polymerization forms a by-product/H2O
polyethene has no by-products/100% atom economy
Accept the names of different catalysts used for each polymerization as an alternative answer.
[2 marks]
Examiners report
Antioxidants can be used to prolong the shelf life of food.
\({{\text{(EDTA)}}^{4 - }}\), the ethylenediaminetetraacetate anion, is a chelate ligand with the following structure.

It has been found to inhibit the \({\text{F}}{{\text{e}}^{2 + }}\) catalysed oxidation of raw beef. Explain why \({{\text{(EDTA)}}^{4 - }}\) can be described as a chelate ligand.
Markscheme
hexadentate/polydentate/crab-claw (type) ligand which coordinates to the metal/iron / OWTTE;
Examiners report
In (d), very few candidates knew why \({{\text{(EDTA)}}^ - }\) can be described as a chelate ligand which again showed a clear weakness of a key chemical concept within this option.
Chlorofluorocarbons, CFCs, deplete the ozone layer.
Chlorine atoms and nitrogen oxides react at the surface of ice particles in the arctic winter.
State the equations that represent the depletion of ozone in the stratosphere which is catalysed by chlorine free radicals.
(i) Deduce the type of catalysis that occurs.
(ii) Outline why the depletion of ozone is greatest during the arctic spring.
Markscheme
\({\text{Cl}} \bullet + {{\text{O}}_{\text{3}}} \to {\text{ClO}} \bullet + {{\text{O}}_{\text{2}}}\);
\({\text{ClO}} \bullet + {\text{O}} \bullet \to {\text{Cl}} \bullet + {{\text{O}}_{\text{2}}}\);
Radical symbols not required for mark.
(i) heterogeneous (catalysis);
(ii) ice particles melt releasing the pollutants;
light breaks the bonds producing radicals / Cl;
Examiners report
The equations for the depletion of ozone were correctly answered by few candidates. Instead of the catalysis being heterogeneous, some incorrectly identified heterolytic or homogeneous or surface catalysis.
Why in spring the depletion was greatest was not very well answered either.
In order to make waste water acceptable for drinking, it is treated in a series of steps to remove hazardous substances.
Tertiary treatment removes phosphates, nitrates and heavy metal ions from water.
The solubility product constant, \({K_{{\text{sp}}}}\), of cadmium(II) sulfide, CdS, is \({\text{8.00}} \times {\text{1}}{{\text{0}}^{ - 28}}\) at 298 K. Determine the concentration of cadmium(II) ions, \({\text{C}}{{\text{d}}^{2 + }}{\text{(aq)}}\), in a saturated solution of cadmium(II) sulfide.
Explain how the addition of hydrogen sulfide gas can decrease the concentration of cadmium(II) ions in a saturated solution.
Markscheme
\({\text{(}}{K_{{\text{sp}}}} = {\text{) [C}}{{\text{d}}^{2 + }}{\text{(aq)][}}{{\text{S}}^{2 - }}{\text{(aq)]}}\);
\({\text{[C}}{{\text{d}}^{2 + }}{\text{(aq)]}} = {\text{2.83}} \times {\text{1}}{{\text{0}}^{ - 14}}{\text{ (mol}}\,{\text{d}}{{\text{m}}^{ - 3}}{\text{)}}\);
Award [2] for correct final answer.
Ignore state symbols.
increase in \(\left[ {{{\text{S}}^{2 - }}{\text{(aq)}}} \right]\);
causes CdS precipitate to form/equilibrium shifts to form more CdS/common ion effect / OWTTE;
Examiners report
The question on the solubility of cadmium was done reasonably well but many erroneously produced hydrogen gas instead of hydrogen ions in their equation and hence lost both marks.
\({K_{{\text{sp}}}}\) was often calculated correctly in b) i) although the arguments around the common ion effect in b) ii) showed a poor understanding.
The question on the solubility of cadmium was done reasonably well but many erroneously produced hydrogen gas instead of hydrogen ions in their equation and hence lost both marks.
\({K_{{\text{sp}}}}\) was often calculated correctly in b) i) although the arguments around the common ion effect in b) ii) showed a poor understanding.
Compounds of heavy metals are one type of toxic substance found in water. Lead(II) ions, \({\text{P}}{{\text{b}}^{2 + }}\), can be removed by bubbling hydrogen sulfide, \({{\text{H}}_{\text{2}}}{\text{S}}\), through polluted water. The solubility product of lead sulfide is \({\text{1.25}} \times {\text{1}}{{\text{0}}^{ - 28}}{\text{ mo}}{{\text{l}}^{\text{2}}}{\text{d}}{{\text{m}}^{ - 6}}\) at 25 °C.
Calculate the concentration of \({\text{P}}{{\text{b}}^{2 + }}\) ions in a saturated solution of lead sulfide.
Explain how the addition of hydrogen sulfide decreases the concentration of \({\text{P}}{{\text{b}}^{2 + }}\) ions in a saturated solution.
Markscheme
\({K_{{\text{sp}}}} = {\text{[P}}{{\text{b}}^{2 + }}{\text{][}}{{\text{S}}^{2 - }}{\text{]}}\);
\({\text{[P}}{{\text{b}}^{2 + }}{\text{]}} = 1.12 \times {10^{ - 14}}{\text{ (mol}}\,{\text{d}}{{\text{m}}^{ - 3}}{\text{)}}\);
Award [2] for final correct answer.
increase in \({\text{[}}{{\text{S}}^{2 - }}{\text{]}}\) (from hydrogen sulfide);
causes PbS to precipitate / shifts equilibrium direction to form PbS;
Allow “common ion effect” as alternative to either of the above.
Examiners report
The better candidates were able to solve the \({K_{sp}}\) problem in (a).
Although the better candidates were able to solve the \({K_{sp}}\) problem in (a), most did not know the subsequent answer to (b).
Polymers, used extensively worldwide, are large molecular mass substances consisting of repeating monomer units.
State the type of mechanism occurring in the manufacture of low-density poly(ethene).
Distinguish between addition and condensation polymers in terms of how the monomers react together.
Describe and explain how the properties of condensation polymers depend on three structural features.
Markscheme
(free) radical (addition);
addition polymerization: unsaturated/containing C=C monomers add together without elimination/ removal of any atoms (to form polymer) / OWTTE;
condensation polymerization: monomers have two reactive sites/are bifunctional and produce a larger molecule with elimination/removal of a smaller molecule / OWTTE;
OR
in addition polymerisation unsaturated / containing C=C monomers undergo addition and in condensation polymerisation the monomer molecules have two reactive sites/ functional groups/ are bifunctional;
in the addition polymerisation reaction there are no by-products while in the condensation polymerisation reaction a small molecule is eliminated/ produced as a by-product;
chain length: greater chain length, greater intermolecular forces, higher strength / melting point;
way groups are arranged/orientated: trans-orientation allows close approach between chains giving it greater strength / cis-orientation produces bent chains, does not allow close approach for strong bonding / OWTTE / Kevlar example explained;
cross-linking: stronger covalent bonds in cross-linking lead to stronger / higher melting point / more rigid polymers (than linear or branched polymer) / OWTTE / amount of cross-linking determines how rigid structure becomes / vulcanized rubber example: sulfur atoms create strong covalent links between chains / in phenol-methanal (Bakelite), benzene ring is bonded to CHin three / several positions (to produce rigid plastic); 2
branching: depending on branching, close packing possible or prevented / amylose has a straight chain structure while amylopectin has straight linkages as well as branches;
Need explanation for mark – no marks for branching related to LDPE and HDPE or isotactic and atactic arrangements as question is about condensation, not addition polymerization.
Examiners report
Many were able to state free radical addition as type of mechanism, but some stated only addition or had no idea although they should have been able to deduce from the information given in part (b) of the question.
Distinguishing between addition and condensation polymerization solicited partial answers: candidates need to appreciate that in addition polymerization, unsaturated molecules (containing C=C bonds) add together without the elimination or removal of any atoms. Condensation polymerization, on the other hand involves bifunctional monomers (monomers with two reactive sites) that produce a larger molecule with the elimination of a smaller molecule (such as water).
How the properties of condensation polymers depend on structural features turned out to be a challenging question in which few candidates scored partial marks.
Liquid-crystal displays are used in digital watches, calculators and laptops.
Kevlar is a condensation polymer that is often used in liquid-crystal displays. A section of the polymer is shown below.

Explain the strength of Kevlar in terms of its structure and bonding.
Explain why a bullet-proof vest made of Kevlar should be stored away from acids.
Markscheme
(Kevlar has) strong hydrogen bonds between chains;
creating a very ordered/strong structure;
acid donates a proton to the O and N atoms;
breaking the hydrogen bonds;
Examiners report
The concept of liquid-crystals was generally understood, but students often failed to obtain full marks because their answers were not detailed enough. In (b) they generally named some properties.
In (c), many candidates did not realize that Kevlar is lyotropic. They generally obtained at least one mark explaining the strength of Kevlar, but could not explain why it should be stored far away from acids.
The concept of liquid-crystals was generally understood, but students often failed to obtain full marks because their answers were not detailed enough. In (b) they generally named some properties.
In (c), many candidates did not realize that Kevlar is lyotropic. They generally obtained at least one mark explaining the strength of Kevlar, but could not explain why it should be stored far away from acids.
Since the accidental discovery of polyethene in the 1930s, polymers have played an essential role in daily life because of their wide range of properties and uses.
Polyurethanes are made from dialcohol (diol) and diisocyanate monomers. By considering the structures of the two monomers and the repeating unit of the polymer given below, suggest why it could be argued that this reaction is not an example of a condensation polymer.

Kevlar is another example of a condensation polymer. Explain how the great strength of Kevlar depends on its structure.
Markscheme
all atoms in the two monomers end up in the polymer / it is an addition reaction;
condensation should involve loss of a (small) molecule / no loss of small molecule in the reaction / OWTTE;
Accept water in place of (small) molecule.
chains have trans orientation / close approach between straight chains / chains have polar (N–H and C=O) groups / amide linkages (which are aligned) / OWTTE;
H-bonding between chains (give it great strength);
Examiners report
Most did not correctly answer why the polymer given was not an example of condensation polymer, namely condensation should involve loss of a small molecule whereas all atoms in the two monomers end up in the polymer (and thus it is an addition polymer).
Hydrogen bonding between chains in Kevlar was well known, but almost none scored the mark for recognizing chains have cis orientation, making close approach possible.
Heavy metal ions are pollutants that can be removed in the tertiary stage of waste water treatment.
A water sample at 25 °C contains lead and sulfate ions in the following concentrations:
\[\begin{array}{*{20}{l}} {[{\text{P}}{{\text{b}}^{2 + }}] = 2.32 \times {{10}^{ - 6}}{\text{ mol}}\,{\text{d}}{{\text{m}}^{ - 3}}} \\ {[{\text{SO}}_4^{2 - }] = 4.15 \times {{10}^{ - 3}}{\text{ mol}}\,{\text{d}}{{\text{m}}^{ - 3}}} \end{array}\]
The solubility product constant, \({K_{{\text{sp}}}}\), of lead sulfate is \(1.80 \times {10^{ - 8}}\) at 25 °C.
State the expression for the solubility product constant, \({K_{{\text{sp}}}}\), of lead sulfate.
Deduce why lead sulfate will not precipitate out of the water sample at these concentrations.
Some magnesium sulfate is added to the water sample. Determine the increase in sulfate ion concentration needed for lead sulfate to precipitate.
Markscheme
\(({K_{{\text{sp}}}} = ){\text{ }}[{\text{P}}{{\text{b}}^{2 + }}][{\text{SO}}_4^{2 - }]\);
\([{\text{P}}{{\text{b}}^{2 + }}][{\text{SO}}_4^{2 - }]/2.32 \times {10^{ - 6}} \times 4.15 \times {10^{ - 3}}/9.63 \times {10^{ - 9}}\) is less than \({K_{{\text{sp}}}}/1.80 \times {10^{ - 8}}\);
\((1.80 \times {10^{ - 8}} = 2.32 \times {10^{ - 6}} \times [{\text{SO}}_4^{2 - }]),{\text{ }}[{\text{SO}}_4^{2 - }] = 7.76 \times {10^{ - 3}}{\text{ (mol}}\,{\text{d}}{{\text{m}}^{ - 3}}{\text{)}}\);
increase in \([{\text{SO}}_4^{2 - }]{\text{ }}( = 7.76 \times {10^{ - 3}} - 4.15 \times {10^{ - 3}}) = 3.61 \times {10^{ - 3}}{\text{ }}({\text{mol}}\,{\text{d}}{{\text{m}}^{ - 3}})\);
Award [2] for correct final answer.
Examiners report
It was very surprising in (a) at the number of candidates who simply could not write a correct \({K_{{\text{sp}}}}\) expression for lead sulfate.
Only the stronger candidates got (b) and subsequently (c) correct.
Only the stronger candidates got (b) and subsequently (c) correct.
Ethene is one of the major products of this process and much of it is converted to polyethene using the Ziegler-Natta process. State the catalysts used and the ways in which the conditions of this process differ from the free-radical polymerization process.
Markscheme
catalyst of \({\text{TiC}}{{\text{l}}_{\text{4}}}{\text{/TiC}}{{\text{l}}_{\text{3}}}\) and \({\text{Al(}}{{\text{C}}_{\text{2}}}{{\text{H}}_{\text{5}}}{{\text{)}}_{\text{3}}}\);
lower temperature and lower pressure;
Accept converse argument – higher temperature and pressure required in freeradical polymerization.
Examiners report
This part was very poorly answered. None of the candidates scored full marks in (a), in some rare cases the mark for catalytic cracking was scored. In (b) also it was rare to see correct answers regarding Ziegler-Natta process.
Chemistry has made a significant contribution to the development of liquid-crystal displays (LCDs).
The diagram below is a representation of an LCD. The planes of polarization of the analyser and the polarizer are at right angles to each other.

State what the observer would see if the liquid crystal was not present and there was no voltage between the electrodes \({{\text{E}}_{\text{1}}}\) and \({{\text{E}}_{\text{2}}}\).
Explain how the addition of a liquid crystal to the cell changes what the observer sees.
Explain how the application of an electric field between the electrodes, \({{\text{E}}_{\text{1}}}\) and \({{\text{E}}_{\text{2}}}\), changes what the observer sees in b (i).
The molecule below has liquid-crystal display properties.

Suggest two reasons why the molecule is suitable for use in liquid-crystal display devices.
Markscheme
nothing / whole area black;
Accept no light transmitted.
the molecules form a twisted arrangement;
liquid crystal rotates the plane of polarization (so light is now transmitted by the analyser);
(with electric field) the molecules are aligned/not twisted;
so light is not transmitted;
rod shape / rigid;
chemically stable (due to hydrocarbon rings and chain);
polar (due to the presence of F) / OWTTE;
can change orientation / rapid switching in electric field/when voltage is applied;
Examiners report
Option C was not a popular option.
While many candidates scored the mark in 10 (a), those who did not often failed to provide the correct name for an ore. Although many identified slag, some were able to give the correct equation and others gave equations which were either incorrect or not from raw materials as asked. This question unfortunately shows that chemical equations seem not to be as well covered as expected. The answer to the question on alloys was rather disappointing and weaker than in previous sessions. The lack of subject specific vocabulary was often observed with many candidates providing answers that were clearly not addressing the question. Very few candidates were able to score even one mark on the mechanism by which the carbon chain increases in length during the manufacture of LDPE suggesting that this topic requires further attention. Many candidates were familiar with the catalyst used in the formation of HDPE although some lost the mark due to writing names that differed widely from correct one. Many were able to score at least one mark for the structure of the isotactic form of the polymer but very few drew 3D structures. Many candidates were able to score partial points when explaining why the isotactic form is more suitable for the manufacture of strong fibres but many missed the idea of chains not being able to move past each other easily (hence fibre is strong/rigid).
The part on liquid crystal displays was done with mixed results with many correct answers but still below expectations. Many candidates scored a mark for the explanation of how the addition of a LC to a cell changes what the observer sees usually from establishing the rotation of the plane of polarized light, but far too often replies were shallow with limited use of correct terminology. In the explanation of how the application of an electric filed between electrodes changes what the observer sees, many students were able to score one mark by stating that light is not transmitted but only stronger candidates included in their answers that molecules are aligned or not twisted. The question on the Ni-Cd battery was answered poorly with many candidates not even attempting it or getting the equation completely wrong and not being able to identify insolubility of the products that allows the reaction to be reversed and the cell charged. Description of the addition of small amounts of arsenic to increase the conductivity of silicon was surprising not done well and is a topic that needs closer attention.
Option C was not a popular option.
While many candidates scored the mark in 10 (a), those who did not often failed to provide the correct name for an ore. Although many identified slag, some were able to give the correct equation and others gave equations which were either incorrect or not from raw materials as asked. This question unfortunately shows that chemical equations seem not to be as well covered as expected. The answer to the question on alloys was rather disappointing and weaker than in previous sessions. The lack of subject specific vocabulary was often observed with many candidates providing answers that were clearly not addressing the question. Very few candidates were able to score even one mark on the mechanism by which the carbon chain increases in length during the manufacture of LDPE suggesting that this topic requires further attention. Many candidates were familiar with the catalyst used in the formation of HDPE although some lost the mark due to writing names that differed widely from correct one. Many were able to score at least one mark for the structure of the isotactic form of the polymer but very few drew 3D structures. Many candidates were able to score partial points when explaining why the isotactic form is more suitable for the manufacture of strong fibres but many missed the idea of chains not being able to move past each other easily (hence fibre is strong/rigid).
The part on liquid crystal displays was done with mixed results with many correct answers but still below expectations. Many candidates scored a mark for the explanation of how the addition of a LC to a cell changes what the observer sees usually from establishing the rotation of the plane of polarized light, but far too often replies were shallow with limited use of correct terminology. In the explanation of how the application of an electric filed between electrodes changes what the observer sees, many students were able to score one mark by stating that light is not transmitted but only stronger candidates included in their answers that molecules are aligned or not twisted. The question on the Ni-Cd battery was answered poorly with many candidates not even attempting it or getting the equation completely wrong and not being able to identify insolubility of the products that allows the reaction to be reversed and the cell charged. Description of the addition of small amounts of arsenic to increase the conductivity of silicon was surprising not done well and is a topic that needs closer attention.
Option C was not a popular option.
While many candidates scored the mark in 10 (a), those who did not often failed to provide the correct name for an ore. Although many identified slag, some were able to give the correct equation and others gave equations which were either incorrect or not from raw materials as asked. This question unfortunately shows that chemical equations seem not to be as well covered as expected. The answer to the question on alloys was rather disappointing and weaker than in previous sessions. The lack of subject specific vocabulary was often observed with many candidates providing answers that were clearly not addressing the question. Very few candidates were able to score even one mark on the mechanism by which the carbon chain increases in length during the manufacture of LDPE suggesting that this topic requires further attention. Many candidates were familiar with the catalyst used in the formation of HDPE although some lost the mark due to writing names that differed widely from correct one. Many were able to score at least one mark for the structure of the isotactic form of the polymer but very few drew 3D structures. Many candidates were able to score partial points when explaining why the isotactic form is more suitable for the manufacture of strong fibres but many missed the idea of chains not being able to move past each other easily (hence fibre is strong/rigid).
The part on liquid crystal displays was done with mixed results with many correct answers but still below expectations. Many candidates scored a mark for the explanation of how the addition of a LC to a cell changes what the observer sees usually from establishing the rotation of the plane of polarized light, but far too often replies were shallow with limited use of correct terminology. In the explanation of how the application of an electric filed between electrodes changes what the observer sees, many students were able to score one mark by stating that light is not transmitted but only stronger candidates included in their answers that molecules are aligned or not twisted. The question on the Ni-Cd battery was answered poorly with many candidates not even attempting it or getting the equation completely wrong and not being able to identify insolubility of the products that allows the reaction to be reversed and the cell charged. Description of the addition of small amounts of arsenic to increase the conductivity of silicon was surprising not done well and is a topic that needs closer attention.
Option C was not a popular option.
While many candidates scored the mark in 10 (a), those who did not often failed to provide the correct name for an ore. Although many identified slag, some were able to give the correct equation and others gave equations which were either incorrect or not from raw materials as asked. This question unfortunately shows that chemical equations seem not to be as well covered as expected. The answer to the question on alloys was rather disappointing and weaker than in previous sessions. The lack of subject specific vocabulary was often observed with many candidates providing answers that were clearly not addressing the question. Very few candidates were able to score even one mark on the mechanism by which the carbon chain increases in length during the manufacture of LDPE suggesting that this topic requires further attention. Many candidates were familiar with the catalyst used in the formation of HDPE although some lost the mark due to writing names that differed widely from correct one. Many were able to score at least one mark for the structure of the isotactic form of the polymer but very few drew 3D structures. Many candidates were able to score partial points when explaining why the isotactic form is more suitable for the manufacture of strong fibres but many missed the idea of chains not being able to move past each other easily (hence fibre is strong/rigid).
The part on liquid crystal displays was done with mixed results with many correct answers but still below expectations. Many candidates scored a mark for the explanation of how the addition of a LC to a cell changes what the observer sees usually from establishing the rotation of the plane of polarized light, but far too often replies were shallow with limited use of correct terminology. In the explanation of how the application of an electric filed between electrodes changes what the observer sees, many students were able to score one mark by stating that light is not transmitted but only stronger candidates included in their answers that molecules are aligned or not twisted. The question on the Ni-Cd battery was answered poorly with many candidates not even attempting it or getting the equation completely wrong and not being able to identify insolubility of the products that allows the reaction to be reversed and the cell charged. Description of the addition of small amounts of arsenic to increase the conductivity of silicon was surprising not done well and is a topic that needs closer attention.
Ethene can be polymerized to form poly(ethene) and, depending on the conditions used, either high-density poly(ethene) (HDPE) or low-density poly(ethene) (LDPE) is formed.
(i) Other than density, state two differences in the physical properties of HDPE and LDPE.
(ii) Outline how the differences in (a)(i) relate to differences in their chemical structure.
State the conditions required to produce HDPE and LDPE and the name of each type of mechanism involved.

Markscheme
(i) Award [1] for any two.
HDPE has higher mp;
HDPE is more rigid / less flexible;
HDPE is stronger;
Accept opposite statements for LDPE.
(ii) HDPE has straight chain and LDPE has branched chain / LDPE has more branched chains;

Examiners report
HDPE and LDPE in Q12 needed two different physical properties and it was important to compare the structures. The conditions of their formation were less well answered than the mechanisms.
HDPE and LDPE in Q12 needed two different physical properties and it was important to compare the structures. The conditions of their formation were less well answered than the mechanisms.
Kevlar can be made by reacting 1,4-diaminobenzene, \({{\text{H}}_{\text{2}}}{\text{N}}{{\text{C}}_{\text{6}}}{{\text{H}}_{\text{4}}}{\text{N}}{{\text{H}}_{\text{2}}}\), with 1,4-benzenedicarbonyl chloride, \({\text{ClOC}}{{\text{C}}_{\text{6}}}{{\text{H}}_{\text{4}}}{\text{COCl}}\). Write the equation for the reaction of n molecules of 1,4-diaminobenzene reacting with n molecules of 1,4-benzenedicarbonyl chloride.
Kevlar is an example of a lyotropic liquid crystal. Outline what is meant by lyotropic liquid crystal.
Markscheme

correct products;
correctly balanced;
liquid crystals:
fluids with properties that depend on the molecular orientation relative to a fixed axis;
lyotropic:
solutions that show the liquid-crystal state at certain concentrations;
Examiners report
Few candidates could give the correct equation to produce Kevlar, though some scored 1 mark for giving the correct products.
The concept of liquid crystals was not understood by many. Very few mentioned that lyotropic is a solution.
\[{\text{n }}{{\text{H}}_2}{\text{N}}{{\text{C}}_6}{{\text{H}}_4}{\text{N}}{{\text{H}}_2} + {\text{n ClOC}}{{\text{C}}_6}{{\text{H}}_4}{\text{COCl}} \to {\rm{H\rlap{-} [HN}}{{\text{C}}_6}{{\text{H}}_4}{\text{NHOC}}{{\text{C}}_6}{{\text{H}}_4}{\text{CO}}{{\rm{\rlap{-} ]}}_{\text{n}}}{\text{Cl}} + {\text{2(n}} - {\text{1)HCl}}\]
The following diagram shows two adjacent molecules in a sample of solid Kevlar.

Kevlar is very unreactive but dissolves in concentrated sulfuric acid.
State the type of polymerization involved.
(i) Identify the strongest type of intermolecular force between the two molecules.
(ii) Annotate the diagram (above) by adding dotted lines to show the strongest intermolecular forces.
Kevlar is five times as strong as steel, partly due to its strong intermolecular forces. State another feature of the molecules which gives Kevlar such great strength.
(i) Suggest how the sulfuric acid is able to separate the Kevlar chains.
(ii) Evaluate the long-term environmental impact of Kevlar.
Markscheme
condensation (polymerization);
(i) hydrogen bonding;
(ii) 
dotted lines showing intermolecular forces;
molecules are straight and inflexible/rod-like;
(i) sulfuric acid protonates N and O atoms in the amide groups / hydrolyses/breaks down amide groups;
which weakens/breaks hydrogen bonds between the chains (allowing it to dissolve);
(ii) non-biodegradable;
so would take up space in landfill;
inefficient combustion could lead to the formation of dioxins/pollutants/toxic compounds;
Examiners report
Option C was one of the least popular options. A surprising number did not know the purpose of the raw materials put into the blast furnace, some thinking scrap iron was a common raw material. There were few correct equations, but many would have been mark-worthy had they been balanced. Very few candidates appreciated the role of limestone or calcium oxide in neutralising the acidic impurities in iron ore, i.e. silica, and could write the equation for the formation of calcium silicate slag. Most candidates knew that reducing the carbon content of iron to form steel makes it less brittle, but a substantially lower proportion gave annealing, while others threw in tempering and quenching for good measure. Annealing continues to be a challenging notion for many students. Sections C2 and C4 of the syllabus account for 3.5 hours of study but candidates often seemed to be guessing whether the processes in question C2 used homogeneous or heterogeneous catalysts. The properties of polymers were generally well known but some of the explanations were a bit thin. The solubility of Kevlar in sulphuric acid was little known but a substantial number of candidates were able to state that it is non-biodegradable, and/or that an inefficient combustion leads to the formation of pollutants. Only stronger candidates identified dioxins as pollutant. The connection with landfills was rarely seen.
Option C was one of the least popular options. A surprising number did not know the purpose of the raw materials put into the blast furnace, some thinking scrap iron was a common raw material. There were few correct equations, but many would have been mark-worthy had they been balanced. Very few candidates appreciated the role of limestone or calcium oxide in neutralising the acidic impurities in iron ore, i.e. silica, and could write the equation for the formation of calcium silicate slag. Most candidates knew that reducing the carbon content of iron to form steel makes it less brittle, but a substantially lower proportion gave annealing, while others threw in tempering and quenching for good measure. Annealing continues to be a challenging notion for many students. Sections C2 and C4 of the syllabus account for 3.5 hours of study but candidates often seemed to be guessing whether the processes in question C2 used homogeneous or heterogeneous catalysts. The properties of polymers were generally well known but some of the explanations were a bit thin. The solubility of Kevlar in sulphuric acid was little known but a substantial number of candidates were able to state that it is non-biodegradable, and/or that an inefficient combustion leads to the formation of pollutants. Only stronger candidates identified dioxins as pollutant. The connection with landfills was rarely seen.
Option C was one of the least popular options. A surprising number did not know the purpose of the raw materials put into the blast furnace, some thinking scrap iron was a common raw material. There were few correct equations, but many would have been mark-worthy had they been balanced. Very few candidates appreciated the role of limestone or calcium oxide in neutralising the acidic impurities in iron ore, i.e. silica, and could write the equation for the formation of calcium silicate slag. Most candidates knew that reducing the carbon content of iron to form steel makes it less brittle, but a substantially lower proportion gave annealing, while others threw in tempering and quenching for good measure. Annealing continues to be a challenging notion for many students. Sections C2 and C4 of the syllabus account for 3.5 hours of study but candidates often seemed to be guessing whether the processes in question C2 used homogeneous or heterogeneous catalysts. The properties of polymers were generally well known but some of the explanations were a bit thin. The solubility of Kevlar in sulphuric acid was little known but a substantial number of candidates were able to state that it is non-biodegradable, and/or that an inefficient combustion leads to the formation of pollutants. Only stronger candidates identified dioxins as pollutant. The connection with landfills was rarely seen.
Option C was one of the least popular options. A surprising number did not know the purpose of the raw materials put into the blast furnace, some thinking scrap iron was a common raw material. There were few correct equations, but many would have been mark-worthy had they been balanced. Very few candidates appreciated the role of limestone or calcium oxide in neutralising the acidic impurities in iron ore, i.e. silica, and could write the equation for the formation of calcium silicate slag. Most candidates knew that reducing the carbon content of iron to form steel makes it less brittle, but a substantially lower proportion gave annealing, while others threw in tempering and quenching for good measure. Annealing continues to be a challenging notion for many students. Sections C2 and C4 of the syllabus account for 3.5 hours of study but candidates often seemed to be guessing whether the processes in question C2 used homogeneous or heterogeneous catalysts. The properties of polymers were generally well known but some of the explanations were a bit thin. The solubility of Kevlar in sulphuric acid was little known but a substantial number of candidates were able to state that it is non-biodegradable, and/or that an inefficient combustion leads to the formation of pollutants. Only stronger candidates identified dioxins as pollutant. The connection with landfills was rarely seen.
Another polymer that has cross-linking is Kevlar. Kevlar can be made by reacting 1,4-diaminobenzene with benzene-1,4-dicarboxylic acid.
Draw the structural formula of the repeating unit in Kevlar.
Explain how the long rigid chains in Kevlar are able to form cross-links to build up a three-dimensional structure.
Markscheme

Award [1] for correct showing of amide linkage.
Award [1] for remainder of structure correct.
Accept H and O both up or both down or accept –NH–CO– but do not accept –N–H–CO–.
Brackets not necessary to gain marks.
the \({\delta ^ - }\)/lone pair on the O of the C=O and the \({\delta ^ + }\) on the H of the N–H / the polarity of the C=O and the N–H bonds;
Accept N-H of one chain and C=O of adjacent chain or NH2 group of one chain with C=O group of another chain.
(form) hydrogen bonds / OWTTE;
Accept suitable diagram.
Examiners report
There were very few correct answers for this question with many blank answer boxes. In a) i), only a small number of candidates gave correct answers here. Many incorrectly gave the group –CHO instead of –CH2OH as a substituent on the ring.
There were very few correct answers for this question with many blank answer boxes. In a) i), only a small number of candidates gave correct answers here. Many incorrectly gave the group –CHO instead of –CH2OH as a substituent on the ring.
Industrial effluent is found to be highly contaminated with silver and lead ions. A sample of water contains \(8.0 \times {10^{ - 3}}{\text{ mol}}\,{\text{d}}{{\text{m}}^{ - 3}}{\text{ A}}{{\text{g}}^ + }\) and \(1.9 \times {10^{ - 2}}{\text{ mol}}\,{\text{d}}{{\text{m}}^{ - 3}}{\text{ P}}{{\text{b}}^{2 + }}\). On the addition of chloride ions both \({\text{AgCl }}({K_{sp}} = 1.8 \times {10^{ - 10}})\) and \({\text{PbC}}{{\text{l}}_{\text{2}}}{\text{ }}({K_{sp}} = 1.7 \times {10^{ - 5}})\) precipitate from the solution. Determine the concentration of \({\text{C}}{{\text{l}}^ - }\) needed to initiate the precipitation of each salt and deduce which salt precipitates first.
Markscheme
\({K_{{\text{sp}}}} = {\text{[A}}{{\text{g}}^ + }{\text{][C}}{{\text{l}}^ - }{\text{]}}/1.8 \times {10^{ - 10}} = 8.0 \times {10^{ - 3}} \times {\text{[C}}{{\text{l}}^ - }{\text{]}}\);
\({\text{[C}}{{\text{l}}^ - }{\text{]}} = 2.3 \times {10^{ - 8}}{\text{ mol}}\,{\text{d}}{{\text{m}}^{ - 3}}\);
\({K_{{\text{sp}}}} = {\text{[P}}{{\text{b}}^{2 + }}{\text{][C}}{{\text{l}}^ - }{{\text{]}}^2}/1.7 \times {10^{ - 5}} = 1.9 \times {10^{ - 2}} \times {{\text{[C}}{{\text{l}}^ - }{\text{]}}^2}\);
\({\text{[C}}{{\text{l}}^ - }{\text{]}} = 3.0 \times {10^{ - 2}}{\text{ mol}}\,{\text{d}}{{\text{m}}^{ - 3}}\);
AgCl will precipitate first (because it is less soluble);
Examiners report
Few candidates could calculate the concentrations correctly having problems with the calculations but most named AgCl as the first to precipitate.
Polymers are made up of repeating monomer units which can be manipulated in various ways to give structures with desired properties.
Fermentation of sugars from corn starch produces propane-1,3-diol, which can be polymerized with benzene-1,4-dicarboxylic acid to produce the PTT polymer (polytrimethylene terephthalate).
(i) Draw the molecular structure of each monomer.
(ii) Deduce the name of the linkage formed on polymerization between the two monomers and the name of the inorganic product.
Markscheme
i
HO–CH2–CH2–CH2–OH AND HOOC–C6H4–COOH
Accept full or condensed structural formulas. Labelling of monomers not required but penalize incorrect labels.
ii
Name of linkage: ester
AND
Name of inorganic product: water
Do not accept “esterification”.
Do not accept formulas.
Examiners report
The structure of 4-pentyl-4-cyanobiphenyl, a commercially available nematic crystalline material used in electrical display devices, is shown below.

Explain how the three different parts of the molecule contribute to the properties of the compound used in electrical display devices.
CN:
\({{\text{C}}_{\text{5}}}{{\text{H}}_{{\text{11}}}}\):
:
Describe and explain in molecular terms the workings of a twisted nematic liquid crystal.
Markscheme
CN
makes molecule polar, ensures common orientation which can be changed by electric field;
C5H11
prevents close packing of molecules;

molecules rigid and rod shaped;
Accept chemical stability for second or third mark not both.
liquid crystal between two glass plates which have scratches at 90° to each other;
molecules form a twisted arrangement between plates due to intermolecular bonds;
when polarizers are aligned with scratches, light will pass through film and pixel will appear bright;
applied voltage aligns polar molecules and pixel appears dark;
Examiners report
In (a), very few candidates scored full marks.
In (b), candidates struggled greatly in trying to explain in molecular terms the workings of a twisted nematic liquid crystal.
Liquid crystals are widely used in devices such as calculators, laptop computers and advanced optical materials.
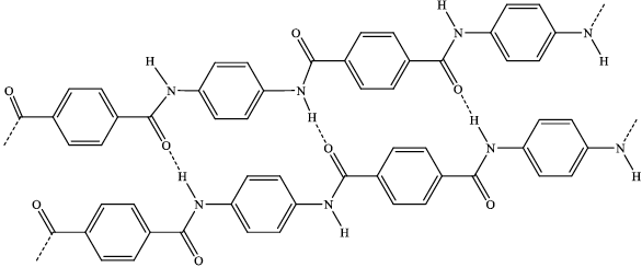
Kevlar® is a material used in bullet-proof vests.
(i) Deduce the products formed by a condensation polymerization reaction of the monomers benzene-1,4-diamine and benzene-1,4-dicarbonyl chloride to form Kevlar®.

(ii) Describe the factors which account for the inherent strength of Kevlar®.
(iii) Outline why Kevlar® can dissolve in concentrated sulfuric acid.
Markscheme
(i)
;
Brackets or n not necessary but continuation bonds must be shown.
Do not penalise if CO and NH are in cis configuration.
HCl;
Allow correct name for M2.
(ii) Kevlar® (molecules) have strong covalent bonds (so hard to break);
(large number of) hydrogen bonds between C=O and NH groups;
CO/NH groups trans to each other so orientation maximizes interactions/helps packing/produces more ordered structure / \(\pi \)-bonding/aromatic stacking interactions between benzene rings in neighbouring strands / OWTTE;
(iii) intermolecular forces/hydrogen bonds broken / nitrogen and oxygen atoms become protonated / reverses condensation process / OWTTE;
Examiners report
In (c) (i), continuation bonds were frequently omitted and \({{\text{H}}_{\text{2}}}{\text{O}}\) was often stated incorrectly instead of HCl. In (ii) although some candidates mentioned the hydrogen bonding network in Kevlar® often they did not state that these intermolecular forces are between the C=O and NH groups. (iii) was generally answered correctly.
(a) State one other example of a lyotropic liquid crystal and describe the difference between lyotropic and thermotropic liquid crystals.
(b) Name a thermotropic liquid crystal.
(c) Explain the liquid-crystal behaviour of the thermotropic liquid crystal named in part (b), on the molecular level.
Markscheme
(a) soap / kevlar / fatty acids / lipid bilayer / cellulose / silk proteins / DNA;
lyotropic liquid crystals
solutions that show the liquid-crystal state at certain concentrations;
thermotropic liquid crystals
(pure substances that) show liquid-crystal behaviour over temperature ranges (between the solid and liquid states);
(b) biphenyl nitriles/cyanobiphenyls;
(c) nitrile groups make molecule polar;
intermolecular forces are strong enough to align in a common direction;
biphenyl groups make molecules more rigid/rod-shaped;
(long) alkane chain ensures that molecules cannot pack together closely (to maintain liquid-crystal state);
Examiners report
This question was very poorly completed by most candidates. Candidates were usually able to name another example of a lyotropic liquid crystal and define thermotropic and lyotropic liquid crystals. However, candidates struggled to give an example of a thermotropic liquid crystal and often confused this with providing an example of the use of thermotropic liquid crystals.
In part (c), even when a thermotropic liquid crystal was mentioned in the previous question, candidates struggled to score in this part because they described the general functioning of liquid crystals which was asked in a previous paper. This was another example where candidates either did not read the question correctly or did not know and just wrote what they knew about.
Heavy metal ions can be removed by adding hydroxide ions. When hydroxide ions are added to a solution containing nickel ions, a precipitate of nickel(II) hydroxide, \({\text{Ni(OH}}{{\text{)}}_{\text{2}}}\), is formed. The solubility product of nickel(II) hydroxide is \(6.50 \times {10^{ - 18}}\) at 298 K. Determine the mass of nickel ions that remains in one litre (\({\text{1.00 d}}{{\text{m}}^{\text{3}}}\)) of water at 298 K with a pH of 7 after the precipitation reaction has occurred.
Markscheme
\({K_{{\text{sp}}}} = {\text{[N}}{{\text{i}}^{2 + }}{\text{]}} \times {{\text{[O}}{{\text{H}}^ - }{\text{]}}^2}\);
\({\text{[O}}{{\text{H}}^ - }{\text{]}} = 2{\text{[N}}{{\text{i}}^{2 + }}{\text{] hence }}{K_{{\text{sp}}}} = 4{{\text{[N}}{{\text{i}}^{2 + }}{\text{]}}^3}\);
\({\text{[N}}{{\text{i}}^{2 + }}{\text{]}} = {\left( {\frac{{6.50 \times {{10}^{ - 18}}}}{4}} \right)^{\frac{1}{2}}} = 1.18 \times {10^{ - 6}}{\text{ mol}}\,{\text{d}}{{\text{m}}^{ - 3}}\);
Mass of \({\text{N}}{{\text{i}}^{2 + }}\) in \({\text{1 d}}{{\text{m}}^3} = 58.71 \times 1.18 \times {10^{ - 6}} = 6.90 \times {10^{ - 5}}{\text{ g}}\);
Award [4] for correct final answer.
Accept
Ksp = [Ni2+] \( \times \) [OH–]2;
pH = pOH = 7 \( \to \) [OH–] = 10–7 mol\(\,\)dm–3;
[Ni2+] = \(\frac{{6.50 \times 1{0^{ - 18}}}}{{{{(1{0^{ - 7}})}^2}}}\) = 6.50 \( \times \) 10–4 mol\(\,\)dm–3;
Mass of Ni2+ in 1 dm3 = 6.50 \( \times \) 10–4 \( \times \) 58.71 = 3.82 \( \times \) 10–2 g;
Award [4] for correct final answer.
Examiners report
Part (d) was poorly answered. Only very few candidates scored full marks, generally giving the alternative calculation. Some managed to score partial and EFC marks.
Aluminium is chemically reactive so it has to be extracted by the electrolysis of aluminium oxide dissolved in molten cryolite.

(i) Suggest why the aluminium oxide is dissolved in molten cryolite.
(ii) Deduce an equation for the discharge of the ions at each electrode.
Positive electrode (anode):
Negative electrode (cathode):
(iii) Suggest why the anodes have to be replaced at regular intervals.
(i) Outline why aluminium is alloyed with copper and magnesium when used to construct aircraft bodies.
(ii) State two properties of aluminium that make it suitable for use in overhead power cables.
Markscheme
(i) lowers operating temperature of cell;
improves conductivity of the melt;
Accept “lowers the melting point (of aluminium oxide)”.
Accept “uses less energy”.
(ii) Positive electrode (anode):
\({\text{2}}{{\text{O}}^{2 - }} \to {{\text{O}}_{\text{2}}}{\text{(g)}} + {\text{4}}{{\text{e}}^ - }/{{\text{O}}^{2 - }} \to \frac{1}{2}{{\text{O}}_{\text{2}}}{\text{(g)}} + {\text{2}}{{\text{e}}^ - }/{\text{2}}{{\text{O}}^{2 - }} - {\text{4}}{{\text{e}}^ - } \to {{\text{O}}_{\text{2}}}{\text{(g)}}/\)
\({{\text{O}}^{2 - }} - {\text{2}}{{\text{e}}^ - } \to \frac{1}{2}{{\text{O}}_{\text{2}}}{\text{(g)}}\);
Allow C(s) – 2O2– \( \to \) CO2(g) + 4e–.
Negative electrode (cathode):
\({\text{A}}{{\text{l}}^{3 + }} + {\text{3}}{{\text{e}}^ - } \to {\text{Al(l)}}\);
Accept e instead of e–.
Ignore state symbols.
If correct equations shown at wrong electrodes, award [1 max].
(iii) the carbon anode oxidises / burns in/reacts with the oxygen (to produce \({\text{C}}{{\text{O}}_{\text{2}}}\));
(i) harder/stronger (than pure aluminium);
(ii) Award [1] for any two of:
good conductor of electricity;
resists corrosion;
Do not allow rusting.
low density;
Do not allow lighter/light mass/light weight.
ductile;
Do not allow malleable.
Examiners report
The reason for adding cryolite was well known but the electrode equations were shaky, particularly balancing the equation at the positive electrode (anode). Most had a good idea of why the anodes would need to be replaced from time to time. The strength of the alloy was understood but candidates needed to see that two properties were required for one mark in (b) (ii) – and light or lightweight was not accepted. In (c), the environmental impacts were not well done, very generic and not specific to this process.
The reason for adding cryolite was well known but the electrode equations were shaky, particularly balancing the equation at the positive electrode (anode). Most had a good idea of why the anodes would need to be replaced from time to time. The strength of the alloy was understood but candidates needed to see that two properties were required for one mark in (b) (ii) – and light or lightweight was not accepted. In (c), the environmental impacts were not well done, very generic and not specific to this process.
The oxygen levels in water can change for a number of reasons.
The use of phosphate fertilizers can also produce changes in the oxygen concentrations in a river.
Phosphate ions can be removed from a solution by adding calcium ions. State the ionic equation for the reaction of calcium ions with phosphate ions.
Deduce the expression for the solubility product constant, \({K_{{\text{sp}}}}\), of calcium phosphate.
The solubility product of calcium phosphate is \({\text{2.07}} \times {\text{1}}{{\text{0}}^{ - 33}}\) at 298 K. Determine the concentration, in \({\text{mol}}\,{\text{d}}{{\text{m}}^{ - 3}}\), of calcium ions, \({\text{C}}{{\text{a}}^{2 + }}\), in a saturated aqueous solution of calcium phosphate.
Markscheme
\({\text{3C}}{{\text{a}}^{{\text{2 + }}}}{\text{(aq)}} + {\text{2PO}}_{\text{4}}^{3 - }{\text{(aq)}} \rightleftharpoons {\text{C}}{{\text{a}}_{\text{3}}}{{\text{(P}}{{\text{O}}_{\text{4}}}{\text{)}}_{\text{2}}}{\text{(s)}}\);
Ignore state symbols.
Accept single arrow sign.
\({\text{(}}{K_{{\text{sp}}}} = {\text{) [C}}{{\text{a}}^{2 + }}{{\text{]}}^3}{{\text{[PO}}_4^{3 - }{\text{]}}^2}\);
Ignore state symbols.
Do not award mark if incorrect brackets are used or are missing.
Let x be solubility so \(2.07 \times {10^{ - 33}} = {(3x)^3}{(2x)^2}\);
Remember to apply ECF from (ii).
\({x^5} = \frac{{2.07 \times {{10}^{ - 33}}}}{{(27 \times 4)}}/1.92 \times {10^{ - 35}}/x = 1.14 \times {10^{ - 7}}\);
\(\left( {[{\text{C}}{{\text{a}}^{2 + }}] = 3x = } \right){\text{ }}3.42 \times {10^{ - 7}}{\text{ (mol}}\,{\text{d}}{{\text{m}}^{ - 3}}{\text{)}}\);
Award [3] for final correct answer.
Examiners report
Q was only identified by the stronger candidates and even then few stated that waste needs oxygen to decompose. The ionic equation for the reaction of calcium ions with phosphate ions proved a real minefield. It was highly disappointing at HL that so many candidates did not know what the formula and charge of the phosphate anion actually is. Some gave phosphite and several gave phosphide. Core chemistry underpins all options and candidates need to be prepared to apply some basic chemical principles to the various topics in the options. This aspect will be further enhanced in the new chemistry syllabus, but performance of candidates in this particular question shows the importance of this even in the current syllabus. In (ii), candidates often used the ionic equation in (i) to write the solubility product expression and hence had an incorrect inverse equation. Many also did not realize that the activity of a species in the solid state is unity. In (iii), incorrect \({K_{{\text{sp}}}}\) expressions in (ii) threw some candidates and others could not deal with the math involved in the solution to the equation. Many thought the final answer was x and not 3x for \({\text{[C}}{{\text{a}}^{2 + }}{\text{]}}\). Of course the stronger candidates scored all three marks on this question. In (c), misreading of the question was common which specifically asked for a non-chemical reason for the decrease in oxygen concentration i.e. an increase in the temperature of the water.
Q was only identified by the stronger candidates and even then few stated that waste needs oxygen to decompose. The ionic equation for the reaction of calcium ions with phosphate ions proved a real minefield. It was highly disappointing at HL that so many candidates did not know what the formula and charge of the phosphate anion actually is. Some gave phosphite and several gave phosphide. Core chemistry underpins all options and candidates need to be prepared to apply some basic chemical principles to the various topics in the options. This aspect will be further enhanced in the new chemistry syllabus, but performance of candidates in this particular question shows the importance of this even in the current syllabus. In (ii), candidates often used the ionic equation in (i) to write the solubility product expression and hence had an incorrect inverse equation. Many also did not realize that the activity of a species in the solid state is unity. In (iii), incorrect \({K_{{\text{sp}}}}\) expressions in (ii) threw some candidates and others could not deal with the math involved in the solution to the equation. Many thought the final answer was x and not 3x for \({\text{[C}}{{\text{a}}^{2 + }}{\text{]}}\). Of course the stronger candidates scored all three marks on this question. In (c), misreading of the question was common which specifically asked for a non-chemical reason for the decrease in oxygen concentration i.e. an increase in the temperature of the water.
Q was only identified by the stronger candidates and even then few stated that waste needs oxygen to decompose. The ionic equation for the reaction of calcium ions with phosphate ions proved a real minefield. It was highly disappointing at HL that so many candidates did not know what the formula and charge of the phosphate anion actually is. Some gave phosphite and several gave phosphide. Core chemistry underpins all options and candidates need to be prepared to apply some basic chemical principles to the various topics in the options. This aspect will be further enhanced in the new chemistry syllabus, but performance of candidates in this particular question shows the importance of this even in the current syllabus. In (ii), candidates often used the ionic equation in (i) to write the solubility product expression and hence had an incorrect inverse equation. Many also did not realize that the activity of a species in the solid state is unity. In (iii), incorrect \({K_{{\text{sp}}}}\) expressions in (ii) threw some candidates and others could not deal with the math involved in the solution to the equation. Many thought the final answer was x and not 3x for \({\text{[C}}{{\text{a}}^{2 + }}{\text{]}}\). Of course the stronger candidates scored all three marks on this question. In (c), misreading of the question was common which specifically asked for a non-chemical reason for the decrease in oxygen concentration i.e. an increase in the temperature of the water.
Poly(propene) has different forms. Isotactic poly(propene) is tough, while atactic poly(propene) is flexible.
Polyethylene terephthalate (PET), represented below, is an example of a condensation polymer.

Draw the structures of the monomers that form polyethylene terephthalate.
Predict whether polyethylene terephthalate or isotactic poly(propene) has a higher melting point. Explain your answer in terms of intermolecular forces.
Markscheme
HOOC–\({{\text{C}}_{\text{6}}}{{\text{H}}_{\text{4}}}\)–COOH;
\({\text{HOC}}{{\text{H}}_{\text{2}}}{\text{C}}{{\text{H}}_{\text{2}}}{\text{OH}}\);
Accept condensed or full structural formulas.
polyethylene terephthalate (PET);
(permanent) dipole-(permanent) dipole interactions in PET;
both polymers contain van der Waals’/London/dispersion forces between chains / polypropene only has van der Waals’/London/dispersion forces which are weaker than dipole-dipole interactions;
Allow vdW as abbreviation for van der Waals’ or FDL for London/dispersion.
M2 and M3 can only be scored if M1 is correct.
Examiners report
In (b), the structures of the monomers that form PET were usually correctly represented, even by the weaker students.
In (b), the structures of the monomers that form PET were usually correctly represented, even by the weaker students.
Modern liquid crystals have a structure similar to this biphenyl nitrile.

Explain how the structure of biphenyl nitriles makes them suitable for use in liquid-crystal devices.
Markscheme
biphenyl/planar ring structure makes molecule rigid/rod-shaped;
nitrile/cyano group makes molecule polar / allows orientation in an electric field / ensures alignment in common direction;
long hydrocarbon chain keeps molecules apart/prevents close packing/lowers melting point;
Award [1 max] for “chemically stable and rapid switching speed”.
Examiners report
In their answers students often failed to link specific structural elements of biphenyl nitriles with the desirable properties for an LCD material. The functioning of an LCD was however better known, with some quite detailed responses for which candidates often gained good credit. The mechanism for the generation of a potential difference by photovoltaic cells however seemed less well understood.
Liquid crystals are widely used in displays.
Describe the meaning of the term liquid crystals.
When a liquid-crystal display is warmed with a hairdryer, the display loses its clarity and may no longer be visible. Explain why this happens on a molecular level.
Markscheme
fluids that have physical properties dependent on molecular orientation/orderly molecular arrangement;
Allow “fluids that exhibit molecular orientation/orderly molecular arrangement”.
Allow “(LCs) show properties of liquids and crystals simultaneously”.
thermal agitation disrupts directional order of liquid crystal / OWTTE;
rotation of plane polarized light disrupted / crystals no longer have ability to affect light in same way / OWTTE;
Examiners report
There were good descriptions of liquid crystals and many understood the thermal change in (b). The aspect of Kevlar® allowing it to be used as a liquid crystal was better known than that for bullet-proof jackets. Candidates needed to recognize the strong hydrogen bonding between chains.
There were good descriptions of liquid crystals and many understood the thermal change in (b). The aspect of Kevlar® allowing it to be used as a liquid crystal was better known than that for bullet-proof jackets. Candidates needed to recognize the strong hydrogen bonding between chains.
Polyethene is the world’s most widely used polymer. It can exist in two forms with distinctive physical properties.
The manufacture of low-density polyethene (LDPE) is initiated by the introduction into ethene of an organic peroxide, ROOR, which, at high temperature and pressure, forms free radicals.
\(ROOR \to 2RO \bullet \)
Polyacrylonitrile is an important polymer used in the manufacture of carbon fibres. The monomer has the structure below.

Polyacrylonitrile is similar to polypropene and can exist in two forms.
Draw the structure of the isotactic form of polyacrylonitrile showing three repeating units.
Explain why the isotactic form is more suitable for the manufacture of strong fibres.
Markscheme

Continuation bonds at end of structure needed.
Hydrogen atoms must be included.
Award [1] for chain with CN groups on alternate carbons.
Award [2] for correct chain with CN on alternate carbons with same orientation.
chains pack together better;
strong intermolecular/attractive forces between chains;
chains do not move past each other easily (so fibre strong/rigid);
Examiners report
Option C was not a popular option.
While many candidates scored the mark in 10 (a), those who did not often failed to provide the correct name for an ore. Although many identified slag, some were able to give the correct equation and others gave equations which were either incorrect or not from raw materials as asked. This question unfortunately shows that chemical equations seem not to be as well covered as expected. The answer to the question on alloys was rather disappointing and weaker than in previous sessions. The lack of subject specific vocabulary was often observed with many candidates providing answers that were clearly not addressing the question. Very few candidates were able to score even one mark on the mechanism by which the carbon chain increases in length during the manufacture of LDPE suggesting that this topic requires further attention. Many candidates were familiar with the catalyst used in the formation of HDPE although some lost the mark due to writing names that differed widely from correct one. Many were able to score at least one mark for the structure of the isotactic form of the polymer but very few drew 3D structures. Many candidates were able to score partial points when explaining why the isotactic form is more suitable for the manufacture of strong fibres but many missed the idea of chains not being able to move past each other easily (hence fibre is strong/rigid).
The part on liquid crystal displays was done with mixed results with many correct answers but still below expectations. Many candidates scored a mark for the explanation of how the addition of a LC to a cell changes what the observer sees usually from establishing the rotation of the plane of polarized light, but far too often replies were shallow with limited use of correct terminology. In the explanation of how the application of an electric filed between electrodes changes what the observer sees, many students were able to score one mark by stating that light is not transmitted but only stronger candidates included in their answers that molecules are aligned or not twisted. The question on the Ni-Cd battery was answered poorly with many candidates not even attempting it or getting the equation completely wrong and not being able to identify insolubility of the products that allows the reaction to be reversed and the cell charged. Description of the addition of small amounts of arsenic to increase the conductivity of silicon was surprising not done well and is a topic that needs closer attention.
Option C was not a popular option.
While many candidates scored the mark in 10 (a), those who did not often failed to provide the correct name for an ore. Although many identified slag, some were able to give the correct equation and others gave equations which were either incorrect or not from raw materials as asked. This question unfortunately shows that chemical equations seem not to be as well covered as expected. The answer to the question on alloys was rather disappointing and weaker than in previous sessions. The lack of subject specific vocabulary was often observed with many candidates providing answers that were clearly not addressing the question. Very few candidates were able to score even one mark on the mechanism by which the carbon chain increases in length during the manufacture of LDPE suggesting that this topic requires further attention. Many candidates were familiar with the catalyst used in the formation of HDPE although some lost the mark due to writing names that differed widely from correct one. Many were able to score at least one mark for the structure of the isotactic form of the polymer but very few drew 3D structures. Many candidates were able to score partial points when explaining why the isotactic form is more suitable for the manufacture of strong fibres but many missed the idea of chains not being able to move past each other easily (hence fibre is strong/rigid).
The part on liquid crystal displays was done with mixed results with many correct answers but still below expectations. Many candidates scored a mark for the explanation of how the addition of a LC to a cell changes what the observer sees usually from establishing the rotation of the plane of polarized light, but far too often replies were shallow with limited use of correct terminology. In the explanation of how the application of an electric filed between electrodes changes what the observer sees, many students were able to score one mark by stating that light is not transmitted but only stronger candidates included in their answers that molecules are aligned or not twisted. The question on the Ni-Cd battery was answered poorly with many candidates not even attempting it or getting the equation completely wrong and not being able to identify insolubility of the products that allows the reaction to be reversed and the cell charged. Description of the addition of small amounts of arsenic to increase the conductivity of silicon was surprising not done well and is a topic that needs closer attention.
Thermotropic liquid crystals are widely used in display devices and sensors.
Describe and explain, in molecular terms, the workings of a twisted nematic liquid crystal.
Markscheme
(nematic) LC’s placed between (two glass) plates/sheets with (two) polarizing filters at 90° to each other / each pixel contains LC (film/molecules) sandwiched between (two glass) plates/sheets;
plates/sheets have (fine) scratches/grooves and LC molecules (in contact with glass) align with these;
LC molecules adjacent to top layer are orientated at 90° to those adjacent to bottom layer / OWTTE;
LC molecules align in twisted (nematic) arrangement due to intermolecular forces;
Accept “intermolecular bonds” for “intermolecular forces”.
LC interacts with (plane-)polarized light which is rotated 90°;
when molecules are aligned (with the scratches) light will pass through (and pixel appears bright);
when a potential difference/voltage is applied molecules align with electric field (losing their twisted structure);
they no longer allow (polarized) light to pass (and pixel appears dark);
A suitably labelled diagram may be used to explain some marking points.
Examiners report
One teacher commented that part (a) seemed too easy for two marks. Candidates generally scored well on the first part of this question though the weaker candidates often did not draw molecules with the irregular arrangement in space and hence only scored half marks. Some did not include eight molecules. In (b) (i), reference to the CN bond was often omitted. (b) (ii) proved a real challenge whereby candidates had to explain why a liquid-crystal device may be unreliable at low temperatures. Several different answers were allowed here on the markscheme ranging from molecules becoming more ordered to molecules unable to change orientation as they approach the fixed arrangement of the solid state to the increase in viscosity of the medium (leading to an increase in the LCD response time). In (c), very few scored all four marks though many did score half marks. The markscheme was quite expansive for this question and a suitably labeled diagram also could have been used to explain many of individual marking points. Diagrams were used to good effect by some of the better candidates in supporting their written answers.
Aluminium is produced by the electrolysis of aluminium oxide.
State how a low operating temperature is achieved when aluminium oxide is electrolysed.
Markscheme
adding/dissolved in cryolite/\({\text{N}}{{\text{a}}_{\text{3}}}{\text{Al}}{{\text{F}}_{\text{6}}}\);
Examiners report
(a) was well done.
Liquid crystals are an important component in many devices considered essential in modern life, such as smartphones.
Describe the meaning of the term liquid crystal.
List two properties needed for a substance to be used in a liquid-crystal display.
Markscheme
fluids that have physical properties dependent on molecular orientation;
chemical stability;
liquid-crystal phase stable over a suitable range of temperatures;
polar (in order to change orientation when an electric field is applied);
rapid switching speed;
Examiners report
There was a generally poor understanding of liquid crystals in Q13 apart from the properties of suitable molecules.
There was a generally poor understanding of liquid crystals in Q13 apart from the properties of suitable molecules.
Soil degradation is a global problem that can lead to a reduction in food production.
Aluminium and magnesium ions are commonly found in different forms in soil. Magnesium ions are important for plant growth, but aluminium ions may be toxic if absorbed by plants. Both these ions can be precipitated in the soil by the formation of their hydroxides. The \({K_{{\text{sp}}}}\) values for magnesium hydroxide and aluminium hydroxide at 298 K are \(1.80 \times {10^{ - 11}}\) and \(3.00 \times {10^{ - 34}}\), respectively.
Determine the concentration of the magnesium and hydroxide ions in a saturated solution of magnesium hydroxide at 298 K, and calculate its pH. Assume there are no other ions present.
Deduce, with a reason, whether the pH of a saturated solution of aluminium hydroxide, at the same temperature, would be greater or less than your answer to (i).
Markscheme
\({K_{{\text{sp}}}} = {\text{[M}}{{\text{g}}^{2 + }}{\text{][O}}{{\text{H}}^ - }{{\text{]}}^2}\);
\(1.80 \times {10^{ - 11}} = (x){(2x)^2} = 4{x^3}/x = 1.65 \times {10^{ - 4}}\);
\({\text{[M}}{{\text{g}}^{2 + }}{\text{]}} = 1.65 \times {10^{ - 4}}{\text{ (mol}}\,{\text{d}}{{\text{m}}^{ - 3}}{\text{)}}\) and \({\text{[O}}{{\text{H}}^ - }{\text{]}} = 3.30 \times {10^{ - 4}}{\text{ (mol}}\,{\text{d}}{{\text{m}}^{ - 3}}{\text{)}}\);
\({\text{(pOH}} = - \log 3.30 \times {10^{ - 4}} = 3.48{\text{ so) pH}} = (14 - 3.48 = ){\text{ }}10.5\);
Accept values from 10 to 11.
Do not penalize incorrect significant figures throughout.
Allow [2 max] for final correct pH if no working shown.
pH lower because lower concentration of \({\text{O}}{{\text{H}}^ - }\) ions / lower solubility/\({K_{{\text{sp}}}}\);
Must give reason to score mark.
Award mark for valid calculation.
Examiners report
Option E was one of the less popular options. In outlining the meaning of the term BOD, most candidates scored at least one mark out of two - typically the time and temperature condition - was not specified. Often in the reason why the concentration of dissolved oxygen falls, candidates did not identify aerobic respiration or decomposition of the organic matter by oxygen or that the increase in dissolved oxygen is from air. Graph for the effect of temperature on the concentration of dissolved oxygen was generally done well showing a line or a curve with a negative slope. Description of the physical and biological functions of SOM improve the quality of the soil was typically done well but answers revealed that the understanding of SOM is shallow with more sophisticated alternatives being rare.
In the question on \({K_{{\text{sp}}}}\) many candidates at least scored one mark from correctly stating the \({K_{{\text{sp}}}}\) expression with stronger candidates scoring fully. Deduction of the pH of aluminium hydroxide at the same pH and reduction of the toxicity of soil by increasing the pH shows a lack of understanding of key equilibrium and \({K_{{\text{sp}}}}\) concepts.
Although chemical equations that show the natural depletion of ozone were correct, some did not read the question carefully and stated the effect of CFCs on ozone depletion. Example of two ozone-depleting substances was well done; however, it is important to underline that often NO was presented rather than \({\text{N}}{{\text{O}}_x}\) or oxides of nitrogen. In the formation of ozone in smog, many candidates were able to state the reaction between the oxygen radical and oxygen molecule, but only a few candidates scored fully as a result of not starting from nitrogen(II) oxide as stated in the question.
Option E was one of the less popular options. In outlining the meaning of the term BOD, most candidates scored at least one mark out of two - typically the time and temperature condition - was not specified. Often in the reason why the concentration of dissolved oxygen falls, candidates did not identify aerobic respiration or decomposition of the organic matter by oxygen or that the increase in dissolved oxygen is from air. Graph for the effect of temperature on the concentration of dissolved oxygen was generally done well showing a line or a curve with a negative slope. Description of the physical and biological functions of SOM improve the quality of the soil was typically done well but answers revealed that the understanding of SOM is shallow with more sophisticated alternatives being rare.
In the question on \({K_{{\text{sp}}}}\) many candidates at least scored one mark from correctly stating the \({K_{{\text{sp}}}}\) expression with stronger candidates scoring fully. Deduction of the pH of aluminium hydroxide at the same pH and reduction of the toxicity of soil by increasing the pH shows a lack of understanding of key equilibrium and \({K_{{\text{sp}}}}\) concepts.
Although chemical equations that show the natural depletion of ozone were correct, some did not read the question carefully and stated the effect of CFCs on ozone depletion. Example of two ozone-depleting substances was well done; however, it is important to underline that often NO was presented rather than \({\text{N}}{{\text{O}}_x}\) or oxides of nitrogen. In the formation of ozone in smog, many candidates were able to state the reaction between the oxygen radical and oxygen molecule, but only a few candidates scored fully as a result of not starting from nitrogen(II) oxide as stated in the question.
EDTA is produced by reacting ethane-1,2-diamine with chloroethanoic acid, ClCH2COOH.
Identify the other product formed.
Explain why EDTA, a chelating agent, is more effective in removing heavy metal ions from solution than monodentate ligands.
Markscheme
HCl/hydrogen chloride
Accept “hydrochloric acid”.
[1 mark]
forms four/six/several/multiple coordinate/coordination bonds «to a central metal ion»
OR
is a polydentate/tetradentate/hexadentate ligand
forms more stable complex/stronger bonds with central metal ion
OR
increases entropy/S by releasing smaller «monodentate ligand» molecules previously complexed
complex ions are much larger «and can be removed easily due to large size of chelate complexes»
OR
heavy metal ions trapped inside the ligand/become «biologically» inactive/nontoxic/harmless
Accept “dative «covalent»” for “coordinate/coordination”.
Do not accept just “chelates”.
[3 marks]
Examiners report
Superconductors are materials that conduct electric current with practically zero resistance.
Describe the Meissner effect.
Outline one difference between type 1 and type 2 superconductors.
Markscheme
creation of a mirror image magnetic field of an external field «below the critical temperature/Tc of the superconductor»
OR
expulsion of a magnetic field from a superconductor «below its critical temperature/Tc»
Accept “Type 1: «most» metals AND Type 2: alloys/metal oxide ceramics/perovskites”.
Examiners report
Chromium forms coloured compounds and is used to make stainless and hard steel. The distance between layers of chromium atoms in the metal can be obtained using X-ray crystallography.
(i) The diagram below shows the diffraction of two X-ray beams, y and z of wavelength λ, shining on a chromium crystal whose planes are a distance d nm apart.
Deduce the extra distance travelled by the second beam, z, compared to the first one, y.
(ii) State the Bragg’s condition for the observed diffraction to be at its strongest (constructive interference).
(i) The mass of one unit cell of chromium metal is 17.28 × 10−23 g. Calculate the number of unit cells in one mole of chromium. Ar(Cr) = 52.00.
(ii) Deduce the number of atoms of chromium per unit cell.
Markscheme
i
2d sin θ
OR
2|AB| / 2|BC| / |AB| + |BC| / |AB| AND |BC|
Vertical lines indicating lengths not required. Answer may be conveyed in words also.
Do not accept |AC| – reference must be made to B.
ii
extra distance travelled/|AB| + |BC| = nλ/a whole number of wavelengths
Accept notations of extra distance as in (a)(i).
i
«\(\frac{{52.00\,{\text{g}}\,{\text{mo}}{{\text{l}}^{ - {\text{1}}}}}}{{17.28 \times {{10}^{ - 23}}{\text{g}}\,{\text{unit}}\,{\text{cel}}{{\text{l}}^{ - {\text{1}}}}}} = \)» 3.009 × 1023 «unit cells mol−1»
ii
«\(\frac{{6.02 \times {{10}^{23}}{\text{atoms}}\,{\text{mo}}{{\text{l}}^{ - {\text{1}}}}}}{{3.01 \times {{10}^{23}}{\text{unit}}\,{\text{cells}}\,{\text{mo}}{{\text{l}}^{ - {\text{1}}}}}} = \)» 2 «atoms per unit cell»
Examiners report
Antimony oxide is widely used as a homogeneous catalyst for the reaction of benzene-1,4-dicarboxylic acid with ethane-1,2-diol in the production of polyethylene terephthalate (PETE).
Deduce the repeating unit of the polymer and the other product of the reaction.
State the class of polymer to which PETE belongs.
Markscheme
Repeating unit:
Other product: water/H2O
Continuation bonds necessary for the mark.
Accept alternative repeating unit with O at other end.
Do not penalize square brackets or n.
[2 marks]
condensation
Accept polyester or thermoplastic.
[1 mark]
Examiners report
Iron may be extracted from an ore containing Fe2O3 in a blast furnace by reaction with coke, limestone and air. Aluminium is obtained by electrolysis of an ore containing Al2O3.
(i) Outline the cause of electrical resistance in metallic conductors.
(ii) The resistance of two metals was measured as a function of temperature. The following graph was obtained.
Explain the behaviour of metal II below temperature X in terms of the Bardeen–Cooper–Schrieffer (BCS) theory.
(i) Polonium metal has a simple cubic structure. Construct a unit cell diagram and state the coordination number of each atom.
(ii) X-ray diffraction was carried out on polonium using radiation with a wavelength of 8.80×10−11 m. The first order maximum in the diffraction pattern was observed at an angle of 13.0°. Determine the distance, in m, between layers of polonium atoms using section 1 of the data booklet.
Markscheme
(i)
collisions between electrons AND positive ions/cations/metal atoms/metal lattice
Accept “irregularities/non-uniformity in metal lattice «caused by impurities» but do not accept just “impurities present”.
Do not accept “attractions” for “collisions”.
(ii)
metal II is a superconductor
passing electrons «slightly» deform lattice/displace positive ions/cations AND couple/form Cooper pairs/condense with other electrons
energy propagates along the lattice in wave-like manner/as phonons
Cooper pair/electron condensate moves through lattice freely
OR
phonons are «perfectly» elastic/cause no energy loss
(i)
«coordination number =» 6
Do not accept diagram of a lattice showing multiple unit cells.
(ii)
«Bragg equation, n=1»
«d=\(\frac{{8.80 \times {{10}^{ - 11}}}}{{2 \times \sin \left( {13.0} \right)}}\)»1.96×10-10«m»
Examiners report
Metals have various crystal structures. Cobalt forms a face-centred cubic (FCC) lattice. Two representations of FCC are shown.
Calculate the total number of cobalt atoms within its unit cell.
The atomic radius, r, of cobalt is 1.18 × 10–8 cm. Determine the edge length, in cm, of the unit cell, a, using the second diagram.
Determine a value for the density of cobalt, in g cm–3, using data from sections 2 and 6 of the data booklet and your answers from (a) and (b) (i).
If you did not obtain an answer to (b) (i), use 3.00 × 10–8 cm but this is not the correct answer.
Markscheme
«\(8 \times \frac{1}{8} + 6 \times \frac{1}{2} = \)» 4
face diagonal \( = \sqrt {2a} = 4r\)
«\(a = \frac{{\left( {4 \times 1.18 \times {{10}^{ - 8}}\,{\text{cm}}} \right)}}{{\sqrt 2 }} = \)» 3.34 x 10–8 «cm»
mass of 4 atoms = \(\frac{{4 \times 58.93\,g\,mo{l^{ - 1}}}}{{6.02 \times {{10}^{23}}\,mo{l^{ - 1}}}} = 3.916 \times {10^{ - 22}}\) «g»
«density \( = \frac{{3.916 \times {{10}^{ - 22}}\,g}}{{{{\left( {3.34 \times {{10}^{ - 8}}\,cm} \right)}^3}}} = \)» 10.5 «g cm–3»
Answer using 3.00 x 10–8 cm:
mass of 4 atoms = \(\frac{{4 \times 58.93\,g\,mo{l^{ - 1}}}}{{6.02 \times {{10}^{23}}\,mo{l^{ - 1}}}} = 3.916 \times {10^{ - 22}}\) «g»
«density \( = \frac{{3.916 \times {{10}^{ - 22}}\,g}}{{{{\left( {3.00 \times {{10}^{ - 8}}\,cm} \right)}^3}}} = \)» 14.5 «g cm–3»
Award [2] for correct final answer.
Examiners report
Biphenyl nitriles, such as the molecule shown below, were the first thermotropic liquid crystal molecules to be synthesized.
(i) The monomers from which Kevlar® is produced are given below.
Deduce the formula of the repeating unit of Kevlar®.
(ii) State the structural feature of Kevlar® that is primarily responsible for its strength.
Markscheme
(i)
—COC6H4CONHC6H4NH—
Continuation bonds are necessary for the mark but brackets and n can be ignored. If more than one repeating unit is drawn, do not award the mark.
(ii)
H bonds «form between chains from NH of one chain to CO of the next»
Examiners report
Polymer nanocomposites often have better structural performance than conventional materials. Lithographic etching and metal coordination are two methods of assembling these nanocomposites.
Dendrimers are highly branched nanoparticles with a wide range of usage. One such dendrimer is PAMAM, or polyamidoamine.
The first step in the synthesis is to make the core by reacting ethane-1,2-diamine with methylpropenoate.
Estimate the atom economy of this first step.
Suggest, giving one reason, whether this is an addition or condensation reaction.
Subsequent steps proceed under differing conditions, forming the dendrimer polymer with the following repeating unit.
State the name of one functional group in this repeating unit.
Markscheme
100%
Accept “almost 100%” if a catalyst is referred to.
[1 mark]
addition AND no atoms removed/all atoms accounted for/no loss of water/ammonia/inorganic by-product/small molecules
OR
addition AND there is only one «reaction» product
[1 mark]
amido
OR
amino
Accept “amide/carboxamide/carbamoyl” for “amido”.
Accept “amine“ for “amino”.
Accept “carbonyl”.
[1 mark]
Examiners report
The Fenton and Haber–Weiss reactions convert organic matter in waste water to carbon dioxide and water.
Compare and contrast the Fenton and Haber–Weiss reaction mechanisms.
Adsorption and chelation are two methods of removing heavy metal ion pollution from the environment.
(i) Describe the process of adsorption.
(ii) Deduce the structure of the complex ion formed by the reaction of three H2N−CH2−CH2−NH2 chelating molecules with a mercury(II) ion.
Markscheme
One similarity:
both involve hydroxyl/•OH «radicals»
One difference:
Accept “hydroxy” for “hydroxyl”.
Do not penalize missing radical symbols if consistent throughout.
Accept “H2O2 → 2•OH” for the Fenton mechanism.
i
molecules/ions/substances are attracted to/form «non-covalent» interactions with the surface of the adsorbent
ii
Do not penalize missing charge or square brackets.
Bonds to Hg must be shown (in any format).